Abstract
C27H27N3O2, triclinic, P1̄ (no. 2), a = 6.9263(4) Å, b = 10.0832(7) Å, c = 17.3531(10) Å, α = 75.708(5)°, β = 87.142(5)°, γ = 74.935(6)°, V = 1133.92(13) Å3, Z = 2, Rgt(F) = 0.0605, wRref(F2) = 0.1661, T = 290(1) K.

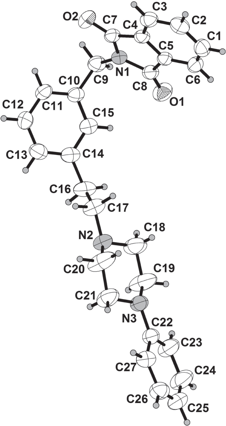
The crystal structure is shown in the figure. Table 1 contains crystallographic data and Table 2 contains the list of the atoms including atomic coordinates and displacement parameters.
Data collection and handling.
| Crystal: | Light yellow block |
| Size: | 0.16 × 0.13 × 0.12 mm |
| Wavelength: | Mo Kα radiation (0.71073 Å) |
| μ: | 0.08 mm−1 |
| Diffractometer, scan mode: | SuperNova, ω-scans |
| θmax, completeness: | 25°, >99% |
| N(hkl)measured, N(hkl)unique, Rint: | 7776, 3957, 0.023 |
| Criterion for Iobs, N(hkl)gt: | Iobs > 2 σ(Iobs), 2968 |
| N(param)refined: | 289 |
| Programs: | CrysAlisPRO [1], SHELX [2] |
Fractional atomic coordinates and isotropic or equivalent isotropic displacement parameters (Å2).
| Atom | x | y | z | Uiso*/Ueq |
|---|---|---|---|---|
| O1 | 1.3606(3) | 0.34435(19) | 0.19243(10) | 0.0702(5) |
| O2 | 1.3491(3) | 0.20458(18) | −0.03785(10) | 0.0671(5) |
| N1 | 1.3690(3) | 0.23895(19) | 0.08784(10) | 0.0458(5) |
| N3 | 0.4264(3) | 0.3040(2) | 0.53184(12) | 0.0566(5) |
| N2 | 0.6471(3) | 0.1649(2) | 0.41737(11) | 0.0576(5) |
| C1 | 1.1706(3) | 0.7217(3) | −0.01292(16) | 0.0572(6) |
| H1 | 1.1356(3) | 0.8175(3) | −0.01374(16) | 0.0686(8)* |
| C2 | 1.1686(3) | 0.6810(3) | −0.08286(15) | 0.0584(6) |
| H2 | 1.1336(3) | 0.7498(3) | −0.13014(15) | 0.0701(8)* |
| C3 | 1.2180(3) | 0.5388(3) | −0.08417(14) | 0.0540(6) |
| C4 | 1.2691(3) | 0.4401(2) | −0.01262(13) | 0.0432(5) |
| C5 | 1.2724(3) | 0.4819(2) | 0.05728(12) | 0.0431(5) |
| C6 | 1.2234(3) | 0.6232(3) | 0.05836(15) | 0.0539(6) |
| H6 | 1.2260(3) | 0.6509(3) | 0.10551(15) | 0.0647(7)* |
| C7 | 1.3310(3) | 0.2824(2) | 0.00648(13) | 0.0471(5) |
| C8 | 1.3372(3) | 0.3531(2) | 0.12281(14) | 0.0479(5) |
| C9 | 1.4372(3) | 0.0910(2) | 0.13228(15) | 0.0550(6) |
| H9a | 1.5065(3) | 0.0344(2) | 0.09666(15) | 0.0660(7)* |
| H9b | 1.5311(3) | 0.0841(2) | 0.17363(15) | 0.0660(7)* |
| C10 | 1.2653(3) | 0.0327(2) | 0.16960(13) | 0.0476(6) |
| C11 | 1.1771(4) | −0.0421(2) | 0.13126(15) | 0.0586(7) |
| H11 | 1.2270(4) | −0.0598(2) | 0.08302(15) | 0.0703(8)* |
| C12 | 1.0153(4) | −0.0906(3) | 0.16437(17) | 0.0667(7) |
| H12 | 0.9561(4) | −0.1405(3) | 0.13833(17) | 0.0801(9)* |
| C13 | 0.9415(4) | −0.0649(2) | 0.23598(16) | 0.0620(7) |
| H13 | 0.8329(4) | −0.0983(2) | 0.25796(16) | 0.0744(8)* |
| C14 | 1.0266(4) | 0.0102(2) | 0.27594(14) | 0.0539(6) |
| C15 | 1.1886(3) | 0.0577(2) | 0.24168(13) | 0.0512(6) |
| H15 | 1.2478(3) | 0.1079(2) | 0.26763(13) | 0.0614(7)* |
| C16 | 0.9417(4) | 0.0406(3) | 0.35338(15) | 0.0673(8) |
| H16a | 0.9225(4) | −0.0462(3) | 0.38833(15) | 0.0807(9)* |
| H16b | 1.0372(4) | 0.0719(3) | 0.37893(15) | 0.0807(9)* |
| C17 | 0.7464(4) | 0.1512(3) | 0.34247(15) | 0.0681(8) |
| H17a | 0.6584(4) | 0.1276(3) | 0.30915(15) | 0.0817(9)* |
| H17b | 0.7699(4) | 0.2417(3) | 0.31497(15) | 0.0817(9)* |
| C18 | 0.7362(5) | 0.2389(4) | 0.46012(19) | 0.0920(11) |
| H18a | 0.8775(5) | 0.1923(4) | 0.46845(19) | 0.1104(13)* |
| H18b | 0.7240(5) | 0.3347(4) | 0.42857(19) | 0.1104(13)* |
| C19 | 0.6392(4) | 0.2442(5) | 0.53975(19) | 0.1046(14) |
| H19a | 0.6979(4) | 0.3005(5) | 0.56505(19) | 0.1255(16)* |
| H19b | 0.6659(4) | 0.1491(5) | 0.57374(19) | 0.1255(16)* |
| C20 | 0.4397(4) | 0.2362(5) | 0.40643(19) | 0.1030(13) |
| H20a | 0.4260(4) | 0.3325(5) | 0.37540(19) | 0.1236(16)* |
| H20b | 0.3763(4) | 0.1888(5) | 0.37663(19) | 0.1236(16)* |
| C21 | 0.3346(4) | 0.2394(4) | 0.4837(2) | 0.0889(11) |
| H21a | 0.3370(4) | 0.1434(4) | 0.5126(2) | 0.1067(13)* |
| H21b | 0.1960(4) | 0.2918(4) | 0.4732(2) | 0.1067(13)* |
| C22 | 0.3241(4) | 0.3358(2) | 0.59987(14) | 0.0531(6) |
| C23 | 0.4231(4) | 0.3255(3) | 0.66963(17) | 0.0782(9) |
| H23 | 0.5614(4) | 0.2908(3) | 0.67322(17) | 0.0938(10)* |
| C24 | 0.3199(5) | 0.3657(4) | 0.7337(2) | 0.0959(11) |
| H24 | 0.3896(5) | 0.3570(4) | 0.7799(2) | 0.1151(13)* |
| C25 | 0.1166(5) | 0.4182(4) | 0.7303(2) | 0.0834(9) |
| H25 | 0.0483(5) | 0.4484(4) | 0.7729(2) | 0.1001(11)* |
| C26 | 0.0160(4) | 0.4253(3) | 0.66336(18) | 0.0714(8) |
| H26 | −0.1226(4) | 0.4586(3) | 0.66087(18) | 0.0857(9)* |
| C27 | 0.1166(4) | 0.3840(3) | 0.59920(15) | 0.0597(7) |
| H27 | 0.0443(4) | 0.3883(3) | 0.55451(15) | 0.0717(8)* |
Source of material
The title compound was synthesized from 3-((1,3-dioxoisoindolin-2-yl)methyl)phenethyl 4-methylbenzenesulfonate in form of white crystals. To a solution of 3-((1,3-dioxoisoindolin-2-yl)methyl)phenethyl 4-methylbenzenesulfonate (100 mg, 0.29 mmol) in acetonitrile (CH3CN, 20 mL) was added 1-phenylpiperazine (56 mg, 0.34 mmol) and potassium carbonate (240 mg, 1.74 mmol). The reaction mixture was stirred at reflux for 24 h. After cooling to ambient temperature, the reaction mixture was filtered. After filtration the filtrate was concentrated in vacuo and the residue was purified by silica gel column chromatography using ethyl acetate/petroleum ether (1/15, v/v) as eluent to obtain the target product as a light yellow solid. Yield: 75%; Mp. 402–403 K; 1H NMR (400 MHz, CDCl3): 7.83 (dd, J = 5.3 Hz, J = 3.1 Hz, 2H), 7.68 (dd, J = 5.4 Hz, J = 3.0 Hz, 2H), 7.28 (d, J = 8.7 Hz, 4H), 7.23 (d, J = 9.3 Hz, 1H), 7.13 (d, J = 7.2 Hz, 1H), 6.93 (d, J = 8.1 Hz, 2H), 6.86 (t, J = 7.2 Hz, 1H), 4.82 (s, 2H), 3.21 (t, J = 4.6 Hz, 4H), 2.84–2.80 (m, 2H), 2.69–2.62 (m, 6H). 13C NMR (100 MHz, CDCl3): 168.1, 151.3, 140.8, 136.5, 134.0, 132.1, 129.1, 129.0, 128.8, 128.2, 126.4, 123.4, 119.7, 116.1, 60.2, 53.2, 49.1, 41.6, 33.4. HRMS (ESI) m/z [M + H]+: calcd for C27H28N3O2: 426.2176, found: 426.2179.
Experimental details
The hydrogen atoms were placed in calculated positions and refined using a riding on attached atoms with isotropic thermal parameters 1.2 times those of their carrier atoms. The Uiso values of the hydrogen atoms of methyl groups and oxygen were set to 1.5Ueq(C, O). All calculations were performed using the SHELXL-2014 program [2].
Discussion
Compounds with arylpiperazine moieties have a wide range of bioactivities including antiarrhythmic [3], diuretic [4], antiallergic [5], antidepressant [6], anxiolytic [7], antipsychotic [8], antimalarial [9], antiplasmodial [10] and anti-proliferative [11] properties. In addition, these compounds also display receptor-blocking properties [12]. Moreover, arylpiperazine derivatives have shown significant cytotoxic activity against the tested prostate cancer cells [13]. Although some crystal structures of arylpiperazine derivatives have been reported recently [14], [15], the different functional groups and organic ligands would lead to various properties of molecules. Therefore, to further study and explore the new arylpiperazine derivatives, we report the crystal structure of the title compound.
The molecule of the title compound presents the isoindoline-1,3-dione, piperazine ring, and two benzene ring groups. One nitrogen atom of piperazine connects the phenyl group via C—N bond, and the other N links the phenylethyl moiety. Then, the above phenylethyl is further connect to the isoindoline-1,3-dione group. The isoindoline-1,3-dione, and two aryl moieties are not in the same plane. The whole molecule displays the twisty conformation. In the molecule, the N(1)—C(7), N(1)—C(8), N(1)—C(9), N(3)—C(22), N(3)—C(21), N(3)—C(19), N(2)—C(17), N(2)—C(20), and N(2)—C(18) bond lengths are found to be 1.388(3) Å, 1.394(3) Å, 1.465(3) Å, 1.409(3) Å, 1.437(3) Å, 1.440(3) Å, 1.460(3) Å, 1.428(3) Å, and 1.431(3) Å, respectively. The bond lengths of O(2)—C(7) and O(1)—C(8) are found to be 1.209(2) Å and 1.205(3) Å, respectively. The bond angles C8—N1—C7, C9—N1—C7, C9—N1—C8, C21—N3—C22, C19—N3—C22, C19—N3—C21, C20—N2—C—17, C18—N2—C17, and C18—N2—C20 are 112.05(18)°, 124.49(18)°, 123.46(19)°, 117.7(2)°, 117.1(2)°, 111.9(2)°, 112.5(2)°, 112.8(2)°, and 107.6(2)°, respectively. N1—C7—O2, C4—C7—O2, C4—C7—N1, N1—C8—O1, C5—C8—O1, C5—C8—N1, C27—C22—N3, C23—C22—N3, and C10—C9—N1 are 125.3(2), 128.9(2), 105.843(17), 125.3(2), 128.8(2), 105.88(18), 120.9(2), 122.4(2), and 111.83(18), respectively. Finally, a supramolecular framework structure is formed by the weak intermolecular force.
Acknowledgements
The work was supported by Science and Technology Planning Project of Henan Province of China (172102110105) for financial assistances.
References
1. Agilent Technologies. CrysAlisPRO Software system, version 1.171.38.41r. Agilent Technologies UK Ltd, Oxford, UK (2015).Search in Google Scholar
2. Sheldrick, G. M.: Crystal structure refinement with SHELXL. Acta Crystallogr. C71 (2015) 3–8.10.1107/S2053229614024218Search in Google Scholar
3. Szkaradek, N.; Rapacz, A.; Pytka, K.; Filipek, B.; Siwek, A.; Cegla, M.; Marona, H.: Synthesis and preliminary evaluation of pharmacological properties of some piperazine derivatives of xanthone. Bioorg. Med. Chem. 21 (2013) 514–522.10.1016/j.bmc.2012.11.014Search in Google Scholar
4. Cecchetti, V.; Fravolini, A.; Schiaffella, F.; Tabarrini, O.; Bruni, G.; Segret, G.: o-Chlorobenzenesulfonamidic derivatives of (aryloxy)propanolamines as beta-blocking/diuretic agents. J. Med. Chem. 36 (1993) 157–161.10.1021/jm00053a020Search in Google Scholar
5. Walsh, D. A.; Chen, Y. H.; Green, J. B.; Nolan, J. C.; Yannit, J. M.: The synthesis and antiallergy activity of 1-(aryloxy)-4-(4-arylpiperazinyl)-2-butanol derivatives. J. Med. Chem. 33 (1990) 1823–1827.10.1021/jm00168a044Search in Google Scholar
6. Seo, H. J.; Park, E. J.; Kim, M. J.; Kang, S. Y.; Lee, S. H.; Kim, H. J.; Lee, K. N.; Jung, M. E.; Lee, M.; Kim, M. S.; Son, E. J.; Park, W. K.; Kim, J.; Lee, J.: Design and synthesis of novel arylpiperazine derivatives containing the imidazole core targeting 5-HT(2A) receptor and 5-HT transporter. J. Med. Chem. 54 (2011) 6305–6318.10.1021/jm200682bSearch in Google Scholar
7. Kikumoto, R.; Tobe, A.; Fukami, H.; Egawa, M.: Synthesis and antianxiety activity of (omega-piperazinylalkoxy)indan derivatives. J. Med. Chem. 26 (1983) 246–250.10.1021/jm00356a024Search in Google Scholar
8. Jaen, J. C.; Wise, L. D.; Heffner, T. G.; Pugsley, T. A.; Meltzed, L. T.: Dopamine autoreceptor agonists as potential antipsychotics. 1. (Aminoalkoxy)anilines. J. Med. Chem. 31 (1988) 1621–1625.10.1021/jm00403a022Search in Google Scholar
9. Cross, R. M.; Namelikonda, N. K.; Mutka, T. S.; Luong, L.; Kyle, D. E.; Manetsch, R.: Synthesis, antimalarial activity, and structure-activity relationship of 7-(2-phenoxyethoxy)-4(1H)-quinolones. J. Med. Chem. 54 (2011) 8321–8327.10.1021/jm200718mSearch in Google Scholar
10. Clarkson, C.; Musonda, C. C.; Chibale, K.; Campbella, W. E.; Smitha, P.: Synthesis of totarol amino alcohol derivatives and their antiplasmodial activity and cytotoxicity. Bioorg. Med. Chem. 11 (2003) 4417–4422.10.1016/S0968-0896(03)00491-7Search in Google Scholar
11. Berardi, F.; Abate, C.; Ferorelli, S.; De Robertis, A. F.; Leopoldo, M.; Colabufo, N. A.; Niso, M.; Perrone, R.: Novel 4-(4-aryl)cyclohexyl-1-(2-pyridyl)piperazines as Delta(8)-Delta(7) sterol isomerase (emopamil binding protein) selective ligands with antiproliferative activity. J. Med. Chem. 51 (2008) 7523–7531.10.1021/jm800965bSearch in Google Scholar PubMed
12. Leopoldo, M.; Lacivita, E.; Passafiume, E.; Contino, M.; Colabufo, N. A.; Berardi, F.; Perrone, R.: 4-[omega-[4-arylpiperazin-1-yl]alkoxy]phenyl)imidazo [1,2-a]pyridine derivatives: fluorescent high-affinity dopamine D3 receptor ligands as potential probes for receptor visualization. J. Med. Chem. 50 (2007) 5043–5047.10.1021/jm070721+Search in Google Scholar PubMed
13. Chen, H.; Yu, Y.-Z.; Tian, X.-M.; Wang, C.-L.; Qian, Y.-N.; Deng, Z.-A.; Zhang, J.-X.; Lv, D.-J.; Zhang, H.-B.; Shen, J.-L.; Yuan, M.; Zhao, S.-C.: Synthesis and biological evaluation of arylpiperazine derivatives as potential anti-prostate cancer agents. Bioorg. Med. Chem. 27 (2019) 133–143.10.1016/j.bmc.2018.11.029Search in Google Scholar PubMed
14. Chen, H.; Jia, H.-X.: Crystal structure of 2-(4-(2-fluorophenyl) piperazin-1-yl) ehthyl) benzyl)benzoisothiazol-3(2H)-one1,1-dioxide, C26H26FN3O3S – a saccharin dervative. Z. Kristalllogr. − NCS 233 (2018) 111–113.10.1515/ncrs-2017-0197Search in Google Scholar
15. Chen, H.; Jia, H.-X.; Xu, Q.-T.: Crystal structure of ure of 1-(4-((benzo(1,3)dioxol-5-yloxy)methyl)phenethyl)-4-(3-chlorophenyl)piperazin-1-ium chloride, C26H28Cl2N2O3. Z. Kristalllogr. – NCS 233 (2018) 107–109.10.1515/ncrs-2017-0196Search in Google Scholar
©2019 Aiqing Feng et al., published by De Gruyter, Berlin/Boston
This work is licensed under the Creative Commons Attribution 4.0 Public License.
Articles in the same Issue
- 10.1515/ncrs-2020-frontmatter1
- The crystal structure of 3,5-dicarboxybenzenaminium perchlorate monohydrate, C8H8ClNO9
- The crystal structure of poly[(m4-4-bromoisophthalato-κ4O: O′:O′′:O′′′)zinc(II)], C8H3BrO4Zn
- Crystal structure of (E)-2-(2-chloro-6-hydroxybenzylidene)hydrazine-1-carbothioamide, C8H8ClN3O4S
- Crystal structure of 1,1′-methylenebis(3-ethyl-1H-imidazol-3-ium) bis(hexafluorophosphate(V)), C11H18F12N4P2
- The crystal structure of hexakis(1-isopropyl-1H-imidazole-κ1N)copper(II) dichloride, C36H58Cl2CuN12
- Crystal structure of catena-poly[μ2-4,4′-bipyridine-κ2N:N′)-tetrakis(μ2-2-((3,5,6-trichloropyridin-2-yl)oxy)acetato-κ2O:O′)dicobalt(II)], C19H10Cl6CoN3O6
- Crystal structure of (E)-1-(4-(((E)-2-bromo-6-hydroxybenzylidene)amino)phenyl)ethan-1-one O-methyl oxime, C16H15BrN2O2
- Crystal structure of ethyl 2-methyl-4-(5-methylthiophen-2-yl)-5-oxo-1,4,5,6,7,8-hexahydroquinoline-3-carboxylate, C18H21NO3S
- The crystal structure of 5-bromo-2-(1-methyl-1H-tetrazol-5-yl)pyridine, C7H6BrN5
- Crystal structure of Bis(acetato-κ2O,O′)-bis[4-(dimethylamino)pyridine-κN]nickel(II), C18H26N4NiO4
- Crystal structure of (E)-3-chloro-2-(((4-chlorophenyl)imino)methyl)phenol, C13H9Cl2NO
- The co-crystal structure of (17b)-estra-1,3,5(10)-triene-3,17diol – acetamide (1/1), a Z′ = 4 structure, C20H29NO3
- Crystal structure of 3-(3-(pyridin-3-yl)ureido)benzoic acid, C13H11N3O3
- The crystal structure of 1,1′-(9-ethyl-9H-carbazole-3,6-diyl)bis(3-ethyl-1H-imidazol-3-ium) bis(hexafluorophosphate(IV)), C24H27N5F12P2
- The crystal structure of 2-bromoisophthalic acid, C8H5BrO4
- The crystal structure of 13-ethoxycarbonyl-9-methyl-4-chlor-11-thioxo-8-oxa-10,12-diazatricyclo[7.3.1.02,7]trideca-2,4,6-triene, C14H15ClN2O3S
- The crystal structure of (E)-4-((4-(diethylamino)benzylidene)amino)-N,N-diphenylaniline, C29H29N3
- Crystal structure of 2-(3-(2-(4-phenylpiperazin-1-yl)ethyl)benzyl)isoindoline-1,3-dione, C27H27N3O2
- Crystal structure of 2-ethoxy-6-((E)-((3-(((E)-3-ethoxy-2-hydroxybenzylidene)amino)-2-hydroxypropyl)iminio)methyl)phenolate, C21H26N2O5
- The crystal structure of catena-poly(μ2-4,4′-bipyridine-κ2N:N′)-tetrakis(μ2-2-((3,5,6-trichloropyridin-2-yl)oxy)acetato-κ2O:O′)dinickel(II)], C19H10Cl6N3NiO6
- Crystal structure of hexakis(μ2-azido-κ2N:N)-diazido-κ1N-tetrakis(phenanthroline-κ2N,N′)tetrazinc(II), C48H32N32Zn4
- Synthesis and crystal structure of bis{2-bromo-6-(((4-(1-(methoxyimino)ethyl)phenyl)imino)methyl)phenolato-κ2N,O}cobalt(II)–dichloromethane(1/1), C34H32Br2Cl4CoN4O4
- Crystal structure of (E)-3-chloro-2-(((4-nitrophenyl)imino)methyl)phenol, C13H9ClN2O3
- Crystal structure of aqua-bis(5-bromo-6-methyl-picolinato-κ2N,O)zinc(II) dihydrate, C14H16Br2N2O7Zn
- Crystal structure of biaqua(2,2′-bipyridine-4,4′-dicarboxylato-κ2N,N′)(pyridine-2,6-dicarboxylato-κ3O,N,O′)nickel(II) hydrate, C19H15N3NiO10
- Synthesis and crystal structure of bis(2-(((4-(1-(ethoxyimino)ethyl)phenyl)imino)methyl)-5-fluorophenolato-κ2N,O)zinc(II) - methanol (1/1), C33H32F2N4O4Zn
- Crystal structure of tetraaqua-bis(μ2-5-aminoisophthalato-κ3N:O,O′)-bis(4,4′-dipyridylsulfide-κ1N)dizinc(II), C36H34N6O12S2Ni2
- Crystal structure of (1,4,8,11-tetraazacyclotetradecane-κ4N,N′,N′′,N′′′)palladium(II) tetracyanonickelate(II), C14H24N8NiPd
- The crystal structure of 3-benzyl-1-((8-(benzyloxy)quinolin-2-yl)methyl)-1H-imidazol-3-ium hexafluorophosphate, C27H24N3OF6P
- Crystal structure of 1-(4-chloro-2-hydroxy-5-iodophenyl)ethan-1-one, C8H6ClIO2
- Crystal structure of hexaaquamagnesium(II) bis((E)-4-((4-(dimethylamino)phenyl)diazenyl)benzenesulfonate), C28H40MgN6O12S2
- Crystal structure of the coordination polymer catena-poly[(1,2-di(pyridin-4-yl)ethane-κN)-(μ2-2-nitroisophthalato-κ2O:O′)zinc(II)], C20H17N3O7Zn
- Crystal structure of catena-{[tri-aqua-di-sodium bis(2-{[n-butyl(methyl)carbamothioyl]sulfanyl}acetate)]}n, [C16H34N2Na2O7S4]n
- The crystal structure of diaqua-bis(μ2-3-((3-acetyl-5-carboxyphenyl)oxidophosphoryl)-5-carboxybenzoato-κ2O:O′)bis(5,5′-dimethyl-2,2′-bipyridine-k2N,N′)zinc(II), C56H46N4O22P2Zn2
- Crystal structure of N′,2-bis((E)-2-chloro-6-hydroxybenzylidene)hydrazine-1-carbothiohydrazide, C15H12Cl2N4O2S
- Crystal structure of 2-[(1E)-{[1,3-dihydroxy-2-(hydroxymethyl)propan-2-yl]iminiumyl}methyl]-5-(dodecyloxy)benzen-1-olate, C23H39NO5
- Crystal structure of 12-(2-hydroxybenzoyl)benzo[f]pyrido[1,2-a]indole-6,11-dione, C23H13NO4
- Crystal structure of chlorido-(4-chloro-6-(p-tolyl)pyrimidine-κ2C,N)-(triphenylphosphane-κP)palladium(II), C29H23Cl2N2PPd
- Crystal structure of catena-poly[diaqua-bis(3,4,5,6-tetrabromo-carboxybenzoato-κ1O)-(μ2-4,4′-bipyridine-κ2N:N′)cobalt(II)], C26H14Br8CoN2O10
- Crystal structure of catena-poly[dibenzyl-dichlorido-(μ2-[4,4′-bipyridine]1,1′-dioxide-κ2O:O′)tin(IV)], C24H22Cl2N2O2Sn
- Crystal structure of benzyl-chlorido-(4-chloro-N-[(2-oxidophenyl)methylidene]benzenecarbohydrazonato)-methanol-tin(IV), C22H20Cl2N2O3Sn
- Crystal structure of catena-poly[triaqua-(1,3-di(1H-imidazol-1-yl)benzene-κ2N:N′)-(3-nitrophthalato-κ1O)cobalt(II)] — water (2/3), C20H22N5O10.5Co
- Crystal structure of (3R,5R,8R,9R,10R,12R,13R,14R)-4,4,8,10,14-pentamethyl-17-((R)-2,6,6-trimethyltetrahydro-2H-pyran-2-yl)hexadecahydro-1H-cyclopenta[a]phenanthrene-3,12-diol, C30H52O3
- Crystal structure of 3-(3-(4-carboxyphenyl)ureido)pyridin-1-ium perchlorate, C26H24Cl2N6O14
- Crystal structure of 8-hydroxy-2-methylquinolin-1-ium chloride dihydrate, C10H14ClNO3
- Crystal structure of (dibenzyl sulphoxide-κO)dibromido-bis(4-bromobenzyl-κC)tin(IV), C28H26Br4OSSn
- Crystal structure of bromido-tri(4-chlorophenyl-κ1C)-(ethanol-κ1O)tin(IV) — 4,4′-dimethyl-2,2′-bipyridine (2/1), C52H48Br2Cl6N2O2Sn2
- Crystal structure of 2-butyl-6-(ethylamino)-1H-benzo[de]isoquinoline-1,3(2H)-dione, C18H20N2O2
- Crystal structure of (4-chloro-N-[(2-oxido-5-chlorophenyl)methylidene] benzene-carbohydrazonato-κ3N,O,O′)bis(2-fluorobenzyl)tin(IV), C28H20Cl2F2N2O2Sn
- Crystal structure of aqua-chlorido-(4-fluorobenzyl-κC)-(N′-(4-methoxy-2-oxidobenzylidene)-3-hydroxy-2-naphthohydrazidato-κ3N,O,O′)tin(IV), C26H22ClFN2O5Sn
- Crystal structure of catena-poly[tri(4-chlorophenyl)-(μ2-hydroxido)tin(IV)] – 2-propanol (1/1), C21H21Cl3O2Sn
- Crystal structure of bromido-dimethyl-4-tolyl-(triphenylphosphine oxide)tin(IV), C27H28BrOPSn
- Crystal structure of 2-(bis(2-hydroxyethyl)ammonio)ethane-1-sulfonate, C6H15NO5S
- Crystal structure of bis[triaqua-(μ2-1,2-di(4-pyridyl)ethylene-κ2N:N′)-(4-sulfonatobenzoato-κ2O,O′)zinc(II)], C13H15NO8SZn
- Crystal structure of 2-((2-(3-hydroxy-7-methylene-2,3-dihydro-7H-furo[3,2-g]chromen-2-yl)propan-2-yl)oxy)-6-(hydroxymethyl)tetrahydro-2H-pyran-3,4,5-triol – a marmesin derivative, C20H24O10
- Crystal structure of octa(4-chlorobenzyl)-dichlorido-bis(μ2-methanolato)-bis(μ3-oxo)-tetratin(IV), C58H54Cl10O4Sn4
- Crystal structure of iodido-triphenyl-(triphenylphosphine oxide)tin(IV), C36H30IOPSn
- Crystal structure of dichlorido-bis(4-methylphenyl-κC)-bis(triphenylarsine oxide-κO)tin(IV), C50H44As2Cl2O2Sn
- Crystal structure of 4-benzyl-1-oxo-N-phenethyl-1H-[1,4]oxazino [4,3-b]indazole-3-carboxamide, C26H21N3O3
- Crystal structure of bis{(N-[(5-chloro-2-oxidophenyl)methylidene]-2-hydroxybenzenecarbohydrazonato)-dioxo-molybdenum(VI)}(μ2-4,4′-bipyridine), C38H26Cl2Mo2N6O10
- Crystal structure of dichlorido-octamethyl-bis(μ3-oxido)-bis(μ2-2-(phenylamino)ethanolato-κ2O:O)tetratin(IV), C24H44Cl2N2O4Sn4
- The crystal structure of 1-(2-(2-(imidazo[1,5-a]pyridine-4-ium)ethoxy)ethyl)-imidazo[1,5-a]pyridine-4-ium bis(hexafluorophosphate) — acetonitrile (1/1), C18H20ON4F12P2
- Crystal structure of cyclo[tetra(μ2-cyanido)-tetracyanido-bis(1,4,7,10-tetraazacyclododecane-κ4N,N′,N′′,N′′′)dinickel(II)dipalladium(II)] hexahydrate, C24H52N16Ni2O6Pd2
- Crystal structure of (dimethyl sulfoxide)-dioxido-[2-hydroxy-N′-(4-oxo-4-phenylbutan-2-ylidene)benzohydrazidato κ3N,O,O′]molybdenum(VI), C19H20MoN2O6S
- Crystal structure of bis(acetylacetonato-κ2O,O′)-(ethanolamine-κ2N,O)copper(II), C14H25CuNO5
- Crystal structure of chlorido-diphenyl-(isopropyl(propyl)carbamodithioato-κ2S,S′)tin(IV), C19H24ClNS2Sn
- The crystal structure of bis(imidazole-1-yl)methane monohydrate, C7H10N4O
- The crystal structure of bis(4-nitroimidazole-1-1yl)methane, C7H6N6O4
- Crystal structure of di(naphthalen-2-yl)sulfane, C20H14S
- Crystal structure of 3-acetyl-6-bromo-4-hydroxy-2H-chromen-2-one, C11H7BrO4
- Crystal structure of N′2,N′6-bis((E)-1-(pyrazin-2-yl)ethylidene)pyridine-2,6-dicarbohydrazide — methanol (1/2), C21H25N9O4
- The crystal structure of 3-nitro-4-(p-tolylamino)-2H-chromen-2-one, C16H12N2O4
- The crystal structure of 1,2-bis((4-methoxyphenyl)ethynyl)benzene, C24H18O2
- Crystal structure of a low-temperature (100 K) polymorph of catena-poly[(μ2-4,4′-bipyridine-κ2N,N′)-bis(O,O′-diethyldithiophosphato-κ1S)zinc(II)], C18H28N2O4P2S4Zn
- The pseudosymmetric low temperature polymorph of catena-poly[(μ2-4,4′-bipyridyl-κN,N′)-bis(O,O′-diethyldithiophosphato-κS)-cadmium(II)], {C18H28CdN2O4P2S4}n
- Crystal structure of 3-iodophthalic acid, C8H5IO4
- The crystal structure of tert-butyl (tert-butoxy(oxo)methyl)(5-bromo-2-fluorophenyl)carbamate, C16H21BrFNO4
- The crystal structure of bis(μ2-5,7-dichloroquinolin-8-olato-κ3N,O:O)-tetrakis(5,7-dichloroquinolin-8-olato-κ2N,O)bis(methanol-κ1O)dieuropium(III) — toluene (1/1), C63H39Cl12Eu2N6O8
- Crystal structure of dichlorido-(N′-(1-(3-ethylpyrazin-2-yl)ethylidene)-4-methoxybenzohydrazide-κ3N,N′,O)cadmium(II), C16H18N4O2Cl2Cd
- A redetermination of the crystal structure of catena-poly[(bis(O,O′-isopropyl dithiophosphato-κ2S,S′)-(μ2-1,2-bis(3-pyridylmethylene)hydrazine-κ2N,N′)cadmium(II)], {C24H38CdN4O4P2S4}n
Articles in the same Issue
- 10.1515/ncrs-2020-frontmatter1
- The crystal structure of 3,5-dicarboxybenzenaminium perchlorate monohydrate, C8H8ClNO9
- The crystal structure of poly[(m4-4-bromoisophthalato-κ4O: O′:O′′:O′′′)zinc(II)], C8H3BrO4Zn
- Crystal structure of (E)-2-(2-chloro-6-hydroxybenzylidene)hydrazine-1-carbothioamide, C8H8ClN3O4S
- Crystal structure of 1,1′-methylenebis(3-ethyl-1H-imidazol-3-ium) bis(hexafluorophosphate(V)), C11H18F12N4P2
- The crystal structure of hexakis(1-isopropyl-1H-imidazole-κ1N)copper(II) dichloride, C36H58Cl2CuN12
- Crystal structure of catena-poly[μ2-4,4′-bipyridine-κ2N:N′)-tetrakis(μ2-2-((3,5,6-trichloropyridin-2-yl)oxy)acetato-κ2O:O′)dicobalt(II)], C19H10Cl6CoN3O6
- Crystal structure of (E)-1-(4-(((E)-2-bromo-6-hydroxybenzylidene)amino)phenyl)ethan-1-one O-methyl oxime, C16H15BrN2O2
- Crystal structure of ethyl 2-methyl-4-(5-methylthiophen-2-yl)-5-oxo-1,4,5,6,7,8-hexahydroquinoline-3-carboxylate, C18H21NO3S
- The crystal structure of 5-bromo-2-(1-methyl-1H-tetrazol-5-yl)pyridine, C7H6BrN5
- Crystal structure of Bis(acetato-κ2O,O′)-bis[4-(dimethylamino)pyridine-κN]nickel(II), C18H26N4NiO4
- Crystal structure of (E)-3-chloro-2-(((4-chlorophenyl)imino)methyl)phenol, C13H9Cl2NO
- The co-crystal structure of (17b)-estra-1,3,5(10)-triene-3,17diol – acetamide (1/1), a Z′ = 4 structure, C20H29NO3
- Crystal structure of 3-(3-(pyridin-3-yl)ureido)benzoic acid, C13H11N3O3
- The crystal structure of 1,1′-(9-ethyl-9H-carbazole-3,6-diyl)bis(3-ethyl-1H-imidazol-3-ium) bis(hexafluorophosphate(IV)), C24H27N5F12P2
- The crystal structure of 2-bromoisophthalic acid, C8H5BrO4
- The crystal structure of 13-ethoxycarbonyl-9-methyl-4-chlor-11-thioxo-8-oxa-10,12-diazatricyclo[7.3.1.02,7]trideca-2,4,6-triene, C14H15ClN2O3S
- The crystal structure of (E)-4-((4-(diethylamino)benzylidene)amino)-N,N-diphenylaniline, C29H29N3
- Crystal structure of 2-(3-(2-(4-phenylpiperazin-1-yl)ethyl)benzyl)isoindoline-1,3-dione, C27H27N3O2
- Crystal structure of 2-ethoxy-6-((E)-((3-(((E)-3-ethoxy-2-hydroxybenzylidene)amino)-2-hydroxypropyl)iminio)methyl)phenolate, C21H26N2O5
- The crystal structure of catena-poly(μ2-4,4′-bipyridine-κ2N:N′)-tetrakis(μ2-2-((3,5,6-trichloropyridin-2-yl)oxy)acetato-κ2O:O′)dinickel(II)], C19H10Cl6N3NiO6
- Crystal structure of hexakis(μ2-azido-κ2N:N)-diazido-κ1N-tetrakis(phenanthroline-κ2N,N′)tetrazinc(II), C48H32N32Zn4
- Synthesis and crystal structure of bis{2-bromo-6-(((4-(1-(methoxyimino)ethyl)phenyl)imino)methyl)phenolato-κ2N,O}cobalt(II)–dichloromethane(1/1), C34H32Br2Cl4CoN4O4
- Crystal structure of (E)-3-chloro-2-(((4-nitrophenyl)imino)methyl)phenol, C13H9ClN2O3
- Crystal structure of aqua-bis(5-bromo-6-methyl-picolinato-κ2N,O)zinc(II) dihydrate, C14H16Br2N2O7Zn
- Crystal structure of biaqua(2,2′-bipyridine-4,4′-dicarboxylato-κ2N,N′)(pyridine-2,6-dicarboxylato-κ3O,N,O′)nickel(II) hydrate, C19H15N3NiO10
- Synthesis and crystal structure of bis(2-(((4-(1-(ethoxyimino)ethyl)phenyl)imino)methyl)-5-fluorophenolato-κ2N,O)zinc(II) - methanol (1/1), C33H32F2N4O4Zn
- Crystal structure of tetraaqua-bis(μ2-5-aminoisophthalato-κ3N:O,O′)-bis(4,4′-dipyridylsulfide-κ1N)dizinc(II), C36H34N6O12S2Ni2
- Crystal structure of (1,4,8,11-tetraazacyclotetradecane-κ4N,N′,N′′,N′′′)palladium(II) tetracyanonickelate(II), C14H24N8NiPd
- The crystal structure of 3-benzyl-1-((8-(benzyloxy)quinolin-2-yl)methyl)-1H-imidazol-3-ium hexafluorophosphate, C27H24N3OF6P
- Crystal structure of 1-(4-chloro-2-hydroxy-5-iodophenyl)ethan-1-one, C8H6ClIO2
- Crystal structure of hexaaquamagnesium(II) bis((E)-4-((4-(dimethylamino)phenyl)diazenyl)benzenesulfonate), C28H40MgN6O12S2
- Crystal structure of the coordination polymer catena-poly[(1,2-di(pyridin-4-yl)ethane-κN)-(μ2-2-nitroisophthalato-κ2O:O′)zinc(II)], C20H17N3O7Zn
- Crystal structure of catena-{[tri-aqua-di-sodium bis(2-{[n-butyl(methyl)carbamothioyl]sulfanyl}acetate)]}n, [C16H34N2Na2O7S4]n
- The crystal structure of diaqua-bis(μ2-3-((3-acetyl-5-carboxyphenyl)oxidophosphoryl)-5-carboxybenzoato-κ2O:O′)bis(5,5′-dimethyl-2,2′-bipyridine-k2N,N′)zinc(II), C56H46N4O22P2Zn2
- Crystal structure of N′,2-bis((E)-2-chloro-6-hydroxybenzylidene)hydrazine-1-carbothiohydrazide, C15H12Cl2N4O2S
- Crystal structure of 2-[(1E)-{[1,3-dihydroxy-2-(hydroxymethyl)propan-2-yl]iminiumyl}methyl]-5-(dodecyloxy)benzen-1-olate, C23H39NO5
- Crystal structure of 12-(2-hydroxybenzoyl)benzo[f]pyrido[1,2-a]indole-6,11-dione, C23H13NO4
- Crystal structure of chlorido-(4-chloro-6-(p-tolyl)pyrimidine-κ2C,N)-(triphenylphosphane-κP)palladium(II), C29H23Cl2N2PPd
- Crystal structure of catena-poly[diaqua-bis(3,4,5,6-tetrabromo-carboxybenzoato-κ1O)-(μ2-4,4′-bipyridine-κ2N:N′)cobalt(II)], C26H14Br8CoN2O10
- Crystal structure of catena-poly[dibenzyl-dichlorido-(μ2-[4,4′-bipyridine]1,1′-dioxide-κ2O:O′)tin(IV)], C24H22Cl2N2O2Sn
- Crystal structure of benzyl-chlorido-(4-chloro-N-[(2-oxidophenyl)methylidene]benzenecarbohydrazonato)-methanol-tin(IV), C22H20Cl2N2O3Sn
- Crystal structure of catena-poly[triaqua-(1,3-di(1H-imidazol-1-yl)benzene-κ2N:N′)-(3-nitrophthalato-κ1O)cobalt(II)] — water (2/3), C20H22N5O10.5Co
- Crystal structure of (3R,5R,8R,9R,10R,12R,13R,14R)-4,4,8,10,14-pentamethyl-17-((R)-2,6,6-trimethyltetrahydro-2H-pyran-2-yl)hexadecahydro-1H-cyclopenta[a]phenanthrene-3,12-diol, C30H52O3
- Crystal structure of 3-(3-(4-carboxyphenyl)ureido)pyridin-1-ium perchlorate, C26H24Cl2N6O14
- Crystal structure of 8-hydroxy-2-methylquinolin-1-ium chloride dihydrate, C10H14ClNO3
- Crystal structure of (dibenzyl sulphoxide-κO)dibromido-bis(4-bromobenzyl-κC)tin(IV), C28H26Br4OSSn
- Crystal structure of bromido-tri(4-chlorophenyl-κ1C)-(ethanol-κ1O)tin(IV) — 4,4′-dimethyl-2,2′-bipyridine (2/1), C52H48Br2Cl6N2O2Sn2
- Crystal structure of 2-butyl-6-(ethylamino)-1H-benzo[de]isoquinoline-1,3(2H)-dione, C18H20N2O2
- Crystal structure of (4-chloro-N-[(2-oxido-5-chlorophenyl)methylidene] benzene-carbohydrazonato-κ3N,O,O′)bis(2-fluorobenzyl)tin(IV), C28H20Cl2F2N2O2Sn
- Crystal structure of aqua-chlorido-(4-fluorobenzyl-κC)-(N′-(4-methoxy-2-oxidobenzylidene)-3-hydroxy-2-naphthohydrazidato-κ3N,O,O′)tin(IV), C26H22ClFN2O5Sn
- Crystal structure of catena-poly[tri(4-chlorophenyl)-(μ2-hydroxido)tin(IV)] – 2-propanol (1/1), C21H21Cl3O2Sn
- Crystal structure of bromido-dimethyl-4-tolyl-(triphenylphosphine oxide)tin(IV), C27H28BrOPSn
- Crystal structure of 2-(bis(2-hydroxyethyl)ammonio)ethane-1-sulfonate, C6H15NO5S
- Crystal structure of bis[triaqua-(μ2-1,2-di(4-pyridyl)ethylene-κ2N:N′)-(4-sulfonatobenzoato-κ2O,O′)zinc(II)], C13H15NO8SZn
- Crystal structure of 2-((2-(3-hydroxy-7-methylene-2,3-dihydro-7H-furo[3,2-g]chromen-2-yl)propan-2-yl)oxy)-6-(hydroxymethyl)tetrahydro-2H-pyran-3,4,5-triol – a marmesin derivative, C20H24O10
- Crystal structure of octa(4-chlorobenzyl)-dichlorido-bis(μ2-methanolato)-bis(μ3-oxo)-tetratin(IV), C58H54Cl10O4Sn4
- Crystal structure of iodido-triphenyl-(triphenylphosphine oxide)tin(IV), C36H30IOPSn
- Crystal structure of dichlorido-bis(4-methylphenyl-κC)-bis(triphenylarsine oxide-κO)tin(IV), C50H44As2Cl2O2Sn
- Crystal structure of 4-benzyl-1-oxo-N-phenethyl-1H-[1,4]oxazino [4,3-b]indazole-3-carboxamide, C26H21N3O3
- Crystal structure of bis{(N-[(5-chloro-2-oxidophenyl)methylidene]-2-hydroxybenzenecarbohydrazonato)-dioxo-molybdenum(VI)}(μ2-4,4′-bipyridine), C38H26Cl2Mo2N6O10
- Crystal structure of dichlorido-octamethyl-bis(μ3-oxido)-bis(μ2-2-(phenylamino)ethanolato-κ2O:O)tetratin(IV), C24H44Cl2N2O4Sn4
- The crystal structure of 1-(2-(2-(imidazo[1,5-a]pyridine-4-ium)ethoxy)ethyl)-imidazo[1,5-a]pyridine-4-ium bis(hexafluorophosphate) — acetonitrile (1/1), C18H20ON4F12P2
- Crystal structure of cyclo[tetra(μ2-cyanido)-tetracyanido-bis(1,4,7,10-tetraazacyclododecane-κ4N,N′,N′′,N′′′)dinickel(II)dipalladium(II)] hexahydrate, C24H52N16Ni2O6Pd2
- Crystal structure of (dimethyl sulfoxide)-dioxido-[2-hydroxy-N′-(4-oxo-4-phenylbutan-2-ylidene)benzohydrazidato κ3N,O,O′]molybdenum(VI), C19H20MoN2O6S
- Crystal structure of bis(acetylacetonato-κ2O,O′)-(ethanolamine-κ2N,O)copper(II), C14H25CuNO5
- Crystal structure of chlorido-diphenyl-(isopropyl(propyl)carbamodithioato-κ2S,S′)tin(IV), C19H24ClNS2Sn
- The crystal structure of bis(imidazole-1-yl)methane monohydrate, C7H10N4O
- The crystal structure of bis(4-nitroimidazole-1-1yl)methane, C7H6N6O4
- Crystal structure of di(naphthalen-2-yl)sulfane, C20H14S
- Crystal structure of 3-acetyl-6-bromo-4-hydroxy-2H-chromen-2-one, C11H7BrO4
- Crystal structure of N′2,N′6-bis((E)-1-(pyrazin-2-yl)ethylidene)pyridine-2,6-dicarbohydrazide — methanol (1/2), C21H25N9O4
- The crystal structure of 3-nitro-4-(p-tolylamino)-2H-chromen-2-one, C16H12N2O4
- The crystal structure of 1,2-bis((4-methoxyphenyl)ethynyl)benzene, C24H18O2
- Crystal structure of a low-temperature (100 K) polymorph of catena-poly[(μ2-4,4′-bipyridine-κ2N,N′)-bis(O,O′-diethyldithiophosphato-κ1S)zinc(II)], C18H28N2O4P2S4Zn
- The pseudosymmetric low temperature polymorph of catena-poly[(μ2-4,4′-bipyridyl-κN,N′)-bis(O,O′-diethyldithiophosphato-κS)-cadmium(II)], {C18H28CdN2O4P2S4}n
- Crystal structure of 3-iodophthalic acid, C8H5IO4
- The crystal structure of tert-butyl (tert-butoxy(oxo)methyl)(5-bromo-2-fluorophenyl)carbamate, C16H21BrFNO4
- The crystal structure of bis(μ2-5,7-dichloroquinolin-8-olato-κ3N,O:O)-tetrakis(5,7-dichloroquinolin-8-olato-κ2N,O)bis(methanol-κ1O)dieuropium(III) — toluene (1/1), C63H39Cl12Eu2N6O8
- Crystal structure of dichlorido-(N′-(1-(3-ethylpyrazin-2-yl)ethylidene)-4-methoxybenzohydrazide-κ3N,N′,O)cadmium(II), C16H18N4O2Cl2Cd
- A redetermination of the crystal structure of catena-poly[(bis(O,O′-isopropyl dithiophosphato-κ2S,S′)-(μ2-1,2-bis(3-pyridylmethylene)hydrazine-κ2N,N′)cadmium(II)], {C24H38CdN4O4P2S4}n