Abstract
The thermal-reflective coating technology can effectively realize the active cooling of asphalt pavement, thus delaying the occurrence of pavement rutting. Although solid fillers are usually used to absorb light and weaken light dazzle in traditional thermal-reflective coatings, this method makes the filler component complicated and the coatings more viscous and increases the difficulty of painting the coating material on the pavement surface. On account of all the aforementioned factors, this experimental study aims to effectively improve the performance of the thermal-reflective coating with liquid silicone rubber addition in which epoxy resin is the base material and rutile titanium dioxide is the pigment filler for the coating film. Through lab experiments, the effects of the proper liquid silicone rubber dosage on the glossiness, cooling performance, and hardness of the thermal-reflective coating are studied and analyzed. The experimental results show that the liquid silicone is very effective for coating toughness improvement. The thermal-reflective coating, when the liquid silicone rubber dosage changes from 10 to 14 wt%, exhibits a matt state, and its glossiness can be controlled below 30 GU, which meets the safety and antiglare requirements of traffic vehicles. It demonstrates that liquid silicone rubber can influence the viscosity of the thermal-reflective coatings, and when the liquid silicone dosage reaches 16 wt%, the viscosity of the coating increases by 7.26 wt% less than that of the solid matting filler. Liquid silicone rubber can also influence the cooling effect of the thermal-reflective coatings, with the liquid silicone rubber dosage of 16 wt%, the asphalt pavement temperature can reduce 0.5°C. Besides, liquid silicone rubber reduces the hardness of the coatings, the coating hardness is 6H when the liquid silicone rubber dosage is 0–10 wt%, and the hardness of the coating reduces to 5H when liquid silicone dosage is from 12 to 16 wt%, which meets the actual requirements. Therefore, this article recommends a 12 wt% dosage of the liquid silicone rubber to be used as a matting filler for the thermal-reflective coatings.
1 Introduction
The thermal-reflective coating is a potential cooling technology for asphalt pavement. Painting a thin layer of thermal-reflective coating on the asphalt pavement surface can effectively reduce the internal temperature and sensible heat flux of the pavement structure (1), but the glaring problem caused by thermal-reflective coatings jeopardizes driving safety seriously. To reduce the glossiness of thermal-reflective coatings, the majority of previous researchers (2,3,4,5) have used solid fillers such as diatomite, silica, and matting powder to absorb light. Generally, the solid matting filler has a small density and lightweight, so it is not easy to be infiltrated by resin when the coating material is being stirred. At the same time, the solid matting powder can greatly increase the viscosity of the coatings, which leads to some difficulties for the coating painting and brushing. The coating viscosity also influences the evenness of the property. High viscosity results in an unevenly coated surface and poor appearance. Although the addition of the thinner can reduce the viscosity of the coating material, the volatilization of the thinner not only pollutes the environment but also harms the worker’s health. In this article, liquid silicone rubber is used as a filler to lower the glossiness of heat-reflective coating. However, liquid silicone rubber and resin have different properties, and the addition of liquid silicone rubber can cause changes in other properties of the coating. To ensure that the heat-reflective coating can meet the actual application requirements, it is necessary to determine the effect of the dosage of liquid silicone rubber on the performance of the heat-reflective coating.
2 Experimental preparations for test coating materials
2.1 Raw material selection
2.1.1 Base materials and curing agent for coating film
Some high-molecular-weight polymers, such as an unsaturated polyester resin (UPR), polymethyl-methacrylate (PMMA), epoxy resin (EP), polyurethane resin (PU), waterborne epoxy resin (waterborne EP), waterborne polyurethane resin (waterborne-PU), and so on, are the primary base materials used to prepare coating films. In this article, UPR resin, EP resin, PU resin, waterborne EP resin, and waterborne PU resin were selected to choose the base material with the best performance for the coating film according to the self-built performance evaluation system. The performance evaluation experiments for the coating film primarily include pencil hardness test, adhesive cross-cut force test, water-resistance test, corrosion resistance, abrasion weight loss value test, high-temperature resistance test, low-temperature resistance test, and freeze–thaw resistance test. The testing results of the performance of the five selected resins are presented in Table 1. Figures 1–3 show some failure phenomena of the samples.
Basic characteristics for the epoxy resin
| Base material | Pencil hardness | Adhesive cross-cut force | Water proof | Corrosion resistance | Abrasion weight loss value (mg) | High-temperature resistance | Low-temperature resistance | Freeze–thaw resistance (times) |
|---|---|---|---|---|---|---|---|---|
| UPR | 5H | Grade 1 | Good | Good | 14.3 | Good | Good | 8 |
| EP | 5H | Grade 1 | Good | Good | 14.1 | Good | Good | 10 |
| PU | 3H | Grade 1 | Good | Good | 13.9 | Good | Good | 4 |
| Waterborne EP | 5H | Grade 1 | Good | Good | 15.0 | Good | Good | 1 |
| Waterborne PU | 3H | Grade 1 | Blistering | Blistering | 14.2 | Good | Good | 1 |
Note: The adhesion cross-cut test results are divided into six grades (from grade 0 to grade 5). The adhesion cross-cut force of grade 0 is the strongest, and grade 5 is the weakest.

Blistering on waterborne EP sample after one freeze–thaw cycle.

Fragmentation of waterborne PU paint sample after one freeze–thaw cycle.

Peeling and blistering of waterborne PU paint sample in the corrosion resistance test.
By comparing the test results, the EP resin with excellent performance was selected as the base material for the coating film because of its high adhesion and strong mechanical properties, and the property parameters of the EP resin are presented in Table 2.
Main characteristics of the EP resin
| Type of resin | Epoxide equivalent (g/eq) | Viscosity (mPa s) | Density (g/mL) at 25℃ | Appearance |
|---|---|---|---|---|
| EP51 | 186.2 | 12,460 | 1.36 | Pure and transparent liquid |
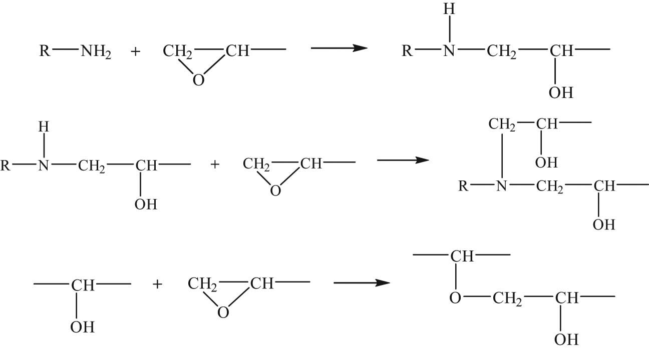
The thermal-reflective coating is directly brushed on asphalt pavement. To meet the needs of being cured at room temperature, an amine curing agent is selected as a curing agent for the coating sample preparation since an amine curing agent can meet this requirement. The main parameters for the amine curing agent CYDHD-593 provided by Suixin Chemical Co., Ltd in Shenzhen city are presented in Table 3. Figure 4 shows the curing process of the amine curing agent and epoxy resin (6).
Main characteristics of the amine curing agent
| Type of curing agent | Amine equivalent | Viscosity (mPa s) | Appearance |
|---|---|---|---|
| Amine CYDHD-593 | 47 | 118 | Colorless transparent liquid |

Curing process of epoxy resin with the amine curing agent.
2.1.2 Pigment fillers
Pigment fillers are the main materials used for the thermal-reflective coatings to achieve a cooling effect. On the basis of their functions, pigment fillers can be categorized into reflective type, heat-insulating type, and radiant type. According to the research on the cooling mechanism of thermal-reflecting coating, the absorption of visible light with 400–760 nm wavelength and near-infrared light with 760–2,500 nm wavelength is the main thermal source of the pavement. The cooling effect of the coating can be enhanced by increasing the reflectivity of the light with 400–2,500 nm wavelength. In the meantime, the cooling effect of the coating can also be effectively enhanced by increasing the refractive index of pigment filler and EP resin. Therefore, pigment filler for the coating should be selected with stable performance and high refractive index, which has a strong reflection effect on the light with 400–2,500 nm wavelength. To achieve the desired effect of the thermal-reflective coatings, the thermal-reflection type of rutile titanium dioxide is the best choice (7,8,9,10,11). In this article, rutile titanium dioxide with stable performance, good coverage, and the highest refractive index was selected as a reflection pigment filler for the sample preparation of the thermal-reflective coating. Such type of rutile titanium dioxide can also absorb a certain amount of ultraviolet light, which can effectively improve the antiultraviolet aging ability of the cured EP resin.
2.1.3 Adjuvant for the coating film preparation
Although the amount of adjuvant for the coating film is relatively small, the adjuvant can effectively improve the performance of the coatings. Adjuvant for the coating film preparation mainly includes dispersant, diluents, and anti-aging agent.
The rutile titanium dioxide used as a pigment filler is easily agglomerated in the epoxy resin during the coating preparation process. If the titanium dioxide cannot be uniformly dispersed, it not only affects the appearance and performance of the coating but also affects the cooling effect of the coating. In this article, a kind of dispersant AKN-2276 provided by Foshan Qianyou Chemical Co. Ltd was used as an adjuvant. The space shielding generated by the solvated chain of the dispersant is used to reduce the attractive forces between the titanium dioxide particles, which can help the titanium dioxide particles to be evenly dispersed in the epoxy resin.
When EP resin is cured at room temperature, the internal stress in the coating is large if the curing time is short, which affects its mechanical properties. The addition of diluent can not only adjust the curing time of the coating but also prolong its service life. Polypropylene glycol diglycidyl ether X-632 provided by Shenzhen Hongye Silicone Technology Co., Ltd was selected as a diluent for the coating film preparation. Both ends of polypropylene glycol diglycidyl ether contain epoxy groups, which can increase the toughness of the epoxy resin system.
To delay the aging process of EP resin, a kind of anti-aging agent JW-03-HH3010 provided by Golden Micro-Nano New Materials (Hangzhou) Co. Ltd was added to the coating film. Such kind of anti-aging agent has a strong ultraviolet absorption ability and weather resistance, which can effectively absorb ultraviolet light with the wavelength of 270–380 nm, delaying the degradation and the aging speed of EP resin, and consequently improve the anti-aging performance.
2.1.4 Ingredient of liquid silicone
The cured EP resin has excellent performance, but the crosslinking density is high, and the free sliding of the molecular chain is difficult, so the EP resin film is brittle and easy to fatigue and fracture under the action of external force. Therefore, when EP resin is used as the film-forming base material for road coatings, it is necessary to toughen and modify EP resin. Liquid silicone rubber is an effective toughening material for EP resin.
Liquid silicone is one kind of vulcanized rubber under high-temperature conditions, which is an elastomer after gelation (12). Liquid silicone is usually of a single-component and/or two-component type. The condensation and curing of liquid silicone with a single component mainly depends on the moisture in the air, which is highly dependent on the environmental condition. Therefore, when the coating is painted thickly, the liquid silicone rubber usually cannot be condensed completely. The liquid silicone rubber with a double component can be solidified by mixing the two components (A and B) in a predetermined proportion, which is less affected by the external environment. Therefore, liquid silicone rubber of a two-component type provided by Shenzhen Hongye Silicone Technology Co., Ltd was selected as a toughening agent to improve the brittleness of EP resin after curing in this article, in which the ratio of the A:B is 1:1. Performance parameters of the liquid silicone rubber with A and B components are presented in Table 4. Figure 5 shows the curing process of the liquid silicone rubber with A and B components.
Performance parameters of the two-component (A and B) liquid silicone rubber resin
| Mass ratio | Color | Viscosity (cP) | Stretching strength (MPa) | Tearing strength (kN/m) | Breaking elongation (%) |
|---|---|---|---|---|---|
| 1:1 | Semi-transparent | 9,000 | 7 ± 2 | 13 ± 4 | ≥300 |

Curing process of the two-component liquid silicone rubber.
2.2 Equipment for laboratory experiments
To prepare thermal-reflective coating with liquid silicone and test its relevant performance, some experimental equipment such as a low-speed mixer, shearing machine, portable viscosity cup, gloss-meter with 60° angle, and self-made laboratory equipment of cooling test were used for thermal-reflective coatings.
2.3 Preparation and production of coatings
There is a molecular chain in the silica molecule, which is staggered by Si atoms and O atoms, and the bond energy of the silica molecule is large. At the same time, the side chain of the silica molecular has inactive groups such as carbon and hydrogen groups, which almost do not react with the active hydroxyl group of the EP resin molecules, and the two groups are not compatible. That is to say, the epoxy phase of EP resin is incompatible with the silica phase. The interfacial tension between the incompatible phases is large, and the adsorption power is low. Therefore, when liquid silicone rubber is added to EP resin, such two kinds of materials cannot fuse, which affects the toughening effect of the liquid silicone rubber. A coupling agent was selected to improve the compatibility between EP resin and liquid silicone rubber. As an intermediate medium, the coupling agent KH560 provided by Nanjing Qiyu Chemical Technology Co., Ltd can reduce the interfacial tension between the epoxy phase and the silica phase to a certain extent and strengthen the mutual adsorption. The parameters of the coupling agent are presented in Table 5.
Main physical properties of the coupling agent
| Flashing point (℃) | Density (g/cm3) | Refractive index | Molecular weight (g/mol) |
|---|---|---|---|
| 110 | 1.069 | 1.427 | 236.4 |
The basic properties of coating materials vary greatly with different components. Thermal-reflective coating for performance experiment is prepared according to the following procedure:
First, weigh a certain amount of liquid silicone with components A and B and mix these two components in a ratio of 1:1 with a glass stirring rod thoroughly. Then, add a certain amount of epoxy resin into the liquid silicone mixture and stir evenly with a low-speed mixer. Finally, add rutile titanium dioxide powder into the mixture and shear for 15 min with a shearing mixer to ensure that the titanium dioxide is uniformly dispersed in the silica-epoxy resin system.
Table 6 presents the mixing proportion of the heat-reflective coating ingredients with liquid silicone rubber.
Mixing proportions of the thermal-reflective coating ingredients
| Sample number | Epoxy resin (g) | Curing agent (g) | Titanium dioxide (g) | Dispersant (g) | Diluent (g) | Coupling agent (g) | Anti-aging agent (g) | Liquid silicone (g) |
|---|---|---|---|---|---|---|---|---|
| 1 | 100 | 24 | 15 | 0.5 | 5 | 0.5 | 0.75 | 0 |
| 2 | 100 | 24 | 15 | 0.5 | 5 | 0.5 | 0.75 | 2 |
| 3 | 100 | 24 | 15 | 0.5 | 5 | 0.5 | 0.75 | 4 |
| 4 | 100 | 24 | 15 | 0.5 | 5 | 0.5 | 0.75 | 6 |
| 5 | 100 | 24 | 15 | 0.5 | 5 | 0.5 | 0.75 | 8 |
| 6 | 100 | 24 | 15 | 0.5 | 5 | 0.5 | 0.75 | 10 |
| 7 | 100 | 24 | 15 | 0.5 | 5 | 0.5 | 0.75 | 12 |
| 8 | 100 | 24 | 15 | 0.5 | 5 | 0.5 | 0.75 | 14 |
| 9 | 100 | 24 | 15 | 0.5 | 5 | 0.5 | 0.75 | 16 |
2.4 Experimental method and evaluating indexes
There is no standard method to test and evaluate the thermal reflection effect of the coatings in the laboratory. In this article, performance of the thermal reflection coating was tested and evaluated by self-made equipment.
The dispersion characteristics of solid fillers in thermal reflection coatings usually affect their basic properties. Scanning electron microscopy (SEM) is a test method to obtain the surface morphology of samples by using a high-energy electron beam to hit the samples and generate secondary electrons. It can be used to observe the morphology of the thermal-reflective coating samples and study the dispersion characteristics of solid fillers in the coating. The test instrument used in this article is JSM-IT300 scanning electron microscope, with an acceleration voltage of 0.3–30 kV and a magnification range of 5–300,000 times.
To study the influence of the liquid silicone dosage on the properties of coating materials, some laboratory experiments on the viscosity, micro-roughness, gloss, cooling performance, and hardness have been carried out under different silicone dosage from 0 to 16 g with an increment of 2 g. According to the standards of “Determination of viscosity of coatings” (China GB/T 1723-93) and “Paints and Varnishes – Determination of gloss value at 20°, 60°, and 85°” (ISO 2813-2014), a viscosity cup no. 4 and a gloss-meter with a 60° angle are selected to test the viscosity and gloss indexes of the coating mixture, respectively. To express the surface roughness of the thermal-reflective coating more intuitively, coating samples are made for the study according to the coating ratio in Table 4. After the samples are completely cured, each sample has been photographed using a digital camera that employs MATLAB software to perform image gray processing. Then, the gray image of 3D model reconstruction for each sample can be obtained by extracting the coordinates of the picture. The surface roughness value index of coating samples can be obtained by using the coordinate gray matrix of the gray image to numerally process the roughness.
According to the changing regularity of kinematic viscosity, roughness value, gloss value, temperature decreasing value, heat conductivity coefficient, hardness value, and other testing indexes, the optimal dosage of the liquid silicone rubber can be obtained to ensure the good performance of the thermal-reflective coating.
The abrasion resistance of coatings was tested according to the standard of “Determination of abrasion resistance of coatings” (China GB/T 1768-1979). First, the coating is poured into a round specimen. After curing, it is placed on a specific turntable, fixed, and then pressurized. Then, the surface of the test piece is pretreated by turning the turntable for 50 turns, and the initial weight of the specimen is weighed. Finally, in the formal test, 300 abrasion revolutions are carried out, and the specimen is weighed again after the turntable stops. The weight difference between the two times is the abrasion value of the coating.
The hardness of the coating is tested according to the standard of “Paints and Varnishes – Determination of film hardness by pencil test” (ISO 15184-2012).
The cooling effect of the thermal-reflective coating is tested by self-made equipment, as shown in Figure 6.

Lab equipment for measuring the cooling value of the thermal-reflective coating.
The test conditions and methods are formulated as follows: room temperature: 25℃, humidity: 55%, irradiation height of iodine tungsten lamp: 42 cm.
Firstly, testing samples need to be prepared. Two tinplate pieces with a dimension of 100 × 200 mm are prepared for the experiment, which is sprayed with matte black paint. After the matte black paint is cured and dries, the surface of a tinplate piece treated by matte black paint is brushed with a thermal-reflective coating layer with 0.28 mm thickness, and another black tinplate piece is used as the standard piece for the test.
Next, the testing piece and the standard piece are placed in the heat insulation tank and the iodine tungsten lamp is switched on, and let the light source irradiate on the testing piece directly.
Finally, the temperature of the testing piece and the standard piece can be recorded after 30 min when the piece temperature keeps stable, and the temperature difference is used as the cooling value.
For the hardness test of the coatings, a pencil hardness tester was used to determine the hardness of the coating. First, samples were conditioned in a box with 25°C constant temperature and 50% humidity for 24 h. Next, the carbon core of a pencil was ground into a hemispherical shape to make sure that the pencil core has no tip. Then, we hold the pencil at a 45° angle and push the pencil to slide on the coating surface five times with a distance of more than 1 cm. Finally, a magnifying lens was used to observe the scratches on the coating surface.
If the coating can withstand more than 10 scratches, scratch the coating surface continuously with a softer pencil until four to five times without scratches on the coating surface. In this case, the hardness of the pencil is equal to the hardness of the coating.
3 Results and discussion
3.1 Morphology analysis of thermal-reflective coating
The thermal-reflective coating samples prepared from the ingredients presented in Table 6 were used for scanning electron microscopy. The SEM images of sample 7 are shown in Figure 7.

SEM images with different magnification for the thermal reflective coating sample: (a) 500 times; (b) 1000 times; (c) 2000 times; (d) 5000 times.
It can be seen from the images that the titanium dioxide particles are nearly spherical, and the average particle size is about 300 nm. The titanium dioxide particles are uniformly monodispersed in the silicone–epoxy resin system, which ensures the excellent thermal reflection effect of the coating.
The surface modification of nano-TiO2 by silane coupling agent improves the lipophilicity of nano-TiO2, which is beneficial to the uniform dispersion in the resin and reduces the agglomeration of particles. When the solid ingredients are uniformly dispersed in the silicone–epoxy resin system, a strong bonding can be formed in the material, which can effectively transfer stress and absorb impact energy. Due to the addition of solid filler, the coating forms a multiphase system. When the coating is subjected to thermal stress due to friction, the solid filler can absorb part of the heat and prevent the interaction of the stress field, which improves the flexibility of epoxy resin and enhances the wear resistance of the coating.
3.2 Viscosity characteristics of coating with liquid silicone rubber
The viscosity of a liquid is the ability to hinder relative movement between molecules due to its intermolecular interactions when the liquid is flowing under an external force. The viscosity of epoxy-based coating can be adjusted by adding diluent, but the volatile diluent is harmful to human health. Therefore, the amount of diluent should be minimized on the premise of meeting the construction viscosity. Solid matting filler has an obvious thickened effect on epoxy-based coatings. When no diluent is added, pigments and fillers are severely agglomerated in the coating mixture, which leads to difficultly in stirring. Cao et al. (13) found that the viscosity of the coating mixture increased from 156.8 to 217.6 mm2/s with an increasing rate of 38.78% when the matting powder was increased from 4 to 8 wt% during the process of preparing epoxy-based heat-reflective coatings. To study the thickening effect of liquid silicone rubber on epoxy-based coatings, the flow time of nine coating mixture samples was measured by a viscosity cup no. 4, and the kinematic viscosity is converted by using Eqs. 1 and 2 according to the flow time of nine coating mixture samples. Table 7 summarizes the kinematic viscosity values of samples 1–9.
where t is the flow time of the coatings from the viscosity cup (s) and V is the kinematic viscosity of coatings (mm2/s).
Viscosity values of the prepared thermal-reflective coatings
| Sample number | 1 | 2 | 3 | 4 | 5 | 6 | 7 | 8 | 9 |
|---|---|---|---|---|---|---|---|---|---|
| Kinematic viscosity (mm2/s) | 232.7 | 233.2 | 235.1 | 236.4 | 238.2 | 241.6 | 244.9 | 247.3 | 249.6 |
It can be seen from Table 7 that the viscosity of the coating is increasing with the addition of liquid silicone. When the liquid silicone dosage changes from 0 to 16 wt%, the viscosity of the coating increases from 232.7 to 249.6 mm2/s with an increasing rate of 7.26%. Compared to common matting powders, liquid silicone has a less thickening effect on coatings. In coating mixture formulation, the thinner dosage can be reduced, so VOC emissions can be reduced to a certain extent to reduce environmental pollution.
3.3 Relationship between liquid silicone rubber dosage and gloss of the coating
The gloss of coating characterizes the ability of the coating to reflect the incident light. The higher the gloss of the coating, the stronger the ability to reflect light. Thermal-reflective coating with high gloss for asphalt pavement can usually reflect more light but may cause drivers to be in dazzled and thus increase the rate of traffic accidents. Therefore, the coating needs to be matted to ensure low gloss. Matting the coating means that the surface smoothness of the coating is destroyed, which can increase the surface micro-roughness of the coating. The surface roughness can effectively reduce the reflective ability of the coating material. Samples 1 and 6 are taken as examples for the roughness evaluation of the coating surface, and the reconstructed 3D models for samples 1 and 6 are shown in Figures 8 and 9.

3D model after reconstruction of sample no. 1.

3D model after reconstruction of sample no. 6.
After the 3D models are reconstructed, we use the coordinate gray matrix Z in the gray image to quantify the roughness, that is, the maximum value Z max of all elements in the matrix Z minus each element in the matrix Z to obtain the intermediate matrix Z′, the sum of all elements in the matrix Z′ is denoted as S, which is divided by the number of elements M in the matrix Z′, and then, parameter A = S/M can be gained. Parameter A can indicate the roughness of the coating surface, and the higher the value of A, the rougher the coating surface. The coordinate matrices of the gray images extracted from samples 1–9 are calculated, and the calculation results of surface roughness of nine samples are presented in Table 8.
Surface roughness values of the prepared thermal-reflective coatings
| Sample number | 1 | 2 | 3 | 4 | 5 | 6 | 7 | 8 | 9 |
|---|---|---|---|---|---|---|---|---|---|
| Roughness A | 2.361 | 2.642 | 2.896 | 3.125 | 3.498 | 3.602 | 3.611 | 3.614 | 3.374 |
At the same time, the gloss of the thermal-reflective coating samples is tested by a gloss meter with a 60° angle. Table 9 presents testing results of the glossiness values, and Figure 10 shows the changing curve of coating gloss and roughness value with the liquid silicone rubber dosage.
Gloss values of the prepared thermal-reflective coatings
| Sample number | 1 | 2 | 3 | 4 | 5 | 6 | 7 | 8 | 9 |
|---|---|---|---|---|---|---|---|---|---|
| Gloss values (GU) | 91 | 79 | 68 | 59 | 43 | 30 | 28 | 27 | 39 |

Coating roughness and glossiness as of silicone rubber content.
According to Table 8 and Figure 10, as the liquid silicone rubber dosage increases gradually, the surface roughness of the thermal-reflective coating increases first and then decreases. When the liquid silicone rubber gradually increases from 0 to 14 wt%, the surface roughness of thermal reflection coating increases from 2.361 to 3.614 with an increasing rate of 53.1%. However, when the amount of liquid silicone rubber dosage increases from 14 to 16 wt%, the surface roughness of thermal reflection coating decreases from 3.614 to 3.374 with a decreasing rate of 6.64%. After the addition of liquid silicone rubber, the surface roughness of the thermal-reflective coating changes because liquid silicone rubber is a kind of high-molecular-weight polymer with both organic and inorganic molecular chains. The molecular chain is composed of silicon atoms and oxygen atoms alternately (–Si–O–Si–), and the bonding energy is relatively large. At the same time, the hydrocarbon groups on the side chain or the organic groups that replace the hydrocarbon groups are inactive and they hardly react with the active groups such as epoxy group and hydroxyl group on the epoxy resin; therefore, liquid silicone is incompatible with epoxy resin. During the curing process of the silicone–epoxy resin system, the silicone phase and the epoxy phase show a separating status, which results in respective phase regions after curing. The relative ratio of the epoxy phase to the silicone phase is the main factor to determine the surface roughness of the coating. When the liquid silicone rubber dosage does not exceed 14 wt%, the epoxy phase is the main component, and the cured epoxy resin surface has a silicone phase. With the increase of liquid silicone dosage, the more granular silicone particles are separated from the cured epoxy resin surface, the more obvious the microstructure of the epoxy resin surface is, and the larger the roughness value is. When the liquid silicone dosage exceeds 14 wt%, the silicone phase is dominant. On the contrary, too much silicone phase is separated, which makes the arrangement and the distribution of silicone particles on the epoxy resin surface becoming more compact, and the roughness value on the epoxy resin surface decreases accordingly.
From Table 9 and Figure 10, it can be seen that the glossiness value of thermal-reflective coating decreases first and then increases with the increase of liquid silicone dosage. When the liquid silicone rubber dosage is 12–14 wt%, the coating glossiness reaches the minimum value of 27, which is 70.3% lower than that of the thermal reflection coating without liquid silicone. When the liquid silicone rubber increases to 16 wt%, the coating glossiness value is 39 with an increasing rate of 44.4%. Because the apparent roughness of the coating is inversely proportional to the gloss of the coating, the greater the surface roughness of the coating, the stronger the scattering ability of the coating is. Therefore, enhancing the coating surface roughness can effectively reduce its gloss. As shown in Figure 10, after the liquid silicone dosage exceeds 14 wt%, the roughness of the coating decreases, but its gloss increases. Therefore, considering both the gloss and roughness of the coating, the optimal liquid silicone can be controlled at 12–14 wt%.
3.4 Cooling performance of coating with liquid silicone rubber
The cooling performance of the thermal-reflective coating for pavement directly affects the cooling value of the internal temperature of the road. A good cooling effect can alleviate the “rutting” disease caused by the high temperature of the pavement structure. The refractive index of the pigment, the thermal conductivity of the base material, and the gloss of the coating can all affect the actual cooling effect of the heat reflective coating. The gloss of heat-reflective coatings for pavement must meet the requirements of matt, and rutile TiO2 with the highest refractive index is used as the pigment. Therefore, this article only studies the influence of the thermal conductivity of the silica–epoxy resin binary mixture on the cooling effect of the thermal reflection coating. The test samples are made according to the component of the coating material in Table 4. To eliminate the interference caused by the gloss of the coating, the sample surface needs to paint a thin layer of the coating material that has the same thickness and component as the first painting of sample 1. Table 10 summarizes the cooling values of samples 1–9.
Cooling values of road heat-reflective coatings
| Sample number | 1 | 2 | 3 | 4 | 5 | 6 | 7 | 8 | 9 |
|---|---|---|---|---|---|---|---|---|---|
| Cooling value (°C) | 12.1 | 12.2 | 12.0 | 12.1 | 11.9 | 12.0 | 11.7 | 11.6 | 11.6 |
Different liquid silicone rubber dosage results in different thermal conductivity coefficients of the silicone–epoxy binary mixture. In this article, a thermal conductivity coefficient calculation model is used to determine the thermal conductivity of the liquid silicone and epoxy resin mixture. Wang et al. (14) opined that the “serial” or “hybrid” ideal model can be used to calculate the thermal conductivity coefficient of nonaqueous mixtures. The proposed “serial” calculation model and “hybrid” calculation model are shown in Eqs. 3 and 4, respectively:
where
The high-precision “serial” model is used to calculate the thermal conductivity coefficient of the silicone–epoxy binary mixture. The thermal conductivity coefficients of the epoxy resin and liquid silicone are 0.2 and 0.27, respectively, in this experiment. The calculating results of the thermal conductivity coefficient for the silicone–epoxy binary mixture of samples 1–9 are presented in Table 11.
Thermal conductivity coefficient of the silicone–epoxy binary mixture
| Sample number | 1 | 2 | 3 | 4 | 5 | 6 | 7 | 8 | 9 |
|---|---|---|---|---|---|---|---|---|---|
| Thermal conductivity | 0.200 | 0.201 | 0.203 | 0.204 | 0.205 | 0.206 | 0.208 | 0.209 | 0.210 |
As presented in Tables 10 and 11, when the liquid silicone rubber dosage increases from 0 to 16 wt%, the cooling values of the thermal-reflective coating decrease to some extent, but on the whole, the addition of liquid silicone rubber has a little effect on the cooling effect of coating, the temperature difference between the thermal-reflective coating with 16 wt% liquid silicone rubber and that without silicone rubber is only 0.5°C, and the temperature decrement is only 4.1%. This is because the thermal conductivity coefficient of the silicone–epoxy resin binary mixture increases slightly when the liquid silicone dosage changes from 0 to 16 wt%, and the thermal conductivity coefficient of epoxy resin added with 16% liquid silicone rubber and that without liquid silicone rubber differs by 0.01, with 5% increment. Therefore, the thermal conductivity of the silicone–epoxy binary mixture increases with the liquid silicone rubber as matting filler, but the liquid silicone rubber only has a little effect on the cooling effect of the thermal-reflective coating.
3.5 Hardness characteristics of coating with liquid silicone rubber
The hardness of the coating can characterize the resistance ability of the coating to scratching. The higher the hardness, the stronger the scratch resistance. Epoxy road heat-reflective coating is directly paved on the surface of asphalt concrete pavement and withstands the rolling of vehicles and the impact of external objects. However, when the epoxy resin is damaged, its saturated water absorption increases (15), which accelerates the damage of the coating under the double effects of rainfall and heavy load.
Pencil hardness is used to characterize the hardness of coating after curing. The higher the H value, the higher the coating hardness, and the higher the B value, the softer the coating hardness. The coating hardness testing samples processed following the material composition ratio presented in Table 6 are shown in Figure 11. The hardness of samples 1–9 can be obtained according to the result of pencil scratching on the sample surface. Table 12 summarizes the hardness of samples 1–9.

Pencil hardness test samples for the thermal reflective coating.
Pencil hardness of the prepared road heat-reflective coatings
| Sample number | 1 | 2 | 3 | 4 | 5 | 6 | 7 | 8 | 9 |
|---|---|---|---|---|---|---|---|---|---|
| Hardness | 6H | 6H | 6H | 6H | 6H | 5H | 5H | 5H | 5H |
According to Table 12, the hardness of thermal-reflective coating changes in stages with the increase of the liquid silicone rubber dosage. When the liquid silicone rubber dosage is 0–10 wt%, the hardness of the coating is 6H. When the liquid silica rubber dosage increases from 12 to 16 wt%, the hardness of the coating is 5H. The reason why the hardness of the coating decreases is that the hardness of the silicone rubber after curing is less than that of the epoxy resin after curing. With the increase of liquid silicone rubber, the silicone rubber phase distributed on the surface of the coating gradually becomes a dominating phase, which leads to the decrease of the hardness of the thermal-reflective coating for pavement.
4 Conclusion
A certain amount of liquid silicone rubber as a kind of filler instead of common matting powder is added to epoxy resin, and 15% titanium dioxide is used as a pigment to form a new type of thermal reflection coating, which can effectively weaken the glossiness of the coating and improve the coating viscosity. Liquid silicone rubber has the following effects on the thermal-reflective coating:
The glossiness of the heat-reflective coating decreases first and then increases with the increase of the liquid silicone rubber dosage. When the liquid silicone rubber dosage is 10–14%, the coating shows a matt state, and the glossiness can be controlled below 30 GU, which meets the antiglare requirements for safe driving of traffic vehicles.
Liquid silicone rubber has a thickening effect on the viscosity of epoxy thermal-reflecting coating. The coating viscosity increases by 7.26% when the silicone rubber dosage reaches 16%, such a thickening effect is less than that of solid matting filler and very beneficial to the painting and brushing work of the coating for pavement. In the meantime, using liquid silicone rubber as a matting filler can reduce the addition of diluent and VOC emission.
Since liquid silicone rubber has a little effect on the thermal conductivity coefficient of the silicone–epoxy resin binary mixture, the cooling value of thermal-reflective coating with 16% liquid silicone rubber is only 0.5℃ difference, which is lower than that without liquid silicone rubber. That is to say, the effect of liquid silicone rubber on the cooling property of thermal-reflective coating is not very obvious.
The effect of liquid silicone rubber on the hardness of the coating changes in stages, and the overall changing trend is decreasing with the silicone rubber dosage increasing. When the liquid silicone rubber dosage changes from 0 to 10 wt%, the coating hardness is 6H, and when liquid silicone rubber dosage changes from 12 to 16 wt%, the coating hardness is 5H, which meets the actual needs of the thermal-reflective coating for the project application.
Considering the influence of liquid silicone rubber on the viscosity, glossiness, cooling effect, and hardness of the coating, this article recommends that 12 wt% liquid silicone rubber replacing common matting filler can be used to prepare the thermal-reflective coating for the pavement to obtain good application effect.
Acknowledgement
National Natural Science Foundation of China (51408446) and Experimental Center of Transportation College in Wuhan University of Technology is gratefully acknowledged.
-
Funding information: Financial support from the National Natural Science Foundation of China (No. 51408446).
-
Author contributions: Kaifeng Wang: study conception and design, methodology, and review; Jing Cheng: experiment plan, test operation, and writing; Yunsheng Zhu: experimental plan, experimental result analysis, and review; Xianrong Wang: data collection, original draft, and writing; Xiaowei Li: editing, data collection, and review. All authors reviewed the results and approved the final version of the manuscript.
-
Conflict of interest: The authors state no conflict of interest.
-
Data availability statement: The datasets generated and/or analyzed during the current study are available from the corresponding author on reasonable request.
References
(1) Sun B, Huang Y, Shen H, Jiang Y, Tong Y. Overview of studies on cooling performance of thermal reflection coating on asphalt pavement. Sci Technol Eng. 2021;21(9):3446–56.Search in Google Scholar
(2) Cao X, Li R, Yang X. Preparation and performance evaluation of epoxy-based heat-reflective coating for the pavement. New Chem Mater. 2016;44(12):140–3.Search in Google Scholar
(3) Li F, Zhou S, Du Y, Zhu X, Yu J, Fu K, et al. Experimental study on heat-reflective epoxy coatings containing nano-TiO2 for asphalt pavement resistance to high-temperature diseases and CO/HC emissions. J Test Eval. 2019;47(4):2765–75.10.1520/JTE20180548Search in Google Scholar
(4) Zheng M, Han L, Wang F, Mi H, Li Y, He L. Comparison and analysis on heat reflective coating for asphalt pavement based on cooling effect and anti-skid performance. Constr Build Mater. 2015;93:1197–1205.10.1016/j.conbuildmat.2015.04.043Search in Google Scholar
(5) Du Y, Shi S, Bu C, Dai H, Guo Z, Tang G. Effect of particle size distribution of calcined diatomites on the extinction performance. Particul Sci Technol. 2011;29(4):368–77.10.1080/02726351.2010.503263Search in Google Scholar
(6) Liu T, Wang N, Xu X. Curing mechanism of epoxy resin. Thermosetting Resin. 1989;2:38–48.Search in Google Scholar
(7) Chen Y, Sha A, Hu K, Liu Z, Cao S, Zhang H. Preparation and performance of pavement heat-shielding coating for Qinghai-Tibet area. Mater Rep. 2019;33(7):2319–25.10.1007/978-3-662-58970-0_2Search in Google Scholar
(8) Long J, Jiang C, Zhu J, Song Q, Hu J. Controlled TiO2 coating on hollow glass microspheres and their reflective thermal insulation properties. Particuology. 2020;49:33–9.10.1016/j.partic.2019.03.002Search in Google Scholar
(9) Cao Y, Yin Y. The effect of nano-TiO2 on the performance of the solar heat-reflective coating. Adv Mat Res. 2011;189–93:1075–9.10.4028/www.scientific.net/AMR.189-193.1075Search in Google Scholar
(10) Zhang Z, Wang K, Mo S, Li X, Cui X. Preparation and characterization of a reflective and heat insulative coating based on geopolymers. Energ Buildings. 2015;87:220–5.10.1016/j.enbuild.2014.11.028Search in Google Scholar
(11) Hu B, Liang Y, Guo L, Jiang T. Preparation and performance evaluation of epoxy-based heat reflective coating for the pavement. IOP Conf Ser Earth Environ. 2017;61(1):12–83.10.1088/1755-1315/61/1/012083Search in Google Scholar
(12) Harkous A, Gaël C, Eric L, Pierre M, Remi D. The kinetic behavior of liquid silicone rubber: a comparison between thermal and rheological approaches based on gel point determination. React Funct Polym. 2016;101:20–7.10.1016/j.reactfunctpolym.2016.01.020Search in Google Scholar
(13) Cao X, Tang B, Zhu H, Li W. Preparation and performance research of thermosetting heat-reflective coating for asphalt pavement. Adv Mat Res. 2011;150–1:44–5.10.4028/www.scientific.net/AMR.150-151.44Search in Google Scholar
(14) Wang K, Wang A, Feng R. Establishment and application of the ideal thermal conductivity model for liquid mixtures. J Xuchang Teachers College. 2011;5:28–33.Search in Google Scholar
(15) Zhai Z. Study on strengthening and aging resistance of epoxy resin matrix composites. Ph.D. Thesis. Xi’an University of Technology, China; 2018.Search in Google Scholar
© 2021 Kaifeng Wang et al., published by De Gruyter
This work is licensed under the Creative Commons Attribution 4.0 International License.
Articles in the same Issue
- Research Articles
- Research on the mechanism of gel accelerator on gel transition of PAN solution by rheology and dynamic light scattering
- Gel point determination of gellan biopolymer gel from DC electrical conductivity
- Composite of polylactic acid and microcellulose from kombucha membranes
- Synthesis of highly branched water-soluble polyester and its surface sizing agent strengthening mechanism
- Fabrication and characterization of poly(3-hydroxybutyrate-co-3-hydroxyhexanoate) modified with nano-montmorillonite biocomposite
- Fabrication of N-halamine polyurethane films with excellent antibacterial properties
- Formulation and optimization of gastroretentive bilayer tablets of calcium carbonate using D-optimal mixture design
- Sustainable nanocomposite films based on SiO2 and biodegradable poly(3-hydroxybutyrate-co-3-hydroxyhexanoate) (PHBH) for food packaging
- Evaluation of physicochemical properties of film-based alginate for food packing applications
- Electrically conductive and light-weight branched polylactic acid-based carbon nanotube foams
- Structuring of hydroxy-terminated polydimethylsiloxane filled by fumed silica
- Surface functionalization of nanostructured Cu/Ag-deposited polypropylene fiber by magnetron sputtering
- Influence of composite structure design on the ablation performance of ethylene propylene diene monomer composites
- MOFs/PVA hybrid membranes with enhanced mechanical and ion-conductive properties
- Improvement of the electromechanical properties of thermoplastic polyurethane composite by ionic liquid modified multiwall carbon nanotubes
- Natural rubber latex/MXene foam with robust and multifunctional properties
- Rheological properties of two high polymers suspended in an abrasive slurry jet
- Two-step polyaniline loading in polyelectrolyte complex membranes for improved pseudo-capacitor electrodes
- Preparation and application of carbon and hollow TiO2 microspheres by microwave heating at a low temperature
- Properties of a bovine collagen type I membrane for guided bone regeneration applications
- Fabrication and characterization of thermoresponsive composite carriers: PNIPAAm-grafted glass spheres
- Effect of talc and diatomite on compatible, morphological, and mechanical behavior of PLA/PBAT blends
- Multifunctional graphene nanofiller in flame retarded polybutadiene/chloroprene/carbon black composites
- Strain-dependent wicking behavior of cotton/lycra elastic woven fabric for sportswear
- Enhanced dielectric properties and breakdown strength of polymer/carbon nanotube composites by coating an SrTiO3 layer
- Analysis of effect of modification of silica and carbon black co-filled rubber composite on mechanical properties
- Polytriazole resins toughened by an azide-terminated polyhedral oligomeric silsesquioxane (OADTP)
- Phosphine oxide for reducing flammability of ethylene-vinyl-acetate copolymer
- Study on preparation and properties of bentonite-modified epoxy sheet molding compound
- Polyhedral oligomeric silsesquioxane (POSS)-modified phenolic resin: Synthesis and anti-oxidation properties
- Study on structure and properties of natural indigo spun-dyed viscose fiber
- Biodegradable thermoplastic copolyester elastomers: Methyl branched PBAmT
- Investigations of polyethylene of raised temperature resistance service performance using autoclave test under sour medium conditions
- Investigation of corrosion and thermal behavior of PU–PDMS-coated AISI 316L
- Modification of sodium bicarbonate and its effect on foaming behavior of polypropylene
- Effect of coupling agents on the olive pomace-filled polypropylene composite
- High strength and conductive hydrogel with fully interpenetrated structure from alginate and acrylamide
- Removal of methylene blue in water by electrospun PAN/β-CD nanofibre membrane
- Theoretical and experimental studies on the fabrication of cylindrical-electrode-assisted solution blowing spinning nanofibers
- Influence of l-quebrachitol on the properties of centrifuged natural rubber
- Ultrasonic-modified montmorillonite uniting ethylene glycol diglycidyl ether to reinforce protein-based composite films
- Experimental study on the dissolution of supercritical CO2 in PS under different agitators
- Experimental research on the performance of the thermal-reflective coatings with liquid silicone rubber for pavement applications
- Study on controlling nicotine release from snus by the SIPN membranes
- Catalase biosensor based on the PAni/cMWCNT support for peroxide sensing
- Synthesis and characterization of different soybean oil-based polyols with fatty alcohol and aromatic alcohol
- Molecularly imprinted electrospun fiber membrane for colorimetric detection of hexanoic acid
- Poly(propylene carbonate) networks with excellent properties: Terpolymerization of carbon dioxide, propylene oxide, and 4,4ʹ-(hexafluoroisopropylidene) diphthalic anhydride
- Polypropylene/graphene nanoplatelets nanocomposites with high conductivity via solid-state shear mixing
- Mechanical properties of fiber-reinforced asphalt concrete: Finite element simulation and experimental study
- Applying design of experiments (DoE) on the properties of buccal film for nicotine delivery
- Preparation and characterizations of antibacterial–antioxidant film from soy protein isolate incorporated with mangosteen peel extract
- Preparation and adsorption properties of Ni(ii) ion-imprinted polymers based on synthesized novel functional monomer
- Rare-earth doped radioluminescent hydrogel as a potential phantom material for 3D gel dosimeter
- Effects of cryogenic treatment and interface modifications of basalt fibre on the mechanical properties of hybrid fibre-reinforced composites
- Stable super-hydrophobic and comfort PDMS-coated polyester fabric
- Impact of a nanomixture of carbon black and clay on the mechanical properties of a series of irradiated natural rubber/butyl rubber blend
- Preparation and characterization of a novel composite membrane of natural silk fiber/nano-hydroxyapatite/chitosan for guided bone tissue regeneration
- Study on the thermal properties and insulation resistance of epoxy resin modified by hexagonal boron nitride
- A new method for plugging the dominant seepage channel after polymer flooding and its mechanism: Fracturing–seepage–plugging
- Analysis of the rheological property and crystallization behavior of polylactic acid (Ingeo™ Biopolymer 4032D) at different process temperatures
- Hybrid green organic/inorganic filler polypropylene composites: Morphological study and mechanical performance investigations
- In situ polymerization of PEDOT:PSS films based on EMI-TFSI and the analysis of electrochromic performance
- Effect of laser irradiation on morphology and dielectric properties of quartz fiber reinforced epoxy resin composite
- The optimization of Carreau model and rheological behavior of alumina/linear low-density polyethylene composites with different alumina content and diameter
- Properties of polyurethane foam with fourth-generation blowing agent
- Hydrophobicity and corrosion resistance of waterborne fluorinated acrylate/silica nanocomposite coatings
- Investigation on in situ silica dispersed in natural rubber latex matrix combined with spray sputtering technology
- The degradable time evaluation of degradable polymer film in agriculture based on polyethylene film experiments
- Improving mechanical and water vapor barrier properties of the parylene C film by UV-curable polyurethane acrylate coating
- Thermal conductivity of silicone elastomer with a porous alumina continuum
- Copolymerization of CO2, propylene oxide, and itaconic anhydride with double metal cyanide complex catalyst to form crosslinked polypropylene carbonate
- Combining good dispersion with tailored charge trapping in nanodielectrics by hybrid functionalization of silica
- Thermosensitive hydrogel for in situ-controlled methotrexate delivery
- Analysis of the aging mechanism and life evaluation of elastomers in simulated proton exchange membrane fuel cell environments
- The crystallization and mechanical properties of poly(4-methyl-1-pentene) hard elastic film with different melt draw ratios
- Review Articles
- Aromatic polyamide nonporous membranes for gas separation application
- Optical elements from 3D printed polymers
- Evidence for bicomponent fibers: A review
- Mapping the scientific research on the ionizing radiation impacts on polymers (1975–2019)
- Recent advances in compatibility and toughness of poly(lactic acid)/poly(butylene succinate) blends
- Topical Issue: (Micro)plastics pollution - Knowns and unknows (Guest Editor: João Pinto da Costa)
- Simple pyrolysis of polystyrene into valuable chemicals
- Topical Issue: Recent advances of chitosan- and cellulose-based materials: From production to application (Guest Editor: Marc Delgado-Aguilar)
- In situ photo-crosslinking hydrogel with rapid healing, antibacterial, and hemostatic activities
- A novel CT contrast agent for intestinal-targeted imaging through rectal administration
- Properties and applications of cellulose regenerated from cellulose/imidazolium-based ionic liquid/co-solvent solutions: A short review
- Towards the use of acrylic acid graft-copolymerized plant biofiber in sustainable fortified composites: Manufacturing and characterization
Articles in the same Issue
- Research Articles
- Research on the mechanism of gel accelerator on gel transition of PAN solution by rheology and dynamic light scattering
- Gel point determination of gellan biopolymer gel from DC electrical conductivity
- Composite of polylactic acid and microcellulose from kombucha membranes
- Synthesis of highly branched water-soluble polyester and its surface sizing agent strengthening mechanism
- Fabrication and characterization of poly(3-hydroxybutyrate-co-3-hydroxyhexanoate) modified with nano-montmorillonite biocomposite
- Fabrication of N-halamine polyurethane films with excellent antibacterial properties
- Formulation and optimization of gastroretentive bilayer tablets of calcium carbonate using D-optimal mixture design
- Sustainable nanocomposite films based on SiO2 and biodegradable poly(3-hydroxybutyrate-co-3-hydroxyhexanoate) (PHBH) for food packaging
- Evaluation of physicochemical properties of film-based alginate for food packing applications
- Electrically conductive and light-weight branched polylactic acid-based carbon nanotube foams
- Structuring of hydroxy-terminated polydimethylsiloxane filled by fumed silica
- Surface functionalization of nanostructured Cu/Ag-deposited polypropylene fiber by magnetron sputtering
- Influence of composite structure design on the ablation performance of ethylene propylene diene monomer composites
- MOFs/PVA hybrid membranes with enhanced mechanical and ion-conductive properties
- Improvement of the electromechanical properties of thermoplastic polyurethane composite by ionic liquid modified multiwall carbon nanotubes
- Natural rubber latex/MXene foam with robust and multifunctional properties
- Rheological properties of two high polymers suspended in an abrasive slurry jet
- Two-step polyaniline loading in polyelectrolyte complex membranes for improved pseudo-capacitor electrodes
- Preparation and application of carbon and hollow TiO2 microspheres by microwave heating at a low temperature
- Properties of a bovine collagen type I membrane for guided bone regeneration applications
- Fabrication and characterization of thermoresponsive composite carriers: PNIPAAm-grafted glass spheres
- Effect of talc and diatomite on compatible, morphological, and mechanical behavior of PLA/PBAT blends
- Multifunctional graphene nanofiller in flame retarded polybutadiene/chloroprene/carbon black composites
- Strain-dependent wicking behavior of cotton/lycra elastic woven fabric for sportswear
- Enhanced dielectric properties and breakdown strength of polymer/carbon nanotube composites by coating an SrTiO3 layer
- Analysis of effect of modification of silica and carbon black co-filled rubber composite on mechanical properties
- Polytriazole resins toughened by an azide-terminated polyhedral oligomeric silsesquioxane (OADTP)
- Phosphine oxide for reducing flammability of ethylene-vinyl-acetate copolymer
- Study on preparation and properties of bentonite-modified epoxy sheet molding compound
- Polyhedral oligomeric silsesquioxane (POSS)-modified phenolic resin: Synthesis and anti-oxidation properties
- Study on structure and properties of natural indigo spun-dyed viscose fiber
- Biodegradable thermoplastic copolyester elastomers: Methyl branched PBAmT
- Investigations of polyethylene of raised temperature resistance service performance using autoclave test under sour medium conditions
- Investigation of corrosion and thermal behavior of PU–PDMS-coated AISI 316L
- Modification of sodium bicarbonate and its effect on foaming behavior of polypropylene
- Effect of coupling agents on the olive pomace-filled polypropylene composite
- High strength and conductive hydrogel with fully interpenetrated structure from alginate and acrylamide
- Removal of methylene blue in water by electrospun PAN/β-CD nanofibre membrane
- Theoretical and experimental studies on the fabrication of cylindrical-electrode-assisted solution blowing spinning nanofibers
- Influence of l-quebrachitol on the properties of centrifuged natural rubber
- Ultrasonic-modified montmorillonite uniting ethylene glycol diglycidyl ether to reinforce protein-based composite films
- Experimental study on the dissolution of supercritical CO2 in PS under different agitators
- Experimental research on the performance of the thermal-reflective coatings with liquid silicone rubber for pavement applications
- Study on controlling nicotine release from snus by the SIPN membranes
- Catalase biosensor based on the PAni/cMWCNT support for peroxide sensing
- Synthesis and characterization of different soybean oil-based polyols with fatty alcohol and aromatic alcohol
- Molecularly imprinted electrospun fiber membrane for colorimetric detection of hexanoic acid
- Poly(propylene carbonate) networks with excellent properties: Terpolymerization of carbon dioxide, propylene oxide, and 4,4ʹ-(hexafluoroisopropylidene) diphthalic anhydride
- Polypropylene/graphene nanoplatelets nanocomposites with high conductivity via solid-state shear mixing
- Mechanical properties of fiber-reinforced asphalt concrete: Finite element simulation and experimental study
- Applying design of experiments (DoE) on the properties of buccal film for nicotine delivery
- Preparation and characterizations of antibacterial–antioxidant film from soy protein isolate incorporated with mangosteen peel extract
- Preparation and adsorption properties of Ni(ii) ion-imprinted polymers based on synthesized novel functional monomer
- Rare-earth doped radioluminescent hydrogel as a potential phantom material for 3D gel dosimeter
- Effects of cryogenic treatment and interface modifications of basalt fibre on the mechanical properties of hybrid fibre-reinforced composites
- Stable super-hydrophobic and comfort PDMS-coated polyester fabric
- Impact of a nanomixture of carbon black and clay on the mechanical properties of a series of irradiated natural rubber/butyl rubber blend
- Preparation and characterization of a novel composite membrane of natural silk fiber/nano-hydroxyapatite/chitosan for guided bone tissue regeneration
- Study on the thermal properties and insulation resistance of epoxy resin modified by hexagonal boron nitride
- A new method for plugging the dominant seepage channel after polymer flooding and its mechanism: Fracturing–seepage–plugging
- Analysis of the rheological property and crystallization behavior of polylactic acid (Ingeo™ Biopolymer 4032D) at different process temperatures
- Hybrid green organic/inorganic filler polypropylene composites: Morphological study and mechanical performance investigations
- In situ polymerization of PEDOT:PSS films based on EMI-TFSI and the analysis of electrochromic performance
- Effect of laser irradiation on morphology and dielectric properties of quartz fiber reinforced epoxy resin composite
- The optimization of Carreau model and rheological behavior of alumina/linear low-density polyethylene composites with different alumina content and diameter
- Properties of polyurethane foam with fourth-generation blowing agent
- Hydrophobicity and corrosion resistance of waterborne fluorinated acrylate/silica nanocomposite coatings
- Investigation on in situ silica dispersed in natural rubber latex matrix combined with spray sputtering technology
- The degradable time evaluation of degradable polymer film in agriculture based on polyethylene film experiments
- Improving mechanical and water vapor barrier properties of the parylene C film by UV-curable polyurethane acrylate coating
- Thermal conductivity of silicone elastomer with a porous alumina continuum
- Copolymerization of CO2, propylene oxide, and itaconic anhydride with double metal cyanide complex catalyst to form crosslinked polypropylene carbonate
- Combining good dispersion with tailored charge trapping in nanodielectrics by hybrid functionalization of silica
- Thermosensitive hydrogel for in situ-controlled methotrexate delivery
- Analysis of the aging mechanism and life evaluation of elastomers in simulated proton exchange membrane fuel cell environments
- The crystallization and mechanical properties of poly(4-methyl-1-pentene) hard elastic film with different melt draw ratios
- Review Articles
- Aromatic polyamide nonporous membranes for gas separation application
- Optical elements from 3D printed polymers
- Evidence for bicomponent fibers: A review
- Mapping the scientific research on the ionizing radiation impacts on polymers (1975–2019)
- Recent advances in compatibility and toughness of poly(lactic acid)/poly(butylene succinate) blends
- Topical Issue: (Micro)plastics pollution - Knowns and unknows (Guest Editor: João Pinto da Costa)
- Simple pyrolysis of polystyrene into valuable chemicals
- Topical Issue: Recent advances of chitosan- and cellulose-based materials: From production to application (Guest Editor: Marc Delgado-Aguilar)
- In situ photo-crosslinking hydrogel with rapid healing, antibacterial, and hemostatic activities
- A novel CT contrast agent for intestinal-targeted imaging through rectal administration
- Properties and applications of cellulose regenerated from cellulose/imidazolium-based ionic liquid/co-solvent solutions: A short review
- Towards the use of acrylic acid graft-copolymerized plant biofiber in sustainable fortified composites: Manufacturing and characterization