Home Physical Sciences Crystal structure of 2-[(4-fluorobenzyl)sulfanyl]-4-(2-methylpropyl)-6-oxo-1,6-dihydropyrimidine-5-carbonitrile, C16H16FN3OS
Article Open Access

Crystal structure of 2-[(4-fluorobenzyl)sulfanyl]-4-(2-methylpropyl)-6-oxo-1,6-dihydropyrimidine-5-carbonitrile, C16H16FN3OS

  • Ali A. El-Emam , Hazem A. Ghabbour EMAIL logo , Omar A. Al-Deeb , Mohammed S. M. Abdelbaky and Santiago García-Granda
Published/Copyright: January 30, 2016

Abstract

C16H16FN3OS, triclinic, P1̅ (no. 2), a = 5.6885(3) Å, b = 9.4378(4) Å, c = 15.0736(7) Å, α = 84.037(4)°, β = 81.442(4)°, γ = 74.271(4)°, V = 768.56(7) Å3, Z = 2, Rgt(F) = 0.0518, wRref(F2) = 0.1430, T = 100 K.

CCDC no.:: 1405607

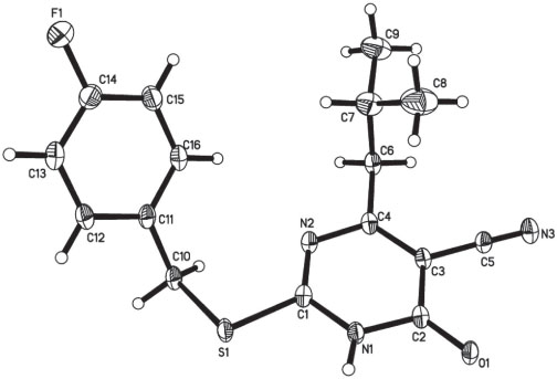
The crystal structure is shown in the figure. Tables 13 contain details of the measurement method and a list of the atoms including atomic coordinates and displacement parameters.

Table 1

Data collection and handling.

Crystal:Colourless, prism, size 0.0508×0.0622×0.4616 mm
Wavelength:CuKα radiation (1.5418 Å)
μ:20.14 cm−1
Diffractometer, scan mode:Xcalibur, Ruby, Gemini, ω scans
2θmax:141.36°
N(hkl)measured, N(hkl)unique:11233, 2940
Criterion for Iobs, N(hkl)gt:Iobs > 2 σ(Iobs), 2544
N(param)refined:199
Programs:CrysAlis [18], SHELX [19]
Table 2

Fractional atomic coordinates and isotropic or equivalent isotropic displacement parameters (Å2).

AtomSitexyzUiso
H(1)2i0.43810.63340.52510.026
H(13)2i−0.47371.23180.80920.035
H(12)2i−0.25781.18870.66760.030
H(6A)2i0.90960.82710.75830.030
H(6B)2i1.07310.66390.76050.030
H(16)2i0.36201.00190.77880.032
H(10A)2i0.38641.07080.61980.029
H(10B)2i0.14971.15720.57710.029
H(15)2i0.14791.04770.92040.038
H(7)2i0.59870.76200.85990.046
H(9A)2i0.91700.81350.92220.069
H(9B)2i1.05330.64510.92800.069
H(9C)2i0.80030.70300.98720.069
H(8A)2i0.63470.52570.81860.084
H(8B)2i0.62480.52590.92310.084
H(8C)2i0.87690.46630.86370.084
Table 3

Atomic displacement parameters (Å2).

AtomSitexyzU11U22U33U12U13U23
S(1)2i0.2170(1)0.90545(6)0.56345(4)0.0213(3)0.0169(3)0.0320(3)0.0027(2)−0.0085(2)−0.0033(2)
O(1)2i0.7895(3)0.4171(2)0.5397(1)0.0205(8)0.0153(7)0.0312(8)−0.0002(6)−0.0056(6)−0.0036(6)
N(1)2i0.5314(3)0.6460(2)0.5619(1)0.0189(9)0.0167(9)0.028(1)−0.0004(7)−0.0077(7)−0.0031(7)
F(1)2i−0.3080(3)1.1698(2)0.9594(1)0.0371(9)0.054(1)0.0331(8)0.0011(7)0.0015(6)−0.0048(7)
N(2)2i0.5880(3)0.8033(2)0.6637(1)0.0197(9)0.0167(9)0.029(1)−0.0010(7)−0.0038(7)−0.0022(7)
N(3)2i1.2865(4)0.3801(2)0.6700(2)0.024(1)0.021(1)0.040(1)−0.0016(8)−0.0078(8)−0.0001(8)
C(5)2i1.1004(4)0.4611(2)0.6592(2)0.023(1)0.017(1)0.028(1)−0.0039(9)−0.0045(9)−0.0013(8)
C(3)2i0.8740(4)0.5667(2)0.6426(2)0.018(1)0.017(1)0.027(1)−0.0012(8)−0.0046(8)0.0001(8)
C(1)2i0.4714(4)0.7753(2)0.6021(2)0.018(1)0.017(1)0.027(1)−0.0022(8)−0.0014(8)−0.0015(8)
C(2)2i0.7375(4)0.5334(2)0.5781(2)0.017(1)0.016(1)0.027(1)−0.0021(8)−0.0019(8)0.0010(8)
C(4)2i0.7908(4)0.6957(2)0.6862(2)0.019(1)0.017(1)0.027(1)−0.0030(8)−0.0017(8)0.0011(8)
C(13)2i−0.3059(4)1.1861(3)0.8025(2)0.020(1)0.024(1)0.040(1)−0.0007(9)−0.003(1)−0.004(1)
C(12)2i−0.1764(4)1.1600(2)0.7183(2)0.023(1)0.017(1)0.035(1)−0.0023(9)−0.0091(9)0.0000(9)
C(6)2i0.9050(4)0.7245(2)0.7633(2)0.022(1)0.018(1)0.034(1)−0.0021(8)−0.0075(9)−0.0009(9)
C(11)2i0.0752(4)1.0910(2)0.7083(2)0.023(1)0.013(1)0.033(1)−0.0029(8)−0.0049(9)−0.0024(8)
C(16)2i0.1945(4)1.0486(2)0.7849(2)0.021(1)0.019(1)0.038(1)−0.0005(9)−0.0070(9)−0.0032(9)
C(14)2i−0.1813(5)1.1430(3)0.8763(2)0.031(1)0.029(1)0.031(1)−0.004(1)−0.000(1)−0.004(1)
C(10)2i0.2172(4)1.0720(2)0.6161(2)0.024(1)0.015(1)0.033(1)−0.0007(8)−0.0059(9)−0.0002(9)
C(15)2i0.0678(5)1.0750(3)0.8694(2)0.031(1)0.027(1)0.035(1)−0.001(1)−0.011(1)−0.003(1)
C(7)2i0.7607(5)0.6908(3)0.8553(2)0.042(2)0.042(2)0.033(1)−0.013(1)−0.008(1)−0.001(1)
C(9)2i0.8953(6)0.7153(4)0.9301(2)0.062(2)0.050(2)0.033(2)−0.023(2)−0.014(1)0.002(1)
C(8)2i0.7207(7)0.5384(4)0.8661(2)0.078(2)0.060(2)0.039(2)−0.037(2)−0.004(2)0.002(1)

Source of material

4-Fluorobenzyl chloride (1.45 g, 0.01 mol) and anhydrous potassium carbonate (1.38 g, 0.01 mol) were added to a solution of 6-(2-methylpropyl)-2-thiouracil-5-carbonitrile (2.09 g, 0.01 mol) in N,N-dimethylformamide (10 mL) and the mixture was stirred at room temperature for 12 hours. Water (15 mL) was gradually added and the mixture was stirred for additional 30 minutes. The precipitated crude product was filtered, washed with water, dried, and crystallized from aqueous ethanol to yield 2.29 g (72%) of the title compound. M.p. 481–483 K. Colourless prismatic single crystals were obtained by slow evaporation of an ethanolic solution at room temperature. 1H NMR (DMSO-d6, 500.13 MHz): δ 0.92 (d, 6H, CH3, J = 6.0 Hz), 2.14 (m, 1H, CH), 2.55 (d, 2H, CH2CH, J = 6.0 Hz), 4.46 (s, 2H, CH2S), 7.12–7.16 (m, 2H, Ar—H), 7.45–7.47 (m, 2H, Ar—H), 13.70 (s, 1H, NH); 13C NMR (DMSO-d6, 125.76 MHz): δ 22.6 (CH3), 28.0 (CH), 33.7 (CH2S), 45.4 (CH2CH), 96.2 (C-5), 115.5 (CN), 115.8, 131.4, 133.5, 162.9 (Ar—C), 161.0 (C-6), 165.9 (C = O), 174.0 (C-4); ESI-MS, m/z (rel. int.): 316.2 (M—H, 100).

Discussion

Various pyrimidine non-nucleoside analogues have been developed as potent chemotherapeutic agents with anticancer, antiviral, antifungal and antibacterial activities. Non-nucleoside pyrimidine-based analogues have emerged as useful therapies against human immunodeficiency viruses (HIV) [1–4], hepatitis B viruses (HBV) [5], herpes simplex viruses (HSV) [6, 7], varicella-zoster virus (VZV) [8] and influenza viruses [9]. A large number of pyrimidine-based antimetabolites are currently used as potent and selective anticancer activity [10–12]. In addition, marked antibacterial and antifungal activities were observed for several pyrimidine-5-carbonitrile derivatives [13–17]. Here, we report the crystal structure of the recently synthesized [16] title compound (C16H16FN3OS).

The crystal structure of the title compound contains one molecule in the asymmetric unit. With respect to the pyrimidinyl ring, (C1/N1/C2/C3/C4/N2), the fluorobenzene ring (C11—C16) form dihedral angle of 51.2 (1)°. The molecular packing is stabilized by one intermolecular hydrogen bond where O1 acts as hydrogen bond acceptor and the NH group (N1) is the hydrogen bond donor. The H⋯O distance of the N1—H1⋯O1 hydrogen bond is 1.91(1) Å and the angle is 169.7(1)°.


Corresponding author: Hazem A. Ghabbour, Department of Pharmaceutical Chemistry, College of Pharmacy, King Saud University, P.O.Box 2457, Riaydh 11451, Saudi Arabia, e-mail:

Acknowledgements:

The authors would like to extend their sincere appreciation to the Deanship of Scientific Research at King Saud University for funding this work through the Research Group Project No. PRG-1436–23. We also acknowledge the financial support from Spanish Ministerio de Economía y Competitividad (MINECO-13-MAT2013–40950-R, FPI grant BES-2011–046948 to MSM-A).

References

1. Artico, M.; Massa, S.; Mai, A.; Marongiu, M. E.; Piras, G.; Tramontino, E.; La Colla, P.: 3,4-Dihydro-2-alkyloxy-6-benzyl-4-oxoypyrimidines (DABOs): a new class of specific inhibitors of human immunodeficiency virus type 1. Antiviral Chem. Chemother. 4 (1993) 361–368.10.1177/095632029300400608Search in Google Scholar

2. Andries, K.; Azijn, H.; Thielemans, T.; Ludovici, D.; Kukla, M.; Heeres, J.; Janssen, P.; De Corte, B.; Vingerhoets, J.; Pauwels, R.; de Béthune, M.-P.: TMC125, a novel next-generation nonnucleoside reverse transcriptase inhibitor active against nonnucleoside reverse transcriptase inhibitor-resistant human immunodeficiency virus type 1. Antimicrob. Agents Chemother. 48 (2004) 4680–4686.10.1128/AAC.48.12.4680-4686.2004Search in Google Scholar

3. Summa, V.; Petrocchi, A.; Bonelli, F.; Crescenzi, B.; Donghi, M.; Ferrara, M.; Fiore, F.; Gardelli, C.; Paz, O. G.; Hazuda, D. J.; Jones, P.; Kinzel, O.; Laufer, R.; Monteagudo, E.; Muraglia, E.; Nizi, E.; Orvieto, F.; Pace, P.; Pescatore, G.; Scarpelli, R.; Stillmock, K.; Witmer, M. V.; Rowley, M.: Discovery of raltegravir, a potent, selective orally bioavailable HIV-Integrase inhibitor for the treatment of HIV-AIDS infection. J. Med. Chem. 51 (2008) 5843–5855.10.1021/jm800245zSearch in Google Scholar

4. Yu, M.; Liu, X.; Li, Z.; Liu, S.; Pannecouque, C.; De Clercq, E.: Synthesis and biological evaluation of novel 2-(substituted phenylaminocarbonylmethylthio)-6- (2,6-dichlorobenzyl)-pyrimidin-4(3H)-ones as potent HIV-1 NNRTIs. Bioorg. Med. Chem. 17 (2009) 7749–7754.10.1016/j.bmc.2009.09.035Search in Google Scholar

5. Semaine, W.; Johar, M.; Tyrrell, D. L. J.; Kumar, R.; Agrawal, B.: Inhibition of hepatitis B virus (HBV) replication by pyrimidines bearing an acyclic moiety: Effect on wild-type and mutant HBV. J. Med. Chem. 49 (2006) 2049–2054.10.1021/jm058271dSearch in Google Scholar

6. Russ, P.; Schelling, P.; Scapozza, L.; Folkers, G.; De Clercq, E.; Marquez, V. E.: Synthesis and biological evaluation of 5-substituted derivatives of the potent antiherpes agent (north)-methanocarbathymine. J. Med. Chem. 46 (2003) 5045–5054.10.1021/jm030241sSearch in Google Scholar

7. Skorobogatyi, M. V.; Ustinov, A. V.; Stepanova, I. A.; Pchelintseva, A. A.; Petrunina, A. L.; Andronova, V. L.; Galegov, G. A.; Malakhov, A. D.; Korshun, V. A.: 5-Arylethynyl-2-deoxyuridines, compounds active against HSV-1. Org. Biomol. Chem. 4 (2006) 1091–1096.10.1039/b516804jSearch in Google Scholar

8. Onishi, T.; Mukai, C.; Nakagawa, R.; Sekiyama, T.; Aoki, M.; Suzuki, K.; Nakazawa, H.; Ono, N.; Ohmura, Y.; Iwayama, S.; Okunishi, M.; Tsuji, T.: Synthesis and antiviral activity of novel anti-VZV 5-substituted uracil nucleosides with a cyclopropane sugar moiety. J. Med. Chem. 43 (2000) 278–282.10.1021/jm9904194Search in Google Scholar

9. Saladino, R.; Crestini, C.; Palamara, A. T.; Danti, M. C.; Manetti, F.; Corelli, F.; Garaci, E.; Botta, M.: Synthesis, biological evaluation, and pharmacophore generation of uracil, 4(3H)-pyrimidinone, and uridine derivatives as potent and selective inhibitors of parainfluenza 1 (Sendai) virus. J. Med. Chem. 44 (2001) 4554–4562.10.1021/jm010938iSearch in Google Scholar

10. Matsushita, S.; Nitanda, T.; Furukawa, T.; Sumizawa, T.; Tani, A.; Nishimoto, K.; Akiba, S.; Miyadera, K.; Fukushima, M.; Yamada, Y.; Yoshida, H.; Kanzaki, T.; Akiyama, S.: The effect of a thymidine phosphorylase inhibitor on angiogenesis and apoptosis in tumors. Cancer Res. 59 (1999) 1911–1916.Search in Google Scholar

11. Ghoshal, K.; Jacob, S. T.: An alternative molecular mechanism of action of 5-fluorouracil, a potent anticancer drug. Biochem. Pharmacol. 53 (1997) 1569–1575.10.1016/S0006-2952(97)00040-3Search in Google Scholar

12. Klein, R. S.; Lenzi, M.; Lim, T. H.; Hotchkiss, K. A.; Wilson, P.; Schwartz, E. L.: Novel 6-substituted uracil analogs as inhibitors of the angiogenic actions of thymidine phosphorylase. Biochem. Pharmacol. 62 (2001) 1257–1263.10.1016/S0006-2952(01)00783-3Search in Google Scholar

13. Agarwal, N.; Srivastava, P.; Raghuwanshi, S. K.; Upadhyay, D. N.; Sinha, S.; Shukla, P. K.; Ram, V. J.: Chloropyrimidines as a new class of antimicrobial agents. Bioorg. Med. Chem. 10 (2002) 869–874.10.1016/S0968-0896(01)00374-1Search in Google Scholar

14. Agarwal, N.; Raghuwanshi, S. K.; Upadhyay, D. N.; Shukla, P. K.; Ram, V. J.: Suitably functionalised pyrimidines as potential antimycotic agents. Bioorg. Med. Chem. Lett. 10 (2000) 703–706.10.1016/S0960-894X(00)00091-3Search in Google Scholar

15. Al-Abdullah, E. S.; Al-Obaid A. M.; Al-Deeb, O. A.; Habib, E. E.; El-Emam, A. A.: Synthesis of novel 6-phenyl-2,4-disubstituted pyrimidine-5-carbonitriles as potential antimicrobial agents. Eur. J. Med. Chem. 46 (2011) 4642–4647.10.1016/j.ejmech.2011.08.003Search in Google Scholar

16. Al-Deeb, O. A.; Al-Turkistani, A. A.; Al-Abdullah, E. S.; El-Brollosy, N. R.; Habib, E. E.; El-Emam, A. A.: Pyrimidine-5-carbonitriles – part III: synthesis and antimicrobial activity of novel 6-(2-substituted propyl)-2,4-disubstituted pyrimidine-5-carbonitriles. Heterocycl. Commun. 19 (2013) 411–419.10.1515/hc-2013-0139Search in Google Scholar

17. Al-Abdullah, E. S.; Al-Turkistani, A. A.; Al-Deeb, O. A.; El-Brollosy, N. R.; Habib, E. E.; El-Emam, A. A.: Pyrimidine-5-carbonitriles II: synthesis and antimicrobial activity of novel 6-alkyl-2,4-disubstituted pyrimidine-5-carbonitriles. Drug Res. 64 (2014) 31–39.10.1055/s-0033-1351315Search in Google Scholar

18. CrysAlis CCD, CrysAlis RED and associated programs: Oxford Diffraction. Oxford Diffraction Ltd, Abingdon, England, 2006.Search in Google Scholar

19. Sheldrick, G. M.: A short history of SHELX. Acta Cryst. A64 (2008) 112–122.10.1107/S0108767307043930Search in Google Scholar PubMed

Received: 2015-11-20
Accepted: 2016-1-7
Published Online: 2016-1-30
Published in Print: 2016-3-1

©2016 Ali A. El-Emam et al., published by De Gruyter.

This work is licensed under the Creative Commons Attribution-NonCommercial-NoDerivatives 3.0 License.

Articles in the same Issue

  1. Cover and Frontmatter
  2. Crystal structure of rac-4,4,4-trifluoro-3-hydroxy-3-methylbutanoic acid, C5H7O2F3
  3. Crystal structure of 5-methyl-2-phenyl-1,3-dioxane-5-carboxylic acid, C12H14O4
  4. Crystal structure of ethyl 2-(2-(2-(4-chlorophenyl)-3-methylbutanamido)thiazol-4-yl)acetate, C18H21ClN2O3S
  5. The crystal structure of (4E,11E,31E,38E)-1,4,12,15,18,26,31,39-Octaaza-7,21,24-trihydroxy-penta-cyclo[13·13·13·16,10·120,24·133,37]tetratetraconta-4,6(44),7,9,11,18,20(43),21,23,25,31,33(42),34,36,38-pentadecaene, C36H42N8O3
  6. Crystal structure of poly[diaqua-μ5-4-(3,5-dicarboxylato-κ3O1:O2:O3-phenoxy)phthalato-κ3O5,O7:O8)(μ2-4-(1H-pyrazol-5-yl)pyridine-κ2N:N′)dicobalt(II)] C24H16N3O11Co2
  7. Crystal structure of catena-poly[(μ2-acetamido-benzoato-κ2O:O′)triphenyltin(IV)], C27H23NO3Sn
  8. Crystal structure of chlorido(2,2′-((1E,1′E)-(((1R,2R)-cyclohexane-1,2-diyl)bis(azanylylidene))bis(methylylidene))diphenolato-κ4N,N′,O,O′)iron(III), C20H20ClFeN2O2
  9. Crystal structure of (E)-3-(4-tert-butyl)phenyl)-1-(3-chlorophenyl)prop-2-en-1-one, C18H17CIO
  10. Crystal structure of trans-1,2-bis(pyridinium-4-yl)ethylene–2-carboxy-4-methylbenzoate (1/2), C30H26N2O8
  11. Crystal structure of poly[aqua-ethylenediamine-tetraacetatolead(II)zinc(II)]
  12. Crystal structure of (E)-2-((2-(2,4-dinitrophenyl)hydrazono)methyl)-4-nitrophenol — triethylamine (2/1), C32H33N11O14
  13. Crystal structure of catena-poly[diaqua-bis-(μ2-5-carboxy-2-(pyridin-4-yl)benzoato-κ2O:N)cadmium(II)] dihydrate, C26H24N2O12Cd
  14. Crystal structure of 2-(ethoxycarbonyl)-2-(2-nitro-1-phenylethyl)-3-oxopyrrolidinium chloride, C15H19N2O5Cl
  15. Crystal structure of 4-((pyridin-4-ylmethyl)sulfinyl)pyridine, C11H10N2OS
  16. Crystal structure of 2,5-diethoxy-1,4-bis[2-(quinoline)ethenyl]benzene, C32H28N2O2
  17. Crystal structure of diaqua(μ2-1,1′-biphenyl-4,4′-diylbis(1H-imidazole)-κ2N:N′)tetrakis(3-carboxy-5-ethylpyridine-2-carboxylato-κ2N,O)dizinc(II), C54H50N8O18Zn2
  18. Crystal structure of a poly[bis(3,4,5,6-tetrachlorophthalato)neodym(III)potassium(I)] — 4,4′-bipyridine — water (1/1/5.5)
  19. The second polymorph of triethylammonium 2,4,6-trisulfanylidene-1,3,5-triazinan-1-ide, C9H18N4S3
  20. Crystal structure of 2,2′-diamino-[1,1′-biphenyl]-4,4′-dicarboxylic acid dihydrate, C14H16N2O6
  21. Crystal structure of the catena-poly[bis(1H-imidazole-κN)-(μ2-furan-2,5-dicarboxylato-κ2O1:O4)manganese(II)]monohydrate, C12H12MnN4O6
  22. Crystal structure of (acetylacetonato-κ2O:O′)bis-((1-(2-hydroxyphenyl)-3-(pyridin-2-yl)prop-2-en-1-one)-κ2C,N)iridium(III), C33H27IrN2O6
  23. Crystal structure of 1-benzyl-3-(4-methylpyridin-2-yl)-1H-imidazol-3-ium hexafluorophosphate, C16H16F6N3P
  24. Crystal structure of tetraethylammonium 3,5-dinitrosalicylate, C15H23N3O7
  25. Crystal structure of 4-[5-(4-fluorophenyl)-3-(4-hydroxyphenyl)-4,5-dihydropyrazol-1-yl] benzenesulfonamide, C21H18FN3O3S
  26. Crystal structure of 2,4-dichlorobenzene anhydride, C14H6Cl4O3
  27. Crystal structure of bis(2-hydroxy-2-phenylacetato-κ2O,O′)bis(pyridine-κN)nickel(II), C26H24N2NiO6
  28. Crystal structure of (E)-4-nitro-2-(((3-(tetrahydro-8λ4-[1,3,2]oxazaborolo[2,3-b][1,3,2]oxaborol-8-yl)phenyl)imino)methyl)phenol – water (1/2), C17H18BN3O5·2H2O
  29. Crystal structure of 5-(4-carboxyphenoxy)-nicotinic acid, C13H9NO5
  30. Crystal structure of catena-poly[hexaaquabis(μ2-3-nitrophthalate-κ2O:O′)-(μ2-1,4-bis(4-pyridylmethyl)piperazine-κ2N:N′)dimanganese(II)] dihydrate, C32H42Mn2N6O20
  31. Crystal structure of diaquabis(bicyclo[2.2.1]hept-5-ene-2,3-dicarboxylate-κ4O, O′:/O′′,O′′′)bis-(2,2′-bipyridine-κ2N, N′)dicadmium(II) hydrate
  32. Crystal structure of (R)-1-(1-(6-fluorobenzo[d]thiazol-2-yl)ethyl)-3-phenylthiourea
  33. Crystal structure of poly[(μ2-1,4-bis((1H-imidiazol-1-yl)methyl)benzene-κ2N:N′)-(μ2-4,4′-(1,2-phenylenebis(oxy)dibenzoato-κ4O,O′:O′′,O′′′)nickel(II)], C34H26O6N4Ni
  34. Crystal structure of 3′,4′,5-trihydroxy-3,7-dimethoxyflavone, C17H14O7
  35. Crystal structure of n-butyl-chlorido-bis[N-sec-butyl,N-n-propyl-carbamodithioato κ2S,S′]-tin(IV), C20H41ClN2S4Sn
  36. Crystal structure of poly[bis(μ4-4,4′-(1,2-phenylenebis(oxy))dibenzoato-κ4O:O′:O′′:O′′′)bis(μ3-4,4′-(1,2-phenylenebis(oxy))dibenzoato–κ3O:O′:O′′)(μ2-1-(4-((1H-imidazol-1-yl)methyl)benzyl)-1H-imidazole-κ2N:N′)tetracobalt(II)], C94H62O24N4Co4
  37. Crystal structure of catenapoly[diaqua-(μ24,4′-bipyridine)-κ2N:N′)-bis(2,6-difluorobenzoate)-κO)nickel(II)] ethanol monosolvate, C28H30F4N2O8Ni
  38. Crystal structure of 2-(9H-fluoren-9-ylidene)hydrazine-1-carbothioamide, C14H11N3S
  39. Crystal structure of 2-(4-methoxyphenyl)-2,3-dihydro-1H-perimidine, C18H16N2O
  40. Crystal structure of catena-poly[diaquabis(μ2-3-carboxybenzene-1,2-dicarboxylato-1:2κ2O:O′)-(μ2-1,4-bis(2-ethylbenzimidazol-1-ylmethyl)-benzene-1:1′κ2N:N′)dizinc(II)], [Zn2(C26H26N4)(C9H4O6)2(H2O)2]
  41. Crystal structure of diaquabis(phenoxyacetato-κ2O,O′)-zinc(II), C16H18O8Zn
  42. Crystal structure of 4-(1H-imidazol-1-yl)-6-pyrimidinylferrocene, C17H14FeN4
  43. Crystal structure of [2-(4-methoxyphenyl)pyrazine-κ2C,N) chlorido[N,N′-bis-(2,6-diisopropyl-phenyl)imidazol-2-ylidene-κC)] palladium(II), C38H45ClN4OPd
  44. Crystal structure of 2-(4-acetyl-2,6-dimethyl-phenyl)-5,6-dichloro-isoindole-1,3-dione, C18H13Cl2NO3
  45. Crystal structure of 4,4′-bipyridin-1-ium 3,3′,5′-tricarboxy-[1,1′-biphenyl]-2-carboxylate, (C26H18N2O8)
  46. Crystal structure of catena-poly[diaqua-μ2-4,4′-biphenyl-4,4′-diyldipyridine-κ2N:N′-bis(5-carboxy-2,6-dimethylpyridine-3-carboxylato-κO)nickel(II)] dihydrate, C40H40N4O12Ni
  47. Crystal structure of poly-[μ2-4,4′-bipyridine-κ2N:N′−μ3-thiophene-2,3-di-carboxylato-κ4O,O′, O′′:O′′′ -cadmium(II)]
  48. Crystal structure of hexaaquamanganese(II) bis(3-carboxythiophene-2-carboxylate) C12H18MnO14S2
  49. Crystal structure of 4-(3-(pyridin-3-yl)-1H-1,2,4-triazol-5-yl)benzoic acid, C14H10N4O2
  50. Crystal structure of (E)-2-(benzo[d]thiazol-2-yl)-3-(pyridin-3-yl)acrylonitrile)
  51. Crystal structure of catena-poly[2,2′-bipyridinyl-6,6′-dicarboxylato-κ4N,N′,O,O′)-(μ2-2,2′-bipyridinyl-6′-carboxyl-6-carboxylato-κ5N,N′,O,O′:O′′)samarium(III)] monohydrate, C24H13N4O8Sm · H2O
  52. Crystal structure of catena-poly[bis(μ2-4-(3-(pyridin-3-yl)-1H-1,2,4-triazol-5-yl)benzoato)-κ2N:O)copper(II)] dihydrate, C28H22N8O6Cu
  53. Crystal structure of catena-poly[tetraaqua-(μ2-4,4′-bipyridine-k2N:N′)-zinc(II)] fumarate tetrahydrate, C14H26N2O12Zn
  54. Crystal structure of triaqua-(1,10-phenanthroline)-(dihydrogen-3,3′,3′′-(2,4,6-trioxo-1,3,5-triazinane-1,3,5-triyl)tripropanoato) cobalt(II)dihydrogen-3,3′,3′′-(2,4,6-trioxo-1,3,5-triazinane-1,3,5-triyl)tripropanoate, C72H82Co2N16O42
  55. Crystal structure of poly[dibromido-(μ2–4,4′-bis-(pyrid-4-yl)biphenyl-κ2N:N′)lead(II)], C22H16N2PbBr2
  56. Crystal structure of catena-poly[diaqua-bis(μ2-5-carboxy-2-(pyridin-4-yl)benzoato-κ2O:N)-cobalt(II)]dihydrate, C26H24N2O12Co
  57. Crystal structure of 5-(4-pyridyl)pyrimidine–4,4′-bipyridine–1,3,5-benzenetriol–water (1:1:1:1), C25H23N5O4
  58. Crystal structure of 5-hydroxy-4-((4-hydroxyphenyl)imino)naphthalen-1(4H)-one monohydrate, C16H11NO3 · 0.5H2O
  59. Crystal structure of 2-amino-N-(4-methoxyphenyl)benzamide, C14H14N2O2
  60. Crystal structure of (2,5-dihydroxyphenyl)-(4-hydroxy-3,5-dimethoxyphenyl)methanone, C15H14O6
  61. Crystal structure of dichlorido[bis(2-hydroxyethyl)5′-([2,2′:6′,2′′-terpyridin]-4′-yl)-[1,1′:3′,1′′-terphenyl]-4,4′′-dicarboxylato]zinc(II), C39H31Cl2N3O6Zn
  62. Crystal structure of bis[4-(3-carboxy-6-fluoro-1-(4-fluorophenyl)-4-oxo-1,4-dihydroquinolin-7-yl)piperazin-1-ium] benzene-1,4-dicarboxylate (C20H18F2N3O3)2(C8H4O4), C48H40F4N6O10
  63. Crystal structure of (2,5-dihydroxyphenyl)-(4-methoxyphenyl)methanone, C14H12O4
  64. Crystal structure of photochromic 1-(2-methyl-5-phenyl-3-thienyl-2-[2-methyl-5-(4-ethoxylphenyl)-3-thienyl] 3,3,4,4,5,5-hexafluoro-cyclopent-1-ene, C29H22F6OS2
  65. Crystal structure of poly[diaquabis(μ2-biphenyl-2,4′-dicarboxylato-κ2O:O′)tris(μ2-1,1′-biphenyl-4,4′-diylbis(1H-imidazole)-κ2N:N′)dicobalt(II)] monohydrat, C82H64N12O11Co2
  66. Crystal structure of 2-amino-4-(3,4-difluorophenyl)-5-oxo-5,6,7,8-tetrahydro-4H-chromene-3-carbonitrile, C16H12N2O2F2
  67. Crystal structure of poly[(di-μ2-aqua-κ2O:O)bis(μ5-oxalato-1:2κ2O1; 1κ1O2; 3:4:5κ3O3; 3κ1O4)(μ4-oxalato-1:2κ2O1; 2:3κ2O2; 3:4κ2O3; 4:1κ2O4)dizinc(II)disodium(I)]
  68. Crystal structure of tetraethylammonium hexachloridotantalate(V), C8H20Cl6NTa
  69. Crystal structure of (E)-2,4-dibromo-6-(((2-nitrophenyl)imino)methyl)phenol, C13H8Br2N2O3
  70. The crystal structure of 6-chloro-2,4-diphenylquinoline
  71. Crystal structure of (E)-2-(((1,10-phenanthrolin-5-yl)imino)methyl)-5-methylphenol monohydrate, C20H15N3O·H2O
  72. Crystal structure of tris(3-(2-pyridyl)pyrazole)zinc(II)tetrachlorido zincate(II), C24H21Cl4N9Zn2
  73. Crystal structure of 4-chloro-N,N-diethyl-6-(piperidin-1-yl)-1,3,5-triazin-2-amine, C12H20ClN5
  74. The crystal structure of 4-allyl-5-benzyl-2,4-dihydro-3H-1,2,4-triazol-3-one, C12H13N3O
  75. Crystal structure of diethyl 2-(((2-(pyridin-3-ylthio)phenyl)amino)methylene)malonate, C19H20N2O4S
  76. Crystal structure of fac-tricarbonyl(2-(isopropylimino)methyl-5-methylphenolatido-κ2N,O)(pyridine-κN)rhenium(I), C19H19N2O4Re
  77. Crystal structure of 1,3,6,8-tetrakis(p-tolylthio)pyrene, C44H34S4
  78. Crystal structure of catena-poly-(diaqua-(μ2-1,2-bis(4-pyridyl)ethene-κ2N:N′)-(4-methylphthalato-κ2O,O′)-cobalt(II)trihydrate, C21H26CoN2O9
  79. Crystal structure of tetraethylammonium fac-tricarbonyl(hexafluoroacetylacetonato-κ2O,O′)-(nitrato-κO)rhenium(I), C16H21O8N2F6Re
  80. Crystal structure of 3-(thiophen-2-yl)-5-(p-tolyl)-4,5-dihydro-1H-pyrazole-1-carboxamide
  81. Crystal structure of bis(1-ethyl-3-methylimidazolium) tetrabromidocadmate(II), [C6H11N2]2[CdBr4]
  82. Crystal structure of N′-(adamantan-2-ylidene)-isonicotinohydrazide, C16H19N3O
  83. Crystal structure of trans-tetraaquabis(4-(pyridin-4-ylsulfonyl)pyridine-κN)cobalt(II) diperchlorate dihydrate, C20H28Cl2CoN4O18S2
  84. Crystal structure of (Z)-4-(furan-2-yl(p-tolylamino)methylene)-3-methyl-1-p-tolyl-1H-pyrazol-5(4H)-one, C23H21N3O2
  85. Crystal structure of 2-[(4-fluorobenzyl)sulfanyl]-4-(2-methylpropyl)-6-oxo-1,6-dihydropyrimidine-5-carbonitrile, C16H16FN3OS
  86. Crystal structure of poly[octaaqua-tris(benzene-1,2,4,5-tetracarboxylato)tetralanthanum(III)] hexahydrate, C30H34La4O38
  87. Crystal structure of trans-tetraaqua-bis(4,4′-sulfonyldipyridine-κN)zinc(II) diperchlorate dihydrate, C20H28Cl2ZnN4O18S2
  88. Crystal structure of 4-nitro-thiophene-2-carboxylic acid, a structure with a Z′ = 4, C5H3NO4S
  89. Crystal structure of dirubidium trimercury(II) tetraselenide, Rb2Hg3Se4
  90. Crystal structure of 5-(adamantan-1-yl)-3-[(4-chloroanilino)methyl]-2,3-dihydro-1,3,4-oxadiazole-2-thione, C19H22ClN3OS
  91. Crystal structure of hexaaquamagnesium(II) 5,5′-bitetrazole-1,1′-diolate, C2H12N8O8Mg
  92. The crystal structure of catena-poly[(μ2-1,1′-benzene-1,4-diylbis(1H-benzimidazole-κ2N:N′)silver(I)] nitrate, C20H14N5AgO3
  93. The crystal structure of 1-(2-(4-chlorophenoxy)-4-chlorophenyl)ethanone, C14H10Cl2O2
  94. The crystal structure of 3,5-dinitro-1,3,5-oxadiazinane, C3H6N4O5
  95. Crystal structure of methyl 5-methoxy 1H-indole-2-carboxylate, C11H11NO3
  96. Crystal structure of (Z)-1-(((3-acetyl-2-hydroxyphenyl)amino)methylene)naphthalen-2(1H)-one, C19H15NO3
  97. Crystal structure of (Z)-5-(4-chlorobenzylidene)-2-thioxothiazolidin-4-one —dimethylsulfoxide (1:1), C12H12ClNO2S3
  98. Crystal structure of 5,5′-((4-(trifluoromethyl)phenyl)methylene)bis(1,3-dimethylpyrimidine-2,4,6(1H,3H,5H)-trione) – diethylamine – dichloromethane (1/1/1) C25H32Cl2F3N5O6
  99. Crystal structure of 2-(dimethylsulfanylidene)-N-(4-methoxyphenyl)-3-oxo-3-phenylpropanamide
  100. Crystal structure of (1,10-phenanthroline-κ2N,N′)bis(thiocyanato-κN)platinum(II), C14H8N4PtS2
  101. Crystal structure of di(μ2-chlorido)bis[2-(2-pyridyl)phenyl-κ2N,C1]dipalladium(II), C22H16Cl2N2Pd2
  102. Crystal structure of trans-dibromidodi(pyridine-κN)palladium(II), PdBr2(C5H5N)2
Downloaded on 26.12.2025 from https://www.degruyterbrill.com/document/doi/10.1515/ncrs-2015-0123/html
Scroll to top button