Abstract
C14H16N2O6, triclinic, P1̅ (no. 2), a = 10.0254(5) Å, b = 11.2726(6) Å, c = 13.4494(7) Å, α = 111.535(2)°, β = 92.068(2)°, γ = 102.644(2)°, V = 1368.16(13) Å3, Z = 4, Rgt(F) = 0.047, wRref(F2) = 0.133, T = 150 K.

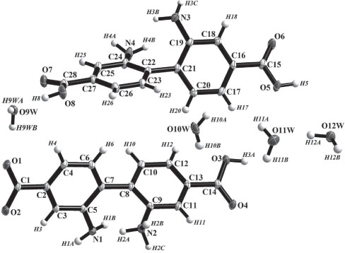
The crystal structure is shown in the figure. Tables 1–3 contain details of the measurement method and a list of the atoms including atomic coordinates and displacement parameters.
Data collection and handling.
| Crystal: | Yellow, tetrahedral, size 0.10×0.20×0.30 mm |
| Wavelength: | Mo Kα radiation (0.71073 Å) |
| μ: | 1.18 cm−1 |
| Diffractometer, scan mode: | Xcalibur, Ruby, Gemini, ω scans |
| 2θmax: | 61.2° |
| N(hkl)measured, N(hkl)unique: | 73950, 8404 |
| Criterion for Iobs, N(hkl)gt: | Iobs > 2 σ(Iobs), 6147 |
| N(param)refined: | 477 |
| Programs: | XABS2 [6], CrysAlis [7], SIR92 [8], SHELX [9], Diamond [10], WinGX [11], enCIFer [12] |
Fractional atomic coordinates and isotropic or equivalent isotropic displacement parameters (Å2).
| Atom | Site | x | y | z | Uiso |
|---|---|---|---|---|---|
| H(1A) | 2i | 0.590(2) | 0.196(2) | −0.103(2) | 0.025(4) |
| H(1B) | 2i | 0.671(2) | 0.235(2) | 0.006(2) | 0.031(5) |
| H(2A) | 2i | 0.429(2) | 0.097(2) | 0.074(1) | 0.048(6) |
| H(2B) | 2i | 0.393(2) | 0.067(3) | 0.165(2) | 0.062(7) |
| H(2C) | 2i | 0.496(2) | 0.003(2) | 0.094(2) | 0.037(5) |
| H(3A) | 2i | 0.962(2) | 0.307(2) | 0.544(2) | 0.055(7) |
| H(3) | 2i | 0.4030 | 0.2839 | −0.1213 | 0.019 |
| H(4) | 2i | 0.2769 | 0.5190 | 0.1431 | 0.022 |
| H(6) | 2i | 0.4255 | 0.4714 | 0.2498 | 0.022 |
| H(10) | 2i | 0.7131 | 0.5028 | 0.2805 | 0.021 |
| H(11) | 2i | 0.6450 | 0.0770 | 0.2676 | 0.021 |
| H(12) | 2i | 0.8519 | 0.4582 | 0.3959 | 0.020 |
| H(3B) | 2i | 0.748(2) | 1.005(2) | 0.727(2) | 0.034(5) |
| H(3C) | 2i | 0.842(2) | 1.051(2) | 0.829(2) | 0.034(5) |
| H(4A) | 2i | 0.859(2) | 1.023(2) | 0.525(2) | 0.048(6) |
| H(4B) | 2i | 0.897(2) | 0.956(2) | 0.595(2) | 0.040(6) |
| H(5) | 2i | 1.074(2) | 0.559(2) | 0.893(2) | 0.050(6) |
| H(8) | 2i | 0.214(3) | 0.739(2) | 0.264(2) | 0.055(7) |
| H(17) | 2i | 0.8859 | 0.5307 | 0.6721 | 0.022 |
| H(18) | 2i | 0.9468 | 0.9060 | 0.8809 | 0.022 |
| H(20) | 2i | 0.7495 | 0.5723 | 0.5533 | 0.021 |
| H(23) | 2i | 0.5050 | 0.6379 | 0.5654 | 0.022 |
| H(25) | 2i | 0.6460 | 0.9434 | 0.4121 | 0.024 |
| H(26) | 2i | 0.3536 | 0.6551 | 0.4413 | 0.023 |
| H(9WA) | 2i | 0.030(3) | 0.700(2) | 0.157(2) | 0.045(6) |
| H(9WB) | 2i | 0.136(2) | 0.660(2) | 0.099(2) | 0.050(7) |
| H(10A) | 2i | 0.096(3) | 0.306(3) | 0.687(2) | 0.056(7) |
| H(10B) | 2i | 0.101(3) | 0.199(3) | 0.584(2) | 0.080(9) |
| H(11A) | 2i | 0.158(3) | 0.166(3) | 0.805(2) | 0.074(8) |
| H(11B) | 2i | 0.144(3) | 0.023(3) | 0.732(2) | 0.074(8) |
| H(12A) | 2i | 0.231(3) | 0.057(3) | 0.910(2) | 0.067(8) |
| H(12B) | 2i | 0.215(3) | −0.059(3) | 0.950(2) | 0.078(9) |
Atomic displacement parameters (Å2).
| Atom | Site | x | y | z | U11 | U22 | U33 | U12 | U13 | U23 |
|---|---|---|---|---|---|---|---|---|---|---|
| C(1) | 2i | 0.2193(1) | 0.4262(1) | −0.0703(1) | 0.0149(6) | 0.0169(6) | 0.0217(6) | 0.0029(5) | −0.0032(5) | 0.0101(5) |
| C(2) | 2i | 0.3226(1) | 0.4029(1) | −0.0002(1) | 0.0138(6) | 0.0151(6) | 0.0201(6) | 0.0029(4) | −0.0023(5) | 0.0093(5) |
| C(3) | 2i | 0.4079(1) | 0.3212(1) | −0.0467(1) | 0.0158(6) | 0.0164(6) | 0.0153(6) | 0.0029(5) | −0.0023(5) | 0.0075(5) |
| C(4) | 2i | 0.3311(1) | 0.4615(1) | 0.1116(1) | 0.0189(6) | 0.0197(6) | 0.0207(6) | 0.0099(5) | 0.0011(5) | 0.0088(5) |
| C(5) | 2i | 0.5007(1) | 0.2943(1) | 0.0171(1) | 0.0133(6) | 0.0144(6) | 0.0190(6) | 0.0040(4) | 0.0004(5) | 0.0078(5) |
| C(6) | 2i | 0.4208(1) | 0.4332(1) | 0.1752(1) | 0.0208(6) | 0.0212(6) | 0.0162(6) | 0.0090(5) | 0.0003(5) | 0.0080(5) |
| C(7) | 2i | 0.5043(1) | 0.3484(1) | 0.1298(1) | 0.0140(6) | 0.0168(6) | 0.0187(6) | 0.0044(5) | −0.0014(5) | 0.0092(5) |
| C(8) | 2i | 0.5947(1) | 0.3172(1) | 0.2022(1) | 0.0154(6) | 0.0189(6) | 0.0150(6) | 0.0077(5) | 0.0015(5) | 0.0085(5) |
| C(9) | 2i | 0.5761(1) | 0.1902(1) | 0.2014(1) | 0.0153(6) | 0.0170(6) | 0.0163(6) | 0.0053(5) | −0.0008(5) | 0.0066(5) |
| C(10) | 2i | 0.6993(1) | 0.4170(1) | 0.2772(1) | 0.0177(6) | 0.0173(6) | 0.0194(6) | 0.0054(5) | 0.0011(5) | 0.0099(5) |
| C(11) | 2i | 0.6589(1) | 0.1625(1) | 0.2702(1) | 0.0183(6) | 0.0171(6) | 0.0201(6) | 0.0062(5) | −0.0006(5) | 0.0099(5) |
| C(12) | 2i | 0.7827(1) | 0.3906(1) | 0.3467(1) | 0.0145(6) | 0.0189(6) | 0.0170(6) | 0.0038(5) | 0.0003(5) | 0.0080(5) |
| C(13) | 2i | 0.7629(1) | 0.2628(1) | 0.3430(1) | 0.0158(6) | 0.0199(6) | 0.0158(6) | 0.0070(5) | 0.0014(5) | 0.0093(5) |
| C(14) | 2i | 0.8490(1) | 0.2311(1) | 0.4178(1) | 0.0149(6) | 0.0201(6) | 0.0178(6) | 0.0038(5) | −0.0012(5) | 0.0095(5) |
| N(1) | 2i | 0.5840(1) | 0.2086(1) | −0.0317(1) | 0.0163(5) | 0.0205(5) | 0.0175(5) | 0.0079(4) | 0.0004(4) | 0.0074(4) |
| N(2) | 2i | 0.4649(1) | 0.0831(1) | 0.1298(1) | 0.0209(6) | 0.0189(6) | 0.0195(6) | 0.0060(5) | −0.0025(5) | 0.0069(5) |
| O(1) | 2i | 0.1756(1) | 0.5284(1) | −0.03006(8) | 0.0232(5) | 0.0212(5) | 0.0246(5) | 0.0116(4) | −0.0032(4) | 0.0096(4) |
| O(2) | 2i | 0.1790(1) | 0.3419(1) | −0.16484(8) | 0.0278(6) | 0.0214(5) | 0.0226(5) | 0.0073(4) | −0.0110(4) | 0.0064(4) |
| O(3) | 2i | 0.9150(1) | 0.3343(1) | 0.50236(8) | 0.0232(5) | 0.0220(5) | 0.0185(5) | 0.0052(4) | −0.0055(4) | 0.0083(4) |
| O(4) | 2i | 0.8550(1) | 0.1185(1) | 0.40230(9) | 0.0317(6) | 0.0203(5) | 0.0262(5) | 0.0079(4) | −0.0085(4) | 0.0106(4) |
| C(15) | 2i | 1.0277(1) | 0.6921(1) | 0.8622(1) | 0.0151(6) | 0.0208(6) | 0.0230(6) | 0.0057(5) | 0.0001(5) | 0.0123(5) |
| C(16) | 2i | 0.9326(1) | 0.7156(1) | 0.7874(1) | 0.0134(6) | 0.0203(6) | 0.0212(6) | 0.0050(5) | 0.0007(5) | 0.0127(5) |
| C(17) | 2i | 0.8712(1) | 0.6143(1) | 0.6897(1) | 0.0172(6) | 0.0173(6) | 0.0227(6) | 0.0073(5) | 0.0010(5) | 0.0097(5) |
| C(18) | 2i | 0.9061(1) | 0.8389(1) | 0.8153(1) | 0.0175(6) | 0.0178(6) | 0.0195(6) | 0.0039(5) | −0.0026(5) | 0.0074(5) |
| C(19) | 2i | 0.8187(1) | 0.8627(1) | 0.7458(1) | 0.0152(6) | 0.0165(6) | 0.0214(6) | 0.0052(5) | 0.0003(5) | 0.0089(5) |
| C(20) | 2i | 0.7883(1) | 0.6393(1) | 0.6194(1) | 0.0178(6) | 0.0183(6) | 0.0175(6) | 0.0052(5) | −0.0006(5) | 0.0074(5) |
| C(21) | 2i | 0.7610(1) | 0.7631(1) | 0.6451(1) | 0.0126(6) | 0.0184(6) | 0.0199(6) | 0.0043(5) | 0.0002(5) | 0.0112(5) |
| C(22) | 2i | 0.6671(1) | 0.7813(1) | 0.5667(1) | 0.0158(6) | 0.0179(6) | 0.0174(6) | 0.0054(5) | 0.0002(5) | 0.0087(5) |
| C(23) | 2i | 0.5334(1) | 0.7000(1) | 0.5353(1) | 0.0173(6) | 0.0206(6) | 0.0187(6) | 0.0033(5) | 0.0007(5) | 0.0115(5) |
| C(24) | 2i | 0.7107(1) | 0.8727(1) | 0.5181(1) | 0.0141(6) | 0.0206(6) | 0.0233(7) | 0.0042(5) | −0.0006(5) | 0.0125(5) |
| C(25) | 2i | 0.6184(1) | 0.8822(1) | 0.4432(1) | 0.0177(6) | 0.0227(7) | 0.0238(7) | 0.0050(5) | 0.0006(5) | 0.0148(5) |
| C(26) | 2i | 0.4425(1) | 0.7095(1) | 0.4606(1) | 0.0148(6) | 0.0224(6) | 0.0194(6) | 0.0030(5) | −0.0009(5) | 0.0094(5) |
| C(27) | 2i | 0.4855(1) | 0.8014(1) | 0.4144(1) | 0.0171(6) | 0.0209(6) | 0.0174(6) | 0.0072(5) | 0.0007(5) | 0.0084(5) |
| C(28) | 2i | 0.3918(1) | 0.8121(1) | 0.3318(1) | 0.0190(6) | 0.0219(6) | 0.0183(6) | 0.0068(5) | −0.0005(5) | 0.0078(5) |
| N(3) | 2i | 0.7786(1) | 0.9830(1) | 0.7817(1) | 0.0254(6) | 0.0167(6) | 0.0265(6) | 0.0075(5) | −0.0034(5) | 0.0083(5) |
| N(4) | 2i | 0.8477(1) | 0.9447(1) | 0.5355(1) | 0.0167(6) | 0.0316(7) | 0.0413(8) | −0.0015(5) | −0.0063(5) | 0.0262(6) |
| O(5) | 2i | 1.0122(1) | 0.5671(1) | 0.84319(9) | 0.0216(5) | 0.0209(5) | 0.0305(6) | 0.0058(4) | −0.0056(4) | 0.0146(4) |
| O(6) | 2i | 1.1121(1) | 0.7807(1) | 0.93305(9) | 0.0271(6) | 0.0242(5) | 0.0327(6) | 0.0030(4) | −0.0117(4) | 0.0137(5) |
| O(7) | 2i | 0.4297(1) | 0.8765(1) | 0.27761(9) | 0.0269(6) | 0.0334(6) | 0.0272(6) | 0.0043(5) | −0.0048(4) | 0.0192(5) |
| O(8) | 2i | 0.2642(1) | 0.7431(1) | 0.32201(9) | 0.0173(5) | 0.0431(7) | 0.0295(6) | 0.0023(5) | −0.0064(4) | 0.0221(5) |
| O(9W) | 2i | 0.1158(1) | 0.7216(1) | 0.15266(9) | 0.0208(5) | 0.0237(5) | 0.0226(5) | 0.0036(4) | −0.0052(4) | 0.0074(4) |
| O(10W) | 2i | 0.0556(1) | 0.2622(2) | 0.6247(1) | 0.0436(8) | 0.0531(8) | 0.0213(6) | 0.0257(7) | −0.0073(5) | 0.0108(6) |
| O(11W) | 2i | 0.1301(2) | 0.0794(1) | 0.8041(1) | 0.0516(8) | 0.0234(6) | 0.0401(7) | 0.0066(6) | −0.0029(6) | 0.0117(5) |
| O(12W) | 2i | 0.2773(1) | 0.0250(1) | 0.9551(1) | 0.0352(6) | 0.0238(6) | 0.0328(6) | −0.0002(5) | −0.0120(5) | 0.0109(5) |
Source of material
2,2′-Dinitrophenyl-4,4′-dicarboxylic acid dimethyl ester was reduced in an ethanolic solution with 5.8 g of SnCl2 · H2O and 3 mL of concentrated HCl. After partial evaporation of the solvent, the 2,2′-diamino-[1,1′-biphenyl]-4,4′-dicarboxylic acid dimethyl ester was recrystallized from hexane. The final product was obtained after deprotection of the ester with KOH in THF. Yielding (56%) a light-yellow solid. Crystals for X-ray diffraction measurements were grown in TMOS gel media containing 0.37 mmol of 2,2′-diamino-[1,1′-biphenyl]-4,4′-dicarboxylic acid, which previously has been neutralized with LiOH, and under-layered with 0.01M HCl. Yellow rectangular shaped crystals of title compound were formed in the gel phase after two weeks.
Experimental details
Hydrogen atoms belonging to carboxylic, amino- groups and water molecules were taken from a ΔF map. All aromatic and methyl hydrogen atoms were placed in calculated position and then refined with riding model with C—H lengths of 0.93 Å and 0.96 Å (Uiso(H) = 1.2Ueq(C) for aromatic and Uiso(H) = 1.5Ueq(C) for methyl), respectively.
Discussion
In recent years, research on coordination polymers and metal-organic frameworks has made considerable progress. These microporous crystalline materials exhibit intriguing properties, such as molecular adsorption, magnetism and luminescence [1, 2]. Non-covalent intermolecular interactions, mainly hydrogen bonding and aromatic interactions of aromatic carboxylates play a key role in the crystal packing of such coordination polymers [3, 4]. Although carboxylic linkers are most commonly used to build up metal-organic frameworks [5], the crystal structures of these carboxylic acids are rarely reported. Recently, we crystallize the title compound using TMOS gel media.
The asymmetric unit of the title compound (Figure) contains two 2,2′-diamino-[1,1′-biphenyl]-4,4′-dicarboxylic acid and four water molecules. One of the two independent acid molecules is found to be in its zwitterionic form (COO−/NH3+) whereas the other is neutral. Due to steric hindrance, in both carboxylic acid molecules, the planes of the aromatic rings in the biphenyl moiety are twisted with respect to each other with a dihedral angle of 63.4° and 60.1° respectively. Notably, the larger angle of repulsion is attributed to the protonation of the amino-group (–NH3+) in one of the carboxylic acid molecules. The cis-conformation of 2,2′-diamino-[1,1′-biphenyl]-4,4′-dicarboxylic acid molecules is established by the weak N2–H2a·N1 and N3–H3b·N4 intramolecular contact with the distance of 3.138(2) Å and 3.299(2) Å. Herein, the planes of all the carboxylic groups are slightly deviated from the planes of the neighbouring aromatic rings and show a dihedral angle of 9.7°, 20.3°, 17.8° and 23.6° for O8–C28–O7, O5–C15–O6, O3–C14–O4 and O1–C1–O2 groups, respectively. The C=O bond lengths of the carboxylic groups C14–O4, C15–O6 and C28–O7 are 1.2236(17) Å, 1.2228(17) Å and 1.2216(17) Å, respectively. The bond lengths of 1.3123(16) Å, 1.3085(17) Å, 1.3170(18) Å for C14–O3, C15–O5 and C28–O8 are as expected. In the O1–C1–O2 carboxylic group the O1–C1 and O2–C1 bond length are nearly equal (1.261 Å and 1.263 Å, respectively), indicating that the double bond in the O1–C1–O2 carboxylic group is delocalized, as a result of deprotonation.
In the crystal, two 2,2′-diamino-[1,1′-biphenyl]-4,4′-dicarboxylic acid and four water molecules are linked by intermolecular O–H⋯N, O–H⋯O and N–H⋯N hydrogen bonds. Two co-planar acid molecules are linked via O5–H5⋯O1 to form a dimer moiety that extends through multiple hydrogen bonds involving the carboxylate, the amino groups and water molecules into a 3D hydrogen bonded framework.
Acknowledgements:
The research leading to these results has received funding from the European Research Council under the European Union's Seventh Framework Programme (FP/2007–2013) / ERC Grant Agreement No.335746, CrystEng-MOF-MMM. S. G.-G. thanks to Ministerio de Economía y Competitividad, MAT2013-40950-R, for financial support.
References
1. Yaghi O. M.; O'Keeffe M.; Ockwig, N. W.; Chae, H. K.; Eddaoudi, M.; Kim, J.: Reticular synthesis and the design of new materials. Nature 423 (2003) 405–714.10.1038/nature01650Search in Google Scholar
2. Rowsell, J.; Yaghi, O. M.: Metal-Organic Frameworks: A new class of porous materials. Micro- and Mesoporous Mater. 73 (2004) 3–14.10.1016/j.micromeso.2004.03.034Search in Google Scholar
3. Almeida Paz, F. A.; Klinowski, J.; Vilela, S. M. F.; Tomé, J. P. C.; Cavaleiroc, J. A. S.; Rocha, J.: Ligand design for functional metal–organic frameworks. Chem. Soc. Rev. 41 (2012) 1088–1110.10.1039/C1CS15055CSearch in Google Scholar
4. Goesten, M. G.; Kapteijn, F.; Gascon, J.: Fascinating chemistry or frustrating unpredictability: observations in crystal engineering of Metal-Organic Frameworks. CrystEngComm 15 (2013) 9249–9257.10.1039/c3ce41241eSearch in Google Scholar
5. Rosi, N.; Kim, J.; Chen, B.; Eddaoudi, M.; O'Keeffe, M.; Yaghi, O. M.: Rod-packings and Metal-Organic Frameworks constructed from rod-shaped secondary building units. J. Am. Chem. Soc. 127 (2005) 1504–1518.10.1021/ja045123oSearch in Google Scholar
6. Parkin, S.; Moezzi,B.; Hope, H.: XABS2: an empirical absorption correction program. J. Appl. Cryst. 28 (1995) 53–56.10.1107/S0021889894009428Search in Google Scholar
7. Agilent Technologies: {CrysAlis PRO} Software system, version 1.171.35.15, Agilent Technologies UK Ltd, Oxford, UK 2011.Search in Google Scholar
8. Altomare, A.; Cascarano, G.; Giacovazzo, C.; Guagliardi, A.; Burla, M. C.; Polidori, G.; Camalli, M.: SIR92 - a program for automatic solution of crystal structures by direct methods. J. Appl. Cryst. 27 (1994) 435–436.10.1107/S0021889894000221Search in Google Scholar
9. Sheldrick, G. M.: A short history of SHELX. Acta Crystallogr. A64 (2008) 112–122.10.1107/S0108767307043930Search in Google Scholar PubMed
10. Brandenburg, K.: DIAMOND. Visual Crystal Structure Information System. Version 3.2i. Crystal Impact, Bonn, Germany 2012.Search in Google Scholar
11. Farrugia, L. J.: WinGX suite for small-molecule single-crystal crystallography. J. Appl. Cryst. 32 (1999) 837–838.10.1107/S0021889899006020Search in Google Scholar
12. Allen, F.H.; Johnson, O.; Shields, G. P.; Smith, B. R.; Towler, M.: CIF applications. XV. enCIFer: a program for viewing, editing and visualizing CIFs. J. Appl. Cryst. 37 (2004) 335–338.10.1107/S0021889804003528Search in Google Scholar
©2016 Alla Dikhtiarenko et al., published by De Gruyter.
This work is licensed under the Creative Commons Attribution-NonCommercial-NoDerivatives 3.0 License.
Articles in the same Issue
- Cover and Frontmatter
- Crystal structure of rac-4,4,4-trifluoro-3-hydroxy-3-methylbutanoic acid, C5H7O2F3
- Crystal structure of 5-methyl-2-phenyl-1,3-dioxane-5-carboxylic acid, C12H14O4
- Crystal structure of ethyl 2-(2-(2-(4-chlorophenyl)-3-methylbutanamido)thiazol-4-yl)acetate, C18H21ClN2O3S
- The crystal structure of (4E,11E,31E,38E)-1,4,12,15,18,26,31,39-Octaaza-7,21,24-trihydroxy-penta-cyclo[13·13·13·16,10·120,24·133,37]tetratetraconta-4,6(44),7,9,11,18,20(43),21,23,25,31,33(42),34,36,38-pentadecaene, C36H42N8O3
- Crystal structure of poly[diaqua-μ5-4-(3,5-dicarboxylato-κ3O1:O2:O3-phenoxy)phthalato-κ3O5,O7:O8)(μ2-4-(1H-pyrazol-5-yl)pyridine-κ2N:N′)dicobalt(II)] C24H16N3O11Co2
- Crystal structure of catena-poly[(μ2-acetamido-benzoato-κ2O:O′)triphenyltin(IV)], C27H23NO3Sn
- Crystal structure of chlorido(2,2′-((1E,1′E)-(((1R,2R)-cyclohexane-1,2-diyl)bis(azanylylidene))bis(methylylidene))diphenolato-κ4N,N′,O,O′)iron(III), C20H20ClFeN2O2
- Crystal structure of (E)-3-(4-tert-butyl)phenyl)-1-(3-chlorophenyl)prop-2-en-1-one, C18H17CIO
- Crystal structure of trans-1,2-bis(pyridinium-4-yl)ethylene–2-carboxy-4-methylbenzoate (1/2), C30H26N2O8
- Crystal structure of poly[aqua-ethylenediamine-tetraacetatolead(II)zinc(II)]
- Crystal structure of (E)-2-((2-(2,4-dinitrophenyl)hydrazono)methyl)-4-nitrophenol — triethylamine (2/1), C32H33N11O14
- Crystal structure of catena-poly[diaqua-bis-(μ2-5-carboxy-2-(pyridin-4-yl)benzoato-κ2O:N)cadmium(II)] dihydrate, C26H24N2O12Cd
- Crystal structure of 2-(ethoxycarbonyl)-2-(2-nitro-1-phenylethyl)-3-oxopyrrolidinium chloride, C15H19N2O5Cl
- Crystal structure of 4-((pyridin-4-ylmethyl)sulfinyl)pyridine, C11H10N2OS
- Crystal structure of 2,5-diethoxy-1,4-bis[2-(quinoline)ethenyl]benzene, C32H28N2O2
- Crystal structure of diaqua(μ2-1,1′-biphenyl-4,4′-diylbis(1H-imidazole)-κ2N:N′)tetrakis(3-carboxy-5-ethylpyridine-2-carboxylato-κ2N,O)dizinc(II), C54H50N8O18Zn2
- Crystal structure of a poly[bis(3,4,5,6-tetrachlorophthalato)neodym(III)potassium(I)] — 4,4′-bipyridine — water (1/1/5.5)
- The second polymorph of triethylammonium 2,4,6-trisulfanylidene-1,3,5-triazinan-1-ide, C9H18N4S3
- Crystal structure of 2,2′-diamino-[1,1′-biphenyl]-4,4′-dicarboxylic acid dihydrate, C14H16N2O6
- Crystal structure of the catena-poly[bis(1H-imidazole-κN)-(μ2-furan-2,5-dicarboxylato-κ2O1:O4)manganese(II)]monohydrate, C12H12MnN4O6
- Crystal structure of (acetylacetonato-κ2O:O′)bis-((1-(2-hydroxyphenyl)-3-(pyridin-2-yl)prop-2-en-1-one)-κ2C,N)iridium(III), C33H27IrN2O6
- Crystal structure of 1-benzyl-3-(4-methylpyridin-2-yl)-1H-imidazol-3-ium hexafluorophosphate, C16H16F6N3P
- Crystal structure of tetraethylammonium 3,5-dinitrosalicylate, C15H23N3O7
- Crystal structure of 4-[5-(4-fluorophenyl)-3-(4-hydroxyphenyl)-4,5-dihydropyrazol-1-yl] benzenesulfonamide, C21H18FN3O3S
- Crystal structure of 2,4-dichlorobenzene anhydride, C14H6Cl4O3
- Crystal structure of bis(2-hydroxy-2-phenylacetato-κ2O,O′)bis(pyridine-κN)nickel(II), C26H24N2NiO6
- Crystal structure of (E)-4-nitro-2-(((3-(tetrahydro-8λ4-[1,3,2]oxazaborolo[2,3-b][1,3,2]oxaborol-8-yl)phenyl)imino)methyl)phenol – water (1/2), C17H18BN3O5·2H2O
- Crystal structure of 5-(4-carboxyphenoxy)-nicotinic acid, C13H9NO5
- Crystal structure of catena-poly[hexaaquabis(μ2-3-nitrophthalate-κ2O:O′)-(μ2-1,4-bis(4-pyridylmethyl)piperazine-κ2N:N′)dimanganese(II)] dihydrate, C32H42Mn2N6O20
- Crystal structure of diaquabis(bicyclo[2.2.1]hept-5-ene-2,3-dicarboxylate-κ4O, O′:/O′′,O′′′)bis-(2,2′-bipyridine-κ2N, N′)dicadmium(II) hydrate
- Crystal structure of (R)-1-(1-(6-fluorobenzo[d]thiazol-2-yl)ethyl)-3-phenylthiourea
- Crystal structure of poly[(μ2-1,4-bis((1H-imidiazol-1-yl)methyl)benzene-κ2N:N′)-(μ2-4,4′-(1,2-phenylenebis(oxy)dibenzoato-κ4O,O′:O′′,O′′′)nickel(II)], C34H26O6N4Ni
- Crystal structure of 3′,4′,5-trihydroxy-3,7-dimethoxyflavone, C17H14O7
- Crystal structure of n-butyl-chlorido-bis[N-sec-butyl,N-n-propyl-carbamodithioato κ2S,S′]-tin(IV), C20H41ClN2S4Sn
- Crystal structure of poly[bis(μ4-4,4′-(1,2-phenylenebis(oxy))dibenzoato-κ4O:O′:O′′:O′′′)bis(μ3-4,4′-(1,2-phenylenebis(oxy))dibenzoato–κ3O:O′:O′′)(μ2-1-(4-((1H-imidazol-1-yl)methyl)benzyl)-1H-imidazole-κ2N:N′)tetracobalt(II)], C94H62O24N4Co4
- Crystal structure of catenapoly[diaqua-(μ24,4′-bipyridine)-κ2N:N′)-bis(2,6-difluorobenzoate)-κO)nickel(II)] ethanol monosolvate, C28H30F4N2O8Ni
- Crystal structure of 2-(9H-fluoren-9-ylidene)hydrazine-1-carbothioamide, C14H11N3S
- Crystal structure of 2-(4-methoxyphenyl)-2,3-dihydro-1H-perimidine, C18H16N2O
- Crystal structure of catena-poly[diaquabis(μ2-3-carboxybenzene-1,2-dicarboxylato-1:2κ2O:O′)-(μ2-1,4-bis(2-ethylbenzimidazol-1-ylmethyl)-benzene-1:1′κ2N:N′)dizinc(II)], [Zn2(C26H26N4)(C9H4O6)2(H2O)2]
- Crystal structure of diaquabis(phenoxyacetato-κ2O,O′)-zinc(II), C16H18O8Zn
- Crystal structure of 4-(1H-imidazol-1-yl)-6-pyrimidinylferrocene, C17H14FeN4
- Crystal structure of [2-(4-methoxyphenyl)pyrazine-κ2C,N) chlorido[N,N′-bis-(2,6-diisopropyl-phenyl)imidazol-2-ylidene-κC)] palladium(II), C38H45ClN4OPd
- Crystal structure of 2-(4-acetyl-2,6-dimethyl-phenyl)-5,6-dichloro-isoindole-1,3-dione, C18H13Cl2NO3
- Crystal structure of 4,4′-bipyridin-1-ium 3,3′,5′-tricarboxy-[1,1′-biphenyl]-2-carboxylate, (C26H18N2O8)
- Crystal structure of catena-poly[diaqua-μ2-4,4′-biphenyl-4,4′-diyldipyridine-κ2N:N′-bis(5-carboxy-2,6-dimethylpyridine-3-carboxylato-κO)nickel(II)] dihydrate, C40H40N4O12Ni
- Crystal structure of poly-[μ2-4,4′-bipyridine-κ2N:N′−μ3-thiophene-2,3-di-carboxylato-κ4O,O′, O′′:O′′′ -cadmium(II)]
- Crystal structure of hexaaquamanganese(II) bis(3-carboxythiophene-2-carboxylate) C12H18MnO14S2
- Crystal structure of 4-(3-(pyridin-3-yl)-1H-1,2,4-triazol-5-yl)benzoic acid, C14H10N4O2
- Crystal structure of (E)-2-(benzo[d]thiazol-2-yl)-3-(pyridin-3-yl)acrylonitrile)
- Crystal structure of catena-poly[2,2′-bipyridinyl-6,6′-dicarboxylato-κ4N,N′,O,O′)-(μ2-2,2′-bipyridinyl-6′-carboxyl-6-carboxylato-κ5N,N′,O,O′:O′′)samarium(III)] monohydrate, C24H13N4O8Sm · H2O
- Crystal structure of catena-poly[bis(μ2-4-(3-(pyridin-3-yl)-1H-1,2,4-triazol-5-yl)benzoato)-κ2N:O)copper(II)] dihydrate, C28H22N8O6Cu
- Crystal structure of catena-poly[tetraaqua-(μ2-4,4′-bipyridine-k2N:N′)-zinc(II)] fumarate tetrahydrate, C14H26N2O12Zn
- Crystal structure of triaqua-(1,10-phenanthroline)-(dihydrogen-3,3′,3′′-(2,4,6-trioxo-1,3,5-triazinane-1,3,5-triyl)tripropanoato) cobalt(II)dihydrogen-3,3′,3′′-(2,4,6-trioxo-1,3,5-triazinane-1,3,5-triyl)tripropanoate, C72H82Co2N16O42
- Crystal structure of poly[dibromido-(μ2–4,4′-bis-(pyrid-4-yl)biphenyl-κ2N:N′)lead(II)], C22H16N2PbBr2
- Crystal structure of catena-poly[diaqua-bis(μ2-5-carboxy-2-(pyridin-4-yl)benzoato-κ2O:N)-cobalt(II)]dihydrate, C26H24N2O12Co
- Crystal structure of 5-(4-pyridyl)pyrimidine–4,4′-bipyridine–1,3,5-benzenetriol–water (1:1:1:1), C25H23N5O4
- Crystal structure of 5-hydroxy-4-((4-hydroxyphenyl)imino)naphthalen-1(4H)-one monohydrate, C16H11NO3 · 0.5H2O
- Crystal structure of 2-amino-N-(4-methoxyphenyl)benzamide, C14H14N2O2
- Crystal structure of (2,5-dihydroxyphenyl)-(4-hydroxy-3,5-dimethoxyphenyl)methanone, C15H14O6
- Crystal structure of dichlorido[bis(2-hydroxyethyl)5′-([2,2′:6′,2′′-terpyridin]-4′-yl)-[1,1′:3′,1′′-terphenyl]-4,4′′-dicarboxylato]zinc(II), C39H31Cl2N3O6Zn
- Crystal structure of bis[4-(3-carboxy-6-fluoro-1-(4-fluorophenyl)-4-oxo-1,4-dihydroquinolin-7-yl)piperazin-1-ium] benzene-1,4-dicarboxylate (C20H18F2N3O3)2(C8H4O4), C48H40F4N6O10
- Crystal structure of (2,5-dihydroxyphenyl)-(4-methoxyphenyl)methanone, C14H12O4
- Crystal structure of photochromic 1-(2-methyl-5-phenyl-3-thienyl-2-[2-methyl-5-(4-ethoxylphenyl)-3-thienyl] 3,3,4,4,5,5-hexafluoro-cyclopent-1-ene, C29H22F6OS2
- Crystal structure of poly[diaquabis(μ2-biphenyl-2,4′-dicarboxylato-κ2O:O′)tris(μ2-1,1′-biphenyl-4,4′-diylbis(1H-imidazole)-κ2N:N′)dicobalt(II)] monohydrat, C82H64N12O11Co2
- Crystal structure of 2-amino-4-(3,4-difluorophenyl)-5-oxo-5,6,7,8-tetrahydro-4H-chromene-3-carbonitrile, C16H12N2O2F2
- Crystal structure of poly[(di-μ2-aqua-κ2O:O)bis(μ5-oxalato-1:2κ2O1; 1κ1O2; 3:4:5κ3O3; 3κ1O4)(μ4-oxalato-1:2κ2O1; 2:3κ2O2; 3:4κ2O3; 4:1κ2O4)dizinc(II)disodium(I)]
- Crystal structure of tetraethylammonium hexachloridotantalate(V), C8H20Cl6NTa
- Crystal structure of (E)-2,4-dibromo-6-(((2-nitrophenyl)imino)methyl)phenol, C13H8Br2N2O3
- The crystal structure of 6-chloro-2,4-diphenylquinoline
- Crystal structure of (E)-2-(((1,10-phenanthrolin-5-yl)imino)methyl)-5-methylphenol monohydrate, C20H15N3O·H2O
- Crystal structure of tris(3-(2-pyridyl)pyrazole)zinc(II)tetrachlorido zincate(II), C24H21Cl4N9Zn2
- Crystal structure of 4-chloro-N,N-diethyl-6-(piperidin-1-yl)-1,3,5-triazin-2-amine, C12H20ClN5
- The crystal structure of 4-allyl-5-benzyl-2,4-dihydro-3H-1,2,4-triazol-3-one, C12H13N3O
- Crystal structure of diethyl 2-(((2-(pyridin-3-ylthio)phenyl)amino)methylene)malonate, C19H20N2O4S
- Crystal structure of fac-tricarbonyl(2-(isopropylimino)methyl-5-methylphenolatido-κ2N,O)(pyridine-κN)rhenium(I), C19H19N2O4Re
- Crystal structure of 1,3,6,8-tetrakis(p-tolylthio)pyrene, C44H34S4
- Crystal structure of catena-poly-(diaqua-(μ2-1,2-bis(4-pyridyl)ethene-κ2N:N′)-(4-methylphthalato-κ2O,O′)-cobalt(II)trihydrate, C21H26CoN2O9
- Crystal structure of tetraethylammonium fac-tricarbonyl(hexafluoroacetylacetonato-κ2O,O′)-(nitrato-κO)rhenium(I), C16H21O8N2F6Re
- Crystal structure of 3-(thiophen-2-yl)-5-(p-tolyl)-4,5-dihydro-1H-pyrazole-1-carboxamide
- Crystal structure of bis(1-ethyl-3-methylimidazolium) tetrabromidocadmate(II), [C6H11N2]2[CdBr4]
- Crystal structure of N′-(adamantan-2-ylidene)-isonicotinohydrazide, C16H19N3O
- Crystal structure of trans-tetraaquabis(4-(pyridin-4-ylsulfonyl)pyridine-κN)cobalt(II) diperchlorate dihydrate, C20H28Cl2CoN4O18S2
- Crystal structure of (Z)-4-(furan-2-yl(p-tolylamino)methylene)-3-methyl-1-p-tolyl-1H-pyrazol-5(4H)-one, C23H21N3O2
- Crystal structure of 2-[(4-fluorobenzyl)sulfanyl]-4-(2-methylpropyl)-6-oxo-1,6-dihydropyrimidine-5-carbonitrile, C16H16FN3OS
- Crystal structure of poly[octaaqua-tris(benzene-1,2,4,5-tetracarboxylato)tetralanthanum(III)] hexahydrate, C30H34La4O38
- Crystal structure of trans-tetraaqua-bis(4,4′-sulfonyldipyridine-κN)zinc(II) diperchlorate dihydrate, C20H28Cl2ZnN4O18S2
- Crystal structure of 4-nitro-thiophene-2-carboxylic acid, a structure with a Z′ = 4, C5H3NO4S
- Crystal structure of dirubidium trimercury(II) tetraselenide, Rb2Hg3Se4
- Crystal structure of 5-(adamantan-1-yl)-3-[(4-chloroanilino)methyl]-2,3-dihydro-1,3,4-oxadiazole-2-thione, C19H22ClN3OS
- Crystal structure of hexaaquamagnesium(II) 5,5′-bitetrazole-1,1′-diolate, C2H12N8O8Mg
- The crystal structure of catena-poly[(μ2-1,1′-benzene-1,4-diylbis(1H-benzimidazole-κ2N:N′)silver(I)] nitrate, C20H14N5AgO3
- The crystal structure of 1-(2-(4-chlorophenoxy)-4-chlorophenyl)ethanone, C14H10Cl2O2
- The crystal structure of 3,5-dinitro-1,3,5-oxadiazinane, C3H6N4O5
- Crystal structure of methyl 5-methoxy 1H-indole-2-carboxylate, C11H11NO3
- Crystal structure of (Z)-1-(((3-acetyl-2-hydroxyphenyl)amino)methylene)naphthalen-2(1H)-one, C19H15NO3
- Crystal structure of (Z)-5-(4-chlorobenzylidene)-2-thioxothiazolidin-4-one —dimethylsulfoxide (1:1), C12H12ClNO2S3
- Crystal structure of 5,5′-((4-(trifluoromethyl)phenyl)methylene)bis(1,3-dimethylpyrimidine-2,4,6(1H,3H,5H)-trione) – diethylamine – dichloromethane (1/1/1) C25H32Cl2F3N5O6
- Crystal structure of 2-(dimethylsulfanylidene)-N-(4-methoxyphenyl)-3-oxo-3-phenylpropanamide
- Crystal structure of (1,10-phenanthroline-κ2N,N′)bis(thiocyanato-κN)platinum(II), C14H8N4PtS2
- Crystal structure of di(μ2-chlorido)bis[2-(2-pyridyl)phenyl-κ2N,C1]dipalladium(II), C22H16Cl2N2Pd2
- Crystal structure of trans-dibromidodi(pyridine-κN)palladium(II), PdBr2(C5H5N)2
Articles in the same Issue
- Cover and Frontmatter
- Crystal structure of rac-4,4,4-trifluoro-3-hydroxy-3-methylbutanoic acid, C5H7O2F3
- Crystal structure of 5-methyl-2-phenyl-1,3-dioxane-5-carboxylic acid, C12H14O4
- Crystal structure of ethyl 2-(2-(2-(4-chlorophenyl)-3-methylbutanamido)thiazol-4-yl)acetate, C18H21ClN2O3S
- The crystal structure of (4E,11E,31E,38E)-1,4,12,15,18,26,31,39-Octaaza-7,21,24-trihydroxy-penta-cyclo[13·13·13·16,10·120,24·133,37]tetratetraconta-4,6(44),7,9,11,18,20(43),21,23,25,31,33(42),34,36,38-pentadecaene, C36H42N8O3
- Crystal structure of poly[diaqua-μ5-4-(3,5-dicarboxylato-κ3O1:O2:O3-phenoxy)phthalato-κ3O5,O7:O8)(μ2-4-(1H-pyrazol-5-yl)pyridine-κ2N:N′)dicobalt(II)] C24H16N3O11Co2
- Crystal structure of catena-poly[(μ2-acetamido-benzoato-κ2O:O′)triphenyltin(IV)], C27H23NO3Sn
- Crystal structure of chlorido(2,2′-((1E,1′E)-(((1R,2R)-cyclohexane-1,2-diyl)bis(azanylylidene))bis(methylylidene))diphenolato-κ4N,N′,O,O′)iron(III), C20H20ClFeN2O2
- Crystal structure of (E)-3-(4-tert-butyl)phenyl)-1-(3-chlorophenyl)prop-2-en-1-one, C18H17CIO
- Crystal structure of trans-1,2-bis(pyridinium-4-yl)ethylene–2-carboxy-4-methylbenzoate (1/2), C30H26N2O8
- Crystal structure of poly[aqua-ethylenediamine-tetraacetatolead(II)zinc(II)]
- Crystal structure of (E)-2-((2-(2,4-dinitrophenyl)hydrazono)methyl)-4-nitrophenol — triethylamine (2/1), C32H33N11O14
- Crystal structure of catena-poly[diaqua-bis-(μ2-5-carboxy-2-(pyridin-4-yl)benzoato-κ2O:N)cadmium(II)] dihydrate, C26H24N2O12Cd
- Crystal structure of 2-(ethoxycarbonyl)-2-(2-nitro-1-phenylethyl)-3-oxopyrrolidinium chloride, C15H19N2O5Cl
- Crystal structure of 4-((pyridin-4-ylmethyl)sulfinyl)pyridine, C11H10N2OS
- Crystal structure of 2,5-diethoxy-1,4-bis[2-(quinoline)ethenyl]benzene, C32H28N2O2
- Crystal structure of diaqua(μ2-1,1′-biphenyl-4,4′-diylbis(1H-imidazole)-κ2N:N′)tetrakis(3-carboxy-5-ethylpyridine-2-carboxylato-κ2N,O)dizinc(II), C54H50N8O18Zn2
- Crystal structure of a poly[bis(3,4,5,6-tetrachlorophthalato)neodym(III)potassium(I)] — 4,4′-bipyridine — water (1/1/5.5)
- The second polymorph of triethylammonium 2,4,6-trisulfanylidene-1,3,5-triazinan-1-ide, C9H18N4S3
- Crystal structure of 2,2′-diamino-[1,1′-biphenyl]-4,4′-dicarboxylic acid dihydrate, C14H16N2O6
- Crystal structure of the catena-poly[bis(1H-imidazole-κN)-(μ2-furan-2,5-dicarboxylato-κ2O1:O4)manganese(II)]monohydrate, C12H12MnN4O6
- Crystal structure of (acetylacetonato-κ2O:O′)bis-((1-(2-hydroxyphenyl)-3-(pyridin-2-yl)prop-2-en-1-one)-κ2C,N)iridium(III), C33H27IrN2O6
- Crystal structure of 1-benzyl-3-(4-methylpyridin-2-yl)-1H-imidazol-3-ium hexafluorophosphate, C16H16F6N3P
- Crystal structure of tetraethylammonium 3,5-dinitrosalicylate, C15H23N3O7
- Crystal structure of 4-[5-(4-fluorophenyl)-3-(4-hydroxyphenyl)-4,5-dihydropyrazol-1-yl] benzenesulfonamide, C21H18FN3O3S
- Crystal structure of 2,4-dichlorobenzene anhydride, C14H6Cl4O3
- Crystal structure of bis(2-hydroxy-2-phenylacetato-κ2O,O′)bis(pyridine-κN)nickel(II), C26H24N2NiO6
- Crystal structure of (E)-4-nitro-2-(((3-(tetrahydro-8λ4-[1,3,2]oxazaborolo[2,3-b][1,3,2]oxaborol-8-yl)phenyl)imino)methyl)phenol – water (1/2), C17H18BN3O5·2H2O
- Crystal structure of 5-(4-carboxyphenoxy)-nicotinic acid, C13H9NO5
- Crystal structure of catena-poly[hexaaquabis(μ2-3-nitrophthalate-κ2O:O′)-(μ2-1,4-bis(4-pyridylmethyl)piperazine-κ2N:N′)dimanganese(II)] dihydrate, C32H42Mn2N6O20
- Crystal structure of diaquabis(bicyclo[2.2.1]hept-5-ene-2,3-dicarboxylate-κ4O, O′:/O′′,O′′′)bis-(2,2′-bipyridine-κ2N, N′)dicadmium(II) hydrate
- Crystal structure of (R)-1-(1-(6-fluorobenzo[d]thiazol-2-yl)ethyl)-3-phenylthiourea
- Crystal structure of poly[(μ2-1,4-bis((1H-imidiazol-1-yl)methyl)benzene-κ2N:N′)-(μ2-4,4′-(1,2-phenylenebis(oxy)dibenzoato-κ4O,O′:O′′,O′′′)nickel(II)], C34H26O6N4Ni
- Crystal structure of 3′,4′,5-trihydroxy-3,7-dimethoxyflavone, C17H14O7
- Crystal structure of n-butyl-chlorido-bis[N-sec-butyl,N-n-propyl-carbamodithioato κ2S,S′]-tin(IV), C20H41ClN2S4Sn
- Crystal structure of poly[bis(μ4-4,4′-(1,2-phenylenebis(oxy))dibenzoato-κ4O:O′:O′′:O′′′)bis(μ3-4,4′-(1,2-phenylenebis(oxy))dibenzoato–κ3O:O′:O′′)(μ2-1-(4-((1H-imidazol-1-yl)methyl)benzyl)-1H-imidazole-κ2N:N′)tetracobalt(II)], C94H62O24N4Co4
- Crystal structure of catenapoly[diaqua-(μ24,4′-bipyridine)-κ2N:N′)-bis(2,6-difluorobenzoate)-κO)nickel(II)] ethanol monosolvate, C28H30F4N2O8Ni
- Crystal structure of 2-(9H-fluoren-9-ylidene)hydrazine-1-carbothioamide, C14H11N3S
- Crystal structure of 2-(4-methoxyphenyl)-2,3-dihydro-1H-perimidine, C18H16N2O
- Crystal structure of catena-poly[diaquabis(μ2-3-carboxybenzene-1,2-dicarboxylato-1:2κ2O:O′)-(μ2-1,4-bis(2-ethylbenzimidazol-1-ylmethyl)-benzene-1:1′κ2N:N′)dizinc(II)], [Zn2(C26H26N4)(C9H4O6)2(H2O)2]
- Crystal structure of diaquabis(phenoxyacetato-κ2O,O′)-zinc(II), C16H18O8Zn
- Crystal structure of 4-(1H-imidazol-1-yl)-6-pyrimidinylferrocene, C17H14FeN4
- Crystal structure of [2-(4-methoxyphenyl)pyrazine-κ2C,N) chlorido[N,N′-bis-(2,6-diisopropyl-phenyl)imidazol-2-ylidene-κC)] palladium(II), C38H45ClN4OPd
- Crystal structure of 2-(4-acetyl-2,6-dimethyl-phenyl)-5,6-dichloro-isoindole-1,3-dione, C18H13Cl2NO3
- Crystal structure of 4,4′-bipyridin-1-ium 3,3′,5′-tricarboxy-[1,1′-biphenyl]-2-carboxylate, (C26H18N2O8)
- Crystal structure of catena-poly[diaqua-μ2-4,4′-biphenyl-4,4′-diyldipyridine-κ2N:N′-bis(5-carboxy-2,6-dimethylpyridine-3-carboxylato-κO)nickel(II)] dihydrate, C40H40N4O12Ni
- Crystal structure of poly-[μ2-4,4′-bipyridine-κ2N:N′−μ3-thiophene-2,3-di-carboxylato-κ4O,O′, O′′:O′′′ -cadmium(II)]
- Crystal structure of hexaaquamanganese(II) bis(3-carboxythiophene-2-carboxylate) C12H18MnO14S2
- Crystal structure of 4-(3-(pyridin-3-yl)-1H-1,2,4-triazol-5-yl)benzoic acid, C14H10N4O2
- Crystal structure of (E)-2-(benzo[d]thiazol-2-yl)-3-(pyridin-3-yl)acrylonitrile)
- Crystal structure of catena-poly[2,2′-bipyridinyl-6,6′-dicarboxylato-κ4N,N′,O,O′)-(μ2-2,2′-bipyridinyl-6′-carboxyl-6-carboxylato-κ5N,N′,O,O′:O′′)samarium(III)] monohydrate, C24H13N4O8Sm · H2O
- Crystal structure of catena-poly[bis(μ2-4-(3-(pyridin-3-yl)-1H-1,2,4-triazol-5-yl)benzoato)-κ2N:O)copper(II)] dihydrate, C28H22N8O6Cu
- Crystal structure of catena-poly[tetraaqua-(μ2-4,4′-bipyridine-k2N:N′)-zinc(II)] fumarate tetrahydrate, C14H26N2O12Zn
- Crystal structure of triaqua-(1,10-phenanthroline)-(dihydrogen-3,3′,3′′-(2,4,6-trioxo-1,3,5-triazinane-1,3,5-triyl)tripropanoato) cobalt(II)dihydrogen-3,3′,3′′-(2,4,6-trioxo-1,3,5-triazinane-1,3,5-triyl)tripropanoate, C72H82Co2N16O42
- Crystal structure of poly[dibromido-(μ2–4,4′-bis-(pyrid-4-yl)biphenyl-κ2N:N′)lead(II)], C22H16N2PbBr2
- Crystal structure of catena-poly[diaqua-bis(μ2-5-carboxy-2-(pyridin-4-yl)benzoato-κ2O:N)-cobalt(II)]dihydrate, C26H24N2O12Co
- Crystal structure of 5-(4-pyridyl)pyrimidine–4,4′-bipyridine–1,3,5-benzenetriol–water (1:1:1:1), C25H23N5O4
- Crystal structure of 5-hydroxy-4-((4-hydroxyphenyl)imino)naphthalen-1(4H)-one monohydrate, C16H11NO3 · 0.5H2O
- Crystal structure of 2-amino-N-(4-methoxyphenyl)benzamide, C14H14N2O2
- Crystal structure of (2,5-dihydroxyphenyl)-(4-hydroxy-3,5-dimethoxyphenyl)methanone, C15H14O6
- Crystal structure of dichlorido[bis(2-hydroxyethyl)5′-([2,2′:6′,2′′-terpyridin]-4′-yl)-[1,1′:3′,1′′-terphenyl]-4,4′′-dicarboxylato]zinc(II), C39H31Cl2N3O6Zn
- Crystal structure of bis[4-(3-carboxy-6-fluoro-1-(4-fluorophenyl)-4-oxo-1,4-dihydroquinolin-7-yl)piperazin-1-ium] benzene-1,4-dicarboxylate (C20H18F2N3O3)2(C8H4O4), C48H40F4N6O10
- Crystal structure of (2,5-dihydroxyphenyl)-(4-methoxyphenyl)methanone, C14H12O4
- Crystal structure of photochromic 1-(2-methyl-5-phenyl-3-thienyl-2-[2-methyl-5-(4-ethoxylphenyl)-3-thienyl] 3,3,4,4,5,5-hexafluoro-cyclopent-1-ene, C29H22F6OS2
- Crystal structure of poly[diaquabis(μ2-biphenyl-2,4′-dicarboxylato-κ2O:O′)tris(μ2-1,1′-biphenyl-4,4′-diylbis(1H-imidazole)-κ2N:N′)dicobalt(II)] monohydrat, C82H64N12O11Co2
- Crystal structure of 2-amino-4-(3,4-difluorophenyl)-5-oxo-5,6,7,8-tetrahydro-4H-chromene-3-carbonitrile, C16H12N2O2F2
- Crystal structure of poly[(di-μ2-aqua-κ2O:O)bis(μ5-oxalato-1:2κ2O1; 1κ1O2; 3:4:5κ3O3; 3κ1O4)(μ4-oxalato-1:2κ2O1; 2:3κ2O2; 3:4κ2O3; 4:1κ2O4)dizinc(II)disodium(I)]
- Crystal structure of tetraethylammonium hexachloridotantalate(V), C8H20Cl6NTa
- Crystal structure of (E)-2,4-dibromo-6-(((2-nitrophenyl)imino)methyl)phenol, C13H8Br2N2O3
- The crystal structure of 6-chloro-2,4-diphenylquinoline
- Crystal structure of (E)-2-(((1,10-phenanthrolin-5-yl)imino)methyl)-5-methylphenol monohydrate, C20H15N3O·H2O
- Crystal structure of tris(3-(2-pyridyl)pyrazole)zinc(II)tetrachlorido zincate(II), C24H21Cl4N9Zn2
- Crystal structure of 4-chloro-N,N-diethyl-6-(piperidin-1-yl)-1,3,5-triazin-2-amine, C12H20ClN5
- The crystal structure of 4-allyl-5-benzyl-2,4-dihydro-3H-1,2,4-triazol-3-one, C12H13N3O
- Crystal structure of diethyl 2-(((2-(pyridin-3-ylthio)phenyl)amino)methylene)malonate, C19H20N2O4S
- Crystal structure of fac-tricarbonyl(2-(isopropylimino)methyl-5-methylphenolatido-κ2N,O)(pyridine-κN)rhenium(I), C19H19N2O4Re
- Crystal structure of 1,3,6,8-tetrakis(p-tolylthio)pyrene, C44H34S4
- Crystal structure of catena-poly-(diaqua-(μ2-1,2-bis(4-pyridyl)ethene-κ2N:N′)-(4-methylphthalato-κ2O,O′)-cobalt(II)trihydrate, C21H26CoN2O9
- Crystal structure of tetraethylammonium fac-tricarbonyl(hexafluoroacetylacetonato-κ2O,O′)-(nitrato-κO)rhenium(I), C16H21O8N2F6Re
- Crystal structure of 3-(thiophen-2-yl)-5-(p-tolyl)-4,5-dihydro-1H-pyrazole-1-carboxamide
- Crystal structure of bis(1-ethyl-3-methylimidazolium) tetrabromidocadmate(II), [C6H11N2]2[CdBr4]
- Crystal structure of N′-(adamantan-2-ylidene)-isonicotinohydrazide, C16H19N3O
- Crystal structure of trans-tetraaquabis(4-(pyridin-4-ylsulfonyl)pyridine-κN)cobalt(II) diperchlorate dihydrate, C20H28Cl2CoN4O18S2
- Crystal structure of (Z)-4-(furan-2-yl(p-tolylamino)methylene)-3-methyl-1-p-tolyl-1H-pyrazol-5(4H)-one, C23H21N3O2
- Crystal structure of 2-[(4-fluorobenzyl)sulfanyl]-4-(2-methylpropyl)-6-oxo-1,6-dihydropyrimidine-5-carbonitrile, C16H16FN3OS
- Crystal structure of poly[octaaqua-tris(benzene-1,2,4,5-tetracarboxylato)tetralanthanum(III)] hexahydrate, C30H34La4O38
- Crystal structure of trans-tetraaqua-bis(4,4′-sulfonyldipyridine-κN)zinc(II) diperchlorate dihydrate, C20H28Cl2ZnN4O18S2
- Crystal structure of 4-nitro-thiophene-2-carboxylic acid, a structure with a Z′ = 4, C5H3NO4S
- Crystal structure of dirubidium trimercury(II) tetraselenide, Rb2Hg3Se4
- Crystal structure of 5-(adamantan-1-yl)-3-[(4-chloroanilino)methyl]-2,3-dihydro-1,3,4-oxadiazole-2-thione, C19H22ClN3OS
- Crystal structure of hexaaquamagnesium(II) 5,5′-bitetrazole-1,1′-diolate, C2H12N8O8Mg
- The crystal structure of catena-poly[(μ2-1,1′-benzene-1,4-diylbis(1H-benzimidazole-κ2N:N′)silver(I)] nitrate, C20H14N5AgO3
- The crystal structure of 1-(2-(4-chlorophenoxy)-4-chlorophenyl)ethanone, C14H10Cl2O2
- The crystal structure of 3,5-dinitro-1,3,5-oxadiazinane, C3H6N4O5
- Crystal structure of methyl 5-methoxy 1H-indole-2-carboxylate, C11H11NO3
- Crystal structure of (Z)-1-(((3-acetyl-2-hydroxyphenyl)amino)methylene)naphthalen-2(1H)-one, C19H15NO3
- Crystal structure of (Z)-5-(4-chlorobenzylidene)-2-thioxothiazolidin-4-one —dimethylsulfoxide (1:1), C12H12ClNO2S3
- Crystal structure of 5,5′-((4-(trifluoromethyl)phenyl)methylene)bis(1,3-dimethylpyrimidine-2,4,6(1H,3H,5H)-trione) – diethylamine – dichloromethane (1/1/1) C25H32Cl2F3N5O6
- Crystal structure of 2-(dimethylsulfanylidene)-N-(4-methoxyphenyl)-3-oxo-3-phenylpropanamide
- Crystal structure of (1,10-phenanthroline-κ2N,N′)bis(thiocyanato-κN)platinum(II), C14H8N4PtS2
- Crystal structure of di(μ2-chlorido)bis[2-(2-pyridyl)phenyl-κ2N,C1]dipalladium(II), C22H16Cl2N2Pd2
- Crystal structure of trans-dibromidodi(pyridine-κN)palladium(II), PdBr2(C5H5N)2