Abstract
C20H24I2N2O2, monoclinic, P21/c (no. 14), a = 17.5052(10) Å, b = 12.7846(7) Å, c = 9.4663(5) Å, β = 94.899(1)°, V = 2110.8(2) Å3, Z = 4, Rgt(F) = 0.0321, wRref(F2) = 0.0996, T = 291 K.

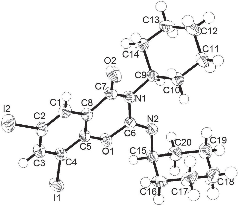
There is one molecule in the asymmetric unit of the title crystal structure, which is shown in the figure. Tables 1 and 2 contain details on crystal structure and measurement conditions and a list of the atoms including atomic coordinates and displacement parameters.
Data collection and handling.
| Crystal: | Colourless block |
| Size: | 0.30 × 0.28 × 0.26 mm |
| Wavelength: | Mo Kα radiation (0.71073 Å) |
| μ: | 30.0 cm−1 |
| Diffractometer, scan mode: | Bruker APEXII, φ and ω-scans |
| 2θmax, completeness: | 55°, >98% |
| N(hkl)measured, N(hkl)unique, Rint: | 18798, 4763, 0.025 |
| Criterion for Iobs, N(hkl)gt: | Iobs > 2 σ(Iobs), 4119 |
| N(param)refined: | 235 |
| Programs: | Bruker [1], SHELX [2], DIAMOND [3] |
Fractional atomic coordinates and isotropic or equivalent isotropic displacement parameters (Å2).
| Atom | x | y | z | Uiso*/Ueq |
|---|---|---|---|---|
| I1 | 0.607746(15) | 0.08603(2) | 0.04186(3) | 0.04630(10) |
| I2 | 0.361425(15) | 0.18745(3) | 0.42753(4) | 0.05878(12) |
| O1 | 0.69760(14) | 0.0655(2) | 0.3435(3) | 0.0361(5) |
| O2 | 0.64463(17) | 0.1270(3) | 0.7404(3) | 0.0567(8) |
| N1 | 0.73514(16) | 0.0976(2) | 0.5860(3) | 0.0327(6) |
| N2 | 0.81591(16) | 0.0131(2) | 0.4407(3) | 0.0327(6) |
| C1 | 0.5264(2) | 0.1365(3) | 0.5172(4) | 0.0376(7) |
| H1A | 0.5111 | 0.1480 | 0.6076 | 0.045* |
| C2 | 0.47484(19) | 0.1443(3) | 0.4000(4) | 0.0380(8) |
| C3 | 0.4963(2) | 0.1273(3) | 0.2643(4) | 0.0383(7) |
| H3A | 0.4604 | 0.1332 | 0.1865 | 0.046* |
| C4 | 0.5717(2) | 0.1016(3) | 0.2451(4) | 0.0350(7) |
| C5 | 0.62399(19) | 0.0930(3) | 0.3637(4) | 0.0312(7) |
| C6 | 0.75238(18) | 0.0558(2) | 0.4556(3) | 0.0292(6) |
| C7 | 0.6610(2) | 0.1117(3) | 0.6199(4) | 0.0371(7) |
| C8 | 0.60234(19) | 0.1110(3) | 0.4978(4) | 0.0336(7) |
| C9 | 0.8012(2) | 0.1053(3) | 0.6961(4) | 0.0340(7) |
| H9A | 0.8476 | 0.1047 | 0.6449 | 0.041* |
| C10 | 0.8073(2) | 0.0119(3) | 0.7934(4) | 0.0411(8) |
| H10A | 0.8067 | −0.0519 | 0.7379 | 0.049* |
| H10B | 0.7639 | 0.0105 | 0.8505 | 0.049* |
| C11 | 0.8819(3) | 0.0188(3) | 0.8896(5) | 0.0533(10) |
| H11A | 0.8839 | −0.0383 | 0.9573 | 0.064* |
| H11B | 0.9251 | 0.0116 | 0.8327 | 0.064* |
| C12 | 0.8879(3) | 0.1215(4) | 0.9682(5) | 0.0582(12) |
| H12A | 0.9375 | 0.1255 | 1.0223 | 0.070* |
| H12B | 0.8487 | 0.1243 | 1.0346 | 0.070* |
| C13 | 0.8788(3) | 0.2146(3) | 0.8697(5) | 0.0495(10) |
| H13A | 0.9208 | 0.2161 | 0.8093 | 0.059* |
| H13B | 0.8806 | 0.2785 | 0.9250 | 0.059* |
| C14 | 0.8028(3) | 0.2088(3) | 0.7779(5) | 0.0461(9) |
| H14A | 0.7984 | 0.2672 | 0.7123 | 0.055* |
| H14B | 0.7602 | 0.2118 | 0.8371 | 0.055* |
| C15 | 0.83213(19) | −0.0297(3) | 0.3025(4) | 0.0356(7) |
| H15A | 0.8120 | 0.0174 | 0.2266 | 0.043* |
| C16 | 0.7953(2) | −0.1374(3) | 0.2820(5) | 0.0477(10) |
| H16A | 0.7405 | −0.1312 | 0.2884 | 0.057* |
| H16B | 0.8033 | −0.1631 | 0.1880 | 0.057* |
| C17 | 0.8279(3) | −0.2153(3) | 0.3914(6) | 0.0597(12) |
| H17A | 0.8047 | −0.2833 | 0.3722 | 0.072* |
| H17B | 0.8158 | −0.1933 | 0.4849 | 0.072* |
| C18 | 0.9145(3) | −0.2237(4) | 0.3881(7) | 0.0674(14) |
| H18A | 0.9348 | −0.2710 | 0.4621 | 0.081* |
| H18B | 0.9264 | −0.2523 | 0.2976 | 0.081* |
| C19 | 0.9520(2) | −0.1175(4) | 0.4096(5) | 0.0518(10) |
| H19A | 0.9445 | −0.0922 | 0.5041 | 0.062* |
| H19B | 1.0067 | −0.1241 | 0.4022 | 0.062* |
| C20 | 0.9188(2) | −0.0392(3) | 0.3011(4) | 0.0425(8) |
| H20A | 0.9312 | −0.0607 | 0.2074 | 0.051* |
| H20B | 0.9421 | 0.0287 | 0.3208 | 0.051* |
Source of material
The title compound was obtained according to the literature-known method for the preparation of 3-cyclohexyl-2-cyclohexylimino-3,4-dihydro-4-oxo-2H-1,3-benzoxazine [4], [5], [6]. To obtain the title compound a mixture of 3,5-diiodo-2-hydroxybenzoic acid (3.90 g, 10 mmol) and N,N′-dicyclohexylcarbodiimide (2.06 g, 10 mmol) dissolved in dry THF (40 mL) was stirred at room temperature for 0.5 h, then it was refluxed for 2 h. Colorless powder precipitates during the cooling to room temperature. After filtration, the filtrate was evaporated to dryness giving a residue that crystallized from methanol. Yield 1.42 g (24.5%). Crystals were obtained by slow evaporation of mixed solution of dichloromethane and ethanol (volume 1:1) at room temperature.
Experimental details
Hydrogen atoms were placed geometrically and refined using a riding model with d(C–H) = 0.93–0.97 Å, Uiso(H) = 1.2 Ueq(C) for CH groups.
Discussion
The benzo[e]-1,3-oxazin-4-ones and their derivatives are reported to have pharmaceutically interesting properties, such as allosteric mitogen-activated kinase (MEK) inhibition [7], osteoclast differentiation and bone resorption inhibition [8], antimycobacterial activity [9] and antimycobacterial properties [10].
Bond lengths and angles are generally in the normal ranges. The C6, N2 and C15 atoms form a bond angle of 120.1°. The surprizing magnitude of this angle may have sterical reasons. Both cyclohexyl rings exhibit a slightly distorted chair conformation.
Acknowledgement
This work was supported by School Foundation of Taizhou University (grant no. 2015PY016) and Zhejiang Open Foundation of the Key Subjects of Applied Chemistry.
References
Bruker. APEX2, SAINT and SADABS. Brucker AXS Inc., Madison, Wisconsin, USA, 2009.Search in Google Scholar
Sheldrick, G. M.: A short history of SHELX. Acta Crystallogr. A64 (2008) 112–122.10.1107/S0108767307043930Search in Google Scholar
Brandenburg, K.: DIAMOND. Visual Crystal Structure Information System. Version 3.2i. Crystal Impact, Bonn, Germany 2012.Search in Google Scholar
Steyn, P. S.; Holzapfel, C. W.: The synthesis of ochratoxins A and B metabolites of aspergillus ochraceus wilh. Tetrahedron 23 (1967) 4449–4461.10.1016/S0040-4020(01)88843-8Search in Google Scholar
Ried, W.; Oremek, G.; Pauli, R.: Synthesis of potentially biologically active 1,3-oxazinones. Arch. Pharm. 315 (1982) 324–330.10.1002/ardp.19823150408Search in Google Scholar
May, E. L.: 3,4-Dihydro-1,3-oxazines from dicyclohexylcarbodiimide. J. Med. Chem. 10 (1967) 505–506.10.1021/jm00315a055Search in Google Scholar PubMed
Sun, J.; Niu, Y.; Wang, C.; Zhang, H.; Xie, B.-Y.; Xu, F.-R.; Jin, H.-W.; Peng, Y.-H.; Liang, L.; Xu, P.: Discovery of 3-benzyl-1,3-benzoxazine-2,4-dione analogues as allosteric mitogen-activated kinase (MEK) inhibitors and anti-enterovirus 71(EV71) agents. Bioorgan. Med. Chem. 24 (2016) 3472–3482.10.1016/j.bmc.2016.05.055Search in Google Scholar PubMed
Chen, C.-L.; Liu, F.-L.; Lee, C.-C.; Chen, T.-C.; Ahmed Ali, A. A.; Sytwu, H.-K.; Chang, D.-M.; Huang, H.-S.: Modified salicylanilide and 3-phenyl-2H-benzo[e][1, 3]oxazine-2,4(3H)-dione derivatives as novel inhibitors of osteoclast differentiation and bone resorption. J. Med. Chem. 57 (2014) 8072–8085.10.1021/jm5007897Search in Google Scholar PubMed
Waisser, K.; Matyk, J.; Kunes, J.; Skala, P.; Kaustova, J.: Antimycobacterial activity of 3-pyridin-2-yl-2H-1,3-benzoxazine-2,4(3H)-diones. Folia Pharm. Univ. Carol. 38 (2010) 31–34.10.1002/chin.200324133Search in Google Scholar
Petrlikova, E.; Waisser, K.; Divisova, H.; Husakova, P.; Vrabcova, P.; Kunes, J.; Kolar, K.; Stolarikova, J.: Highly active antimycobacterial derivatives of benzoxazine. Bioorgan. Med. Chem. 18 (2010) 8178–8187.10.1016/j.bmc.2010.10.017Search in Google Scholar PubMed
©2017 Zhi Hong et al., published by De Gruyter, Berlin/Boston
This work is licensed under the Creative Commons Attribution-NonCommercial-NoDerivatives 3.0 License.
Articles in the same Issue
- Cover and Frontmatter
- Crystal structure of 2-(2-ethoxyphenyl)-7-propyl-5-methylimidazo[5,1-f][1,2,4]triazin-4(3H)-one, C17H20N4O2
- Crystal structure of catena-poly[aqua-(μ3-1,3,5-benzenetricarboxylato-κ3O:O′:O′′)-[μ3hydroxy-(1,3-di-(μ2-1,2,4-triazole-4-yl)benzoato-κ2N:N′)copper(II)], C19H16Cu2N6O9
- Crystal structure of poly[aqua-(μ3-3,5-di(4H-1,2,4-triazolyl-4-κ3N,N′:N′′)benzenecarboxylato)silver(I)], C11H9AgN6O3
- Crystal structure of tetrapropylammonium hydrogen carbonate, C13H29NO3
- Crystal structure of poly[μ2-acetato-κ3-O,O′:O′)diaqua(μ3-isophthalato-κ4O,O′:O′′:O′′′)yttrium(III)] monohydrate, C20H24O17Y2
- Crystal structure of catena-poly[dichlorido-(μ2-4-(1H-pyrazol-3-yl)-pyridine-κ2N,N′)]cadmium(II), C48H42Cd3Cl16N18
- Crystal structure of bis(tetraethylammonium) [1,1′-biphenyl]-2,2′-dicarboxylate trihydrate, C30H54N2O7
- Crystal structure of poly[(thiophene-3,4-dicarboxylato-κ1O)bis[1,2-bis(4-pyridyl)ethane-κ2N:N′]silver(I)] octahydrate, C30H42Ag2N4O12S
- The crystal structure of amine-(4-(1H-1,2,4-triazol-1-yl)benzoato-κN)silver(I) dihydrate, C9H13AgN4O4
- Crystal structure of poly[tetrakis(μ2-cyanido-κ2N:O)-cyanido-tris(pyridine)dicobalt(II/III)], C20H15Co2N8
- Crystal structure of bis(pyridine)-bis(2-formyl-4,6-dichlorophenolato)cobalt(II), C24H16Cl4CoN2O4
- Crystal structure of (E)-1-(4-(((E)-5-bromo-2-hydroxybenzylidene)amino)phenyl)ethan-1-one O-methyl oxime, C16H15BrN2O2
- Crystal structure of catena-poly[(μ2-3-(1H-pyrazol-4-yl)-5-(pyridin-4-yl)-1,2,4-triazole-κ N:N′)-bis(benzoato-κO)zinc(II)], C24H18N6O4Zn
- Hydrothermal synthesis and crystal structure of a poly[aqua-(μ4-4-(carboxylatomethyl)benzoato-κ4O:O′:O′′:O′′′)-(μ2-1-(4-(1H-imidazol-1-yl)benzyl)-1H-1,2,4-triazole-κ2N:N′) dimanganese(II)], [Mn2(C9H6O4)2(C12H11N5)(H2O)]
- Crystal structure of diaqua-catena-poly[diaqua-bis(μ2-5-(4-(1H-1,2,4-triazol-1-yl)phenyl)tetrazol-2-ido-κ2N:N′)cobalt(II)] dihydrate, C20H24CoN14O4
- Crystal structure of bis(μ3-2,2′-azanediylbis(ethan-1-olato)-κ5O:O,N,O′:O′)-tetrachlorido-bis(μ2-2-((2-hydroxyethyl)amino)ethan-1-olato-κ3N,O:O)dicobalt(II)dicobalt(III), C16H38Cl4Co4N4O8
- Crystal structure of poly[μ4-(4-(carboxylatomethyl)benzoato-κ4O:O′:O′′:O′′′)-(2-(4-(1H-imidazol-1-yl)phenyl)-1H-benzo[d]imidazole-κN)manganese(II)] [Mn(C9H6O4)(C16H12N4)]
- Crystal structure of 4-chloro-6-phenylpyrimidine, C10H7ClN2
- The crystal structure of [6-methoxy-2-(2,2,2-trifluoroacetyl)-3,4-dihydronaphthalen-1(2H)-one]difluoroborane, C13H10BF5O3
- Crystal structure of 3,3′-(butane-1,4-diylbis(azanylylidene))bis(1-phenylbut-1-en-1-olato)-κ4N,N′,O,O′]copper(II), C24H26N2O2Cu
- Crystal structure of tetraaqua-bis((E)-N′-(2-bromobenzylidene)isonicotinohydrazide-κN)zinc(II) dinitrate, C26H28N8O12Br2Zn
- Crystal structure of 2-amino-4-(4-bromophenyl)-5-oxo-5,6,7,8-tetrahydro-4H-chromene-3-carbonitrile, C16H13BrN2O2
- A single crystal study on tert-butyl-4-((4-(4-bromo-2-fluorophenylamino)-6-methoxyquinazolin-7-yloxy)methyl)piperidine-1-carboxylate, C26H30BrFN4O4
- Crystal structure of 1,1′-((1E,1′E)-(((ethane-1,2-diylbis(oxy))bis(2,1-phenylene))bis(azanylylidene))bis(methanylylidene))bis(naphthalen-2-olato-κ3O,O′,N)zinc(II), C36H26N2O4Zn
- Crystal structure of diaqua-bis(5′-(pyridin-1-ium-4-yl)-1H-[3,3′-bi(1,2,4-triazol)]-2′-ide-κ2N,N′)cobalt(II) — bis(5-(pyridin-4-yl-κN)-1H,1′H-3,3′-bi(1,2,4-triazole))octamolybdate – water (2/1/8), C27H33CoMo4N21O19
- Crystal structure of 3-cyclohexyl-2-(cyclohexylimino)-2,3-dihydro-6,8-diiodo-4H-1,3-benzoxazin-4-one, C20H24I2N2O2
- Crystal structure of dinitrato-κO-bis(tris((1H-benzo[d]imidazol-2-yl)methyl)amine-κ4N,N′,N′′,N′′′)-(μ2-cyclohexane-1,4-dicarboxylato-κ4O,O′:O′′,O′′′)dimanganese(II) – methanol – water (1/6/2), C62H80Mn2N16O18
- Crystal structure of bis(2-hydroxyethyl(phenyl)carbamodithioate)nickel(II), C18H20N2NiO2S4
- Crystal structure of methyl 1-(4-fluorobenzyl)-4-methoxy-5-oxopyrrolidine-3-carboxylate, C14H16FNO4
- Crystal structure of di-μ-iodido-bis(6-(p-tolyl)-2,2′-bipyridine-κ2N,N′)dicopper(I) — 2-(diphenylphosphoryl)benzoic acid (1/2), C36H29CuIN2O3P
- Crystal structure of 2-amino-4-(3-bromo-4-fluoro-phenyl)-7,7-dimethyl-5-oxo-5,6,7,8-tetrahydro-4H-chromene-3-carbonitrile, C18H16BrFN2O2
- Crystal structure of bis(μ2-2-chlorobenzoato-κ3O,O′:O′)-(2-chlorobenzoato-κO)-(2-chlorobenzoato-κO,O′)-bis(1,10-phenanthroline-κ2N,N′)-dicadmium(II) monohydrate, C52H36Cd2Cl4N4O10
- Crystal structure of 2-(8a-methyl-5-oxo-hexahydroimidazo [1,2-a]pyridin-1(5H)-yl)-2-oxoethyl acetate, C12H18N2O4
- Crystal structure of (E)-N,N-diethyl-2-(5-nitrothiazol-2-yl)-1-phenylethen-1-amine, C15H17N3O2S
- Crystal structure of diazido-dimethanolato-bis(μ2-2-(((3-oxidopropyl)imino)methyl)phenolato-κ4O:O,O′,N)dimanganese(III), C22H28Mn2N8O6
- The crystal structure of bis(2-(2,2,2-trifluoroacetyl)-3,4-dihydronaphthalen-1-olato-κ2O,O′)copper(II), C24H16CuF6O4
- Crystal structure of hexaaquanickel(II) bis((E)-4-((4-(dimethylamino)phenyl)diazenyl)benzenesulfonate), C28H40N6NiO12S2
- Crystal structure of catena-poly[aqua-(μ2-hexamethylenetetramine-κ2N:N′)-bis(2,6-difluorobenzoato-κ2O:O′)cadmium(II)]monohydrate, C20H22CdF4N4O6
- Crystal structure of 3-benzyl-2,3-dihydro-2-thioxoquinazolin-4(1H)-one, C15H12N2OS
- Crystal structure of bis(μ2-ferrocenecarboxylato-κ2O:O′)-bis(1,10-phenanthroline-κ2N,N′)-(μ2-methanolato-κ2O,O)dicopper(II) tetrafluoroborate – acetonitrile (1/1), C49H40BCu2F4Fe2N5O5
- The crystal structure of tetrakis(1,3,5-triaza-7-phosphatricyclo[3.3.1.13,7]decane-κP)silver(I) chloride dihydrate, C24H60AgClN12O6P4
- Crystal structure of 5-ethyl-2-(p-tolyl)-1,3-dioxane-5-carboxylic acid, C14H18O4
- Crystal structure of 2-(4-fluorophenyl)-1,3-dimethyl-1H-perimidin-3-ium iodide, C19H16ClIN2
- Crystal structure of catena-poly[(μ2-hexamethylenetetramine-κ2N:N′)-tetrakis(μ2-2,6-difluorobenzoato-κ2O:O′)dicopper(II)], C34H24Cu2F8N4O8
- Crystal structure of ethyl 3-hydroxy-5-methyl-2-(4-(m-tolyl)-1H-1,2,3-triazol-1-yl)-[1,1′-biphenyl]-4- carboxylate, C25H24N3O3
- The crystal structure of carbonyl(2-oxopyridin-1(2H)-olato-κ2O,O′)-(diphenylcyclohexylphosphine-κP)rhodium(I), C24H25NO3PRh
- Crystal structure of bis((pyrazin-2-ylmethyl)(pyrazine-2-carbonyl)amido-κ3N,N′,N′′)copper(II), C20H16CuN10O2
- Crystal structure of catena-poly[tetraaqua-(μ2-succinonitrile-κ2N:N′)cobalt(II)] dinitrate, C4H12CoN4O10
- The crystal structure of 1,1′-bisisoquinoline, C18H12N2
- Crystal structure of bis(hydroxydi(pyridin-2-yl)methanolato-κ3N,N′,O)cobalt(III) perchlorate dihydrate, C22H22ClCoN4O10
Articles in the same Issue
- Cover and Frontmatter
- Crystal structure of 2-(2-ethoxyphenyl)-7-propyl-5-methylimidazo[5,1-f][1,2,4]triazin-4(3H)-one, C17H20N4O2
- Crystal structure of catena-poly[aqua-(μ3-1,3,5-benzenetricarboxylato-κ3O:O′:O′′)-[μ3hydroxy-(1,3-di-(μ2-1,2,4-triazole-4-yl)benzoato-κ2N:N′)copper(II)], C19H16Cu2N6O9
- Crystal structure of poly[aqua-(μ3-3,5-di(4H-1,2,4-triazolyl-4-κ3N,N′:N′′)benzenecarboxylato)silver(I)], C11H9AgN6O3
- Crystal structure of tetrapropylammonium hydrogen carbonate, C13H29NO3
- Crystal structure of poly[μ2-acetato-κ3-O,O′:O′)diaqua(μ3-isophthalato-κ4O,O′:O′′:O′′′)yttrium(III)] monohydrate, C20H24O17Y2
- Crystal structure of catena-poly[dichlorido-(μ2-4-(1H-pyrazol-3-yl)-pyridine-κ2N,N′)]cadmium(II), C48H42Cd3Cl16N18
- Crystal structure of bis(tetraethylammonium) [1,1′-biphenyl]-2,2′-dicarboxylate trihydrate, C30H54N2O7
- Crystal structure of poly[(thiophene-3,4-dicarboxylato-κ1O)bis[1,2-bis(4-pyridyl)ethane-κ2N:N′]silver(I)] octahydrate, C30H42Ag2N4O12S
- The crystal structure of amine-(4-(1H-1,2,4-triazol-1-yl)benzoato-κN)silver(I) dihydrate, C9H13AgN4O4
- Crystal structure of poly[tetrakis(μ2-cyanido-κ2N:O)-cyanido-tris(pyridine)dicobalt(II/III)], C20H15Co2N8
- Crystal structure of bis(pyridine)-bis(2-formyl-4,6-dichlorophenolato)cobalt(II), C24H16Cl4CoN2O4
- Crystal structure of (E)-1-(4-(((E)-5-bromo-2-hydroxybenzylidene)amino)phenyl)ethan-1-one O-methyl oxime, C16H15BrN2O2
- Crystal structure of catena-poly[(μ2-3-(1H-pyrazol-4-yl)-5-(pyridin-4-yl)-1,2,4-triazole-κ N:N′)-bis(benzoato-κO)zinc(II)], C24H18N6O4Zn
- Hydrothermal synthesis and crystal structure of a poly[aqua-(μ4-4-(carboxylatomethyl)benzoato-κ4O:O′:O′′:O′′′)-(μ2-1-(4-(1H-imidazol-1-yl)benzyl)-1H-1,2,4-triazole-κ2N:N′) dimanganese(II)], [Mn2(C9H6O4)2(C12H11N5)(H2O)]
- Crystal structure of diaqua-catena-poly[diaqua-bis(μ2-5-(4-(1H-1,2,4-triazol-1-yl)phenyl)tetrazol-2-ido-κ2N:N′)cobalt(II)] dihydrate, C20H24CoN14O4
- Crystal structure of bis(μ3-2,2′-azanediylbis(ethan-1-olato)-κ5O:O,N,O′:O′)-tetrachlorido-bis(μ2-2-((2-hydroxyethyl)amino)ethan-1-olato-κ3N,O:O)dicobalt(II)dicobalt(III), C16H38Cl4Co4N4O8
- Crystal structure of poly[μ4-(4-(carboxylatomethyl)benzoato-κ4O:O′:O′′:O′′′)-(2-(4-(1H-imidazol-1-yl)phenyl)-1H-benzo[d]imidazole-κN)manganese(II)] [Mn(C9H6O4)(C16H12N4)]
- Crystal structure of 4-chloro-6-phenylpyrimidine, C10H7ClN2
- The crystal structure of [6-methoxy-2-(2,2,2-trifluoroacetyl)-3,4-dihydronaphthalen-1(2H)-one]difluoroborane, C13H10BF5O3
- Crystal structure of 3,3′-(butane-1,4-diylbis(azanylylidene))bis(1-phenylbut-1-en-1-olato)-κ4N,N′,O,O′]copper(II), C24H26N2O2Cu
- Crystal structure of tetraaqua-bis((E)-N′-(2-bromobenzylidene)isonicotinohydrazide-κN)zinc(II) dinitrate, C26H28N8O12Br2Zn
- Crystal structure of 2-amino-4-(4-bromophenyl)-5-oxo-5,6,7,8-tetrahydro-4H-chromene-3-carbonitrile, C16H13BrN2O2
- A single crystal study on tert-butyl-4-((4-(4-bromo-2-fluorophenylamino)-6-methoxyquinazolin-7-yloxy)methyl)piperidine-1-carboxylate, C26H30BrFN4O4
- Crystal structure of 1,1′-((1E,1′E)-(((ethane-1,2-diylbis(oxy))bis(2,1-phenylene))bis(azanylylidene))bis(methanylylidene))bis(naphthalen-2-olato-κ3O,O′,N)zinc(II), C36H26N2O4Zn
- Crystal structure of diaqua-bis(5′-(pyridin-1-ium-4-yl)-1H-[3,3′-bi(1,2,4-triazol)]-2′-ide-κ2N,N′)cobalt(II) — bis(5-(pyridin-4-yl-κN)-1H,1′H-3,3′-bi(1,2,4-triazole))octamolybdate – water (2/1/8), C27H33CoMo4N21O19
- Crystal structure of 3-cyclohexyl-2-(cyclohexylimino)-2,3-dihydro-6,8-diiodo-4H-1,3-benzoxazin-4-one, C20H24I2N2O2
- Crystal structure of dinitrato-κO-bis(tris((1H-benzo[d]imidazol-2-yl)methyl)amine-κ4N,N′,N′′,N′′′)-(μ2-cyclohexane-1,4-dicarboxylato-κ4O,O′:O′′,O′′′)dimanganese(II) – methanol – water (1/6/2), C62H80Mn2N16O18
- Crystal structure of bis(2-hydroxyethyl(phenyl)carbamodithioate)nickel(II), C18H20N2NiO2S4
- Crystal structure of methyl 1-(4-fluorobenzyl)-4-methoxy-5-oxopyrrolidine-3-carboxylate, C14H16FNO4
- Crystal structure of di-μ-iodido-bis(6-(p-tolyl)-2,2′-bipyridine-κ2N,N′)dicopper(I) — 2-(diphenylphosphoryl)benzoic acid (1/2), C36H29CuIN2O3P
- Crystal structure of 2-amino-4-(3-bromo-4-fluoro-phenyl)-7,7-dimethyl-5-oxo-5,6,7,8-tetrahydro-4H-chromene-3-carbonitrile, C18H16BrFN2O2
- Crystal structure of bis(μ2-2-chlorobenzoato-κ3O,O′:O′)-(2-chlorobenzoato-κO)-(2-chlorobenzoato-κO,O′)-bis(1,10-phenanthroline-κ2N,N′)-dicadmium(II) monohydrate, C52H36Cd2Cl4N4O10
- Crystal structure of 2-(8a-methyl-5-oxo-hexahydroimidazo [1,2-a]pyridin-1(5H)-yl)-2-oxoethyl acetate, C12H18N2O4
- Crystal structure of (E)-N,N-diethyl-2-(5-nitrothiazol-2-yl)-1-phenylethen-1-amine, C15H17N3O2S
- Crystal structure of diazido-dimethanolato-bis(μ2-2-(((3-oxidopropyl)imino)methyl)phenolato-κ4O:O,O′,N)dimanganese(III), C22H28Mn2N8O6
- The crystal structure of bis(2-(2,2,2-trifluoroacetyl)-3,4-dihydronaphthalen-1-olato-κ2O,O′)copper(II), C24H16CuF6O4
- Crystal structure of hexaaquanickel(II) bis((E)-4-((4-(dimethylamino)phenyl)diazenyl)benzenesulfonate), C28H40N6NiO12S2
- Crystal structure of catena-poly[aqua-(μ2-hexamethylenetetramine-κ2N:N′)-bis(2,6-difluorobenzoato-κ2O:O′)cadmium(II)]monohydrate, C20H22CdF4N4O6
- Crystal structure of 3-benzyl-2,3-dihydro-2-thioxoquinazolin-4(1H)-one, C15H12N2OS
- Crystal structure of bis(μ2-ferrocenecarboxylato-κ2O:O′)-bis(1,10-phenanthroline-κ2N,N′)-(μ2-methanolato-κ2O,O)dicopper(II) tetrafluoroborate – acetonitrile (1/1), C49H40BCu2F4Fe2N5O5
- The crystal structure of tetrakis(1,3,5-triaza-7-phosphatricyclo[3.3.1.13,7]decane-κP)silver(I) chloride dihydrate, C24H60AgClN12O6P4
- Crystal structure of 5-ethyl-2-(p-tolyl)-1,3-dioxane-5-carboxylic acid, C14H18O4
- Crystal structure of 2-(4-fluorophenyl)-1,3-dimethyl-1H-perimidin-3-ium iodide, C19H16ClIN2
- Crystal structure of catena-poly[(μ2-hexamethylenetetramine-κ2N:N′)-tetrakis(μ2-2,6-difluorobenzoato-κ2O:O′)dicopper(II)], C34H24Cu2F8N4O8
- Crystal structure of ethyl 3-hydroxy-5-methyl-2-(4-(m-tolyl)-1H-1,2,3-triazol-1-yl)-[1,1′-biphenyl]-4- carboxylate, C25H24N3O3
- The crystal structure of carbonyl(2-oxopyridin-1(2H)-olato-κ2O,O′)-(diphenylcyclohexylphosphine-κP)rhodium(I), C24H25NO3PRh
- Crystal structure of bis((pyrazin-2-ylmethyl)(pyrazine-2-carbonyl)amido-κ3N,N′,N′′)copper(II), C20H16CuN10O2
- Crystal structure of catena-poly[tetraaqua-(μ2-succinonitrile-κ2N:N′)cobalt(II)] dinitrate, C4H12CoN4O10
- The crystal structure of 1,1′-bisisoquinoline, C18H12N2
- Crystal structure of bis(hydroxydi(pyridin-2-yl)methanolato-κ3N,N′,O)cobalt(III) perchlorate dihydrate, C22H22ClCoN4O10