Abstract
C26H30BrFN4O4, monoclinic, P21/c (no. 14), a = 10.9035(6) Å, b = 8.0936(6) Å, c = 29.429(2) Å, β = 98.136(2)°, V =2570.9(3) Å3, Z = 4, Rgt(F) = 0.0434, wRref(F2) = 0.0897, T = 173(2) K.

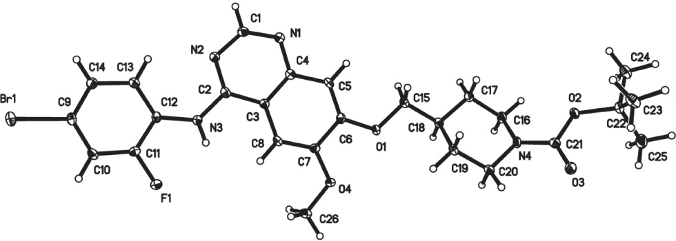
The crystal structure is shown in the figure. Table 1 contains details on crystal structure and measurement conditions. Table 2 lists the atoms with their coordinates and displacement parameters.
Data collection and handling.
| Crystal: | Colourless column |
| Size: | 0.19 × 0.11 × 0.08 mm |
| Wavelength: | Mo Kα radiation (0.71073 Å) |
| μ: | 16.5 cm−1 |
| Diffractometer, scan mode: | CAD4, ω-scans |
| 2θmax, completeness: | 50.78°, >98% |
| N(hkl)measured, N(hkl)unique, Rint: | 18757, 4643, 0.078 |
| Criterion for Iobs, N(hkl)gt: | Iobs > 2 σ(Iobs), 3190 |
| N(param)refined: | 332 |
| Programs: | CAD4 [1], XCAD4 [2], SHELX [3], PLATON [4] |
Fractional atomic coordinates and isotropic or equivalent isotropic displacement parameters (Å2).
| Atom | x | y | z | Uiso*/Ueq |
|---|---|---|---|---|
| Br1 | −0.74155(3) | 0.56733(5) | 0.382867(12) | 0.03775(13) |
| C1 | 0.0090(3) | 0.3728(4) | 0.44747(10) | 0.0248(8) |
| H1 | 0.0326 | 0.4305 | 0.4220 | 0.030* |
| C2 | −0.1479(2) | 0.2825(4) | 0.48415(10) | 0.0199(7) |
| C3 | −0.0605(2) | 0.2049(4) | 0.51821(10) | 0.0176(7) |
| C4 | 0.0648(3) | 0.2267(4) | 0.51284(10) | 0.0201(7) |
| C5 | 0.1581(3) | 0.1568(4) | 0.54559(10) | 0.0216(7) |
| H5 | 0.2428 | 0.1728 | 0.5424 | 0.026* |
| C6 | 0.1280(2) | 0.0675(4) | 0.58140(10) | 0.0195(7) |
| C7 | 0.0001(3) | 0.0429(4) | 0.58647(10) | 0.0198(7) |
| C8 | −0.0900(3) | 0.1110(4) | 0.55562(10) | 0.0205(7) |
| H8 | −0.1744 | 0.0952 | 0.5592 | 0.025* |
| C9 | −0.5941(3) | 0.4738(4) | 0.41522(10) | 0.0221(8) |
| C10 | −0.6013(3) | 0.3723(4) | 0.45233(10) | 0.0234(8) |
| H10 | −0.6782 | 0.3474 | 0.4624 | 0.028* |
| C11 | −0.4914(3) | 0.3089(4) | 0.47392(10) | 0.0224(7) |
| C12 | −0.3756(2) | 0.3422(4) | 0.46127(10) | 0.0204(7) |
| C13 | −0.3735(3) | 0.4459(4) | 0.42347(10) | 0.0244(7) |
| H13 | −0.2966 | 0.4726 | 0.4136 | 0.029* |
| C14 | −0.4827(3) | 0.5104(4) | 0.40020(11) | 0.0246(8) |
| H14 | −0.4808 | 0.5792 | 0.3741 | 0.029* |
| C15 | 0.3381(2) | 0.0172(4) | 0.61442(10) | 0.0233(8) |
| H15A | 0.3603 | 0.1353 | 0.6188 | 0.028* |
| H15B | 0.3618 | −0.0202 | 0.5848 | 0.028* |
| C16 | 0.6061(3) | −0.1935(4) | 0.69183(10) | 0.0251(8) |
| H16A | 0.5781 | −0.3093 | 0.6870 | 0.030* |
| H16B | 0.6970 | −0.1906 | 0.6921 | 0.030* |
| C17 | 0.5431(2) | −0.0859(4) | 0.65289(10) | 0.0220(7) |
| H17A | 0.5612 | −0.1295 | 0.6231 | 0.026* |
| H17B | 0.5757 | 0.0282 | 0.6564 | 0.026* |
| C18 | 0.4032(2) | −0.0847(4) | 0.65348(10) | 0.0199(7) |
| H18 | 0.3727 | −0.2010 | 0.6493 | 0.024* |
| C19 | 0.3761(3) | −0.0244(4) | 0.70036(10) | 0.0223(8) |
| H19A | 0.4026 | 0.0922 | 0.7048 | 0.027* |
| H19B | 0.2857 | −0.0295 | 0.7013 | 0.027* |
| C20 | 0.4434(2) | −0.1292(4) | 0.73915(10) | 0.0246(8) |
| H20A | 0.4302 | −0.0818 | 0.7691 | 0.030* |
| H20B | 0.4094 | −0.2428 | 0.7372 | 0.030* |
| C21 | 0.6592(3) | −0.0862(4) | 0.77188(10) | 0.0217(7) |
| C22 | 0.8817(3) | −0.0395(4) | 0.79543(10) | 0.0238(8) |
| C23 | 0.8677(3) | 0.1345(5) | 0.81255(12) | 0.0359(9) |
| H23A | 0.8444 | 0.2083 | 0.7864 | 0.054* |
| H23B | 0.9464 | 0.1712 | 0.8298 | 0.054* |
| H23C | 0.8031 | 0.1368 | 0.8326 | 0.054* |
| C24 | 0.9882(3) | −0.0511(5) | 0.76730(11) | 0.0319(8) |
| H24A | 0.9942 | −0.1644 | 0.7561 | 0.048* |
| H24B | 1.0658 | −0.0210 | 0.7865 | 0.048* |
| H24C | 0.9731 | 0.0247 | 0.7411 | 0.048* |
| C25 | 0.8962(3) | −0.1658(5) | 0.83382(12) | 0.0393(10) |
| H25A | 0.8292 | −0.1520 | 0.8525 | 0.059* |
| H25B | 0.9762 | −0.1498 | 0.8531 | 0.059* |
| H25C | 0.8925 | −0.2773 | 0.8207 | 0.059* |
| C26 | −0.1428(3) | −0.0798(5) | 0.63013(12) | 0.0359(9) |
| H26A | −0.1834 | 0.0256 | 0.6348 | 0.054* |
| H26B | −0.1441 | −0.1501 | 0.6572 | 0.054* |
| H26C | −0.1868 | −0.1353 | 0.6030 | 0.054* |
| F1 | −0.49413(14) | 0.2067(3) | 0.51079(6) | 0.0338(5) |
| N1 | 0.1000(2) | 0.3128(3) | 0.47649(8) | 0.0239(6) |
| N2 | −0.1146(2) | 0.3637(3) | 0.44897(8) | 0.0232(6) |
| N3 | −0.2727(2) | 0.2710(4) | 0.48780(9) | 0.0251(6) |
| H3A | −0.289(3) | 0.221(4) | 0.5115(8) | 0.030* |
| N4 | 0.5760(2) | −0.1341(3) | 0.73596(8) | 0.0234(6) |
| O1 | 0.20758(17) | −0.0061(3) | 0.61485(7) | 0.0245(5) |
| O2 | 0.77538(17) | −0.0854(3) | 0.76081(7) | 0.0248(5) |
| O3 | 0.63249(18) | −0.0475(3) | 0.80921(7) | 0.0307(6) |
| O4 | −0.01761(17) | −0.0503(3) | 0.62350(7) | 0.0264(5) |
Source of material
The title compound is easily available by a known literature synthesis [5]. In a typical reaction 0.2 g of the title compound was dissolved in 6 mL methanol. Evaporation at room temperature yielded colourless crystals of tert-butyl 4-((4-(4-bromo-2-fluorophenylamino)-6-methoxyquinazolin-7-yloxy)methyl)piperidine-1-carboxylate.
Experimental details
The hydrogen atoms (except H3a) were placed on calculated positions with the program SHELXL (AFIX 43, 23, 13 or 137 option) [3].
Discussion
The title compound is a very important intermediate in the production process of Vandetanib. Vandetanib (trade name Caprelsa, Astra Zeneca) is an anti-cancer drug used for the treatment of certain tumours of the thyroid gland [6]. Its pharmacological property is that of a kinase inhibitor for a number of cell receptors, mainly the vascular endothelial growth factor receptor (VEGFR), the epidermal growth factor receptor (EGFR), and the RET-tyrosine kinase. The compound reported here, tert-butyl-4-((4-(4-bromo-2-fluorophenylamino)-6-methoxyquinazolin-7-yloxy)methyl)piperidine-1-carboxylate is the most important intermediate during production of Vandetanib.
Bond lengths and angles of the title compound are within normal ranges [7]. The crystal structure analysis of the title compound revealed that the 3 rings: piperidine ring (C16—C17—C18—C19—C20—N4), quinazoline ring (C2—N2—C1—N1—C4—C5—C6—C7—C8—C3) and 4-bromo-2-fluorophenyl ring (C9—C10—C11—C12—C13—C14), are not coplanar. The dihedral angle between the plane of the 4-bromo-2-fluorophenyl ring and the best plane of the piperidine ring is 33.9(2)°. The dihedral angle between the quinazolinyl moiety and the best plane of the piperidine ring is 32.7(2)°. In the crystal of the title compound, there are weak C—H⋯O, C—H⋯N and N—H⋯F intramolecular hydrogen bonds. There may be some π-π stacking interactions, as the centroid to centroid distance between the nearest rings is less than 5 Å.
Acknowledgement
We thank the Center of Testing and Analysis, Nanjing University.
References
Enraf-Nonius: CAD-4 Software. Enraf-Nonius, Delft, The Netherlands, (1985).Search in Google Scholar
Harms, K.; Wocadlo, S.: XCAD4. University of Marburg, Germany, (1995).Search in Google Scholar
Sheldrick, G. M.: A short history of SHELX. Acta Crystallogr. A64 (2008) 112–122.10.1107/S0108767307043930Search in Google Scholar PubMed
Spek, A. L.: Single-crystal structure validation with the program PLATON. J. Appl. Crystallogr. 36 (2003) 7–13.10.1107/S0021889802022112Search in Google Scholar
Gant, T. G.; Sarshar, S.; Shahbaz, M.: Substituted quinazoline inhibitors of growth factor receptor tyrosine kinases. Patent: WO 2010/028254 A2.Search in Google Scholar
Regalbuto, C.; Frasca, F.; Pellegriti, G.: Update on thyroid cancer treatment. Future Oncology 8 (2012) 1331–1348.10.2217/fon.12.123Search in Google Scholar PubMed
Allen, F. H.; Kennard, O.; Watson, D. G.; Brammer, L.; Orpen, A. G.; Taylor, R.: Tables of bond lengths determined by X-ray and neutron diffraction. Part 1. Bond lengths in organic compounds. J. Chem. Soc. Perkin Trans. 2 (1987) S1–S19.10.1039/p298700000s1Search in Google Scholar
©2017 Kai Wang et al., published by De Gruyter, Berlin/Boston
This work is licensed under the Creative Commons Attribution-NonCommercial-NoDerivatives 3.0 License.
Articles in the same Issue
- Cover and Frontmatter
- Crystal structure of 2-(2-ethoxyphenyl)-7-propyl-5-methylimidazo[5,1-f][1,2,4]triazin-4(3H)-one, C17H20N4O2
- Crystal structure of catena-poly[aqua-(μ3-1,3,5-benzenetricarboxylato-κ3O:O′:O′′)-[μ3hydroxy-(1,3-di-(μ2-1,2,4-triazole-4-yl)benzoato-κ2N:N′)copper(II)], C19H16Cu2N6O9
- Crystal structure of poly[aqua-(μ3-3,5-di(4H-1,2,4-triazolyl-4-κ3N,N′:N′′)benzenecarboxylato)silver(I)], C11H9AgN6O3
- Crystal structure of tetrapropylammonium hydrogen carbonate, C13H29NO3
- Crystal structure of poly[μ2-acetato-κ3-O,O′:O′)diaqua(μ3-isophthalato-κ4O,O′:O′′:O′′′)yttrium(III)] monohydrate, C20H24O17Y2
- Crystal structure of catena-poly[dichlorido-(μ2-4-(1H-pyrazol-3-yl)-pyridine-κ2N,N′)]cadmium(II), C48H42Cd3Cl16N18
- Crystal structure of bis(tetraethylammonium) [1,1′-biphenyl]-2,2′-dicarboxylate trihydrate, C30H54N2O7
- Crystal structure of poly[(thiophene-3,4-dicarboxylato-κ1O)bis[1,2-bis(4-pyridyl)ethane-κ2N:N′]silver(I)] octahydrate, C30H42Ag2N4O12S
- The crystal structure of amine-(4-(1H-1,2,4-triazol-1-yl)benzoato-κN)silver(I) dihydrate, C9H13AgN4O4
- Crystal structure of poly[tetrakis(μ2-cyanido-κ2N:O)-cyanido-tris(pyridine)dicobalt(II/III)], C20H15Co2N8
- Crystal structure of bis(pyridine)-bis(2-formyl-4,6-dichlorophenolato)cobalt(II), C24H16Cl4CoN2O4
- Crystal structure of (E)-1-(4-(((E)-5-bromo-2-hydroxybenzylidene)amino)phenyl)ethan-1-one O-methyl oxime, C16H15BrN2O2
- Crystal structure of catena-poly[(μ2-3-(1H-pyrazol-4-yl)-5-(pyridin-4-yl)-1,2,4-triazole-κ N:N′)-bis(benzoato-κO)zinc(II)], C24H18N6O4Zn
- Hydrothermal synthesis and crystal structure of a poly[aqua-(μ4-4-(carboxylatomethyl)benzoato-κ4O:O′:O′′:O′′′)-(μ2-1-(4-(1H-imidazol-1-yl)benzyl)-1H-1,2,4-triazole-κ2N:N′) dimanganese(II)], [Mn2(C9H6O4)2(C12H11N5)(H2O)]
- Crystal structure of diaqua-catena-poly[diaqua-bis(μ2-5-(4-(1H-1,2,4-triazol-1-yl)phenyl)tetrazol-2-ido-κ2N:N′)cobalt(II)] dihydrate, C20H24CoN14O4
- Crystal structure of bis(μ3-2,2′-azanediylbis(ethan-1-olato)-κ5O:O,N,O′:O′)-tetrachlorido-bis(μ2-2-((2-hydroxyethyl)amino)ethan-1-olato-κ3N,O:O)dicobalt(II)dicobalt(III), C16H38Cl4Co4N4O8
- Crystal structure of poly[μ4-(4-(carboxylatomethyl)benzoato-κ4O:O′:O′′:O′′′)-(2-(4-(1H-imidazol-1-yl)phenyl)-1H-benzo[d]imidazole-κN)manganese(II)] [Mn(C9H6O4)(C16H12N4)]
- Crystal structure of 4-chloro-6-phenylpyrimidine, C10H7ClN2
- The crystal structure of [6-methoxy-2-(2,2,2-trifluoroacetyl)-3,4-dihydronaphthalen-1(2H)-one]difluoroborane, C13H10BF5O3
- Crystal structure of 3,3′-(butane-1,4-diylbis(azanylylidene))bis(1-phenylbut-1-en-1-olato)-κ4N,N′,O,O′]copper(II), C24H26N2O2Cu
- Crystal structure of tetraaqua-bis((E)-N′-(2-bromobenzylidene)isonicotinohydrazide-κN)zinc(II) dinitrate, C26H28N8O12Br2Zn
- Crystal structure of 2-amino-4-(4-bromophenyl)-5-oxo-5,6,7,8-tetrahydro-4H-chromene-3-carbonitrile, C16H13BrN2O2
- A single crystal study on tert-butyl-4-((4-(4-bromo-2-fluorophenylamino)-6-methoxyquinazolin-7-yloxy)methyl)piperidine-1-carboxylate, C26H30BrFN4O4
- Crystal structure of 1,1′-((1E,1′E)-(((ethane-1,2-diylbis(oxy))bis(2,1-phenylene))bis(azanylylidene))bis(methanylylidene))bis(naphthalen-2-olato-κ3O,O′,N)zinc(II), C36H26N2O4Zn
- Crystal structure of diaqua-bis(5′-(pyridin-1-ium-4-yl)-1H-[3,3′-bi(1,2,4-triazol)]-2′-ide-κ2N,N′)cobalt(II) — bis(5-(pyridin-4-yl-κN)-1H,1′H-3,3′-bi(1,2,4-triazole))octamolybdate – water (2/1/8), C27H33CoMo4N21O19
- Crystal structure of 3-cyclohexyl-2-(cyclohexylimino)-2,3-dihydro-6,8-diiodo-4H-1,3-benzoxazin-4-one, C20H24I2N2O2
- Crystal structure of dinitrato-κO-bis(tris((1H-benzo[d]imidazol-2-yl)methyl)amine-κ4N,N′,N′′,N′′′)-(μ2-cyclohexane-1,4-dicarboxylato-κ4O,O′:O′′,O′′′)dimanganese(II) – methanol – water (1/6/2), C62H80Mn2N16O18
- Crystal structure of bis(2-hydroxyethyl(phenyl)carbamodithioate)nickel(II), C18H20N2NiO2S4
- Crystal structure of methyl 1-(4-fluorobenzyl)-4-methoxy-5-oxopyrrolidine-3-carboxylate, C14H16FNO4
- Crystal structure of di-μ-iodido-bis(6-(p-tolyl)-2,2′-bipyridine-κ2N,N′)dicopper(I) — 2-(diphenylphosphoryl)benzoic acid (1/2), C36H29CuIN2O3P
- Crystal structure of 2-amino-4-(3-bromo-4-fluoro-phenyl)-7,7-dimethyl-5-oxo-5,6,7,8-tetrahydro-4H-chromene-3-carbonitrile, C18H16BrFN2O2
- Crystal structure of bis(μ2-2-chlorobenzoato-κ3O,O′:O′)-(2-chlorobenzoato-κO)-(2-chlorobenzoato-κO,O′)-bis(1,10-phenanthroline-κ2N,N′)-dicadmium(II) monohydrate, C52H36Cd2Cl4N4O10
- Crystal structure of 2-(8a-methyl-5-oxo-hexahydroimidazo [1,2-a]pyridin-1(5H)-yl)-2-oxoethyl acetate, C12H18N2O4
- Crystal structure of (E)-N,N-diethyl-2-(5-nitrothiazol-2-yl)-1-phenylethen-1-amine, C15H17N3O2S
- Crystal structure of diazido-dimethanolato-bis(μ2-2-(((3-oxidopropyl)imino)methyl)phenolato-κ4O:O,O′,N)dimanganese(III), C22H28Mn2N8O6
- The crystal structure of bis(2-(2,2,2-trifluoroacetyl)-3,4-dihydronaphthalen-1-olato-κ2O,O′)copper(II), C24H16CuF6O4
- Crystal structure of hexaaquanickel(II) bis((E)-4-((4-(dimethylamino)phenyl)diazenyl)benzenesulfonate), C28H40N6NiO12S2
- Crystal structure of catena-poly[aqua-(μ2-hexamethylenetetramine-κ2N:N′)-bis(2,6-difluorobenzoato-κ2O:O′)cadmium(II)]monohydrate, C20H22CdF4N4O6
- Crystal structure of 3-benzyl-2,3-dihydro-2-thioxoquinazolin-4(1H)-one, C15H12N2OS
- Crystal structure of bis(μ2-ferrocenecarboxylato-κ2O:O′)-bis(1,10-phenanthroline-κ2N,N′)-(μ2-methanolato-κ2O,O)dicopper(II) tetrafluoroborate – acetonitrile (1/1), C49H40BCu2F4Fe2N5O5
- The crystal structure of tetrakis(1,3,5-triaza-7-phosphatricyclo[3.3.1.13,7]decane-κP)silver(I) chloride dihydrate, C24H60AgClN12O6P4
- Crystal structure of 5-ethyl-2-(p-tolyl)-1,3-dioxane-5-carboxylic acid, C14H18O4
- Crystal structure of 2-(4-fluorophenyl)-1,3-dimethyl-1H-perimidin-3-ium iodide, C19H16ClIN2
- Crystal structure of catena-poly[(μ2-hexamethylenetetramine-κ2N:N′)-tetrakis(μ2-2,6-difluorobenzoato-κ2O:O′)dicopper(II)], C34H24Cu2F8N4O8
- Crystal structure of ethyl 3-hydroxy-5-methyl-2-(4-(m-tolyl)-1H-1,2,3-triazol-1-yl)-[1,1′-biphenyl]-4- carboxylate, C25H24N3O3
- The crystal structure of carbonyl(2-oxopyridin-1(2H)-olato-κ2O,O′)-(diphenylcyclohexylphosphine-κP)rhodium(I), C24H25NO3PRh
- Crystal structure of bis((pyrazin-2-ylmethyl)(pyrazine-2-carbonyl)amido-κ3N,N′,N′′)copper(II), C20H16CuN10O2
- Crystal structure of catena-poly[tetraaqua-(μ2-succinonitrile-κ2N:N′)cobalt(II)] dinitrate, C4H12CoN4O10
- The crystal structure of 1,1′-bisisoquinoline, C18H12N2
- Crystal structure of bis(hydroxydi(pyridin-2-yl)methanolato-κ3N,N′,O)cobalt(III) perchlorate dihydrate, C22H22ClCoN4O10
Articles in the same Issue
- Cover and Frontmatter
- Crystal structure of 2-(2-ethoxyphenyl)-7-propyl-5-methylimidazo[5,1-f][1,2,4]triazin-4(3H)-one, C17H20N4O2
- Crystal structure of catena-poly[aqua-(μ3-1,3,5-benzenetricarboxylato-κ3O:O′:O′′)-[μ3hydroxy-(1,3-di-(μ2-1,2,4-triazole-4-yl)benzoato-κ2N:N′)copper(II)], C19H16Cu2N6O9
- Crystal structure of poly[aqua-(μ3-3,5-di(4H-1,2,4-triazolyl-4-κ3N,N′:N′′)benzenecarboxylato)silver(I)], C11H9AgN6O3
- Crystal structure of tetrapropylammonium hydrogen carbonate, C13H29NO3
- Crystal structure of poly[μ2-acetato-κ3-O,O′:O′)diaqua(μ3-isophthalato-κ4O,O′:O′′:O′′′)yttrium(III)] monohydrate, C20H24O17Y2
- Crystal structure of catena-poly[dichlorido-(μ2-4-(1H-pyrazol-3-yl)-pyridine-κ2N,N′)]cadmium(II), C48H42Cd3Cl16N18
- Crystal structure of bis(tetraethylammonium) [1,1′-biphenyl]-2,2′-dicarboxylate trihydrate, C30H54N2O7
- Crystal structure of poly[(thiophene-3,4-dicarboxylato-κ1O)bis[1,2-bis(4-pyridyl)ethane-κ2N:N′]silver(I)] octahydrate, C30H42Ag2N4O12S
- The crystal structure of amine-(4-(1H-1,2,4-triazol-1-yl)benzoato-κN)silver(I) dihydrate, C9H13AgN4O4
- Crystal structure of poly[tetrakis(μ2-cyanido-κ2N:O)-cyanido-tris(pyridine)dicobalt(II/III)], C20H15Co2N8
- Crystal structure of bis(pyridine)-bis(2-formyl-4,6-dichlorophenolato)cobalt(II), C24H16Cl4CoN2O4
- Crystal structure of (E)-1-(4-(((E)-5-bromo-2-hydroxybenzylidene)amino)phenyl)ethan-1-one O-methyl oxime, C16H15BrN2O2
- Crystal structure of catena-poly[(μ2-3-(1H-pyrazol-4-yl)-5-(pyridin-4-yl)-1,2,4-triazole-κ N:N′)-bis(benzoato-κO)zinc(II)], C24H18N6O4Zn
- Hydrothermal synthesis and crystal structure of a poly[aqua-(μ4-4-(carboxylatomethyl)benzoato-κ4O:O′:O′′:O′′′)-(μ2-1-(4-(1H-imidazol-1-yl)benzyl)-1H-1,2,4-triazole-κ2N:N′) dimanganese(II)], [Mn2(C9H6O4)2(C12H11N5)(H2O)]
- Crystal structure of diaqua-catena-poly[diaqua-bis(μ2-5-(4-(1H-1,2,4-triazol-1-yl)phenyl)tetrazol-2-ido-κ2N:N′)cobalt(II)] dihydrate, C20H24CoN14O4
- Crystal structure of bis(μ3-2,2′-azanediylbis(ethan-1-olato)-κ5O:O,N,O′:O′)-tetrachlorido-bis(μ2-2-((2-hydroxyethyl)amino)ethan-1-olato-κ3N,O:O)dicobalt(II)dicobalt(III), C16H38Cl4Co4N4O8
- Crystal structure of poly[μ4-(4-(carboxylatomethyl)benzoato-κ4O:O′:O′′:O′′′)-(2-(4-(1H-imidazol-1-yl)phenyl)-1H-benzo[d]imidazole-κN)manganese(II)] [Mn(C9H6O4)(C16H12N4)]
- Crystal structure of 4-chloro-6-phenylpyrimidine, C10H7ClN2
- The crystal structure of [6-methoxy-2-(2,2,2-trifluoroacetyl)-3,4-dihydronaphthalen-1(2H)-one]difluoroborane, C13H10BF5O3
- Crystal structure of 3,3′-(butane-1,4-diylbis(azanylylidene))bis(1-phenylbut-1-en-1-olato)-κ4N,N′,O,O′]copper(II), C24H26N2O2Cu
- Crystal structure of tetraaqua-bis((E)-N′-(2-bromobenzylidene)isonicotinohydrazide-κN)zinc(II) dinitrate, C26H28N8O12Br2Zn
- Crystal structure of 2-amino-4-(4-bromophenyl)-5-oxo-5,6,7,8-tetrahydro-4H-chromene-3-carbonitrile, C16H13BrN2O2
- A single crystal study on tert-butyl-4-((4-(4-bromo-2-fluorophenylamino)-6-methoxyquinazolin-7-yloxy)methyl)piperidine-1-carboxylate, C26H30BrFN4O4
- Crystal structure of 1,1′-((1E,1′E)-(((ethane-1,2-diylbis(oxy))bis(2,1-phenylene))bis(azanylylidene))bis(methanylylidene))bis(naphthalen-2-olato-κ3O,O′,N)zinc(II), C36H26N2O4Zn
- Crystal structure of diaqua-bis(5′-(pyridin-1-ium-4-yl)-1H-[3,3′-bi(1,2,4-triazol)]-2′-ide-κ2N,N′)cobalt(II) — bis(5-(pyridin-4-yl-κN)-1H,1′H-3,3′-bi(1,2,4-triazole))octamolybdate – water (2/1/8), C27H33CoMo4N21O19
- Crystal structure of 3-cyclohexyl-2-(cyclohexylimino)-2,3-dihydro-6,8-diiodo-4H-1,3-benzoxazin-4-one, C20H24I2N2O2
- Crystal structure of dinitrato-κO-bis(tris((1H-benzo[d]imidazol-2-yl)methyl)amine-κ4N,N′,N′′,N′′′)-(μ2-cyclohexane-1,4-dicarboxylato-κ4O,O′:O′′,O′′′)dimanganese(II) – methanol – water (1/6/2), C62H80Mn2N16O18
- Crystal structure of bis(2-hydroxyethyl(phenyl)carbamodithioate)nickel(II), C18H20N2NiO2S4
- Crystal structure of methyl 1-(4-fluorobenzyl)-4-methoxy-5-oxopyrrolidine-3-carboxylate, C14H16FNO4
- Crystal structure of di-μ-iodido-bis(6-(p-tolyl)-2,2′-bipyridine-κ2N,N′)dicopper(I) — 2-(diphenylphosphoryl)benzoic acid (1/2), C36H29CuIN2O3P
- Crystal structure of 2-amino-4-(3-bromo-4-fluoro-phenyl)-7,7-dimethyl-5-oxo-5,6,7,8-tetrahydro-4H-chromene-3-carbonitrile, C18H16BrFN2O2
- Crystal structure of bis(μ2-2-chlorobenzoato-κ3O,O′:O′)-(2-chlorobenzoato-κO)-(2-chlorobenzoato-κO,O′)-bis(1,10-phenanthroline-κ2N,N′)-dicadmium(II) monohydrate, C52H36Cd2Cl4N4O10
- Crystal structure of 2-(8a-methyl-5-oxo-hexahydroimidazo [1,2-a]pyridin-1(5H)-yl)-2-oxoethyl acetate, C12H18N2O4
- Crystal structure of (E)-N,N-diethyl-2-(5-nitrothiazol-2-yl)-1-phenylethen-1-amine, C15H17N3O2S
- Crystal structure of diazido-dimethanolato-bis(μ2-2-(((3-oxidopropyl)imino)methyl)phenolato-κ4O:O,O′,N)dimanganese(III), C22H28Mn2N8O6
- The crystal structure of bis(2-(2,2,2-trifluoroacetyl)-3,4-dihydronaphthalen-1-olato-κ2O,O′)copper(II), C24H16CuF6O4
- Crystal structure of hexaaquanickel(II) bis((E)-4-((4-(dimethylamino)phenyl)diazenyl)benzenesulfonate), C28H40N6NiO12S2
- Crystal structure of catena-poly[aqua-(μ2-hexamethylenetetramine-κ2N:N′)-bis(2,6-difluorobenzoato-κ2O:O′)cadmium(II)]monohydrate, C20H22CdF4N4O6
- Crystal structure of 3-benzyl-2,3-dihydro-2-thioxoquinazolin-4(1H)-one, C15H12N2OS
- Crystal structure of bis(μ2-ferrocenecarboxylato-κ2O:O′)-bis(1,10-phenanthroline-κ2N,N′)-(μ2-methanolato-κ2O,O)dicopper(II) tetrafluoroborate – acetonitrile (1/1), C49H40BCu2F4Fe2N5O5
- The crystal structure of tetrakis(1,3,5-triaza-7-phosphatricyclo[3.3.1.13,7]decane-κP)silver(I) chloride dihydrate, C24H60AgClN12O6P4
- Crystal structure of 5-ethyl-2-(p-tolyl)-1,3-dioxane-5-carboxylic acid, C14H18O4
- Crystal structure of 2-(4-fluorophenyl)-1,3-dimethyl-1H-perimidin-3-ium iodide, C19H16ClIN2
- Crystal structure of catena-poly[(μ2-hexamethylenetetramine-κ2N:N′)-tetrakis(μ2-2,6-difluorobenzoato-κ2O:O′)dicopper(II)], C34H24Cu2F8N4O8
- Crystal structure of ethyl 3-hydroxy-5-methyl-2-(4-(m-tolyl)-1H-1,2,3-triazol-1-yl)-[1,1′-biphenyl]-4- carboxylate, C25H24N3O3
- The crystal structure of carbonyl(2-oxopyridin-1(2H)-olato-κ2O,O′)-(diphenylcyclohexylphosphine-κP)rhodium(I), C24H25NO3PRh
- Crystal structure of bis((pyrazin-2-ylmethyl)(pyrazine-2-carbonyl)amido-κ3N,N′,N′′)copper(II), C20H16CuN10O2
- Crystal structure of catena-poly[tetraaqua-(μ2-succinonitrile-κ2N:N′)cobalt(II)] dinitrate, C4H12CoN4O10
- The crystal structure of 1,1′-bisisoquinoline, C18H12N2
- Crystal structure of bis(hydroxydi(pyridin-2-yl)methanolato-κ3N,N′,O)cobalt(III) perchlorate dihydrate, C22H22ClCoN4O10