Abstract
C32H28N2O2, monoclinic, P21/n (no. 14), a = 10.1291(10) Å, b = 25.7313(3) Å, c = 10.2395(10) Å, β = 106.521(1)°, V = 2558.6(4) Å3, Z = 4, Rgt(F) = 0.0402, wRref(F2) = 0.1045, T = 296(2) K.

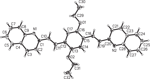
The crystal structure is shown in the figure. Tables 1–3 contain details of the measurement method and a list of the atoms including atomic coordinates and displacement parameters.
Data collection and handling.
| Crystal: | Yellow, block, size 0.10×0.10×0.10 mm |
| Wavelength: | Mo Kα radiation (0.71073 Å) |
| μ: | 0.77 cm−1 |
| Diffractometer, scan mode: | Bruker APEX-II CCD, φ and ω scans |
| 2θmax: | 50° |
| N(hkl)measured, N(hkl)unique: | 18052, 4498 |
| Criterion for Iobs, N(hkl)gt: | Iobs > 2 σ(Iobs), 3008 |
| N(param)refined: | 327 |
| Programs: | SADABS [9], Bruker data collection and reduction program [10], SHELX [11] |
Fractional atomic coordinates and isotropic or equivalent isotropic displacement parameters (Å2).
| Atom | Site | x | y | z | Uiso |
|---|---|---|---|---|---|
| H(10) | 4e | 1.0811 | 0.3108 | 0.0391 | 0.055 |
| H(2) | 4e | 1.3936 | 0.3243 | 0.3136 | 0.055 |
| H(22) | 4e | 0.2665 | 0.6065 | −0.2321 | 0.058 |
| H(14) | 4e | 0.9197 | 0.5148 | 0.1957 | 0.060 |
| H(3) | 4e | 1.5719 | 0.2662 | 0.3640 | 0.058 |
| H(11) | 4e | 1.2210 | 0.3788 | 0.2331 | 0.058 |
| H(27) | 4e | 0.5551 | 0.7255 | 0.1643 | 0.064 |
| H(19) | 4e | 0.7621 | 0.5718 | 0.0963 | 0.061 |
| H(21) | 4e | 0.4517 | 0.5520 | −0.1771 | 0.058 |
| H(17) | 4e | 0.9328 | 0.3686 | −0.0609 | 0.055 |
| H(24) | 4e | 0.1565 | 0.6904 | −0.1817 | 0.065 |
| H(8) | 4e | 1.2868 | 0.1638 | −0.0680 | 0.065 |
| H(18) | 4e | 0.6273 | 0.5019 | −0.0945 | 0.059 |
| H(5) | 4e | 1.6748 | 0.1825 | 0.3013 | 0.070 |
| H(25) | 4e | 0.1727 | 0.7637 | −0.0524 | 0.073 |
| H(29A) | 4e | 0.7158 | 0.3482 | −0.1837 | 0.065 |
| H(29B) | 4e | 0.7849 | 0.3776 | −0.2822 | 0.065 |
| H(7) | 4e | 1.4656 | 0.1060 | −0.0337 | 0.078 |
| H(26) | 4e | 0.3717 | 0.7814 | 0.1195 | 0.072 |
| H(6) | 4e | 1.6585 | 0.1152 | 0.1526 | 0.081 |
| H(31A) | 4e | 1.0611 | 0.5065 | 0.4124 | 0.086 |
| H(31B) | 4e | 1.1530 | 0.5303 | 0.3267 | 0.086 |
| H(30A) | 4e | 0.5001 | 0.3791 | −0.3117 | 0.118 |
| H(30B) | 4e | 0.5679 | 0.3460 | −0.4038 | 0.118 |
| H(30C) | 4e | 0.5700 | 0.4068 | −0.4111 | 0.118 |
| H(32A) | 4e | 1.2566 | 0.4683 | 0.5597 | 0.152 |
| H(32B) | 4e | 1.2753 | 0.5288 | 0.5573 | 0.152 |
| H(32C) | 4e | 1.3478 | 0.4928 | 0.4750 | 0.152 |
Atomic displacement parameters (Å2).
| Atom | Site | x | y | z | U11 | U22 | U33 | U12 | U13 | U23 |
|---|---|---|---|---|---|---|---|---|---|---|
| N(1) | 4e | 1.2645(1) | 0.24469(5) | 0.0678(1) | 0.0393(8) | 0.0424(7) | 0.0433(8) | 0.0059(6) | 0.0025(6) | 0.0005(6) |
| N(2) | 4e | 0.5782(1) | 0.63842(5) | 0.0525(1) | 0.0438(8) | 0.0394(7) | 0.0583(9) | 0.0014(6) | 0.0142(7) | −0.0027(6) |
| O(1) | 4e | 0.7132(1) | 0.42498(4) | −0.1656(1) | 0.0565(8) | 0.0486(7) | 0.0581(8) | 0.0125(5) | 0.0071(6) | −0.0047(6) |
| C(1) | 4e | 1.2738(2) | 0.28603(5) | 0.1470(2) | 0.0392(9) | 0.0385(8) | 0.0406(9) | 0.0015(7) | 0.0081(8) | 0.0044(7) |
| C(28) | 4e | 0.4679(2) | 0.67175(6) | 0.0182(2) | 0.0441(9) | 0.0380(8) | 0.050(1) | 0.0018(7) | 0.0199(8) | 0.0030(7) |
| C(23) | 4e | 0.3471(2) | 0.66147(6) | −0.0877(2) | 0.0431(9) | 0.0389(8) | 0.049(1) | 0.0020(7) | 0.0184(8) | 0.0074(7) |
| C(4) | 4e | 1.4905(2) | 0.21669(6) | 0.2061(2) | 0.0366(9) | 0.0471(9) | 0.044(1) | 0.0049(7) | 0.0075(8) | 0.0125(7) |
| C(15) | 4e | 0.8163(2) | 0.47726(6) | 0.0242(2) | 0.044(1) | 0.0371(8) | 0.057(1) | 0.0035(7) | 0.0204(9) | 0.0045(7) |
| C(9) | 4e | 1.3723(2) | 0.21058(5) | 0.0945(2) | 0.0426(9) | 0.0406(8) | 0.0401(9) | 0.0048(7) | 0.0091(8) | 0.0068(7) |
| C(10) | 4e | 1.1572(2) | 0.32192(6) | 0.1080(2) | 0.0394(9) | 0.0447(9) | 0.049(1) | 0.0046(7) | 0.0062(8) | 0.0012(7) |
| C(2) | 4e | 1.3899(2) | 0.29495(6) | 0.2597(2) | 0.045(1) | 0.0453(9) | 0.043(1) | −0.0007(7) | 0.0063(8) | −0.0023(7) |
| C(20) | 4e | 0.5700(2) | 0.59479(6) | −0.0185(2) | 0.0428(9) | 0.0368(8) | 0.053(1) | 0.0011(7) | 0.0164(8) | 0.0022(7) |
| C(22) | 4e | 0.3438(2) | 0.61488(6) | −0.1610(2) | 0.049(1) | 0.0442(9) | 0.049(1) | −0.0020(7) | 0.0093(8) | 0.0037(7) |
| C(14) | 4e | 0.9214(2) | 0.48509(6) | 0.1444(2) | 0.052(1) | 0.0355(8) | 0.065(1) | 0.0025(7) | 0.019(1) | −0.0035(8) |
| C(12) | 4e | 1.0336(2) | 0.40512(6) | 0.1132(2) | 0.043(1) | 0.0371(8) | 0.057(1) | 0.0014(7) | 0.0165(9) | 0.0045(7) |
| C(16) | 4e | 0.8210(2) | 0.43196(6) | −0.0508(2) | 0.044(1) | 0.0399(8) | 0.051(1) | 0.0020(7) | 0.0163(9) | 0.0034(7) |
| C(3) | 4e | 1.4959(2) | 0.26069(6) | 0.2892(2) | 0.041(1) | 0.054(1) | 0.044(1) | −0.0035(8) | 0.0010(8) | 0.0044(8) |
| C(11) | 4e | 1.1480(2) | 0.36840(6) | 0.1599(2) | 0.044(1) | 0.0431(9) | 0.055(1) | 0.0022(7) | 0.0101(8) | 0.0027(8) |
| C(27) | 4e | 0.4755(2) | 0.71787(6) | 0.0952(2) | 0.059(1) | 0.0447(9) | 0.060(1) | −0.0017(8) | 0.0221(9) | −0.0066(8) |
| C(19) | 4e | 0.6880(2) | 0.55988(6) | 0.0262(2) | 0.047(1) | 0.0410(9) | 0.062(1) | 0.0033(7) | 0.0118(9) | −0.0007(8) |
| C(21) | 4e | 0.4532(2) | 0.58244(6) | −0.1279(2) | 0.054(1) | 0.0381(8) | 0.053(1) | 0.0013(8) | 0.0152(9) | −0.0034(7) |
| O(2) | 4e | 1.1313(1) | 0.45513(4) | 0.3094(1) | 0.0688(9) | 0.0522(7) | 0.0789(9) | 0.0102(6) | −0.0071(8) | −0.0143(7) |
| C(17) | 4e | 0.9293(2) | 0.39756(6) | −0.0077(2) | 0.047(1) | 0.0372(8) | 0.056(1) | 0.0048(7) | 0.0189(9) | 0.0015(7) |
| C(13) | 4e | 1.0280(2) | 0.44995(6) | 0.1895(2) | 0.048(1) | 0.0409(9) | 0.059(1) | 0.0001(7) | 0.0122(9) | 0.0009(8) |
| C(24) | 4e | 0.2368(2) | 0.69695(6) | −0.1123(2) | 0.049(1) | 0.052(1) | 0.062(1) | 0.0098(8) | 0.0184(9) | 0.0116(9) |
| C(8) | 4e | 1.3647(2) | 0.16822(6) | 0.0056(2) | 0.061(1) | 0.0463(9) | 0.051(1) | 0.0053(8) | 0.0112(9) | −0.0016(8) |
| C(18) | 4e | 0.7004(2) | 0.51320(6) | −0.0225(2) | 0.045(1) | 0.0420(9) | 0.060(1) | 0.0030(7) | 0.0171(9) | 0.0028(8) |
| C(5) | 4e | 1.5972(2) | 0.17946(7) | 0.2268(2) | 0.047(1) | 0.063(1) | 0.062(1) | 0.0138(9) | 0.0118(9) | 0.0171(9) |
| C(25) | 4e | 0.2465(2) | 0.74068(7) | −0.0356(2) | 0.063(1) | 0.051(1) | 0.075(1) | 0.0192(9) | 0.032(1) | 0.0119(9) |
| C(29) | 4e | 0.7088(2) | 0.37834(6) | −0.2424(2) | 0.062(1) | 0.048(1) | 0.055(1) | 0.0034(8) | 0.018(1) | −0.0021(8) |
| C(7) | 4e | 1.4708(2) | 0.13347(7) | 0.0266(2) | 0.083(2) | 0.047(1) | 0.069(1) | 0.014(1) | 0.028(1) | 0.0011(9) |
| C(26) | 4e | 0.3661(2) | 0.75122(6) | 0.0681(2) | 0.078(1) | 0.0410(9) | 0.074(1) | 0.0076(9) | 0.040(1) | −0.0009(9) |
| C(6) | 4e | 1.5871(2) | 0.13923(7) | 0.1384(2) | 0.066(1) | 0.060(1) | 0.081(2) | 0.027(1) | 0.027(1) | 0.018(1) |
| C(31) | 4e | 1.1431(2) | 0.50111(7) | 0.3832(2) | 0.086(2) | 0.056(1) | 0.069(1) | −0.009(1) | 0.014(1) | −0.010(1) |
| C(30) | 4e | 0.5747(2) | 0.37750(8) | −0.3521(2) | 0.083(2) | 0.075(1) | 0.068(1) | 0.003(1) | 0.005(1) | −0.005(1) |
| C(32) | 4e | 1.2668(3) | 0.49741(9) | 0.5047(2) | 0.106(2) | 0.086(2) | 0.090(2) | −0.008(1) | −0.006(2) | −0.017(1) |
Source of material
The title compound was synthesized by solid-phase Wittig reaction. 2,5-Diethoxy-1,4-bis(triphenylphosphonium)benzene dichloride (1.18 g, 1.5 mmol) and quinoline-2-carbaldehyde (0.63 g, 4 mmol), fresh t-BuOK (1.12 g, 10 mmol) were crashed together with a pestle and mortar at room temperature for 0.5 h. Then, the product was purified silicagel column chromatography (8:1 v/v petroleum/ethyl acetate) in 52% yield as yellow solid. Single crystals of the title compound suitable for X-ray analysis were obtained from CH3CN solvent.
Experimental details
All H-atoms were placed in calculated positions and treated as riding: C—H = 0.93–0.97 Å, with Uiso(H) = 1.2 or 1.5 Ueq(parent C-atom).
Discussion
The oligo(phenylene vinylene) and its derivatives (OPVs) are one kind of highly conjugated linear molecules, attracting increasing interest in the fields of nonliear optic [1], solid state opto-electronics [2] and molecular devices [3]. A large number of OPVs with large two-photon absorption sections (nonliear optical properties) were synthesized and investigated by changing the donor/acceptor(D/A) strength, conjugation length [4], for their potential applications in two-photon fluorescence imaging, optical power limiting, two-photon up-conversion lasing, three-dimensional optical data storage, 3D microfabrication, and photodynamic therapy [5]. Some of OPVs's single crystal structures are reported to get an insight into packing of the molecules and to explain the mechanisms of luminescence phenomena [6–8]. Here, a quinoline-terminated OPV has been synthesized and its crystal structure is reported. The crystal structure reveals that the C = C double bonds adopt an all trans-conformation with the bond length 1.320(2), 1.323(2) Å. The dihedral angles between terminated quinoline rings and benzene ring are 6.3 and 9.9°, respectivelly. So the backbone is nearly coplanar. In the crystal structure intermolecular π−π interactions play a major role in the molecular packing. With a contact distance of 3.32 Å they connect molecules forming a ladder-like structure, which are further stacked into a 3D structure based on weak C—H⋯π interactions and C—H⋯N hydrogen bonds.
Acknowledgements:
This project is supported by Educational Commission of Anhui Province of China (2014KJ016), Natural Science Foundation of Fuyang Normal College (2015FSKJ02ZD, 2014FSKJ06, FS201402001B) and the Innovation Training Program for the College students (201510371034, 201510371041).
References
1. Gao, F.; Liao, Q.; Xu, Z.-Z.; Yue, Y.-H.; Wang, Q.; Zhang, H.-L.; Fu, H.-B.: Strong two-photon excited fluorescence and stimulated emission from an organic single crystal of an oligo (phenylene vinylene). Angew. Chem. Int. Ed. 49 (2010) 732–735.10.1002/anie.200905428Search in Google Scholar
2. Seferos, D. S.; Lai, R. Y.; Plaxco, K.W.; Bazan, G. C.: Alpha,omega-dithiol oligo(phenylene vinylene)s for the preparation of high-quality pi-conjugated self-assembled monolayers and nanoparticle-functionalized electrodes. Adv. Funct. Mater. 16 (2006) 2387–2392.10.1002/adfm.200500902Search in Google Scholar
3. Kushmerick, J. G.; Holt, D. B.; Pollack, S. K.; Ratner, M. A.; Yang, J. C.; Schull, T. L.; Naciri, J.; Moore, M. H.; Shashidhar, R.: Effect of bond-length alternation in molecular wires. J. Am. Chem. Soc. 124 (2002) 10654–10655.10.1021/ja027090nSearch in Google Scholar
4. Kim, H. M.; Cho, B.R.: Two-photon materials with large two-photon cross sections. Structure-property relationship. Chem. Commun. 2 (2009) 153–164.10.1039/B813280ASearch in Google Scholar
5. He, G. S.; Tan, L. S.; Zheng, Q.; Prasad, P. N.: Multiphoton absorbing materials: molecular designs, characterizations, and applications. Chem. Rev. 108 (2008) 1245–1330.10.1021/cr050054xSearch in Google Scholar
6. Liu, Z.-D.; Hao, F.-Y.; Xu, H.-J.; Wang, H.; Wu, J.-Y.; Tian, Y.-P.: A-π-D-π-A pyridinium salts: synthesis, crystal structures, two-photon absorption properties and application to biological imaging. CrystEngComm. 17 (2015) 5562–5568.10.1039/C5CE00816FSearch in Google Scholar
7. Liu, Z.-D.; Zhang, R.-L.; Zhang, Q.; Ding, H.-J.; Wang, C.K.; Li, S.-L.; Zhou, H.-P.; Zhang, S.-Y.; Wu, J.-Y.; Tian, Y.-P.: Crystal structures, photophysical properties and significantly different two-photon excited fluorescence of the trans- and cis-oligo(phenylene vinylene). Rsc Adv. 4 (2014) 2620–2623.10.1039/C3RA43126FSearch in Google Scholar
8. Zhang, R.-L.; Zhang, Q.; Liu, Z.-D.; Yang, L.-M.; Wu, J.-Y.; Zhou, H.-P.; Yang, J.-X.; Tian, Y.-P.: Two polymorphs and cocrystal of styryl-pyridine derivatives with tuned emission induced by Co2+ and Zn(phen)32+. CrystEngComm. 16 (2014) 2039–2044.10.1039/c3ce42069hSearch in Google Scholar
9. Sheldrick, G. M.: SADABS. University of Göttingen, Germany, 1996.Search in Google Scholar
10. Bruker. SAMART and SAINT. Bruker AXS Inc., Madison, Wisconsin, USA, 2007.Search in Google Scholar
11. Sheldrick, G. M.: A short history of SHELX. Acta Crystallogr. A64 (2008) 112–122.10.1107/S0108767307043930Search in Google Scholar PubMed
©2016 Zhao-Di Liu et al., published by De Gruyter.
This work is licensed under the Creative Commons Attribution-NonCommercial-NoDerivatives 3.0 License.
Articles in the same Issue
- Cover and Frontmatter
- Crystal structure of rac-4,4,4-trifluoro-3-hydroxy-3-methylbutanoic acid, C5H7O2F3
- Crystal structure of 5-methyl-2-phenyl-1,3-dioxane-5-carboxylic acid, C12H14O4
- Crystal structure of ethyl 2-(2-(2-(4-chlorophenyl)-3-methylbutanamido)thiazol-4-yl)acetate, C18H21ClN2O3S
- The crystal structure of (4E,11E,31E,38E)-1,4,12,15,18,26,31,39-Octaaza-7,21,24-trihydroxy-penta-cyclo[13·13·13·16,10·120,24·133,37]tetratetraconta-4,6(44),7,9,11,18,20(43),21,23,25,31,33(42),34,36,38-pentadecaene, C36H42N8O3
- Crystal structure of poly[diaqua-μ5-4-(3,5-dicarboxylato-κ3O1:O2:O3-phenoxy)phthalato-κ3O5,O7:O8)(μ2-4-(1H-pyrazol-5-yl)pyridine-κ2N:N′)dicobalt(II)] C24H16N3O11Co2
- Crystal structure of catena-poly[(μ2-acetamido-benzoato-κ2O:O′)triphenyltin(IV)], C27H23NO3Sn
- Crystal structure of chlorido(2,2′-((1E,1′E)-(((1R,2R)-cyclohexane-1,2-diyl)bis(azanylylidene))bis(methylylidene))diphenolato-κ4N,N′,O,O′)iron(III), C20H20ClFeN2O2
- Crystal structure of (E)-3-(4-tert-butyl)phenyl)-1-(3-chlorophenyl)prop-2-en-1-one, C18H17CIO
- Crystal structure of trans-1,2-bis(pyridinium-4-yl)ethylene–2-carboxy-4-methylbenzoate (1/2), C30H26N2O8
- Crystal structure of poly[aqua-ethylenediamine-tetraacetatolead(II)zinc(II)]
- Crystal structure of (E)-2-((2-(2,4-dinitrophenyl)hydrazono)methyl)-4-nitrophenol — triethylamine (2/1), C32H33N11O14
- Crystal structure of catena-poly[diaqua-bis-(μ2-5-carboxy-2-(pyridin-4-yl)benzoato-κ2O:N)cadmium(II)] dihydrate, C26H24N2O12Cd
- Crystal structure of 2-(ethoxycarbonyl)-2-(2-nitro-1-phenylethyl)-3-oxopyrrolidinium chloride, C15H19N2O5Cl
- Crystal structure of 4-((pyridin-4-ylmethyl)sulfinyl)pyridine, C11H10N2OS
- Crystal structure of 2,5-diethoxy-1,4-bis[2-(quinoline)ethenyl]benzene, C32H28N2O2
- Crystal structure of diaqua(μ2-1,1′-biphenyl-4,4′-diylbis(1H-imidazole)-κ2N:N′)tetrakis(3-carboxy-5-ethylpyridine-2-carboxylato-κ2N,O)dizinc(II), C54H50N8O18Zn2
- Crystal structure of a poly[bis(3,4,5,6-tetrachlorophthalato)neodym(III)potassium(I)] — 4,4′-bipyridine — water (1/1/5.5)
- The second polymorph of triethylammonium 2,4,6-trisulfanylidene-1,3,5-triazinan-1-ide, C9H18N4S3
- Crystal structure of 2,2′-diamino-[1,1′-biphenyl]-4,4′-dicarboxylic acid dihydrate, C14H16N2O6
- Crystal structure of the catena-poly[bis(1H-imidazole-κN)-(μ2-furan-2,5-dicarboxylato-κ2O1:O4)manganese(II)]monohydrate, C12H12MnN4O6
- Crystal structure of (acetylacetonato-κ2O:O′)bis-((1-(2-hydroxyphenyl)-3-(pyridin-2-yl)prop-2-en-1-one)-κ2C,N)iridium(III), C33H27IrN2O6
- Crystal structure of 1-benzyl-3-(4-methylpyridin-2-yl)-1H-imidazol-3-ium hexafluorophosphate, C16H16F6N3P
- Crystal structure of tetraethylammonium 3,5-dinitrosalicylate, C15H23N3O7
- Crystal structure of 4-[5-(4-fluorophenyl)-3-(4-hydroxyphenyl)-4,5-dihydropyrazol-1-yl] benzenesulfonamide, C21H18FN3O3S
- Crystal structure of 2,4-dichlorobenzene anhydride, C14H6Cl4O3
- Crystal structure of bis(2-hydroxy-2-phenylacetato-κ2O,O′)bis(pyridine-κN)nickel(II), C26H24N2NiO6
- Crystal structure of (E)-4-nitro-2-(((3-(tetrahydro-8λ4-[1,3,2]oxazaborolo[2,3-b][1,3,2]oxaborol-8-yl)phenyl)imino)methyl)phenol – water (1/2), C17H18BN3O5·2H2O
- Crystal structure of 5-(4-carboxyphenoxy)-nicotinic acid, C13H9NO5
- Crystal structure of catena-poly[hexaaquabis(μ2-3-nitrophthalate-κ2O:O′)-(μ2-1,4-bis(4-pyridylmethyl)piperazine-κ2N:N′)dimanganese(II)] dihydrate, C32H42Mn2N6O20
- Crystal structure of diaquabis(bicyclo[2.2.1]hept-5-ene-2,3-dicarboxylate-κ4O, O′:/O′′,O′′′)bis-(2,2′-bipyridine-κ2N, N′)dicadmium(II) hydrate
- Crystal structure of (R)-1-(1-(6-fluorobenzo[d]thiazol-2-yl)ethyl)-3-phenylthiourea
- Crystal structure of poly[(μ2-1,4-bis((1H-imidiazol-1-yl)methyl)benzene-κ2N:N′)-(μ2-4,4′-(1,2-phenylenebis(oxy)dibenzoato-κ4O,O′:O′′,O′′′)nickel(II)], C34H26O6N4Ni
- Crystal structure of 3′,4′,5-trihydroxy-3,7-dimethoxyflavone, C17H14O7
- Crystal structure of n-butyl-chlorido-bis[N-sec-butyl,N-n-propyl-carbamodithioato κ2S,S′]-tin(IV), C20H41ClN2S4Sn
- Crystal structure of poly[bis(μ4-4,4′-(1,2-phenylenebis(oxy))dibenzoato-κ4O:O′:O′′:O′′′)bis(μ3-4,4′-(1,2-phenylenebis(oxy))dibenzoato–κ3O:O′:O′′)(μ2-1-(4-((1H-imidazol-1-yl)methyl)benzyl)-1H-imidazole-κ2N:N′)tetracobalt(II)], C94H62O24N4Co4
- Crystal structure of catenapoly[diaqua-(μ24,4′-bipyridine)-κ2N:N′)-bis(2,6-difluorobenzoate)-κO)nickel(II)] ethanol monosolvate, C28H30F4N2O8Ni
- Crystal structure of 2-(9H-fluoren-9-ylidene)hydrazine-1-carbothioamide, C14H11N3S
- Crystal structure of 2-(4-methoxyphenyl)-2,3-dihydro-1H-perimidine, C18H16N2O
- Crystal structure of catena-poly[diaquabis(μ2-3-carboxybenzene-1,2-dicarboxylato-1:2κ2O:O′)-(μ2-1,4-bis(2-ethylbenzimidazol-1-ylmethyl)-benzene-1:1′κ2N:N′)dizinc(II)], [Zn2(C26H26N4)(C9H4O6)2(H2O)2]
- Crystal structure of diaquabis(phenoxyacetato-κ2O,O′)-zinc(II), C16H18O8Zn
- Crystal structure of 4-(1H-imidazol-1-yl)-6-pyrimidinylferrocene, C17H14FeN4
- Crystal structure of [2-(4-methoxyphenyl)pyrazine-κ2C,N) chlorido[N,N′-bis-(2,6-diisopropyl-phenyl)imidazol-2-ylidene-κC)] palladium(II), C38H45ClN4OPd
- Crystal structure of 2-(4-acetyl-2,6-dimethyl-phenyl)-5,6-dichloro-isoindole-1,3-dione, C18H13Cl2NO3
- Crystal structure of 4,4′-bipyridin-1-ium 3,3′,5′-tricarboxy-[1,1′-biphenyl]-2-carboxylate, (C26H18N2O8)
- Crystal structure of catena-poly[diaqua-μ2-4,4′-biphenyl-4,4′-diyldipyridine-κ2N:N′-bis(5-carboxy-2,6-dimethylpyridine-3-carboxylato-κO)nickel(II)] dihydrate, C40H40N4O12Ni
- Crystal structure of poly-[μ2-4,4′-bipyridine-κ2N:N′−μ3-thiophene-2,3-di-carboxylato-κ4O,O′, O′′:O′′′ -cadmium(II)]
- Crystal structure of hexaaquamanganese(II) bis(3-carboxythiophene-2-carboxylate) C12H18MnO14S2
- Crystal structure of 4-(3-(pyridin-3-yl)-1H-1,2,4-triazol-5-yl)benzoic acid, C14H10N4O2
- Crystal structure of (E)-2-(benzo[d]thiazol-2-yl)-3-(pyridin-3-yl)acrylonitrile)
- Crystal structure of catena-poly[2,2′-bipyridinyl-6,6′-dicarboxylato-κ4N,N′,O,O′)-(μ2-2,2′-bipyridinyl-6′-carboxyl-6-carboxylato-κ5N,N′,O,O′:O′′)samarium(III)] monohydrate, C24H13N4O8Sm · H2O
- Crystal structure of catena-poly[bis(μ2-4-(3-(pyridin-3-yl)-1H-1,2,4-triazol-5-yl)benzoato)-κ2N:O)copper(II)] dihydrate, C28H22N8O6Cu
- Crystal structure of catena-poly[tetraaqua-(μ2-4,4′-bipyridine-k2N:N′)-zinc(II)] fumarate tetrahydrate, C14H26N2O12Zn
- Crystal structure of triaqua-(1,10-phenanthroline)-(dihydrogen-3,3′,3′′-(2,4,6-trioxo-1,3,5-triazinane-1,3,5-triyl)tripropanoato) cobalt(II)dihydrogen-3,3′,3′′-(2,4,6-trioxo-1,3,5-triazinane-1,3,5-triyl)tripropanoate, C72H82Co2N16O42
- Crystal structure of poly[dibromido-(μ2–4,4′-bis-(pyrid-4-yl)biphenyl-κ2N:N′)lead(II)], C22H16N2PbBr2
- Crystal structure of catena-poly[diaqua-bis(μ2-5-carboxy-2-(pyridin-4-yl)benzoato-κ2O:N)-cobalt(II)]dihydrate, C26H24N2O12Co
- Crystal structure of 5-(4-pyridyl)pyrimidine–4,4′-bipyridine–1,3,5-benzenetriol–water (1:1:1:1), C25H23N5O4
- Crystal structure of 5-hydroxy-4-((4-hydroxyphenyl)imino)naphthalen-1(4H)-one monohydrate, C16H11NO3 · 0.5H2O
- Crystal structure of 2-amino-N-(4-methoxyphenyl)benzamide, C14H14N2O2
- Crystal structure of (2,5-dihydroxyphenyl)-(4-hydroxy-3,5-dimethoxyphenyl)methanone, C15H14O6
- Crystal structure of dichlorido[bis(2-hydroxyethyl)5′-([2,2′:6′,2′′-terpyridin]-4′-yl)-[1,1′:3′,1′′-terphenyl]-4,4′′-dicarboxylato]zinc(II), C39H31Cl2N3O6Zn
- Crystal structure of bis[4-(3-carboxy-6-fluoro-1-(4-fluorophenyl)-4-oxo-1,4-dihydroquinolin-7-yl)piperazin-1-ium] benzene-1,4-dicarboxylate (C20H18F2N3O3)2(C8H4O4), C48H40F4N6O10
- Crystal structure of (2,5-dihydroxyphenyl)-(4-methoxyphenyl)methanone, C14H12O4
- Crystal structure of photochromic 1-(2-methyl-5-phenyl-3-thienyl-2-[2-methyl-5-(4-ethoxylphenyl)-3-thienyl] 3,3,4,4,5,5-hexafluoro-cyclopent-1-ene, C29H22F6OS2
- Crystal structure of poly[diaquabis(μ2-biphenyl-2,4′-dicarboxylato-κ2O:O′)tris(μ2-1,1′-biphenyl-4,4′-diylbis(1H-imidazole)-κ2N:N′)dicobalt(II)] monohydrat, C82H64N12O11Co2
- Crystal structure of 2-amino-4-(3,4-difluorophenyl)-5-oxo-5,6,7,8-tetrahydro-4H-chromene-3-carbonitrile, C16H12N2O2F2
- Crystal structure of poly[(di-μ2-aqua-κ2O:O)bis(μ5-oxalato-1:2κ2O1; 1κ1O2; 3:4:5κ3O3; 3κ1O4)(μ4-oxalato-1:2κ2O1; 2:3κ2O2; 3:4κ2O3; 4:1κ2O4)dizinc(II)disodium(I)]
- Crystal structure of tetraethylammonium hexachloridotantalate(V), C8H20Cl6NTa
- Crystal structure of (E)-2,4-dibromo-6-(((2-nitrophenyl)imino)methyl)phenol, C13H8Br2N2O3
- The crystal structure of 6-chloro-2,4-diphenylquinoline
- Crystal structure of (E)-2-(((1,10-phenanthrolin-5-yl)imino)methyl)-5-methylphenol monohydrate, C20H15N3O·H2O
- Crystal structure of tris(3-(2-pyridyl)pyrazole)zinc(II)tetrachlorido zincate(II), C24H21Cl4N9Zn2
- Crystal structure of 4-chloro-N,N-diethyl-6-(piperidin-1-yl)-1,3,5-triazin-2-amine, C12H20ClN5
- The crystal structure of 4-allyl-5-benzyl-2,4-dihydro-3H-1,2,4-triazol-3-one, C12H13N3O
- Crystal structure of diethyl 2-(((2-(pyridin-3-ylthio)phenyl)amino)methylene)malonate, C19H20N2O4S
- Crystal structure of fac-tricarbonyl(2-(isopropylimino)methyl-5-methylphenolatido-κ2N,O)(pyridine-κN)rhenium(I), C19H19N2O4Re
- Crystal structure of 1,3,6,8-tetrakis(p-tolylthio)pyrene, C44H34S4
- Crystal structure of catena-poly-(diaqua-(μ2-1,2-bis(4-pyridyl)ethene-κ2N:N′)-(4-methylphthalato-κ2O,O′)-cobalt(II)trihydrate, C21H26CoN2O9
- Crystal structure of tetraethylammonium fac-tricarbonyl(hexafluoroacetylacetonato-κ2O,O′)-(nitrato-κO)rhenium(I), C16H21O8N2F6Re
- Crystal structure of 3-(thiophen-2-yl)-5-(p-tolyl)-4,5-dihydro-1H-pyrazole-1-carboxamide
- Crystal structure of bis(1-ethyl-3-methylimidazolium) tetrabromidocadmate(II), [C6H11N2]2[CdBr4]
- Crystal structure of N′-(adamantan-2-ylidene)-isonicotinohydrazide, C16H19N3O
- Crystal structure of trans-tetraaquabis(4-(pyridin-4-ylsulfonyl)pyridine-κN)cobalt(II) diperchlorate dihydrate, C20H28Cl2CoN4O18S2
- Crystal structure of (Z)-4-(furan-2-yl(p-tolylamino)methylene)-3-methyl-1-p-tolyl-1H-pyrazol-5(4H)-one, C23H21N3O2
- Crystal structure of 2-[(4-fluorobenzyl)sulfanyl]-4-(2-methylpropyl)-6-oxo-1,6-dihydropyrimidine-5-carbonitrile, C16H16FN3OS
- Crystal structure of poly[octaaqua-tris(benzene-1,2,4,5-tetracarboxylato)tetralanthanum(III)] hexahydrate, C30H34La4O38
- Crystal structure of trans-tetraaqua-bis(4,4′-sulfonyldipyridine-κN)zinc(II) diperchlorate dihydrate, C20H28Cl2ZnN4O18S2
- Crystal structure of 4-nitro-thiophene-2-carboxylic acid, a structure with a Z′ = 4, C5H3NO4S
- Crystal structure of dirubidium trimercury(II) tetraselenide, Rb2Hg3Se4
- Crystal structure of 5-(adamantan-1-yl)-3-[(4-chloroanilino)methyl]-2,3-dihydro-1,3,4-oxadiazole-2-thione, C19H22ClN3OS
- Crystal structure of hexaaquamagnesium(II) 5,5′-bitetrazole-1,1′-diolate, C2H12N8O8Mg
- The crystal structure of catena-poly[(μ2-1,1′-benzene-1,4-diylbis(1H-benzimidazole-κ2N:N′)silver(I)] nitrate, C20H14N5AgO3
- The crystal structure of 1-(2-(4-chlorophenoxy)-4-chlorophenyl)ethanone, C14H10Cl2O2
- The crystal structure of 3,5-dinitro-1,3,5-oxadiazinane, C3H6N4O5
- Crystal structure of methyl 5-methoxy 1H-indole-2-carboxylate, C11H11NO3
- Crystal structure of (Z)-1-(((3-acetyl-2-hydroxyphenyl)amino)methylene)naphthalen-2(1H)-one, C19H15NO3
- Crystal structure of (Z)-5-(4-chlorobenzylidene)-2-thioxothiazolidin-4-one —dimethylsulfoxide (1:1), C12H12ClNO2S3
- Crystal structure of 5,5′-((4-(trifluoromethyl)phenyl)methylene)bis(1,3-dimethylpyrimidine-2,4,6(1H,3H,5H)-trione) – diethylamine – dichloromethane (1/1/1) C25H32Cl2F3N5O6
- Crystal structure of 2-(dimethylsulfanylidene)-N-(4-methoxyphenyl)-3-oxo-3-phenylpropanamide
- Crystal structure of (1,10-phenanthroline-κ2N,N′)bis(thiocyanato-κN)platinum(II), C14H8N4PtS2
- Crystal structure of di(μ2-chlorido)bis[2-(2-pyridyl)phenyl-κ2N,C1]dipalladium(II), C22H16Cl2N2Pd2
- Crystal structure of trans-dibromidodi(pyridine-κN)palladium(II), PdBr2(C5H5N)2
Articles in the same Issue
- Cover and Frontmatter
- Crystal structure of rac-4,4,4-trifluoro-3-hydroxy-3-methylbutanoic acid, C5H7O2F3
- Crystal structure of 5-methyl-2-phenyl-1,3-dioxane-5-carboxylic acid, C12H14O4
- Crystal structure of ethyl 2-(2-(2-(4-chlorophenyl)-3-methylbutanamido)thiazol-4-yl)acetate, C18H21ClN2O3S
- The crystal structure of (4E,11E,31E,38E)-1,4,12,15,18,26,31,39-Octaaza-7,21,24-trihydroxy-penta-cyclo[13·13·13·16,10·120,24·133,37]tetratetraconta-4,6(44),7,9,11,18,20(43),21,23,25,31,33(42),34,36,38-pentadecaene, C36H42N8O3
- Crystal structure of poly[diaqua-μ5-4-(3,5-dicarboxylato-κ3O1:O2:O3-phenoxy)phthalato-κ3O5,O7:O8)(μ2-4-(1H-pyrazol-5-yl)pyridine-κ2N:N′)dicobalt(II)] C24H16N3O11Co2
- Crystal structure of catena-poly[(μ2-acetamido-benzoato-κ2O:O′)triphenyltin(IV)], C27H23NO3Sn
- Crystal structure of chlorido(2,2′-((1E,1′E)-(((1R,2R)-cyclohexane-1,2-diyl)bis(azanylylidene))bis(methylylidene))diphenolato-κ4N,N′,O,O′)iron(III), C20H20ClFeN2O2
- Crystal structure of (E)-3-(4-tert-butyl)phenyl)-1-(3-chlorophenyl)prop-2-en-1-one, C18H17CIO
- Crystal structure of trans-1,2-bis(pyridinium-4-yl)ethylene–2-carboxy-4-methylbenzoate (1/2), C30H26N2O8
- Crystal structure of poly[aqua-ethylenediamine-tetraacetatolead(II)zinc(II)]
- Crystal structure of (E)-2-((2-(2,4-dinitrophenyl)hydrazono)methyl)-4-nitrophenol — triethylamine (2/1), C32H33N11O14
- Crystal structure of catena-poly[diaqua-bis-(μ2-5-carboxy-2-(pyridin-4-yl)benzoato-κ2O:N)cadmium(II)] dihydrate, C26H24N2O12Cd
- Crystal structure of 2-(ethoxycarbonyl)-2-(2-nitro-1-phenylethyl)-3-oxopyrrolidinium chloride, C15H19N2O5Cl
- Crystal structure of 4-((pyridin-4-ylmethyl)sulfinyl)pyridine, C11H10N2OS
- Crystal structure of 2,5-diethoxy-1,4-bis[2-(quinoline)ethenyl]benzene, C32H28N2O2
- Crystal structure of diaqua(μ2-1,1′-biphenyl-4,4′-diylbis(1H-imidazole)-κ2N:N′)tetrakis(3-carboxy-5-ethylpyridine-2-carboxylato-κ2N,O)dizinc(II), C54H50N8O18Zn2
- Crystal structure of a poly[bis(3,4,5,6-tetrachlorophthalato)neodym(III)potassium(I)] — 4,4′-bipyridine — water (1/1/5.5)
- The second polymorph of triethylammonium 2,4,6-trisulfanylidene-1,3,5-triazinan-1-ide, C9H18N4S3
- Crystal structure of 2,2′-diamino-[1,1′-biphenyl]-4,4′-dicarboxylic acid dihydrate, C14H16N2O6
- Crystal structure of the catena-poly[bis(1H-imidazole-κN)-(μ2-furan-2,5-dicarboxylato-κ2O1:O4)manganese(II)]monohydrate, C12H12MnN4O6
- Crystal structure of (acetylacetonato-κ2O:O′)bis-((1-(2-hydroxyphenyl)-3-(pyridin-2-yl)prop-2-en-1-one)-κ2C,N)iridium(III), C33H27IrN2O6
- Crystal structure of 1-benzyl-3-(4-methylpyridin-2-yl)-1H-imidazol-3-ium hexafluorophosphate, C16H16F6N3P
- Crystal structure of tetraethylammonium 3,5-dinitrosalicylate, C15H23N3O7
- Crystal structure of 4-[5-(4-fluorophenyl)-3-(4-hydroxyphenyl)-4,5-dihydropyrazol-1-yl] benzenesulfonamide, C21H18FN3O3S
- Crystal structure of 2,4-dichlorobenzene anhydride, C14H6Cl4O3
- Crystal structure of bis(2-hydroxy-2-phenylacetato-κ2O,O′)bis(pyridine-κN)nickel(II), C26H24N2NiO6
- Crystal structure of (E)-4-nitro-2-(((3-(tetrahydro-8λ4-[1,3,2]oxazaborolo[2,3-b][1,3,2]oxaborol-8-yl)phenyl)imino)methyl)phenol – water (1/2), C17H18BN3O5·2H2O
- Crystal structure of 5-(4-carboxyphenoxy)-nicotinic acid, C13H9NO5
- Crystal structure of catena-poly[hexaaquabis(μ2-3-nitrophthalate-κ2O:O′)-(μ2-1,4-bis(4-pyridylmethyl)piperazine-κ2N:N′)dimanganese(II)] dihydrate, C32H42Mn2N6O20
- Crystal structure of diaquabis(bicyclo[2.2.1]hept-5-ene-2,3-dicarboxylate-κ4O, O′:/O′′,O′′′)bis-(2,2′-bipyridine-κ2N, N′)dicadmium(II) hydrate
- Crystal structure of (R)-1-(1-(6-fluorobenzo[d]thiazol-2-yl)ethyl)-3-phenylthiourea
- Crystal structure of poly[(μ2-1,4-bis((1H-imidiazol-1-yl)methyl)benzene-κ2N:N′)-(μ2-4,4′-(1,2-phenylenebis(oxy)dibenzoato-κ4O,O′:O′′,O′′′)nickel(II)], C34H26O6N4Ni
- Crystal structure of 3′,4′,5-trihydroxy-3,7-dimethoxyflavone, C17H14O7
- Crystal structure of n-butyl-chlorido-bis[N-sec-butyl,N-n-propyl-carbamodithioato κ2S,S′]-tin(IV), C20H41ClN2S4Sn
- Crystal structure of poly[bis(μ4-4,4′-(1,2-phenylenebis(oxy))dibenzoato-κ4O:O′:O′′:O′′′)bis(μ3-4,4′-(1,2-phenylenebis(oxy))dibenzoato–κ3O:O′:O′′)(μ2-1-(4-((1H-imidazol-1-yl)methyl)benzyl)-1H-imidazole-κ2N:N′)tetracobalt(II)], C94H62O24N4Co4
- Crystal structure of catenapoly[diaqua-(μ24,4′-bipyridine)-κ2N:N′)-bis(2,6-difluorobenzoate)-κO)nickel(II)] ethanol monosolvate, C28H30F4N2O8Ni
- Crystal structure of 2-(9H-fluoren-9-ylidene)hydrazine-1-carbothioamide, C14H11N3S
- Crystal structure of 2-(4-methoxyphenyl)-2,3-dihydro-1H-perimidine, C18H16N2O
- Crystal structure of catena-poly[diaquabis(μ2-3-carboxybenzene-1,2-dicarboxylato-1:2κ2O:O′)-(μ2-1,4-bis(2-ethylbenzimidazol-1-ylmethyl)-benzene-1:1′κ2N:N′)dizinc(II)], [Zn2(C26H26N4)(C9H4O6)2(H2O)2]
- Crystal structure of diaquabis(phenoxyacetato-κ2O,O′)-zinc(II), C16H18O8Zn
- Crystal structure of 4-(1H-imidazol-1-yl)-6-pyrimidinylferrocene, C17H14FeN4
- Crystal structure of [2-(4-methoxyphenyl)pyrazine-κ2C,N) chlorido[N,N′-bis-(2,6-diisopropyl-phenyl)imidazol-2-ylidene-κC)] palladium(II), C38H45ClN4OPd
- Crystal structure of 2-(4-acetyl-2,6-dimethyl-phenyl)-5,6-dichloro-isoindole-1,3-dione, C18H13Cl2NO3
- Crystal structure of 4,4′-bipyridin-1-ium 3,3′,5′-tricarboxy-[1,1′-biphenyl]-2-carboxylate, (C26H18N2O8)
- Crystal structure of catena-poly[diaqua-μ2-4,4′-biphenyl-4,4′-diyldipyridine-κ2N:N′-bis(5-carboxy-2,6-dimethylpyridine-3-carboxylato-κO)nickel(II)] dihydrate, C40H40N4O12Ni
- Crystal structure of poly-[μ2-4,4′-bipyridine-κ2N:N′−μ3-thiophene-2,3-di-carboxylato-κ4O,O′, O′′:O′′′ -cadmium(II)]
- Crystal structure of hexaaquamanganese(II) bis(3-carboxythiophene-2-carboxylate) C12H18MnO14S2
- Crystal structure of 4-(3-(pyridin-3-yl)-1H-1,2,4-triazol-5-yl)benzoic acid, C14H10N4O2
- Crystal structure of (E)-2-(benzo[d]thiazol-2-yl)-3-(pyridin-3-yl)acrylonitrile)
- Crystal structure of catena-poly[2,2′-bipyridinyl-6,6′-dicarboxylato-κ4N,N′,O,O′)-(μ2-2,2′-bipyridinyl-6′-carboxyl-6-carboxylato-κ5N,N′,O,O′:O′′)samarium(III)] monohydrate, C24H13N4O8Sm · H2O
- Crystal structure of catena-poly[bis(μ2-4-(3-(pyridin-3-yl)-1H-1,2,4-triazol-5-yl)benzoato)-κ2N:O)copper(II)] dihydrate, C28H22N8O6Cu
- Crystal structure of catena-poly[tetraaqua-(μ2-4,4′-bipyridine-k2N:N′)-zinc(II)] fumarate tetrahydrate, C14H26N2O12Zn
- Crystal structure of triaqua-(1,10-phenanthroline)-(dihydrogen-3,3′,3′′-(2,4,6-trioxo-1,3,5-triazinane-1,3,5-triyl)tripropanoato) cobalt(II)dihydrogen-3,3′,3′′-(2,4,6-trioxo-1,3,5-triazinane-1,3,5-triyl)tripropanoate, C72H82Co2N16O42
- Crystal structure of poly[dibromido-(μ2–4,4′-bis-(pyrid-4-yl)biphenyl-κ2N:N′)lead(II)], C22H16N2PbBr2
- Crystal structure of catena-poly[diaqua-bis(μ2-5-carboxy-2-(pyridin-4-yl)benzoato-κ2O:N)-cobalt(II)]dihydrate, C26H24N2O12Co
- Crystal structure of 5-(4-pyridyl)pyrimidine–4,4′-bipyridine–1,3,5-benzenetriol–water (1:1:1:1), C25H23N5O4
- Crystal structure of 5-hydroxy-4-((4-hydroxyphenyl)imino)naphthalen-1(4H)-one monohydrate, C16H11NO3 · 0.5H2O
- Crystal structure of 2-amino-N-(4-methoxyphenyl)benzamide, C14H14N2O2
- Crystal structure of (2,5-dihydroxyphenyl)-(4-hydroxy-3,5-dimethoxyphenyl)methanone, C15H14O6
- Crystal structure of dichlorido[bis(2-hydroxyethyl)5′-([2,2′:6′,2′′-terpyridin]-4′-yl)-[1,1′:3′,1′′-terphenyl]-4,4′′-dicarboxylato]zinc(II), C39H31Cl2N3O6Zn
- Crystal structure of bis[4-(3-carboxy-6-fluoro-1-(4-fluorophenyl)-4-oxo-1,4-dihydroquinolin-7-yl)piperazin-1-ium] benzene-1,4-dicarboxylate (C20H18F2N3O3)2(C8H4O4), C48H40F4N6O10
- Crystal structure of (2,5-dihydroxyphenyl)-(4-methoxyphenyl)methanone, C14H12O4
- Crystal structure of photochromic 1-(2-methyl-5-phenyl-3-thienyl-2-[2-methyl-5-(4-ethoxylphenyl)-3-thienyl] 3,3,4,4,5,5-hexafluoro-cyclopent-1-ene, C29H22F6OS2
- Crystal structure of poly[diaquabis(μ2-biphenyl-2,4′-dicarboxylato-κ2O:O′)tris(μ2-1,1′-biphenyl-4,4′-diylbis(1H-imidazole)-κ2N:N′)dicobalt(II)] monohydrat, C82H64N12O11Co2
- Crystal structure of 2-amino-4-(3,4-difluorophenyl)-5-oxo-5,6,7,8-tetrahydro-4H-chromene-3-carbonitrile, C16H12N2O2F2
- Crystal structure of poly[(di-μ2-aqua-κ2O:O)bis(μ5-oxalato-1:2κ2O1; 1κ1O2; 3:4:5κ3O3; 3κ1O4)(μ4-oxalato-1:2κ2O1; 2:3κ2O2; 3:4κ2O3; 4:1κ2O4)dizinc(II)disodium(I)]
- Crystal structure of tetraethylammonium hexachloridotantalate(V), C8H20Cl6NTa
- Crystal structure of (E)-2,4-dibromo-6-(((2-nitrophenyl)imino)methyl)phenol, C13H8Br2N2O3
- The crystal structure of 6-chloro-2,4-diphenylquinoline
- Crystal structure of (E)-2-(((1,10-phenanthrolin-5-yl)imino)methyl)-5-methylphenol monohydrate, C20H15N3O·H2O
- Crystal structure of tris(3-(2-pyridyl)pyrazole)zinc(II)tetrachlorido zincate(II), C24H21Cl4N9Zn2
- Crystal structure of 4-chloro-N,N-diethyl-6-(piperidin-1-yl)-1,3,5-triazin-2-amine, C12H20ClN5
- The crystal structure of 4-allyl-5-benzyl-2,4-dihydro-3H-1,2,4-triazol-3-one, C12H13N3O
- Crystal structure of diethyl 2-(((2-(pyridin-3-ylthio)phenyl)amino)methylene)malonate, C19H20N2O4S
- Crystal structure of fac-tricarbonyl(2-(isopropylimino)methyl-5-methylphenolatido-κ2N,O)(pyridine-κN)rhenium(I), C19H19N2O4Re
- Crystal structure of 1,3,6,8-tetrakis(p-tolylthio)pyrene, C44H34S4
- Crystal structure of catena-poly-(diaqua-(μ2-1,2-bis(4-pyridyl)ethene-κ2N:N′)-(4-methylphthalato-κ2O,O′)-cobalt(II)trihydrate, C21H26CoN2O9
- Crystal structure of tetraethylammonium fac-tricarbonyl(hexafluoroacetylacetonato-κ2O,O′)-(nitrato-κO)rhenium(I), C16H21O8N2F6Re
- Crystal structure of 3-(thiophen-2-yl)-5-(p-tolyl)-4,5-dihydro-1H-pyrazole-1-carboxamide
- Crystal structure of bis(1-ethyl-3-methylimidazolium) tetrabromidocadmate(II), [C6H11N2]2[CdBr4]
- Crystal structure of N′-(adamantan-2-ylidene)-isonicotinohydrazide, C16H19N3O
- Crystal structure of trans-tetraaquabis(4-(pyridin-4-ylsulfonyl)pyridine-κN)cobalt(II) diperchlorate dihydrate, C20H28Cl2CoN4O18S2
- Crystal structure of (Z)-4-(furan-2-yl(p-tolylamino)methylene)-3-methyl-1-p-tolyl-1H-pyrazol-5(4H)-one, C23H21N3O2
- Crystal structure of 2-[(4-fluorobenzyl)sulfanyl]-4-(2-methylpropyl)-6-oxo-1,6-dihydropyrimidine-5-carbonitrile, C16H16FN3OS
- Crystal structure of poly[octaaqua-tris(benzene-1,2,4,5-tetracarboxylato)tetralanthanum(III)] hexahydrate, C30H34La4O38
- Crystal structure of trans-tetraaqua-bis(4,4′-sulfonyldipyridine-κN)zinc(II) diperchlorate dihydrate, C20H28Cl2ZnN4O18S2
- Crystal structure of 4-nitro-thiophene-2-carboxylic acid, a structure with a Z′ = 4, C5H3NO4S
- Crystal structure of dirubidium trimercury(II) tetraselenide, Rb2Hg3Se4
- Crystal structure of 5-(adamantan-1-yl)-3-[(4-chloroanilino)methyl]-2,3-dihydro-1,3,4-oxadiazole-2-thione, C19H22ClN3OS
- Crystal structure of hexaaquamagnesium(II) 5,5′-bitetrazole-1,1′-diolate, C2H12N8O8Mg
- The crystal structure of catena-poly[(μ2-1,1′-benzene-1,4-diylbis(1H-benzimidazole-κ2N:N′)silver(I)] nitrate, C20H14N5AgO3
- The crystal structure of 1-(2-(4-chlorophenoxy)-4-chlorophenyl)ethanone, C14H10Cl2O2
- The crystal structure of 3,5-dinitro-1,3,5-oxadiazinane, C3H6N4O5
- Crystal structure of methyl 5-methoxy 1H-indole-2-carboxylate, C11H11NO3
- Crystal structure of (Z)-1-(((3-acetyl-2-hydroxyphenyl)amino)methylene)naphthalen-2(1H)-one, C19H15NO3
- Crystal structure of (Z)-5-(4-chlorobenzylidene)-2-thioxothiazolidin-4-one —dimethylsulfoxide (1:1), C12H12ClNO2S3
- Crystal structure of 5,5′-((4-(trifluoromethyl)phenyl)methylene)bis(1,3-dimethylpyrimidine-2,4,6(1H,3H,5H)-trione) – diethylamine – dichloromethane (1/1/1) C25H32Cl2F3N5O6
- Crystal structure of 2-(dimethylsulfanylidene)-N-(4-methoxyphenyl)-3-oxo-3-phenylpropanamide
- Crystal structure of (1,10-phenanthroline-κ2N,N′)bis(thiocyanato-κN)platinum(II), C14H8N4PtS2
- Crystal structure of di(μ2-chlorido)bis[2-(2-pyridyl)phenyl-κ2N,C1]dipalladium(II), C22H16Cl2N2Pd2
- Crystal structure of trans-dibromidodi(pyridine-κN)palladium(II), PdBr2(C5H5N)2