Home Crystal structure of bromido-dimethyl-4-tolyl-(triphenylphosphine oxide)tin(IV), C27H28BrOPSn
Article Open Access

Crystal structure of bromido-dimethyl-4-tolyl-(triphenylphosphine oxide)tin(IV), C27H28BrOPSn

  • See Mun Lee , Kong Mun Lo and Edward R.T. Tiekink ORCID logo EMAIL logo
Published/Copyright: September 14, 2019

Abstract

C27H28BrOPSn, monoclinic, P21/n (no. 14), a = 10.9369(1) Å, b = 12.2170(1) Å, c = 18.8402(1) Å, β = 91.869(1)°, V = 2516.01(3) Å3, Z = 4, Rgt(F) = 0.0279, wRref(F2) = 0.0754, T = 100(2) K.

CCDC no.: 1949171

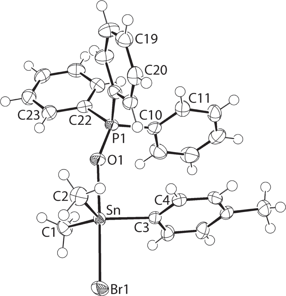
The molecular structure is shown in the figure. Table 1 contains crystallographic data and Table 2 contains the list of the atoms including atomic coordinates and displacement parameters.

Table 1:

Data collection and handling.

Crystal:Colourless prism
Size:0.12 × 0.09 × 0.05 mm
Wavelength:Cu Kα radiation (1.54178 Å)
μ:10.7 mm−1
Diffractometer, scan mode:XtaLAB Synergy, ω
θmax, completeness:67.1°, >99%
N(hkl)measured, N(hkl)unique, Rint:30870, 4495, 0.042
Criterion for Iobs, N(hkl)gt:Iobs > 2 σ(Iobs), 4337
N(param)refined:283
Programs:CrysAlisPRO [1], SHELX [2], [3], WinGX/ORTEP [4]
Table 2:

Fractional atomic coordinates and isotropic or equivalent isotropic displacement parameters (Å2).

AtomxyzUiso*/Ueq
Sn0.02929(2)0.84769(2)0.61965(2)0.01561(8)
Br1−0.09685(3)1.02526(3)0.65607(2)0.02819(10)
P10.24204(7)0.62021(6)0.56279(4)0.01706(16)
O10.1374(2)0.68686(19)0.58834(12)0.0225(5)
C1−0.0219(3)0.7513(3)0.70769(17)0.0233(7)
H1A0.05080.71590.72900.035*
H1B−0.08070.69530.69160.035*
H1C−0.05950.79830.74310.035*
C2−0.0636(3)0.8264(3)0.51999(18)0.0266(7)
H2A−0.01900.86470.48320.040*
H2B−0.14640.85640.52220.040*
H2C−0.06810.74820.50860.040*
C30.2009(3)0.9286(2)0.62478(16)0.0171(6)
C40.2567(3)0.9601(3)0.56236(17)0.0202(6)
H40.21600.94760.51780.024*
C50.3707(3)1.0092(3)0.56474(17)0.0221(7)
H50.40651.03100.52170.026*
C60.4342(3)1.0275(2)0.62886(18)0.0215(7)
C70.3771(3)0.9979(3)0.69132(18)0.0238(7)
H70.41771.01090.73590.029*
C80.2621(3)0.9500(3)0.68939(17)0.0220(7)
H80.22460.93160.73260.026*
C90.5622(3)1.0747(3)0.6307(2)0.0290(7)
H9A0.62191.01510.62800.044*
H9B0.57631.11540.67500.044*
H9C0.57121.12410.59020.044*
C100.3890(3)0.6785(3)0.58721(17)0.0199(6)
C110.4762(3)0.7036(3)0.53737(17)0.0227(7)
H110.46030.68750.48860.027*
C120.5867(3)0.7521(3)0.55885(19)0.0268(7)
H120.64560.76970.52470.032*
C130.6106(3)0.7746(3)0.6293(2)0.0307(8)
H130.68600.80750.64380.037*
C140.5249(3)0.7495(3)0.6792(2)0.0347(9)
H140.54200.76520.72800.042*
C150.4140(3)0.7013(3)0.65867(18)0.0294(8)
H150.35560.68410.69320.035*
C160.2389(3)0.6062(3)0.46734(16)0.0189(6)
C170.2626(3)0.5076(3)0.43386(17)0.0253(7)
H170.27700.44350.46150.030*
C180.2655(4)0.5019(3)0.36059(19)0.0296(8)
H180.28280.43420.33820.035*
C190.2431(3)0.5948(3)0.31973(17)0.0248(7)
H190.24450.59090.26940.030*
C200.2188(3)0.6930(3)0.35292(17)0.0233(7)
H200.20370.75670.32510.028*
C210.2163(3)0.6994(3)0.42593(17)0.0214(6)
H210.19920.76730.44810.026*
C220.2394(3)0.4838(3)0.59848(16)0.0197(6)
C230.1263(3)0.4352(3)0.61167(16)0.0230(7)
H230.05300.47630.60550.028*
C240.1214(3)0.3270(3)0.63378(17)0.0253(7)
H240.04470.29460.64310.030*
C250.2272(3)0.2661(3)0.64233(17)0.0247(7)
H250.22300.19160.65650.030*
C260.3399(3)0.3140(3)0.63007(17)0.0257(7)
H260.41280.27230.63630.031*
C270.3464(3)0.4223(3)0.60876(16)0.0228(7)
H270.42370.45490.60110.027*

Source of material

All chemicals and solvents were used as purchased without purification. The melting point of the compound was measured on a Mel-Temp II digital melting point apparatus and was uncorrected. The elemental analysis was performed on a Perkin-Elmer EA2400 CHN analyser. The IR spectrum was recorded using a Perkin-Elmer RX1 spectrophotometer as a Nujol mull in a KBr cell from 4000 to 400 cm−1.

Dimethyldi(4-tolyl)tin (2.0 g, 6 mmol) in dry dimethylformamide (30 mL) was prepared from the reaction of dimethyltin dichloride and 4-tolylmagnesium bromide in a 1:2 molar ratio. A chilled dimethylformamide solution (5 mL) of bromine (0.97 g, 6 mmol) was added dropwise into the solution followed by stirring at room temperature for 1 h. Triphenylphosphine oxide (Sigma-Aldrich, 1.67 g, 6 mmol) in chloroform (25 mL) was added into the mixture which was then refluxed for 1 h. After filtration, the filtrate was evaporated slowly until colourless crystals were formed. These were filtered, washed with a minimum amount of hexane and air-dried. Yield: 0.34 g (62%). M.pt: 398–400 K. Anal. Calc. for C27H28BrOPSn: C 54.23; H 4.69%. Found: C 54.70; H 5.08%. IR (cm−1) 1600 (m) ν(C—C), 1180 (m) ν(P—O), 1087 (s) ν(C—O), 1011 (m) ν(C—O), 485 (w) ν(Sn—O).

Experimental details

The C-bound H atoms were geometrically placed (C—H = 0.95–0.98 Å) and refined as riding with Uiso(H) = 1.2–1.5Ueq(C). Owing to poor agreement, two reflections, i.e. (−1 0 7) and (1 1 6), were omitted from the final cycles of refinement. The maximum and minimum residual electron density peaks of 1.03 and 0.79 eÅ−3, respectively, were located 0.99 and 0.89 Å from the Sn atom, respectively.

Comment

There are over 30 crystal structure determinations of phosphineoxide adducts of organotin species in the crystallographic literature [5]. Of these, there are only two examples of triorganotinbromido adducts with monofunctional phosphineoxides, namely Ph3SnBr⋅O=PPh3 [6] and (3-thienyl)3SnBr⋅O=PPh3 [7]. The crystal and molecular structures of the title compound, Me2(Ph)SnBr⋅O=PPh3 (I), a non-symmetric triorganotin compound, were determined as part of a wider, on-going study of related phosphineoxide [8] arsineoxide [9] and sulphoxide [10], [11] adducts of organotin derivatives.

The molecular structure of (I) is shown in the figure (70% displacement ellipsoids). The tin atom is penta-coordinated by a bromide atom [2.6725(4) Å], two methyl-carbons [Sn—C1 = 2.124(3) Å and Sn—C2 = 2.121(3) Å], the ipso-carbon atom of the 4-tolyl substituent [Sn—C3 = 2.120(3) Å] and the phosphineoxide-O1 atom [2.378(2) Å]. The tin-bound organo substituents occupy equatorial positions in a distorted trigonal-bipyramidal geometry, with the Sn atom lying 0.1854(19) Å out of the equatorial plane in the direction of the Br1 atom. The Br1—Sn—O1 axial angle is 178.54(6)°, and the Sn—O1—P1 angle is 157.10(15)°. Despite the difference between the tin-bound organo substituents, the angles subtended at the tin atom are close to the ideal value of 120°, i.e. 118.58(12)° for C1—Sn—C3 to 119.66(13)° for C2—Sn—C3. An intramolecular π⋯π interaction is noted as the C3-tolyl and phosphine-C10 ring are aligned and close to parallel. The inter-centroid separation is 3.699(2) Å and the angle of inclination is 9.79(16)°.

In the crystal, tolyl-C—H⋯π(phenyl) and phenyl-C—H⋯π(tolyl) [C8—H8⋯Cg(C22–C27)i: H8⋯Cg(C22–C27)i = 2.87 Å, C8⋯Cg(C22–C27)i = 3.690(3) Å with angle at H8 = 145° and C25—H25⋯Cg(C3–C8)ii: H25⋯Cg(C3–C8)ii = 2.86 Å, C25⋯Cg(C3–C8)ii = 3.658(4) Å with angle at H25 = 143° for symmetry operations (i) 1/2 – x, 1/2 + y, 3/2 – z and (ii) x, −1 + y, z] interactions lead to a helical supramolecular chain along the b axis direction. Weak phenyl-C—H⋯Br interactions [C20—H20⋯Br1iii: H20⋯Br1iii = 2.94 Å, C20⋯Br1iii = 3.693(4) Å with angle at H20 = 138° for (iii) −x, 2 − y, 1 − z] are noted. These connect the chains into a supramolecular layer parallel to (−1 0 1). Layers stack without directional interactions between them.

The Hirshfeld surfaces and the overall and delineated two-dimensional fingerprint plots for (I) was calculated using Crystal Explorer 17 [12] and literature procedures [13]. There are only three contributing contacts to the overall Hirshfeld surface of (I). In descending order these are H⋯H [65.2%], C⋯H/H⋯C [23.1%] and Br⋯H/H⋯Br [11.6%].

Acknowledgements

Sunway University Sdn Bhd is thanked for financial support of this work through Grant No. STR-RCTR-RCCM-001–2019.

References

1. Rigaku Oxford Diffraction: CrysAlisPRO. Rigaku Corporation, Oxford, UK (2018).Search in Google Scholar

2. Sheldrick, G. M.: A short history of SHELX. Acta Crystallogr. A64 (2008) 112–122.10.1107/S0108767307043930Search in Google Scholar

3. Sheldrick, G. M.: Crystal structure refinement with SHELXL. Acta Crystallogr. C71 (2015) 3–8.10.1107/S2053229614024218Search in Google Scholar

4. Farrugia, L. J.: WinGX and ORTEP for Windows: an update. J. Appl. Crystallogr. 45 (2012) 849–854.10.1107/S0021889812029111Search in Google Scholar

5. Groom, C. R.; Bruno, I. J.; Lightfoot, M. P.; Ward, S. C.: The Cambridge Structural Database. Acta Crystallogr. B72 (2016) 171–179.10.1016/B978-0-12-409547-2.02529-4Search in Google Scholar

6. Ng, S. W.: Bromotriphenyltin-triphenylphosphine oxide (1/1). Acta Crystallogr. C51 (1995) 2563–2565.10.1107/S0108270195007359Search in Google Scholar

7. Allen, D. W.; Derbyshire, D. J.; Nowell, I. W.; Brooks, J. S.: Crystal and molecular structure of the triphenylphosphine oxide adduct of tri-3-thienyltin bromide, Ph3PO⋅SnBr(C4H3S)3. J. Organomet. Chem. 260 (1984) 263–270.10.1016/S0022-328X(00)99475-0Search in Google Scholar

8. Lo, K. M.; Lee, S. M.; Tiekink, E. R. T.: Crystal structure of iodido-triphenyl-(triphenylphosphine oxide)tin(IV), C36H30IOPSn. Z. Kristallogr. NCS 235 (2019) 179–181.10.1515/ncrs-2019-0563Search in Google Scholar

9. Lo, K. M.; Lee, S. M.; Tiekink, E. R. T.: Crystal structure of dichlorido-bis(4-methylphenyl-κC)-bis(triphenylarsine oxide-κO)tin(IV), C50H44As2Cl2O2Sn. Z. Kristallogr. NCS 235 (2019) 183–185.10.1515/ncrs-2019-0564Search in Google Scholar

10. Amin, N. A. B. M.; Hussen, R. S. D.; Lee, S. M.; Halcovitch, N. R.; Jotani, M. M.; Tiekink, E. R. T.: trans-Di-chlorido-bis(dimethyl sulfoxide-κO)bis(4- fluorobenzyl-κC1)-tin(IV): crystal structure and Hirshfeld surface analysis. Acta Crystallogr. E73 (2017) 667–672.10.1107/S2056989017005072Search in Google Scholar

11. Lee, S. M.; Lo, K. M.; Tiekink, E. R. T.: Crystal structure of (dibenzyl sulphoxide-κO)bis(2-chlorobenzyl- κC1)-dichloridotin(IV), C28H26Cl4OSSn. Z. Kristallogr. NCS 234 (2019) 787–789.10.1515/ncrs-2019-0113Search in Google Scholar

12. Turner, M. J.; McKinnon, J. J.; Wolff, S. K.; Grimwood, D. J.; Spackman, P. R.; Jayatilaka, D.; Spackman, M. A.: Crystal Explorer v17. The University of Western Australia, Australia (2017).Search in Google Scholar

13. Tan, S. L.; Jotani, M. M.; Tiekink, E. R. T.: Utilizing Hirshfeld surface calculations, non-covalent interaction (NCI) plots and the calculation of interaction energies in the analysis of molecular packing. Acta Crystallogr. E75 (2019) 308–318.10.1107/S2056989019001129Search in Google Scholar PubMed PubMed Central

Received: 2019-08-01
Accepted: 2019-08-25
Published Online: 2019-09-14
Published in Print: 2019-12-18

©2019 See Mun Lee et al., published by De Gruyter, Berlin/Boston

This work is licensed under the Creative Commons Attribution 4.0 Public License.

Articles in the same Issue

  1. 10.1515/ncrs-2020-frontmatter1
  2. The crystal structure of 3,5-dicarboxybenzenaminium perchlorate monohydrate, C8H8ClNO9
  3. The crystal structure of poly[(m4-4-bromoisophthalato-κ4O: O′:O′′:O′′′)zinc(II)], C8H3BrO4Zn
  4. Crystal structure of (E)-2-(2-chloro-6-hydroxybenzylidene)hydrazine-1-carbothioamide, C8H8ClN3O4S
  5. Crystal structure of 1,1′-methylenebis(3-ethyl-1H-imidazol-3-ium) bis(hexafluorophosphate(V)), C11H18F12N4P2
  6. The crystal structure of hexakis(1-isopropyl-1H-imidazole-κ1N)copper(II) dichloride, C36H58Cl2CuN12
  7. Crystal structure of catena-poly[μ2-4,4′-bipyridine-κ2N:N′)-tetrakis(μ2-2-((3,5,6-trichloropyridin-2-yl)oxy)acetato-κ2O:O′)dicobalt(II)], C19H10Cl6CoN3O6
  8. Crystal structure of (E)-1-(4-(((E)-2-bromo-6-hydroxybenzylidene)amino)phenyl)ethan-1-one O-methyl oxime, C16H15BrN2O2
  9. Crystal structure of ethyl 2-methyl-4-(5-methylthiophen-2-yl)-5-oxo-1,4,5,6,7,8-hexahydroquinoline-3-carboxylate, C18H21NO3S
  10. The crystal structure of 5-bromo-2-(1-methyl-1H-tetrazol-5-yl)pyridine, C7H6BrN5
  11. Crystal structure of Bis(acetato-κ2O,O′)-bis[4-(dimethylamino)pyridine-κN]nickel(II), C18H26N4NiO4
  12. Crystal structure of (E)-3-chloro-2-(((4-chlorophenyl)imino)methyl)phenol, C13H9Cl2NO
  13. The co-crystal structure of (17b)-estra-1,3,5(10)-triene-3,17diol – acetamide (1/1), a Z′ = 4 structure, C20H29NO3
  14. Crystal structure of 3-(3-(pyridin-3-yl)ureido)benzoic acid, C13H11N3O3
  15. The crystal structure of 1,1′-(9-ethyl-9H-carbazole-3,6-diyl)bis(3-ethyl-1H-imidazol-3-ium) bis(hexafluorophosphate(IV)), C24H27N5F12P2
  16. The crystal structure of 2-bromoisophthalic acid, C8H5BrO4
  17. The crystal structure of 13-ethoxycarbonyl-9-methyl-4-chlor-11-thioxo-8-oxa-10,12-diazatricyclo[7.3.1.02,7]trideca-2,4,6-triene, C14H15ClN2O3S
  18. The crystal structure of (E)-4-((4-(diethylamino)benzylidene)amino)-N,N-diphenylaniline, C29H29N3
  19. Crystal structure of 2-(3-(2-(4-phenylpiperazin-1-yl)ethyl)benzyl)isoindoline-1,3-dione, C27H27N3O2
  20. Crystal structure of 2-ethoxy-6-((E)-((3-(((E)-3-ethoxy-2-hydroxybenzylidene)amino)-2-hydroxypropyl)iminio)methyl)phenolate, C21H26N2O5
  21. The crystal structure of catena-poly2-4,4′-bipyridine-κ2N:N′)-tetrakis(μ2-2-((3,5,6-trichloropyridin-2-yl)oxy)acetato-κ2O:O′)dinickel(II)], C19H10Cl6N3NiO6
  22. Crystal structure of hexakis(μ2-azido-κ2N:N)-diazido-κ1N-tetrakis(phenanthroline-κ2N,N′)tetrazinc(II), C48H32N32Zn4
  23. Synthesis and crystal structure of bis{2-bromo-6-(((4-(1-(methoxyimino)ethyl)phenyl)imino)methyl)phenolato-κ2N,O}cobalt(II)–dichloromethane(1/1), C34H32Br2Cl4CoN4O4
  24. Crystal structure of (E)-3-chloro-2-(((4-nitrophenyl)imino)methyl)phenol, C13H9ClN2O3
  25. Crystal structure of aqua-bis(5-bromo-6-methyl-picolinato-κ2N,O)zinc(II) dihydrate, C14H16Br2N2O7Zn
  26. Crystal structure of biaqua(2,2′-bipyridine-4,4′-dicarboxylato-κ2N,N′)(pyridine-2,6-dicarboxylato-κ3O,N,O′)nickel(II) hydrate, C19H15N3NiO10
  27. Synthesis and crystal structure of bis(2-(((4-(1-(ethoxyimino)ethyl)phenyl)imino)methyl)-5-fluorophenolato-κ2N,O)zinc(II) - methanol (1/1), C33H32F2N4O4Zn
  28. Crystal structure of tetraaqua-bis(μ2-5-aminoisophthalato-κ3N:O,O′)-bis(4,4′-dipyridylsulfide-κ1N)dizinc(II), C36H34N6O12S2Ni2
  29. Crystal structure of (1,4,8,11-tetraazacyclotetradecane-κ4N,N′,N′′,N′′′)palladium(II) tetracyanonickelate(II), C14H24N8NiPd
  30. The crystal structure of 3-benzyl-1-((8-(benzyloxy)quinolin-2-yl)methyl)-1H-imidazol-3-ium hexafluorophosphate, C27H24N3OF6P
  31. Crystal structure of 1-(4-chloro-2-hydroxy-5-iodophenyl)ethan-1-one, C8H6ClIO2
  32. Crystal structure of hexaaquamagnesium(II) bis((E)-4-((4-(dimethylamino)phenyl)diazenyl)benzenesulfonate), C28H40MgN6O12S2
  33. Crystal structure of the coordination polymer catena-poly[(1,2-di(pyridin-4-yl)ethane-κN)-(μ2-2-nitroisophthalato-κ2O:O′)zinc(II)], C20H17N3O7Zn
  34. Crystal structure of catena-{[tri-aqua-di-sodium bis(2-{[n-butyl(methyl)carbamothioyl]sulfanyl}acetate)]}n, [C16H34N2Na2O7S4]n
  35. The crystal structure of diaqua-bis(μ2-3-((3-acetyl-5-carboxyphenyl)oxidophosphoryl)-5-carboxybenzoato-κ2O:O′)bis(5,5′-dimethyl-2,2′-bipyridine-k2N,N′)zinc(II), C56H46N4O22P2Zn2
  36. Crystal structure of N′,2-bis((E)-2-chloro-6-hydroxybenzylidene)hydrazine-1-carbothiohydrazide, C15H12Cl2N4O2S
  37. Crystal structure of 2-[(1E)-{[1,3-dihydroxy-2-(hydroxymethyl)propan-2-yl]iminiumyl}methyl]-5-(dodecyloxy)benzen-1-olate, C23H39NO5
  38. Crystal structure of 12-(2-hydroxybenzoyl)benzo[f]pyrido[1,2-a]indole-6,11-dione, C23H13NO4
  39. Crystal structure of chlorido-(4-chloro-6-(p-tolyl)pyrimidine-κ2C,N)-(triphenylphosphane-κP)palladium(II), C29H23Cl2N2PPd
  40. Crystal structure of catena-poly[diaqua-bis(3,4,5,6-tetrabromo-carboxybenzoato-κ1O)-(μ2-4,4′-bipyridine-κ2N:N′)cobalt(II)], C26H14Br8CoN2O10
  41. Crystal structure of catena-poly[dibenzyl-dichlorido-(μ2-[4,4′-bipyridine]1,1′-dioxide-κ2O:O′)tin(IV)], C24H22Cl2N2O2Sn
  42. Crystal structure of benzyl-chlorido-(4-chloro-N-[(2-oxidophenyl)methylidene]benzenecarbohydrazonato)-methanol-tin(IV), C22H20Cl2N2O3Sn
  43. Crystal structure of catena-poly[triaqua-(1,3-di(1H-imidazol-1-yl)benzene-κ2N:N′)-(3-nitrophthalato-κ1O)cobalt(II)] — water (2/3), C20H22N5O10.5Co
  44. Crystal structure of (3R,5R,8R,9R,10R,12R,13R,14R)-4,4,8,10,14-pentamethyl-17-((R)-2,6,6-trimethyltetrahydro-2H-pyran-2-yl)hexadecahydro-1H-cyclopenta[a]phenanthrene-3,12-diol, C30H52O3
  45. Crystal structure of 3-(3-(4-carboxyphenyl)ureido)pyridin-1-ium perchlorate, C26H24Cl2N6O14
  46. Crystal structure of 8-hydroxy-2-methylquinolin-1-ium chloride dihydrate, C10H14ClNO3
  47. Crystal structure of (dibenzyl sulphoxide-κO)dibromido-bis(4-bromobenzyl-κC)tin(IV), C28H26Br4OSSn
  48. Crystal structure of bromido-tri(4-chlorophenyl-κ1C)-(ethanol-κ1O)tin(IV) — 4,4′-dimethyl-2,2′-bipyridine (2/1), C52H48Br2Cl6N2O2Sn2
  49. Crystal structure of 2-butyl-6-(ethylamino)-1H-benzo[de]isoquinoline-1,3(2H)-dione, C18H20N2O2
  50. Crystal structure of (4-chloro-N-[(2-oxido-5-chlorophenyl)methylidene] benzene-carbohydrazonato-κ3N,O,O′)bis(2-fluorobenzyl)tin(IV), C28H20Cl2F2N2O2Sn
  51. Crystal structure of aqua-chlorido-(4-fluorobenzyl-κC)-(N′-(4-methoxy-2-oxidobenzylidene)-3-hydroxy-2-naphthohydrazidato-κ3N,O,O′)tin(IV), C26H22ClFN2O5Sn
  52. Crystal structure of catena-poly[tri(4-chlorophenyl)-(μ2-hydroxido)tin(IV)] – 2-propanol (1/1), C21H21Cl3O2Sn
  53. Crystal structure of bromido-dimethyl-4-tolyl-(triphenylphosphine oxide)tin(IV), C27H28BrOPSn
  54. Crystal structure of 2-(bis(2-hydroxyethyl)ammonio)ethane-1-sulfonate, C6H15NO5S
  55. Crystal structure of bis[triaqua-(μ2-1,2-di(4-pyridyl)ethylene-κ2N:N′)-(4-sulfonatobenzoato-κ2O,O′)zinc(II)], C13H15NO8SZn
  56. Crystal structure of 2-((2-(3-hydroxy-7-methylene-2,3-dihydro-7H-furo[3,2-g]chromen-2-yl)propan-2-yl)oxy)-6-(hydroxymethyl)tetrahydro-2H-pyran-3,4,5-triol – a marmesin derivative, C20H24O10
  57. Crystal structure of octa(4-chlorobenzyl)-dichlorido-bis(μ2-methanolato)-bis(μ3-oxo)-tetratin(IV), C58H54Cl10O4Sn4
  58. Crystal structure of iodido-triphenyl-(triphenylphosphine oxide)tin(IV), C36H30IOPSn
  59. Crystal structure of dichlorido-bis(4-methylphenyl-κC)-bis(triphenylarsine oxide-κO)tin(IV), C50H44As2Cl2O2Sn
  60. Crystal structure of 4-benzyl-1-oxo-N-phenethyl-1H-[1,4]oxazino [4,3-b]indazole-3-carboxamide, C26H21N3O3
  61. Crystal structure of bis{(N-[(5-chloro-2-oxidophenyl)methylidene]-2-hydroxybenzenecarbohydrazonato)-dioxo-molybdenum(VI)}(μ2-4,4′-bipyridine), C38H26Cl2Mo2N6O10
  62. Crystal structure of dichlorido-octamethyl-bis(μ3-oxido)-bis(μ2-2-(phenylamino)ethanolato-κ2O:O)tetratin(IV), C24H44Cl2N2O4Sn4
  63. The crystal structure of 1-(2-(2-(imidazo[1,5-a]pyridine-4-ium)ethoxy)ethyl)-imidazo[1,5-a]pyridine-4-ium bis(hexafluorophosphate) — acetonitrile (1/1), C18H20ON4F12P2
  64. Crystal structure of cyclo[tetra(μ2-cyanido)-tetracyanido-bis(1,4,7,10-tetraazacyclododecane-κ4N,N′,N′′,N′′′)dinickel(II)dipalladium(II)] hexahydrate, C24H52N16Ni2O6Pd2
  65. Crystal structure of (dimethyl sulfoxide)-dioxido-[2-hydroxy-N′-(4-oxo-4-phenylbutan-2-ylidene)benzohydrazidato κ3N,O,O′]molybdenum(VI), C19H20MoN2O6S
  66. Crystal structure of bis(acetylacetonato-κ2O,O′)-(ethanolamine-κ2N,O)copper(II), C14H25CuNO5
  67. Crystal structure of chlorido-diphenyl-(isopropyl(propyl)carbamodithioato-κ2S,S′)tin(IV), C19H24ClNS2Sn
  68. The crystal structure of bis(imidazole-1-yl)methane monohydrate, C7H10N4O
  69. The crystal structure of bis(4-nitroimidazole-1-1yl)methane, C7H6N6O4
  70. Crystal structure of di(naphthalen-2-yl)sulfane, C20H14S
  71. Crystal structure of 3-acetyl-6-bromo-4-hydroxy-2H-chromen-2-one, C11H7BrO4
  72. Crystal structure of N′2,N′6-bis((E)-1-(pyrazin-2-yl)ethylidene)pyridine-2,6-dicarbohydrazide — methanol (1/2), C21H25N9O4
  73. The crystal structure of 3-nitro-4-(p-tolylamino)-2H-chromen-2-one, C16H12N2O4
  74. The crystal structure of 1,2-bis((4-methoxyphenyl)ethynyl)benzene, C24H18O2
  75. Crystal structure of a low-temperature (100 K) polymorph of catena-poly[(μ2-4,4′-bipyridine-κ2N,N′)-bis(O,O′-diethyldithiophosphato-κ1S)zinc(II)], C18H28N2O4P2S4Zn
  76. The pseudosymmetric low temperature polymorph of catena-poly[(μ2-4,4′-bipyridyl-κN,N′)-bis(O,O′-diethyldithiophosphato-κS)-cadmium(II)], {C18H28CdN2O4P2S4}n
  77. Crystal structure of 3-iodophthalic acid, C8H5IO4
  78. The crystal structure of tert-butyl (tert-butoxy(oxo)methyl)(5-bromo-2-fluorophenyl)carbamate, C16H21BrFNO4
  79. The crystal structure of bis(μ2-5,7-dichloroquinolin-8-olato-κ3N,O:O)-tetrakis(5,7-dichloroquinolin-8-olato-κ2N,O)bis(methanol-κ1O)dieuropium(III) — toluene (1/1), C63H39Cl12Eu2N6O8
  80. Crystal structure of dichlorido-(N′-(1-(3-ethylpyrazin-2-yl)ethylidene)-4-methoxybenzohydrazide-κ3N,N′,O)cadmium(II), C16H18N4O2Cl2Cd
  81. A redetermination of the crystal structure of catena-poly[(bis(O,O′-isopropyl dithiophosphato-κ2S,S′)-(μ2-1,2-bis(3-pyridylmethylene)hydrazine-κ2N,N′)cadmium(II)], {C24H38CdN4O4P2S4}n
Downloaded on 18.11.2025 from https://www.degruyterbrill.com/document/doi/10.1515/ncrs-2019-0553/html
Scroll to top button