Abstract
C28H20Cl2F2N2O2Sn, monoclinic, P21/c (no. 14), a = 27.8125(4) Å, b = 8.4443(2) Å, c = 10.7891(1) Å, β = 91.074(1)° V = 2533.45(7) Å3, Z = 4, Rgt(F) = 0.0600, wRref(F2) = 0.1608, T = 100(2) K.

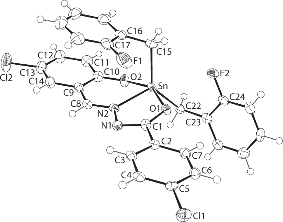
The molecular structure is shown in the figure. Table 1 contains crystallographic data and Table 2 contains the list of the atoms including atomic coordinates and displacement parameters.
Data collection and handling.
| Crystal: | Colourless prism |
| Size: | 0.10 × 0.06 × 0.05 mm |
| Wavelength: | Cu Kα radiation (1.54184 Å) |
| μ: | 10.4 mm−1 |
| Diffractometer, scan mode: | XtaLAB Synergy, ω |
| θmax, completeness: | 67.1°, >99% |
| N(hkl)measured, N(hkl)unique, Rint: | 31218, 4510, 0.044 |
| Criterion for Iobs, N(hkl)gt: | Iobs > 2 σ(Iobs), 4309 |
| N(param)refined: | 334 |
| Programs: | CrysAlisPRO [1], SHELX [2], [3], WinGX/ORTEP [4] |
Fractional atomic coordinates and isotropic or equivalent isotropic displacement parameters (Å2).
| Atom | x | y | z | Uiso*/Ueq |
|---|---|---|---|---|
| Sn | 0.74877(2) | 0.33125(6) | 0.51426(4) | 0.01866(17) |
| Cl1 | 0.97627(7) | 0.8938(3) | 0.8801(2) | 0.0320(5) |
| Cl2 | 0.50722(9) | 0.4327(4) | 0.7825(3) | 0.0587(8) |
| F1 | 0.7371(2) | 0.7436(8) | 0.5071(5) | 0.0480(15) |
| F2 | 0.82051(17) | 0.2973(6) | 0.3184(4) | 0.0287(11) |
| O1 | 0.81024(19) | 0.4689(7) | 0.5681(5) | 0.0219(12) |
| O2 | 0.6838(2) | 0.2135(7) | 0.5486(5) | 0.0269(13) |
| N1 | 0.7668(2) | 0.5466(8) | 0.7391(6) | 0.0205(14) |
| N2 | 0.7312(2) | 0.4549(8) | 0.6841(6) | 0.0204(14) |
| C1 | 0.8059(3) | 0.5442(10) | 0.6716(7) | 0.0211(16) |
| C2 | 0.8480(3) | 0.6326(9) | 0.7211(7) | 0.0181(15) |
| C3 | 0.8417(3) | 0.7496(9) | 0.8105(7) | 0.0201(16) |
| H3 | 0.8103 | 0.7727 | 0.8385 | 0.024* |
| C4 | 0.8808(3) | 0.8329(9) | 0.8591(7) | 0.0210(16) |
| H4 | 0.8766 | 0.9135 | 0.9194 | 0.025* |
| C5 | 0.9264(3) | 0.7946(9) | 0.8168(7) | 0.0201(16) |
| C6 | 0.9336(3) | 0.6814(10) | 0.7279(7) | 0.0237(17) |
| H6 | 0.9649 | 0.6593 | 0.6991 | 0.028* |
| C7 | 0.8937(3) | 0.5996(10) | 0.6809(7) | 0.0223(17) |
| H7 | 0.8981 | 0.5197 | 0.6202 | 0.027* |
| C8 | 0.6890(3) | 0.4676(10) | 0.7344(7) | 0.0220(17) |
| H8 | 0.6867 | 0.5347 | 0.8047 | 0.026* |
| C9 | 0.6459(3) | 0.3890(10) | 0.6928(7) | 0.0219(17) |
| C10 | 0.6449(3) | 0.2686(10) | 0.6010(8) | 0.0245(17) |
| C11 | 0.5997(3) | 0.2054(11) | 0.5663(8) | 0.0290(19) |
| H11 | 0.5982 | 0.1260 | 0.5039 | 0.035* |
| C12 | 0.5576(3) | 0.2549(12) | 0.6199(9) | 0.033(2) |
| H12 | 0.5276 | 0.2095 | 0.5956 | 0.039* |
| C13 | 0.5599(3) | 0.3739(12) | 0.7113(9) | 0.033(2) |
| C14 | 0.6026(3) | 0.4388(11) | 0.7461(8) | 0.0286(19) |
| H14 | 0.6034 | 0.5193 | 0.8076 | 0.034* |
| C15 | 0.7213(3) | 0.4776(10) | 0.3651(7) | 0.0243(17) |
| H15A | 0.7473 | 0.5455 | 0.3334 | 0.029* |
| H15B | 0.7093 | 0.4099 | 0.2963 | 0.029* |
| C16 | 0.6809(3) | 0.5798(10) | 0.4116(7) | 0.0251(18) |
| C17 | 0.6908(3) | 0.7107(11) | 0.4854(8) | 0.031(2) |
| C18 | 0.6563(4) | 0.8018(11) | 0.5378(9) | 0.036(2) |
| H18 | 0.6648 | 0.8912 | 0.5869 | 0.044* |
| C19 | 0.6082(4) | 0.7614(13) | 0.5180(10) | 0.044(3) |
| H19 | 0.5835 | 0.8212 | 0.5556 | 0.053* |
| C20 | 0.5967(4) | 0.6331(13) | 0.4428(10) | 0.042(2) |
| H20 | 0.5640 | 0.6064 | 0.4274 | 0.050* |
| C21 | 0.6332(3) | 0.5423(12) | 0.3893(9) | 0.034(2) |
| H21 | 0.6251 | 0.4549 | 0.3377 | 0.041* |
| C22 | 0.7871(3) | 0.1116(9) | 0.5143(7) | 0.0210(16) |
| H22A | 0.7841 | 0.0614 | 0.5967 | 0.025* |
| H22B | 0.7718 | 0.0401 | 0.4524 | 0.025* |
| C23 | 0.8397(3) | 0.1280(9) | 0.4854(7) | 0.0206(16) |
| C24 | 0.8552(3) | 0.2190(10) | 0.3868(7) | 0.0231(17) |
| C25 | 0.9023(3) | 0.2382(11) | 0.3561(8) | 0.0278(18) |
| H25 | 0.9110 | 0.3048 | 0.2891 | 0.033* |
| C26 | 0.9369(3) | 0.1589(11) | 0.4244(8) | 0.0296(19) |
| H26 | 0.9698 | 0.1669 | 0.4032 | 0.035* |
| C27 | 0.9235(3) | 0.0675(11) | 0.5240(8) | 0.031(2) |
| H27 | 0.9475 | 0.0157 | 0.5729 | 0.038* |
| C28 | 0.8755(3) | 0.0500(10) | 0.5537(7) | 0.0245(17) |
| H28 | 0.8669 | −0.0158 | 0.6213 | 0.029* |
Source of material
All chemicals and solvents were used as purchased without purification. The melting point of the compound was measured on a Mel-Temp II digital melting point apparatus and was uncorrected. The IR spectrum was recorded using a Perkin-Elmer RX1 spectrophotometer equipped as a Nujol mull in a KBr cell from 4000 to 400 cm−1. The 1H NMR spectrum was recorded in DMSO-d6 solution on a Jeol JNM-ECA 400 MHz NMR spectrometer with chemical shifts relative to tetramethylsilane.
4-Chloro-N′-(5-chloro-2-hydroxybenzylidene)benzohydrazide was synthesized from 4-chlorobenzhydrazide (Sigma Aldrich) and 5-chlorosalicylaldehyde (Sigma Aldrich) in a 1:1 molar ratio. Di(2-fluorobenzyl)tin dichloride was synthesized by the direct reaction of 2-fluorobenzyl chloride (Merck) and metallic tin powder (Merck) in toluene according to a literature procedure [5]. Di(2-fluorobenzyl)tin dichloride (0.41 g, 1 mmol) and 4-chloro-N′-(5-chloro-2-hydroxybenzylidene)benzohydrazide (0.32 g, 1 mmol) were dissolved in methanol (25 mL) and was refluxed for 3 h. After filtration, the filtrate was evaporated slowly until colourless crystals were formed. The crystals were filtered, washed with a minimum amount of methanol and air-dried. Yield: 0.11 g (17%). M.pt: 415–417 K. IR (cm−1): 1648 (s) ν(C—O), 1605 (s) ν(C—N), 1605 (s) ν(C—N), 1078 (s) ν(C—O). 1H NMR (DMSO-d6, ppm): δ 3.03 (s, 4H, CH2), 7.01–7.26 (m, 8H, Ph-H), 7.41–7.50 (m, 4H, Ph-H), 7.70–7.98 (s, 3H, Ph-H), 8.75 (s, 1H, CH).
Experimental details
Hydrogen atoms were geometrically placed (C—H = 0.95–0.99 Å) and refined as riding with Uiso(H) = 1.2Ueq(C). Owing to poor agreement, a limited number of reflections, i.e. (7 1 1), (5 2 0), (3 1 1), (−7 1 1), (1 0 2) and (7 0 2), were omitted from the final cycles of refinement. The maximum and minimum residual electron density peaks of 1.94 and 2.34 eÅ−3, respectively, were located 0.20 and 0.80 Å from the H21 and Sn atoms, respectively.
Comment
Recent crystal structure determinations of benzyltin compounds containing Schiff base ligands related to that in the title molecule, (2-FC6H4CH2)2Sn(L1), where H2L1 is 4-chloro-N′-[(1E)-(5-chloro-2-hydroxyphenyl)methylidene] benzohydrazide, hereafter (I), have revealed the reaction of the precursor di-(substituted-benzyl)tin dichloride with 4-chloro-N′-[(1E)-(2-hydroxyphenyl)methylidene] benzohydrazide (H2L2), gave (C6H5CH2)Sn(OHCH3)(L2)Cl [6], and with 1-hydroxy-N′-[(1E)-(2-hydroxy-4-methoxyphenyl) methylidene]naphthalene-2-carbohydrazide (H2L3), yielded (4-FC6H4CH2)Sn(OH2)(L3)Cl [7], that is, X-ray crystallography indicated incomplete reaction products. The present crystal and molecular structure determination of (I) is of the anticipated product and full details are described herein.
The molecular structure of (I) is shown in the figure (50% displacement ellipsoids). The tin atom is bound by two methylene-carbon atoms of the benzyl substituents as well as the oxide-O1, phenoxide-O2 and imine-N2 donor atoms derived from the di-negative, tridentate hydrazone ligand. The Sn—O1(oxide) [2.139(5) Å] and Sn—O2(phenoxide) [2.101(5) Å] bond lengths are distinct and shorter than the Sn—N2 bond length [2.173(6) Å]. There is evidence of considerable delocalisation of π-electron density over the O1—C1—N1—N2—C8 chromophore as seen in the sequence of C1—O1 [1.293(10) Å], C1—N1 [1.321(10) Å], N1—N2 [1.383(9) Å] and C8—N2 [1.306(10) Å] bond lengths. The resultant C2NO2 donor set defines a highly distorted coordination geometry as suggested by the O1—Sn—O2 [153.5(2)°] and C15—Sn—C22 [131.8(3)°] bond angles. The tridentate mode of coordination of the Schiff base di-anion gives rise to five- and six-membered chelate rings. The angles subtended by these are acute, i.e. O1—Sn—N2 = 72.6(2)° and O2—Sn—N2 = 82.6(2)°, and contribute to the distortion of the coordination geometry. Five-coordinate geometries may be quantified by the value of τ, which is 0.0 for an ideal square-pyramidal coordination geometry and 1.0 for an ideal trigonal-bipyramidal geometry [8]. In the present case, the value of τ computes to 0.36 indicating a highly distorted geometry with a tendency towards square-pyramidal. As indicated above, there are five- and six-membered chelate rings in the molecule. The former is strictly planar with a r.m.s. deviation of 0.0176 Å for the fitted atoms. By contrast, the six-membered in non-planar and is best described as an envelope with with flap atom, Sn, lying 0.58(1) Å above the plane defined by the remaining five atoms [r.m.s. deviation = 0.0477 Å]. The dihedral angle between the best planes through the chelate rings is 8.9(5)° and the dihedral angle between the peripheral phenyl rings of 9.7(5)° suggest that, to a first approximation, the Schiff base di-anion is planar. One of the benzyl-phenyl rings (C16—C21) is folded over the Schiff base di-anion whereas the other (C23—C28) is orientated away from the molecule with the dihedral angle between it and the five-membered ring being 73.73(18)°, indicative of an orthogonal relationship. The aforementioned (C16—C21) ring is orientated to lie over the fused-ring system (C9—C14) with an inter-centroid distance of 3.809(5) Å and angle of inclination of 9.6(4)°.
In the absence of conventional hydrogen bonding interactions, the molecular packing in the crystal of (I) is sustained by weak non-covalent interactions. Thus, methylene-C—H⋯N(imine) interactions [C22—H22b⋯N1i: H22b⋯N1i = 2.42 Å, C22⋯N1i = 3.295(10) Å with angle at H22b = 147° for symmetry operation (i) x, 1/2 − y, −1/2 + z] lead to a supramolecular zig-zag chain along the c-axis direction. The chains are linked into a supramolecular layer in the bc-plane by a combination of π⋯π interactions, between chlorophenyl and benzyl rings [inter-centroid Cg(C2—C7)⋯Cg(C23—C28)ii distance = 3.632(5) Å and angle of inclination = 8.9(4)° for (ii) x, 1 + y, z], benzyl-phenyl-C—H⋯π(chlorophenyl) [C28—H28⋯Cg(C2—C7)iii: H28⋯Cg(C2—C7)iii = 2.83 Å, C28⋯Cg(C2—C7)iii = 3.673(9) Å with angle at H28 = 148° for (iii) x, −1 + y, z] and parallel benzyl-F⋯π(chelate ring) interactions [C24—F2⋯Cg(Sn,O1,N1,N2,C1)i = 3.262(5) Å with angle at F2 = 105.6(4)°]. The ability of chelate rings to participate in such interactions, analogous to organic π-systems, is increasingly being recognised as important in supramolecular chemistry [9]. The chloro substituents lie to either side of each layer; layers stack along the a-axis direction. The closest interactions in the inter-layer regions are Cl⋯Cl [C5—Cl1⋯Cl1iii = 3.395(3) Å with angle at Cl1 = 147.7(3) for (iii) 2 − x, 2 − y, 2 − z] halogen bonding [10] on one side of the layer and weak fused-ring-C—H⋯Cl(chlorophenyl) interactions on the other side of the layer [C13—Cl2⋯H12iv: Cl2⋯H12iv = 2.86 Å, C13⋯H12iv = 3.44(1) Å with angle at Cl2 = 120° for (iv) 1 − x, −1/2 + y, 3/2 − z].
A further analysis of the molecular packing was conducted by calculating the percentage contributions of the different contacts to the Hirshfeld surfaces as well as the overall and delineated two-dimensional fingerprint plots. This was achieved using Crystal Explorer 17 [11] and standard procedures [12]. Over 75% of contacts to the Hirshfeld surface are contributed by H⋯H [35.7%], C⋯H/H⋯C [20.4%] and Cl⋯H/H⋯Cl [19.7%] contacts. Significant contacts are also due to C⋯C [4.6%], O⋯H/H⋯O [4.6%], N⋯H/H⋯N [2.8%] and Cl⋯Cl [1.2%] contacts; the remaining contacts make less than 1% contributions.
Funding source: Sunway University Sdn Bhd
Award Identifier / Grant number: STR-RCTR-RCCM-001-2019
Funding statement: Sunway University Sdn Bhd is thanked for financial support of this work through Grant no. STR-RCTR-RCCM-001-2019.
References
1. Agilent Technologies. CrysAlisPRO. Agilent Technologies, Santa Clara, CA, USA (2010).Search in Google Scholar
2. Sheldrick, G. M.: A short history of SHELX. Acta Crystallogr. A64 (2008) 112–122.10.1107/S0108767307043930Search in Google Scholar PubMed
3. Sheldrick, G. M.: Crystal structure refinement with SHELXL. Acta Crystallogr. C71 (2015) 3–8.10.1107/S2053229614024218Search in Google Scholar PubMed PubMed Central
4. Farrugia, L. J.: WinGX and ORTEP for Windows: an update. J. Appl. Crystallogr. 45 (2012) 849–854.10.1107/S0021889812029111Search in Google Scholar
5. Sisido, K.; Takeda, Y.; Kinugawa, Z.: Direct synthesis of organotin compounds I. di- and tribenzyltin chlorides. J. Am. Chem. Soc. 83 (1961) 538–541.10.1021/ja01464a008Search in Google Scholar
6. Lee, S. M.; Lo, K. M.; Tiekink, E. R. T.: Crystal structure of benzyl-chlorido-(4-chloro-N-[(2-oxidophenyl)methylidene]benzenecarbohydrazonato)-methanol-tin(IV), C22H20Cl2N2O3Sn. Z. Kristallogr. NCS 235 (2019) 121–124.10.1515/ncrs-2019-0530Search in Google Scholar
7. Lo, K. M.; Lee, S. M.; Tiekink, E. R. T.: Crystal structure of aqua-chlorido-(4-fluorobenzyl-κC)-(N′-(4-methoxy-2-oxidobenzylidene)-3-hydroxy-2-naphthohydrazidato-κ3N,O,O′)-tin(IV), C26H22ClFN2O5Sn. Z. Kristallogr. NCS 235 (2019) 155–157.10.1515/ncrs-2019-0551Search in Google Scholar
8. Addison, A. W.; Rao, T. N.; Reedijk, J.; van Rijn, J.; Verschoor, G. C.: Synthesis, structure, and spectroscopic properties of copper(II) compounds containing nitrogen–sulphur donor ligands; the crystal and molecular structure of aqua[1,7-bis(N-methylbenzimidazol-2′-yl)-2,6-dithiaheptane]-copper(II) perchlorate. J. Chem. Soc. Dalton Trans. (1984) 1349–1356.10.1039/DT9840001349Search in Google Scholar
9. Tiekink, E. R. T.: Supramolecular assembly based on “emerging” intermolecular interactions of particular interest to coordination chemists. Coord. Chem. Rev. 345 (2017) 209–228.10.1016/j.ccr.2017.01.009Search in Google Scholar
10. Cavallo, G.; Metrangolo, P.; Milani, R.; Pilati, T.; Priimagi, A.; Resnati, G.; Terraneo, G.: The halogen bond. Chem. Rev. 116 (2016) 2478–2601.10.1021/acs.chemrev.5b00484Search in Google Scholar PubMed PubMed Central
11. Turner, M. J.; McKinnon, J. J.; Wolff, S. K.; Grimwood, D. J.; Spackman, P. R.; Jayatilaka, D.; Spackman, M. A.: Crystal Explorer v17. The University of Western Australia, Australia (2017).Search in Google Scholar
12. Tan, S. L.; Jotani, M. M.; Tiekink, E. R. T.: Utilizing Hirshfeld surface calculations, non-covalent interaction (NCI) plots and the calculation of interaction energies in the analysis of molecular packing. Acta Crystallogr. E75 (2019) 308–318.10.1107/S2056989019001129Search in Google Scholar PubMed PubMed Central
©2019 See Mun Lee et al., published by De Gruyter, Berlin/Boston
This work is licensed under the Creative Commons Attribution 4.0 Public License.
Articles in the same Issue
- 10.1515/ncrs-2020-frontmatter1
- The crystal structure of 3,5-dicarboxybenzenaminium perchlorate monohydrate, C8H8ClNO9
- The crystal structure of poly[(m4-4-bromoisophthalato-κ4O: O′:O′′:O′′′)zinc(II)], C8H3BrO4Zn
- Crystal structure of (E)-2-(2-chloro-6-hydroxybenzylidene)hydrazine-1-carbothioamide, C8H8ClN3O4S
- Crystal structure of 1,1′-methylenebis(3-ethyl-1H-imidazol-3-ium) bis(hexafluorophosphate(V)), C11H18F12N4P2
- The crystal structure of hexakis(1-isopropyl-1H-imidazole-κ1N)copper(II) dichloride, C36H58Cl2CuN12
- Crystal structure of catena-poly[μ2-4,4′-bipyridine-κ2N:N′)-tetrakis(μ2-2-((3,5,6-trichloropyridin-2-yl)oxy)acetato-κ2O:O′)dicobalt(II)], C19H10Cl6CoN3O6
- Crystal structure of (E)-1-(4-(((E)-2-bromo-6-hydroxybenzylidene)amino)phenyl)ethan-1-one O-methyl oxime, C16H15BrN2O2
- Crystal structure of ethyl 2-methyl-4-(5-methylthiophen-2-yl)-5-oxo-1,4,5,6,7,8-hexahydroquinoline-3-carboxylate, C18H21NO3S
- The crystal structure of 5-bromo-2-(1-methyl-1H-tetrazol-5-yl)pyridine, C7H6BrN5
- Crystal structure of Bis(acetato-κ2O,O′)-bis[4-(dimethylamino)pyridine-κN]nickel(II), C18H26N4NiO4
- Crystal structure of (E)-3-chloro-2-(((4-chlorophenyl)imino)methyl)phenol, C13H9Cl2NO
- The co-crystal structure of (17b)-estra-1,3,5(10)-triene-3,17diol – acetamide (1/1), a Z′ = 4 structure, C20H29NO3
- Crystal structure of 3-(3-(pyridin-3-yl)ureido)benzoic acid, C13H11N3O3
- The crystal structure of 1,1′-(9-ethyl-9H-carbazole-3,6-diyl)bis(3-ethyl-1H-imidazol-3-ium) bis(hexafluorophosphate(IV)), C24H27N5F12P2
- The crystal structure of 2-bromoisophthalic acid, C8H5BrO4
- The crystal structure of 13-ethoxycarbonyl-9-methyl-4-chlor-11-thioxo-8-oxa-10,12-diazatricyclo[7.3.1.02,7]trideca-2,4,6-triene, C14H15ClN2O3S
- The crystal structure of (E)-4-((4-(diethylamino)benzylidene)amino)-N,N-diphenylaniline, C29H29N3
- Crystal structure of 2-(3-(2-(4-phenylpiperazin-1-yl)ethyl)benzyl)isoindoline-1,3-dione, C27H27N3O2
- Crystal structure of 2-ethoxy-6-((E)-((3-(((E)-3-ethoxy-2-hydroxybenzylidene)amino)-2-hydroxypropyl)iminio)methyl)phenolate, C21H26N2O5
- The crystal structure of catena-poly(μ2-4,4′-bipyridine-κ2N:N′)-tetrakis(μ2-2-((3,5,6-trichloropyridin-2-yl)oxy)acetato-κ2O:O′)dinickel(II)], C19H10Cl6N3NiO6
- Crystal structure of hexakis(μ2-azido-κ2N:N)-diazido-κ1N-tetrakis(phenanthroline-κ2N,N′)tetrazinc(II), C48H32N32Zn4
- Synthesis and crystal structure of bis{2-bromo-6-(((4-(1-(methoxyimino)ethyl)phenyl)imino)methyl)phenolato-κ2N,O}cobalt(II)–dichloromethane(1/1), C34H32Br2Cl4CoN4O4
- Crystal structure of (E)-3-chloro-2-(((4-nitrophenyl)imino)methyl)phenol, C13H9ClN2O3
- Crystal structure of aqua-bis(5-bromo-6-methyl-picolinato-κ2N,O)zinc(II) dihydrate, C14H16Br2N2O7Zn
- Crystal structure of biaqua(2,2′-bipyridine-4,4′-dicarboxylato-κ2N,N′)(pyridine-2,6-dicarboxylato-κ3O,N,O′)nickel(II) hydrate, C19H15N3NiO10
- Synthesis and crystal structure of bis(2-(((4-(1-(ethoxyimino)ethyl)phenyl)imino)methyl)-5-fluorophenolato-κ2N,O)zinc(II) - methanol (1/1), C33H32F2N4O4Zn
- Crystal structure of tetraaqua-bis(μ2-5-aminoisophthalato-κ3N:O,O′)-bis(4,4′-dipyridylsulfide-κ1N)dizinc(II), C36H34N6O12S2Ni2
- Crystal structure of (1,4,8,11-tetraazacyclotetradecane-κ4N,N′,N′′,N′′′)palladium(II) tetracyanonickelate(II), C14H24N8NiPd
- The crystal structure of 3-benzyl-1-((8-(benzyloxy)quinolin-2-yl)methyl)-1H-imidazol-3-ium hexafluorophosphate, C27H24N3OF6P
- Crystal structure of 1-(4-chloro-2-hydroxy-5-iodophenyl)ethan-1-one, C8H6ClIO2
- Crystal structure of hexaaquamagnesium(II) bis((E)-4-((4-(dimethylamino)phenyl)diazenyl)benzenesulfonate), C28H40MgN6O12S2
- Crystal structure of the coordination polymer catena-poly[(1,2-di(pyridin-4-yl)ethane-κN)-(μ2-2-nitroisophthalato-κ2O:O′)zinc(II)], C20H17N3O7Zn
- Crystal structure of catena-{[tri-aqua-di-sodium bis(2-{[n-butyl(methyl)carbamothioyl]sulfanyl}acetate)]}n, [C16H34N2Na2O7S4]n
- The crystal structure of diaqua-bis(μ2-3-((3-acetyl-5-carboxyphenyl)oxidophosphoryl)-5-carboxybenzoato-κ2O:O′)bis(5,5′-dimethyl-2,2′-bipyridine-k2N,N′)zinc(II), C56H46N4O22P2Zn2
- Crystal structure of N′,2-bis((E)-2-chloro-6-hydroxybenzylidene)hydrazine-1-carbothiohydrazide, C15H12Cl2N4O2S
- Crystal structure of 2-[(1E)-{[1,3-dihydroxy-2-(hydroxymethyl)propan-2-yl]iminiumyl}methyl]-5-(dodecyloxy)benzen-1-olate, C23H39NO5
- Crystal structure of 12-(2-hydroxybenzoyl)benzo[f]pyrido[1,2-a]indole-6,11-dione, C23H13NO4
- Crystal structure of chlorido-(4-chloro-6-(p-tolyl)pyrimidine-κ2C,N)-(triphenylphosphane-κP)palladium(II), C29H23Cl2N2PPd
- Crystal structure of catena-poly[diaqua-bis(3,4,5,6-tetrabromo-carboxybenzoato-κ1O)-(μ2-4,4′-bipyridine-κ2N:N′)cobalt(II)], C26H14Br8CoN2O10
- Crystal structure of catena-poly[dibenzyl-dichlorido-(μ2-[4,4′-bipyridine]1,1′-dioxide-κ2O:O′)tin(IV)], C24H22Cl2N2O2Sn
- Crystal structure of benzyl-chlorido-(4-chloro-N-[(2-oxidophenyl)methylidene]benzenecarbohydrazonato)-methanol-tin(IV), C22H20Cl2N2O3Sn
- Crystal structure of catena-poly[triaqua-(1,3-di(1H-imidazol-1-yl)benzene-κ2N:N′)-(3-nitrophthalato-κ1O)cobalt(II)] — water (2/3), C20H22N5O10.5Co
- Crystal structure of (3R,5R,8R,9R,10R,12R,13R,14R)-4,4,8,10,14-pentamethyl-17-((R)-2,6,6-trimethyltetrahydro-2H-pyran-2-yl)hexadecahydro-1H-cyclopenta[a]phenanthrene-3,12-diol, C30H52O3
- Crystal structure of 3-(3-(4-carboxyphenyl)ureido)pyridin-1-ium perchlorate, C26H24Cl2N6O14
- Crystal structure of 8-hydroxy-2-methylquinolin-1-ium chloride dihydrate, C10H14ClNO3
- Crystal structure of (dibenzyl sulphoxide-κO)dibromido-bis(4-bromobenzyl-κC)tin(IV), C28H26Br4OSSn
- Crystal structure of bromido-tri(4-chlorophenyl-κ1C)-(ethanol-κ1O)tin(IV) — 4,4′-dimethyl-2,2′-bipyridine (2/1), C52H48Br2Cl6N2O2Sn2
- Crystal structure of 2-butyl-6-(ethylamino)-1H-benzo[de]isoquinoline-1,3(2H)-dione, C18H20N2O2
- Crystal structure of (4-chloro-N-[(2-oxido-5-chlorophenyl)methylidene] benzene-carbohydrazonato-κ3N,O,O′)bis(2-fluorobenzyl)tin(IV), C28H20Cl2F2N2O2Sn
- Crystal structure of aqua-chlorido-(4-fluorobenzyl-κC)-(N′-(4-methoxy-2-oxidobenzylidene)-3-hydroxy-2-naphthohydrazidato-κ3N,O,O′)tin(IV), C26H22ClFN2O5Sn
- Crystal structure of catena-poly[tri(4-chlorophenyl)-(μ2-hydroxido)tin(IV)] – 2-propanol (1/1), C21H21Cl3O2Sn
- Crystal structure of bromido-dimethyl-4-tolyl-(triphenylphosphine oxide)tin(IV), C27H28BrOPSn
- Crystal structure of 2-(bis(2-hydroxyethyl)ammonio)ethane-1-sulfonate, C6H15NO5S
- Crystal structure of bis[triaqua-(μ2-1,2-di(4-pyridyl)ethylene-κ2N:N′)-(4-sulfonatobenzoato-κ2O,O′)zinc(II)], C13H15NO8SZn
- Crystal structure of 2-((2-(3-hydroxy-7-methylene-2,3-dihydro-7H-furo[3,2-g]chromen-2-yl)propan-2-yl)oxy)-6-(hydroxymethyl)tetrahydro-2H-pyran-3,4,5-triol – a marmesin derivative, C20H24O10
- Crystal structure of octa(4-chlorobenzyl)-dichlorido-bis(μ2-methanolato)-bis(μ3-oxo)-tetratin(IV), C58H54Cl10O4Sn4
- Crystal structure of iodido-triphenyl-(triphenylphosphine oxide)tin(IV), C36H30IOPSn
- Crystal structure of dichlorido-bis(4-methylphenyl-κC)-bis(triphenylarsine oxide-κO)tin(IV), C50H44As2Cl2O2Sn
- Crystal structure of 4-benzyl-1-oxo-N-phenethyl-1H-[1,4]oxazino [4,3-b]indazole-3-carboxamide, C26H21N3O3
- Crystal structure of bis{(N-[(5-chloro-2-oxidophenyl)methylidene]-2-hydroxybenzenecarbohydrazonato)-dioxo-molybdenum(VI)}(μ2-4,4′-bipyridine), C38H26Cl2Mo2N6O10
- Crystal structure of dichlorido-octamethyl-bis(μ3-oxido)-bis(μ2-2-(phenylamino)ethanolato-κ2O:O)tetratin(IV), C24H44Cl2N2O4Sn4
- The crystal structure of 1-(2-(2-(imidazo[1,5-a]pyridine-4-ium)ethoxy)ethyl)-imidazo[1,5-a]pyridine-4-ium bis(hexafluorophosphate) — acetonitrile (1/1), C18H20ON4F12P2
- Crystal structure of cyclo[tetra(μ2-cyanido)-tetracyanido-bis(1,4,7,10-tetraazacyclododecane-κ4N,N′,N′′,N′′′)dinickel(II)dipalladium(II)] hexahydrate, C24H52N16Ni2O6Pd2
- Crystal structure of (dimethyl sulfoxide)-dioxido-[2-hydroxy-N′-(4-oxo-4-phenylbutan-2-ylidene)benzohydrazidato κ3N,O,O′]molybdenum(VI), C19H20MoN2O6S
- Crystal structure of bis(acetylacetonato-κ2O,O′)-(ethanolamine-κ2N,O)copper(II), C14H25CuNO5
- Crystal structure of chlorido-diphenyl-(isopropyl(propyl)carbamodithioato-κ2S,S′)tin(IV), C19H24ClNS2Sn
- The crystal structure of bis(imidazole-1-yl)methane monohydrate, C7H10N4O
- The crystal structure of bis(4-nitroimidazole-1-1yl)methane, C7H6N6O4
- Crystal structure of di(naphthalen-2-yl)sulfane, C20H14S
- Crystal structure of 3-acetyl-6-bromo-4-hydroxy-2H-chromen-2-one, C11H7BrO4
- Crystal structure of N′2,N′6-bis((E)-1-(pyrazin-2-yl)ethylidene)pyridine-2,6-dicarbohydrazide — methanol (1/2), C21H25N9O4
- The crystal structure of 3-nitro-4-(p-tolylamino)-2H-chromen-2-one, C16H12N2O4
- The crystal structure of 1,2-bis((4-methoxyphenyl)ethynyl)benzene, C24H18O2
- Crystal structure of a low-temperature (100 K) polymorph of catena-poly[(μ2-4,4′-bipyridine-κ2N,N′)-bis(O,O′-diethyldithiophosphato-κ1S)zinc(II)], C18H28N2O4P2S4Zn
- The pseudosymmetric low temperature polymorph of catena-poly[(μ2-4,4′-bipyridyl-κN,N′)-bis(O,O′-diethyldithiophosphato-κS)-cadmium(II)], {C18H28CdN2O4P2S4}n
- Crystal structure of 3-iodophthalic acid, C8H5IO4
- The crystal structure of tert-butyl (tert-butoxy(oxo)methyl)(5-bromo-2-fluorophenyl)carbamate, C16H21BrFNO4
- The crystal structure of bis(μ2-5,7-dichloroquinolin-8-olato-κ3N,O:O)-tetrakis(5,7-dichloroquinolin-8-olato-κ2N,O)bis(methanol-κ1O)dieuropium(III) — toluene (1/1), C63H39Cl12Eu2N6O8
- Crystal structure of dichlorido-(N′-(1-(3-ethylpyrazin-2-yl)ethylidene)-4-methoxybenzohydrazide-κ3N,N′,O)cadmium(II), C16H18N4O2Cl2Cd
- A redetermination of the crystal structure of catena-poly[(bis(O,O′-isopropyl dithiophosphato-κ2S,S′)-(μ2-1,2-bis(3-pyridylmethylene)hydrazine-κ2N,N′)cadmium(II)], {C24H38CdN4O4P2S4}n
Articles in the same Issue
- 10.1515/ncrs-2020-frontmatter1
- The crystal structure of 3,5-dicarboxybenzenaminium perchlorate monohydrate, C8H8ClNO9
- The crystal structure of poly[(m4-4-bromoisophthalato-κ4O: O′:O′′:O′′′)zinc(II)], C8H3BrO4Zn
- Crystal structure of (E)-2-(2-chloro-6-hydroxybenzylidene)hydrazine-1-carbothioamide, C8H8ClN3O4S
- Crystal structure of 1,1′-methylenebis(3-ethyl-1H-imidazol-3-ium) bis(hexafluorophosphate(V)), C11H18F12N4P2
- The crystal structure of hexakis(1-isopropyl-1H-imidazole-κ1N)copper(II) dichloride, C36H58Cl2CuN12
- Crystal structure of catena-poly[μ2-4,4′-bipyridine-κ2N:N′)-tetrakis(μ2-2-((3,5,6-trichloropyridin-2-yl)oxy)acetato-κ2O:O′)dicobalt(II)], C19H10Cl6CoN3O6
- Crystal structure of (E)-1-(4-(((E)-2-bromo-6-hydroxybenzylidene)amino)phenyl)ethan-1-one O-methyl oxime, C16H15BrN2O2
- Crystal structure of ethyl 2-methyl-4-(5-methylthiophen-2-yl)-5-oxo-1,4,5,6,7,8-hexahydroquinoline-3-carboxylate, C18H21NO3S
- The crystal structure of 5-bromo-2-(1-methyl-1H-tetrazol-5-yl)pyridine, C7H6BrN5
- Crystal structure of Bis(acetato-κ2O,O′)-bis[4-(dimethylamino)pyridine-κN]nickel(II), C18H26N4NiO4
- Crystal structure of (E)-3-chloro-2-(((4-chlorophenyl)imino)methyl)phenol, C13H9Cl2NO
- The co-crystal structure of (17b)-estra-1,3,5(10)-triene-3,17diol – acetamide (1/1), a Z′ = 4 structure, C20H29NO3
- Crystal structure of 3-(3-(pyridin-3-yl)ureido)benzoic acid, C13H11N3O3
- The crystal structure of 1,1′-(9-ethyl-9H-carbazole-3,6-diyl)bis(3-ethyl-1H-imidazol-3-ium) bis(hexafluorophosphate(IV)), C24H27N5F12P2
- The crystal structure of 2-bromoisophthalic acid, C8H5BrO4
- The crystal structure of 13-ethoxycarbonyl-9-methyl-4-chlor-11-thioxo-8-oxa-10,12-diazatricyclo[7.3.1.02,7]trideca-2,4,6-triene, C14H15ClN2O3S
- The crystal structure of (E)-4-((4-(diethylamino)benzylidene)amino)-N,N-diphenylaniline, C29H29N3
- Crystal structure of 2-(3-(2-(4-phenylpiperazin-1-yl)ethyl)benzyl)isoindoline-1,3-dione, C27H27N3O2
- Crystal structure of 2-ethoxy-6-((E)-((3-(((E)-3-ethoxy-2-hydroxybenzylidene)amino)-2-hydroxypropyl)iminio)methyl)phenolate, C21H26N2O5
- The crystal structure of catena-poly(μ2-4,4′-bipyridine-κ2N:N′)-tetrakis(μ2-2-((3,5,6-trichloropyridin-2-yl)oxy)acetato-κ2O:O′)dinickel(II)], C19H10Cl6N3NiO6
- Crystal structure of hexakis(μ2-azido-κ2N:N)-diazido-κ1N-tetrakis(phenanthroline-κ2N,N′)tetrazinc(II), C48H32N32Zn4
- Synthesis and crystal structure of bis{2-bromo-6-(((4-(1-(methoxyimino)ethyl)phenyl)imino)methyl)phenolato-κ2N,O}cobalt(II)–dichloromethane(1/1), C34H32Br2Cl4CoN4O4
- Crystal structure of (E)-3-chloro-2-(((4-nitrophenyl)imino)methyl)phenol, C13H9ClN2O3
- Crystal structure of aqua-bis(5-bromo-6-methyl-picolinato-κ2N,O)zinc(II) dihydrate, C14H16Br2N2O7Zn
- Crystal structure of biaqua(2,2′-bipyridine-4,4′-dicarboxylato-κ2N,N′)(pyridine-2,6-dicarboxylato-κ3O,N,O′)nickel(II) hydrate, C19H15N3NiO10
- Synthesis and crystal structure of bis(2-(((4-(1-(ethoxyimino)ethyl)phenyl)imino)methyl)-5-fluorophenolato-κ2N,O)zinc(II) - methanol (1/1), C33H32F2N4O4Zn
- Crystal structure of tetraaqua-bis(μ2-5-aminoisophthalato-κ3N:O,O′)-bis(4,4′-dipyridylsulfide-κ1N)dizinc(II), C36H34N6O12S2Ni2
- Crystal structure of (1,4,8,11-tetraazacyclotetradecane-κ4N,N′,N′′,N′′′)palladium(II) tetracyanonickelate(II), C14H24N8NiPd
- The crystal structure of 3-benzyl-1-((8-(benzyloxy)quinolin-2-yl)methyl)-1H-imidazol-3-ium hexafluorophosphate, C27H24N3OF6P
- Crystal structure of 1-(4-chloro-2-hydroxy-5-iodophenyl)ethan-1-one, C8H6ClIO2
- Crystal structure of hexaaquamagnesium(II) bis((E)-4-((4-(dimethylamino)phenyl)diazenyl)benzenesulfonate), C28H40MgN6O12S2
- Crystal structure of the coordination polymer catena-poly[(1,2-di(pyridin-4-yl)ethane-κN)-(μ2-2-nitroisophthalato-κ2O:O′)zinc(II)], C20H17N3O7Zn
- Crystal structure of catena-{[tri-aqua-di-sodium bis(2-{[n-butyl(methyl)carbamothioyl]sulfanyl}acetate)]}n, [C16H34N2Na2O7S4]n
- The crystal structure of diaqua-bis(μ2-3-((3-acetyl-5-carboxyphenyl)oxidophosphoryl)-5-carboxybenzoato-κ2O:O′)bis(5,5′-dimethyl-2,2′-bipyridine-k2N,N′)zinc(II), C56H46N4O22P2Zn2
- Crystal structure of N′,2-bis((E)-2-chloro-6-hydroxybenzylidene)hydrazine-1-carbothiohydrazide, C15H12Cl2N4O2S
- Crystal structure of 2-[(1E)-{[1,3-dihydroxy-2-(hydroxymethyl)propan-2-yl]iminiumyl}methyl]-5-(dodecyloxy)benzen-1-olate, C23H39NO5
- Crystal structure of 12-(2-hydroxybenzoyl)benzo[f]pyrido[1,2-a]indole-6,11-dione, C23H13NO4
- Crystal structure of chlorido-(4-chloro-6-(p-tolyl)pyrimidine-κ2C,N)-(triphenylphosphane-κP)palladium(II), C29H23Cl2N2PPd
- Crystal structure of catena-poly[diaqua-bis(3,4,5,6-tetrabromo-carboxybenzoato-κ1O)-(μ2-4,4′-bipyridine-κ2N:N′)cobalt(II)], C26H14Br8CoN2O10
- Crystal structure of catena-poly[dibenzyl-dichlorido-(μ2-[4,4′-bipyridine]1,1′-dioxide-κ2O:O′)tin(IV)], C24H22Cl2N2O2Sn
- Crystal structure of benzyl-chlorido-(4-chloro-N-[(2-oxidophenyl)methylidene]benzenecarbohydrazonato)-methanol-tin(IV), C22H20Cl2N2O3Sn
- Crystal structure of catena-poly[triaqua-(1,3-di(1H-imidazol-1-yl)benzene-κ2N:N′)-(3-nitrophthalato-κ1O)cobalt(II)] — water (2/3), C20H22N5O10.5Co
- Crystal structure of (3R,5R,8R,9R,10R,12R,13R,14R)-4,4,8,10,14-pentamethyl-17-((R)-2,6,6-trimethyltetrahydro-2H-pyran-2-yl)hexadecahydro-1H-cyclopenta[a]phenanthrene-3,12-diol, C30H52O3
- Crystal structure of 3-(3-(4-carboxyphenyl)ureido)pyridin-1-ium perchlorate, C26H24Cl2N6O14
- Crystal structure of 8-hydroxy-2-methylquinolin-1-ium chloride dihydrate, C10H14ClNO3
- Crystal structure of (dibenzyl sulphoxide-κO)dibromido-bis(4-bromobenzyl-κC)tin(IV), C28H26Br4OSSn
- Crystal structure of bromido-tri(4-chlorophenyl-κ1C)-(ethanol-κ1O)tin(IV) — 4,4′-dimethyl-2,2′-bipyridine (2/1), C52H48Br2Cl6N2O2Sn2
- Crystal structure of 2-butyl-6-(ethylamino)-1H-benzo[de]isoquinoline-1,3(2H)-dione, C18H20N2O2
- Crystal structure of (4-chloro-N-[(2-oxido-5-chlorophenyl)methylidene] benzene-carbohydrazonato-κ3N,O,O′)bis(2-fluorobenzyl)tin(IV), C28H20Cl2F2N2O2Sn
- Crystal structure of aqua-chlorido-(4-fluorobenzyl-κC)-(N′-(4-methoxy-2-oxidobenzylidene)-3-hydroxy-2-naphthohydrazidato-κ3N,O,O′)tin(IV), C26H22ClFN2O5Sn
- Crystal structure of catena-poly[tri(4-chlorophenyl)-(μ2-hydroxido)tin(IV)] – 2-propanol (1/1), C21H21Cl3O2Sn
- Crystal structure of bromido-dimethyl-4-tolyl-(triphenylphosphine oxide)tin(IV), C27H28BrOPSn
- Crystal structure of 2-(bis(2-hydroxyethyl)ammonio)ethane-1-sulfonate, C6H15NO5S
- Crystal structure of bis[triaqua-(μ2-1,2-di(4-pyridyl)ethylene-κ2N:N′)-(4-sulfonatobenzoato-κ2O,O′)zinc(II)], C13H15NO8SZn
- Crystal structure of 2-((2-(3-hydroxy-7-methylene-2,3-dihydro-7H-furo[3,2-g]chromen-2-yl)propan-2-yl)oxy)-6-(hydroxymethyl)tetrahydro-2H-pyran-3,4,5-triol – a marmesin derivative, C20H24O10
- Crystal structure of octa(4-chlorobenzyl)-dichlorido-bis(μ2-methanolato)-bis(μ3-oxo)-tetratin(IV), C58H54Cl10O4Sn4
- Crystal structure of iodido-triphenyl-(triphenylphosphine oxide)tin(IV), C36H30IOPSn
- Crystal structure of dichlorido-bis(4-methylphenyl-κC)-bis(triphenylarsine oxide-κO)tin(IV), C50H44As2Cl2O2Sn
- Crystal structure of 4-benzyl-1-oxo-N-phenethyl-1H-[1,4]oxazino [4,3-b]indazole-3-carboxamide, C26H21N3O3
- Crystal structure of bis{(N-[(5-chloro-2-oxidophenyl)methylidene]-2-hydroxybenzenecarbohydrazonato)-dioxo-molybdenum(VI)}(μ2-4,4′-bipyridine), C38H26Cl2Mo2N6O10
- Crystal structure of dichlorido-octamethyl-bis(μ3-oxido)-bis(μ2-2-(phenylamino)ethanolato-κ2O:O)tetratin(IV), C24H44Cl2N2O4Sn4
- The crystal structure of 1-(2-(2-(imidazo[1,5-a]pyridine-4-ium)ethoxy)ethyl)-imidazo[1,5-a]pyridine-4-ium bis(hexafluorophosphate) — acetonitrile (1/1), C18H20ON4F12P2
- Crystal structure of cyclo[tetra(μ2-cyanido)-tetracyanido-bis(1,4,7,10-tetraazacyclododecane-κ4N,N′,N′′,N′′′)dinickel(II)dipalladium(II)] hexahydrate, C24H52N16Ni2O6Pd2
- Crystal structure of (dimethyl sulfoxide)-dioxido-[2-hydroxy-N′-(4-oxo-4-phenylbutan-2-ylidene)benzohydrazidato κ3N,O,O′]molybdenum(VI), C19H20MoN2O6S
- Crystal structure of bis(acetylacetonato-κ2O,O′)-(ethanolamine-κ2N,O)copper(II), C14H25CuNO5
- Crystal structure of chlorido-diphenyl-(isopropyl(propyl)carbamodithioato-κ2S,S′)tin(IV), C19H24ClNS2Sn
- The crystal structure of bis(imidazole-1-yl)methane monohydrate, C7H10N4O
- The crystal structure of bis(4-nitroimidazole-1-1yl)methane, C7H6N6O4
- Crystal structure of di(naphthalen-2-yl)sulfane, C20H14S
- Crystal structure of 3-acetyl-6-bromo-4-hydroxy-2H-chromen-2-one, C11H7BrO4
- Crystal structure of N′2,N′6-bis((E)-1-(pyrazin-2-yl)ethylidene)pyridine-2,6-dicarbohydrazide — methanol (1/2), C21H25N9O4
- The crystal structure of 3-nitro-4-(p-tolylamino)-2H-chromen-2-one, C16H12N2O4
- The crystal structure of 1,2-bis((4-methoxyphenyl)ethynyl)benzene, C24H18O2
- Crystal structure of a low-temperature (100 K) polymorph of catena-poly[(μ2-4,4′-bipyridine-κ2N,N′)-bis(O,O′-diethyldithiophosphato-κ1S)zinc(II)], C18H28N2O4P2S4Zn
- The pseudosymmetric low temperature polymorph of catena-poly[(μ2-4,4′-bipyridyl-κN,N′)-bis(O,O′-diethyldithiophosphato-κS)-cadmium(II)], {C18H28CdN2O4P2S4}n
- Crystal structure of 3-iodophthalic acid, C8H5IO4
- The crystal structure of tert-butyl (tert-butoxy(oxo)methyl)(5-bromo-2-fluorophenyl)carbamate, C16H21BrFNO4
- The crystal structure of bis(μ2-5,7-dichloroquinolin-8-olato-κ3N,O:O)-tetrakis(5,7-dichloroquinolin-8-olato-κ2N,O)bis(methanol-κ1O)dieuropium(III) — toluene (1/1), C63H39Cl12Eu2N6O8
- Crystal structure of dichlorido-(N′-(1-(3-ethylpyrazin-2-yl)ethylidene)-4-methoxybenzohydrazide-κ3N,N′,O)cadmium(II), C16H18N4O2Cl2Cd
- A redetermination of the crystal structure of catena-poly[(bis(O,O′-isopropyl dithiophosphato-κ2S,S′)-(μ2-1,2-bis(3-pyridylmethylene)hydrazine-κ2N,N′)cadmium(II)], {C24H38CdN4O4P2S4}n