Home Physical Sciences Crystal structure of (E)-N′-((1,6-dihydropyren-1-yl)methylene)isonicotinohydrazide — methanol (1/1), C24H19N3O2
Article Open Access

Crystal structure of (E)-N′-((1,6-dihydropyren-1-yl)methylene)isonicotinohydrazide — methanol (1/1), C24H19N3O2

  • Lili Wang EMAIL logo
Published/Copyright: August 2, 2019

Abstract

C24H19N3O2, monoclinic, P21/c (no. 14), a = 11.0629(2) Å, b = 10.4583(2) Å, c = 16.0432(3) Å, β = 92.373(2)°, V = 1854.59(7) Å3, Z = 4, Rgt(F) = 0.0435, wRref(F2) = 0.1269, T = 116.2(3) K.

CCDC no.: 1940940

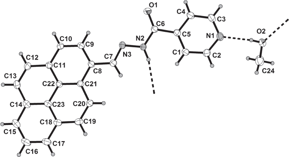
The asymmetric unit of the cocrystal title structure is shown in the figure. Table 1 contains crystallographic data and Table 2 contains the list of the atoms including atomic coordinates and displacement parameters.

Source of material

All solvents and starting materials are commercially available and used without further treatment. The target compound was facilely synthesized by one-step condensation reaction according to reference [5].

Table 1:

Data collection and handling.

Crystal:Dark yellow cube
Size:0.40 × 0.20 × 0.10 mm
Wavelength:Cu Kα radiation (1.54184 Å)
μ:0.71 mm−1
Diffractometer, scan mode:SuperNova, ω
θmax, completeness:71.6°, >99%
N(hkl)measured, N(hkl)unique, Rint:6518, 3501, 0.024
Criterion for Iobs, N(hkl)gt:Iobs > 2 σ(Iobs), 3098
N(param)refined:264
Programs:CrysAlisPRO [1], Olex2 [2], SHELX [3], [4]
Table 2:

Fractional atomic coordinates and isotropic or equivalent isotropic displacement parameters (Å2).

AtomxyzUiso*/Ueq
O10.42268(9)0.10172(9)0.69591(7)0.0324(3)
N10.01551(11)0.11005(12)0.81951(7)0.0297(3)
N20.37482(10)0.31257(11)0.68270(7)0.0238(3)
H20.32280.37160.69150.029*
N30.48052(10)0.34115(11)0.64438(7)0.0245(3)
C10.16219(12)0.26467(13)0.77868(8)0.0259(3)
H10.18510.35010.77600.031*
C20.05517(13)0.23032(14)0.81389(9)0.0286(3)
H2A0.00760.29500.83510.034*
C30.08805(13)0.01907(14)0.79100(9)0.0307(3)
H30.0634−0.06560.79540.037*
C40.19749(13)0.04323(13)0.75535(8)0.0275(3)
H40.2450−0.02370.73710.033*
C50.23513(12)0.16935(13)0.74738(8)0.0230(3)
C60.35336(12)0.19035(13)0.70646(8)0.0232(3)
C70.49086(12)0.45959(13)0.62524(8)0.0235(3)
H70.43050.51680.63910.028*
C80.59554(12)0.50589(12)0.58216(8)0.0217(3)
C90.67768(12)0.41868(12)0.54982(8)0.0241(3)
H90.66500.33150.55700.029*
C100.77645(12)0.45904(12)0.50781(8)0.0244(3)
H100.82950.39890.48710.029*
C110.79845(12)0.58999(12)0.49563(8)0.0219(3)
C120.90103(12)0.63484(14)0.45253(8)0.0259(3)
H120.95550.57580.43240.031*
C130.92043(13)0.76079(14)0.44049(8)0.0281(3)
H130.98790.78700.41220.034*
C140.83888(13)0.85459(13)0.47052(8)0.0262(3)
C150.85508(14)0.98650(14)0.45752(9)0.0325(3)
H150.92081.01480.42830.039*
C160.77467(16)1.07425(14)0.48755(10)0.0374(4)
H160.78661.16090.47780.045*
C170.67646(14)1.03539(14)0.53204(10)0.0335(3)
H170.62371.09600.55240.040*
C180.65625(13)0.90504(13)0.54649(8)0.0263(3)
C190.55628(13)0.86126(13)0.59229(9)0.0281(3)
H190.50440.92080.61480.034*
C200.53539(12)0.73495(13)0.60370(8)0.0251(3)
H200.46890.70970.63330.030*
C210.61399(12)0.63889(12)0.57105(8)0.0208(3)
C220.71619(11)0.68008(12)0.52723(8)0.0205(3)
C230.73715(12)0.81372(12)0.51454(8)0.0223(3)
O2−0.23393(9)0.05521(10)0.79425(7)0.0357(3)
H2B−0.16380.06580.81130.054*
C24−0.26909(16)0.15720(19)0.74123(12)0.0464(4)
H24A−0.21440.16310.69650.070*
H24B−0.26720.23560.77230.070*
H24C−0.34970.14240.71880.070*

Pyrene-1-carbaldehyde (1 mmol, 230 mg) was dispersed with appropriate amount of ethanol. Isonicotinohydrazide (1 mmol, 137 mg) was dissolved with appropriate amount of absolute ethanol to obtain a colorless solution. Then the two solutions were added under stirring. The stirred mixture was refluxed for 4 h to appear yellow precipitation immediately. The product was filtered, washed several times with ethanol/water (1:1) to obtain yellow powder. Yield: ca. 80%.

The yellow powder (0.05 mmol, 17.5 mg) was dissolved in methanol/dichloromethane (4:1) (10 mL) under stirring to give a pale yellow solution. This solution was filtered and evaporated slowly at room temperature. After one week, yellow cube crystals appeared. Yield: ca. 60%.

Experimental details

The H atoms were added geometrically using riding models and refined isotropically. Their Uiso values were set to 1.2Ueq of the parent C and N atoms, and 1.5Ueq of the parent O atoms.

Comment

The application of fluorescent probe technology has been widely focused on by more and more scientists in biochemistry, analytical chemistry and medicine engineering in recent years [6], [7], [8], [9]. The fluorescent probes based on pyrene derivatives have been reported [5], [10]. We herein report a new pyrene-derived compound, which has good coordination ability to transition metal and rare-earth metal ions.

The asymmetric unit of the title compound contains a neutral molecule and a methanol solvent molecule. The bond length of C7—N3 is 1.2824(18) Å, which indicate that the target compound was synthesized successfully. Methanol molecules link the adjacent molecules into a chain structure. Hydrogen bond length between N1 of pyridine ring and O2 on methanol hydroxyl group is 2.831 Å. Hydrogen bond length between N2 of imine and O2 on methanol hydroxyl group is 3.009 Å (cf. the figure).

References

1. Rigaku Oxford Diffraction: CrysAlis Pro Software system, version 1. 171. 38. 43f, Rigaku Oxford Diffraction (2015).Search in Google Scholar

2. Dolomanov, O. V.; Bourhis, L. J.; Gildea, R. J.; Howard, J. A. K.; Puschmann, H.: OLEX2: a complete structure solution, refinement and analysis program. J. Appl. Crystallogr. 42 (2009) 339–341.10.1107/S0021889808042726Search in Google Scholar

3. Sheldrick, G. M.: Crystal structure refinement with SHELXL. Acta Crystallogr. C71 (2015) 3–8.10.1107/S2053229614024218Search in Google Scholar PubMed PubMed Central

4. Sheldrick, G. M.: SHELXT-integrated space-group and crystal-structure determination. Acta Crystallogr. A71 (2015) 3–8.10.1107/S2053273314026370Search in Google Scholar PubMed PubMed Central

5. Zhou, Y.; Wang, F.; Kim, Y.; Kim, S.; Yoon, J.: Cu2+-selective ratiometric and ”off-on” sensor based on the rhodamine derivative bearing pyrene group. Org. Lett. 11 (2009) 4442–4445.10.1021/ol901804nSearch in Google Scholar PubMed

6. Mondal, S.; Manna, S. K.; Maiti, K.; Maji, R.; Ali, S. S.; Manna, S.; Mandal, S.; Uddin, M. R.; Mahapatra, A. K.: Phenanthroline-fluorescein molecular hybrid as a ratiometric and selective fluorescent chemosensor for Cu2+via FRET strategy: synthesis, computational studies and in vitro applications. Supramol. Chem. 29 (2017) 616–626.10.1080/10610278.2017.1301452Search in Google Scholar

7. Zhao, Y.; Zhang, X.-B.; Han, Z.-X.; Qiao, L.; Li, C.-Y.; Jian, L.-X.; Shen, G.-L.; Yu, R.-Q.: Highly sensitive and selective colormetric and off-on fluorescent chemosensor for Cu2+ in aqueous solution and living cells. Anal. Chem. 81 (2009) 7022–7030.10.1021/ac901127nSearch in Google Scholar PubMed

8. Yang, Y.; Zhao, Q.; Feng, W.; Li, F.: Luminescent chemodosimeters for bioimaging. Chem. Rev. 113 (2013) 192–270.10.1021/cr2004103Search in Google Scholar PubMed

9. Huang, H.; Zhang, P.; Chen, H.; Ji, L.; Chao, H.: Comparison between polypyridyl and cyclometalated ruthenium(II) complexes: anticancer activities against 2D and 3D cancer models. Chem. Eur. J. 21 (2015) 715–725.10.1002/chem.201404922Search in Google Scholar PubMed

10. Manandhar, E.; Broome, J. H.; Myrick, J.; Lagrone, W.; Cragg, P. J.; Wallace, K. J.: A pyrene-based fluorescent sensor for Zn2+ ions: a molecular ’butterfly’. Chem. Commun. 47 (2011) 8796–8798.10.1039/c1cc13286eSearch in Google Scholar PubMed

Received: 2019-05-26
Accepted: 2019-07-16
Published Online: 2019-08-02
Published in Print: 2019-11-26

©2019 Lili Wang, published by De Gruyter, Berlin/Boston

This work is licensed under the Creative Commons Attribution 4.0 Public License.

Articles in the same Issue

  1. Frontmatter
  2. Crystal structure of [aqua[2,2′-(1,2-phenylene)bis(1H-imidazole-4-carboxylato-5-carboxy)-κ4N3,N3,O4,O4] zinc(II)] monohydrate, C16H10N4O9Zn⋅H2O
  3. Crystal structure of ethyl 3-(4-methoxyphenyl)-5-methylcarbamoyl-1H-pyrazole-4-carboxylate, C15H17N3O4
  4. 7-(4-Fluorobenzylidene)-3-(4-fluorophenyl)-N-phenyl-3,3a,4,5,6,7-hexahydro-2H-indazole-2-carbothioamide–dimethylformamide (2/1), C27H23F2N3S, 0.5(C3H7NO)
  5. Crystal structure of 4,4′-(hydrazonomethylene)diphenol dihydrate, C13H16N2O4
  6. Crystal structure of 4-methoxyphenyl-3-phenylpropiolate, C16H12O3
  7. Crystal Structure of tris(tetrakis{1-vinyl-1H-imidazole-κN}copper(II)) bis[tri-μ2-bromido-tetrabromido-bis(1-vinyl-1H-imidazole-κN)tetracopper(I)], C80H96N32Cu11Br14
  8. Crystal structure of (E)-2-(3,6-bis(diethylamino)-9H-xanthen-9-yl)-N′-(quinoxalin-2-ylmethylene)benzohydrazide, C37H36N6O2
  9. Crystal structure of 4-(1-phenylimidazo[1,5-a]pyridin-3-yl)benzoic acid (C20H14N2O2)
  10. Crystal structure of 3-fluoro-3-methyl-1-((2-nitrophenyl)sulfonyl)-5,5-diphenylpiperidine, C24H23FN2O4S
  11. Crystal structure of dimethyl 3,12-dibenzyl-6,10-diphenyl-3,12-diazapentacyclo [6.3.1.02.7.04.11.05.9]-dodecane-7,11-dicarboxylate — acetone (2/1), C40H38N2O2 ⋅ 0.5C3H6O
  12. Crystal structure of poly[(μ2-2-(1H-1,2,4-triazol-1-yl)benzoato-κ4O:O′:N:N′)silver(I)] monohydrate, C9H8AgO3N3
  13. Crystal structure of poly[(μ2-9H-carbazole-3,6-dicarboxylate-κ4O1,O2:O3,O4)(μ2-1,3-di(pyridin-4-yl)propane-κ2N:N)cadmium(II)]monohydrate, C27H23N3O5Cd
  14. The synthesis and crystal structure of bis(2-(benzo[d]thiazol-2-yl)-5-methylbenzen-1-ido-κ2C,N)-(N,N′-diethyldithiocarbamato-κ2S,S′)iridium(III), C33H30N3S4Ir
  15. The crystal structure of 5-amino-1-(2,6-dichloro-4-(trifluoromethyl)phenyl)-4-(trifluoromethylsulfonyl)-1H-pyrazole-3-carboxamide, C12H6N4Cl2F6O3S
  16. Synthesis and crystal structure of poly[(μ2-nitrato-κ4O,O′:O′,O′′)-nitrato-κO-(μ2-1,4-bis((1H-imidazol-1-yl)methyl)benzene-κ2N:N′)cadmium(II)], C14H14N6O6Cd
  17. Crystal structure of ethyl (Z)-(4-oxo-4-phenylbut-2-en-2-yl)glycinate, C14H17NO3
  18. Halogen bonds in the crystal structure of 5-bromo-3,4′-bipyridine – 1,4-diiodotetrafluorobenzene (2/1), C26H14Br2F4I2N4
  19. Crystal structure of bis(2,2′-bipyridine-κ2N,N′)-tetrakis(μ2-3-(phenylsulfonamido)propanoato-κ2O:O′)-bis(3-(phenylsulfonamido)propanoato-κ2O,O′)digadolinium(III) – 2,2′-bipyridine (1/1), C84H84Gd2N12O24S6
  20. Crystal structure of poly[aqua(μ2-2-amino-1,4-benzenedisulfonato-κ2O:O′)bis(μ2-pyrazin-κ2N:N′)silver(I)], C14H16Ag2N5O8S2
  21. The crystal structure of 1,6-di-tert-butyl-1,1,3,3,4,4,6,6-octamethyl-2,2,5,5-tetrakis (trimethylsilyl)hexasilane, C28H78Si10
  22. Crystal structure of discandium triruthenium tetrasilicide, Sc2Ru3Si4
  23. Crystal structure of poly[(μ2-4-amino-1,5-naphthalenedisulfonato-κ4O,N:O′, N′)bis(μ2-hexamethylenetetramino-κ2N;N′)silver(I)], {C22H30Ag2N9O6S2}n
  24. Crystal structure of diaqua[5,5′-dicarboxy-2,2′-(propane-1,3-diyl)bis(1H-imidazole-4-carboxylato-κ4O,O′,N,N′)]zinc(II) dihydrate, C13H18N4O12Zn
  25. The crystal structure of poly [(μ3-N1,N4-bis(pyridin-3-yl)cyclohexane-1,4-dicarboxamide-κ3-O:N:N′)-(p-toluenesulfonato-κ2O,O′)silver(I)], C25H27Ag1N4O5S
  26. The crystal structure of 1,2-bis(3-bromophenoxy) ethane, C14H12Br2O2
  27. The crystal structure of 4-(pyren-1-yl)butyl-3-nitrobenzoate, C27H21NO4
  28. Crystal structure of bis[(2-(4-chlorophenyl)-5-methyl-1,3-dioxane-5-carboxylato-κ1O) (5,5,7,12,12,14-hexamethyl-1,4,8,11-tetraazacyclotetradecane-κ4N,N′,N′′,N′′′)]nickel(II), C40H60Cl2N4NiO8
  29. The crystal structure of 1,5-dinitro-2,3,4-trichlorobenzene, C6H1Cl3N2O4
  30. The crystal structure of the solid solution of 3,5-dinitropyrazole and 4-chlorine-3,5-dinitropyrazole, C3H1.24Cl0.76N4O4
  31. The cocrystal structure of 4-nitropyrazole — acetic acid (1/1), C5H7N3O4
  32. The crystal structure of propan-2-one O-(2,4,6-trinitrophenyl) oxime, C9H8N4O7
  33. The crystal structure of ethyl 2-(3-(2-ethoxy-2-oxoethyl)benzo[d] thiazol-2(3H)-ylidene)acetate, C15H17NO4S
  34. Crystal structure of (acetic acid-κ1O)-bis(μ2-2-chlorobenzoato-κ2O:O′)-(2-chlorobenzoato-κ1O)-(μ2-hydroxy-κ2O:O)-bis(1,10-phenanthroline-κ2N,N′)dimanganese(II) — methanol (1/1), C48H37Cl3Mn2N4O10
  35. Crystal structure of 3-methyl-2-phenyl-1,8-naphthyridine, C15H12N2
  36. Crystal structure of chlorido-(5-acetyl-2-(5-methylpyridin-2-yl)benzen-1-ido-κ2C,N)-pyridine-κN-palladium(II), C19H17ClN2OPd
  37. Crystal structure of (4-methyl-benzoato-κ2O,O′)-(5,5,7,12,12,14-hexamethyl-1,4,8,11-tetraazacyclotetradecane-κ4N,N′,N′′,N′′′)nickel(II) perchlorate monohydrate, C24H45ClN4NiO7
  38. Crystal structure of (1,4,7,10,13,16-hexaoxacyclooctadecane-κ6O6) 1,2,3,4,5-pentamethyl-cyclopenta-2,4-dien-1-yl(potassium, rubidium) — ammonia (1/2), [K0.3Rb0.7(18-crown-6)]Cp*⋅2 NH3, C22H45K0.3N2O6Rb0.7
  39. Crystal structure of (3E,5E)-1-((4-fluorophenyl)sulfonyl)-3,5-bis(3-nitrobenzylidene)piperidin-4-one — dichloromethane (2/1), C51H38Cl2F2N6O14S2
  40. Crystal structure of (E)-N′-((1,6-dihydropyren-1-yl)methylene)isonicotinohydrazide — methanol (1/1), C24H19N3O2
  41. Crystal structure of poly[aqua(μ2-2-amino-1,4-benzenedisulfonato-κ3N,O:O′)-(μ4-hexamethylenetetramino-κ4N:N′:N′′:N′′′)disilver(I)] monohydrate, C12H21Ag2N5O8S2
  42. Crystal structure of bis(acridin-10-ium) 2,5-dihydroxyterephthalate — 2,5-dihydroxyterephthalic acid (1/1), C21H15NO6
  43. The crystal structure of 1,12-diazaperylene, C18H10N2
  44. Crystal structure of 1-(5-(4-chlorophenyl)-3-(2-fluorophenyl)-4,5-dihydro-1H-pyrazol-1-yl)ethan-1-one, C17H14N2OFCl
  45. Crystal structure of (4aR,6aR,6bR,10S,12aR)-10-acetoxy-1,2,3,4, 4a,5,6,6a,6b,7,8,8a,9,10,11,12,12a, 12b,13,14b-icosahydro-2,2,4a,6b,9,9,12a-heptamethylpicene-6a-carboxylic acid, C32H50O4
  46. The crystal structure of tetrachlorido-bis{1,3-bis(2,6-diisopropylphenyl)-1H-3λ4-imidazol-2-yl}-(μ2-pyrimidine-κ2N:N′)dipalladium(IV) — dichloromethane (1/2), C60H80Cl8N6Pd2
  47. The crystal structure of (E)-4-(7-methoxy-2-oxo-2H-chromen-8-yl)-2-methylbut-2-en-1-yl 4-nitrobenzoate, C22H19NO7
  48. Crystal structure of 3-methyl-N-(pyrimidin-5-ylmethyl)pyridin-2-amine, C11H12N4
  49. The crystal structure of 2,5-dichloroterephthalic acid dihydrate, C8H8Cl2O6
  50. The crystal structure of 2,4,6-tris[4-(1H-imidazol-1-yl)phenyl]-1,3,5-triazine — dimethylformamide (1/1), C33H28N10O
  51. Crystal structure of N-(adamantan-1-yl)-5-(dimethylamino)naphthalene-1-sulfonamide, C22H28N2O2S
  52. Crystal structure of poly[diaqua-(μ4-4-(3,5-dicarboxy-κ1O-phenoxy)phthalato-κ3O:O′:O′)cadmium(II)], C16H12CdO11
  53. Crystal structure of poly[diaqua-bis(μ2-3-((1H-imidazol-1-yl)methyl)benzoato-κ2N:O)manganese(II)], C22H22MnN4O6
  54. Crystal structure of 9-(3-phenoxyphenyl)-3,4,6,7,9,10-hexahydroacridine-1,8(2H,5H)-dione, C25H23NO3
  55. The crystal structure of poly[(μ3-2,4,6-tris[4-(1H-imidazol-1-yl)phenyl]-1,3,5-triazine-k3N:N′:N′′)-(nitrato-k2O,O)-(nitrato-k1O)zinc(II)] - N,N-dimethylacetamide (1/2), C38H39N13O8Zn
  56. Crystal structure of poly[(μ7-4-(3,5-dicarboxylatophenoxy)phthalato)-(1,10-phenanthroline-κ2N,N′)dizinc(II)], C28H14N2O9Zn2
  57. The crystal structure of methyl 2-(benzylamino)-5-(benzyloxy)benzoate, C22H21NO3
  58. Crystal structure of (1,4,8,11-tetraazacyclotetradecane)palladium(II) tetracyanoplatinate(II), C14H24N8PdPt
  59. Crystal structure of (pyridine-2-carboxylato-κ2N,O)-[2-(2-pyridyl)phenyl-κ2N,C1]palladium(II), C17H12N2O2Pd
  60. Crystal structure of (cyclohexane-1,4-diammonium) 4-[(4-carboxylatophenyl)disulfanyl]benzoate dimethylsulphoxide hydrate (1/1/1/1), [C6H16N2]2+[C14H8O4S2]2−⋅C2H6OS⋅H2O
  61. Crystal structure of the 2:1 co-crystal 2-[(2-carboxyphenyl)disulfanyl]benzoic acid – 3-bromobenzoic acid, 2(C14H10O4S2)⋅C7H5BrO2
  62. Crystal structure of chlorido-dimethyl-(phenylpiperazine-1-carbodithioato-κ2S,S′)tin(IV), C13H19ClN2S2Sn
  63. Crystal structure of (N-n-butyl, N-methyl-dithiocarbamato-κ2 S,S′)-chlorido-dimethyl-tin(IV), C8H18ClNS2Sn
  64. Crystal structure of (2,2′-bipyridyl)bis(4-bromobenzyl)dibromidotin(IV), C24H20Br4N2Sn
  65. Crystal structure of (2,2′-bipyridyl)bis(4-chlorobenzyl)dichloridotin(IV), C24H20Cl4N2Sn
  66. Crystal structure of N-methyl-N-phenyl(methylsulfanyl)carbothioamide, C9H11NS2
  67. Crystal structure of 4-phenylpiperazin-1-ium (4-phenylpiperazin-1-yl)carbothioylsulfanide, [C10H15N2][C11H13N2S2]
  68. Crystal structure of catena-{di-aqua-sodium [n-butyl(methyl)carbamothioyl]sulfanide}n, [C6H16NNaO2S2]n
  69. Crystal structure of (2-([1,1-bis(hydroxymethyl)-2-oxyethyl]iminomethyl)-5-(n-decyl)phenolato)-dimethyl-tin(IV), C23H39NO5Sn
  70. Crystal structure of 4-chloro-N′-[(1E)-(3-ethoxy-2-hydroxyphenyl)methylidene]benzohydrazide – a Z′ = 3 structure, C16H15ClN2O3
Downloaded on 20.1.2026 from https://www.degruyterbrill.com/document/doi/10.1515/ncrs-2019-0370/html
Scroll to top button