Abstract
C16H16F6N3P, monoclinic, P21/n, a = 8.6414(8) Å, b = 20.755(2) Å, c = 10.1157(8) Å, β = 104.686(9)°, V = 1755.0(3) Å3, Z = 4, Rgt(F) = 0.0547, wRref(F2) = 0.1496, T = 291(2) K.

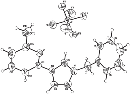
The crystal structure is shown in the figure. Tables 1–3 contain details of the measurement method and a list of the atoms including atomic coordinates and displacement parameters.
Data collection and handling.
| Crystal: | Colorless blocks, size 0.17×0.18×0.2 mm |
| Wavelength: | Cu Kα radiation (1.54184 Å) |
| μ: | 20.14 cm−1 |
| Diffractometer, scan mode: | Xcalibur, Eos, Gemini, ω scans |
| 2θmax: | 134.15° |
| N(hkl)measured, N(hkl)unique: | 6326, 3133 |
| N(param)refined: | 237 |
| Programs: | SHELX [5–7] |
Fractional atomic coordinates and isotropic or equivalent isotropic displacement parameters (Å2).
| Atom | Site | x | y | z | Uiso |
|---|---|---|---|---|---|
| H(1) | 4e | 0.2556 | 0.7912 | 0.2813 | 0.097 |
| H(2) | 4e | 0.0665 | 0.8399 | 0.1102 | 0.123 |
| H(3) | 4e | −0.0612 | 0.9285 | 0.1518 | 0.143 |
| H(4) | 4e | −0.0013 | 0.9739 | 0.3644 | 0.148 |
| H(5) | 4e | 0.1840 | 0.9249 | 0.5419 | 0.110 |
| H(7A) | 4e | 0.4377 | 0.7960 | 0.4927 | 0.118 |
| H(7B) | 4e | 0.4399 | 0.8552 | 0.5893 | 0.118 |
| H(8) | 4e | 0.4108 | 0.8180 | 0.8237 | 0.088 |
| H(9) | 4e | 0.2813 | 0.7293 | 0.9109 | 0.083 |
| H(10) | 4e | 0.1783 | 0.7145 | 0.5082 | 0.080 |
| H(12) | 4e | 0.2076 | 0.6207 | 0.9084 | 0.086 |
| H(13) | 4e | 0.0529 | 0.5284 | 0.9025 | 0.103 |
| H(14) | 4e | −0.1303 | 0.5014 | 0.7039 | 0.102 |
| H(16A) | 4e | −0.2805 | 0.5938 | 0.4351 | 0.152 |
| H(16B) | 4e | −0.2549 | 0.5202 | 0.4683 | 0.152 |
| H(16C) | 4e | −0.1465 | 0.5559 | 0.3887 | 0.152 |
Atomic displacement parameters (Å2).
| Atom | Site | x | y | z | U11 | U22 | U33 | U12 | U13 | U23 |
|---|---|---|---|---|---|---|---|---|---|---|
| C(1) | 4e | 0.2040(5) | 0.8281(2) | 0.3001(4) | 0.088(2) | 0.062(2) | 0.095(2) | −0.014(2) | 0.029(2) | 0.001(2) |
| C(2) | 4e | 0.0909(6) | 0.8573(3) | 0.1978(4) | 0.109(3) | 0.124(4) | 0.068(2) | −0.037(3) | 0.012(2) | 0.015(2) |
| C(3) | 4e | 0.0161(6) | 0.9096(3) | 0.2223(6) | 0.086(3) | 0.135(5) | 0.132(4) | 0.001(3) | 0.019(3) | 0.069(4) |
| C(4) | 4e | 0.0502(7) | 0.9364(2) | 0.3488(7) | 0.120(4) | 0.093(3) | 0.179(5) | 0.040(3) | 0.077(4) | 0.035(4) |
| C(5) | 4e | 0.1624(5) | 0.9075(2) | 0.4544(4) | 0.116(3) | 0.078(2) | 0.093(3) | −0.002(2) | 0.050(2) | −0.005(2) |
| C(6) | 4e | 0.2419(4) | 0.8530(1) | 0.4303(3) | 0.062(2) | 0.058(2) | 0.069(2) | −0.016(1) | 0.012(1) | 0.012(1) |
| C(7) | 4e | 0.3723(4) | 0.8219(2) | 0.5371(4) | 0.067(2) | 0.114(3) | 0.104(3) | −0.024(2) | 0.006(2) | 0.040(2) |
| C(8) | 4e | 0.3476(4) | 0.7861(2) | 0.7720(3) | 0.061(2) | 0.076(2) | 0.075(2) | −0.007(2) | 0.003(2) | −0.008(2) |
| C(9) | 4e | 0.2766(4) | 0.7375(2) | 0.8196(3) | 0.066(2) | 0.089(2) | 0.050(1) | 0.000(2) | 0.010(1) | −0.005(2) |
| C(10) | 4e | 0.2192(4) | 0.7291(2) | 0.5971(3) | 0.061(2) | 0.083(2) | 0.050(1) | −0.015(2) | 0.002(1) | 0.011(1) |
| C(11) | 4e | 0.1049(3) | 0.6440(1) | 0.7108(3) | 0.054(1) | 0.063(2) | 0.057(2) | 0.003(1) | 0.017(1) | 0.003(1) |
| C(12) | 4e | 0.1318(4) | 0.6085(2) | 0.8296(3) | 0.075(2) | 0.080(2) | 0.061(2) | 0.005(2) | 0.021(2) | 0.013(2) |
| C(13) | 4e | 0.0407(5) | 0.5542(2) | 0.8252(4) | 0.098(3) | 0.079(2) | 0.089(2) | 0.008(2) | 0.038(2) | 0.023(2) |
| C(14) | 4e | −0.0677(5) | 0.5381(2) | 0.7072(4) | 0.084(2) | 0.061(2) | 0.123(3) | −0.003(2) | 0.049(2) | 0.007(2) |
| C(15) | 4e | −0.0857(4) | 0.5763(2) | 0.5914(4) | 0.058(2) | 0.066(2) | 0.091(2) | −0.003(2) | 0.023(2) | −0.006(2) |
| C(16) | 4e | −0.2023(5) | 0.5601(2) | 0.4590(4) | 0.085(3) | 0.094(3) | 0.115(3) | −0.023(2) | 0.008(2) | −0.018(2) |
| N(1) | 4e | 0.3103(3) | 0.7803(1) | 0.6324(3) | 0.054(1) | 0.083(2) | 0.069(2) | −0.014(1) | −0.002(1) | 0.017(1) |
| N(2) | 4e | 0.1949(3) | 0.7018(1) | 0.7093(2) | 0.054(1) | 0.068(1) | 0.046(1) | −0.001(1) | 0.0086(9) | 0.005(1) |
| N(3) | 4e | 0.0020(3) | 0.6300(1) | 0.5938(2) | 0.053(1) | 0.064(1) | 0.061(1) | −0.002(1) | 0.014(1) | 0.001(1) |
| F(1) | 4e | 0.1954(3) | 0.6561(2) | 0.3122(3) | 0.082(1) | 0.178(3) | 0.106(2) | 0.020(2) | 0.035(1) | −0.027(2) |
| F(2) | 4e | 0.4490(3) | 0.6849(1) | 0.3512(2) | 0.100(2) | 0.098(2) | 0.093(1) | −0.021(1) | −0.002(1) | −0.014(1) |
| F(3) | 4e | 0.2853(4) | 0.6900(1) | 0.1399(2) | 0.206(3) | 0.080(1) | 0.071(1) | −0.014(2) | 0.003(2) | 0.017(1) |
| F(4) | 4e | 0.4795(4) | 0.6160(2) | 0.1904(4) | 0.130(2) | 0.182(3) | 0.178(3) | −0.001(2) | 0.098(2) | −0.043(3) |
| F(5) | 4e | 0.2233(3) | 0.5867(1) | 0.1512(2) | 0.128(2) | 0.082(1) | 0.068(1) | −0.016(1) | −0.009(1) | −0.005(1) |
| F(6) | 4e | 0.3857(3) | 0.5806(1) | 0.3610(2) | 0.119(2) | 0.093(2) | 0.087(1) | −0.003(1) | −0.017(1) | 0.024(1) |
| P(1) | 4e | 0.33791(9) | 0.63520(4) | 0.25089(7) | 0.0625(5) | 0.0682(5) | 0.0512(4) | 0.0029(4) | 0.0105(3) | −0.0002(3) |
Source of material
The title compound was obtained by the follow method: the mixture of benzyl chloride (2.52 g, 20 mmol) and 2-(imidazol-1-yl)pyridine (1.45 g, 10 mmol) was refluxed for 40 h in ethyl acetate (30 mL). After the solvent was evaporated, the residue was dissolved in acetone (50 mL), then KPF6 (2.76 g, 15 mmol) was added and reacted for 3 h. After the precipitate was filtrated, the organic solvent was evaporated and a white powder was obtained (2.7 g, yield 71%). Single crystals suitable for X-ray diffraction were obtained by crystallization from methanol.
Discussion
Since the isolation of the thermally stable, free N-heterocyclic carbenes (NHCs) by Arduengo et al. in 1991, metal complexes based on NHCs have been extensively reported for their intriguing structures and numerous applications in catalysis, medicine, and materials chemistry [1–3]. It has been known that imidazolium salt precursors are suitable for the synthesis of NHCs complexes [4]. So we focus on new imidazolium salts with different substituents that can provide metal complexes with interesting properties.
The asymmetric unit of the title compound consists of one 1-benzyl-3-(4-methylpyridin-2-yl)-1H-imidazol-3-ium cation and one PF6− anion. In the cation, the dihedral angles between the benzene ring (C1—C6), the imidazolium ring (C8—C10/N1/N2), and the pyridine ring (C11—C15/N3) are 71.71(4)°, 20.48(3)°, and 66.76(3)°, respectively. The bond of C11—N2 (1.433(4) Å) is slightly shorter than a single C—N bond, indicating a small double bond character. In the imidazolium group, the bonding pattern presents two short C—N bonds (C10—N1 = 1.316(4) Å, C10—N2 = 1.332(3) Å), one short C—C bond (C8—C9 = 1.332(5) Å), and two longer C—N bonds (C8—N1 = 1.371(4) Å, C9—N2 = 1.376(4) Å).
Experimental details
The hydrogen atoms were assigned with common isotropic displacement factors Uiso(H) = 1.2 times Ueq(C, aromatic ring), Uiso(H) = 1.2 times Ueq(C, methylene) and Uiso(H) = 1.5 times Ueq(C, methyl). The final refinement was executed using geometrical restraints, with C–H = 0.93 Å (aromatic ring), C–H = 0.96 Å (methyl), and C–H = 0.97 Å (methylene).
Acknowledgements:
This work was supported by the Science and Technology Development Plan of Luoyang City (No. 1301059A) and the Science and Technology Research Projects of Education Department of Henan Province (No. 13A150804).
References
1. Pugh, D.; Danopoulos, A. A.: Metal complexes with `pincer'-type ligands incorporating N-Heterocyclic carbene functionalities. Coord. Chem. Rev. 251 (2007) 610–641.10.1016/j.ccr.2006.08.001Search in Google Scholar
2. Catalano, V. J.; Munro, L. B.; Strasser, C. E.; Samin, A. F.: Modulation of metal-metal separations in a series of Ag(I) and intensely blue photoluminescent Cu(I) NHC-Bridged triangular clusters. Inorg. Chem. 50 (2011) 8465–8476.10.1021/ic201053tSearch in Google Scholar PubMed
3. Gimeno, M.C.; Laguna, A.; Visbal, R.: N-Heterocyclic carbene coinage metal complexes as intense blue-green emitters. Organometallics. 31 (2012) 7146–7157.10.1021/om300571mSearch in Google Scholar
4. Gründemann, S.; Kovacevic, A.; Albrecht, M.; Faller, J. W.; Crabtree, R. H.: Abnormal ligand binding and reversible ring hydrogenation in the reaction of imidazolium salts with IrH5(PPh3)2. J. Am. Chem. Soc. 124 (2002) 10473–10481.10.1021/ja026735gSearch in Google Scholar PubMed
5. Sheldrick, G. M.: SHELXS-97. Program for the solution of crystal structures. University of Göttingen, Germany 1997.Search in Google Scholar
6. Sheldrick, G. M.: SHELXL-97. Program for the refinement of crystal structures. University of Göttingen, Germany 1997.Search in Google Scholar
7. Sheldrick, G. M.: SHELXTL. Structure determination software suite. Version 5.10. Bruker AXS, Madison, Wisconsin, USA 1998.Search in Google Scholar
©2016 Zhi-Qiang Wang et al., published by De Gruyter.
This work is licensed under the Creative Commons Attribution-NonCommercial-NoDerivatives 3.0 License.
Articles in the same Issue
- Cover and Frontmatter
- Crystal structure of rac-4,4,4-trifluoro-3-hydroxy-3-methylbutanoic acid, C5H7O2F3
- Crystal structure of 5-methyl-2-phenyl-1,3-dioxane-5-carboxylic acid, C12H14O4
- Crystal structure of ethyl 2-(2-(2-(4-chlorophenyl)-3-methylbutanamido)thiazol-4-yl)acetate, C18H21ClN2O3S
- The crystal structure of (4E,11E,31E,38E)-1,4,12,15,18,26,31,39-Octaaza-7,21,24-trihydroxy-penta-cyclo[13·13·13·16,10·120,24·133,37]tetratetraconta-4,6(44),7,9,11,18,20(43),21,23,25,31,33(42),34,36,38-pentadecaene, C36H42N8O3
- Crystal structure of poly[diaqua-μ5-4-(3,5-dicarboxylato-κ3O1:O2:O3-phenoxy)phthalato-κ3O5,O7:O8)(μ2-4-(1H-pyrazol-5-yl)pyridine-κ2N:N′)dicobalt(II)] C24H16N3O11Co2
- Crystal structure of catena-poly[(μ2-acetamido-benzoato-κ2O:O′)triphenyltin(IV)], C27H23NO3Sn
- Crystal structure of chlorido(2,2′-((1E,1′E)-(((1R,2R)-cyclohexane-1,2-diyl)bis(azanylylidene))bis(methylylidene))diphenolato-κ4N,N′,O,O′)iron(III), C20H20ClFeN2O2
- Crystal structure of (E)-3-(4-tert-butyl)phenyl)-1-(3-chlorophenyl)prop-2-en-1-one, C18H17CIO
- Crystal structure of trans-1,2-bis(pyridinium-4-yl)ethylene–2-carboxy-4-methylbenzoate (1/2), C30H26N2O8
- Crystal structure of poly[aqua-ethylenediamine-tetraacetatolead(II)zinc(II)]
- Crystal structure of (E)-2-((2-(2,4-dinitrophenyl)hydrazono)methyl)-4-nitrophenol — triethylamine (2/1), C32H33N11O14
- Crystal structure of catena-poly[diaqua-bis-(μ2-5-carboxy-2-(pyridin-4-yl)benzoato-κ2O:N)cadmium(II)] dihydrate, C26H24N2O12Cd
- Crystal structure of 2-(ethoxycarbonyl)-2-(2-nitro-1-phenylethyl)-3-oxopyrrolidinium chloride, C15H19N2O5Cl
- Crystal structure of 4-((pyridin-4-ylmethyl)sulfinyl)pyridine, C11H10N2OS
- Crystal structure of 2,5-diethoxy-1,4-bis[2-(quinoline)ethenyl]benzene, C32H28N2O2
- Crystal structure of diaqua(μ2-1,1′-biphenyl-4,4′-diylbis(1H-imidazole)-κ2N:N′)tetrakis(3-carboxy-5-ethylpyridine-2-carboxylato-κ2N,O)dizinc(II), C54H50N8O18Zn2
- Crystal structure of a poly[bis(3,4,5,6-tetrachlorophthalato)neodym(III)potassium(I)] — 4,4′-bipyridine — water (1/1/5.5)
- The second polymorph of triethylammonium 2,4,6-trisulfanylidene-1,3,5-triazinan-1-ide, C9H18N4S3
- Crystal structure of 2,2′-diamino-[1,1′-biphenyl]-4,4′-dicarboxylic acid dihydrate, C14H16N2O6
- Crystal structure of the catena-poly[bis(1H-imidazole-κN)-(μ2-furan-2,5-dicarboxylato-κ2O1:O4)manganese(II)]monohydrate, C12H12MnN4O6
- Crystal structure of (acetylacetonato-κ2O:O′)bis-((1-(2-hydroxyphenyl)-3-(pyridin-2-yl)prop-2-en-1-one)-κ2C,N)iridium(III), C33H27IrN2O6
- Crystal structure of 1-benzyl-3-(4-methylpyridin-2-yl)-1H-imidazol-3-ium hexafluorophosphate, C16H16F6N3P
- Crystal structure of tetraethylammonium 3,5-dinitrosalicylate, C15H23N3O7
- Crystal structure of 4-[5-(4-fluorophenyl)-3-(4-hydroxyphenyl)-4,5-dihydropyrazol-1-yl] benzenesulfonamide, C21H18FN3O3S
- Crystal structure of 2,4-dichlorobenzene anhydride, C14H6Cl4O3
- Crystal structure of bis(2-hydroxy-2-phenylacetato-κ2O,O′)bis(pyridine-κN)nickel(II), C26H24N2NiO6
- Crystal structure of (E)-4-nitro-2-(((3-(tetrahydro-8λ4-[1,3,2]oxazaborolo[2,3-b][1,3,2]oxaborol-8-yl)phenyl)imino)methyl)phenol – water (1/2), C17H18BN3O5·2H2O
- Crystal structure of 5-(4-carboxyphenoxy)-nicotinic acid, C13H9NO5
- Crystal structure of catena-poly[hexaaquabis(μ2-3-nitrophthalate-κ2O:O′)-(μ2-1,4-bis(4-pyridylmethyl)piperazine-κ2N:N′)dimanganese(II)] dihydrate, C32H42Mn2N6O20
- Crystal structure of diaquabis(bicyclo[2.2.1]hept-5-ene-2,3-dicarboxylate-κ4O, O′:/O′′,O′′′)bis-(2,2′-bipyridine-κ2N, N′)dicadmium(II) hydrate
- Crystal structure of (R)-1-(1-(6-fluorobenzo[d]thiazol-2-yl)ethyl)-3-phenylthiourea
- Crystal structure of poly[(μ2-1,4-bis((1H-imidiazol-1-yl)methyl)benzene-κ2N:N′)-(μ2-4,4′-(1,2-phenylenebis(oxy)dibenzoato-κ4O,O′:O′′,O′′′)nickel(II)], C34H26O6N4Ni
- Crystal structure of 3′,4′,5-trihydroxy-3,7-dimethoxyflavone, C17H14O7
- Crystal structure of n-butyl-chlorido-bis[N-sec-butyl,N-n-propyl-carbamodithioato κ2S,S′]-tin(IV), C20H41ClN2S4Sn
- Crystal structure of poly[bis(μ4-4,4′-(1,2-phenylenebis(oxy))dibenzoato-κ4O:O′:O′′:O′′′)bis(μ3-4,4′-(1,2-phenylenebis(oxy))dibenzoato–κ3O:O′:O′′)(μ2-1-(4-((1H-imidazol-1-yl)methyl)benzyl)-1H-imidazole-κ2N:N′)tetracobalt(II)], C94H62O24N4Co4
- Crystal structure of catenapoly[diaqua-(μ24,4′-bipyridine)-κ2N:N′)-bis(2,6-difluorobenzoate)-κO)nickel(II)] ethanol monosolvate, C28H30F4N2O8Ni
- Crystal structure of 2-(9H-fluoren-9-ylidene)hydrazine-1-carbothioamide, C14H11N3S
- Crystal structure of 2-(4-methoxyphenyl)-2,3-dihydro-1H-perimidine, C18H16N2O
- Crystal structure of catena-poly[diaquabis(μ2-3-carboxybenzene-1,2-dicarboxylato-1:2κ2O:O′)-(μ2-1,4-bis(2-ethylbenzimidazol-1-ylmethyl)-benzene-1:1′κ2N:N′)dizinc(II)], [Zn2(C26H26N4)(C9H4O6)2(H2O)2]
- Crystal structure of diaquabis(phenoxyacetato-κ2O,O′)-zinc(II), C16H18O8Zn
- Crystal structure of 4-(1H-imidazol-1-yl)-6-pyrimidinylferrocene, C17H14FeN4
- Crystal structure of [2-(4-methoxyphenyl)pyrazine-κ2C,N) chlorido[N,N′-bis-(2,6-diisopropyl-phenyl)imidazol-2-ylidene-κC)] palladium(II), C38H45ClN4OPd
- Crystal structure of 2-(4-acetyl-2,6-dimethyl-phenyl)-5,6-dichloro-isoindole-1,3-dione, C18H13Cl2NO3
- Crystal structure of 4,4′-bipyridin-1-ium 3,3′,5′-tricarboxy-[1,1′-biphenyl]-2-carboxylate, (C26H18N2O8)
- Crystal structure of catena-poly[diaqua-μ2-4,4′-biphenyl-4,4′-diyldipyridine-κ2N:N′-bis(5-carboxy-2,6-dimethylpyridine-3-carboxylato-κO)nickel(II)] dihydrate, C40H40N4O12Ni
- Crystal structure of poly-[μ2-4,4′-bipyridine-κ2N:N′−μ3-thiophene-2,3-di-carboxylato-κ4O,O′, O′′:O′′′ -cadmium(II)]
- Crystal structure of hexaaquamanganese(II) bis(3-carboxythiophene-2-carboxylate) C12H18MnO14S2
- Crystal structure of 4-(3-(pyridin-3-yl)-1H-1,2,4-triazol-5-yl)benzoic acid, C14H10N4O2
- Crystal structure of (E)-2-(benzo[d]thiazol-2-yl)-3-(pyridin-3-yl)acrylonitrile)
- Crystal structure of catena-poly[2,2′-bipyridinyl-6,6′-dicarboxylato-κ4N,N′,O,O′)-(μ2-2,2′-bipyridinyl-6′-carboxyl-6-carboxylato-κ5N,N′,O,O′:O′′)samarium(III)] monohydrate, C24H13N4O8Sm · H2O
- Crystal structure of catena-poly[bis(μ2-4-(3-(pyridin-3-yl)-1H-1,2,4-triazol-5-yl)benzoato)-κ2N:O)copper(II)] dihydrate, C28H22N8O6Cu
- Crystal structure of catena-poly[tetraaqua-(μ2-4,4′-bipyridine-k2N:N′)-zinc(II)] fumarate tetrahydrate, C14H26N2O12Zn
- Crystal structure of triaqua-(1,10-phenanthroline)-(dihydrogen-3,3′,3′′-(2,4,6-trioxo-1,3,5-triazinane-1,3,5-triyl)tripropanoato) cobalt(II)dihydrogen-3,3′,3′′-(2,4,6-trioxo-1,3,5-triazinane-1,3,5-triyl)tripropanoate, C72H82Co2N16O42
- Crystal structure of poly[dibromido-(μ2–4,4′-bis-(pyrid-4-yl)biphenyl-κ2N:N′)lead(II)], C22H16N2PbBr2
- Crystal structure of catena-poly[diaqua-bis(μ2-5-carboxy-2-(pyridin-4-yl)benzoato-κ2O:N)-cobalt(II)]dihydrate, C26H24N2O12Co
- Crystal structure of 5-(4-pyridyl)pyrimidine–4,4′-bipyridine–1,3,5-benzenetriol–water (1:1:1:1), C25H23N5O4
- Crystal structure of 5-hydroxy-4-((4-hydroxyphenyl)imino)naphthalen-1(4H)-one monohydrate, C16H11NO3 · 0.5H2O
- Crystal structure of 2-amino-N-(4-methoxyphenyl)benzamide, C14H14N2O2
- Crystal structure of (2,5-dihydroxyphenyl)-(4-hydroxy-3,5-dimethoxyphenyl)methanone, C15H14O6
- Crystal structure of dichlorido[bis(2-hydroxyethyl)5′-([2,2′:6′,2′′-terpyridin]-4′-yl)-[1,1′:3′,1′′-terphenyl]-4,4′′-dicarboxylato]zinc(II), C39H31Cl2N3O6Zn
- Crystal structure of bis[4-(3-carboxy-6-fluoro-1-(4-fluorophenyl)-4-oxo-1,4-dihydroquinolin-7-yl)piperazin-1-ium] benzene-1,4-dicarboxylate (C20H18F2N3O3)2(C8H4O4), C48H40F4N6O10
- Crystal structure of (2,5-dihydroxyphenyl)-(4-methoxyphenyl)methanone, C14H12O4
- Crystal structure of photochromic 1-(2-methyl-5-phenyl-3-thienyl-2-[2-methyl-5-(4-ethoxylphenyl)-3-thienyl] 3,3,4,4,5,5-hexafluoro-cyclopent-1-ene, C29H22F6OS2
- Crystal structure of poly[diaquabis(μ2-biphenyl-2,4′-dicarboxylato-κ2O:O′)tris(μ2-1,1′-biphenyl-4,4′-diylbis(1H-imidazole)-κ2N:N′)dicobalt(II)] monohydrat, C82H64N12O11Co2
- Crystal structure of 2-amino-4-(3,4-difluorophenyl)-5-oxo-5,6,7,8-tetrahydro-4H-chromene-3-carbonitrile, C16H12N2O2F2
- Crystal structure of poly[(di-μ2-aqua-κ2O:O)bis(μ5-oxalato-1:2κ2O1; 1κ1O2; 3:4:5κ3O3; 3κ1O4)(μ4-oxalato-1:2κ2O1; 2:3κ2O2; 3:4κ2O3; 4:1κ2O4)dizinc(II)disodium(I)]
- Crystal structure of tetraethylammonium hexachloridotantalate(V), C8H20Cl6NTa
- Crystal structure of (E)-2,4-dibromo-6-(((2-nitrophenyl)imino)methyl)phenol, C13H8Br2N2O3
- The crystal structure of 6-chloro-2,4-diphenylquinoline
- Crystal structure of (E)-2-(((1,10-phenanthrolin-5-yl)imino)methyl)-5-methylphenol monohydrate, C20H15N3O·H2O
- Crystal structure of tris(3-(2-pyridyl)pyrazole)zinc(II)tetrachlorido zincate(II), C24H21Cl4N9Zn2
- Crystal structure of 4-chloro-N,N-diethyl-6-(piperidin-1-yl)-1,3,5-triazin-2-amine, C12H20ClN5
- The crystal structure of 4-allyl-5-benzyl-2,4-dihydro-3H-1,2,4-triazol-3-one, C12H13N3O
- Crystal structure of diethyl 2-(((2-(pyridin-3-ylthio)phenyl)amino)methylene)malonate, C19H20N2O4S
- Crystal structure of fac-tricarbonyl(2-(isopropylimino)methyl-5-methylphenolatido-κ2N,O)(pyridine-κN)rhenium(I), C19H19N2O4Re
- Crystal structure of 1,3,6,8-tetrakis(p-tolylthio)pyrene, C44H34S4
- Crystal structure of catena-poly-(diaqua-(μ2-1,2-bis(4-pyridyl)ethene-κ2N:N′)-(4-methylphthalato-κ2O,O′)-cobalt(II)trihydrate, C21H26CoN2O9
- Crystal structure of tetraethylammonium fac-tricarbonyl(hexafluoroacetylacetonato-κ2O,O′)-(nitrato-κO)rhenium(I), C16H21O8N2F6Re
- Crystal structure of 3-(thiophen-2-yl)-5-(p-tolyl)-4,5-dihydro-1H-pyrazole-1-carboxamide
- Crystal structure of bis(1-ethyl-3-methylimidazolium) tetrabromidocadmate(II), [C6H11N2]2[CdBr4]
- Crystal structure of N′-(adamantan-2-ylidene)-isonicotinohydrazide, C16H19N3O
- Crystal structure of trans-tetraaquabis(4-(pyridin-4-ylsulfonyl)pyridine-κN)cobalt(II) diperchlorate dihydrate, C20H28Cl2CoN4O18S2
- Crystal structure of (Z)-4-(furan-2-yl(p-tolylamino)methylene)-3-methyl-1-p-tolyl-1H-pyrazol-5(4H)-one, C23H21N3O2
- Crystal structure of 2-[(4-fluorobenzyl)sulfanyl]-4-(2-methylpropyl)-6-oxo-1,6-dihydropyrimidine-5-carbonitrile, C16H16FN3OS
- Crystal structure of poly[octaaqua-tris(benzene-1,2,4,5-tetracarboxylato)tetralanthanum(III)] hexahydrate, C30H34La4O38
- Crystal structure of trans-tetraaqua-bis(4,4′-sulfonyldipyridine-κN)zinc(II) diperchlorate dihydrate, C20H28Cl2ZnN4O18S2
- Crystal structure of 4-nitro-thiophene-2-carboxylic acid, a structure with a Z′ = 4, C5H3NO4S
- Crystal structure of dirubidium trimercury(II) tetraselenide, Rb2Hg3Se4
- Crystal structure of 5-(adamantan-1-yl)-3-[(4-chloroanilino)methyl]-2,3-dihydro-1,3,4-oxadiazole-2-thione, C19H22ClN3OS
- Crystal structure of hexaaquamagnesium(II) 5,5′-bitetrazole-1,1′-diolate, C2H12N8O8Mg
- The crystal structure of catena-poly[(μ2-1,1′-benzene-1,4-diylbis(1H-benzimidazole-κ2N:N′)silver(I)] nitrate, C20H14N5AgO3
- The crystal structure of 1-(2-(4-chlorophenoxy)-4-chlorophenyl)ethanone, C14H10Cl2O2
- The crystal structure of 3,5-dinitro-1,3,5-oxadiazinane, C3H6N4O5
- Crystal structure of methyl 5-methoxy 1H-indole-2-carboxylate, C11H11NO3
- Crystal structure of (Z)-1-(((3-acetyl-2-hydroxyphenyl)amino)methylene)naphthalen-2(1H)-one, C19H15NO3
- Crystal structure of (Z)-5-(4-chlorobenzylidene)-2-thioxothiazolidin-4-one —dimethylsulfoxide (1:1), C12H12ClNO2S3
- Crystal structure of 5,5′-((4-(trifluoromethyl)phenyl)methylene)bis(1,3-dimethylpyrimidine-2,4,6(1H,3H,5H)-trione) – diethylamine – dichloromethane (1/1/1) C25H32Cl2F3N5O6
- Crystal structure of 2-(dimethylsulfanylidene)-N-(4-methoxyphenyl)-3-oxo-3-phenylpropanamide
- Crystal structure of (1,10-phenanthroline-κ2N,N′)bis(thiocyanato-κN)platinum(II), C14H8N4PtS2
- Crystal structure of di(μ2-chlorido)bis[2-(2-pyridyl)phenyl-κ2N,C1]dipalladium(II), C22H16Cl2N2Pd2
- Crystal structure of trans-dibromidodi(pyridine-κN)palladium(II), PdBr2(C5H5N)2
Articles in the same Issue
- Cover and Frontmatter
- Crystal structure of rac-4,4,4-trifluoro-3-hydroxy-3-methylbutanoic acid, C5H7O2F3
- Crystal structure of 5-methyl-2-phenyl-1,3-dioxane-5-carboxylic acid, C12H14O4
- Crystal structure of ethyl 2-(2-(2-(4-chlorophenyl)-3-methylbutanamido)thiazol-4-yl)acetate, C18H21ClN2O3S
- The crystal structure of (4E,11E,31E,38E)-1,4,12,15,18,26,31,39-Octaaza-7,21,24-trihydroxy-penta-cyclo[13·13·13·16,10·120,24·133,37]tetratetraconta-4,6(44),7,9,11,18,20(43),21,23,25,31,33(42),34,36,38-pentadecaene, C36H42N8O3
- Crystal structure of poly[diaqua-μ5-4-(3,5-dicarboxylato-κ3O1:O2:O3-phenoxy)phthalato-κ3O5,O7:O8)(μ2-4-(1H-pyrazol-5-yl)pyridine-κ2N:N′)dicobalt(II)] C24H16N3O11Co2
- Crystal structure of catena-poly[(μ2-acetamido-benzoato-κ2O:O′)triphenyltin(IV)], C27H23NO3Sn
- Crystal structure of chlorido(2,2′-((1E,1′E)-(((1R,2R)-cyclohexane-1,2-diyl)bis(azanylylidene))bis(methylylidene))diphenolato-κ4N,N′,O,O′)iron(III), C20H20ClFeN2O2
- Crystal structure of (E)-3-(4-tert-butyl)phenyl)-1-(3-chlorophenyl)prop-2-en-1-one, C18H17CIO
- Crystal structure of trans-1,2-bis(pyridinium-4-yl)ethylene–2-carboxy-4-methylbenzoate (1/2), C30H26N2O8
- Crystal structure of poly[aqua-ethylenediamine-tetraacetatolead(II)zinc(II)]
- Crystal structure of (E)-2-((2-(2,4-dinitrophenyl)hydrazono)methyl)-4-nitrophenol — triethylamine (2/1), C32H33N11O14
- Crystal structure of catena-poly[diaqua-bis-(μ2-5-carboxy-2-(pyridin-4-yl)benzoato-κ2O:N)cadmium(II)] dihydrate, C26H24N2O12Cd
- Crystal structure of 2-(ethoxycarbonyl)-2-(2-nitro-1-phenylethyl)-3-oxopyrrolidinium chloride, C15H19N2O5Cl
- Crystal structure of 4-((pyridin-4-ylmethyl)sulfinyl)pyridine, C11H10N2OS
- Crystal structure of 2,5-diethoxy-1,4-bis[2-(quinoline)ethenyl]benzene, C32H28N2O2
- Crystal structure of diaqua(μ2-1,1′-biphenyl-4,4′-diylbis(1H-imidazole)-κ2N:N′)tetrakis(3-carboxy-5-ethylpyridine-2-carboxylato-κ2N,O)dizinc(II), C54H50N8O18Zn2
- Crystal structure of a poly[bis(3,4,5,6-tetrachlorophthalato)neodym(III)potassium(I)] — 4,4′-bipyridine — water (1/1/5.5)
- The second polymorph of triethylammonium 2,4,6-trisulfanylidene-1,3,5-triazinan-1-ide, C9H18N4S3
- Crystal structure of 2,2′-diamino-[1,1′-biphenyl]-4,4′-dicarboxylic acid dihydrate, C14H16N2O6
- Crystal structure of the catena-poly[bis(1H-imidazole-κN)-(μ2-furan-2,5-dicarboxylato-κ2O1:O4)manganese(II)]monohydrate, C12H12MnN4O6
- Crystal structure of (acetylacetonato-κ2O:O′)bis-((1-(2-hydroxyphenyl)-3-(pyridin-2-yl)prop-2-en-1-one)-κ2C,N)iridium(III), C33H27IrN2O6
- Crystal structure of 1-benzyl-3-(4-methylpyridin-2-yl)-1H-imidazol-3-ium hexafluorophosphate, C16H16F6N3P
- Crystal structure of tetraethylammonium 3,5-dinitrosalicylate, C15H23N3O7
- Crystal structure of 4-[5-(4-fluorophenyl)-3-(4-hydroxyphenyl)-4,5-dihydropyrazol-1-yl] benzenesulfonamide, C21H18FN3O3S
- Crystal structure of 2,4-dichlorobenzene anhydride, C14H6Cl4O3
- Crystal structure of bis(2-hydroxy-2-phenylacetato-κ2O,O′)bis(pyridine-κN)nickel(II), C26H24N2NiO6
- Crystal structure of (E)-4-nitro-2-(((3-(tetrahydro-8λ4-[1,3,2]oxazaborolo[2,3-b][1,3,2]oxaborol-8-yl)phenyl)imino)methyl)phenol – water (1/2), C17H18BN3O5·2H2O
- Crystal structure of 5-(4-carboxyphenoxy)-nicotinic acid, C13H9NO5
- Crystal structure of catena-poly[hexaaquabis(μ2-3-nitrophthalate-κ2O:O′)-(μ2-1,4-bis(4-pyridylmethyl)piperazine-κ2N:N′)dimanganese(II)] dihydrate, C32H42Mn2N6O20
- Crystal structure of diaquabis(bicyclo[2.2.1]hept-5-ene-2,3-dicarboxylate-κ4O, O′:/O′′,O′′′)bis-(2,2′-bipyridine-κ2N, N′)dicadmium(II) hydrate
- Crystal structure of (R)-1-(1-(6-fluorobenzo[d]thiazol-2-yl)ethyl)-3-phenylthiourea
- Crystal structure of poly[(μ2-1,4-bis((1H-imidiazol-1-yl)methyl)benzene-κ2N:N′)-(μ2-4,4′-(1,2-phenylenebis(oxy)dibenzoato-κ4O,O′:O′′,O′′′)nickel(II)], C34H26O6N4Ni
- Crystal structure of 3′,4′,5-trihydroxy-3,7-dimethoxyflavone, C17H14O7
- Crystal structure of n-butyl-chlorido-bis[N-sec-butyl,N-n-propyl-carbamodithioato κ2S,S′]-tin(IV), C20H41ClN2S4Sn
- Crystal structure of poly[bis(μ4-4,4′-(1,2-phenylenebis(oxy))dibenzoato-κ4O:O′:O′′:O′′′)bis(μ3-4,4′-(1,2-phenylenebis(oxy))dibenzoato–κ3O:O′:O′′)(μ2-1-(4-((1H-imidazol-1-yl)methyl)benzyl)-1H-imidazole-κ2N:N′)tetracobalt(II)], C94H62O24N4Co4
- Crystal structure of catenapoly[diaqua-(μ24,4′-bipyridine)-κ2N:N′)-bis(2,6-difluorobenzoate)-κO)nickel(II)] ethanol monosolvate, C28H30F4N2O8Ni
- Crystal structure of 2-(9H-fluoren-9-ylidene)hydrazine-1-carbothioamide, C14H11N3S
- Crystal structure of 2-(4-methoxyphenyl)-2,3-dihydro-1H-perimidine, C18H16N2O
- Crystal structure of catena-poly[diaquabis(μ2-3-carboxybenzene-1,2-dicarboxylato-1:2κ2O:O′)-(μ2-1,4-bis(2-ethylbenzimidazol-1-ylmethyl)-benzene-1:1′κ2N:N′)dizinc(II)], [Zn2(C26H26N4)(C9H4O6)2(H2O)2]
- Crystal structure of diaquabis(phenoxyacetato-κ2O,O′)-zinc(II), C16H18O8Zn
- Crystal structure of 4-(1H-imidazol-1-yl)-6-pyrimidinylferrocene, C17H14FeN4
- Crystal structure of [2-(4-methoxyphenyl)pyrazine-κ2C,N) chlorido[N,N′-bis-(2,6-diisopropyl-phenyl)imidazol-2-ylidene-κC)] palladium(II), C38H45ClN4OPd
- Crystal structure of 2-(4-acetyl-2,6-dimethyl-phenyl)-5,6-dichloro-isoindole-1,3-dione, C18H13Cl2NO3
- Crystal structure of 4,4′-bipyridin-1-ium 3,3′,5′-tricarboxy-[1,1′-biphenyl]-2-carboxylate, (C26H18N2O8)
- Crystal structure of catena-poly[diaqua-μ2-4,4′-biphenyl-4,4′-diyldipyridine-κ2N:N′-bis(5-carboxy-2,6-dimethylpyridine-3-carboxylato-κO)nickel(II)] dihydrate, C40H40N4O12Ni
- Crystal structure of poly-[μ2-4,4′-bipyridine-κ2N:N′−μ3-thiophene-2,3-di-carboxylato-κ4O,O′, O′′:O′′′ -cadmium(II)]
- Crystal structure of hexaaquamanganese(II) bis(3-carboxythiophene-2-carboxylate) C12H18MnO14S2
- Crystal structure of 4-(3-(pyridin-3-yl)-1H-1,2,4-triazol-5-yl)benzoic acid, C14H10N4O2
- Crystal structure of (E)-2-(benzo[d]thiazol-2-yl)-3-(pyridin-3-yl)acrylonitrile)
- Crystal structure of catena-poly[2,2′-bipyridinyl-6,6′-dicarboxylato-κ4N,N′,O,O′)-(μ2-2,2′-bipyridinyl-6′-carboxyl-6-carboxylato-κ5N,N′,O,O′:O′′)samarium(III)] monohydrate, C24H13N4O8Sm · H2O
- Crystal structure of catena-poly[bis(μ2-4-(3-(pyridin-3-yl)-1H-1,2,4-triazol-5-yl)benzoato)-κ2N:O)copper(II)] dihydrate, C28H22N8O6Cu
- Crystal structure of catena-poly[tetraaqua-(μ2-4,4′-bipyridine-k2N:N′)-zinc(II)] fumarate tetrahydrate, C14H26N2O12Zn
- Crystal structure of triaqua-(1,10-phenanthroline)-(dihydrogen-3,3′,3′′-(2,4,6-trioxo-1,3,5-triazinane-1,3,5-triyl)tripropanoato) cobalt(II)dihydrogen-3,3′,3′′-(2,4,6-trioxo-1,3,5-triazinane-1,3,5-triyl)tripropanoate, C72H82Co2N16O42
- Crystal structure of poly[dibromido-(μ2–4,4′-bis-(pyrid-4-yl)biphenyl-κ2N:N′)lead(II)], C22H16N2PbBr2
- Crystal structure of catena-poly[diaqua-bis(μ2-5-carboxy-2-(pyridin-4-yl)benzoato-κ2O:N)-cobalt(II)]dihydrate, C26H24N2O12Co
- Crystal structure of 5-(4-pyridyl)pyrimidine–4,4′-bipyridine–1,3,5-benzenetriol–water (1:1:1:1), C25H23N5O4
- Crystal structure of 5-hydroxy-4-((4-hydroxyphenyl)imino)naphthalen-1(4H)-one monohydrate, C16H11NO3 · 0.5H2O
- Crystal structure of 2-amino-N-(4-methoxyphenyl)benzamide, C14H14N2O2
- Crystal structure of (2,5-dihydroxyphenyl)-(4-hydroxy-3,5-dimethoxyphenyl)methanone, C15H14O6
- Crystal structure of dichlorido[bis(2-hydroxyethyl)5′-([2,2′:6′,2′′-terpyridin]-4′-yl)-[1,1′:3′,1′′-terphenyl]-4,4′′-dicarboxylato]zinc(II), C39H31Cl2N3O6Zn
- Crystal structure of bis[4-(3-carboxy-6-fluoro-1-(4-fluorophenyl)-4-oxo-1,4-dihydroquinolin-7-yl)piperazin-1-ium] benzene-1,4-dicarboxylate (C20H18F2N3O3)2(C8H4O4), C48H40F4N6O10
- Crystal structure of (2,5-dihydroxyphenyl)-(4-methoxyphenyl)methanone, C14H12O4
- Crystal structure of photochromic 1-(2-methyl-5-phenyl-3-thienyl-2-[2-methyl-5-(4-ethoxylphenyl)-3-thienyl] 3,3,4,4,5,5-hexafluoro-cyclopent-1-ene, C29H22F6OS2
- Crystal structure of poly[diaquabis(μ2-biphenyl-2,4′-dicarboxylato-κ2O:O′)tris(μ2-1,1′-biphenyl-4,4′-diylbis(1H-imidazole)-κ2N:N′)dicobalt(II)] monohydrat, C82H64N12O11Co2
- Crystal structure of 2-amino-4-(3,4-difluorophenyl)-5-oxo-5,6,7,8-tetrahydro-4H-chromene-3-carbonitrile, C16H12N2O2F2
- Crystal structure of poly[(di-μ2-aqua-κ2O:O)bis(μ5-oxalato-1:2κ2O1; 1κ1O2; 3:4:5κ3O3; 3κ1O4)(μ4-oxalato-1:2κ2O1; 2:3κ2O2; 3:4κ2O3; 4:1κ2O4)dizinc(II)disodium(I)]
- Crystal structure of tetraethylammonium hexachloridotantalate(V), C8H20Cl6NTa
- Crystal structure of (E)-2,4-dibromo-6-(((2-nitrophenyl)imino)methyl)phenol, C13H8Br2N2O3
- The crystal structure of 6-chloro-2,4-diphenylquinoline
- Crystal structure of (E)-2-(((1,10-phenanthrolin-5-yl)imino)methyl)-5-methylphenol monohydrate, C20H15N3O·H2O
- Crystal structure of tris(3-(2-pyridyl)pyrazole)zinc(II)tetrachlorido zincate(II), C24H21Cl4N9Zn2
- Crystal structure of 4-chloro-N,N-diethyl-6-(piperidin-1-yl)-1,3,5-triazin-2-amine, C12H20ClN5
- The crystal structure of 4-allyl-5-benzyl-2,4-dihydro-3H-1,2,4-triazol-3-one, C12H13N3O
- Crystal structure of diethyl 2-(((2-(pyridin-3-ylthio)phenyl)amino)methylene)malonate, C19H20N2O4S
- Crystal structure of fac-tricarbonyl(2-(isopropylimino)methyl-5-methylphenolatido-κ2N,O)(pyridine-κN)rhenium(I), C19H19N2O4Re
- Crystal structure of 1,3,6,8-tetrakis(p-tolylthio)pyrene, C44H34S4
- Crystal structure of catena-poly-(diaqua-(μ2-1,2-bis(4-pyridyl)ethene-κ2N:N′)-(4-methylphthalato-κ2O,O′)-cobalt(II)trihydrate, C21H26CoN2O9
- Crystal structure of tetraethylammonium fac-tricarbonyl(hexafluoroacetylacetonato-κ2O,O′)-(nitrato-κO)rhenium(I), C16H21O8N2F6Re
- Crystal structure of 3-(thiophen-2-yl)-5-(p-tolyl)-4,5-dihydro-1H-pyrazole-1-carboxamide
- Crystal structure of bis(1-ethyl-3-methylimidazolium) tetrabromidocadmate(II), [C6H11N2]2[CdBr4]
- Crystal structure of N′-(adamantan-2-ylidene)-isonicotinohydrazide, C16H19N3O
- Crystal structure of trans-tetraaquabis(4-(pyridin-4-ylsulfonyl)pyridine-κN)cobalt(II) diperchlorate dihydrate, C20H28Cl2CoN4O18S2
- Crystal structure of (Z)-4-(furan-2-yl(p-tolylamino)methylene)-3-methyl-1-p-tolyl-1H-pyrazol-5(4H)-one, C23H21N3O2
- Crystal structure of 2-[(4-fluorobenzyl)sulfanyl]-4-(2-methylpropyl)-6-oxo-1,6-dihydropyrimidine-5-carbonitrile, C16H16FN3OS
- Crystal structure of poly[octaaqua-tris(benzene-1,2,4,5-tetracarboxylato)tetralanthanum(III)] hexahydrate, C30H34La4O38
- Crystal structure of trans-tetraaqua-bis(4,4′-sulfonyldipyridine-κN)zinc(II) diperchlorate dihydrate, C20H28Cl2ZnN4O18S2
- Crystal structure of 4-nitro-thiophene-2-carboxylic acid, a structure with a Z′ = 4, C5H3NO4S
- Crystal structure of dirubidium trimercury(II) tetraselenide, Rb2Hg3Se4
- Crystal structure of 5-(adamantan-1-yl)-3-[(4-chloroanilino)methyl]-2,3-dihydro-1,3,4-oxadiazole-2-thione, C19H22ClN3OS
- Crystal structure of hexaaquamagnesium(II) 5,5′-bitetrazole-1,1′-diolate, C2H12N8O8Mg
- The crystal structure of catena-poly[(μ2-1,1′-benzene-1,4-diylbis(1H-benzimidazole-κ2N:N′)silver(I)] nitrate, C20H14N5AgO3
- The crystal structure of 1-(2-(4-chlorophenoxy)-4-chlorophenyl)ethanone, C14H10Cl2O2
- The crystal structure of 3,5-dinitro-1,3,5-oxadiazinane, C3H6N4O5
- Crystal structure of methyl 5-methoxy 1H-indole-2-carboxylate, C11H11NO3
- Crystal structure of (Z)-1-(((3-acetyl-2-hydroxyphenyl)amino)methylene)naphthalen-2(1H)-one, C19H15NO3
- Crystal structure of (Z)-5-(4-chlorobenzylidene)-2-thioxothiazolidin-4-one —dimethylsulfoxide (1:1), C12H12ClNO2S3
- Crystal structure of 5,5′-((4-(trifluoromethyl)phenyl)methylene)bis(1,3-dimethylpyrimidine-2,4,6(1H,3H,5H)-trione) – diethylamine – dichloromethane (1/1/1) C25H32Cl2F3N5O6
- Crystal structure of 2-(dimethylsulfanylidene)-N-(4-methoxyphenyl)-3-oxo-3-phenylpropanamide
- Crystal structure of (1,10-phenanthroline-κ2N,N′)bis(thiocyanato-κN)platinum(II), C14H8N4PtS2
- Crystal structure of di(μ2-chlorido)bis[2-(2-pyridyl)phenyl-κ2N,C1]dipalladium(II), C22H16Cl2N2Pd2
- Crystal structure of trans-dibromidodi(pyridine-κN)palladium(II), PdBr2(C5H5N)2