Abstract
By introducing functional fillers into the ethylene propylene diene monomer matrix, the anti-ablation, thermal insulation, and adhesive layer were prepared, respectively. We have studied the mechanical properties, ablation properties, thermal insulation properties, and bonding properties of different composite structures after design and analyzed the ceramic mechanism. The results showed that the content of ceramic fillers improved the thermal stability and ablation properties of anti-ablation layer composites. The formation of liquid structure can fill the hole defects and ablation pit. The foaming agent improved thermal insulation properties of the thermal insulation layer, and the strength of the bonding layer has been greatly improved. The design of the composite structure can not only reduce the density but also have an excellent thermal insulation effect. And as the thickness of the heat insulation layer increases, the heat blocking effect becomes more excellent.
1 Introduction
As a key part of the thermal protection system, thermal protection materials protect the internal structure from damage in extreme environments (1,2). With increasing research efforts on aerospace materials, the traditional polymer-based composite materials have poor fire resistance and flame retardancy, but the porcelain-based polymer-based composite materials have received extensive attention (3,4,5,6). At room temperature, they have the same processing performance as traditional polymer matrix composites and the excellent performance as general composites. However, in a high-temperature flame environment, a series of reactions between the polymer matrix and the added ceramic powder produce a ceramic protective layer with a self-supporting structure, which blocks the transfer of external heat inside the material and protects the internal material (7,8,9,10).
In the research of ceramizable polymer matrix composites, the research on the ceramizable polymer matrix composite materials has successively focused on the silicon-based direction (11,12,13,14). Mansouri et al. (15) prepared mica/silicone rubber composites and studied the effect of sintering temperature on the microstructure and chemical composition of the composite. The results show that the increase in temperature enables the pyrolysis products to be effectively bonded to form a continuous dense ceramic structure, and the formation of the barrier layer significantly improves the fire resistance. Yang et al. (16) prepared silicone rubber composites with different ZrC and ZrO2 contents, in which ZrO2 or ZrC forms a ceramic layer structure containing ZrO2, SiO2, and SiC on the ablated surface of the composite material, which can act as an effective oxygen and thermal barrier, while reducing internal corrosion. Rallini et al. (17) studied ethylene propylene diene monomer (EPDM)/aramid fiber ablatives as the state of elastomeric heat shielding materials (EHSMs) and used perlite as a density reducer filler-based EHSM, and compared with glass microspheres to study the thermal and ablation properties.
However, the density of composites with ceramic fillers will increase significantly, which will increase the overall weight and limit the application of composite materials in thermal protection systems (18,19). Compared with traditional thermal protection materials, the composite structure of thermal protection materials has a wider application prospect because its multi-layer structure can be designed to meet different situations.
In this article, EPDM is used as the matrix. The anti-ablation layer is added with high-temperature, medium-temperature, and low-temperature melting point ceramic fillers to prevent external heat and oxygen to a certain extent by using its high filling properties. The thermal insulation layer is added with a physical foaming agent to reduce the density and avoid the further transfer of internal heat. Then the adhesive layer is added with an adhesive as-88 for bonding with the metal. The ablation material of the composite structure was prepared by the method of integrated solidification and molding, and the relevant performance test of each functional layer was carried out.
2 Experimental
2.1 Materials
EPDM (brand 4045M, the third monomer is ethylnorbornene (ENB), the content is 7.6 wt%, and the ethylene content is 45 wt%) was supplied by Mitsui Corporation of Japan. Fumed silica with a Brunauer–Emmett–Teller surface area of 200 m2/g, zirconium dioxide (ZrO2), silicon carbide (SiC) with a particle size of 1–5 μm, kaolin with a particle size of 11 μm, zinc borate (ZB) with a particle size of 2–5 μm, and aluminum hydroxide were supplied by Shanghai Aladdin Reagent Co., Ltd. (Shanghai, China). Foaming agent was produced by Japan Matsumoto Grease Pharmaceutical Co., Ltd. Quartz powder was supplied by Yangzhou Dilan Chemical Materials Co., Ltd. Glass frits were produced by Guizhou Wylton Jinglin Electronic Material Co., Ltd. Adhesive as-88 was supplied by Shanghai Chemson Industrial Co., Ltd. Quartz fiber was produced by Hubei Feilihua Quartz Glass Company (China). Sulfur (S), paraffin oil, zinc oxide (ZnO), stearic acid (SA), tetramethylthiuram disulfide (TMTD), and benzothiazole disulfide (DM) were supplied by local companies.
2.2 Preparation of composites
First, the EPDM rubber was placed on a two-roll mill to masticate, then a variety of fillers and additives were added. Next, reducing the roll distance to 1 mm, compounds were mixed ten times until a visually good dispersion was achieved. Finally, the corresponding functional fillers were added according to each functional layer of the composite structure. After mixing, the pieces were taken out and allowed to stand for 24 h. Then, the rubber was vulcanized, in which multiple layers were superimposed and solidified in accordance with the composite structure design. The composite samples were numbered from A-1 to A-6, as shown in Table 1. The content of foaming agent in the thermal insulation layer was 6, 8, 10, and 12 phr, respectively, numbered from B-1 to B-4, other fillers include ZnO: 5 phr, SA: 2 phr, TMTD: 1.5 phr, DM: 1 phr, S: 1.5 phr, SiO2: 20 phr, and liquid paraffin: 5 phr. The content of adhesive as-88 in the bonding layer was 0, 5, 10, and 20 phr, respectively, numbered from C-1 to C-4, and other fillers were the same as the above insulation layer. The composite structure design number was from F-1 to F-4, and the preparation flow chart of the composite structure is shown in Figure 1; the specific thickness design of each layer and the physical diagram are shown in Figure 2. The composites were vulcanized at 160°C for 60 min in a heated press at a pressure of 10 MPa.
Formulation of anti-ablation layer samples
| Samples (g) | EPDM | Others | SiC | ZrO2 | Kaolin | Quartz powder | Glass frits | ZB |
|---|---|---|---|---|---|---|---|---|
| A-1 | 100 | 121 | 25 | 25 | 25 | 25 | 25 | 25 |
| A-2 | 100 | 121 | 100 | 100 | 25 | 25 | 25 | 25 |
| A-3 | 100 | 121 | 62.5 | 62.5 | 62.5 | 62.5 | 25 | 25 |
| A-4 | 100 | 121 | 25 | 25 | 100 | 100 | 25 | 25 |
| A-5 | 100 | 121 | 25 | 25 | 62.5 | 62.5 | 62.5 | 62.5 |
| A-6 | 100 | 121 | 25 | 25 | 25 | 25 | 100 | 100 |
Others include ZnO: 5 phr, SA: 2 phr, TMTD: 1.5 phr, DM: 1 phr, S: 1.5 phr, SiO2: 20 phr, Al(OH)3: 50 phr, and liquid paraffin: 40 phr.

Preparation flow chart of the composite structure.

Physical diagram of composites.
2.3 Characterizations
The apparent density of composites was measured according to Archimedes’ drainage method at room temperature. The mechanical properties of the composites were tested using universal mechanical testing machine with a loading rate of 100 mm/min. The ablation rate was measured according to oxyacetylene experiment (20). The thermal stability of composites was measured using a comprehensive thermal analyzer from NETZSCH, Germany in the nitrogen atmosphere with the heating rate of 10°C/min from room temperature up to 1,000°C. The microstructure of composites was observed by a JSM-IT300 scanning electron microscope manufactured by Japan Electronics Co., Ltd. X-Ray diffraction (XRD) was conducted by D8 Advance X-ray diffractometer produced by Bruker AXS, Germany.
3 Results and discussion
3.1 Physical, mechanical, and ablation properties
The physical, mechanical, and ablation properties of the anti-ablation layer are shown in Figure 3. It can be seen that the density of the composite material A-1 is 1.52 g/cm3, the density of the composite materials increased with increase in ceramic filler content, where A-3 reached 1.85 g/cm3. The reason is that the density of ceramic filler is higher than that of rubber matrix. The tensile strength of the composite materials is between 3.5 and 6.5 MPa. Compared with the composite material A-1, the tensile strength and elongation at break of the composite materials A-2 to A-6 have decreased to a certain extent. This can be attributed to excessive ceramic filler content which is difficult to be dispersed uniformly, resulting in filler enrichment locally that makes the structure unstable and partial slippage, which increases the possibility of forming defects, resulting in a decrease in the tensile strength of the composite materials. It can be seen that the mass ablation rate of composite materials gradually decreases with increase in ceramic filler content. The mass ablation rate of A-3 is 0.043 g/s, which decreased by 43% that of A-1. However, they increased to 0.052 g/s for A-6, but the mass ablation rate was still significantly reduced compared to that of sample A-1. This may be due to the fact that the ceramic filler reduces the specific gravity of the rubber inside the composite material, which reduces the overall mass ablation at high temperature, and the ceramic filler can produce more liquid phase structure for the connection between the rubber matrix and the fiber at high temperature, which improves the overall erosion resistance.

Physical, mechanical, and ablation properties of composites.
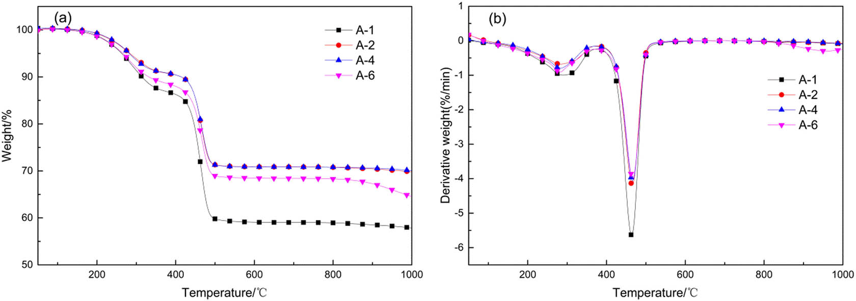
3.2 Thermal stability
Figure 4 shows the thermogravimetric (TG) and derivative thermogravimetric (DTG) curves for composites with different ceramic filler contents. Table 2 shows the thermal decomposition parameters of composites. It can be seen that composites containing ceramic filler underwent two stages of thermal decomposition process. The first stage at 200–300°C was attributed to the decomposition of aluminum hydroxide fillers and related vulcanization additives release volatile small molecules, which lead to a partial decrease in the quality of composites, and the second stage at 300–550°C was due to pyrolysis of the rubber matrix and break of molecular backbone, resulting in a significant thermal weight loss. It can be seen from Table 2 that the initial decomposition temperature has increased to a certain extent with the increased content of ceramic fillers, In particular, the initial decomposition temperature of A-4 increased by about 20°C after adding a large amount of high and medium melting point fillers, the peak cracking temperature T max1 decreased, while the peak cracking temperature T max2 increased, and the change in trend of the peak cracking temperature was basically small, the residue weight at 1,000°C increased from 58% to 70%. This was mainly attributed to ceramic fillers, which lead to a reduction in the proportion of rubber matrix inside the composite and decreased the thermal decomposition of composites. A-6 with more low melting point fillers has a smaller increase in the residual rate (21).

TG (a) and DTG (b) curves for composites.
Thermal decomposition parameters of composites
| Samples | T5 (°C) | T max1 (°C) | T max2 (°C) | Residue yield (%) |
|---|---|---|---|---|
| A-1 | 263 | 290 | 464 | 58 |
| A-2 | 281 | 283 | 465 | 70 |
| A-4 | 281 | 282 | 466 | 70 |
| A-6 | 266 | 282 | 467 | 65 |
3.3 Morphology analysis
The surface morphology of composites with different ceramic filler contents after oxygen–acetylene flame ablation is shown in Figure 5. It can be seen that the ablation property of A-1 is very poor when the content of ceramic filler is low, but with increase in ceramic filler content, the ablation property of A-2 to A-6 has increased, and the ceramic filler melts to produce liquid phase structural substances. It can reduce the depth of the ablation pit, and the melt flow can make up for part of the hole defects, improving the internal compactness of the material that can avoid the erosion of internal materials.

Surface morphology of composites.
Figure 6 shows the microscopic morphology of composite materials A-2, A-4, and A-6 after pyrolysis at 1,200°C for 20 min. In Figure 6a, it can be seen that the fiber is relatively complete in the internal shape of the composite, and a small amount of ceramic filler is attached to the surface of the fiber, which results in the ineffective combination between the fiber and the filler, resulting in more defects. As seen in Figure 6b, with the increase in the medium temperature melting point ceramic filler, the appearance of the liquid phase structure in the pyrolysis product of the composite material A-4 has a certain improvement in the interface connection between the fiber and the rubber matrix. As seen in Figure 6c, the proportion of low-melting fillers is relatively high, a continuous phase structure is formed inside, and the direct exposure of the fibers is basically not visible, and the compactness has been improved.

Scanning electron microscope images of composites: (a) A-2, (b) A-4, and (c) A-6.
3.4 XRD and ceramic mechanism
In order to analyze the phase change of composite materials after pyrolysis at high temperature, the XRD spectrum of composite A-1 after ablation at 1,200°C is shown in Figure 7. It can be seen from the figure that SiC, ZrO2, SiO2, ZnAl2O4, and MgSiO3 appeared in the main phases of A-1 after pyrolysis at 1,200°C. The formation of ZnAl2O4 (Eq. 3) is mainly produced by zinc oxide (Eq. 2) decomposed by ZB in the low-temperature melting point filler and alumina (Eq. 1) decomposed by aluminum hydroxide. The formation of MgSiO3 is mainly formed by silica and magnesium oxide in the filler (Eq. 4).

XRD spectrum of composites.
According to the aforementioned analysis, the ceramization reaction between the cracking of the composite material and the filler is explained. Aluminum hydroxide is prone to decomposition reaction to release aluminum oxide and water, which is an endothermic reaction. At the same time, ZB can also decompose zinc oxide, boron oxide, and crystal water. The formed part of the liquid phase structure can fill the pores inside the material, improve the overall density, avoid large internal defects, and also help prevent further oxidation of the internal material. With the further increase in temperature, SiC, ZrO2, SiO2, ZnAl2O4, MgSiO3, and other substances can form a eutectic, which can strengthen the matrix to a certain extent, fix the integrity of the outer structure, and resist the impact of high temperature air flow from outside.
3.5 Thermal insulation layer
The physical and mechanical and thermal insulation properties of the thermal insulation layer composites are shown in Figure 8. It can be seen from Figure 8 that the density of the prepared foam material decreased from 0.69 to 0.43 g/cm3, with the increase in the foaming agent content. It is mainly attributed to the foaming agent, which can foam during the foaming process at a certain temperature inside the composite material, the internal pressure increased, and the volume expanded continuously, resulting in a decrease in the degree of compactness of the material, and thus a decrease in the apparent density of the material. The general trend of tensile strength at a fixed elongation of 1,000% is to increase first and then decrease with the increase in the foaming agent content. When the foaming agent content is 8 phr, the tensile strength reaches 1.75 MPa. With the increased content of foaming agent, from 6 to 12 phr, the thermal conductivity of composites decreased from 0.12 to 0.09 W/mK. It can be seen that the internal pores of the foam rubber have an effective blocking effect on the heat conduction of the composites. The higher the content of the foaming agent, the better the heat insulation effect (22).

Physical, mechanical, and thermal insulation properties of composites.
3.6 Bonding layer
The physical properties and bonding properties of the bonding layer composites are shown in Figure 9. It can be seen from Figure 9 that the density of composites changes little, with basically no difference. However, the bonding strength of composites has been greatly improved. With the increased content of as-88, from 0 to 20 phr, the bonding strength of composites is increased from 0.21 to 0.64 MPa. When the content of as-88 is 20 phr, the bonding strength is increased by 212%.

Physical and mechanical properties of composites.
3.7 Composite structure design
Figure 10 shows the apparent density of ablation materials under the composite structure design. It can be seen from Figure 10 that the apparent density of the ablation material with pure outer layer structure is the highest, reaching 1.85 g/cm3. The apparent density of F-3 is the lowest, which is 0.89 g/cm3 lower than the composite material with pure outer layer structure. It shows that the density of the ablation material after adding the intermediate foam layer has been greatly reduced.

Apparent density of composites.
In order to analyze the influence of the composite structure design on the thermal insulation performance of the ablative material, an alcohol blowtorch was used as a heat source, and a temperature sensor was used to test the back temperature of the composite structure and the pure outer layer of the ablative material over time. Figure 11 shows the change curve of the backside temperature of the composites with time. It can be seen from Figure 11 that the composites of the first three composite structures have basically the same changes in the backside temperature in the first 80 s, and then the backside temperature increases rapidly with time. The backside temperature of the composite of the pure outer layer increases rapidly with time, and the overall temperature is higher than the temperature under the composite structure. After 130 s, the backside temperature of the composite reaches 136°C. However, the backside temperature of the composite F-3 at this time is 83°C, which is 39% lower than 136°C. The structure of the outermost layer can play the role of anti-ablation and loss of heat. The low density effect of the middle layer can play the role of heat insulation and reduce the temperature. The innermost layer is used for bonding with metal. It can be seen from the change of the temperature curve on the back that the design of the composite structure can significantly improve the overall thermal insulation performance of the material, and the higher the thickness of the intermediate layer, the better the thermal insulation effect of the composite.

Backside temperature of the composites.
4 Conclusions
With increase in ceramic filler content, the mechanical properties of the anti-ablation layer decrease, but the content of ceramic fillers improves the thermal stability and ablation properties of composites. The ceramic filler melts to produce liquid phase structural substances, which can make up for part of the hole defects.
The increase in foaming agent content improves thermal insulation properties of the thermal insulation layer, and the thermal conductivity of composites decreased from 0.12 to 0.09 W/mK. The internal pores of the foam rubber have an effective blocking effect on the heat conduction of the composites.
With increase in as-88 content, the bonding strength of the bonding layer composites has been greatly improved. When the content of as-88 is 20 phr, the bonding strength is increased by 212%.
Compared with the pure outer layer structure, the apparent density of the composite structure is only 0.89 g/cm3, and the back temperature of the composite structure F-3 after 130 s is only 83°C, which is lower than the pure outer layer ablation materials. The composite structure can significantly improve the overall thermal insulation performance of the material.
-
Research funding: The authors state that no funding is involved.
-
Author contributions: Jingwen Ren: writing – original draft, writing – review and editing, methodology, data curation, and formal analysis; Yan Qin: conceptualization, resources, and supervision; Zhengwei Peng: writing – original draft, data curation, and software; and Zhuangzhuang Li: writing – review and editing, methodology, and visualization.
-
Conflict of interest: The authors state no conflict of interest.
References
(1) Inoue R, Arai Y, Kubota Y, Goto K, Kogo Y. Development of short- and continuous carbon fiber-reinforced ZrB2-SiC-ZrC matrix composites for thermal protection systems. Ceram Int. 2018;44(13):15859–67. 10.1016/j.ceramint.2018.05.268.Search in Google Scholar
(2) Huang J, Li P, Yao W. Thermal protection system gap analysis using a loosely coupled fluid-structural thermal numerical method. Acta Astronaut. 2018;146:368–77. 10.1016/j.actaastro.2018.02.047.Search in Google Scholar
(3) Cárdenas MA, García-López D, Gobernado-Mitre I, Merino JC, Pastor JM, Martinez JD, et al. Mechanical and fire retardant properties of EVA/clay/ATH nanocomposites – effect of particle size and surface treatment of ATH filler. Polym Degrad Stabil. 2008;93(11):2032–7. 10.1016/j.polymdegradstab.2008.02.015.Search in Google Scholar
(4) Cárdenas MA, Basurto FC, García-López D, Merino JC, Pastor JM. Mechanical and fire retardant properties of EVA/clay/ATH nanocomposites: effect of functionalization of organoclay nanofillers. Polym Bull. 2013;70(8):2169–79. 10.1007/s00289-013-0925-0.Search in Google Scholar
(5) Guo XD, Liu XR, Zhang YZ, Liu JB, Song WY, Xu JZ, et al. Influence of platinum polyphosphazene microspheres on flame retardancy and ceramifiable properties of silicone rubber composites. Polym Mater Sci Eng. 2019;35(7):81–7. 10.16865/j.cnki.1000-7555.2019.0186.Search in Google Scholar
(6) Wu ZH, Zhou B, Fan QX, Cai YJ. Thermal degradation kinetics investigation on Nano-ZnO/IFR synergetic flame retarded polypropylene/ethylene-propylene-diene monomer composites processed via different fields. E-Polymers. 2019;19:50–60. 10.1515/epoly-2019-0007.Search in Google Scholar
(7) Natali M, Kenny JM, Torre L. Science and technology of polymeric ablative materials for thermal protection systems and propulsion devices: a review. Prog Mater Sci. 2016;84:192–275. 10.1016/j.pmatsci.2016.08.003.Search in Google Scholar
(8) Li BQ, He C, Cao M, Ren Y, Wang JS, Lu W. Highly branched phenolic resin-grafted silicone rubber copolymer for high efficiency ablation thermal protection coating. J Appl Polym Sci. 2020;137(6):48353. 10.1002/app.48353.Search in Google Scholar
(9) Koo JH, Miller MJ, Weispfenning J, Blackmon C. Silicone polymer composites for thermal protection system: fiber reinforcements and microstructures. J Compos Mater. 2011;45(13):1363–80. 10.1177/0021998310381536.Search in Google Scholar
(10) Qiao Y, Li XM, Wang SP, Gao F, He JY, Yang RJ. Effect of flame retardant and processing aid on properties of ethylene propylene diene monomer. Polym Mater Sci Eng. 2019;35(12):60–8. 10.16865/j.cnki.1000-7555.2019.0323.Search in Google Scholar
(11) Shun MW, Liu T, Ma FG. Research progress on flame retardant silicone rubber. Silicone Mater. 2014;28(4):326–33. 10.3969/j.issn.1009-4369.2014.04.037.Search in Google Scholar
(12) Song JQ, Huang ZX, Qin Y, Wang HH, Shi MX. Effects of zirconium silicide on the vulcanization, mechanical and ablation resistance properties of ceramifiable silicone rubber composites. Polymers. 2020;12(2):496. 10.3390/polym12020496.Search in Google Scholar PubMed PubMed Central
(13) Ren JW, Song JQ, Fu HD, Peng ZW, Qin Y. Preparation and properties of boron nitride/silicone rubber ceramizable composites. China Rubber Ind. 2020;67(3):163–9, CNKI:SUN:XJGY.0.2020-03-001.Search in Google Scholar
(14) Zhang GW, Wang FZ, Huang ZX, Dai J, Shi MX. Improved ablation resistance of silicone rubber composites by introducing montmorillonite and silicon carbide whisker. Materials. 2016;9(9):723. 10.3390/ma9090723.Search in Google Scholar PubMed PubMed Central
(15) Mansouri J, Burford RP, Cheng YB. Pyrolysis behaviour of silicone-based ceramifying composites. Mater Sci Eng A. 2006;425(1):7–14. 10.1016/j.msea.2006.03.047.Search in Google Scholar
(16) Yang D, Zhang W, Jiang B. Silicone rubber ablative composites improved with zirconium carbide or zirconia. Compos Part A Appl S. 2013;44:70–7. 10.1016/j.compositesa.2012.09.002.Search in Google Scholar
(17) Rallini M, Puri I, Torre L, Natali M. Thermal and ablation properties of EPDM based heat shielding materials modified with density reducer fillers. Compos Part A Appl S. 2018;112:71–80. 10.1016/j.compositesa.2018.05.031.Search in Google Scholar
(18) Anyszka R, Bieliński DM, Pędzich Z, Zarzecka-Napierala M, Imiela M, Rybinski P. Processing and properties of fire resistant EPDM rubber-based ceramifiable composites. High Temp Mater Proc. 2017;36(10):963–9. 10.1515/htmp-2016-0059.Search in Google Scholar
(19) Liu LD, Qin Y, Song JQ, Zhang GW, Huang ZX. Preparation and properties of ceramifiable ethylene propylene diene monomer rubber composites reinforced with chopped polyimide fibers. Acta Mater Compos. 2017;34(12):2800–9. 10.13801/j.cnki.fhclxb.20170310.003.Search in Google Scholar
(20) Asghar M, Iqbal N, Iqbal SS, Farooq M, Jamil T. Ablation and thermo-mechanical tailoring of EPDM rubber using carbon fibers. J Polym Eng. 2016;36(7):713–22. 10.1515/polyeng-2015-0337.Search in Google Scholar
(21) Kawaljit SR, Ashwin DP. Enhancing tribo-mechanical properties and thermal stability of nylon 6 by hexagonal boron nitride fillers. E-Polymers. 2020;20:733–45. 10.1515/epoly-2020-0069.Search in Google Scholar
(22) Wu X, Liu W, Ren L, Zhang C. Highly thermally conductive boron nitride@UHMWPE composites with segregated structure. E-Polymers. 2020;20(1):510–8. 10.1515/epoly-2020-0053.Search in Google Scholar
© 2021 Jingwen Ren et al., published by De Gruyter
This work is licensed under the Creative Commons Attribution 4.0 International License.
Articles in the same Issue
- Research Articles
- Research on the mechanism of gel accelerator on gel transition of PAN solution by rheology and dynamic light scattering
- Gel point determination of gellan biopolymer gel from DC electrical conductivity
- Composite of polylactic acid and microcellulose from kombucha membranes
- Synthesis of highly branched water-soluble polyester and its surface sizing agent strengthening mechanism
- Fabrication and characterization of poly(3-hydroxybutyrate-co-3-hydroxyhexanoate) modified with nano-montmorillonite biocomposite
- Fabrication of N-halamine polyurethane films with excellent antibacterial properties
- Formulation and optimization of gastroretentive bilayer tablets of calcium carbonate using D-optimal mixture design
- Sustainable nanocomposite films based on SiO2 and biodegradable poly(3-hydroxybutyrate-co-3-hydroxyhexanoate) (PHBH) for food packaging
- Evaluation of physicochemical properties of film-based alginate for food packing applications
- Electrically conductive and light-weight branched polylactic acid-based carbon nanotube foams
- Structuring of hydroxy-terminated polydimethylsiloxane filled by fumed silica
- Surface functionalization of nanostructured Cu/Ag-deposited polypropylene fiber by magnetron sputtering
- Influence of composite structure design on the ablation performance of ethylene propylene diene monomer composites
- MOFs/PVA hybrid membranes with enhanced mechanical and ion-conductive properties
- Improvement of the electromechanical properties of thermoplastic polyurethane composite by ionic liquid modified multiwall carbon nanotubes
- Natural rubber latex/MXene foam with robust and multifunctional properties
- Rheological properties of two high polymers suspended in an abrasive slurry jet
- Two-step polyaniline loading in polyelectrolyte complex membranes for improved pseudo-capacitor electrodes
- Preparation and application of carbon and hollow TiO2 microspheres by microwave heating at a low temperature
- Properties of a bovine collagen type I membrane for guided bone regeneration applications
- Fabrication and characterization of thermoresponsive composite carriers: PNIPAAm-grafted glass spheres
- Effect of talc and diatomite on compatible, morphological, and mechanical behavior of PLA/PBAT blends
- Multifunctional graphene nanofiller in flame retarded polybutadiene/chloroprene/carbon black composites
- Strain-dependent wicking behavior of cotton/lycra elastic woven fabric for sportswear
- Enhanced dielectric properties and breakdown strength of polymer/carbon nanotube composites by coating an SrTiO3 layer
- Analysis of effect of modification of silica and carbon black co-filled rubber composite on mechanical properties
- Polytriazole resins toughened by an azide-terminated polyhedral oligomeric silsesquioxane (OADTP)
- Phosphine oxide for reducing flammability of ethylene-vinyl-acetate copolymer
- Study on preparation and properties of bentonite-modified epoxy sheet molding compound
- Polyhedral oligomeric silsesquioxane (POSS)-modified phenolic resin: Synthesis and anti-oxidation properties
- Study on structure and properties of natural indigo spun-dyed viscose fiber
- Biodegradable thermoplastic copolyester elastomers: Methyl branched PBAmT
- Investigations of polyethylene of raised temperature resistance service performance using autoclave test under sour medium conditions
- Investigation of corrosion and thermal behavior of PU–PDMS-coated AISI 316L
- Modification of sodium bicarbonate and its effect on foaming behavior of polypropylene
- Effect of coupling agents on the olive pomace-filled polypropylene composite
- High strength and conductive hydrogel with fully interpenetrated structure from alginate and acrylamide
- Removal of methylene blue in water by electrospun PAN/β-CD nanofibre membrane
- Theoretical and experimental studies on the fabrication of cylindrical-electrode-assisted solution blowing spinning nanofibers
- Influence of l-quebrachitol on the properties of centrifuged natural rubber
- Ultrasonic-modified montmorillonite uniting ethylene glycol diglycidyl ether to reinforce protein-based composite films
- Experimental study on the dissolution of supercritical CO2 in PS under different agitators
- Experimental research on the performance of the thermal-reflective coatings with liquid silicone rubber for pavement applications
- Study on controlling nicotine release from snus by the SIPN membranes
- Catalase biosensor based on the PAni/cMWCNT support for peroxide sensing
- Synthesis and characterization of different soybean oil-based polyols with fatty alcohol and aromatic alcohol
- Molecularly imprinted electrospun fiber membrane for colorimetric detection of hexanoic acid
- Poly(propylene carbonate) networks with excellent properties: Terpolymerization of carbon dioxide, propylene oxide, and 4,4ʹ-(hexafluoroisopropylidene) diphthalic anhydride
- Polypropylene/graphene nanoplatelets nanocomposites with high conductivity via solid-state shear mixing
- Mechanical properties of fiber-reinforced asphalt concrete: Finite element simulation and experimental study
- Applying design of experiments (DoE) on the properties of buccal film for nicotine delivery
- Preparation and characterizations of antibacterial–antioxidant film from soy protein isolate incorporated with mangosteen peel extract
- Preparation and adsorption properties of Ni(ii) ion-imprinted polymers based on synthesized novel functional monomer
- Rare-earth doped radioluminescent hydrogel as a potential phantom material for 3D gel dosimeter
- Effects of cryogenic treatment and interface modifications of basalt fibre on the mechanical properties of hybrid fibre-reinforced composites
- Stable super-hydrophobic and comfort PDMS-coated polyester fabric
- Impact of a nanomixture of carbon black and clay on the mechanical properties of a series of irradiated natural rubber/butyl rubber blend
- Preparation and characterization of a novel composite membrane of natural silk fiber/nano-hydroxyapatite/chitosan for guided bone tissue regeneration
- Study on the thermal properties and insulation resistance of epoxy resin modified by hexagonal boron nitride
- A new method for plugging the dominant seepage channel after polymer flooding and its mechanism: Fracturing–seepage–plugging
- Analysis of the rheological property and crystallization behavior of polylactic acid (Ingeo™ Biopolymer 4032D) at different process temperatures
- Hybrid green organic/inorganic filler polypropylene composites: Morphological study and mechanical performance investigations
- In situ polymerization of PEDOT:PSS films based on EMI-TFSI and the analysis of electrochromic performance
- Effect of laser irradiation on morphology and dielectric properties of quartz fiber reinforced epoxy resin composite
- The optimization of Carreau model and rheological behavior of alumina/linear low-density polyethylene composites with different alumina content and diameter
- Properties of polyurethane foam with fourth-generation blowing agent
- Hydrophobicity and corrosion resistance of waterborne fluorinated acrylate/silica nanocomposite coatings
- Investigation on in situ silica dispersed in natural rubber latex matrix combined with spray sputtering technology
- The degradable time evaluation of degradable polymer film in agriculture based on polyethylene film experiments
- Improving mechanical and water vapor barrier properties of the parylene C film by UV-curable polyurethane acrylate coating
- Thermal conductivity of silicone elastomer with a porous alumina continuum
- Copolymerization of CO2, propylene oxide, and itaconic anhydride with double metal cyanide complex catalyst to form crosslinked polypropylene carbonate
- Combining good dispersion with tailored charge trapping in nanodielectrics by hybrid functionalization of silica
- Thermosensitive hydrogel for in situ-controlled methotrexate delivery
- Analysis of the aging mechanism and life evaluation of elastomers in simulated proton exchange membrane fuel cell environments
- The crystallization and mechanical properties of poly(4-methyl-1-pentene) hard elastic film with different melt draw ratios
- Review Articles
- Aromatic polyamide nonporous membranes for gas separation application
- Optical elements from 3D printed polymers
- Evidence for bicomponent fibers: A review
- Mapping the scientific research on the ionizing radiation impacts on polymers (1975–2019)
- Recent advances in compatibility and toughness of poly(lactic acid)/poly(butylene succinate) blends
- Topical Issue: (Micro)plastics pollution - Knowns and unknows (Guest Editor: João Pinto da Costa)
- Simple pyrolysis of polystyrene into valuable chemicals
- Topical Issue: Recent advances of chitosan- and cellulose-based materials: From production to application (Guest Editor: Marc Delgado-Aguilar)
- In situ photo-crosslinking hydrogel with rapid healing, antibacterial, and hemostatic activities
- A novel CT contrast agent for intestinal-targeted imaging through rectal administration
- Properties and applications of cellulose regenerated from cellulose/imidazolium-based ionic liquid/co-solvent solutions: A short review
- Towards the use of acrylic acid graft-copolymerized plant biofiber in sustainable fortified composites: Manufacturing and characterization
Articles in the same Issue
- Research Articles
- Research on the mechanism of gel accelerator on gel transition of PAN solution by rheology and dynamic light scattering
- Gel point determination of gellan biopolymer gel from DC electrical conductivity
- Composite of polylactic acid and microcellulose from kombucha membranes
- Synthesis of highly branched water-soluble polyester and its surface sizing agent strengthening mechanism
- Fabrication and characterization of poly(3-hydroxybutyrate-co-3-hydroxyhexanoate) modified with nano-montmorillonite biocomposite
- Fabrication of N-halamine polyurethane films with excellent antibacterial properties
- Formulation and optimization of gastroretentive bilayer tablets of calcium carbonate using D-optimal mixture design
- Sustainable nanocomposite films based on SiO2 and biodegradable poly(3-hydroxybutyrate-co-3-hydroxyhexanoate) (PHBH) for food packaging
- Evaluation of physicochemical properties of film-based alginate for food packing applications
- Electrically conductive and light-weight branched polylactic acid-based carbon nanotube foams
- Structuring of hydroxy-terminated polydimethylsiloxane filled by fumed silica
- Surface functionalization of nanostructured Cu/Ag-deposited polypropylene fiber by magnetron sputtering
- Influence of composite structure design on the ablation performance of ethylene propylene diene monomer composites
- MOFs/PVA hybrid membranes with enhanced mechanical and ion-conductive properties
- Improvement of the electromechanical properties of thermoplastic polyurethane composite by ionic liquid modified multiwall carbon nanotubes
- Natural rubber latex/MXene foam with robust and multifunctional properties
- Rheological properties of two high polymers suspended in an abrasive slurry jet
- Two-step polyaniline loading in polyelectrolyte complex membranes for improved pseudo-capacitor electrodes
- Preparation and application of carbon and hollow TiO2 microspheres by microwave heating at a low temperature
- Properties of a bovine collagen type I membrane for guided bone regeneration applications
- Fabrication and characterization of thermoresponsive composite carriers: PNIPAAm-grafted glass spheres
- Effect of talc and diatomite on compatible, morphological, and mechanical behavior of PLA/PBAT blends
- Multifunctional graphene nanofiller in flame retarded polybutadiene/chloroprene/carbon black composites
- Strain-dependent wicking behavior of cotton/lycra elastic woven fabric for sportswear
- Enhanced dielectric properties and breakdown strength of polymer/carbon nanotube composites by coating an SrTiO3 layer
- Analysis of effect of modification of silica and carbon black co-filled rubber composite on mechanical properties
- Polytriazole resins toughened by an azide-terminated polyhedral oligomeric silsesquioxane (OADTP)
- Phosphine oxide for reducing flammability of ethylene-vinyl-acetate copolymer
- Study on preparation and properties of bentonite-modified epoxy sheet molding compound
- Polyhedral oligomeric silsesquioxane (POSS)-modified phenolic resin: Synthesis and anti-oxidation properties
- Study on structure and properties of natural indigo spun-dyed viscose fiber
- Biodegradable thermoplastic copolyester elastomers: Methyl branched PBAmT
- Investigations of polyethylene of raised temperature resistance service performance using autoclave test under sour medium conditions
- Investigation of corrosion and thermal behavior of PU–PDMS-coated AISI 316L
- Modification of sodium bicarbonate and its effect on foaming behavior of polypropylene
- Effect of coupling agents on the olive pomace-filled polypropylene composite
- High strength and conductive hydrogel with fully interpenetrated structure from alginate and acrylamide
- Removal of methylene blue in water by electrospun PAN/β-CD nanofibre membrane
- Theoretical and experimental studies on the fabrication of cylindrical-electrode-assisted solution blowing spinning nanofibers
- Influence of l-quebrachitol on the properties of centrifuged natural rubber
- Ultrasonic-modified montmorillonite uniting ethylene glycol diglycidyl ether to reinforce protein-based composite films
- Experimental study on the dissolution of supercritical CO2 in PS under different agitators
- Experimental research on the performance of the thermal-reflective coatings with liquid silicone rubber for pavement applications
- Study on controlling nicotine release from snus by the SIPN membranes
- Catalase biosensor based on the PAni/cMWCNT support for peroxide sensing
- Synthesis and characterization of different soybean oil-based polyols with fatty alcohol and aromatic alcohol
- Molecularly imprinted electrospun fiber membrane for colorimetric detection of hexanoic acid
- Poly(propylene carbonate) networks with excellent properties: Terpolymerization of carbon dioxide, propylene oxide, and 4,4ʹ-(hexafluoroisopropylidene) diphthalic anhydride
- Polypropylene/graphene nanoplatelets nanocomposites with high conductivity via solid-state shear mixing
- Mechanical properties of fiber-reinforced asphalt concrete: Finite element simulation and experimental study
- Applying design of experiments (DoE) on the properties of buccal film for nicotine delivery
- Preparation and characterizations of antibacterial–antioxidant film from soy protein isolate incorporated with mangosteen peel extract
- Preparation and adsorption properties of Ni(ii) ion-imprinted polymers based on synthesized novel functional monomer
- Rare-earth doped radioluminescent hydrogel as a potential phantom material for 3D gel dosimeter
- Effects of cryogenic treatment and interface modifications of basalt fibre on the mechanical properties of hybrid fibre-reinforced composites
- Stable super-hydrophobic and comfort PDMS-coated polyester fabric
- Impact of a nanomixture of carbon black and clay on the mechanical properties of a series of irradiated natural rubber/butyl rubber blend
- Preparation and characterization of a novel composite membrane of natural silk fiber/nano-hydroxyapatite/chitosan for guided bone tissue regeneration
- Study on the thermal properties and insulation resistance of epoxy resin modified by hexagonal boron nitride
- A new method for plugging the dominant seepage channel after polymer flooding and its mechanism: Fracturing–seepage–plugging
- Analysis of the rheological property and crystallization behavior of polylactic acid (Ingeo™ Biopolymer 4032D) at different process temperatures
- Hybrid green organic/inorganic filler polypropylene composites: Morphological study and mechanical performance investigations
- In situ polymerization of PEDOT:PSS films based on EMI-TFSI and the analysis of electrochromic performance
- Effect of laser irradiation on morphology and dielectric properties of quartz fiber reinforced epoxy resin composite
- The optimization of Carreau model and rheological behavior of alumina/linear low-density polyethylene composites with different alumina content and diameter
- Properties of polyurethane foam with fourth-generation blowing agent
- Hydrophobicity and corrosion resistance of waterborne fluorinated acrylate/silica nanocomposite coatings
- Investigation on in situ silica dispersed in natural rubber latex matrix combined with spray sputtering technology
- The degradable time evaluation of degradable polymer film in agriculture based on polyethylene film experiments
- Improving mechanical and water vapor barrier properties of the parylene C film by UV-curable polyurethane acrylate coating
- Thermal conductivity of silicone elastomer with a porous alumina continuum
- Copolymerization of CO2, propylene oxide, and itaconic anhydride with double metal cyanide complex catalyst to form crosslinked polypropylene carbonate
- Combining good dispersion with tailored charge trapping in nanodielectrics by hybrid functionalization of silica
- Thermosensitive hydrogel for in situ-controlled methotrexate delivery
- Analysis of the aging mechanism and life evaluation of elastomers in simulated proton exchange membrane fuel cell environments
- The crystallization and mechanical properties of poly(4-methyl-1-pentene) hard elastic film with different melt draw ratios
- Review Articles
- Aromatic polyamide nonporous membranes for gas separation application
- Optical elements from 3D printed polymers
- Evidence for bicomponent fibers: A review
- Mapping the scientific research on the ionizing radiation impacts on polymers (1975–2019)
- Recent advances in compatibility and toughness of poly(lactic acid)/poly(butylene succinate) blends
- Topical Issue: (Micro)plastics pollution - Knowns and unknows (Guest Editor: João Pinto da Costa)
- Simple pyrolysis of polystyrene into valuable chemicals
- Topical Issue: Recent advances of chitosan- and cellulose-based materials: From production to application (Guest Editor: Marc Delgado-Aguilar)
- In situ photo-crosslinking hydrogel with rapid healing, antibacterial, and hemostatic activities
- A novel CT contrast agent for intestinal-targeted imaging through rectal administration
- Properties and applications of cellulose regenerated from cellulose/imidazolium-based ionic liquid/co-solvent solutions: A short review
- Towards the use of acrylic acid graft-copolymerized plant biofiber in sustainable fortified composites: Manufacturing and characterization