Abstract
This work presents a numerical analysis by zero-dimensional global model of the influence of electron temperature and concentration on production of OH and NO for helium plasma jet propagating in the atmosphere of humid air. The calculations are done for the constant electron temperatures (1–4 eV) and concentrations (1010 cm−3 to 1014 cm−3). The mole fractions of air and water vapor vary from 100 to 10,000 ppm. The presented analysis reveals that at low electron temperature and H2O contents, the dissociative electron attachment to O2 dominates over attachment to H2O in production of OH. At higher amount, H2O modifies the high-energy tail of electron distribution function and increases rate coefficients for electron impact processes. Dissociative electron attachment to H2O dominates in the production of OH at 1 eV and remains important at higher energies when processes with O(1D), O(1S), O2(1∆) produce OH. Impact dissociation of H2O dominates over the dissociative attachment at 3 and 4 eV. NO comes mainly from air effluent in the plasma and O + NO2 at 100 ppm of H2O. Above 2 eV, the conversion process between OH and NO dominates in NO production at higher amount of H2O. Regarding dependencies on electron concentration, at low electron temperatures, electron distribution function is affected only at 1014 cm−3. But in the case of higher temperature, electron concentration and water vapor have negligible influence. The best agreement with measured data is obtained for electron concentration 1010 cm−3 and at temperature of 2 eV for OH and 1012 cm−3 and 3 eV for NO.
1 Introduction
Atmospheric pressure low-temperature (cold) plasmas (CAPS) in the last few decades have become an innovative and promising tool for application in biomedicine and agriculture, primarily based on reactive oxygen and nitrogen species (RONS), but also because the fact that CAPS is usually far from the equilibrium state, with the electron temperature of a few electron-volts, while the gas temperature does not exceed much the room temperature [1,2,3,4,5,6,7,8,9,10]. RONS is effectively produced by discharges in noble gases (He or Ar), which expand in ambient humid air, or in plasmas generated in gas mixtures which contain air with given amount of water vapor [11,12,13]. The composition and quantity of RONS in such plasmas depend on the diverse physical and technical parameters of the plasma-generating devices as well as on ambient conditions and contact of plasma with other media beyond atmospheric air, above all, solid or liquid phases. Different kinds of applications require specific sources of plasma (free plasma jet, plasma needle, dielectric barrier discharge, etc.) operating on favorable conditions (DC, kHz, MHz or pulse voltages, ideal absorbed power, flow rate, the preferred mol fraction of air and/or water vapor) for the reinforced production of required reactive species. The ability of those plasmas to effectively produce RONS are not only determined by working gas composition but also to the great extent by electron concentration and temperature (mean energy). The rate coefficients of relevant production processes (production rates) are uniquely related to electron energy distribution function (EEDF) and set of cross-section data, as well as of power absorbed from external voltage supply. A very complex mutual relation exists among all those parameters, and it is obvious that a comprehensive analysis of numerous factors is necessary to clearly establish the most preferred condition for the RONS production. The brief review of variety of experimental data for the electron temperature
According to numerical results from our previous paper [17], the electron concentration drops from 4.5 × 1010 cm−3 to 1.0 × 1010 cm−3 for the increasing amount of water vapor in plasma from 100 to 10,000 ppm due to increased electronegativity of the plasma, while the electron temperature, calculated by the energy balance equation, increases from 3 to 4.75 eV necessary to sustain the discharge. Similar results are obtained by the GlobalKIN code for He/H2O micro-jet by Schröter et al. [18]. Also, the electron concentration is more sensitive to changes of air content in plasma, from 100 to 10,000 ppm, and decreases two times at lowest H2O content and around 20% at highest one. On the other hand, the electron temperature is less sensitive to the content of air and changes below 15% for any content of H2O.
By fast imaging (ICCD or streak cameras), it was found that the plasma plume, which appeared continuously to the naked eye, was in fact made up of fast-moving plasma structures. So, plasma generated in AP jet is not a continuous medium but rather travels as a train of plasma volumes or pulses of atmospheric pressure streamers/ionization fronts, known as plasma bullets. Some specific features of plasma bullets moving in a thin jet column differ from those of streamers in a free space, as discussed in series of papers [19,20]. These bullets travel through the surrounding air with velocities in the order of 104–105 ms−1 without the existence of an externally applied electric field in the propagation space. According to this picture, the electron density and electron mean energy in jet have characteristic space distributions. The production mechanism of OH radicals in a pulsed DC plasma jet is studied by a two-dimensional (2D) plasma jet model and a one-dimensional (1D) discharge model in the study by Liu et al. [21]. Liu et al. [22] present the spatial temporal resolved images characterizing the behavior of bullets propagating in the pure He APPJ, He + 0.5% O2 APPJ and He + 0.5% N2 APPJ impinging on water. The differences in bullet propagations are clearly marked by these three mixtures. In the study by Liu et al. [23], a positive voltage of 5 kV with the rising time of 1 ns is applied, and the considered air concentrations are 0.001, 0.01, 0.1, 0.5, 1, and 5%. The calculation reveals that the peak position of the electric field moves toward the cathode, and having in mind that the peak position of the electric field is also the position of the propagating bullet, the evaluated bullet velocity is of the order of 105 m/s.
One of the most important reactive species among RONS are hydroxyl radical (OH) and nitric oxide (NO), which serve as precursors for other long-lived reactive species such as H2O2 or nitric or nitrous acid. The concentrations of OH and NO are measured by LIF measurement technique for similar plasma mixtures as in our recent paper [17], and results are presented in previous studies [24,25,26,27]. Brisset et al. [28] present measurement and modeling of OH densities in a radiofrequency-driven atmospheric pressure plasma in a plane-parallel geometry, operated in helium with small admixtures of oxygen and water vapor (He + O2 + H2O). The density of OH is measured under a wide range of conditions by absorption spectroscopy, using an ultrastable laser-driven broad-band light source. These measurements are compared with zero-dimensional (0D) plasma chemical kinetics simulations adapted for high levels of O2 (1%).
Generally, tailoring the plasma chemistry (i.e., achieving the required composition of RONS) can be done by adjusting external parameters. But deep understanding of complex plasma chemistry is only possible through numerical modeling or simulation of all relevant processes. With this goal, we used an approach based on zero-dimensional global models. This spatially averaged models are based on solving the particle and energy balance equations locally (at one fixed space point of discharge volume) [29] and thus give the possibility of following very detailed chemical kinetics in complex plasma systems such as CAPS without much of computational burden. The results of global models for various types of helium CAPS and mixtures have been presented in several papers: He/O2 [30], He/H2O [31,32], He/O2/H2O or He/humid air [17,33,34,35,36,37,38,39,40,41,42,43,44], and for interaction of plasma with liquid water [45]. In this article, we use the model described in detail in our previous work [17] based on 1,488 reactions and 74 species for the mixture He/humid air, with goal to investigate the effects of electron temperature and concentration as the main plasma parameters on EEDF and production of OH and NO in helium plasma jets, which propagate in atmosphere of the humid air. The calculations were done for a several measured values of
The primary aim of this work is to reveal all important production processes for OH and NO for a very broad range of basic plasma parameters,
Section 2 brings details about the global model and input parameters. In Section 3.1, we analyze the influence of electron temperature only on EEDF and rate coefficients for electron impact processes, at the fixed electron concentration of 1010 cm−3 and different helium/air/water vapor mixtures. Through global modeling, we then analyze differences in chemical kinetics of OH and NO induced by the mean electron energy. Calculation was done for 1, 2, 3, and 4 eV, estimated from the literature. While various models give
2 Plasma modeling
2.1 Model description
To obtain the better insight into reaction mechanisms for the production and consumption of OH and NO, we use zero-dimensional global model described in detail in our previous work [17], based on 1,488 reactions and 74 species for the mixture He/humid air. The term “zero-dimensional” model refers to the fact that it calculates chemical composition and analyzes the chemical production and consumption pathways of each plasma species in one fixed point of the discharge. A model is based on numerical solving of the system of coupled particle balance, electron concentration balance, and electron temperature balance equations as follows [12]:
where t,
Other calculation methods characteristic for fluid or hybrid models include the analysis of the spatial inhomogeneity of the plasma by solving the system of the fluid equations, and they are related with much more of computational burden. Solving the system of coupled particle balance equations in one fixed point of the plasma allows the insight into chemistry of the very complex chemical composition, which is characteristic for plasmas formed by mixing of He/Ar discharges with open air, with much less computational burden and time. To describe the changes in plasma characteristics and chemical composition along the symmetry axis of the plasma jet, one should use a “plug-flow” approach based on models for the power density, gas temperature, flow velocity, and air fraction obtained by fitting the experimental results, as presented by Van Gaens and Bogaerts [12]. The main goal of this work was not to analyze how the plasma properties change along the axis of the jet but to calculate the concentration of the OH radical and NO at fixed positions and to analyze the influence of electron temperature and concentration inside plasma bullet on production mechanisms for these important precursors for other reactive species.
With the intention of using the various measured values of electron temperature and concentration from the literature [14,15,16], in this work, we use the global model in the reduced form, and only the equations describing the balance of particle number density for each plasma species are included in calculation. The system of coupled particle balance equations is now expressed as follows:
where t and
We analyze the chemical kinetics of OH and NO for the case of helium jet which propagates in open air, without any contact with metallic or dielectric surfaces. Also, as stated by Schröter et al. [53], an important fact is that probabilities of particle-surface reactions for atmospheric pressure plasmas are rare, most of them measured in low-pressure systems. They are also dependent on experimental conditions such as gas pressure, temperature or mixture, wall material, and surface conditions. Since we analyze the chemical kinetics of OH and NO only in gas phase, and due to the lack of data for probabilities and rates of particle-surface processes for atmospheric pressure plasmas, our global model excludes surface reactions. One should bear in mind that they could be important when modeling some plasma system in contact with metallic or dielectric surfaces.
During simulation, we calculate the percent of contribution for each process in generation and loss for all specific species by dividing the rate of the process
As presented in the studies by Mladenović and Gocić [17], we use BOLSIG+ for the calculation of EEDFs and rate coefficients for electron impact processes separately from the global model. As an effort to realize the coupling between BOLSIG+ and MATLAB calculation, in the first step, we calculate rate coefficients with the mole fractions estimated from the initial gas mixture, for each case of varied air and water vapor contents and run a global model. In the second step, we use the new mole fractions in BOLSIG+ obtained by a global model after 15 ms when our calculation reaches the steady-state conditions and the concentration of the most abundant plasma species, helium, nitrogen, oxygen, and water vapor, with the most pronounced influence on EEDF, remain constant during calculation, same as initial, for each case of varied air and water vapor contents. In numerical solving of BE in BOLSIG+ input cross-sectional data for electron – neutral scattering processes are multiplied by mole fractions for each of the included species [47]. In the next step, we use the new calculated rate coefficients and run the global model to check plasma composition and mole fractions of included species. We have done a few such iterations until reaching the good agreement, meaning that differences in mole fractions obtained by global model and used in BOLSIG+ calculations are at second decimal places or less.
The parameter for calculation of EEDF in BOLSIG+ is the reduced electric field E/N or the corresponding mean electron energy (represented by the electron temperature, although cold atmospheric pressure plasma is not in the equilibrium state). The rate coefficients for electron-neutral scattering processes can be represented as a function of E/N or mean electron energy. We use the second case because one of the important parameters that we vary in this work is electron temperature.
In some cases [14], rate coefficients for electron impact processes are taken in the Arrhenius form with the assumption that electrons have a Maxwell–Boltzmann (MB) distribution at the corresponding temperature. According to our recently presented results [42], when running the global model with rate coefficients obtained from MB EEDF differences of a few orders in magnitude can emerge for concentration of plasma species in comparison to those calculated with rate coefficients obtained from BE EEDF. Differences in EEDF, the most importantly in the high energy tail, strongly affect the rate of high threshold processes such as excitations, dissociations, and ionizations.
The system of Eq. (3) is solved by MATLAB ode15s solver, with relative and absolute tolerances equal to 10−10 and 10−6, respectively. A similar calculation procedure was used in our previous works [17,44], In our model, calculations are made with time step of 50 ns up to 15 ms as the final time during which our calculation reaches the steady state. The gas temperature during calculation was 296 K and the flow rate was 5 slm.
3 Results and discussion
In this section, we first calculate the specific nonequilibrium electron energy distribution function by solving the Boltzmann equation
for the specific set of cross section data
As it is previously mentioned, zero-dimensional global model is spatially homogenized and constructed to study the chemical kinetics of all plasma species locally, in one specific point of a discharge. Thus, it is very unreliable to compare its results with the results of other calculation methods characteristic for fluid (1D or 2D) or hybrid models, which include the analysis of the spatial inhomogeneity. Comparing with the results obtained by global models from the literature [12,18,39,40], we reach the good agreement on higher mean electron energies above 3 eV and electron concentration of 1010 cm−3. Our calculation for OH and NO production is made for a free plasma jet that travels in open air without any actual plasma oscillations or waves that can be generated by various effects, for example, the variation of the gas flow rate in time. Results presented in this article give the insight into chemical kinetics of OH and NO in the helium-free jet with the laminar and time constant gas flow. We present the influence of electron temperature and concentration on the kinetics of these important precursors for other reactive species, as the basic plasma parameters that have the specific space distributions in plasma bullets and depend on specific plasma discharge, starting with the calculation of EEDF as the fundamental physical basis.
3.1 Effect of electron temperature on production of OH and NO
Figure 1a and b present BE EEDF calculated for the constant electron concentration 1010 cm−3 and two values for

EEDF calculated by BOLSIG+ for (a) mean electron energy 1 eV and (b) 4 eV, for a different amount of air and water vapor in helium plasma and
As a consequence, rate coefficients for the electron impact processes are increased at higher content of air and water vapor, and the effect is more pronounced at lower mean electron energies, as presented in Figure 2 for dissociative electron attachment to H2O (a), dissociative attachment to O2 (b), electron impact dissociation of H2O (c), O2 (d), N2 (e), and ionization of O2 (f). These processes are important for chemical kinetics of reactive species since dissociative attachment to H2O and O2 can be regarded as a first step of reaction chain for producing OH (Section 3.1), electron impact dissociation of O2 and N2 initially produce O and N as a precursor for the production of OH and NO, respectively, while the ionization processes are important for production of hydrate-cluster ions, which also play a significant role in OH production after few milliseconds when plasma chemistry becomes very complex. In the previous work [17], we have shown that water vapor profoundly increases plasma electronegativity, while in this work, we show that dissociative attachment to H2O molecules can be also very important for the production of OH radicals at lower mean electron energies.

Rate coefficients calculated by BOLSIG+ for (a) electron attachment to H2O, (b) electron attachment to O2, (c) dissociation of H2O, (d) dissociation of O2, (e) dissociation of N2 and ionization od O2, and (f) for a different amount of air and water vapor in helium plasma and
Figure 3 presents the concentrations of OH calculated by global model at constant electron temperatures 1, 2, 3, and 4 eV and at different amounts of air and water vapor. The electron concentration is kept constant at 1010 cm−3 during calculation to analyze the influence of electron temperature on the production of OH. The optimal values of air concentration are chosen from the results of LIF measurement presented in the literature [24] depending on the axial position in the plasma jet. Also, two different concentrations of water vapor are chosen as a representative for the cases when H2O comes only from the humidity of ambient air (100 ppm of H2O), or it is included as feed gas component for reinforced production of OH (5,000 ppm of H2O).

Concentration of OH in plasma as a function of electron temperature for different amounts of air and water vapor in helium plasma and
As presented in Figure 3, for a low amount of air in plasma (dashed lines with scatter), the concentration of OH radical is increased with mean electron energy despite the amount of water vapor. At low energies, OH concentrations for 100 and 5,000 ppm of H2O differ more than for high energies since the rate coefficient for electron impact dissociation of H2O is not influenced by water vapor above 3 eV (Figure 2b). For higher amount of air (solid lines with scatter), chemical kinetics of OH radical is more complex, and there are more important production processes besides electron impact dissociation of H2O, also depending on mean energy, as presented in Figure 4.

The main production processes of OH radical as a function of mean electron energy for 10,000 ppm of air with 100 ppm H2O (a) and 5,000 ppm of H2O (b). Electron concentration is kept constant
The production of OH radical is initially determined by dissociative electron attachment at 1 eV. In the case of 100 ppm of water vapor, the attachment to O2 (Figure 4a) is dominant over attachment to H2O through process O− + H2O

Concentration of NO in plasma as a function of mean electron energy for different amounts of air and water vapor in helium plasma and
In our model, nitric oxide is taken as a component of ambient air (10−6%) [17]. For the low amount of air effluent in plasma (dashed lines with scatter symbols), the concentration of NO profoundly rises with the mean electron energy, and it is more influenced by water vapor, as presented in Figure 5, than for 10,000 ppm of air (solid lines with scatter), when similar saturation occurs like in the OH case due to the conversion process OH + N

The main production processes of NO as a function of the mean electron energy for 10,000 ppm of air with 100 ppm H2O (a) and 5,000 ppm of H2O (b). Electron concentration is kept constant
At low amount of water vapor (Figure 6a) and low energies around 1 eV, electron impact dissociation of N2 (9.7 eV) and conversion process OH + N
If water vapor is included as a feed gas component, the most important pathway for the generation of NO is conversion OH + N → NO + H for 2 eV and higher energies, as presented in Figure 6b. Only at 1 eV, this process is competitive with the flow of NO from ambient air. Processes that are included in the pattern part of bars in Figure 6 are O2 + N(2D)
3.2 Effect of electron concentration on production of OH and NO
In Figure 7, we present the calculated EEDFs for 1% of air in helium plasma and for a different amount of water vapor and electron concentration. These values are taken as optimal from experimental data in the literature [24], based on LIF measurements for free plasma jet in open air and measurement of electron concentration and temperature for plasma bullets, which propagates in the plasma channel of the jet [14–16,55]. Distributions are also compared with the Maxwell–Boltzmann distribution for the same mean electron energy 1 eV (Figures 7a) and 4 eV (Figure 7b). For electrons behind the ionization front, Maxwellianization effects of EEDF are observable only at electron concentration 1014 cm−3, while for 1010 cm−3 and even 1012 cm−3, high energy tail of nonequilibrium EEDF differs from MB tail for a few orders of magnitude. In the case of higher mean electron energies (Figure 7b), water vapor has a negligible influence on EEDF, and the effect of Maxwellianization is not observable even at electron concentration 1014 cm−3, which is measured as the highest in cold atmospheric pressure pulsed discharges [16]. As a consequence, rate coefficients for electron impact dissociation of O2, N2, and H2O and other inelastic processes are increased by electron concentration at lower mean electron energies, but not influenced above 3 eV neither by electron concentration nor by water vapor. Similar results are presented in our previous work [42] for a micro-jet with a much lower and constant concentration of air and H2O. In this work, we present the results of a more complex study for a wide range of discharge conditions based on experimental data presented in the literature.

EEDF calculated by BOLSIG + for 1% of air and (a) mean electron energy 1 eV and (b) 4 eV, with 100 ppm (blue lines) and 1,000 ppm H2O (red lines) and for electron concentration 1010 cm−3 (solid lines), 1012 cm−3 (dashed lines), and 1014 cm−3 (dotted lines). Solid black lines represent Maxwell–Boltzmann EEDF. (b) Calculated EEDFs overlap for a wide range of varied amounts of H2O and n e.
As it is presented in our previous work [42], the results of a system of coupled particle balance equations in 0D global model calculation are mostly dependent on the variation of rate coefficients with the mean electron energy (electron temperature), reflecting the influence of EEDF. Since the electron temperature has the specific space distributions in plasma bullets and depends on specific plasma discharge, according to the results presented in Figure 7, it can be expected that Maxwellianization effects on EEDF can introduce important differences in the production of OH radical and nitric oxide NO.
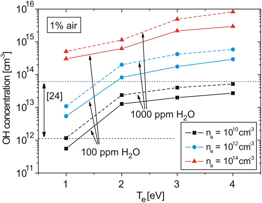
With rate coefficients obtained by BOLSIG+ for each set of conditions (water vapor and electron concentration), we have calculated plasma composition after 15 ms and made the analysis of all important chemical pathways for producing OH radical and NO. In Figures 8 and 9, we present the concentration of these reactive species for three different electron concentrations, 1010, 1012, and 1014 cm−3, and two different amounts of water vapor, 100 ppm and 1,000 ppm, which represent the order of magnitude when water vapor comes only from humidity of ambient air or it is included as feed gas component. Figures also present estimated interval for measured concentrations of OH and NO from the literature [25,26,27].
![Figure 8
Calculated OH concentration for 1% air in plasma and different concentrations of electrons and water vapor amounts. The estimated interval of measured OH concentration from the literature [24] is also marked.](/document/doi/10.1515/phys-2024-0055/asset/graphic/j_phys-2024-0055_fig_008.jpg)
Calculated OH concentration for 1% air in plasma and different concentrations of electrons and water vapor amounts. The estimated interval of measured OH concentration from the literature [24] is also marked.
To verify our model, we have made the comparison of our calculated results for OH and NO concentration with experimental data from the literature, for the range of electron temperature 1–4 eV and electron concentration 1010–1014 cm−3 in Figures 8 and 9. Model reaches the good agreement with measured values of OH concentration with those presented by Yonemory et al. [24] at all electron temperatures for electron concentration below 1012 cm−3, which was also reported by Yonemory et al. [24]. Concerning NO, above 1 eV, we reach good agreement with the experimental data in previous studies [25,26,27] for electron concentration above 1012 cm−3, characteristic of pulsed discharges.
As presented in Figure 8, the calculated OH concentration rises with the electron temperature for all values of electron concentrations. At 1 eV, an increase in electron concentration from 1010 to 1014 cm−3 leads to an increase in OH concentration from around 5 × 1011 to 3 × 1014 cm−3 (for 100 ppm H2O) or 1 × 1012 to 5 × 1014 cm−3 (for 1,000 ppm H2O). At high energies (4 eV), an increase in electron concentration increases OH concentration from around 3 × 1013 to 3 × 1015 cm−3 (for 100 ppm H2O) or 5 × 1013 to near 1 × 1016 cm−3 (for 1,000 ppm H2O). These effects of
Having in mind that for biomedical applications the temperature of active medium should be near to body temperature, plasmas with lower mean electron energy are preferable. According to Eq. (2), it is hard to obtain the low electron temperature at high
In both cases, electron concentration and water vapor increase the concentrations of OH and NO, but the best agreement between global model results and measured data is obtained for electron concentration 1010 and temperature 2 eV for OH (Figure 8), and some higher values 1012 cm−3 and 3 eV for NO (Figure 9), due to higher threshold for electron impact dissociation of N2. These values are also in good agreement with measured electron concentration and temperature for free jet, which propagates in open air from the literature [14,15,16]. We chose to make an analysis of all important chemical pathways for the production of OH and NO at given conditions.
In the case of OH important production channels for 100 ppm H2O, n
e = 1010 cm−3 and T
e = 2 eV are presented in Figure 4a), while at 1,000 ppm H2O, the most important processes are O(1D) + H2O
In the case of NO, at 3 eV and electron concentration 1012 cm−3, the most important production channels are O + NO2
At the same mean energy but higher electron concentration 1014 cm−3, concentration of NO reaches the order of magnitude 1015 cm−3 (Figure 9), and these processes contribute to total NO production with O + NO2
We have made the analysis of all important production and consumption processes for reactive species NO x and HNO x for a wide range of discharge conditions, which are presented schematically in Figure 10. The percent of contribution for each process depends on the chemical composition of plasma/humid air mixture and also electron temperature and concentration. As presented, nitric oxide initially comes from flow of air in the plasma and conversion of OH with nitrogen atoms, produced by electron impact dissociation of N2, and then becomes an important precursor for other reactive nitrogen-oxygen compounds. After a few milliseconds of calculation, chemical composition of the plasma becomes more complex and new chemical pathways, and NO x becomes important for not only the production of NO but also for the enhanced production of acids HNO x through three-body association with H and OH, which are then carried out from the system through flow. An analogous scheme representing the chemical kinetics of OH radical with all important pathways is presented in in our paper [17].

The main production and consumption mechanisms for species NO x and HNO x , determined by a 0D global model after 15 ms of calculation.
4 Conclusion
In this work, we have presented numerical analysis based on the 0D global model, of important production pathways for OH radical and nitric oxide NO for the case of atmospheric pressure low-temperature helium plasma jets, which propagate in open air. The model is based on reaction scheme that comprises 1,488 reactions among 74 species [17]. During calculation, a parametric study was performed with the variation of electron temperature and electron concentration at different amounts of air and water vapor in plasma, with the goal to examine the influence of these important parameters on EEDF and chemical kinetics of OH and NO as precursors for production oxygen and nitrogen reactive species. We have identified the main processes for the production of OH, NO, and NO x species, for the wide range of conditions based on experimental data given in the literature. Rate coefficients for all electron impact processes included in the model are calculated using the two-term Boltzmann solver BOLSIG+, with cross-sectional data taken mostly from Quantemol-DB and LXCat databases. On the basis of the swarm analysis obtained by BOLSIG+ for the constant electron concentration of 1010 cm−3, we found analogously as in our previous work that higher amount of air and water vapor require higher values of reduced electric field to achieve the same mean electron energy, which rises the energy tail of EEDF and consequently more or less increases the values of rate coefficients for electron impact processes, depending on the mean electron energy of EEDF and energy threshold. More important, in this work, we have found that Maxwellization effects of EEDF for lower mean energies are observable only at electron concentration 1014 cm−3, while for 1010 cm−3 and even 1012 cm−3, high energy tail of nonequilibrium EEDF differ from MB tail for a few orders of magnitude. In the case of higher mean energies, the effect of Maxwellization is not observable even at electron concentration 1014 cm−3, which is presented in the literature as the highest measured value in cold atmospheric pressure pulsed discharges.
In this work, we have also shown that dissociative attachment has the important role in the production of OH. When water vapor comes only from the humidity of ambient air, the main role in the OH production takes attachment to O2 through process O− + H2O
Concerning NO, results of our model show that the conversion process OH + N
-
Funding information: This work was supported by MPNTR of Serbia. We thank the Ministry of Science, Technological Development, and Innovation of the Republic of Serbia for support under Contract No. 451-03-65/2024-03/200124.
-
Author contributions: All authors have accepted responsibility for the entire content of this manuscript and approved its submission.
-
Conflict of interest: The authors state no conflict of interest.
-
Data availability statement: The datasets generated and/or analyzed during the current study are available from the corresponding author on reasonable request.
References
[1] von Woedtke T, Laroussi M, Gherardi M. Foundations of plasmas for medical applications. Plasma Sources Sci Technol. 2022;31:054002.10.1088/1361-6595/ac604fSearch in Google Scholar
[2] Bruggeman PJ, Iza F, Brandenburg R. Foundations of atmospheric pressure non-equilibrium plasmas. Plasma Sources Sci Technol. 2017;26:123002.10.1088/1361-6595/aa97afSearch in Google Scholar
[3] Levchenko I, Xu S, Mazouffre S, Lev D, Pedrini D, Goebel D, et al. Perspectives, frontiers, and new horizons for plasma-based space electric propulsion. Phys Plasmas. 2020;27:020601.10.1063/1.5109141Search in Google Scholar
[4] Foster JE, Garcia MC. Promise of nonthermal plasmas in addressing emerging environmental and health problems: Present and future. Phys Plasmas. 2022;29:060601.10.1063/5.0083766Search in Google Scholar
[5] Adamovich I, Baalrud S, Bogaerts A, Bruggeman PJ, Cappelli M, Colombo V, et al. The 2017 Plasma Roadmap: Low temperature plasma science and technology. J Phys D: Appl Phys. 2017;50:323001.10.1088/1361-6463/aa76f5Search in Google Scholar
[6] Kong MG, Kroesen G, Morfill G, Nosenko T, Shimizu T, Van Dijk J, et al. Plasma medicine: an introductory review. N J Phys. 2009;11:115012.10.1088/1367-2630/11/11/115012Search in Google Scholar
[7] Weltmann KD, von Woedtke T. Plasma medicine—current state of research and medical application. Plasma Phys Control Fusion. 2017;59:014031.10.1088/0741-3335/59/1/014031Search in Google Scholar
[8] Graves DB. The emerging role of reactive oxygen and nitrogen species in redox biology and some implications for plasma applications to medicine and biology. J Phys D: Appl Phys. 2012;45:263001.10.1088/0022-3727/45/26/263001Search in Google Scholar
[9] Metelmann HR, Nedrelow DS, Seebauer C, Schuster M, von Woedtke T, Weltmann KD, et al. Head and neck cancer treatment and physical plasma. Clin Plasma Med. 2015;3:17–23.10.1016/j.cpme.2015.02.001Search in Google Scholar
[10] Gorbanev Y, Maldonado AP, Bogaerts A. Analysis of short-lived reactive species in plasma−air−water systems: The dos and the do nots. Anal Chem. 2018;90:22.10.1021/acs.analchem.8b03336Search in Google Scholar PubMed
[11] Sun B, Liu D, Wang X, Liu Z, Iya F, Yang A, et al. Reactive species in cold atmospheric-pressure He + Air plasmas: The influence of humidity. Phys Plasmas. 2019;26:063514.Search in Google Scholar
[12] Van Gaens W, Bogaerts A. Kinetic modelling for an atmospheric pressure argon plasma jet in humid air. J Phys D: Appl Phys. 2014;46:079502.10.1088/0022-3727/47/7/079502Search in Google Scholar
[13] Ghimire B, Sornsakdanuphap J, Hong YJ, Uhm HS, Weltmann KD, Choi EH. The effect of the gap distance between an atmospheric-pressure plasma jet nozzle and liquid surface on OH and N2 species concentrations. Phys Plasmas. 2017;24:073502.10.1063/1.4989735Search in Google Scholar
[14] Chang Z, Zhang G, Shao X, Zhang Z. Diagnosis of gas temperature, electron temperature, and electron density in helium atmospheric pressure plasma jet. Phys Plasmas. 2012;19:073513.10.1063/1.4739060Search in Google Scholar
[15] Lin L, Lyu Y, Trink B, Canady J, Keidar M. Cold atmospheric helium plasma jet in humid air environment. J Appl Phys. 2019;125:153301.10.1063/1.5086177Search in Google Scholar
[16] Nikiforov AY, Leys C, Gonzalez MA, Walsh JL. Electron density measurement in atmospheric pressure plasma jets: Stark broadening of hydrogenated and non-hydrogenated lines. Plasma Sources Sci Technol. 2015;24:034001.10.1088/0963-0252/24/3/034001Search in Google Scholar
[17] Mladenović Ž, Gocić S. Influence of air and water vapor on EEDF, plasma parameters, and the main RONS in atmospheric pressure low temperature helium plasmas: Global model approach. Phys Plasmas. 2022;29:103504.10.1063/5.0110151Search in Google Scholar
[18] Schröter S, Wijaikhum A, Gibson AR, West A, Davies HL, Minesi N, et al. Chemical kinetics in an atmospheric pressure helium plasma containing humidity. Phys Chem Chem Phys. 2018;20:24263–86.10.1039/C8CP02473ASearch in Google Scholar
[19] Naidis GV. Modelling of plasma bullet propagation along a helium jet in ambient air. J Phys D: Appl Phys. 2011;44:215203.10.1088/0022-3727/44/21/215203Search in Google Scholar
[20] Lu X, Laroussi M, Puech V. On atmospheric-pressure non-equilibrium plasma jets and plasma bullets. Plasma Sources Sci Technol. 2012;21:034005.10.1088/0963-0252/21/3/034005Search in Google Scholar
[21] Liu XY, Pei XK, Ostrikov K, Lu XP, Liu DW. The production mechanisms of OH radicals in a pulsed direct current plasma jet. Phys Plasmas. 2014;21:093513.10.1063/1.4895496Search in Google Scholar
[22] Liu Z, Wang W, Liu D, Zhou C, He T, Xia W, et al. Experimental investigation of behavior of bullets dynamics and production of RONS in helium APPJs-liquid interaction: The effect of additive gas components. Phys Plasmas. 2019;26:053507.10.1063/1.5063761Search in Google Scholar
[23] Liu Y, Tan Z, Chen X, Li X, Zhang H, Pan J, et al. An investigation on the effects of air on electron energy in atmospheric pressure helium plasma jets. Phys Plasmas. 2018;25:033514.10.1063/1.5012576Search in Google Scholar
[24] Yonemory S, Nakagawa Y, Ono R, Oda T. Measurement of OH density and air–helium mixture ratio in an atmospheric-pressure helium plasma jet. J Phys D: Appl Phys. 2012;45:225202.10.1088/0022-3727/45/22/225202Search in Google Scholar
[25] Yonemory S, Ono R. Effect of discharge polarity on the propagation of atmospheric-pressure helium plasma jets and the densities of OH, NO, and O radicals. Biointerphases. 2015;10:029514.10.1116/1.4919709Search in Google Scholar PubMed
[26] van Gessel AFH, Alards KMJ, Bruggeman PJ. NO production in an RF plasma jet at atmospheric pressure. J Phys D: Appl Phys. 2013;46:265202.10.1088/0022-3727/46/26/265202Search in Google Scholar
[27] Ono R. Optical diagnostics of reactive species in atmospheric-pressure nonthermal plasma. J Phys D: Appl Phys. 2016;49:083001.10.1088/0022-3727/49/8/083001Search in Google Scholar
[28] Brisset A, Gibson AR, Schröter S, Niemi K, Booth J-P, Gans T, et al. Chemical kinetics and density measurements of OH in an atmospheric pressure He + O2 + H2O radiofrequency plasma. J Phys D: Appl Phys. 2021;54:285201.10.1088/1361-6463/abefecSearch in Google Scholar
[29] Hurlbatt A, Gibson AR, Schröter S, Bredin J, Foote APS, Grondein P, et al. Concepts, capabilities, and limitations of global models: A review. Plasma Process Polym. 2017;14:1600138.10.1002/ppap.201600138Search in Google Scholar
[30] Liu Y, Liu D, Zhang J, Sun B, Yang A, Kong MG. 1D fluid model of RF-excited cold atmospheric plasmas in helium with air gas impurities. Phys Plasmas. 2020;27:043512.10.1063/1.5145033Search in Google Scholar
[31] Liu DX, Rong MZ, Wang XH, Iza F, Kong MG, Bruggeman P. Main species and physicochemical processes in cold atmospheric-pressure He + O2 plasmas. Plasma Process Polym. 2010;7:846.10.1002/ppap.201000049Search in Google Scholar
[32] Bruggeman P, Schram DC. On OH production in water containing atmospheric pressure plasmas. Plasma Sources Sci Technol. 2010;19:045025.10.1088/0963-0252/19/4/045025Search in Google Scholar
[33] Liu DX, Bruggeman P, Iza F, Rong MZ, Kong MG. Global model of low-temperature atmospheric-pressure He + H2O plasmas. Plasma Sources Sci Technol. 2010;19:025018.10.1088/0963-0252/19/2/025018Search in Google Scholar
[34] Norberg SA, Johnsen E, Kushner MJ. Formation of reactive oxygen and nitrogen species by repetitive negatively pulsed helium atmospheric pressure plasma jets propagating into humid air. Plasma Sources Sci Technol. 2015;24:035026.10.1088/0963-0252/24/3/035026Search in Google Scholar
[35] Stalder KR, Vidmar RJ, Nersisyan G, Graham WG. Modeling the chemical kinetics of high-pressure glow discharges in mixtures of helium with real air. J Appl Phys. 2006;99:093301.10.1063/1.2193170Search in Google Scholar
[36] Liu DX, Iza F, Wang XH, Kong MG, Rong MZ. He + O2 + H2O plasmas as a source of reactive oxygen species. Appl Phys Lett. 2011;98:221501.10.1063/1.3592775Search in Google Scholar
[37] Sakiyama Y, Graves DB, Chang HW, Shimizu T, Morfill GE. Plasma chemistry model of surface microdischarge in humid air and dynamics of reactive neutral species. J Phys D:Appl Phys. 2012;45:425201.10.1088/0022-3727/45/42/425201Search in Google Scholar
[38] Murakami T, Niemi K, Gans T, O’Connell D, Graham WG. Chemical kinetics and reactive species in atmospheric pressure helium–oxygen plasmas with humid-air impurities. Plasma Sources Sci Technol. 2013;22:015003.10.1088/0963-0252/22/1/015003Search in Google Scholar
[39] Sun B, Liu D, Wang X, Liu Z, Iza F, Yang A, et al. Reactive species in cold atmospheric-pressure He + Air plasmas: The influence of humidity. Phys Plasmas. 2019;26:063514.10.1063/1.5096926Search in Google Scholar
[40] Sun B, Liu D, Yang A, Rong M, Wang X. Global model of cold atmospheric He + air plasmas: A comparison of Maxwellian and non-Maxwellian EEDFs. Phys Plasmas. 2019;26:123508.10.1063/1.5124023Search in Google Scholar
[41] Jiang Y, Wang Y, Zhang J. Numerical study on the production and transport of O and OH in a helium–humid air atmospheric pressure plasma jet interacting with a substrate. Phys Plasmas. 2021;28:103501.10.1063/5.0058950Search in Google Scholar
[42] Mladenović Ž, Gocić S, Marić D, Petrović ZL. Influence of space charge density on electron energy distribution function and on composition of atmospheric pressure He/O2/air plasmas. Eur Phys J Plus. 2018;133:344.10.1140/epjp/i2018-12187-6Search in Google Scholar
[43] Murakami T, Niemi K, Gans T, O’Connell D, Graham DG. Interacting kinetics of neutral and ionic species in an atmospheric-pressure helium–oxygen plasma with humid air impurities. Plasma Sources Sci Technol. 2013;22:045010.10.1088/0963-0252/22/4/045010Search in Google Scholar
[44] Gocić S, Mladenović Ž. Global model simulation of OH production in pulsed-DC atmospheric pressure helium-air plasma jets. Open Phys. 2018;16:375–82.10.1515/phys-2018-0051Search in Google Scholar
[45] Bruggeman PJ, Kushner MJ, Locke BR, Gardeniers JGE, Graham WG, Graves DB, et al. Plasma–liquid interactions: a review and roadmap. Plasma Sources Sci Technol. 2016;25:053002.10.1088/0963-0252/25/5/053002Search in Google Scholar
[46] Sun B, Liu D, Iza F, Wang S, Yang A, Liu Z, et al. Global model of an atmospheric-pressure capacitive discharge in helium with air impurities from 100 to 10 000 ppm. Plasma Sources Sci Technol. 2019;28:035006.10.1088/1361-6595/aaf8e1Search in Google Scholar
[47] Hagelaar GJM, Pitchford LC. Solving the Boltzmann equation to obtain electron transport coefficients and rate coefficients for fluid models. Plasma Sources Sci Technol. 2005;14:722–33.10.1088/0963-0252/14/4/011Search in Google Scholar
[48] Morgan database. www.lxcat.net. Retrieved on April 24, 2019.Search in Google Scholar
[49] Tennyson J, Rahimi S, Hill C, Tse L, Vibhakar A, Akello-Egwel D, et al. QDB: A new database of plasma chemistries and reactions. Plasma Sources Sci Technol. 2017;26:055014.10.1088/1361-6595/aa6669Search in Google Scholar
[50] Elsaid EM, Wahid TZA, Morad AM. Exact solutions of plasma flow on a rigid oscillating plate under the effect of an external non-uniform electric field. Results Phys. 2020;19:103554.10.1016/j.rinp.2020.103554Search in Google Scholar
[51] Viegas P, Slikboer E, Bonaventura Z, Guaitella O, Sobota A, Bourdon A. Physics of plasma jets and interaction with surfaces: review on modelling and experiments. Plasma Sources Sci Technol. 2022;31:053001.10.1088/1361-6595/ac61a9Search in Google Scholar
[52] Balcon N, Hagelaar G, Boeuf J. Numerical model of an argon atmospheric pressure RF discharge. IEEE Trans Plasma Sci. 2008;36:2782–7.10.1109/TPS.2008.2003135Search in Google Scholar
[53] Schröter S, Gibson AR, Kushner MJ, O’Connell D. Numerical study of the influence of surface reaction probabilities on reactive species in an rf atmospheric pressure plasma containing humidity. Plasma Phys Control Fusion. 2018;60:014035.10.1088/1361-6587/aa8fe9Search in Google Scholar
[54] van Gessel AFH, Hrycak B, Jasiński M, Mizeraczyk J, van der Mullen JJAM, Bruggeman PJ. Temperature and NO density measurements by LIF and OES on an atmospheric pressure plasma jet. J Phys D: Appl Phys. 2013;46:095201.10.1088/0022-3727/46/9/095201Search in Google Scholar
[55] Schmidt-Bleker A, Winter J, Bösel A, Reuter S, Weltmann K-D. On the plasma chemistry of a cold atmospheric argon plasma jet with shielding gas device. Plasma Sources Sci Technol 2016;25:015005.10.1088/0963-0252/25/1/015005Search in Google Scholar
© 2024 the author(s), published by De Gruyter
This work is licensed under the Creative Commons Attribution 4.0 International License.
Articles in the same Issue
- Regular Articles
- Numerical study of flow and heat transfer in the channel of panel-type radiator with semi-detached inclined trapezoidal wing vortex generators
- Homogeneous–heterogeneous reactions in the colloidal investigation of Casson fluid
- High-speed mid-infrared Mach–Zehnder electro-optical modulators in lithium niobate thin film on sapphire
- Numerical analysis of dengue transmission model using Caputo–Fabrizio fractional derivative
- Mononuclear nanofluids undergoing convective heating across a stretching sheet and undergoing MHD flow in three dimensions: Potential industrial applications
- Heat transfer characteristics of cobalt ferrite nanoparticles scattered in sodium alginate-based non-Newtonian nanofluid over a stretching/shrinking horizontal plane surface
- The electrically conducting water-based nanofluid flow containing titanium and aluminum alloys over a rotating disk surface with nonlinear thermal radiation: A numerical analysis
- Growth, characterization, and anti-bacterial activity of l-methionine supplemented with sulphamic acid single crystals
- A numerical analysis of the blood-based Casson hybrid nanofluid flow past a convectively heated surface embedded in a porous medium
- Optoelectronic–thermomagnetic effect of a microelongated non-local rotating semiconductor heated by pulsed laser with varying thermal conductivity
- Thermal proficiency of magnetized and radiative cross-ternary hybrid nanofluid flow induced by a vertical cylinder
- Enhanced heat transfer and fluid motion in 3D nanofluid with anisotropic slip and magnetic field
- Numerical analysis of thermophoretic particle deposition on 3D Casson nanofluid: Artificial neural networks-based Levenberg–Marquardt algorithm
- Analyzing fuzzy fractional Degasperis–Procesi and Camassa–Holm equations with the Atangana–Baleanu operator
- Bayesian estimation of equipment reliability with normal-type life distribution based on multiple batch tests
- Chaotic control problem of BEC system based on Hartree–Fock mean field theory
- Optimized framework numerical solution for swirling hybrid nanofluid flow with silver/gold nanoparticles on a stretching cylinder with heat source/sink and reactive agents
- Stability analysis and numerical results for some schemes discretising 2D nonconstant coefficient advection–diffusion equations
- Convective flow of a magnetohydrodynamic second-grade fluid past a stretching surface with Cattaneo–Christov heat and mass flux model
- Analysis of the heat transfer enhancement in water-based micropolar hybrid nanofluid flow over a vertical flat surface
- Microscopic seepage simulation of gas and water in shale pores and slits based on VOF
- Model of conversion of flow from confined to unconfined aquifers with stochastic approach
- Study of fractional variable-order lymphatic filariasis infection model
- Soliton, quasi-soliton, and their interaction solutions of a nonlinear (2 + 1)-dimensional ZK–mZK–BBM equation for gravity waves
- Application of conserved quantities using the formal Lagrangian of a nonlinear integro partial differential equation through optimal system of one-dimensional subalgebras in physics and engineering
- Nonlinear fractional-order differential equations: New closed-form traveling-wave solutions
- Sixth-kind Chebyshev polynomials technique to numerically treat the dissipative viscoelastic fluid flow in the rheology of Cattaneo–Christov model
- Some transforms, Riemann–Liouville fractional operators, and applications of newly extended M–L (p, s, k) function
- Magnetohydrodynamic water-based hybrid nanofluid flow comprising diamond and copper nanoparticles on a stretching sheet with slips constraints
- Super-resolution reconstruction method of the optical synthetic aperture image using generative adversarial network
- A two-stage framework for predicting the remaining useful life of bearings
- Influence of variable fluid properties on mixed convective Darcy–Forchheimer flow relation over a surface with Soret and Dufour spectacle
- Inclined surface mixed convection flow of viscous fluid with porous medium and Soret effects
- Exact solutions to vorticity of the fractional nonuniform Poiseuille flows
- In silico modified UV spectrophotometric approaches to resolve overlapped spectra for quality control of rosuvastatin and teneligliptin formulation
- Numerical simulations for fractional Hirota–Satsuma coupled Korteweg–de Vries systems
- Substituent effect on the electronic and optical properties of newly designed pyrrole derivatives using density functional theory
- A comparative analysis of shielding effectiveness in glass and concrete containers
- Numerical analysis of the MHD Williamson nanofluid flow over a nonlinear stretching sheet through a Darcy porous medium: Modeling and simulation
- Analytical and numerical investigation for viscoelastic fluid with heat transfer analysis during rollover-web coating phenomena
- Influence of variable viscosity on existing sheet thickness in the calendering of non-isothermal viscoelastic materials
- Analysis of nonlinear fractional-order Fisher equation using two reliable techniques
- Comparison of plan quality and robustness using VMAT and IMRT for breast cancer
- Radiative nanofluid flow over a slender stretching Riga plate under the impact of exponential heat source/sink
- Numerical investigation of acoustic streaming vortices in cylindrical tube arrays
- Numerical study of blood-based MHD tangent hyperbolic hybrid nanofluid flow over a permeable stretching sheet with variable thermal conductivity and cross-diffusion
- Fractional view analytical analysis of generalized regularized long wave equation
- Dynamic simulation of non-Newtonian boundary layer flow: An enhanced exponential time integrator approach with spatially and temporally variable heat sources
- Inclined magnetized infinite shear rate viscosity of non-Newtonian tetra hybrid nanofluid in stenosed artery with non-uniform heat sink/source
- Estimation of monotone α-quantile of past lifetime function with application
- Numerical simulation for the slip impacts on the radiative nanofluid flow over a stretched surface with nonuniform heat generation and viscous dissipation
- Study of fractional telegraph equation via Shehu homotopy perturbation method
- An investigation into the impact of thermal radiation and chemical reactions on the flow through porous media of a Casson hybrid nanofluid including unstable mixed convection with stretched sheet in the presence of thermophoresis and Brownian motion
- Establishing breather and N-soliton solutions for conformable Klein–Gordon equation
- An electro-optic half subtractor from a silicon-based hybrid surface plasmon polariton waveguide
- CFD analysis of particle shape and Reynolds number on heat transfer characteristics of nanofluid in heated tube
- Abundant exact traveling wave solutions and modulation instability analysis to the generalized Hirota–Satsuma–Ito equation
- A short report on a probability-based interpretation of quantum mechanics
- Study on cavitation and pulsation characteristics of a novel rotor-radial groove hydrodynamic cavitation reactor
- Optimizing heat transport in a permeable cavity with an isothermal solid block: Influence of nanoparticles volume fraction and wall velocity ratio
- Linear instability of the vertical throughflow in a porous layer saturated by a power-law fluid with variable gravity effect
- Thermal analysis of generalized Cattaneo–Christov theories in Burgers nanofluid in the presence of thermo-diffusion effects and variable thermal conductivity
- A new benchmark for camouflaged object detection: RGB-D camouflaged object detection dataset
- Effect of electron temperature and concentration on production of hydroxyl radical and nitric oxide in atmospheric pressure low-temperature helium plasma jet: Swarm analysis and global model investigation
- Double diffusion convection of Maxwell–Cattaneo fluids in a vertical slot
- Thermal analysis of extended surfaces using deep neural networks
- Steady-state thermodynamic process in multilayered heterogeneous cylinder
- Multiresponse optimisation and process capability analysis of chemical vapour jet machining for the acrylonitrile butadiene styrene polymer: Unveiling the morphology
- Modeling monkeypox virus transmission: Stability analysis and comparison of analytical techniques
- Fourier spectral method for the fractional-in-space coupled Whitham–Broer–Kaup equations on unbounded domain
- The chaotic behavior and traveling wave solutions of the conformable extended Korteweg–de-Vries model
- Research on optimization of combustor liner structure based on arc-shaped slot hole
- Construction of M-shaped solitons for a modified regularized long-wave equation via Hirota's bilinear method
- Effectiveness of microwave ablation using two simultaneous antennas for liver malignancy treatment
- Discussion on optical solitons, sensitivity and qualitative analysis to a fractional model of ion sound and Langmuir waves with Atangana Baleanu derivatives
- Reliability of two-dimensional steady magnetized Jeffery fluid over shrinking sheet with chemical effect
- Generalized model of thermoelasticity associated with fractional time-derivative operators and its applications to non-simple elastic materials
- Migration of two rigid spheres translating within an infinite couple stress fluid under the impact of magnetic field
- A comparative investigation of neutron and gamma radiation interaction properties of zircaloy-2 and zircaloy-4 with consideration of mechanical properties
- New optical stochastic solutions for the Schrödinger equation with multiplicative Wiener process/random variable coefficients using two different methods
- Physical aspects of quantile residual lifetime sequence
- Synthesis, structure, I–V characteristics, and optical properties of chromium oxide thin films for optoelectronic applications
- Smart mathematically filtered UV spectroscopic methods for quality assurance of rosuvastatin and valsartan from formulation
- A novel investigation into time-fractional multi-dimensional Navier–Stokes equations within Aboodh transform
- Homotopic dynamic solution of hydrodynamic nonlinear natural convection containing superhydrophobicity and isothermally heated parallel plate with hybrid nanoparticles
- A novel tetra hybrid bio-nanofluid model with stenosed artery
- Propagation of traveling wave solution of the strain wave equation in microcrystalline materials
- Innovative analysis to the time-fractional q-deformed tanh-Gordon equation via modified double Laplace transform method
- A new investigation of the extended Sakovich equation for abundant soliton solution in industrial engineering via two efficient techniques
- New soliton solutions of the conformable time fractional Drinfel'd–Sokolov–Wilson equation based on the complete discriminant system method
- Irradiation of hydrophilic acrylic intraocular lenses by a 365 nm UV lamp
- Inflation and the principle of equivalence
- The use of a supercontinuum light source for the characterization of passive fiber optic components
- Optical solitons to the fractional Kundu–Mukherjee–Naskar equation with time-dependent coefficients
- A promising photocathode for green hydrogen generation from sanitation water without external sacrificing agent: silver-silver oxide/poly(1H-pyrrole) dendritic nanocomposite seeded on poly-1H pyrrole film
- Photon balance in the fiber laser model
- Propagation of optical spatial solitons in nematic liquid crystals with quadruple power law of nonlinearity appears in fluid mechanics
- Theoretical investigation and sensitivity analysis of non-Newtonian fluid during roll coating process by response surface methodology
- Utilizing slip conditions on transport phenomena of heat energy with dust and tiny nanoparticles over a wedge
- Bismuthyl chloride/poly(m-toluidine) nanocomposite seeded on poly-1H pyrrole: Photocathode for green hydrogen generation
- Infrared thermography based fault diagnosis of diesel engines using convolutional neural network and image enhancement
- On some solitary wave solutions of the Estevez--Mansfield--Clarkson equation with conformable fractional derivatives in time
- Impact of permeability and fluid parameters in couple stress media on rotating eccentric spheres
- Review Article
- Transformer-based intelligent fault diagnosis methods of mechanical equipment: A survey
- Special Issue on Predicting pattern alterations in nature - Part II
- A comparative study of Bagley–Torvik equation under nonsingular kernel derivatives using Weeks method
- On the existence and numerical simulation of Cholera epidemic model
- Numerical solutions of generalized Atangana–Baleanu time-fractional FitzHugh–Nagumo equation using cubic B-spline functions
- Dynamic properties of the multimalware attacks in wireless sensor networks: Fractional derivative analysis of wireless sensor networks
- Prediction of COVID-19 spread with models in different patterns: A case study of Russia
- Study of chronic myeloid leukemia with T-cell under fractal-fractional order model
- Accumulation process in the environment for a generalized mass transport system
- Analysis of a generalized proportional fractional stochastic differential equation incorporating Carathéodory's approximation and applications
- Special Issue on Nanomaterial utilization and structural optimization - Part II
- Numerical study on flow and heat transfer performance of a spiral-wound heat exchanger for natural gas
- Study of ultrasonic influence on heat transfer and resistance performance of round tube with twisted belt
- Numerical study on bionic airfoil fins used in printed circuit plate heat exchanger
- Improving heat transfer efficiency via optimization and sensitivity assessment in hybrid nanofluid flow with variable magnetism using the Yamada–Ota model
- Special Issue on Nanofluids: Synthesis, Characterization, and Applications
- Exact solutions of a class of generalized nanofluidic models
- Stability enhancement of Al2O3, ZnO, and TiO2 binary nanofluids for heat transfer applications
- Thermal transport energy performance on tangent hyperbolic hybrid nanofluids and their implementation in concentrated solar aircraft wings
- Studying nonlinear vibration analysis of nanoelectro-mechanical resonators via analytical computational method
- Numerical analysis of non-linear radiative Casson fluids containing CNTs having length and radius over permeable moving plate
- Two-phase numerical simulation of thermal and solutal transport exploration of a non-Newtonian nanomaterial flow past a stretching surface with chemical reaction
- Natural convection and flow patterns of Cu–water nanofluids in hexagonal cavity: A novel thermal case study
- Solitonic solutions and study of nonlinear wave dynamics in a Murnaghan hyperelastic circular pipe
- Comparative study of couple stress fluid flow using OHAM and NIM
- Utilization of OHAM to investigate entropy generation with a temperature-dependent thermal conductivity model in hybrid nanofluid using the radiation phenomenon
- Slip effects on magnetized radiatively hybridized ferrofluid flow with acute magnetic force over shrinking/stretching surface
- Significance of 3D rectangular closed domain filled with charged particles and nanoparticles engaging finite element methodology
- Robustness and dynamical features of fractional difference spacecraft model with Mittag–Leffler stability
- Characterizing magnetohydrodynamic effects on developed nanofluid flow in an obstructed vertical duct under constant pressure gradient
- Study on dynamic and static tensile and puncture-resistant mechanical properties of impregnated STF multi-dimensional structure Kevlar fiber reinforced composites
- Thermosolutal Marangoni convective flow of MHD tangent hyperbolic hybrid nanofluids with elastic deformation and heat source
- Investigation of convective heat transport in a Carreau hybrid nanofluid between two stretchable rotatory disks
- Single-channel cooling system design by using perforated porous insert and modeling with POD for double conductive panel
- Special Issue on Fundamental Physics from Atoms to Cosmos - Part I
- Pulsed excitation of a quantum oscillator: A model accounting for damping
- Review of recent analytical advances in the spectroscopy of hydrogenic lines in plasmas
- Heavy mesons mass spectroscopy under a spin-dependent Cornell potential within the framework of the spinless Salpeter equation
- Coherent manipulation of bright and dark solitons of reflection and transmission pulses through sodium atomic medium
- Effect of the gravitational field strength on the rate of chemical reactions
- The kinetic relativity theory – hiding in plain sight
- Special Issue on Advanced Energy Materials - Part III
- Eco-friendly graphitic carbon nitride–poly(1H pyrrole) nanocomposite: A photocathode for green hydrogen production, paving the way for commercial applications
Articles in the same Issue
- Regular Articles
- Numerical study of flow and heat transfer in the channel of panel-type radiator with semi-detached inclined trapezoidal wing vortex generators
- Homogeneous–heterogeneous reactions in the colloidal investigation of Casson fluid
- High-speed mid-infrared Mach–Zehnder electro-optical modulators in lithium niobate thin film on sapphire
- Numerical analysis of dengue transmission model using Caputo–Fabrizio fractional derivative
- Mononuclear nanofluids undergoing convective heating across a stretching sheet and undergoing MHD flow in three dimensions: Potential industrial applications
- Heat transfer characteristics of cobalt ferrite nanoparticles scattered in sodium alginate-based non-Newtonian nanofluid over a stretching/shrinking horizontal plane surface
- The electrically conducting water-based nanofluid flow containing titanium and aluminum alloys over a rotating disk surface with nonlinear thermal radiation: A numerical analysis
- Growth, characterization, and anti-bacterial activity of l-methionine supplemented with sulphamic acid single crystals
- A numerical analysis of the blood-based Casson hybrid nanofluid flow past a convectively heated surface embedded in a porous medium
- Optoelectronic–thermomagnetic effect of a microelongated non-local rotating semiconductor heated by pulsed laser with varying thermal conductivity
- Thermal proficiency of magnetized and radiative cross-ternary hybrid nanofluid flow induced by a vertical cylinder
- Enhanced heat transfer and fluid motion in 3D nanofluid with anisotropic slip and magnetic field
- Numerical analysis of thermophoretic particle deposition on 3D Casson nanofluid: Artificial neural networks-based Levenberg–Marquardt algorithm
- Analyzing fuzzy fractional Degasperis–Procesi and Camassa–Holm equations with the Atangana–Baleanu operator
- Bayesian estimation of equipment reliability with normal-type life distribution based on multiple batch tests
- Chaotic control problem of BEC system based on Hartree–Fock mean field theory
- Optimized framework numerical solution for swirling hybrid nanofluid flow with silver/gold nanoparticles on a stretching cylinder with heat source/sink and reactive agents
- Stability analysis and numerical results for some schemes discretising 2D nonconstant coefficient advection–diffusion equations
- Convective flow of a magnetohydrodynamic second-grade fluid past a stretching surface with Cattaneo–Christov heat and mass flux model
- Analysis of the heat transfer enhancement in water-based micropolar hybrid nanofluid flow over a vertical flat surface
- Microscopic seepage simulation of gas and water in shale pores and slits based on VOF
- Model of conversion of flow from confined to unconfined aquifers with stochastic approach
- Study of fractional variable-order lymphatic filariasis infection model
- Soliton, quasi-soliton, and their interaction solutions of a nonlinear (2 + 1)-dimensional ZK–mZK–BBM equation for gravity waves
- Application of conserved quantities using the formal Lagrangian of a nonlinear integro partial differential equation through optimal system of one-dimensional subalgebras in physics and engineering
- Nonlinear fractional-order differential equations: New closed-form traveling-wave solutions
- Sixth-kind Chebyshev polynomials technique to numerically treat the dissipative viscoelastic fluid flow in the rheology of Cattaneo–Christov model
- Some transforms, Riemann–Liouville fractional operators, and applications of newly extended M–L (p, s, k) function
- Magnetohydrodynamic water-based hybrid nanofluid flow comprising diamond and copper nanoparticles on a stretching sheet with slips constraints
- Super-resolution reconstruction method of the optical synthetic aperture image using generative adversarial network
- A two-stage framework for predicting the remaining useful life of bearings
- Influence of variable fluid properties on mixed convective Darcy–Forchheimer flow relation over a surface with Soret and Dufour spectacle
- Inclined surface mixed convection flow of viscous fluid with porous medium and Soret effects
- Exact solutions to vorticity of the fractional nonuniform Poiseuille flows
- In silico modified UV spectrophotometric approaches to resolve overlapped spectra for quality control of rosuvastatin and teneligliptin formulation
- Numerical simulations for fractional Hirota–Satsuma coupled Korteweg–de Vries systems
- Substituent effect on the electronic and optical properties of newly designed pyrrole derivatives using density functional theory
- A comparative analysis of shielding effectiveness in glass and concrete containers
- Numerical analysis of the MHD Williamson nanofluid flow over a nonlinear stretching sheet through a Darcy porous medium: Modeling and simulation
- Analytical and numerical investigation for viscoelastic fluid with heat transfer analysis during rollover-web coating phenomena
- Influence of variable viscosity on existing sheet thickness in the calendering of non-isothermal viscoelastic materials
- Analysis of nonlinear fractional-order Fisher equation using two reliable techniques
- Comparison of plan quality and robustness using VMAT and IMRT for breast cancer
- Radiative nanofluid flow over a slender stretching Riga plate under the impact of exponential heat source/sink
- Numerical investigation of acoustic streaming vortices in cylindrical tube arrays
- Numerical study of blood-based MHD tangent hyperbolic hybrid nanofluid flow over a permeable stretching sheet with variable thermal conductivity and cross-diffusion
- Fractional view analytical analysis of generalized regularized long wave equation
- Dynamic simulation of non-Newtonian boundary layer flow: An enhanced exponential time integrator approach with spatially and temporally variable heat sources
- Inclined magnetized infinite shear rate viscosity of non-Newtonian tetra hybrid nanofluid in stenosed artery with non-uniform heat sink/source
- Estimation of monotone α-quantile of past lifetime function with application
- Numerical simulation for the slip impacts on the radiative nanofluid flow over a stretched surface with nonuniform heat generation and viscous dissipation
- Study of fractional telegraph equation via Shehu homotopy perturbation method
- An investigation into the impact of thermal radiation and chemical reactions on the flow through porous media of a Casson hybrid nanofluid including unstable mixed convection with stretched sheet in the presence of thermophoresis and Brownian motion
- Establishing breather and N-soliton solutions for conformable Klein–Gordon equation
- An electro-optic half subtractor from a silicon-based hybrid surface plasmon polariton waveguide
- CFD analysis of particle shape and Reynolds number on heat transfer characteristics of nanofluid in heated tube
- Abundant exact traveling wave solutions and modulation instability analysis to the generalized Hirota–Satsuma–Ito equation
- A short report on a probability-based interpretation of quantum mechanics
- Study on cavitation and pulsation characteristics of a novel rotor-radial groove hydrodynamic cavitation reactor
- Optimizing heat transport in a permeable cavity with an isothermal solid block: Influence of nanoparticles volume fraction and wall velocity ratio
- Linear instability of the vertical throughflow in a porous layer saturated by a power-law fluid with variable gravity effect
- Thermal analysis of generalized Cattaneo–Christov theories in Burgers nanofluid in the presence of thermo-diffusion effects and variable thermal conductivity
- A new benchmark for camouflaged object detection: RGB-D camouflaged object detection dataset
- Effect of electron temperature and concentration on production of hydroxyl radical and nitric oxide in atmospheric pressure low-temperature helium plasma jet: Swarm analysis and global model investigation
- Double diffusion convection of Maxwell–Cattaneo fluids in a vertical slot
- Thermal analysis of extended surfaces using deep neural networks
- Steady-state thermodynamic process in multilayered heterogeneous cylinder
- Multiresponse optimisation and process capability analysis of chemical vapour jet machining for the acrylonitrile butadiene styrene polymer: Unveiling the morphology
- Modeling monkeypox virus transmission: Stability analysis and comparison of analytical techniques
- Fourier spectral method for the fractional-in-space coupled Whitham–Broer–Kaup equations on unbounded domain
- The chaotic behavior and traveling wave solutions of the conformable extended Korteweg–de-Vries model
- Research on optimization of combustor liner structure based on arc-shaped slot hole
- Construction of M-shaped solitons for a modified regularized long-wave equation via Hirota's bilinear method
- Effectiveness of microwave ablation using two simultaneous antennas for liver malignancy treatment
- Discussion on optical solitons, sensitivity and qualitative analysis to a fractional model of ion sound and Langmuir waves with Atangana Baleanu derivatives
- Reliability of two-dimensional steady magnetized Jeffery fluid over shrinking sheet with chemical effect
- Generalized model of thermoelasticity associated with fractional time-derivative operators and its applications to non-simple elastic materials
- Migration of two rigid spheres translating within an infinite couple stress fluid under the impact of magnetic field
- A comparative investigation of neutron and gamma radiation interaction properties of zircaloy-2 and zircaloy-4 with consideration of mechanical properties
- New optical stochastic solutions for the Schrödinger equation with multiplicative Wiener process/random variable coefficients using two different methods
- Physical aspects of quantile residual lifetime sequence
- Synthesis, structure, I–V characteristics, and optical properties of chromium oxide thin films for optoelectronic applications
- Smart mathematically filtered UV spectroscopic methods for quality assurance of rosuvastatin and valsartan from formulation
- A novel investigation into time-fractional multi-dimensional Navier–Stokes equations within Aboodh transform
- Homotopic dynamic solution of hydrodynamic nonlinear natural convection containing superhydrophobicity and isothermally heated parallel plate with hybrid nanoparticles
- A novel tetra hybrid bio-nanofluid model with stenosed artery
- Propagation of traveling wave solution of the strain wave equation in microcrystalline materials
- Innovative analysis to the time-fractional q-deformed tanh-Gordon equation via modified double Laplace transform method
- A new investigation of the extended Sakovich equation for abundant soliton solution in industrial engineering via two efficient techniques
- New soliton solutions of the conformable time fractional Drinfel'd–Sokolov–Wilson equation based on the complete discriminant system method
- Irradiation of hydrophilic acrylic intraocular lenses by a 365 nm UV lamp
- Inflation and the principle of equivalence
- The use of a supercontinuum light source for the characterization of passive fiber optic components
- Optical solitons to the fractional Kundu–Mukherjee–Naskar equation with time-dependent coefficients
- A promising photocathode for green hydrogen generation from sanitation water without external sacrificing agent: silver-silver oxide/poly(1H-pyrrole) dendritic nanocomposite seeded on poly-1H pyrrole film
- Photon balance in the fiber laser model
- Propagation of optical spatial solitons in nematic liquid crystals with quadruple power law of nonlinearity appears in fluid mechanics
- Theoretical investigation and sensitivity analysis of non-Newtonian fluid during roll coating process by response surface methodology
- Utilizing slip conditions on transport phenomena of heat energy with dust and tiny nanoparticles over a wedge
- Bismuthyl chloride/poly(m-toluidine) nanocomposite seeded on poly-1H pyrrole: Photocathode for green hydrogen generation
- Infrared thermography based fault diagnosis of diesel engines using convolutional neural network and image enhancement
- On some solitary wave solutions of the Estevez--Mansfield--Clarkson equation with conformable fractional derivatives in time
- Impact of permeability and fluid parameters in couple stress media on rotating eccentric spheres
- Review Article
- Transformer-based intelligent fault diagnosis methods of mechanical equipment: A survey
- Special Issue on Predicting pattern alterations in nature - Part II
- A comparative study of Bagley–Torvik equation under nonsingular kernel derivatives using Weeks method
- On the existence and numerical simulation of Cholera epidemic model
- Numerical solutions of generalized Atangana–Baleanu time-fractional FitzHugh–Nagumo equation using cubic B-spline functions
- Dynamic properties of the multimalware attacks in wireless sensor networks: Fractional derivative analysis of wireless sensor networks
- Prediction of COVID-19 spread with models in different patterns: A case study of Russia
- Study of chronic myeloid leukemia with T-cell under fractal-fractional order model
- Accumulation process in the environment for a generalized mass transport system
- Analysis of a generalized proportional fractional stochastic differential equation incorporating Carathéodory's approximation and applications
- Special Issue on Nanomaterial utilization and structural optimization - Part II
- Numerical study on flow and heat transfer performance of a spiral-wound heat exchanger for natural gas
- Study of ultrasonic influence on heat transfer and resistance performance of round tube with twisted belt
- Numerical study on bionic airfoil fins used in printed circuit plate heat exchanger
- Improving heat transfer efficiency via optimization and sensitivity assessment in hybrid nanofluid flow with variable magnetism using the Yamada–Ota model
- Special Issue on Nanofluids: Synthesis, Characterization, and Applications
- Exact solutions of a class of generalized nanofluidic models
- Stability enhancement of Al2O3, ZnO, and TiO2 binary nanofluids for heat transfer applications
- Thermal transport energy performance on tangent hyperbolic hybrid nanofluids and their implementation in concentrated solar aircraft wings
- Studying nonlinear vibration analysis of nanoelectro-mechanical resonators via analytical computational method
- Numerical analysis of non-linear radiative Casson fluids containing CNTs having length and radius over permeable moving plate
- Two-phase numerical simulation of thermal and solutal transport exploration of a non-Newtonian nanomaterial flow past a stretching surface with chemical reaction
- Natural convection and flow patterns of Cu–water nanofluids in hexagonal cavity: A novel thermal case study
- Solitonic solutions and study of nonlinear wave dynamics in a Murnaghan hyperelastic circular pipe
- Comparative study of couple stress fluid flow using OHAM and NIM
- Utilization of OHAM to investigate entropy generation with a temperature-dependent thermal conductivity model in hybrid nanofluid using the radiation phenomenon
- Slip effects on magnetized radiatively hybridized ferrofluid flow with acute magnetic force over shrinking/stretching surface
- Significance of 3D rectangular closed domain filled with charged particles and nanoparticles engaging finite element methodology
- Robustness and dynamical features of fractional difference spacecraft model with Mittag–Leffler stability
- Characterizing magnetohydrodynamic effects on developed nanofluid flow in an obstructed vertical duct under constant pressure gradient
- Study on dynamic and static tensile and puncture-resistant mechanical properties of impregnated STF multi-dimensional structure Kevlar fiber reinforced composites
- Thermosolutal Marangoni convective flow of MHD tangent hyperbolic hybrid nanofluids with elastic deformation and heat source
- Investigation of convective heat transport in a Carreau hybrid nanofluid between two stretchable rotatory disks
- Single-channel cooling system design by using perforated porous insert and modeling with POD for double conductive panel
- Special Issue on Fundamental Physics from Atoms to Cosmos - Part I
- Pulsed excitation of a quantum oscillator: A model accounting for damping
- Review of recent analytical advances in the spectroscopy of hydrogenic lines in plasmas
- Heavy mesons mass spectroscopy under a spin-dependent Cornell potential within the framework of the spinless Salpeter equation
- Coherent manipulation of bright and dark solitons of reflection and transmission pulses through sodium atomic medium
- Effect of the gravitational field strength on the rate of chemical reactions
- The kinetic relativity theory – hiding in plain sight
- Special Issue on Advanced Energy Materials - Part III
- Eco-friendly graphitic carbon nitride–poly(1H pyrrole) nanocomposite: A photocathode for green hydrogen production, paving the way for commercial applications
![Figure 9
Calculated NO concentration for 1% of air in plasma and different concentrations of electrons and water vapor amounts. The estimated interval of measured NO concentration from the literature [25,26,27] is also marked.](/document/doi/10.1515/phys-2024-0055/asset/graphic/j_phys-2024-0055_fig_009.jpg)