Abstract
C16H15BrN2O2, monoclinic, P21/c (no. 14), a = 33.758(5) Å, b = 7.1117(16) Å, c = 6.2194(9) Å, β = 92.133(13)°, V = 1492.1(4) Å3, Z = 4, Rgt(F) = 0.0693, wRref(F2) = 0.2153, T = 278(4) K.

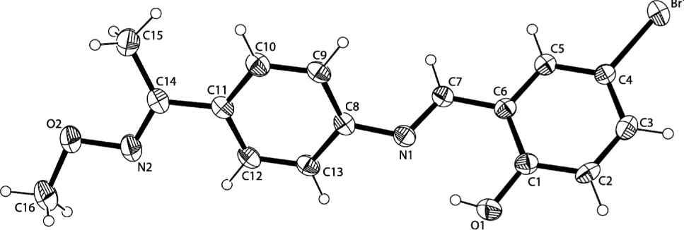
The structure is shown in the figure. Tables 1 and 2 contain details on crystal structure and measurement conditions and a list of the atoms including atomic coordinates and displacement parameters.
Data collection and handling.
| Crystal: | Clear light brown block |
| Size: | 0.31 × 0.27 × 0.26 mm |
| Wavelength: | Cu Kα radiation (1.54184 Å) |
| μ: | 3.81 mm−1 |
| Diffractometer, scan mode: | SuperNova, Dual, Eos diffractometer, ω |
| θmax: | 70.7° |
| N(hkl)measured, N(hkl)unique, Rint: | 4792, 2790, 0.033 |
| Criterion for Iobs, N(hkl)gt: | Iobs > 2 σ(Iobs), 2296 |
| N(param)refined: | 193 |
| Programs: | SHELX [18], CrysAlisPRO [19] |
Fractional atomic coordinates and isotropic or equivalent isotropic displacement parameters (Å2).
| Atom | x | y | z | Uiso*/Ueq |
|---|---|---|---|---|
| Br1 | 0.46279(2) | 0.43180(11) | 0.17957(12) | 0.0605(3) |
| O1 | 0.32194(14) | 0.5708(7) | 0.7240(7) | 0.0575(11) |
| H1 | 0.3013 | 0.5389 | 0.6608 | 0.086* |
| O2 | 0.05409(13) | 0.4841(9) | 0.0988(9) | 0.0734(14) |
| N1 | 0.27678(13) | 0.4888(7) | 0.3901(7) | 0.0419(10) |
| N2 | 0.09310(15) | 0.4773(9) | 0.1846(10) | 0.0617(14) |
| C1 | 0.35282(17) | 0.5387(8) | 0.5967(9) | 0.0435(12) |
| C2 | 0.39104(19) | 0.5687(7) | 0.6813(9) | 0.0455(13) |
| H2 | 0.3948 | 0.6108 | 0.8222 | 0.055* |
| C3 | 0.42321(18) | 0.5366(8) | 0.5586(10) | 0.0488(13) |
| H3 | 0.4486 | 0.5589 | 0.6156 | 0.059* |
| C4 | 0.41794(16) | 0.4712(8) | 0.3505(9) | 0.0418(11) |
| C5 | 0.38047(16) | 0.4412(7) | 0.2619(9) | 0.0391(11) |
| H5 | 0.3773 | 0.3977 | 0.1213 | 0.047* |
| C6 | 0.34726(16) | 0.4761(7) | 0.3825(8) | 0.0383(11) |
| C7 | 0.30779(16) | 0.4581(7) | 0.2833(9) | 0.0412(11) |
| H7 | 0.3050 | 0.4236 | 0.1393 | 0.049* |
| C8 | 0.23878(15) | 0.4887(7) | 0.2919(9) | 0.0398(11) |
| C9 | 0.22995(17) | 0.5684(7) | 0.0888(9) | 0.0439(12) |
| H9 | 0.2502 | 0.6179 | 0.0089 | 0.053* |
| C10 | 0.19115(18) | 0.5734(8) | 0.0068(10) | 0.0477(13) |
| H10 | 0.1856 | 0.6267 | −0.1276 | 0.057* |
| C11 | 0.16042(16) | 0.4996(7) | 0.1239(9) | 0.0404(11) |
| C12 | 0.16946(17) | 0.4203(7) | 0.3248(10) | 0.0453(13) |
| H12 | 0.1493 | 0.3678 | 0.4033 | 0.054* |
| C13 | 0.20782(17) | 0.4188(7) | 0.4086(9) | 0.0430(12) |
| H13 | 0.2130 | 0.3701 | 0.5455 | 0.052* |
| C14 | 0.11869(17) | 0.5043(9) | 0.0416(10) | 0.0487(13) |
| C15 | 0.1080(2) | 0.5419(12) | −0.1910(12) | 0.0682(19) |
| H15A | 0.0962 | 0.4315 | −0.2547 | 0.102* |
| H15B | 0.1315 | 0.5739 | −0.2654 | 0.102* |
| H15C | 0.0895 | 0.6445 | −0.2015 | 0.102* |
| C16 | 0.0286(2) | 0.4616(18) | 0.2777(16) | 0.098(3) |
| H16A | 0.0015 | 0.4532 | 0.2253 | 0.147* |
| H16B | 0.0315 | 0.5677 | 0.3723 | 0.147* |
| H16C | 0.0356 | 0.3487 | 0.3547 | 0.147* |
Source of material
All chemicals were used without further purification. 4-amino acetophenone methoxy oxime was prepared by a method reported earlier [1], [2], [3]. To an ethanol solution (5 mL) of 5-bromosalicylic acid (201.0 mg, 1 mmol) was added an ethanol solution (5 mL) of 4-aminoacetophenone methoxy oxime (164.0 mg, 1 mmol). The solution was stirred at 328 K for 12 h. The residue was washed with ethanol and hexane, then place in the drying oven for 2 days to get a light brown powder (yield 78%, m.p. 412–413 K). Crystals were obtained by slow evaporation from a mixture of chloroform, acetone and methanol at room temperature. Elemental analysis: Anal. calcd. for C16H15BrN2O2: C, 55.35%; H, 4.35%; N, 8.07%; Found: C, 55.33%; H, 4.33%; N, 8.01%.
Experimenal details
Hydrogen atoms were placed in their geometrically idealized positions and constrained to ride on their parent atoms.
Comment
Schiff base compounds and their derivatives have been playing an important role in the development of coordination chemistry [4], [5], [6], [7]. Oxime-type compounds are significant chelating ligands, and can coordinate with metal ions in the form of chelating ligands [8], [9], [10], [11]. These Salen-type ligands and their metal complexes could be utilized in obtaining luminescence materials [12], [13], [14], supramolecular constructing [15], [16], [17] and so on.
The crystal structure of the title compound is only built up by the C16H15BrN2O2 molecules, in which all bond lengths are in normal ranges. There is one intramolecular O1—H1⋯N1 hydrogen bond in the title compound. The title compound is stabilized by an intermolecular Br1⋯Br1 contact to form a dimer.
References
Zhao, L.; Dong, X. T.; Zhang, S. T.; Chen, Q.: Crystal structure of 1-(4-{[(E)-5-bromo-2-hydroxybenzylidene] amino}phenyl)ethanone oxime, C15H13BrN2O2. Z. Kristallogr. -NCS 227 (2014) 101–102.10.1524/ncrs.2012.0046Search in Google Scholar
Zhao, L.; Ng, S. W.: 1-(4-{[(E)-4-Methylbenzylidene] amino}phenyl)ethanone oxime. Acta Crystallogr. E66 (2010) o2474.10.1107/S1600536810034598Search in Google Scholar PubMed PubMed Central
Zhao, L.; Wang, F.; An, Q. Q.; Zhao, J. X.: Crystal structure of (E)-1-(4-(((E)-3,5-dichloro-2-hydroxybenzylidene)amino)phenyl)ethan-1-one O-ethyl oxime, C17H16Cl2N2O2. Z. Kristallogr. -NCS 231 (2016) 1045–1046.10.1515/ncrs-2016-0044Search in Google Scholar
Zaltariov, M. F.; Cazacu, M.; Vornicu, N.; Shova, S.; Racles, C.; Balan, M.; Turta, C.: A new diamine containing disiloxane moiety and some derived Schiff bases: synthesis, structural characterisation and antimicrobial activity. Supramol. Chem. 25 (2013) 490–502.10.1080/10610278.2013.794947Search in Google Scholar
Han, Y.; Sun, J. J.; Wang, G. L.; Yan, C. G.: Synthesis, crystal structure and complexing properties of calix[4]pyrrole 10α,20α-disubstituted Schiff bases and urea derivatives. J. Mol. Struct. 1083 (2015) 300–310.10.1016/j.molstruc.2014.12.001Search in Google Scholar
Sun, Y. X.; Liu, G. H.; Wang, J.; Liu, S. H.; Wang, G.: Crystal structure of bis(3-ethoxy-4-hydroxybenzaldehyde) O,O′-(butane-1,4-diyl)dioxime, C22H28N2O6. Z. Kristallogr. NCS. 227 (2012) 123–124.10.1524/ncrs.2012.0056Search in Google Scholar
Dong, W. K.; Feng, J. H.; Yang, X. Q.: Crystal structure of 4,4′-dibromo-2,2′-((1,3-propylene)dioxybis(nitrilomethylidyne))diphenol, C17H16Br2N2O4. Z. Kristallogr. NCS 221 (2006) 447–448.10.1524/ncrs.2006.0149Search in Google Scholar
Zhao, L.; Dong, X. T.; Cheng, Q.; Zhao, J. X.: Synthesis and crystal structure of a new oxime-type zinc(II) complex. Asian J. Chem. 25 (2013) 4646–4648.10.14233/ajchem.2013.14408Search in Google Scholar
Sun, Y. X.; Lu, R. E.; Li, X. R.; Zhao, Y. Y.; Li, C. Y.: A schiff base ligand containing oxime group and its Cu(II) complex: syntheses and supramolecular structures. Chin. J. Inorg. Chem. 31 (2015) 1055–1062.Search in Google Scholar
Sun, Y. X.; Zhao, Y. Y.; Li, C. Y.; Yu, B.; Guo, J. Q.; Li, J.: Supramolecular cobalt(II) and copper(II) complexes with Schiff base ligand: syntheses, characterizations and crystal structures. Chin. J. Inorg. Chem. 32 (2016) 913–920.Search in Google Scholar
Zhao, L.; Dong, X. T.; Sun, Y. X.; Cheng, Q.; Dong, X. Y.; Wang, L.: Synthesis, crystal structure and thermal Property of a 1D chain-like copper(II) complex. Chin. J. Inorg. Chem. 28 (2012) 2413–2418.Search in Google Scholar
Sun, Y. X.; Li, C. Y.; Yang, C. J.; Zhao, Y. Y.; Guo, J. Q.; Yu, B.: Two Cu(II) complexes with Schiff base ligands: Synthesis, crystal structure, spectroscopic properties, and substituent effect. Chin. J. Inorg. Chem. 32 (2016) 327–335.Search in Google Scholar
Wang, L.; Ma, J. C.; Dong, W. K.; Zhu, L. C.; Zhang, Y.: A novel self-assembled nickel(II)-cerium(III) heterotetranuclear dimer constructed from N2O2-type bisoxime and terephthalic acid: synthesis, structure, and photophysical properties. Z. Anorg. Allg. Chem. 642 (2016) 834–839.10.1002/zaac.201600125Search in Google Scholar
Dong, W. K.; Duan, J. G.; Guan, Y. H.; Shi, J. Y.; Zhao, C. Y.: Synthesis, crystal structure and spectroscopic behaviors of Co(II) and Cu(II) complexes with Salen-type bisoxime ligands. Inorg. Chim. Acta 362 (2009) 1129–1134.10.1016/j.ica.2008.05.028Search in Google Scholar
Wang, L.; Wu, J. J.; Zhang, Y.; Li, G.; Li, X.: Synthesis and crystal structure of 3,3′-Dimethyloxy-1,1′-[butane-1,4-diyldioxybis(nitrilomethylidyne)]dibenzene. Asian J. Chem. 25 (2013) 4115–4116.10.14233/ajchem.2013.13969Search in Google Scholar
Sun, Y. X.; Zhao, Y. Y.; Li, C. Y.; Yu, B.; Guo, J. Q.; Li, J.: Supramolecular cobalt(II) and copper(II) complexes with Schiff base ligand: syntheses characterizations and crystal structures. Chin. J. Inorg. Chem. 32 (2016) 913–920.Search in Google Scholar
Zhao, L.; Guo, H. X.; Sun, Y. X.; Meng, W. S.; Yang, C. J.; Zhang, X. Y.: Synthesis and supramolecular structure of 1-(4-{[(E)-3,5-Dibromo-2-hydroxybenzylidene]amino}phenyl)ethanone O-benzyloxime. Asian J. Chem. 25 (2013) 6366–6368.10.14233/ajchem.2013.14587Search in Google Scholar
Sheldrick, G. M.: A short history of SHELX. Acta Crystallogr. A64 (2008) 112–122.10.1107/S0108767307043930Search in Google Scholar PubMed
Agilent Technologies: CrysAlisPRO Software system, version 1.171.35.15, Agilent Technologies UK Ltd, Oxford, UK, 2011.Search in Google Scholar
©2017 Ji-Xing Zhao et al., published by De Gruyter, Berlin/Boston
This work is licensed under the Creative Commons Attribution-NonCommercial-NoDerivatives 3.0 License.
Articles in the same Issue
- Cover and Frontmatter
- Crystal structure of 2-(2-ethoxyphenyl)-7-propyl-5-methylimidazo[5,1-f][1,2,4]triazin-4(3H)-one, C17H20N4O2
- Crystal structure of catena-poly[aqua-(μ3-1,3,5-benzenetricarboxylato-κ3O:O′:O′′)-[μ3hydroxy-(1,3-di-(μ2-1,2,4-triazole-4-yl)benzoato-κ2N:N′)copper(II)], C19H16Cu2N6O9
- Crystal structure of poly[aqua-(μ3-3,5-di(4H-1,2,4-triazolyl-4-κ3N,N′:N′′)benzenecarboxylato)silver(I)], C11H9AgN6O3
- Crystal structure of tetrapropylammonium hydrogen carbonate, C13H29NO3
- Crystal structure of poly[μ2-acetato-κ3-O,O′:O′)diaqua(μ3-isophthalato-κ4O,O′:O′′:O′′′)yttrium(III)] monohydrate, C20H24O17Y2
- Crystal structure of catena-poly[dichlorido-(μ2-4-(1H-pyrazol-3-yl)-pyridine-κ2N,N′)]cadmium(II), C48H42Cd3Cl16N18
- Crystal structure of bis(tetraethylammonium) [1,1′-biphenyl]-2,2′-dicarboxylate trihydrate, C30H54N2O7
- Crystal structure of poly[(thiophene-3,4-dicarboxylato-κ1O)bis[1,2-bis(4-pyridyl)ethane-κ2N:N′]silver(I)] octahydrate, C30H42Ag2N4O12S
- The crystal structure of amine-(4-(1H-1,2,4-triazol-1-yl)benzoato-κN)silver(I) dihydrate, C9H13AgN4O4
- Crystal structure of poly[tetrakis(μ2-cyanido-κ2N:O)-cyanido-tris(pyridine)dicobalt(II/III)], C20H15Co2N8
- Crystal structure of bis(pyridine)-bis(2-formyl-4,6-dichlorophenolato)cobalt(II), C24H16Cl4CoN2O4
- Crystal structure of (E)-1-(4-(((E)-5-bromo-2-hydroxybenzylidene)amino)phenyl)ethan-1-one O-methyl oxime, C16H15BrN2O2
- Crystal structure of catena-poly[(μ2-3-(1H-pyrazol-4-yl)-5-(pyridin-4-yl)-1,2,4-triazole-κ N:N′)-bis(benzoato-κO)zinc(II)], C24H18N6O4Zn
- Hydrothermal synthesis and crystal structure of a poly[aqua-(μ4-4-(carboxylatomethyl)benzoato-κ4O:O′:O′′:O′′′)-(μ2-1-(4-(1H-imidazol-1-yl)benzyl)-1H-1,2,4-triazole-κ2N:N′) dimanganese(II)], [Mn2(C9H6O4)2(C12H11N5)(H2O)]
- Crystal structure of diaqua-catena-poly[diaqua-bis(μ2-5-(4-(1H-1,2,4-triazol-1-yl)phenyl)tetrazol-2-ido-κ2N:N′)cobalt(II)] dihydrate, C20H24CoN14O4
- Crystal structure of bis(μ3-2,2′-azanediylbis(ethan-1-olato)-κ5O:O,N,O′:O′)-tetrachlorido-bis(μ2-2-((2-hydroxyethyl)amino)ethan-1-olato-κ3N,O:O)dicobalt(II)dicobalt(III), C16H38Cl4Co4N4O8
- Crystal structure of poly[μ4-(4-(carboxylatomethyl)benzoato-κ4O:O′:O′′:O′′′)-(2-(4-(1H-imidazol-1-yl)phenyl)-1H-benzo[d]imidazole-κN)manganese(II)] [Mn(C9H6O4)(C16H12N4)]
- Crystal structure of 4-chloro-6-phenylpyrimidine, C10H7ClN2
- The crystal structure of [6-methoxy-2-(2,2,2-trifluoroacetyl)-3,4-dihydronaphthalen-1(2H)-one]difluoroborane, C13H10BF5O3
- Crystal structure of 3,3′-(butane-1,4-diylbis(azanylylidene))bis(1-phenylbut-1-en-1-olato)-κ4N,N′,O,O′]copper(II), C24H26N2O2Cu
- Crystal structure of tetraaqua-bis((E)-N′-(2-bromobenzylidene)isonicotinohydrazide-κN)zinc(II) dinitrate, C26H28N8O12Br2Zn
- Crystal structure of 2-amino-4-(4-bromophenyl)-5-oxo-5,6,7,8-tetrahydro-4H-chromene-3-carbonitrile, C16H13BrN2O2
- A single crystal study on tert-butyl-4-((4-(4-bromo-2-fluorophenylamino)-6-methoxyquinazolin-7-yloxy)methyl)piperidine-1-carboxylate, C26H30BrFN4O4
- Crystal structure of 1,1′-((1E,1′E)-(((ethane-1,2-diylbis(oxy))bis(2,1-phenylene))bis(azanylylidene))bis(methanylylidene))bis(naphthalen-2-olato-κ3O,O′,N)zinc(II), C36H26N2O4Zn
- Crystal structure of diaqua-bis(5′-(pyridin-1-ium-4-yl)-1H-[3,3′-bi(1,2,4-triazol)]-2′-ide-κ2N,N′)cobalt(II) — bis(5-(pyridin-4-yl-κN)-1H,1′H-3,3′-bi(1,2,4-triazole))octamolybdate – water (2/1/8), C27H33CoMo4N21O19
- Crystal structure of 3-cyclohexyl-2-(cyclohexylimino)-2,3-dihydro-6,8-diiodo-4H-1,3-benzoxazin-4-one, C20H24I2N2O2
- Crystal structure of dinitrato-κO-bis(tris((1H-benzo[d]imidazol-2-yl)methyl)amine-κ4N,N′,N′′,N′′′)-(μ2-cyclohexane-1,4-dicarboxylato-κ4O,O′:O′′,O′′′)dimanganese(II) – methanol – water (1/6/2), C62H80Mn2N16O18
- Crystal structure of bis(2-hydroxyethyl(phenyl)carbamodithioate)nickel(II), C18H20N2NiO2S4
- Crystal structure of methyl 1-(4-fluorobenzyl)-4-methoxy-5-oxopyrrolidine-3-carboxylate, C14H16FNO4
- Crystal structure of di-μ-iodido-bis(6-(p-tolyl)-2,2′-bipyridine-κ2N,N′)dicopper(I) — 2-(diphenylphosphoryl)benzoic acid (1/2), C36H29CuIN2O3P
- Crystal structure of 2-amino-4-(3-bromo-4-fluoro-phenyl)-7,7-dimethyl-5-oxo-5,6,7,8-tetrahydro-4H-chromene-3-carbonitrile, C18H16BrFN2O2
- Crystal structure of bis(μ2-2-chlorobenzoato-κ3O,O′:O′)-(2-chlorobenzoato-κO)-(2-chlorobenzoato-κO,O′)-bis(1,10-phenanthroline-κ2N,N′)-dicadmium(II) monohydrate, C52H36Cd2Cl4N4O10
- Crystal structure of 2-(8a-methyl-5-oxo-hexahydroimidazo [1,2-a]pyridin-1(5H)-yl)-2-oxoethyl acetate, C12H18N2O4
- Crystal structure of (E)-N,N-diethyl-2-(5-nitrothiazol-2-yl)-1-phenylethen-1-amine, C15H17N3O2S
- Crystal structure of diazido-dimethanolato-bis(μ2-2-(((3-oxidopropyl)imino)methyl)phenolato-κ4O:O,O′,N)dimanganese(III), C22H28Mn2N8O6
- The crystal structure of bis(2-(2,2,2-trifluoroacetyl)-3,4-dihydronaphthalen-1-olato-κ2O,O′)copper(II), C24H16CuF6O4
- Crystal structure of hexaaquanickel(II) bis((E)-4-((4-(dimethylamino)phenyl)diazenyl)benzenesulfonate), C28H40N6NiO12S2
- Crystal structure of catena-poly[aqua-(μ2-hexamethylenetetramine-κ2N:N′)-bis(2,6-difluorobenzoato-κ2O:O′)cadmium(II)]monohydrate, C20H22CdF4N4O6
- Crystal structure of 3-benzyl-2,3-dihydro-2-thioxoquinazolin-4(1H)-one, C15H12N2OS
- Crystal structure of bis(μ2-ferrocenecarboxylato-κ2O:O′)-bis(1,10-phenanthroline-κ2N,N′)-(μ2-methanolato-κ2O,O)dicopper(II) tetrafluoroborate – acetonitrile (1/1), C49H40BCu2F4Fe2N5O5
- The crystal structure of tetrakis(1,3,5-triaza-7-phosphatricyclo[3.3.1.13,7]decane-κP)silver(I) chloride dihydrate, C24H60AgClN12O6P4
- Crystal structure of 5-ethyl-2-(p-tolyl)-1,3-dioxane-5-carboxylic acid, C14H18O4
- Crystal structure of 2-(4-fluorophenyl)-1,3-dimethyl-1H-perimidin-3-ium iodide, C19H16ClIN2
- Crystal structure of catena-poly[(μ2-hexamethylenetetramine-κ2N:N′)-tetrakis(μ2-2,6-difluorobenzoato-κ2O:O′)dicopper(II)], C34H24Cu2F8N4O8
- Crystal structure of ethyl 3-hydroxy-5-methyl-2-(4-(m-tolyl)-1H-1,2,3-triazol-1-yl)-[1,1′-biphenyl]-4- carboxylate, C25H24N3O3
- The crystal structure of carbonyl(2-oxopyridin-1(2H)-olato-κ2O,O′)-(diphenylcyclohexylphosphine-κP)rhodium(I), C24H25NO3PRh
- Crystal structure of bis((pyrazin-2-ylmethyl)(pyrazine-2-carbonyl)amido-κ3N,N′,N′′)copper(II), C20H16CuN10O2
- Crystal structure of catena-poly[tetraaqua-(μ2-succinonitrile-κ2N:N′)cobalt(II)] dinitrate, C4H12CoN4O10
- The crystal structure of 1,1′-bisisoquinoline, C18H12N2
- Crystal structure of bis(hydroxydi(pyridin-2-yl)methanolato-κ3N,N′,O)cobalt(III) perchlorate dihydrate, C22H22ClCoN4O10
Articles in the same Issue
- Cover and Frontmatter
- Crystal structure of 2-(2-ethoxyphenyl)-7-propyl-5-methylimidazo[5,1-f][1,2,4]triazin-4(3H)-one, C17H20N4O2
- Crystal structure of catena-poly[aqua-(μ3-1,3,5-benzenetricarboxylato-κ3O:O′:O′′)-[μ3hydroxy-(1,3-di-(μ2-1,2,4-triazole-4-yl)benzoato-κ2N:N′)copper(II)], C19H16Cu2N6O9
- Crystal structure of poly[aqua-(μ3-3,5-di(4H-1,2,4-triazolyl-4-κ3N,N′:N′′)benzenecarboxylato)silver(I)], C11H9AgN6O3
- Crystal structure of tetrapropylammonium hydrogen carbonate, C13H29NO3
- Crystal structure of poly[μ2-acetato-κ3-O,O′:O′)diaqua(μ3-isophthalato-κ4O,O′:O′′:O′′′)yttrium(III)] monohydrate, C20H24O17Y2
- Crystal structure of catena-poly[dichlorido-(μ2-4-(1H-pyrazol-3-yl)-pyridine-κ2N,N′)]cadmium(II), C48H42Cd3Cl16N18
- Crystal structure of bis(tetraethylammonium) [1,1′-biphenyl]-2,2′-dicarboxylate trihydrate, C30H54N2O7
- Crystal structure of poly[(thiophene-3,4-dicarboxylato-κ1O)bis[1,2-bis(4-pyridyl)ethane-κ2N:N′]silver(I)] octahydrate, C30H42Ag2N4O12S
- The crystal structure of amine-(4-(1H-1,2,4-triazol-1-yl)benzoato-κN)silver(I) dihydrate, C9H13AgN4O4
- Crystal structure of poly[tetrakis(μ2-cyanido-κ2N:O)-cyanido-tris(pyridine)dicobalt(II/III)], C20H15Co2N8
- Crystal structure of bis(pyridine)-bis(2-formyl-4,6-dichlorophenolato)cobalt(II), C24H16Cl4CoN2O4
- Crystal structure of (E)-1-(4-(((E)-5-bromo-2-hydroxybenzylidene)amino)phenyl)ethan-1-one O-methyl oxime, C16H15BrN2O2
- Crystal structure of catena-poly[(μ2-3-(1H-pyrazol-4-yl)-5-(pyridin-4-yl)-1,2,4-triazole-κ N:N′)-bis(benzoato-κO)zinc(II)], C24H18N6O4Zn
- Hydrothermal synthesis and crystal structure of a poly[aqua-(μ4-4-(carboxylatomethyl)benzoato-κ4O:O′:O′′:O′′′)-(μ2-1-(4-(1H-imidazol-1-yl)benzyl)-1H-1,2,4-triazole-κ2N:N′) dimanganese(II)], [Mn2(C9H6O4)2(C12H11N5)(H2O)]
- Crystal structure of diaqua-catena-poly[diaqua-bis(μ2-5-(4-(1H-1,2,4-triazol-1-yl)phenyl)tetrazol-2-ido-κ2N:N′)cobalt(II)] dihydrate, C20H24CoN14O4
- Crystal structure of bis(μ3-2,2′-azanediylbis(ethan-1-olato)-κ5O:O,N,O′:O′)-tetrachlorido-bis(μ2-2-((2-hydroxyethyl)amino)ethan-1-olato-κ3N,O:O)dicobalt(II)dicobalt(III), C16H38Cl4Co4N4O8
- Crystal structure of poly[μ4-(4-(carboxylatomethyl)benzoato-κ4O:O′:O′′:O′′′)-(2-(4-(1H-imidazol-1-yl)phenyl)-1H-benzo[d]imidazole-κN)manganese(II)] [Mn(C9H6O4)(C16H12N4)]
- Crystal structure of 4-chloro-6-phenylpyrimidine, C10H7ClN2
- The crystal structure of [6-methoxy-2-(2,2,2-trifluoroacetyl)-3,4-dihydronaphthalen-1(2H)-one]difluoroborane, C13H10BF5O3
- Crystal structure of 3,3′-(butane-1,4-diylbis(azanylylidene))bis(1-phenylbut-1-en-1-olato)-κ4N,N′,O,O′]copper(II), C24H26N2O2Cu
- Crystal structure of tetraaqua-bis((E)-N′-(2-bromobenzylidene)isonicotinohydrazide-κN)zinc(II) dinitrate, C26H28N8O12Br2Zn
- Crystal structure of 2-amino-4-(4-bromophenyl)-5-oxo-5,6,7,8-tetrahydro-4H-chromene-3-carbonitrile, C16H13BrN2O2
- A single crystal study on tert-butyl-4-((4-(4-bromo-2-fluorophenylamino)-6-methoxyquinazolin-7-yloxy)methyl)piperidine-1-carboxylate, C26H30BrFN4O4
- Crystal structure of 1,1′-((1E,1′E)-(((ethane-1,2-diylbis(oxy))bis(2,1-phenylene))bis(azanylylidene))bis(methanylylidene))bis(naphthalen-2-olato-κ3O,O′,N)zinc(II), C36H26N2O4Zn
- Crystal structure of diaqua-bis(5′-(pyridin-1-ium-4-yl)-1H-[3,3′-bi(1,2,4-triazol)]-2′-ide-κ2N,N′)cobalt(II) — bis(5-(pyridin-4-yl-κN)-1H,1′H-3,3′-bi(1,2,4-triazole))octamolybdate – water (2/1/8), C27H33CoMo4N21O19
- Crystal structure of 3-cyclohexyl-2-(cyclohexylimino)-2,3-dihydro-6,8-diiodo-4H-1,3-benzoxazin-4-one, C20H24I2N2O2
- Crystal structure of dinitrato-κO-bis(tris((1H-benzo[d]imidazol-2-yl)methyl)amine-κ4N,N′,N′′,N′′′)-(μ2-cyclohexane-1,4-dicarboxylato-κ4O,O′:O′′,O′′′)dimanganese(II) – methanol – water (1/6/2), C62H80Mn2N16O18
- Crystal structure of bis(2-hydroxyethyl(phenyl)carbamodithioate)nickel(II), C18H20N2NiO2S4
- Crystal structure of methyl 1-(4-fluorobenzyl)-4-methoxy-5-oxopyrrolidine-3-carboxylate, C14H16FNO4
- Crystal structure of di-μ-iodido-bis(6-(p-tolyl)-2,2′-bipyridine-κ2N,N′)dicopper(I) — 2-(diphenylphosphoryl)benzoic acid (1/2), C36H29CuIN2O3P
- Crystal structure of 2-amino-4-(3-bromo-4-fluoro-phenyl)-7,7-dimethyl-5-oxo-5,6,7,8-tetrahydro-4H-chromene-3-carbonitrile, C18H16BrFN2O2
- Crystal structure of bis(μ2-2-chlorobenzoato-κ3O,O′:O′)-(2-chlorobenzoato-κO)-(2-chlorobenzoato-κO,O′)-bis(1,10-phenanthroline-κ2N,N′)-dicadmium(II) monohydrate, C52H36Cd2Cl4N4O10
- Crystal structure of 2-(8a-methyl-5-oxo-hexahydroimidazo [1,2-a]pyridin-1(5H)-yl)-2-oxoethyl acetate, C12H18N2O4
- Crystal structure of (E)-N,N-diethyl-2-(5-nitrothiazol-2-yl)-1-phenylethen-1-amine, C15H17N3O2S
- Crystal structure of diazido-dimethanolato-bis(μ2-2-(((3-oxidopropyl)imino)methyl)phenolato-κ4O:O,O′,N)dimanganese(III), C22H28Mn2N8O6
- The crystal structure of bis(2-(2,2,2-trifluoroacetyl)-3,4-dihydronaphthalen-1-olato-κ2O,O′)copper(II), C24H16CuF6O4
- Crystal structure of hexaaquanickel(II) bis((E)-4-((4-(dimethylamino)phenyl)diazenyl)benzenesulfonate), C28H40N6NiO12S2
- Crystal structure of catena-poly[aqua-(μ2-hexamethylenetetramine-κ2N:N′)-bis(2,6-difluorobenzoato-κ2O:O′)cadmium(II)]monohydrate, C20H22CdF4N4O6
- Crystal structure of 3-benzyl-2,3-dihydro-2-thioxoquinazolin-4(1H)-one, C15H12N2OS
- Crystal structure of bis(μ2-ferrocenecarboxylato-κ2O:O′)-bis(1,10-phenanthroline-κ2N,N′)-(μ2-methanolato-κ2O,O)dicopper(II) tetrafluoroborate – acetonitrile (1/1), C49H40BCu2F4Fe2N5O5
- The crystal structure of tetrakis(1,3,5-triaza-7-phosphatricyclo[3.3.1.13,7]decane-κP)silver(I) chloride dihydrate, C24H60AgClN12O6P4
- Crystal structure of 5-ethyl-2-(p-tolyl)-1,3-dioxane-5-carboxylic acid, C14H18O4
- Crystal structure of 2-(4-fluorophenyl)-1,3-dimethyl-1H-perimidin-3-ium iodide, C19H16ClIN2
- Crystal structure of catena-poly[(μ2-hexamethylenetetramine-κ2N:N′)-tetrakis(μ2-2,6-difluorobenzoato-κ2O:O′)dicopper(II)], C34H24Cu2F8N4O8
- Crystal structure of ethyl 3-hydroxy-5-methyl-2-(4-(m-tolyl)-1H-1,2,3-triazol-1-yl)-[1,1′-biphenyl]-4- carboxylate, C25H24N3O3
- The crystal structure of carbonyl(2-oxopyridin-1(2H)-olato-κ2O,O′)-(diphenylcyclohexylphosphine-κP)rhodium(I), C24H25NO3PRh
- Crystal structure of bis((pyrazin-2-ylmethyl)(pyrazine-2-carbonyl)amido-κ3N,N′,N′′)copper(II), C20H16CuN10O2
- Crystal structure of catena-poly[tetraaqua-(μ2-succinonitrile-κ2N:N′)cobalt(II)] dinitrate, C4H12CoN4O10
- The crystal structure of 1,1′-bisisoquinoline, C18H12N2
- Crystal structure of bis(hydroxydi(pyridin-2-yl)methanolato-κ3N,N′,O)cobalt(III) perchlorate dihydrate, C22H22ClCoN4O10