Home Polyhedral oligomeric silsesquioxane (POSS)-modified phenolic resin: Synthesis and anti-oxidation properties
Article Open Access

Polyhedral oligomeric silsesquioxane (POSS)-modified phenolic resin: Synthesis and anti-oxidation properties

  • Bing Wang , Minxian Shi , Jie Ding and Zhixiong Huang EMAIL logo
Published/Copyright: May 6, 2021
Become an author with De Gruyter Brill

Abstract

In this work, octamercapto polyhedral oligomeric silsesquioxane (POSS-8SH) and octaphenol polyhedral oligomeric silsesquioxane (POSS-8Phenol) were successfully synthetized. POSS-8Phenol was added into the synthesis process of liquid thermoset phenolic resin (PR) to obtain POSS-modified phenolic resin (POSS-PR). Chemical structures of POSS-8SH, POSS-8Phenol, and POSS-PR were confirmed by FTIR and 1H-NMR. TG and DTG analysis under different atmosphere showed that char yield of POSS-PR at 1,000°C increased from 58.6% to 65.2% in N2, which in air increased from 2.3% to 26.9% at 700°C. The maximum pyrolysis temperature in air increased from 543°C to 680°C, which meant better anti-oxidation properties. XRD results confirmed both POSS-8Phenol and POSS-PR-generated crystalline SiO2 in air, which could explain the improvement of anti-oxidation properties. SEM showed that the POSS-PR had phase separation during curing process. Finally, carbon fiber fabric-reinforced POSS-PR (C-POSS-PR) was prepared to verify the anti-oxidation properties of POSS-PR.

1 Introduction

As an indispensable member of the polymer family, PR has many excellent properties, such as thermal stability, high hardness, high carbon residue yield, and flame resistance. It has been widely used in coatings, heat-barrier materials, carbon material precursors, and adhesives (1). However, since phenolic groups and methylene groups in PR’s crosslinking structure, the PR’s high-temperature anti-oxidation properties are always poor, and materials usually have cracks and deformation under the erosion of hot oxygen (2). As the matrix resin of ablation materials or refractory materials for aircraft or space shuttles, it is particularly important to improve the anti-oxidation properties of phenolic resins (3). Previous works to modify phenolic resin could be divided into two parts: one of the methods was to improve the molecular structure of PR, such as Xylok resin prepared through introducing hydrophobic aromatic (4), benzoxazine resin (5) which did not release small molecules in the curing process, and phenol triazine resin prepared through the reaction of PR with trialkylamine and cyanogen halide (6). The other method was to introduce inorganic elements such as boron (7), silicon (8), and zirconium (9). However, these modification methods mainly improved the thermal stability and the char yield of phenolic resin in inert environment and paid less attention to the thermal stability in air.

Many studies reported that silicone was an effective ingredient to improve the antioxidant properties of PR. Li et al. (8) synthesized silicone-modified PR through the esterification reaction between methyltrimethoxysilane and novolac resin; high-temperature oxidation experiments showed that the siloxane improved oxidation resistance of the phenolic resin; the improvement of oxidation resistance was related to the formation of SiO2 at high temperature in air. Xiao et al. (10) studied the ablation resistance of various silicone coatings and ceramic coatings by oxy-acetylene flames test. That research showed that phenolic resin with silicone coatings had satisfactory anti-overheating property and ablation resistance and was the first choice for ablation-resistant materials. Silicone also played a role in heat insulation materials. Yin et al. (11) mixed novolac resin, methyltrimethoxysilane, and the curing agent, the porogen, to prepare a phenolic/silicone composite aerogel. Tests showed that the silicone resulted in a layered micro-mesoporous structure and higher thermal stability than the original PR aerogel. In test, when the surface temperature was about 1,800°C, the back surface temperature was lower than 200°C.

As a kind of silicone material, polyhedral oligomeric silsesquioxane (POSS) had a silicon-oxygen inorganic core and many exteriors, which could be designed as amino, phenyl, vinyl, etc. (12,13) that endowed POSS excellent design flexibility in polymer modification. POSS-modified polymers included vinyl resin (14), epoxy resin (15), male amide (16), polyurethane (17), and phenolic resin (18,19,20). Raw materials for the preparation of Benzoxazine and Phenol Triazine like aniline and cyanogen halide were toxic (4,5,6), and the introduction of inorganic elements into the phenolic resin could easily be leaded to obvious phase separation (7,8,9). For POSS-modified PR, the trimethoxysilane needed during synthesizing POSS was safe and easy to obtain, and the synthesis method was simple. Especially, the functional group of POSS was easy to be designed, which help solve the incompatibility between POSS and the PR.

In this study, we first synthetized POSS-8SH with octamercapto groups through the condensation reaction of trimethoxysilane (21,22) and then synthesized POSS-8Phenol through the Michael addition reaction (23,24,25). POSS-8Phenol was introduced into the synthesis process of PR. Experimental route and main chemical structures were showed in Figure 1. Chemical structures of POSS-8SH, POSS-8Phenol, and POSS-PR were confirmed by FTIR and 1H-NMR. The internal morphology and elements distribution of cured POSS-PR were studied by SEM and EDS. The thermal stability and thermal anti-oxidation properties of POSS-PR under nitrogen and air were compared by TG and DTG. The crosslinking degree of cured resin was analyzed by DMA. The crystal structure of pyrolysis products under different atmosphere was analyzed by XRD. The change of element content before and after pyrolysis was analyzed by XPS. Finally, the anti-oxidation properties of POSS-PR were further confirmed by comparing the flexural strength of carbon fiber-reinforced POSS-PR after high-temperature oxidation test.

Figure 1 
               Experimental route and chemical structures of POSS-8SH, POSS-8Phenol, and POSS-PR.
Figure 1

Experimental route and chemical structures of POSS-8SH, POSS-8Phenol, and POSS-PR.

2 Experimental

2.1 Materials

Phenol, formaldehyde (37%), sodium hydroxide, concentrated hydrochloric acid, anhydrous MgSO4, used solvents such as methanol, dichloromethane and acetone were obtained from Sinopharm Chemical Reagent Co., Ltd (Wuhan, China). (3-Mercaptopropyl)trimethoxysilane (MPTS) and di-n-butylamine (DnBA) were obtained from Aladdin Reagent Co., Ltd (Shanghai, China). 4-Maleimidophenol (4-HPM) was purchased from WengJiang Reagent Co., Ltd (Guangdong, China). Unidirectional carbon fiber cloth was purchased from Weisheng New Material Technology Co., Ltd (Jiangsu, China). All chemical reagents and materials were used directly without further purification.

2.2 Preparation of octamercaptopropyl polyhedral oligomeric silsesquioxane (POSS-8SH) and octaphenol polyhedral oligomeric silsesquioxane (POSS-8Phenol)

The synthesis of POSS-8SH was achieved through condensation between siloxanes. Specific synthesis steps were similar to literature (22). Briefly, 10 mL MPTS was dissolved in 240 mL methanol, and 20 mL concentrated hydrochloric acid was added. Then the mixed solution was stirred and refluxed at 90°C for 24 h. After standing and cooling, some white precipitate could be observed. The precipitate was washed three times with cold methanol, then washed three times with deionized water after dissolving in dichloromethane. The organic phase was separated and dried with anhydrous MgSO4. POSS-8SH was obtained after dichloromethane was removed by vacuum drying.

POSS-8Phenol was prepared by the Michael addition reaction between POSS-8SH and 4-HPM. POSS-8SH (5 g, 4.912 mmol) and DnBA (1 mol% of 4-HPM, 0.051 g, 0.393 mmol) as catalyst were dissolved in 200 mL acetone. 4-HPM (7.355 g, 39.296 mmol) was dissolved in 150 mL acetone and then dripped into previous mixed solution in 1 h; the molar ratio of mercapto group to maleimide group was 1:1. The mixed solution was stirred at room temperature for 4 h. A light-yellow precipitate could be observed after dropping deionized water into the mixed solution. After repeating the process above three times and vacuum drying, POSS-8Phenol was obtained.

2.3 Preparation of POSS-modified phenolic resin (POSS-PR)

In this part, POSS-8Phenol was well-dissolved in hot phenol (94.110 g, 1 mol) with mass percent of 3%, 5%, and 8% and then mixed with 37% formaldehyde solution (121.740 g, 1.5 mol) and 50% NaOH (2.000 g, 0.025 mol). First, the solution was stirred and gradually heated to 60°C and the temperature was kept for 2 h. Then the mixed solution was heated to 95°C in 30 min and the temperature was kept for 1 h. After water and by-products were removed under reduced pressure distillation at 95°C for 50 min, POSS-modified phenolic resin (POSS-PR) was obtained; products were marked as 3% POSS-PR, 5% POSS-PR, and 8% POSS-PR, respectively. Except the POSS-8Phenol, synthesis steps of the neat phenolic resin (PR) were consistent with process above. All samples were cured following next procedure: 80°C (1 h), 95°C (1 h), 120°C (2 h), 150°C (2 h), and 200°C (1 h).

2.4 Preparation of carbon fiber-reinforced POSS-PR composite (C-POSS-PR)

POSS-PR resin was dissolved in alcohol with a mass ratio of 1:1 to prepare the resin solution. The resin solution was applied to carbon fiber cloth with a brush and allowed to dry for 24 h at room temperature. The infiltrated cloth was cut into small pieces (160 × 140 mm) and layered with the layer number of 22. Then the stacked fabric was placed in a 150 × 100 × 4 mm mold for hot compression molding; the curing process was showed in Figure 2. The cured C-POSS-PR sheet was cut into 80 × 15 × 4 mm specimens to test the flexural strength before and after the oxidation treatment.

Figure 2 
                  Curing process of C-POSS-PR.
Figure 2

Curing process of C-POSS-PR.

2.5 Characterization

Fourier infrared spectroscopy (FT-IR) was used to characterize the chemical structure of POSS-8SH, POSS-8Phenol, and POSS-PR, on KBr pellets from 400 to 4,000 cm−1 by a Nicolet Nexus IR Spectra (Madison, WI, USA).

The chemical structures of POSS-8SH and POSS-8Phenol were further confirmed by Proton nuclear magnetic resonance (1H-NMR) (Bruker Avance III, 500 MHz, Germany). Each sample was dissolved in deuterated chloroform (CDCl3) and tetramethylsilane (TMS) was selected as the reference.

The internal surface morphology of the fractured cured modified phenolic resin was observed by scanning electron microscope (SEM, s-4800, HITACHI, Japan) at an accelerating voltage of 10 kV. An Energy dispersive X-ray spectroscopy (EDS) attached to the SEM was performed to investigate elements’ distribution of Si, O, and C.

The thermal stability of POSS-PR was studied via thermogravimetric (TG) and derivative thermogravimetry (DTG) (STA449F3, NETZSCH, Germany) from ambient temperature to 1,000°C in air or nitrogen, at the heating rate of 10°C/min and the flow rate of 50 mL/min.

The storage modulus and tan δ of POSS-PR were determined by dynamic thermomechanical analysis (DMA) (DMA/SDTA 861e METTLER TOLEDO, Switzerland). A dual cantilever beam bending mode was employed. Test samples were approximately 3.5–4.0 mm thick, 8–9 mm wide, and 80 mm long. The temperature was risen from 100°C to 350°C at 5°C/min, and the frequency was 1.0 Hz.

X-ray diffraction analysis (D8 Advance, BRUKER AXS GMBH, Germany) was used to analyze crystal structure of POSS-8Phenol’s and POSS-PR’s pyrolysis products. XRD data were performed from 5° to 80° at a step of 4°/min.

Element content of Si, C, and O in pyrolysis products of POSS-PR was analyzed by X-ray photoelectron spectroscopy (XPS) (ESCALAB 250Xi) (Mg Kα X-ray source). All spectra were calibrated with the C 1s peak at 284.8 eV.

The flexural strength of the C-POSS-PR composites was tested by universal mechanical testing machine with a loading rate of 2 mm/min. Each sample was oxidized for 10 min in the muffle furnace.

3 Results and discussion

3.1 Analysis and characterization of POSS-8SH and POSS-8Phenol

3.1.1 FTIR analysis of POSS-8SH and POSS-8Phenol

In the POSS-8SH’s FTIR spectrum of Figure 3, the asymmetric stretching vibrations’ peak of the Si–O–Si skeletal was appeared at 1,100 cm−1, and peaks at 550 and 480 cm−1 were due to the deformation vibrations of the POSS skeletal. The stretching vibration peak of S–H was located at 2,551 cm−1. Absorption bands at 2,820 and 2,950 cm−1 were assigned to alkane –CH2 groups. Absorption peaks at 1,264 and 690 cm−1 were attributed to Si–C asymmetric and symmetric stretching vibrations, respectively (22). Peaks from 1,334 to 1,442 cm−1 were due to bending vibrations of –CH2CH2CH2–. Results above indicated that MPTS was successfully transformed into caged octamercaptopropyl polyhedral oligomeric silsesquioxane (POSS-8SH) through condensation reaction between trimethoxysilanes.

Figure 3 
                     FTIR spectra of POSS-8SH and POSS-8Phenol.
Figure 3

FTIR spectra of POSS-8SH and POSS-8Phenol.

The FTIR spectrum of POSS-8Phenol was showed in Figure 3. It could be clearly seen that the S–H stretching vibration absorption peak at 2,551 cm−1 disappeared, and the characteristic peak of C═C of 4-HPM could not be observed which usually appeared at 3,100 cm−1 (24). Results above indicated that the S–H reacted completely with the electron-deficient C═C in the Michael addition reaction. The peaks at 1,712 and 3,349 cm−1 were attributed to the C═O stretching vibration and the O–H stretching vibration, respectively. The stretching vibration peak of the benzene ring appeared at 1,606 and 1,509 cm−1, and the single peak at 834 cm−1 was typical single substitution peak in benzene ring. The peak at 1,547 cm−1 was attributed to C–N stretching vibration (24). It was worth noting that the stretching vibration peak of C–H had always existed around 2,925 cm−1. All results above indicated that POSS-8Phenol was successfully synthesized.

3.1.2 1H-NMR analysis of POSS-8SH and POSS-8Phenol

1H-NMR spectra of POSS-8Phenol, 4-HPM, and POSS-8SH are showed in Figure 4. Among them, POSS-8SH showed four kinds of proton peak with chemistry shift at 0.78, 1.46, 1.73, and 2.57 ppm, and the integral ratio of 2:1:2:2, which was consistent with proton numbers of –CH2CH2CH2SH in POSS-8SH. In addition, there was no –SiOCH3’s proton peak near 0 ppm from the MPTS, which indicated that the cage octagonal structure of POSS-8SH was completely condensed. After the Michael addition reaction with 4-HPM, it could be clearly observed that the proton peak at 1.46 ppm of –SH disappeared completely. At the same time, the strong electron-deficient proton peak at 6.92 ppm of C═C in 4-HPM also disappeared. Two new peaks at 2.97 and 3.70 ppm appeared, which were assigned to two kinds of protons in S–CH–SH2 of POSS-8Phenol, respectively (23). These results indicated that the reaction between –SH and C═C was complete and POSS-SH, POSS-8Phenol were successfully synthesized. It was worth noting that when CDCl3 was the solvent, the proton peak of the phenol group was very active to exchange protons with CDCl3, so the proton peak of the phenolic hydroxyl group could not be observed (peak h); it would show again when the solvent changed to deuterated acetone.

Figure 4 
                     
                        1H-NMR spectra of POSS-8SH, 4-HPM, and POSS-8Phenol.
Figure 4

1H-NMR spectra of POSS-8SH, 4-HPM, and POSS-8Phenol.

3.1.3 Thermal stability and pyrolysis analysis of POSS-8Phenol

The thermal stability of POSS-8Phenol was analyzed via TG and DTG under different atmosphere. The weight-temperature curve of POSS-8Phenol is showed in Figure 5a. The residual weight of POSS-8Phenol in N2 or air at 1,000°C was 42% and 18%, respectively. Figure 5b showed the derivative weight-temperature curves; it could be basically divided into three stages. The first stage occurred at 180°C; it might be due to chain break of –CH2CH2CH2– between POSS cage and organic group, which was the most vulnerable part in POSS-8Phenol (26). The second stage from 300°C to 410°C was assigned to the breaking of imide ring, which was the typical pyrolysis temperature of polyimide (27). The third stage from 450°C to 750°C showed POSS-8Phenol had different behavior in N2 or air. In N2, the pyrolysis process occurred from 450°C to 710°C; it was due to the breaking of Si–O–Si cage (26). Different from pyrolysis behavior in N2, it could be found that POSS-8Phenol had additional behavior in air and the main temperature peak was at 670°C.

Figure 5 
                     TG and DTG curves of POSS-8Phenol in air or N2: (a) Weight-temperature curve (TG); (b) Derivative weight-temperature curve (DTG).
Figure 5

TG and DTG curves of POSS-8Phenol in air or N2: (a) Weight-temperature curve (TG); (b) Derivative weight-temperature curve (DTG).

In order to study POSS-8Phenol’s different behavior in air or N2, XRD was used to analyze crystal structure of pyrolysis products above. Spectra are showed in Figure 6; some crystal peaks could be found in residual product after pyrolysis in air, but only two amorphous peaks in N2. After checking with the XRD database, it could be concluded that crystal peaks when pyrolysis in air were due to the cristobalite, a kind of SiO2 (PDF39-1425). Two amorphous peaks at 23° and 44° were due to the amorphous carbon pyrolysis products in N2, corresponding to (002) and (100) lattice plane for amorphous carbon (PDF26-1079), which was common in XRD analysis of organic pyrolysis products (18).

Figure 6 
                     XRD patterns of cracking product of POSS-8Phenol.
Figure 6

XRD patterns of cracking product of POSS-8Phenol.

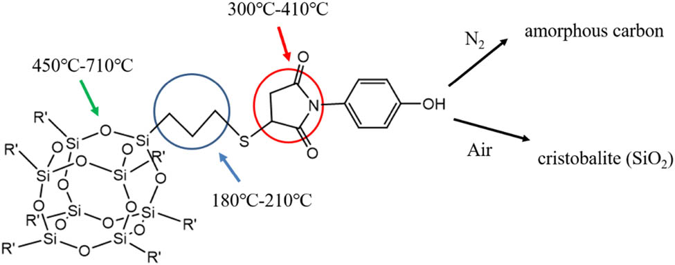
Combined with thermal analysis and XRD analysis, the pyrolysis behavior of POSS-8Phenol could be summarized as Figure 7. Three temperature stages were corresponded to the chain scission of different part in POSS-Phenol. When the POSS-8Phenol transferred into crystal SiO2, hot oxygen would definitely be consumed from –SiO1.5– to SiO2. On the other hand, the crystal SiO2 could play a role as the barrier to resist the erosion of hot oxygen into the material (3). Therefore, POSS-8Phenol had the potential to improve the oxidation resistance of phenolic resin.

Figure 7 
                     Pyrolysis process of POSS-8Phenol in air or N2.
Figure 7

Pyrolysis process of POSS-8Phenol in air or N2.

3.2 Analysis and characterization of cured POSS-PR

3.2.1 FTIR analysis of the cured POSS-PR

The FTIR spectra of cured POSS-PR resin were used to study the state of POSS in the matrix resin. As showed in Figure 8, the characteristic peak of Si–O–Si at 1,100 cm−1 and C═O at 1,712 cm−1 still existed after curing. Even though the intensity of them was weak, it could be observed that the intensity increased with the increased POSS content, which indicated that POSS still maintained its unique cage structure during the curing process of POSS-PR. Other absorption peaks were basically the same as before modification; the distribution of characteristic peaks was as follows: the peak of O–H of the phenol group and –CH2OH at 3,500 cm−1 (broad peak); the stretching vibration peak of C–H in –CH2– from 2,800 to 2,950 cm−1; the stretching vibration peak of the C═C double bond in the benzene ring at 1,610 and 1,510 cm−1; the peak of C–O in phenolic group at 1,270 cm−1; the stretching vibration peak of aliphatic C–O at 1,130 and 1,005 cm−1; the ortho-substituted and para-substituted peak of the benzene ring at 760 and 870 cm−1, respectively.

Figure 8 
                     FTIR spectra of cured product of PR, 3% POSS-PR, 5% POSS-PR, and 8% POSS-PR.
Figure 8

FTIR spectra of cured product of PR, 3% POSS-PR, 5% POSS-PR, and 8% POSS-PR.

3.2.2 Thermal stability and pyrolysis products analysis of the cured POSS-PR

Figure 9a and b, respectively, show the weight-temperature curve and derivative weight-temperature curve from room temperature to 1,000°C in nitrogen atmosphere. From the TG in Figure 9a, it could be seen that with POSS-8Phenol content increased, the char yield of POSS-PR increased from 58.6% to 65.2% in N2, which could be explained from the increase of crosslinking degree of POSS-PR. In phenolic resin, the crosslinking point of a phenol molecule is 3, while that of a POSS-8Phenol molecule is 16. In addition, the bond energy of Si–O–Si (452 kJ/mol) was much higher than that of C–O (336 kJ/mol) or C–C (356 kJ/mol). Figure 9b show the derivative weight-temperature curve of POSS-PR; two main DTG peaks could be found. For neat PR, peak values were 397°C and 515°C, while that increased to 418°C and 535°C with the content of POSS-8Phenol increased. Consistent with the reason for the improvement of char yield, the increase of pyrolysis peak temperature was also due to the increase of crosslinking degree and bond energy.

Figure 9 
                     TG and DTG curves of PR and POSS-PR: (a and c) weight-temperature curve (TG), (b and d) derivative weight-temperature curve (DTG).
Figure 9

TG and DTG curves of PR and POSS-PR: (a and c) weight-temperature curve (TG), (b and d) derivative weight-temperature curve (DTG).

In order to explore the difference of crosslinking degree between POSS-PR and neat PR, the DMA results of 5% POSS-PR and pure PR are shown in Figure 10. Although there was no obvious peak on tan δ-temperature curve, the glass transition temperature of 5% POSS-PR was obviously higher than that of neat PR. Compared with pure PR, 5% POSS-PR had smaller tan δ and higher modulus. Generally, for the same type of polymer, higher glass transition temperature and modulus meant higher crosslinking degree.

Figure 10 
                     DMA result of cured PR, 5% POSS-PR.
Figure 10

DMA result of cured PR, 5% POSS-PR.

Generally speaking, the pyrolysis of polymer in nitrogen was due to the breaking of chemical bonds, while the pyrolysis in air occurs due to additional consideration of oxidation reaction. From Figure 9c, the residual weight of neat PR had dropped to 2.3% at 700°C in air, while that of POSS-PR was 12.7%, 22.7%, and 26.9%. Although all of them were lower than 4% after 800°C, result above indicated POSS-8Phenol had the improvement to slow down the oxidation reaction of PR. The difference between main DTG peaks in Figure 9d also confirmed this conclusion. There were three pyrolysis peaks in each curve. Little difference could be found about the first peak around 390°C, but the temperature of the second peak increased from 486°C to 513°C with the content of POSS-8Phenol increased. This phenomenon was more obvious near the maximum DTG peak. The shape peak at 544°C meant severe oxidative weightlessness in neat PR, but it developed into a plateau in POSS-PR which meant the reduction of oxidation rate. After taking the middle value of the plateau as the peak value, peak values were 636°C, 652°C, and 680°C, respectively. Those results confirmed that POSS-8Phenol could improve the thermal anti-oxidation properties of PR.

Figure 11 show the XRD patterns of pyrolysis product of 8% POSS-PR. Similar to POSS-8Phenol’s pyrolysis result, crystal SiO2 still could be found when pyrolysised in air, while only amorphous carbon existed in N2. Above results confirmed the improvement of the anti-oxidation properties, and the reason for the improvement was bound up with the formation of crystalline SiO2.

Figure 11 
                     XRD patterns for pyrolysis product of 8% POSS-PR.
Figure 11

XRD patterns for pyrolysis product of 8% POSS-PR.

Figure 12 show the XPS spectra of the cured product and the pyrolysis product of 8% POSS-PR in different atmosphere. When pyrolysised in N2, the content of O decreased sharply and that of C increased, which was the result of the dehydration reaction of the phenolic resin in the carbonization process under N2. The slight decrease of Si could be attributed to the increase of C caused by carbonization, which led to an increase in the total number. When pyrolysised in air, only a small amount of carbon was left, which corresponded to the lower residual weight when pyrolysised in air in Table 1. Main elements in the pyrolysis products under air were Si and O, and the atomic ratio was close to 1:2, which corresponded to the SiO2 confirmed in the XRD results. From the results above, it could be concluded that the pyrolysis process of POSS-PR in air led to a sharp increase of Si, and the ratio of Si to O was consistent with silicon dioxide.

Figure 12 
                     XPS patterns for pyrolysis product of 8% POSS-PR.
Figure 12

XPS patterns for pyrolysis product of 8% POSS-PR.

Table 1

Main thermal stability data of POSS-PR

Sample In N2 In air
T max1 (°C) T max2 (°C) Char yield (1,000°C) T max1 (°C) T max2 (°C) Char yield (700°C) Char yield (1,000°C)
PR 397 515 58.6 486 544 2.5 1.2
3% POSS-PR 401 524 59.3 507 636 13.3 2.3
5% POSS-PR 410 530 62.2 516 652 21.9 2.6
8% POSS-PR 419 537 65.8 513 680 26.3 3.2

3.2.3 Micro morphology and element distribution of the cured POSS-PR

The fractured surface of cured POSS-PR was characterized by SEM; relevant images are showed in Figure 13. The fractured surface of PR was homogeneous. After the introduction of the POSS-8Phenol, obvious phase separation occurred regardless of the POSS content from 3% to 8%. In Figure 11b, the phase separation size of 3% POSS-PR was mainly about 2 μm, and some small spherules with a diameter of 500 nm or even smaller could be observed, which indicated that the generation of phase separation was faster than the curing process of POSS-PR and spherules were gradually formed from nanoscale cores. With POSS-8Phenol content increased, the average diameter of the spherules increased from 1.5 to 2 μm, and core structure could not be observed any more. It could be concluded that although the spherules had a certain compatibility with PR, the compatibility gradually got worse as the content of POSS-8Phenol increased.

Figure 13 
                     SEM images of the cured product of: (a) PR, (b) 3% POSS-PR, (c) 5% POSS-PR, (d) 8% POSS-PR.
Figure 13

SEM images of the cured product of: (a) PR, (b) 3% POSS-PR, (c) 5% POSS-PR, (d) 8% POSS-PR.

Elements mapping of Si, C, and O was showed in Figure 14. Figure 14a was a typical SEM image of 8% POSS-PR. First, the mapping of Si element in Figure 14b shows that the Si element was evenly divided into the matrix and the phase separation, and there was no obvious aggregation of Si. But the mapping of C and O in Figure 14c and d show differences; it could be clearly observed that the mass content of C and O at the area of phase separation was significantly lower than the surrounding matrix area. Therefore, it could be confirmed that a part of POSS-8Phenol was present in the matrix and copolymerized with PR’s structure, but the other part occurred was phase separation, and gradually became the spheres dispersed in the modified resin from the nanoscale to the micron level. The different phenomenon between Si with C and O might be due to the fact that the silicon in the material was as low as 1 wt%; it was hard to see the aggregation.

Figure 14 
                     EDS analysis of 8% POSS-PR. (a) SEM image of 8% POSS-PR; (b) Si mapping of image “a;” (c) C mapping of image “a;” (d) O mapping of image “a.”
Figure 14

EDS analysis of 8% POSS-PR. (a) SEM image of 8% POSS-PR; (b) Si mapping of image “a;” (c) C mapping of image “a;” (d) O mapping of image “a.”

3.3 Antioxidant performance test of C-POSS-PR

Figure 15 showed the flexural strength of C-PR, C-3%POSS-PR, C-5%POSS-PR, and C-8%POSS-PR before and after oxidation, which were marked as S1, S2, S3, and S4, respectively. Compared with the flexural strength of C-PR (590.271 MPa) before oxidation, the addition of POSS led to the overall decrease in flexural strength, which could result from the phase separation in POSS-PR. Among them, the flexural strength of C-POSS-PR increased (411.46, 450.904, 470.987 MPa) with the increase of POSS content. This was due to that POSS-8Phenol had more phenolic groups, which increased the crosslinking degree of the resin. Results above indicated that the bending strength of C-POSS-PR was together affected from the degree of POSS-PR crosslinking and phase separation.

Figure 15 
                  Flexural strength of C-POSS-PR after 500°C oxidation for 10 min.
Figure 15

Flexural strength of C-POSS-PR after 500°C oxidation for 10 min.

Usually, carbon fiber would be rapidly oxidized under air atmosphere above 400°C which might cause complete destruction of the material. In order to verify the oxidation resistance of POSS-PR, C-POSS-PR was subjected to 500°C oxidation treatment. The flexural strength after treatment is showed in Figure 15. It could be clearly seen that the flexural strength of C-PR after oxidation treatment decreased significantly (217.342 MPa), while the flexural strength of C-POSS-PR was higher (223.705, 341.959, 268.194 MPa). When the POSS content was 5%, the flexural strength increased most (57.33%). Combined with the previous thermal analysis results of POSS and POSS-PR, that improvement could be attributed to the form of crystalline SiO2 when C-POSS-PR oxidized in air, which absorbed and prevented hot oxygen into the material.

4 Conclusion

In order to improve the anti-oxidation properties of phenolic resins, POSS-modified phenolic resins (POSS-PR) were prepared, in which POSS was efficiently prepared by siloxane condensation reaction and Michael addition reaction. Chemical structures of POSS and POSS-PR were successfully characterized. In POSS-PR, some POSS was copolymerized in the resin, but others were aggregated to form phase separation. POSS-PR had higher char yield and pyrolysis temperature in N2, and the max pyrolysis temperature increased from 543°C to 680°C in air, which approved the effect of POSS to improve anti-oxidation properties of phenolic resins. Through the analysis of the structure of pyrolysis products, that improvement resulted from the generation of SiO2 when POSS-8Phenol pyrolysis in air. In order to further verify the oxidation resistance of POSS, carbon fiber-reinforced POSS-PR composites were successfully prepared. After high-temperature oxidation test, the flexural strength of composites increased from 217.342 to 341.959 MPa. Results above fully proved that POSS-PR had higher anti-oxidation properties than pure PR resin.

  1. Funding information: We gratefully acknowledge Joint Fund of Ministry of Education for Equipment pre-research (No. 6141A02022250) for financial support.

  2. Author contributions: Bing Wang: writing – original draft, writing – review and editing, investigation, methodology, data curation, formal analysis; Zhixiong Huang: conceptualization, resources, supervision; Minxian Shi: writing – original draft, data curation, software; Jie Ding: writing – review and editing, methodology, visualization.

  3. Conflict of interest: Authors state no conflict of interest.

  4. Data availability statement: All data generated or analysed during this study are included in this published article.

References

(1) Pilato L. Phenolic resins: 100Years and still going strong. React Funct Polym. 2013;73(2):270–7. 10.1016/j.reactfunctpolym.2012.07.008.Search in Google Scholar

(2) Gokce AS, Gurcan C, Ozgen S, Aydin S. The effect of antioxidants on the oxidation behaviour of magnesia–carbon refractory bricks. Ceram Int. 2008;34(2):323–30. 10.1016/j.ceramint.2006.10.004.Search in Google Scholar

(3) Badhe YKB. Reticulated three-dimensional network ablative composites for heat shields in thermal protection systems. RSC Adv. 2014;4(82):43708–19. 10.1039/C4RA05811A.Search in Google Scholar

(4) Qi HM, Pan GY, Zhuang YQ, Huang FR, Du L. Synthesis and characterization of acetylene-terminated polybenzoxazines based on polyaralkyl-phenolic prepolymer. Polym Eng Sci. 2010;50(9):1751–7. 10.1002/pen.21701.Search in Google Scholar

(5) Jin L, Agag T, Ishida H. Bis(benzoxazine-maleimide)s as a novel class of high performance resin: synthesis and properties. Eur Polym J. 2010;46(2):354–63. 10.1016/j.eurpolymj.2009.09.013.Search in Google Scholar

(6) Reghunadhan NC, Mathew D, Ninan K. Imido-phenolic-triazine network polymers derived from maleimide-functional novolac. Eur Polym J. 2001;37(2):315–21. 10.1016/S0014-3057(00)00110-5.Search in Google Scholar

(7) Gao JG, Liu YF, Yang LT. Thermal stability of boron-containing phenol formaldehyde resin. Polym Degrad Stabil. 1999;63(1):19–22. 10.1016/S0141-3910(98)00056-1.Search in Google Scholar

(8) Li S, Li H, Li Z, Zhou H, Guo Y, Chen FH, et al. Polysiloxane modified phenolic resin with co-continuous structure. Polymer. 2017;120:217–22. 10.1016/j.polymer.2017.05.063.Search in Google Scholar

(9) Liu CQ, Li KZ, Li HJ, Zhang SY, Zhang YL. The effect of zirconium incorporation on the thermal stability and carbonized product of phenol–formaldehyde resin. Polym Degrad Stabil. 2014;102:180–5. 10.1016/j.polymdegradstab.2014.01.013.Search in Google Scholar

(10) Xiao J, Chen JM, Zhou HD, Zhang QY. Study of several organic resin coatings as anti-ablation coatings for supersonic craft control actuator. Mat Sci Eng A. 2007;452–3:23–30. 10.1016/j.msea.2006.10.020.Search in Google Scholar

(11) Yin RY, Cheng HM, Hong CQ, Zhang XH. Synthesis and characterization of novel phenolic resin/silicone hybrid aerogel composites with enhanced thermal, mechanical and ablative properties. Compos Part A Appl S. 2017;101:500–10. 10.1016/j.compositesa.2017.07.012.Search in Google Scholar

(12) Choi J, Harcup J, Yee A, Zhu Q, Laine R. Organic/inorganic hybrid composites from cubic silsesquioxanes. J Am Chem Soc. 2001;123(46):11420–30. 10.1021/ja010720l.Search in Google Scholar PubMed

(13) Tamaki R, Tanaka Y, Asuncion M, Choi J, Laine R. Octa(aminophenyl)silsesquioxane as a nanoconstruction site. J Am Chem Soc. 2001;123(49):12416–7. 10.1021/ja011781m.Search in Google Scholar PubMed

(14) Wang F, Wei HJ, Liu C, Sun HX, Zhu ZQ, Liang W, et al. Monolithic nanoporous polymers bearing POSS moiety as efficient flame retardant and thermal insulation materials. React Funct Polym. 2019;143:104345. 10.1016/j.reactfunctpolym.2019.104345.Search in Google Scholar

(15) Lungu A, Ghitman J, Cernencu A, Serafim A, Florea N, Vasile E, et al. POSS-containing hybrid nanomaterials based on thiol-epoxy click reaction. Polymer. 2018;145:324–33. 10.1016/j.polymer.2018.05.015.Search in Google Scholar

(16) Oban R, Matsukawa K, Matsumoto A. Heat resistant and transparent organic–inorganic hybrid materials composed of N‐allylmaleimide copolymer and random‐type SH‐modified silsesquioxane. J Polym Sci A1. 2018;56(20):2294–302. 10.1002/pola.29202.Search in Google Scholar

(17) Zhao H, She W, Shi D, Wu W, Zhang QC, Li R. Polyurethane/POSS nanocomposites for superior hydrophobicity and high ductility. Compos Part B Eng. 2019;177:107441. 10.1016/j.compositesb.2019.107441.Search in Google Scholar

(18) Gupta R, Kandasubramanian B. Hybrid caged nanostructure ablative composites of octaphenyl-POSS/RF as heat shields. RSC Adv. 2015;5(12):8757–69. 10.1039/c4ra10905h.Search in Google Scholar

(19) Liu Y, Zheng SX. Inorganic–organic nanocomposites of polybenzoxazine with octa(propylglycidyl ether) polyhedral oligomeric silsesquioxane. J Polym Sci Part A Polym Chem UK. 2006;44(3):1168–81. 10.1002/pola.21231.Search in Google Scholar

(20) Zhang YD, Lee S, Yoonessi M, Liang K, Pittman C. Phenolic resin–trisilanolphenyl polyhedral oligomeric silsesquioxane (POSS) hybrid nanocomposites: structure and properties. Polymer. 2006;47(9):2984–96. 10.1016/j.polymer.2006.03.005.Search in Google Scholar

(21) Lin H, Wan X, Jiang XS, Wang QK, Yin J. A nanoimprint lithography hybrid photoresist based on the thiol-ene system. Adv Funct Mater. 2011;21(15):2960–7. 10.1002/adfm.201100692.Search in Google Scholar

(22) Çakmakçı E. Allylamino diphenylphosphine oxide and poss containing flame retardant photocured hybrid coatings. Prog Org Coat. 2017;105:37–47. 10.1016/j.porgcoat.2016.11.013.Search in Google Scholar

(23) Li M, De P, Gondi S, Sumerlin B. End group transformations of RAFT‐generated polymers with bismaleimides: functional telechelics and modular block copolymers. J Polym Sci A1. 2008;46(15):5093–100. 10.1002/pola.22837.Search in Google Scholar

(24) Raycroft M, Racine K, Rowley CK. Mechanisms of alkyl and aryl thiol addition to N-methylmaleimide. J Org Chem. 2018;83(19):11674–85. 10.1021/acs.joc.8b01638.Search in Google Scholar PubMed

(25) Nair D, Podgórski M, Chatani S, Gong T, Xi WX, Fenoli C, et al. The thiol-michael addition click reaction: a powerful and widely used tool in materials chemistry. Chem Mater. 2013;26(1):724–44. 10.1021/cm402180t.Search in Google Scholar

(26) Fina A, Tabuani D, Carniato F, Frache A, Boccaleri E, Camino G. Polyhedral oligomeric silsesquioxanes (POSS) thermal degradation. Thermochim Acta. 2006;440(1):36–42. 10.1016/j.tca.2005.10.006.Search in Google Scholar

(27) Agag T, Koga T, Takeichi T. Studies on thermal and mechanical properties of polyimide–clay nanocomposites. Polymer (Guilford). 2001;42(8):3399–408. 10.1016/s0032-3861(00)00824-7.Search in Google Scholar

Received: 2021-01-24
Revised: 2021-03-15
Accepted: 2021-03-17
Published Online: 2021-05-06

© 2021 Bing Wang et al., published by De Gruyter

This work is licensed under the Creative Commons Attribution 4.0 International License.

Articles in the same Issue

  1. Research Articles
  2. Research on the mechanism of gel accelerator on gel transition of PAN solution by rheology and dynamic light scattering
  3. Gel point determination of gellan biopolymer gel from DC electrical conductivity
  4. Composite of polylactic acid and microcellulose from kombucha membranes
  5. Synthesis of highly branched water-soluble polyester and its surface sizing agent strengthening mechanism
  6. Fabrication and characterization of poly(3-hydroxybutyrate-co-3-hydroxyhexanoate) modified with nano-montmorillonite biocomposite
  7. Fabrication of N-halamine polyurethane films with excellent antibacterial properties
  8. Formulation and optimization of gastroretentive bilayer tablets of calcium carbonate using D-optimal mixture design
  9. Sustainable nanocomposite films based on SiO2 and biodegradable poly(3-hydroxybutyrate-co-3-hydroxyhexanoate) (PHBH) for food packaging
  10. Evaluation of physicochemical properties of film-based alginate for food packing applications
  11. Electrically conductive and light-weight branched polylactic acid-based carbon nanotube foams
  12. Structuring of hydroxy-terminated polydimethylsiloxane filled by fumed silica
  13. Surface functionalization of nanostructured Cu/Ag-deposited polypropylene fiber by magnetron sputtering
  14. Influence of composite structure design on the ablation performance of ethylene propylene diene monomer composites
  15. MOFs/PVA hybrid membranes with enhanced mechanical and ion-conductive properties
  16. Improvement of the electromechanical properties of thermoplastic polyurethane composite by ionic liquid modified multiwall carbon nanotubes
  17. Natural rubber latex/MXene foam with robust and multifunctional properties
  18. Rheological properties of two high polymers suspended in an abrasive slurry jet
  19. Two-step polyaniline loading in polyelectrolyte complex membranes for improved pseudo-capacitor electrodes
  20. Preparation and application of carbon and hollow TiO2 microspheres by microwave heating at a low temperature
  21. Properties of a bovine collagen type I membrane for guided bone regeneration applications
  22. Fabrication and characterization of thermoresponsive composite carriers: PNIPAAm-grafted glass spheres
  23. Effect of talc and diatomite on compatible, morphological, and mechanical behavior of PLA/PBAT blends
  24. Multifunctional graphene nanofiller in flame retarded polybutadiene/chloroprene/carbon black composites
  25. Strain-dependent wicking behavior of cotton/lycra elastic woven fabric for sportswear
  26. Enhanced dielectric properties and breakdown strength of polymer/carbon nanotube composites by coating an SrTiO3 layer
  27. Analysis of effect of modification of silica and carbon black co-filled rubber composite on mechanical properties
  28. Polytriazole resins toughened by an azide-terminated polyhedral oligomeric silsesquioxane (OADTP)
  29. Phosphine oxide for reducing flammability of ethylene-vinyl-acetate copolymer
  30. Study on preparation and properties of bentonite-modified epoxy sheet molding compound
  31. Polyhedral oligomeric silsesquioxane (POSS)-modified phenolic resin: Synthesis and anti-oxidation properties
  32. Study on structure and properties of natural indigo spun-dyed viscose fiber
  33. Biodegradable thermoplastic copolyester elastomers: Methyl branched PBAmT
  34. Investigations of polyethylene of raised temperature resistance service performance using autoclave test under sour medium conditions
  35. Investigation of corrosion and thermal behavior of PU–PDMS-coated AISI 316L
  36. Modification of sodium bicarbonate and its effect on foaming behavior of polypropylene
  37. Effect of coupling agents on the olive pomace-filled polypropylene composite
  38. High strength and conductive hydrogel with fully interpenetrated structure from alginate and acrylamide
  39. Removal of methylene blue in water by electrospun PAN/β-CD nanofibre membrane
  40. Theoretical and experimental studies on the fabrication of cylindrical-electrode-assisted solution blowing spinning nanofibers
  41. Influence of l-quebrachitol on the properties of centrifuged natural rubber
  42. Ultrasonic-modified montmorillonite uniting ethylene glycol diglycidyl ether to reinforce protein-based composite films
  43. Experimental study on the dissolution of supercritical CO2 in PS under different agitators
  44. Experimental research on the performance of the thermal-reflective coatings with liquid silicone rubber for pavement applications
  45. Study on controlling nicotine release from snus by the SIPN membranes
  46. Catalase biosensor based on the PAni/cMWCNT support for peroxide sensing
  47. Synthesis and characterization of different soybean oil-based polyols with fatty alcohol and aromatic alcohol
  48. Molecularly imprinted electrospun fiber membrane for colorimetric detection of hexanoic acid
  49. Poly(propylene carbonate) networks with excellent properties: Terpolymerization of carbon dioxide, propylene oxide, and 4,4ʹ-(hexafluoroisopropylidene) diphthalic anhydride
  50. Polypropylene/graphene nanoplatelets nanocomposites with high conductivity via solid-state shear mixing
  51. Mechanical properties of fiber-reinforced asphalt concrete: Finite element simulation and experimental study
  52. Applying design of experiments (DoE) on the properties of buccal film for nicotine delivery
  53. Preparation and characterizations of antibacterial–antioxidant film from soy protein isolate incorporated with mangosteen peel extract
  54. Preparation and adsorption properties of Ni(ii) ion-imprinted polymers based on synthesized novel functional monomer
  55. Rare-earth doped radioluminescent hydrogel as a potential phantom material for 3D gel dosimeter
  56. Effects of cryogenic treatment and interface modifications of basalt fibre on the mechanical properties of hybrid fibre-reinforced composites
  57. Stable super-hydrophobic and comfort PDMS-coated polyester fabric
  58. Impact of a nanomixture of carbon black and clay on the mechanical properties of a series of irradiated natural rubber/butyl rubber blend
  59. Preparation and characterization of a novel composite membrane of natural silk fiber/nano-hydroxyapatite/chitosan for guided bone tissue regeneration
  60. Study on the thermal properties and insulation resistance of epoxy resin modified by hexagonal boron nitride
  61. A new method for plugging the dominant seepage channel after polymer flooding and its mechanism: Fracturing–seepage–plugging
  62. Analysis of the rheological property and crystallization behavior of polylactic acid (Ingeo™ Biopolymer 4032D) at different process temperatures
  63. Hybrid green organic/inorganic filler polypropylene composites: Morphological study and mechanical performance investigations
  64. In situ polymerization of PEDOT:PSS films based on EMI-TFSI and the analysis of electrochromic performance
  65. Effect of laser irradiation on morphology and dielectric properties of quartz fiber reinforced epoxy resin composite
  66. The optimization of Carreau model and rheological behavior of alumina/linear low-density polyethylene composites with different alumina content and diameter
  67. Properties of polyurethane foam with fourth-generation blowing agent
  68. Hydrophobicity and corrosion resistance of waterborne fluorinated acrylate/silica nanocomposite coatings
  69. Investigation on in situ silica dispersed in natural rubber latex matrix combined with spray sputtering technology
  70. The degradable time evaluation of degradable polymer film in agriculture based on polyethylene film experiments
  71. Improving mechanical and water vapor barrier properties of the parylene C film by UV-curable polyurethane acrylate coating
  72. Thermal conductivity of silicone elastomer with a porous alumina continuum
  73. Copolymerization of CO2, propylene oxide, and itaconic anhydride with double metal cyanide complex catalyst to form crosslinked polypropylene carbonate
  74. Combining good dispersion with tailored charge trapping in nanodielectrics by hybrid functionalization of silica
  75. Thermosensitive hydrogel for in situ-controlled methotrexate delivery
  76. Analysis of the aging mechanism and life evaluation of elastomers in simulated proton exchange membrane fuel cell environments
  77. The crystallization and mechanical properties of poly(4-methyl-1-pentene) hard elastic film with different melt draw ratios
  78. Review Articles
  79. Aromatic polyamide nonporous membranes for gas separation application
  80. Optical elements from 3D printed polymers
  81. Evidence for bicomponent fibers: A review
  82. Mapping the scientific research on the ionizing radiation impacts on polymers (1975–2019)
  83. Recent advances in compatibility and toughness of poly(lactic acid)/poly(butylene succinate) blends
  84. Topical Issue: (Micro)plastics pollution - Knowns and unknows (Guest Editor: João Pinto da Costa)
  85. Simple pyrolysis of polystyrene into valuable chemicals
  86. Topical Issue: Recent advances of chitosan- and cellulose-based materials: From production to application (Guest Editor: Marc Delgado-Aguilar)
  87. In situ photo-crosslinking hydrogel with rapid healing, antibacterial, and hemostatic activities
  88. A novel CT contrast agent for intestinal-targeted imaging through rectal administration
  89. Properties and applications of cellulose regenerated from cellulose/imidazolium-based ionic liquid/co-solvent solutions: A short review
  90. Towards the use of acrylic acid graft-copolymerized plant biofiber in sustainable fortified composites: Manufacturing and characterization
Downloaded on 1.11.2025 from https://www.degruyterbrill.com/document/doi/10.1515/epoly-2021-0031/html?lang=en
Scroll to top button