Home The crystal structure of 6-chloro-2,4-diphenylquinoline
Article Open Access

The crystal structure of 6-chloro-2,4-diphenylquinoline

  • Johannes Van Tonder , Hendrik G. Visser and Renier Koen EMAIL logo
Published/Copyright: January 13, 2016

Abstract

C21H14ClN, orthorhombic, Pca21 (No. 29), a = 7.6860(5) Å, b = 10.1610(5) Å, c = 19.8990(5) Å, V = 1554.1(13) Å3, Z = 4, Rgt(F) = 0.0318, wRref(F2) = 0.0783, T = 100(2) K.

CCDC no.:: 1442751

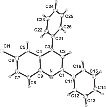
The crystal structure is shown in the figure, Tables 13 contain details of the measurement method and a list of the atoms including atomic coordinates and displacement parameters.

Table 1

Data collection and handling.

Crystal:Yellow, cuboid, size 0.389×0.47×0.651 mm
Wavelength:Mo Kα radiation (0.71073 Å)
μ:2.44 cm−1
Diffractometer, scan mode:Bruker APEX-II CCD, φ and ω scans
2θmax:55.99°
N(hkl)measured, N(hkl)unique:26440, 3754
N(param)refined:208
Programs:Bruker data collection and reduction software [21], SHELX [22], Diamond [23]
Table 2

Fractional atomic coordinates and isotropic or equivalent isotropic displacement parameters (Å2).

AtomSitexyzUiso
H(5)4a0.6766−0.15340.63980.023
H(26)4a0.76300.26570.61550.022
H(2)4a0.52130.24960.54120.021
H(7)4a0.5322−0.41660.49920.030
H(24)4a0.74230.23230.81660.030
H(25)4a0.84520.33810.72110.028
H(16)4a0.58530.36690.45010.025
H(15)4a0.53390.52280.36770.029
H(22)4a0.4723−0.01950.70040.024
H(23)4a0.55190.05650.80610.027
H(13)4a0.21500.26960.27270.029
H(8)4a0.4329−0.25020.43080.026
H(12)4a0.26060.11570.35680.025
H(14)4a0.35110.47330.27790.030
Table 3

Atomic displacement parameters (Å2).

AtomSitexyzU11U22U33U12U13U23
C(1)4a0.4676(2)0.1223(2)0.46425(9)0.0167(8)0.017(1)0.0179(9)0.0005(7)0.0026(7)−0.0009(7)
C(3)4a0.5642(2)0.0691(2)0.5774(1)0.0145(8)0.017(1)0.0168(8)−0.0021(7)0.0021(7)−0.0028(7)
C(5)4a0.6280(2)−0.1710(2)0.5980(1)0.0192(9)0.019(1)0.0189(8)0.0014(8)0.0039(7)0.0014(7)
N4a0.4495(2)−0.0026(2)0.44632(8)0.0227(8)0.0178(9)0.0169(7)−0.0002(7)0.0016(6)−0.0008(6)
C(26)4a0.7223(2)0.2223(2)0.6536(1)0.0188(9)0.0169(9)0.0205(9)0.0011(7)0.0000(7)−0.0004(8)
C(9)4a0.4961(3)−0.0962(2)0.4923(1)0.0190(9)0.018(1)0.0170(9)−0.0013(7)0.0028(7)−0.0012(8)
C(2)4a0.5187(2)0.1607(2)0.5301(1)0.0181(8)0.0154(9)0.0180(8)−0.0005(7)0.0016(7)−0.0019(7)
C(11)4a0.4301(3)0.2240(2)0.41211(9)0.0197(8)0.019(1)0.0151(8)0.0028(7)0.0037(7)−0.0012(7)
C(6)4a0.6191(3)−0.2973(2)0.5748(1)0.025(1)0.0174(9)0.0220(9)0.0029(8)0.0063(8)0.0039(8)
C(4)4a0.5627(2)−0.0667(2)0.55779(9)0.0157(8)0.0163(9)0.0158(9)−0.0012(7)0.0035(7)−0.0007(7)
C(7)4a0.5424(3)−0.3293(2)0.5126(1)0.033(1)0.016(1)0.026(1)−0.0017(9)0.0057(8)−0.0031(8)
C(21)4a0.6127(2)0.1131(2)0.64642(9)0.0169(8)0.0154(9)0.0169(8)0.0023(7)−0.0003(7)−0.0017(7)
C(24)4a0.7085(3)0.2034(2)0.7742(1)0.029(1)0.028(1)0.0178(9)0.0071(9)−0.0066(8)−0.0078(8)
C(25)4a0.7709(3)0.2663(2)0.7169(1)0.023(1)0.018(1)0.029(1)0.0011(8)−0.0040(8)−0.0049(8)
C(16)4a0.5106(3)0.3473(2)0.4147(1)0.0226(9)0.021(1)0.0198(9)0.0006(8)0.0029(8)−0.0029(8)
C(15)4a0.4806(3)0.4408(2)0.3652(1)0.028(1)0.019(1)0.025(1)0.0013(8)0.0066(9)0.0020(8)
C(22)4a0.5477(3)0.0517(2)0.7043(1)0.0202(9)0.020(1)0.0197(9)0.0006(7)0.0014(7)−0.0006(8)
C(23)4a0.5957(3)0.0973(2)0.7678(1)0.027(1)0.024(1)0.0157(9)0.0069(8)0.0012(8)0.0006(8)
C(13)4a0.2886(3)0.2893(2)0.3084(1)0.025(1)0.029(1)0.0195(9)0.0047(8)−0.0015(8)0.0003(8)
C(8)4a0.4828(3)−0.2298(2)0.4721(1)0.029(1)0.019(1)0.0175(9)−0.0022(8)0.0022(8)−0.0036(7)
C(12)4a0.3171(3)0.1965(2)0.3587(1)0.023(1)0.021(1)0.0193(9)0.0006(8)0.0013(8)−0.0020(8)
C(14)4a0.3701(3)0.4114(2)0.3115(1)0.029(1)0.024(1)0.022(1)0.0073(8)0.0044(9)0.0048(8)
Cl(1)4a0.70653(9)−0.42527(5)0.62263(3)0.0557(4)0.0192(2)0.0304(3)0.0105(2)−0.0005(3)0.0033(2)

Source of material

Synthesis protocols toward quinoline derivatives involve the use of a Brønsted acid or Lewis acid catalyst [12–20]. Preparation of these compounds under microwave conditions have also been reported [13–15]. A solution of benzaldehyde (5 mL), phenylacetylene (8 mL) and 4-chloroanaline (6.39 g) and FeCl3 · 6H2O (0.68 mg) was heated (100 °C) overnight. The reaction mixture was cooled to room temperature and diluted with dichloromethane (250 mL). The organic solution was extracted with water (3 × 100 mL), dried over Na2SO4 and evaporated in vacuo to yield a crude product mixture. Purification was afforded with flash chromatography on silica gel (Rf 0.46; hexane:ethyl acetate = 9:1). Recrystallization from a minimum amount of dichoromethane in hexane yielded the product as faint yellow needles (2.40 g, 16%). 1H NMR (600 MHz, CDCl3) δ = 8.22–8.17 (m, 1H), 7.90 (d, J = 2.3 Hz, 1H), 7.85 (s, 1H), 7.67 (dd, J = 9.0, 2.3 Hz, 1H), 7.60–7.53 (m, 2H), 7.51–7.47 (m, 1H); 13C NMR (151 MHz, CDCl3) δ = 157.08, 148.45, 147.27, 139.22, 137.79, 132.25, 131.79, 130.49, 129.66, 129.52, 128.96, 128.88, 128.77, 127.59, 126.52, 124.53, 120.06; EIMS (70 eV) m/z 315 (M+, 100%).

Experimental details

The methyl H atoms were placed in geometrically idealized positions and constrained to ride on their parent atoms, with C—H = 0.95 Å and Uiso(H) = 1.5 Ueq(C).

Discussion

Quinoline is an important class of alkaloid of which the basic skeleton is present in numerous natural compounds [1, 2]. A high degree of biological activity, e.g. antimalarial, antibacterial, anticancer and antioxidant, have been attributed to these structures and has found application in the pharmaceutical industry [1–6]. Their unique spectral and photochemical properties have also found application in a variety of fields such as photolytic cleavage of DNA, electrogenerated chemiluminescence and light emitting diodes [7–11].

The asymmetric unit consists of one full molecule of the title compound (see the figure). The structure is stabilized by weak π−π and CH-π interactions. The π−π interaction is observed between the phenyl ring of the quinoline and the phenyl substituent of a neighbouring molecule with the angle between the dihedral planes of 9.9° and the centroid to centroid distance of 3.913(2) Å. The CH-π interaction is observed between the phenyl ring of the quinoline and the pyridine ring of a neighbouring molecule with a CH-centroid distance of 3.493(2) Å.


Corresponding author: Renier Koen, Department of Chemistry, University of the Free State, Nelson Mandela ave, Bloemfontein, South Africa, e-mail:

Acknowledgements:

Financial assistance from the University of the Free State is gratefully acknowledged. We also express our gratitude towards Ntembi, PETLabs Pharmaceuticals, SASOL and the South African National Research Foundation (SA-NRF/THRIP). This work is based on the research supported in part by the National Research Foundations of South-Africa (Grant specific unique reference number (UID) 84913). The Grant holder acknowledges that opinions, findings and conclusions or recommendations expressed in any publication generated by the NRF supported research are that of the author(s) and that the NRF accepts no liability what so ever in this regard.

References

1. Michael, J. P.: Quinoline, quinazoline and acridone alkaloids. Nat. Prod. Rep. 21 (2004) 650–668.10.1039/b310691hSearch in Google Scholar PubMed

2. Michael, J. P.: Quinoline, quinazoline and acridone alkaloids. Nat. Prod. Rep. 24 (2007) 223–246.10.1039/b509528jSearch in Google Scholar PubMed

3. Chauhan, P. M.; Srivastava, S. K.: Present trends and future strategy in chemotherapy of malaria. S. Curr. Med. Chem. 8 (2001) 1535–1542.10.2174/0929867013371851Search in Google Scholar PubMed

4. Solomon, V. R.; Haq, W.; Srivastava, K.; Puri, S. K.; Katti, S. B.: Synthesis and antimalarial activity of side chain modified 4-aminoquinoline derivatives. J. Med. Chem. 50 (2007) 394–398.10.1021/jm061002iSearch in Google Scholar PubMed

5. Marella, A.; Tanwar, O. P.; Saha, R.; Ali, M. R.; Srivastava, S.; Akhter, M.; Shaquiquzzaman, M.; Alam, M. M.: Quinoline: A versatile heterocyclic. Saudi Pharma. J. 21 (2013) 1–12.10.1016/j.jsps.2012.03.002Search in Google Scholar PubMed PubMed Central

6. Oliveri, V.; Grasso, G. I.; Bellia, F.; Attanasio, F.; Viale, M.; Vecchio, G.: Soluble sugar-based quinoline derivatives as new antioxidant modulators of metal-induced amyloid aggregation. Inorg. Chem. 54 (2015) 2591–2602.10.1021/ic502713fSearch in Google Scholar PubMed

7. Van der Loop, T. H.; Ruesink, F.; Amirjalayer, S.; Sanders, H. J.; Buma, W. J.; Woutersen, S.: Unraveling the mechanism of a reversible photoactivated molecular proton crane. J. Phys. Chem. B 118 (2014) 12965–12971.10.1021/jp508911vSearch in Google Scholar PubMed

8. Chowdhury, N.; Gangopadhyay, M.; Karthik, S.; Pradeep Singh, N. D.; Baidya, M.; Ghosh, S. K.: Synthesis, photochemistry, DNA cleavage/binding and cytotoxic properties of fluorescent quinoxaline and quinoline hydroperoxides. J. Photochem. Photobiol. B: Biol. 130 (2014) 188–198.10.1016/j.jphotobiol.2013.11.010Search in Google Scholar PubMed

9. Sharma, A.; Khare, R.; Kumar, V.; Beniwal, V.: Synthesis, characterisation and DNA photocleavage activity of new 2-(Thioxo/Oxo) quinoline-4,6-dimethyl pyrimidinyl hydrazones. Int. J. Pharm. Pharm. Sci. 6 (2014) 166–169.Search in Google Scholar

10. Kim, J. I.; Shin, I.; Kim, H.; Lee, J.: Efficient electrogenerated chemiluminescence from cyclometalated iridium(III) complexes. J. Am. Chem. Soc. 127 (2005) 1614–1615.10.1021/ja043721xSearch in Google Scholar PubMed

11. Mori, T.; Itoh, T. J.: EL Behavior for blue-emitting aluminum quinoline- based organic light-emitting diodes. Photopolym. Sci. Tec. 22 (2009) 515–520.10.2494/photopolymer.22.515Search in Google Scholar

12. Nasseri, M. A.; Alavi, S. A.; Zakerinasab, B.: PEG-SO3H as a catalyst in aqueous media: A simple, proficient and green approach for the synthesis of quinoline derivatives. J. Chem. Sci. 125 (2013) 109–116.10.1007/s12039-012-0353-ySearch in Google Scholar

13. Kulkarni, A.; Török, B.: Microwave-assisted multicomponent domino cyclization–aromatization: An efficient approach for the synthesis of substituted quinolines. Green Chem. 12 (2010) 875–878.10.1039/c001076fSearch in Google Scholar

14. Muscia, G. C.; Hautmann, S.; Buldain, G. Y.; Asís, S. E.; Gütschow, M.: Synthesis and evaluation of 2-(1H-indol-3-yl)-4-phenylquinolines as inhibitors of cholesterol esterase. Bioorgan. Med. Chem. Lett. 24 (2014) 1545–1549.10.1016/j.bmcl.2014.01.081Search in Google Scholar PubMed

15. Praveen, C.; DheenKumar, P.; Muralidharan, D.; Perumal, P. T.: Synthesis, antimicrobial and antioxidant evaluation of quinolines and bis(indolyl)methanes. Bioorgan. Med. Chem. Lett. 20 (2010) 7292–7296.10.1016/j.bmcl.2010.10.075Search in Google Scholar PubMed

16. Tang, J.; Wang, L.; Mao, D.; Wang, W.; Zhang, L.; Wu, S.; Xie, Y.: Ytterbium pentafluorobenzoate as a novel fluorous lewis acid catalyst in the synthesis of 2,4-disubstituted quinolines. Tetrahedron 67 (2011) 8465–8469.10.1016/j.tet.2011.09.004Search in Google Scholar

17. Liu, P.; Li, Y.; Wang, H.; Wang, Z.; Hu, X.: Synthesis of substituted quinolines by iron-catalyzed oxidative coupling reactions. Tetrahedron Lett. 53 (2012) 6654–6656.10.1016/j.tetlet.2012.09.090Search in Google Scholar

18. Wang, Y.; Chen, C.; Peng, J.; Li, M.: Copper(II)-catalyzed three-component cascade annulation of diaryliodoniums, nitriles, and alkynes: A regioselective synthesis of multiply substituted quinolines. Angew. Chem. Int. Ed. 52 (2013) 5323–5327.10.1002/anie.201300586Search in Google Scholar PubMed

19. Yao, C.; Qin, B.; Zhang, H.; Lu, J.; Wang, D.; Tu, S.: One-pot solvent-free synthesis of quinolines by C–H activation/C–C bond formation catalyzed by recyclable iron(III) triflate. RSC Adv. 2 (2012) 3759–3764.10.1039/c2ra20172kSearch in Google Scholar

20. Cao, K.; Zhang, F.; Tu, Y.; Zhuo, X.; Fan, C.: Iron(III)-catalyzed and air-mediated tandem reaction of aldehydes, alkynes and amines: An efficient approach to substituted quinolines. Chem. Eur. J. 15 (2009) 6332–6334.10.1002/chem.200900875Search in Google Scholar PubMed

21. Bruker. APEX2 (Version 2012.10-0), SAINT (version 8.27B), SADABS (version 2012/1), BrukerAXS Inc, Madison, Wisconsin, USA. (2012).Search in Google Scholar

22. SHELX: Sheldrick, G. M.: A short history of SHELX. Acta Crystallogr. A64 (2008) 112–122.10.1107/S0108767307043930Search in Google Scholar PubMed

23. DIAMOND: Brandenburg, K.: DIAMOND. Visual crystal structure information system. Version 3.0c Crystal Impact, Bonn, Germany (2005) 470.Search in Google Scholar

Received: 2015-5-18
Accepted: 2015-12-16
Published Online: 2016-1-13
Published in Print: 2016-3-1

©2016 Johannes Van Tonder et al., published by De Gruyter.

This work is licensed under the Creative Commons Attribution-NonCommercial-NoDerivatives 3.0 License.

Articles in the same Issue

  1. Cover and Frontmatter
  2. Crystal structure of rac-4,4,4-trifluoro-3-hydroxy-3-methylbutanoic acid, C5H7O2F3
  3. Crystal structure of 5-methyl-2-phenyl-1,3-dioxane-5-carboxylic acid, C12H14O4
  4. Crystal structure of ethyl 2-(2-(2-(4-chlorophenyl)-3-methylbutanamido)thiazol-4-yl)acetate, C18H21ClN2O3S
  5. The crystal structure of (4E,11E,31E,38E)-1,4,12,15,18,26,31,39-Octaaza-7,21,24-trihydroxy-penta-cyclo[13·13·13·16,10·120,24·133,37]tetratetraconta-4,6(44),7,9,11,18,20(43),21,23,25,31,33(42),34,36,38-pentadecaene, C36H42N8O3
  6. Crystal structure of poly[diaqua-μ5-4-(3,5-dicarboxylato-κ3O1:O2:O3-phenoxy)phthalato-κ3O5,O7:O8)(μ2-4-(1H-pyrazol-5-yl)pyridine-κ2N:N′)dicobalt(II)] C24H16N3O11Co2
  7. Crystal structure of catena-poly[(μ2-acetamido-benzoato-κ2O:O′)triphenyltin(IV)], C27H23NO3Sn
  8. Crystal structure of chlorido(2,2′-((1E,1′E)-(((1R,2R)-cyclohexane-1,2-diyl)bis(azanylylidene))bis(methylylidene))diphenolato-κ4N,N′,O,O′)iron(III), C20H20ClFeN2O2
  9. Crystal structure of (E)-3-(4-tert-butyl)phenyl)-1-(3-chlorophenyl)prop-2-en-1-one, C18H17CIO
  10. Crystal structure of trans-1,2-bis(pyridinium-4-yl)ethylene–2-carboxy-4-methylbenzoate (1/2), C30H26N2O8
  11. Crystal structure of poly[aqua-ethylenediamine-tetraacetatolead(II)zinc(II)]
  12. Crystal structure of (E)-2-((2-(2,4-dinitrophenyl)hydrazono)methyl)-4-nitrophenol — triethylamine (2/1), C32H33N11O14
  13. Crystal structure of catena-poly[diaqua-bis-(μ2-5-carboxy-2-(pyridin-4-yl)benzoato-κ2O:N)cadmium(II)] dihydrate, C26H24N2O12Cd
  14. Crystal structure of 2-(ethoxycarbonyl)-2-(2-nitro-1-phenylethyl)-3-oxopyrrolidinium chloride, C15H19N2O5Cl
  15. Crystal structure of 4-((pyridin-4-ylmethyl)sulfinyl)pyridine, C11H10N2OS
  16. Crystal structure of 2,5-diethoxy-1,4-bis[2-(quinoline)ethenyl]benzene, C32H28N2O2
  17. Crystal structure of diaqua(μ2-1,1′-biphenyl-4,4′-diylbis(1H-imidazole)-κ2N:N′)tetrakis(3-carboxy-5-ethylpyridine-2-carboxylato-κ2N,O)dizinc(II), C54H50N8O18Zn2
  18. Crystal structure of a poly[bis(3,4,5,6-tetrachlorophthalato)neodym(III)potassium(I)] — 4,4′-bipyridine — water (1/1/5.5)
  19. The second polymorph of triethylammonium 2,4,6-trisulfanylidene-1,3,5-triazinan-1-ide, C9H18N4S3
  20. Crystal structure of 2,2′-diamino-[1,1′-biphenyl]-4,4′-dicarboxylic acid dihydrate, C14H16N2O6
  21. Crystal structure of the catena-poly[bis(1H-imidazole-κN)-(μ2-furan-2,5-dicarboxylato-κ2O1:O4)manganese(II)]monohydrate, C12H12MnN4O6
  22. Crystal structure of (acetylacetonato-κ2O:O′)bis-((1-(2-hydroxyphenyl)-3-(pyridin-2-yl)prop-2-en-1-one)-κ2C,N)iridium(III), C33H27IrN2O6
  23. Crystal structure of 1-benzyl-3-(4-methylpyridin-2-yl)-1H-imidazol-3-ium hexafluorophosphate, C16H16F6N3P
  24. Crystal structure of tetraethylammonium 3,5-dinitrosalicylate, C15H23N3O7
  25. Crystal structure of 4-[5-(4-fluorophenyl)-3-(4-hydroxyphenyl)-4,5-dihydropyrazol-1-yl] benzenesulfonamide, C21H18FN3O3S
  26. Crystal structure of 2,4-dichlorobenzene anhydride, C14H6Cl4O3
  27. Crystal structure of bis(2-hydroxy-2-phenylacetato-κ2O,O′)bis(pyridine-κN)nickel(II), C26H24N2NiO6
  28. Crystal structure of (E)-4-nitro-2-(((3-(tetrahydro-8λ4-[1,3,2]oxazaborolo[2,3-b][1,3,2]oxaborol-8-yl)phenyl)imino)methyl)phenol – water (1/2), C17H18BN3O5·2H2O
  29. Crystal structure of 5-(4-carboxyphenoxy)-nicotinic acid, C13H9NO5
  30. Crystal structure of catena-poly[hexaaquabis(μ2-3-nitrophthalate-κ2O:O′)-(μ2-1,4-bis(4-pyridylmethyl)piperazine-κ2N:N′)dimanganese(II)] dihydrate, C32H42Mn2N6O20
  31. Crystal structure of diaquabis(bicyclo[2.2.1]hept-5-ene-2,3-dicarboxylate-κ4O, O′:/O′′,O′′′)bis-(2,2′-bipyridine-κ2N, N′)dicadmium(II) hydrate
  32. Crystal structure of (R)-1-(1-(6-fluorobenzo[d]thiazol-2-yl)ethyl)-3-phenylthiourea
  33. Crystal structure of poly[(μ2-1,4-bis((1H-imidiazol-1-yl)methyl)benzene-κ2N:N′)-(μ2-4,4′-(1,2-phenylenebis(oxy)dibenzoato-κ4O,O′:O′′,O′′′)nickel(II)], C34H26O6N4Ni
  34. Crystal structure of 3′,4′,5-trihydroxy-3,7-dimethoxyflavone, C17H14O7
  35. Crystal structure of n-butyl-chlorido-bis[N-sec-butyl,N-n-propyl-carbamodithioato κ2S,S′]-tin(IV), C20H41ClN2S4Sn
  36. Crystal structure of poly[bis(μ4-4,4′-(1,2-phenylenebis(oxy))dibenzoato-κ4O:O′:O′′:O′′′)bis(μ3-4,4′-(1,2-phenylenebis(oxy))dibenzoato–κ3O:O′:O′′)(μ2-1-(4-((1H-imidazol-1-yl)methyl)benzyl)-1H-imidazole-κ2N:N′)tetracobalt(II)], C94H62O24N4Co4
  37. Crystal structure of catenapoly[diaqua-(μ24,4′-bipyridine)-κ2N:N′)-bis(2,6-difluorobenzoate)-κO)nickel(II)] ethanol monosolvate, C28H30F4N2O8Ni
  38. Crystal structure of 2-(9H-fluoren-9-ylidene)hydrazine-1-carbothioamide, C14H11N3S
  39. Crystal structure of 2-(4-methoxyphenyl)-2,3-dihydro-1H-perimidine, C18H16N2O
  40. Crystal structure of catena-poly[diaquabis(μ2-3-carboxybenzene-1,2-dicarboxylato-1:2κ2O:O′)-(μ2-1,4-bis(2-ethylbenzimidazol-1-ylmethyl)-benzene-1:1′κ2N:N′)dizinc(II)], [Zn2(C26H26N4)(C9H4O6)2(H2O)2]
  41. Crystal structure of diaquabis(phenoxyacetato-κ2O,O′)-zinc(II), C16H18O8Zn
  42. Crystal structure of 4-(1H-imidazol-1-yl)-6-pyrimidinylferrocene, C17H14FeN4
  43. Crystal structure of [2-(4-methoxyphenyl)pyrazine-κ2C,N) chlorido[N,N′-bis-(2,6-diisopropyl-phenyl)imidazol-2-ylidene-κC)] palladium(II), C38H45ClN4OPd
  44. Crystal structure of 2-(4-acetyl-2,6-dimethyl-phenyl)-5,6-dichloro-isoindole-1,3-dione, C18H13Cl2NO3
  45. Crystal structure of 4,4′-bipyridin-1-ium 3,3′,5′-tricarboxy-[1,1′-biphenyl]-2-carboxylate, (C26H18N2O8)
  46. Crystal structure of catena-poly[diaqua-μ2-4,4′-biphenyl-4,4′-diyldipyridine-κ2N:N′-bis(5-carboxy-2,6-dimethylpyridine-3-carboxylato-κO)nickel(II)] dihydrate, C40H40N4O12Ni
  47. Crystal structure of poly-[μ2-4,4′-bipyridine-κ2N:N′−μ3-thiophene-2,3-di-carboxylato-κ4O,O′, O′′:O′′′ -cadmium(II)]
  48. Crystal structure of hexaaquamanganese(II) bis(3-carboxythiophene-2-carboxylate) C12H18MnO14S2
  49. Crystal structure of 4-(3-(pyridin-3-yl)-1H-1,2,4-triazol-5-yl)benzoic acid, C14H10N4O2
  50. Crystal structure of (E)-2-(benzo[d]thiazol-2-yl)-3-(pyridin-3-yl)acrylonitrile)
  51. Crystal structure of catena-poly[2,2′-bipyridinyl-6,6′-dicarboxylato-κ4N,N′,O,O′)-(μ2-2,2′-bipyridinyl-6′-carboxyl-6-carboxylato-κ5N,N′,O,O′:O′′)samarium(III)] monohydrate, C24H13N4O8Sm · H2O
  52. Crystal structure of catena-poly[bis(μ2-4-(3-(pyridin-3-yl)-1H-1,2,4-triazol-5-yl)benzoato)-κ2N:O)copper(II)] dihydrate, C28H22N8O6Cu
  53. Crystal structure of catena-poly[tetraaqua-(μ2-4,4′-bipyridine-k2N:N′)-zinc(II)] fumarate tetrahydrate, C14H26N2O12Zn
  54. Crystal structure of triaqua-(1,10-phenanthroline)-(dihydrogen-3,3′,3′′-(2,4,6-trioxo-1,3,5-triazinane-1,3,5-triyl)tripropanoato) cobalt(II)dihydrogen-3,3′,3′′-(2,4,6-trioxo-1,3,5-triazinane-1,3,5-triyl)tripropanoate, C72H82Co2N16O42
  55. Crystal structure of poly[dibromido-(μ2–4,4′-bis-(pyrid-4-yl)biphenyl-κ2N:N′)lead(II)], C22H16N2PbBr2
  56. Crystal structure of catena-poly[diaqua-bis(μ2-5-carboxy-2-(pyridin-4-yl)benzoato-κ2O:N)-cobalt(II)]dihydrate, C26H24N2O12Co
  57. Crystal structure of 5-(4-pyridyl)pyrimidine–4,4′-bipyridine–1,3,5-benzenetriol–water (1:1:1:1), C25H23N5O4
  58. Crystal structure of 5-hydroxy-4-((4-hydroxyphenyl)imino)naphthalen-1(4H)-one monohydrate, C16H11NO3 · 0.5H2O
  59. Crystal structure of 2-amino-N-(4-methoxyphenyl)benzamide, C14H14N2O2
  60. Crystal structure of (2,5-dihydroxyphenyl)-(4-hydroxy-3,5-dimethoxyphenyl)methanone, C15H14O6
  61. Crystal structure of dichlorido[bis(2-hydroxyethyl)5′-([2,2′:6′,2′′-terpyridin]-4′-yl)-[1,1′:3′,1′′-terphenyl]-4,4′′-dicarboxylato]zinc(II), C39H31Cl2N3O6Zn
  62. Crystal structure of bis[4-(3-carboxy-6-fluoro-1-(4-fluorophenyl)-4-oxo-1,4-dihydroquinolin-7-yl)piperazin-1-ium] benzene-1,4-dicarboxylate (C20H18F2N3O3)2(C8H4O4), C48H40F4N6O10
  63. Crystal structure of (2,5-dihydroxyphenyl)-(4-methoxyphenyl)methanone, C14H12O4
  64. Crystal structure of photochromic 1-(2-methyl-5-phenyl-3-thienyl-2-[2-methyl-5-(4-ethoxylphenyl)-3-thienyl] 3,3,4,4,5,5-hexafluoro-cyclopent-1-ene, C29H22F6OS2
  65. Crystal structure of poly[diaquabis(μ2-biphenyl-2,4′-dicarboxylato-κ2O:O′)tris(μ2-1,1′-biphenyl-4,4′-diylbis(1H-imidazole)-κ2N:N′)dicobalt(II)] monohydrat, C82H64N12O11Co2
  66. Crystal structure of 2-amino-4-(3,4-difluorophenyl)-5-oxo-5,6,7,8-tetrahydro-4H-chromene-3-carbonitrile, C16H12N2O2F2
  67. Crystal structure of poly[(di-μ2-aqua-κ2O:O)bis(μ5-oxalato-1:2κ2O1; 1κ1O2; 3:4:5κ3O3; 3κ1O4)(μ4-oxalato-1:2κ2O1; 2:3κ2O2; 3:4κ2O3; 4:1κ2O4)dizinc(II)disodium(I)]
  68. Crystal structure of tetraethylammonium hexachloridotantalate(V), C8H20Cl6NTa
  69. Crystal structure of (E)-2,4-dibromo-6-(((2-nitrophenyl)imino)methyl)phenol, C13H8Br2N2O3
  70. The crystal structure of 6-chloro-2,4-diphenylquinoline
  71. Crystal structure of (E)-2-(((1,10-phenanthrolin-5-yl)imino)methyl)-5-methylphenol monohydrate, C20H15N3O·H2O
  72. Crystal structure of tris(3-(2-pyridyl)pyrazole)zinc(II)tetrachlorido zincate(II), C24H21Cl4N9Zn2
  73. Crystal structure of 4-chloro-N,N-diethyl-6-(piperidin-1-yl)-1,3,5-triazin-2-amine, C12H20ClN5
  74. The crystal structure of 4-allyl-5-benzyl-2,4-dihydro-3H-1,2,4-triazol-3-one, C12H13N3O
  75. Crystal structure of diethyl 2-(((2-(pyridin-3-ylthio)phenyl)amino)methylene)malonate, C19H20N2O4S
  76. Crystal structure of fac-tricarbonyl(2-(isopropylimino)methyl-5-methylphenolatido-κ2N,O)(pyridine-κN)rhenium(I), C19H19N2O4Re
  77. Crystal structure of 1,3,6,8-tetrakis(p-tolylthio)pyrene, C44H34S4
  78. Crystal structure of catena-poly-(diaqua-(μ2-1,2-bis(4-pyridyl)ethene-κ2N:N′)-(4-methylphthalato-κ2O,O′)-cobalt(II)trihydrate, C21H26CoN2O9
  79. Crystal structure of tetraethylammonium fac-tricarbonyl(hexafluoroacetylacetonato-κ2O,O′)-(nitrato-κO)rhenium(I), C16H21O8N2F6Re
  80. Crystal structure of 3-(thiophen-2-yl)-5-(p-tolyl)-4,5-dihydro-1H-pyrazole-1-carboxamide
  81. Crystal structure of bis(1-ethyl-3-methylimidazolium) tetrabromidocadmate(II), [C6H11N2]2[CdBr4]
  82. Crystal structure of N′-(adamantan-2-ylidene)-isonicotinohydrazide, C16H19N3O
  83. Crystal structure of trans-tetraaquabis(4-(pyridin-4-ylsulfonyl)pyridine-κN)cobalt(II) diperchlorate dihydrate, C20H28Cl2CoN4O18S2
  84. Crystal structure of (Z)-4-(furan-2-yl(p-tolylamino)methylene)-3-methyl-1-p-tolyl-1H-pyrazol-5(4H)-one, C23H21N3O2
  85. Crystal structure of 2-[(4-fluorobenzyl)sulfanyl]-4-(2-methylpropyl)-6-oxo-1,6-dihydropyrimidine-5-carbonitrile, C16H16FN3OS
  86. Crystal structure of poly[octaaqua-tris(benzene-1,2,4,5-tetracarboxylato)tetralanthanum(III)] hexahydrate, C30H34La4O38
  87. Crystal structure of trans-tetraaqua-bis(4,4′-sulfonyldipyridine-κN)zinc(II) diperchlorate dihydrate, C20H28Cl2ZnN4O18S2
  88. Crystal structure of 4-nitro-thiophene-2-carboxylic acid, a structure with a Z′ = 4, C5H3NO4S
  89. Crystal structure of dirubidium trimercury(II) tetraselenide, Rb2Hg3Se4
  90. Crystal structure of 5-(adamantan-1-yl)-3-[(4-chloroanilino)methyl]-2,3-dihydro-1,3,4-oxadiazole-2-thione, C19H22ClN3OS
  91. Crystal structure of hexaaquamagnesium(II) 5,5′-bitetrazole-1,1′-diolate, C2H12N8O8Mg
  92. The crystal structure of catena-poly[(μ2-1,1′-benzene-1,4-diylbis(1H-benzimidazole-κ2N:N′)silver(I)] nitrate, C20H14N5AgO3
  93. The crystal structure of 1-(2-(4-chlorophenoxy)-4-chlorophenyl)ethanone, C14H10Cl2O2
  94. The crystal structure of 3,5-dinitro-1,3,5-oxadiazinane, C3H6N4O5
  95. Crystal structure of methyl 5-methoxy 1H-indole-2-carboxylate, C11H11NO3
  96. Crystal structure of (Z)-1-(((3-acetyl-2-hydroxyphenyl)amino)methylene)naphthalen-2(1H)-one, C19H15NO3
  97. Crystal structure of (Z)-5-(4-chlorobenzylidene)-2-thioxothiazolidin-4-one —dimethylsulfoxide (1:1), C12H12ClNO2S3
  98. Crystal structure of 5,5′-((4-(trifluoromethyl)phenyl)methylene)bis(1,3-dimethylpyrimidine-2,4,6(1H,3H,5H)-trione) – diethylamine – dichloromethane (1/1/1) C25H32Cl2F3N5O6
  99. Crystal structure of 2-(dimethylsulfanylidene)-N-(4-methoxyphenyl)-3-oxo-3-phenylpropanamide
  100. Crystal structure of (1,10-phenanthroline-κ2N,N′)bis(thiocyanato-κN)platinum(II), C14H8N4PtS2
  101. Crystal structure of di(μ2-chlorido)bis[2-(2-pyridyl)phenyl-κ2N,C1]dipalladium(II), C22H16Cl2N2Pd2
  102. Crystal structure of trans-dibromidodi(pyridine-κN)palladium(II), PdBr2(C5H5N)2
Downloaded on 13.10.2025 from https://www.degruyterbrill.com/document/doi/10.1515/ncrs-2015-0102/html?lang=en&srsltid=AfmBOopRo_SAvJOjb07CB-zQHGAFSb_3g2ymEkmwm-DWRfgtf3Gr-u7I
Scroll to top button