Home Physical Sciences Thermal analysis of extended surfaces using deep neural networks
Article Open Access

Thermal analysis of extended surfaces using deep neural networks

  • Shina Daniel Oloniiju , Yusuf Olatunji Tijani EMAIL logo and Olumuyiwa Otegbeye
Published/Copyright: July 29, 2024

Abstract

The complexity of thermal analysis in practical systems has emerged as a subject of interest in various fields of science and engineering. Extended surfaces, commonly called fins, are crucial cooling and heating mechanisms in many applications, such as refrigerators and power plants. In this study, by using a deterministic approach, we discuss the thermal analysis of conduction, convection, and radiation in the presence of a magnetic force within an extended surface. The present study develops a deep neural network to analyze the mathematical model and to estimate the contributions of each dimensionless model parameter to the thermal dynamics of fins. The deep neural network used in this study makes use of a feedforward architecture in which the weights and biases are updated through backward propagation. The accuracy of the neural network model is validated using results obtained from a spectral-based linearization method. The efficiency rate of the extended surfaces is computed using the neural network and spectral methods. The results obtained demonstrate the accuracy of the neural network-based technique. The findings of this study in relation to the novel mathematical model reveal that utilizing materials with variable thermal conductivity enhances the efficiency rate of the extended surface.

Nomenclature

a

cross-section area of the fin (m2)

B 0

magnetic field intensity (T)

c p

specific heat capacity (J/kg K)

F

temperature (K)

F

temperature (ambient) (K)

g

acceleration due to gravity (m/s2)

H

magnetic parameter

ι

internal heat generation (W/m3)

J e

conduction intensity

k

thermal conductivity (W/m K)

k a

thermal conductivity (ambient)

K

permeability (m2)

L

length of the fin (m)

M

thermo-geometric parameter

n

multi-boiling heat parameter

N F

temperature ratio

N P

porosity parameter

N R

thermal radiation parameter

P

perimeter of the fin (m)

Q

heat generation parameter

u

velocity in the porous fin (m/s)

V

velocity vector (m/s)

w

width of the fin (m)

x

Cartesian coordinate

Z r

fin efficiency rate

Greek symbols

α 0 , α 1

thermal coefficient (1/K)

β

thermal expansion coefficient (1/K)

η

heat transfer coefficient (W/m2 K)

η b

heat transfer coefficient (base)

ε

emissivity coefficient

ρ

density of the fin (kg/m3)

ν

kinematic viscosity (m2/s)

ϕ 0 , ϕ 1

temperature ratio

σ

electrical conductivity (S/m)

σ

Stefan-Boltzmann constant

ξ

thermal coefficient (1/K)

ξ

temperature ratio

ζ

dimensionless length

Γ

dimensionless temperature

Subscripts

ambient condition

w

reference (base)

1 Introduction

Understanding the behaviour of a system that is influenced by convective, magnetic, and radiative heat transfer conditions is a long-standing and crucial aspect in the field of thermal transport. This subject has considerable significance in various industries, including aerospace, construction, energy, and manufacturing, thus underscoring its broad and practical utility. One example of such a system is the fin. The relevance of fins is evident in our daily lives, influencing cooling processes in refrigerators, the radiator systems in cars, the heating elements in geysers, the thermal fins used in heat dissipation in our computers, and numerous other applications around us. In these applications, fins are crucial to enhancing heat transfer, improving efficiency, and preventing overheating. Fins, or extended surfaces, improve heat transfer efficiency from surfaces that typically undergo cooling via natural or forced convection by gases or fluids. Heat is conducted from the heat source to the fin’s surface through thermal conduction. Heat is usually transferred by radiation, convection, and conduction. On the other hand, heat from the surrounding medium, the magnetic element, and the material porosity can all contribute to thermal dissipation. Fins have three fundamental characteristics: (i) they are metallic; (ii) they have a variety of structures; and (iii) the fin’s length is significantly longer than its diameter [1].

The mechanisms of fins have been the subject of numerous investigations; one noteworthy study is by Gorla and Bakier [2], which examined heat dissipation due to radiation and conduction in a rectangular porous fin. The study used the Darcy model to simplify the momentum equation. The fin system studied by Gorla and Bakier [2] takes into account conduction and radiation-induced thermal equilibrium while ignoring internal heat generation and the role of magnetic fields in heat enhancement. The significance of porosity in fins in a parallel-surface channel was studied by Kiwan and Al-Nimr [3]. Numerical analyses of the heat enhancement resulting from a porous fin were carried out in the study. A 100% decrease in the fin material’s weight was noted, and it was concluded that the fin material has the same performance as a solid fin. The effect of the thickness of a porous fin on the thermal system was examined in the study. Hatami and Ganji [4] investigated the effect of geometrical and material properties in the design of porous fins using the least squares approach. The results show that fins made of aluminum have a high rate of heat transmission, which makes them appropriate for extended surface design. Gireesha et al. [5] investigated the effects of stretching and shrinking on the temperature distribution of a wet longitudinal fin. According to the analysis, the negative impacts of motion and internal heat generation on the fin’s heat transfer rate can be lessened by putting in place a shrinking mechanism on the extended surface. Other studies in this direction include the work of Atouei et al. [6], Nicholls et al. [7], Aziz and Lopez [8], Razani and Ahmadi [9], Buonomo et al. [10], and the references therein.

Research into extended surfaces has made a substantial contribution to understanding the accuracy and efficiency of semi-analytical and numerical discretization methods. These studies are motivated by the complex dynamical equation (a second-order nonlinear ordinary differential equation) that governs heat transfer in extended surfaces. These equations often do not have simple closed-form solutions, especially when they are nonlinear. For instance, Aderogba et al. [11] used the generalized fins model to evaluate the performance of the nonstandard finite difference numerical discretization technique. It was demonstrated that the numerical approach maintained the dynamics of the differential equation with good accuracy. The hybridization of the differential transform and Pade approximation method was used by Sowmya et al. [12] to investigate heat transfer in rectangular fins under the influence of a magnetic field. Kasali et al. [13] used the spectral-based local linearization method introduced by Motsa [14] to investigate the effects of the multi-boiling parameter on linear and nonlinear thermal conductivity on thermal flux on an extended surface. The study also assessed the accuracy of the spectral-based method. Akindeinde [15] investigated the efficiency and accuracy of the Parker-Sochacki semi-analytical method using the dynamical nonlinear fin model as a case study. Sobamowo [16] studied porous wet fins subjected to magnetic body forces and thermal radiation using the conventional finite difference approach. To predict heat dissipation in an extended surface subjected to conductive, convective, and radiative conditions, Zhanga and Li [17] presented a novel Taylor approximate approach. The study evaluated the accuracy of the method by contrasting their approach with explicit solutions in limiting cases, such as those without a radiation effect. Roy et al. [18] examined the model of an accelerating triangular fin and the performance of a modified decomposition method.

Machine learning has revolutionized various fields, including computer vision, natural language processing, and speech recognition, among many others. Recently, researchers have focused on training computer systems to process data and information in a manner similar to the human brain. This technique, known as the neural networks method, is a part of a broader category of machine learning processes called deep learning. Lagaris et al. [19] initially proposed solving an ordinary differential equation using neural networks. The underlying principle involves training a neural network framework to meet the conditions stipulated by a differential equation. Waseem et al. [20] analyzed the temperature distribution in a porous fin through artificial neural networks coupled with the cuckoo algorithm. Tan et al. [21] used the neural network method to analyze heat efficiency in a compact exchanger. Goud et al. [22] used a Levenberg-Marquardt neural network technique to study heat transfer in a trapezoidal-shaped fin. They took into account assumptions on heat conductivity that depart from traditional Fourier principles. Kumar et al. [23] investigated the heat efficiency mechanism in a wavy wall with an artificial neural network. Shafiq et al. [24] used the artificial neural network method to estimate key parameters related to engineering physical quantities in a bioconvection nanofluid flow over a stretching surface containing gyrotactic microorganisms. In other related studies, Shafiq et al. [25] used artificial neural networks to forecast the potential number of deaths from the COVID-19 pandemic in Italy. In addition, Shafiq et al. [26] investigated the effects of Soret and Dufour convective heat transfer using an accelerating needle as the focal point, with the simulations conducted through artificial neural networks.

Notably, none of the many studies published in the literature have examined the application of deep learning methods to the analysis of heat dissipation and temperature distribution in a rectangular porous fin subjected to radiation, magnetic effects, and quadratic-type thermal conductivity. To this end, this study examines heat dissipation in a porous extended surface (fin) exposed to radiation, convection, and conductivity in a magnetic environment. The dynamical system is analyzed using a deep neural network (DNN) and the physical implications of the findings are reported. The spectral-based local linearization method, introduced by Motsa [14], is used to validate the accuracy of the result obtained using the deep learning approach.

2 Analysis of the mathematical model

This section begins by developing the mathematical model. In the context of a porous fin, the following dynamical cumulative heat addition equation describes the equilibrium of thermal transport [13,27]:

(1) z ( x ) = z ( x + δ x ) + z conv + z rad + z mag + z int + porous term .

Eq. (1) represents the thermal energy balance within a closed system. Heat conduction into the base of the fin element at position x is the sum of heat conduction into the element at the fin tip ( x + δ x ) , heat convection from the element, heat radiation from the element, heat transfer due to the magnetic field, internal heat generation within the element, and the contribution from the porous term. The porous media is homogeneous and saturates with a single-phase fluid. The study focuses on a convective-conductive-radiative porous fin with length L . The fin is exposed on both faces to convection with a temperature F and subjected to a uniform magnetic field, as illustrated in Figure 1. The longitudinal fin is constrained in length with an insulated tip, creating an adiabatic system where no heat is transmitted from the tip. The temperature at the base of the fin is denoted as F = F w and at the tip takes the form of a Neumann boundary condition, d F d x = 0 . The interaction between the porous medium and the single-phase fluid is formulated using the Darcy model. Body force due to the magnetic field is experienced in the y -direction. It is assumed that the radiative heat flux behaves similarly to an optically thick gas within the porous medium. The effect of the electrical field due to polarization is considered to be negligible, i.e., E = 0 . If this phenomenon takes place in a steady-state condition, then Eq. (1) becomes [13]:

(2) z ( x ) z ( x + δ x ) = η ( F ) ( F F ) δ a heat due to convection + ε σ ( F 4 F 4 ) δ a heat due to radiation + J e × J e σ a δ x heat due to magnetic element + z int ( F ) a δ x internal heat dissipation + ρ c p w u ( x ) ( F F ) δ x heat due to porous effect .

Figure 1 
               Geometrical configuration of the fin.
Figure 1

Geometrical configuration of the fin.

Here, u ( x ) represents the movement of the buoyancy-driven flow at any location x , and J e is the intensity of the conduction responsible for the thermal transport due to electric current, given, respectively, as [1]

(3) u ( x ) = g β K ν ( F F ) , and J e = σ ( E + V × B ) .

By substituting Eq. (3) into Eq. (2), we obtain

(4) z ( x ) z ( x ) + d z d x δ x = η ( F ) ( F F ) P δ x + ε σ ( F 4 F 4 ) P δ x + J e × J e σ a δ x + z int ( F ) a δ x + ρ c p g β K ν w ( F F ) 2 δ x ,

where δ a = P δ x .

According to Ohm’s law, the current density or conduction intensity is obtained as J e = σ ( E + V × B ) , where E denotes the electric field, V is the charge carrier velocity, which is accounted for using the model u = g β K ν ( F F ) , since porosity is considered, σ is the electrical conductivity, and B is the magnetic force. Thus, if the electric field is negligible, that is, E = 0 ;  we have

(5) J e = σ ( V × B ) .

Here, V = ( u , v ) , Eq. (5) indicates that J e = σ u B sin θ n ˆ , and thus,

(6) J e × J e = σ u B 0 sin θ n ˆ × σ u B 0 sin θ m ˆ = σ 2 u 2 B 0 2 sin 2 θ .

Note that the velocity of the charged particle is perpendicular to the magnetic field, and thus, sin 2 θ = 1 . Hence [1],

(7) J e × J e σ = σ u 2 B 0 2 .

Upon division by δ x , Eq. (4) reduces to

(8) d z d x = η ( F ) P ( F F ) + ε σ P ( F 4 F s 4 ) + a σ B 0 2 u ( x ) 2 + a z int ( F ) + ρ c p g β K ν w ( F F ) 2 ,

where J e × J e σ = σ B 0 2 u ( x ) 2 . Following Fourier’s law of heat conduction [28], heat conduction taking place within the fin can be mathematically described as [4]:

(9) z = a k ( F ) d F d x .

Substituting Eq. (9) into Eq. (8), we have

(10) d d x a k ( F ) d F d x = η ( F ) P ( F F ) + ε σ P ( F 4 F 4 ) + a σ B 0 2 g 2 β 2 K 2 ν 2 ( F F ) 2 + a z int ( F ) + ρ c p g β K ν w ( F F ) 2 ,

and using the relation given in Singha et al. [29], Oguntala and Abd-Alhameed [30], and Sobamowo et al. [31], we have

(11) k ( F ) = k a [ 1 + α 0 ( F F ) + α 1 2 ( F F ) 2 ] , η ( F ) = η b F F F w F n , and z int ( F ) = ι [ 1 + ξ ( F F ) ] .

After some simplifications, Eq. (10) becomes

(12) d d x k a [ 1 + α 0 ( F F ) + α 1 2 ( F F ) 2 ] d F d x η b P ( F F ) n + 1 a ( F w F ) n ε σ P a ( F 4 F 4 ) ι [ 1 + ξ ( F F ) ] σ B 0 2 g 2 β 2 K 2 ν 2 ( F F ) 2 ρ c p g β K w a ( F F ) 2 = 0 ,

with associated boundary conditions given as [2]:

(13) at x = 0 , F = F w , at x = L , d F d x = 0 .

We further introduce the following dimensionless variables and parameters:

(14) ζ = x L , Γ = F F F w F , M = η b P L 2 a k a , Q = ι L 2 k a ( F w F ) , ϕ 0 = α 0 ( F w F ) , ϕ 1 = α 1 2 ( F w F ) 2 , N P = ρ c p g β K w L 2 ( F w F ) a ν k a , N R = L 2 σ P ( F w F ) 3 a k a , N F = F F w F , ξ = ξ ( F w F ) , H = σ B 0 2 g 2 β 2 K 2 L 2 ( F w F ) ν 2 k a .

By incorporating the nondimensional variable in Eq. (14) into Eqs (12) and (13), we obtain the following single variable differential equation:

(15) d d ζ K 1 ( Γ ) d Γ d ζ M Γ n + 1 ε N R [ ( N F + Γ ) 4 N F 4 ] ( H + N P ) Γ 2 Q ( 1 + ξ Γ ) = 0 ,

where K 1 ( Γ ) = 1 + ϕ 0 Γ + ϕ 1 Γ 2 and its associated insulated boundary conditions [2]

(16) at ζ = 0 , Γ = 1 , and at ζ = 1 , d Γ d ζ = 0 .

2.1 The fin efficiency rate

The fin efficiency is computed by dividing the rate of heat transfer ( Z fin ) by the ideal rate of heat transfer ( Z ideal ) , where the latter represents the thermal energy that would be conducted if the entire fin temperature were the same as the temperature of the fin base. This relationship is expressed as follows [1]:

(17) Z r = Z fin Z ideal = 0 L P ( F F ) d x P L ( F w F ) = 0 1 Γ ( ζ ) d ζ ,

where Z fin = 0 L P ( F F ) d x is the rate of heat transfer.

3 Method of solution

In this section, we introduce the implementation of a DNN to solve Eq. (15) subject to the associated boundary conditions (16). Subsequently, we derive the algorithm and describe the implementation of the spectral local linearization method (SLLM) to solve the differential equation.

3.1 DNNs approximation of the model solution

This study uses a deep and fully connected feedforward artificial neural networks framework to solve the nonlinear differential Eq. (15) with the associated boundary conditions (16). Suppose the differential Eq. (15) is defined as follows:

(18) G ζ , Γ ( ζ ) , d Γ ( ζ ) d ζ , d 2 Γ ( ζ ) d ζ 2 = 0 , ζ [ 0 , 1 ] ,

subject to the conditions in Eq. (16), where G is a nonlinear operator of Γ ( ζ ) and its derivatives. The collocation technique is used to discretize the domain and boundary of the problem into a finite number of discrete points. In this study, we use the set of Chebyshev-Gauss-Lobatto points,

ζ ˜ j = cos π j M ζ , j = 0 , , M ζ ,

mapped onto ζ [ 0 , 1 ] through the linear mapping, ζ = 1 2 ( ζ ˜ + 1 ) . The nonlinear differential Eq. (18) is then transformed into its discrete equivalent

(19) G ζ j , Γ ( ζ j ) , d Γ ( ζ j ) d ζ , d 2 Γ ( ζ j ) d ζ 2 = 0 , ζ j 1 2 ( ζ ˜ + 1 ) [ 0 , 1 ] ,

subject to the conditions

(20) Γ ( ζ 0 ) = 1 and d Γ ( ζ M ζ ) d ζ = 0 .

In this study, we consider the ansatz, Γ t ( ζ ; w , b ) , which satisfies the boundary conditions (20) for the solution of the differential Eq. (19). Here, w and b are the weights and biases, respectively, of the DNNs framework. Therefore, the problem of approximating the solution of the differential equation then becomes the unconstrained minimization problem,

(21) min w , b ζ j [ 0 , 1 ] G ζ j , Γ t ( ζ j ; w , b ) , d Γ t ( ζ j ; w , b ) d ζ , d 2 Γ t ( ζ j ; w , b ) d ζ 2 2 .

In the proposed technique, the trial solution, Γ t ( ζ ; w , b ) , is defined as follows:

(22) Γ t ( ζ ; w , b ) = 1 + ζ N ( ζ ; w , b ) N ( 1 ; w , b ) d N ( 1 ; w , b ) d ζ .

The trial solution, Γ t ( ζ ; w , b ) , depends on the output, N ( ζ ; w , b ) , of the neural networks framework and is chosen to satisfy the boundary conditions, (16), of the differential model. N ( ζ ; w , b ) is the single output of a feedforward DNN architecture fed with a single input vector, ζ j , with parameters, w and b , which are the weights and biases of the neural network architecture.

The neural network architecture is a L + 1 fully connected layers, as shown in Figure 2, which consist of the first layer, which is the input through which the input vector ζ j is fed, the last layer, which is the output layer and L 1 hidden layers. Activation functions are introduced in the hidden layers to introduce nonlinearity to the neural network architecture. In this study, the sigmoid activation function, ϱ ( q ) = ( 1 + e q ) 1 , is used; however, other functions such as the hyperbolic tangent, rectified linear units and exponential functions can be used. Each neuron in each hidden layer and the output layer has a bias, and the neurons in layers l 1 and l are connected by the weights. The weights which connect neuron k in layer l 1 to neuron i in the l th layer are represented by w i k l , and the bias associated with neuron i in layer l is denoted by b i l .

Figure 2 
                  Schematic diagram of a fully connected DNN.
Figure 2

Schematic diagram of a fully connected DNN.

The neural network framework is expressed mathematically as follows:

(23) q 0 = ζ , the input layer q l = ϱ l ( w l q l 1 + b l ) , 1 < l < L 1 , the hidden layers q L = w L q L 1 + b L , the output layer ,

where the result of the output layer, q L = N ( ζ ; w , b ) , is used in the trial solution (22). To find the weights and biases in the layers, we minimize the residual function

(24) ( w , b ) = j = 0 M ζ G ζ j , Γ t ( ζ j ; w , b ) , d Γ t ( ζ j ; w , b ) d ζ , d 2 Γ t ( ζ j ; w , b ) d ζ 2 2 ,

using gradient descent optimization with adaptive moment estimation. Lagaris et al. [19] showed how to obtain the automatic partial derivatives of the residual function with respect to the weights and biases. However, in this study, we used the GradientTape sub-module of Python’s TensorFlow package. The weights and biases are then updated through backward propagation. The neural network is completely implemented with Python programming language using the TensorFlow and NumPy packages. The algorithm for the neural networks approximation of the solution of Eq. (15) is given in Algorithm 1. Figure 3 shows the training loss curve of the neural network architecture. The figure depicts the plot of the value of the loss function (24) against the number of training or epochs. The loss function measures how well the trial function (22), which is dependent on the neural network framework (23), approximates the solution of the differential Eq. (15). During the training process, the network adjusts its parameters, viz. weights and biases, iteratively to minimize the loss and improve the predictability of the trial solution as an approximate solution of Eq. (15). We note here that the weights and biases are initialized using normal distributions centred at zero with standard deviations of 0.5.

Figure 3 
                  Training loss curve of the neural networks algorithm with 6 hidden layers and 50 neurons in each hidden layer.
Figure 3

Training loss curve of the neural networks algorithm with 6 hidden layers and 50 neurons in each hidden layer.

Algorithm 1. Step-by-step algorithm for solving Eq. (15) using a fully connected deep neural network.
1: procedure DNN approximation of the solution of Eq. (15)
2: Define the variable q 0 = ζ as input.
3: Define the number of hidden layers and number of neurons in each layer.
4: Initialize the weights and biases for each layer and set them as trainable parameters.
5: Define the neural networks architecture:
6: for l = 1 to L do
7: q l = ϱ l ( w l q l 1 + b l )
8: end for
9: Define the trial solution: Γ t ( ζ ; w , b ) = 1 + ζ ( N ( ζ ; w , b ) N ( 1 ; w , b ) N ( 1 ; w , b ) ) .
10: Define the loss function ( w , b ) in Eq. (24) in terms of the trial function.
11: Define the model parameters, ϕ 0 , ϕ 1 , M , n , ε , N R , N F , H , N P , Q , ξ as untrainable parameters.
12: Train the neural network model to optimize the weights and biases by minimizing the residual function.
13: end procedure

3.2 Spectral local linearization method

In this section, we implement the SLLM to approximate the solution of Eq. (15) subject to the associated boundary conditions (16). Taking n = 1 and applying a first-order Taylor series expansion around an initial guess of the solution of the differential equation, we obtain a linearized form of the equation expressed concisely as follows:

(25) [ a 1 , r ] Γ r + 1 + [ a 2 , r ] Γ r + 1 + [ a 3 , r ] Γ r + 1 = a 4 , r ,

where r and r + 1 represent two successive iterations, and the coefficients are defined as follows:

(26) a 1 , r = 1 + ϕ 0 Γ r , a 2 , r = 2 ϕ 0 Γ r + 3 ϕ 1 Γ r 2 , a 3 , r = ϕ 0 Γ r 2 M Γ r 4 ε N R N F 3 12 ε N R N F 2 Γ r 12 ε N R N F Γ r 2 4 ε N R Γ r 3 2 ( 1 + N P ) Q ξ , a 4 , r = ϕ 0 Γ r 2 + 2 ϕ 1 Γ r 3 + ϕ 0 Γ r Γ r M Γ r 2 6 ε N R N F 2 Γ r 2 8 ε N R N F Γ r 3 3 ε N R Γ r 4 ( H + N P ) Γ r 2 + Q .

For the sake of brevity, prime denotes differentiation of Γ with respect to ζ , that is, Γ = d Γ d ζ , Γ = d 2 Γ d ζ 2 . The boundary conditions are expressed as follows:

(27) Γ ( ζ = 0 ) r + 1 = 1 , Γ ( ζ = 1 ) r + 1 = 0 .

The linearized Eq. (25) and the boundary condition (27) are discretized using the Chebyshev pseudospectral method on the Chebyshev-Gauss-Lobatto nodes. We refer the readers to Trefethen [32] for a full description and implementation of this numerical method. Following Trefethen [32], the implementation of the pseudospectral method on Eq. (25) results in the following equation

(28) [ [ a 1 , r , i ] D 2 + [ a 2 , r , i ] D + [ a 3 , r , i ] I ] Γ r + 1 , i = a 4 , r , i ,

where I is an identity matrix of dimension ( M ζ + 1 ) × ( M ζ + 1 ) , ( M ζ is the number of collocation points), D is a scaled differentiation matrix [32], and Γ is the unknown vector solution. Eq. (27) is discretized as follows:

(29) Γ r + 1 , 0 = 1 , D Γ r + 1 , M ζ = 0 .

Eq. (28) can then be concisely expressed as follows:

(30) A Γ r + 1 , i = a 4 , r , i ,

where

A = [ a 1 , r , i ] D 2 + [ a 2 , r , i ] D + [ a 3 , r , i ] I ,

which together with the imposition of the boundary conditions (29) results in the following consistent matrix-vector system

(31) 1 0 0 0 A D M ζ , 0 D M ζ , 1 D M ζ , M ζ 1 D M ζ , M ζ Γ r + 1 , 0 Γ r + 1 , 1 Γ r + 1 , M ζ 1 Γ r + 1 , M ζ = 1 a 4 , r , 1 a 4 , r , M ζ 1 0 .

4 Results and discussion

Insights into the thermal dynamics of extended surfaces are provided through parametric analysis of some key parameters in Eq. (15) using the DNN method. A comparison of the results obtained by DNN and SLLM is made to validate the results. If not specified otherwise, the analysis of the results was carried out using the following parameter values: M = 1.0 , N R = 0.10 , N F = 0.10 , n = 1.0 , ε = 1.0 , ϕ 0 = 0.10 , ϕ 1 = 0.30 , N P = 1.0 , H = 1.0 , Q = 0.2 , and ξ = 1.0 . The figures presented in this section depict the output obtained from using the DNN to learn the mathematical model in Eq. (15) with its conditions given in Eq. (16).

Figure 4 depicts the effect of linear and nonlinear thermal conductivity variations on the dynamics of the extended surface. Specifically, the figure illustrates how temperature distribution along the surface is influenced by the variations in the linearity and nonlinearity of the thermal conductivity. The distinction between linear and nonlinear thermal conductivity variations is significant for temperature distribution along extended surfaces. The linear relationship suggests that the thermal conductivity of the fin changes uniformly with temperature. On the other hand, the nonlinear thermal conductivity variation has a much more complex, nonuniform or even nonmonotonic relationship with the temperature. It is apparent from Figure 4 that the linear variation of thermal conductivity results in a more uniform temperature distribution, particularly in the vicinity of the fin’s base. This uniform temperature distribution at the fin’s base can be attributed to the consistent and predictable changes in thermal conductivity along the surface. In contrast, the nonlinear variation introduces deviations in temperature distribution along the surface, leading to nonuniform temperature profiles. This nonuniformity may arise due to nonlinear effects such as phase transitions, variations in the material property of the fin or localized heat sources, which can disrupt the thermal equilibrium along the surface and lead to nonuniform temperature profiles, which may sometimes be necessary for the design of fins. Regardless of whether thermal conductivity variations are linear or nonlinear, the overall trend in temperature distribution remains consistent: as both parameters increase, the absolute temperature along the extended surface increases. This is because higher thermal conductivity values enable more efficient heat transfer, leading to higher temperatures along the surface.

Figure 4 
               Effect of (a) linear, 
                     
                        
                        
                           
                              
                                 
                                    
                                       ϕ
                                    
                                    
                                       0
                                    
                                 
                              
                           
                        
                        {\phi }_{0}
                     
                  , (b) nonlinear, 
                     
                        
                        
                           
                              
                                 
                                    
                                       ϕ
                                    
                                    
                                       1
                                    
                                 
                              
                           
                        
                        {\phi }_{1}
                     
                   thermal conductivity on temperature distribution on the fin.
Figure 4

Effect of (a) linear, ϕ 0 , (b) nonlinear, ϕ 1 thermal conductivity on temperature distribution on the fin.

The impact of both radiation and internal heat generation on the temperature of the fin are shown in Figure 5. Increasing the thermal radiation parameter reduces the temperature observed on the extended surface. This phenomenon arises because enhanced thermal radiation facilitates heat transfer away from the surface. A significant decrease in the temperature of the fin at its tip is experienced as the fin generates more internal heat. The increased internal heat generation parameter leads to a higher temperature change at the tip of the extended surface. This significant temperature gradient on the fin causes heat to be transferred more rapidly from the base of the fin to the tip. Consequently, the higher the value of the heat generation parameter, the lesser the temperature value at the tip of the extended surface since heat is effectively conducted and convected away from that region.

Figure 5 
               Effect of (a) radiation parameter, 
                     
                        
                        
                           
                              
                                 
                                    
                                       N
                                    
                                    
                                       R
                                    
                                 
                              
                           
                        
                        {N}_{R}
                     
                  , and (b) heat generation parameter, 
                     
                        
                        
                           
                              
                                 Q
                              
                           
                        
                        Q
                     
                   on the temperature distribution of the extended surface.
Figure 5

Effect of (a) radiation parameter, N R , and (b) heat generation parameter, Q on the temperature distribution of the extended surface.

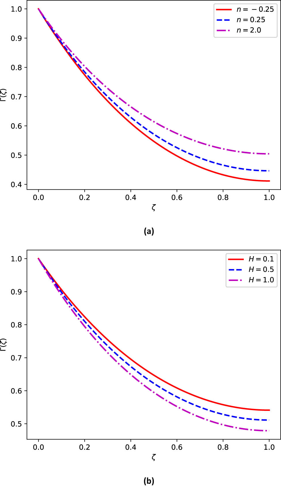
Figure 6 shows the effect of the multi-boiling and magnetic field strength parameters on the fin. The choice of the values of the multi-boiling parameters delineates distinct heat transfer regimes occurring on the extended surface. By varying this parameter, we can simulate and analyze the heat transfer behaviour under different boiling conditions, providing insights into the dynamics and thermal performance of the extended surface. When n = 1 4 , it indicates laminar film boiling, where a thin film of vapour forms and envelops the fin surface. The temperature distribution in this regime is relatively low due to the insulating effect of the vapour film. On the other hand, n = 1 4 corresponds to natural convection, where heat transfer occurs primarily through fluid motion driven by density variations caused by temperature gradients. Finally, n = 2 represents nucleate boiling, where discrete vapour bubbles form on the extended surface and detach to facilitate heat transfer. This regime is associated with high heat transfer coefficients due to the effective heat removal by vaporization and bubble motion as captured in Figure 6. Increasing the magnetic field parameter has a notable effect on the temperature distribution at the tip of the extended surface. As the parametric value of the magnetic field parameter increases, the temperature at the tip decreases. This dynamic is primarily driven by the amplified influence of the magnetic field due to a rise in the Hartman number. The Hartman number characterizes the ratio of magnetic force to viscous force and measures the strength of the magnetic field relative to fluid motion. An intensified magnetic field exerts a damping effect on the convective heat transfer process. Essentially, the magnetic field inhibits the movement of fluid particles, reducing their ability to carry heat away from the surface efficiently. Consequently, as the magnetic field becomes stronger, the convective heat transfer rate decreases, reducing overall heat transfer on the extended surface.

Figure 6 
               Effect of (a) multi-boiling, 
                     
                        
                        
                           
                              
                                 n
                              
                           
                        
                        n
                     
                  , and (b) magnetic field strength, 
                     
                        
                        
                           
                              
                                 H
                              
                           
                        
                        H
                     
                  , parameters on the fin’s temperature distribution.
Figure 6

Effect of (a) multi-boiling, n , and (b) magnetic field strength, H , parameters on the fin’s temperature distribution.

The efficiency rate of the extended surface, as evaluated using both the DNN approach and spectral-based method, is presented in Table 1. Under conditions where there is no internal heat generation and the thermal heat conductivity of the extended surface is constant, it is observed that increasing the thermo-geometric, magnetic field, and porosity parameters results in a decrease in the fin efficiency rate. It was also found that variable thermal conductivity enhances the efficiency of the extended surface. This result suggests that if a fin is designed with the ability to adjust its thermal conductivity in response to changing conditions dynamically, it can improve its heat transfer performance. This underscores the importance of material selection and highlights the potential benefits of using materials with adaptable thermal properties in heat transfer applications. However, the efficiency of the extended surface is suppressed in designs characterized by an apparent increase in heat. This implies that factors such as elevated ambient temperature or enhanced heat transfer rates negatively impact the efficiency of the extended surface.

Table 1

The fin efficiency rate as computed using the DNN approach and the SLLM with the following values: N R = 0.10 , n = 1.0 , N F = 0.10 , and ξ = 0.6

M H N P ϕ 0 ϕ 1 Q DNN SLLM
1.0 0.5 2.0 0 0 0 0.62475 0.62495
2.0 0.58602 0.58633
1.0 0.1 2.0 0 0 0 0.64334 0.64352
0.3 0.63385 0.63397
1.0 0.5 1.0 0 0 0 0.67598 0.67612
1.5 0.64839 0.64852
1.0 0.5 1.0 0.1 0.3 0.6 0.62901 0.62930
0.3 0.65383 0.65391
1.0 0.5 1.0 0.3 0.1 0.6 0.63411 0.63418
0.7 0.68814 0.68849
1.0 0.5 1.0 0.3 0.3 0.4 0.68096 0.68118
1.0 0.59591 0.59597

Table 1 also validates the accuracy and reliability of the methodology used in this study. A comparative analysis shows that the outputs generated by the neural network closely align with those derived through the spectral-based method. The deviation between the two sets of outputs remains within 1 0 4 , underscoring the relatively high degree of precision exhibited by the DNN outputs. This result highlights the robustness and efficacy of the DNN in producing solutions consistent with those obtained through established traditional numerical methods such as spectral methods. By demonstrating its ability to closely replicate the results of conventional numerical methods, the neural network technique establishes itself as a reliable predictive modelling and analysis tool. This validation not only bolsters confidence in the methodology adopted for this study but also underscores the potential of neural network-based approaches in various scientific and engineering applications. Its ability to accurately capture complex relationships and patterns makes this approach valuable for scientific research, particularly in seeking efficient and reliable solutions to a wide range of differential models.

5 Concluding remarks

The primary objective of this study is to develop a deep learning algorithm for approximating the solution of a differential equation that describes the intricate dynamics of heat transfer on extended surfaces. The study also seeks to elucidate the physical implications of some physical parameters arising from the differential model. A DNN architecture was designed to approximate the solution of the nonlinear differential model to achieve these objectives. In order to measure the accuracy and reliability of the neural network technique, a spectral-based numerical method was used to benchmark the result of the neural network technique. The results obtained were accurate, validating the efficiency of the proposed method as a reliable tool for solving and analyzing nonlinear differential models, especially those describing heat transfer in extended surfaces. The finding of this study provides several key insights regarding the thermal behaviour of extended surfaces. Notably, it was observed that variations in the thermal radiation parameter exert a comparable influence on reducing the fin temperature at the tip when compared to changes in the internal heat generation parameters. The study further showed that using materials with varying thermal conductivity can enhance the efficiency of an extended surface, thus optimizing the heat transfer process. Overall, these findings are significant in designing, managing and optimizing extended surfaces.

Acknowledgments

The authors wish to acknowledge the critical review provided by the anonymous reviewers which improved the quality and clarity of this article.

  1. Funding information: This work was based on the research supported in part by the National Research Foundation of South Africa (Ref Number: TTK2204163593). Yusuf Olatunji Tijani acknowledges the support of Rhodes University.

  2. Author contributions: Shina D. Oloniiju: conceptualization, investigation, methodology, software, writing – original draft, reviewing and editing, supervision. Yusuf O. Tijani: conceptualization, investigation, methodology, writing – original draft, reviewing and editing. Olumuyiwa Otegbeye – conceptualization, methodology, writing – original draft, reviewing and editing, supervision. All authors have accepted responsibility for the entire content of this manuscript and approved its submission.

  3. Conflict of interest: The authors state no conflict of interest.

  4. Data availability statement: Data sharing is not applicable to this article as no datasets were generated or analyzed during the current study.

References

[1] Madhura KR, Babitha, Kalpana G, Makinde OD. Thermal performance of straight porous fin with variable thermal conductivity under magnetic field and radiation effects. Heat Transfer. 2020;49(8):5002–19. 10.1002/htj.21864Search in Google Scholar

[2] Gorla RSR, Bakier AY. Thermal analysis of natural convection and radiation in porous fins. Int Commun Heat Mass Transfer. 2011;38(5):638–45. 10.1016/j.icheatmasstransfer.2010.12.024Search in Google Scholar

[3] Kiwan S, Al-Nimr M. Enhancement of heat transfer using porous finns. ASME J Heat Transfer. 2001;123(4):790–5. 10.1115/1.1371922Search in Google Scholar

[4] Hatami M, Ganji DD. Thermal behavior of longitudinal convective-radiative porous fins with different section shapes and ceramic materials (SiC and Si3N4). Ceramics Int. 2014;40:6765–75. 10.1016/j.ceramint.2013.11.140Search in Google Scholar

[5] Gireesha BJ, Keerhi ML, Sowmya G. Effects of stretching/shrinking on the thermal performance of a fully wetted convective-radiative longitudinal fin of exponential profile. Appl Math Mechanics. 2022;43:389–402. 10.1007/s10483-022-2836-6Search in Google Scholar

[6] Atouei SA, Hosseinzadeh Kh, Hatami M, Sahebi SAR, Ghasemi SE, Ganji DD. Heat transfer study on convective-radiative semi-spherical fins with temperature-dependent properties and heat generation using efficient computational methods. Appl Therm Eng. 2015;89:299–305. 10.1016/j.applthermaleng.2015.05.084Search in Google Scholar

[7] Nicholls RA, MoghimI MA, Griffiths AL. Impact of fin type and orientation on performance of phase change material-based double pipe thermal energy storage. J Energy Storage. 2022;50:104671. 10.1016/j.est.2022.104671Search in Google Scholar

[8] Aziz A, Lopez RJ. Convection-radiation from a continuously moving, variable thermal conductivity sheet or rod undergoing thermal processing. Int J Therm Sci. 2011;50:1523–31. 10.1016/j.ijthermalsci.2011.03.014Search in Google Scholar

[9] Razani A, Ahmadi G. On optimization of circular fins with heat generation. J Franklin Inst. 1977;303(2):211–8. 10.1016/0016-0032(77)90048-5Search in Google Scholar

[10] Buonomo B, Cascetta F, Manca O, Sheremet M. Heat transfer analysis of rectangular porous fins in local thermal non-equilibrium model. Appl Therm Eng. 2021;195:117237. 10.1016/j.applthermaleng.2021.117237Search in Google Scholar

[11] Aderogba AA, Fabelurin OO, Akindeinde SO, Adewumi AO, Ogundare BS. Nonstandard finite difference approximation for a generalized fins problem. Math Comput Simul. 2020;178:183–91. 10.1016/j.matcom.2020.06.010Search in Google Scholar

[12] Sowmya G, Thanesh-Kumar K, Srilatha P, Varun-Kumar RS, Madhu J. Performance analysis of a longitudinal fin under the influence of magnetic field using differential transform method with Pade approximant. ZAMM J Appl Math Mech. 2022;102(11):e202100464. 10.1002/zamm.202100464Search in Google Scholar

[13] Kasali KB, Akindeinde SO, Tijani YO, Adewumi AO, Lebelo RS. Thermal and multi-boiling analysis of a rectangular porous fin: A spectral approach. Nonl Eng. 2022;11(1):654–63. 10.1515/nleng-2022-0044Search in Google Scholar

[14] Motsa SS. A new spectral local linearization method for nonlinear boundary layer flow problems. J Appl Math. 2013;013:423628. 10.1155/2013/423628Search in Google Scholar

[15] Akindeinde SO. Parker-Sochacki method for the solution of convective straight fins problem with temperature-dependent thermal conductivity. Int J Nonl Sci. 2018;25(2):119–28. Search in Google Scholar

[16] Sobamowo GM. Combined impacts of fin surface inclination and magnetohydrodynamics on the thermal performance of a convective-radiative porous fin. J Appl Comput Mech. 2022;8(3):940–8. Search in Google Scholar

[17] Zhanga C, Li X. Temperature distribution of conductive-convective-radiative fins with temperature-dependent thermal conductivity. Int Commun Heat Mass Transfer. 2020;117:104799. 10.1016/j.icheatmasstransfer.2020.104799Search in Google Scholar

[18] Roy PK, Mallick A, Mondal H, Sibanda P. A modified decomposition solution of triangular moving fin with multiple variable thermal properties. Arabian J Sci Eng. 2018;43(2):1485–97. 10.1007/s13369-017-2983-3Search in Google Scholar

[19] Lagaris IE, Likas A, Fotiadis DI. Artificial neural networks for solving ordinary and partial differential equations. IEEE Trans Neural Netw Learn Syst. 1998;9(5):987–1000. 10.1109/72.712178Search in Google Scholar PubMed

[20] Waseem W, Sulaiman M, Islam S, Kumam P, Nawaz R, Raja MAZ, et al. A study of changes in temperature profile of porous fin model using cuckoo search algorithm. Alexandr Eng J. 2020;59(1):11–24. 10.1016/j.aej.2019.12.001Search in Google Scholar

[21] Tan CK, Ward J, Wilcox SJ, Payne R. Artificial neural network modelling of the thermal performance of a compact heat exchanger. Appl Thermal Eng. 2009;29(17–18):3609–17. 10.1016/j.applthermaleng.2009.06.017Search in Google Scholar

[22] Goud JS, Srilatha P, Kumar RSV, Sowmya G, Gamaoun F, Nagaraja KV, et al. Heat transfer analysis in a longitudinal porous trapezoidal fin by non-Fourier heat conduction model: An application of artificial neural network with Levenberg-Marquardt approach. Case Stud Therm Eng. 2023;49:103265. 10.1016/j.csite.2023.103265Search in Google Scholar

[23] Kumar RSV, Alsulami MD, Sarris IE, Sowmya G, Gamaoun F. Stochastic Levenberg-Marquardt neural network implementation for analyzing the convective heat transfer in a wavy fin. Mathematics. 2023;11(10):3609–17. 10.3390/math11102401Search in Google Scholar

[24] Shafiq A, Çolak AB, Sindhu TN. Development of an intelligent computing system using neural networks for modeling bioconvection flow of second-grade nanofluid with gyrotactic microorganisms. Numerical Heat Transfer, Part B: Fundamentals; 2023. p. 1–18. 10.1080/10407790.2023.2273512Search in Google Scholar

[25] Shafiq A, Çolak AB, Sindhu TN, Lone SA, Alsubie A, Jarad F. Comparative study of artificial neural network versus parametric method in COVID-19 data analysis. Results Phys. 2022;38(5):105613. 10.1016/j.rinp.2022.105613Search in Google Scholar PubMed PubMed Central

[26] Shafiq A, Çolak AB, Sindhu TN. Modeling of Soret and Dufour’s convective heat transfer in nanofluid flow through a moving needle with artificial neural network. Arabian J Sci Eng. 2022;48(5):2807–20. 10.1007/s13369-022-06945-9Search in Google Scholar

[27] Sobamowo GM, Kamiyo OM. Multi-boiling heat transfer analysis of a convective straight fin with temperature-dependent thermal properties and internal heat generation. J Appl Comput Mechanics. 2017;3(4):229–39. Search in Google Scholar

[28] Liu I. On Fourier’s law of heat conduction. Contin Mech Thermodyn. 1990;2(4):301–5. 10.1007/BF01129123Search in Google Scholar

[29] Singha S, Kumara D, Rai KN. Wavelet collocation solution of non-linear fin problem with temperature dependent thermal conductivity and heat transfer coefficient. Int J Nonl Anal Appl. 2015;1(6):105–18. Search in Google Scholar

[30] Oguntala GA, Abd-Alhameed R. Haar wavelet collocation method for thermal analysis of porous fin with temperature-dependent thermal conductivity and internal heat generation. J Appl Comput Mech. 2017;3(3):185–91. Search in Google Scholar

[31] Sobamowo MG, Oguntala GA, Yinusa AA. Nonlinear transient thermal modeling and analysis of a convective-radiative fin with functionally graded material in a magnetic environment. Model Simul Eng. 2019;2:1–16. 10.1155/2019/7878564Search in Google Scholar

[32] Trefethen LN. Spectral methods in MATLAB. Philadelphia: SIAM; 2000. 10.1137/1.9780898719598Search in Google Scholar

Received: 2024-03-08
Revised: 2024-05-30
Accepted: 2024-06-11
Published Online: 2024-07-29

© 2024 the author(s), published by De Gruyter

This work is licensed under the Creative Commons Attribution 4.0 International License.

Articles in the same Issue

  1. Regular Articles
  2. Numerical study of flow and heat transfer in the channel of panel-type radiator with semi-detached inclined trapezoidal wing vortex generators
  3. Homogeneous–heterogeneous reactions in the colloidal investigation of Casson fluid
  4. High-speed mid-infrared Mach–Zehnder electro-optical modulators in lithium niobate thin film on sapphire
  5. Numerical analysis of dengue transmission model using Caputo–Fabrizio fractional derivative
  6. Mononuclear nanofluids undergoing convective heating across a stretching sheet and undergoing MHD flow in three dimensions: Potential industrial applications
  7. Heat transfer characteristics of cobalt ferrite nanoparticles scattered in sodium alginate-based non-Newtonian nanofluid over a stretching/shrinking horizontal plane surface
  8. The electrically conducting water-based nanofluid flow containing titanium and aluminum alloys over a rotating disk surface with nonlinear thermal radiation: A numerical analysis
  9. Growth, characterization, and anti-bacterial activity of l-methionine supplemented with sulphamic acid single crystals
  10. A numerical analysis of the blood-based Casson hybrid nanofluid flow past a convectively heated surface embedded in a porous medium
  11. Optoelectronic–thermomagnetic effect of a microelongated non-local rotating semiconductor heated by pulsed laser with varying thermal conductivity
  12. Thermal proficiency of magnetized and radiative cross-ternary hybrid nanofluid flow induced by a vertical cylinder
  13. Enhanced heat transfer and fluid motion in 3D nanofluid with anisotropic slip and magnetic field
  14. Numerical analysis of thermophoretic particle deposition on 3D Casson nanofluid: Artificial neural networks-based Levenberg–Marquardt algorithm
  15. Analyzing fuzzy fractional Degasperis–Procesi and Camassa–Holm equations with the Atangana–Baleanu operator
  16. Bayesian estimation of equipment reliability with normal-type life distribution based on multiple batch tests
  17. Chaotic control problem of BEC system based on Hartree–Fock mean field theory
  18. Optimized framework numerical solution for swirling hybrid nanofluid flow with silver/gold nanoparticles on a stretching cylinder with heat source/sink and reactive agents
  19. Stability analysis and numerical results for some schemes discretising 2D nonconstant coefficient advection–diffusion equations
  20. Convective flow of a magnetohydrodynamic second-grade fluid past a stretching surface with Cattaneo–Christov heat and mass flux model
  21. Analysis of the heat transfer enhancement in water-based micropolar hybrid nanofluid flow over a vertical flat surface
  22. Microscopic seepage simulation of gas and water in shale pores and slits based on VOF
  23. Model of conversion of flow from confined to unconfined aquifers with stochastic approach
  24. Study of fractional variable-order lymphatic filariasis infection model
  25. Soliton, quasi-soliton, and their interaction solutions of a nonlinear (2 + 1)-dimensional ZK–mZK–BBM equation for gravity waves
  26. Application of conserved quantities using the formal Lagrangian of a nonlinear integro partial differential equation through optimal system of one-dimensional subalgebras in physics and engineering
  27. Nonlinear fractional-order differential equations: New closed-form traveling-wave solutions
  28. Sixth-kind Chebyshev polynomials technique to numerically treat the dissipative viscoelastic fluid flow in the rheology of Cattaneo–Christov model
  29. Some transforms, Riemann–Liouville fractional operators, and applications of newly extended M–L (p, s, k) function
  30. Magnetohydrodynamic water-based hybrid nanofluid flow comprising diamond and copper nanoparticles on a stretching sheet with slips constraints
  31. Super-resolution reconstruction method of the optical synthetic aperture image using generative adversarial network
  32. A two-stage framework for predicting the remaining useful life of bearings
  33. Influence of variable fluid properties on mixed convective Darcy–Forchheimer flow relation over a surface with Soret and Dufour spectacle
  34. Inclined surface mixed convection flow of viscous fluid with porous medium and Soret effects
  35. Exact solutions to vorticity of the fractional nonuniform Poiseuille flows
  36. In silico modified UV spectrophotometric approaches to resolve overlapped spectra for quality control of rosuvastatin and teneligliptin formulation
  37. Numerical simulations for fractional Hirota–Satsuma coupled Korteweg–de Vries systems
  38. Substituent effect on the electronic and optical properties of newly designed pyrrole derivatives using density functional theory
  39. A comparative analysis of shielding effectiveness in glass and concrete containers
  40. Numerical analysis of the MHD Williamson nanofluid flow over a nonlinear stretching sheet through a Darcy porous medium: Modeling and simulation
  41. Analytical and numerical investigation for viscoelastic fluid with heat transfer analysis during rollover-web coating phenomena
  42. Influence of variable viscosity on existing sheet thickness in the calendering of non-isothermal viscoelastic materials
  43. Analysis of nonlinear fractional-order Fisher equation using two reliable techniques
  44. Comparison of plan quality and robustness using VMAT and IMRT for breast cancer
  45. Radiative nanofluid flow over a slender stretching Riga plate under the impact of exponential heat source/sink
  46. Numerical investigation of acoustic streaming vortices in cylindrical tube arrays
  47. Numerical study of blood-based MHD tangent hyperbolic hybrid nanofluid flow over a permeable stretching sheet with variable thermal conductivity and cross-diffusion
  48. Fractional view analytical analysis of generalized regularized long wave equation
  49. Dynamic simulation of non-Newtonian boundary layer flow: An enhanced exponential time integrator approach with spatially and temporally variable heat sources
  50. Inclined magnetized infinite shear rate viscosity of non-Newtonian tetra hybrid nanofluid in stenosed artery with non-uniform heat sink/source
  51. Estimation of monotone α-quantile of past lifetime function with application
  52. Numerical simulation for the slip impacts on the radiative nanofluid flow over a stretched surface with nonuniform heat generation and viscous dissipation
  53. Study of fractional telegraph equation via Shehu homotopy perturbation method
  54. An investigation into the impact of thermal radiation and chemical reactions on the flow through porous media of a Casson hybrid nanofluid including unstable mixed convection with stretched sheet in the presence of thermophoresis and Brownian motion
  55. Establishing breather and N-soliton solutions for conformable Klein–Gordon equation
  56. An electro-optic half subtractor from a silicon-based hybrid surface plasmon polariton waveguide
  57. CFD analysis of particle shape and Reynolds number on heat transfer characteristics of nanofluid in heated tube
  58. Abundant exact traveling wave solutions and modulation instability analysis to the generalized Hirota–Satsuma–Ito equation
  59. A short report on a probability-based interpretation of quantum mechanics
  60. Study on cavitation and pulsation characteristics of a novel rotor-radial groove hydrodynamic cavitation reactor
  61. Optimizing heat transport in a permeable cavity with an isothermal solid block: Influence of nanoparticles volume fraction and wall velocity ratio
  62. Linear instability of the vertical throughflow in a porous layer saturated by a power-law fluid with variable gravity effect
  63. Thermal analysis of generalized Cattaneo–Christov theories in Burgers nanofluid in the presence of thermo-diffusion effects and variable thermal conductivity
  64. A new benchmark for camouflaged object detection: RGB-D camouflaged object detection dataset
  65. Effect of electron temperature and concentration on production of hydroxyl radical and nitric oxide in atmospheric pressure low-temperature helium plasma jet: Swarm analysis and global model investigation
  66. Double diffusion convection of Maxwell–Cattaneo fluids in a vertical slot
  67. Thermal analysis of extended surfaces using deep neural networks
  68. Steady-state thermodynamic process in multilayered heterogeneous cylinder
  69. Multiresponse optimisation and process capability analysis of chemical vapour jet machining for the acrylonitrile butadiene styrene polymer: Unveiling the morphology
  70. Modeling monkeypox virus transmission: Stability analysis and comparison of analytical techniques
  71. Fourier spectral method for the fractional-in-space coupled Whitham–Broer–Kaup equations on unbounded domain
  72. The chaotic behavior and traveling wave solutions of the conformable extended Korteweg–de-Vries model
  73. Research on optimization of combustor liner structure based on arc-shaped slot hole
  74. Construction of M-shaped solitons for a modified regularized long-wave equation via Hirota's bilinear method
  75. Effectiveness of microwave ablation using two simultaneous antennas for liver malignancy treatment
  76. Discussion on optical solitons, sensitivity and qualitative analysis to a fractional model of ion sound and Langmuir waves with Atangana Baleanu derivatives
  77. Reliability of two-dimensional steady magnetized Jeffery fluid over shrinking sheet with chemical effect
  78. Generalized model of thermoelasticity associated with fractional time-derivative operators and its applications to non-simple elastic materials
  79. Migration of two rigid spheres translating within an infinite couple stress fluid under the impact of magnetic field
  80. A comparative investigation of neutron and gamma radiation interaction properties of zircaloy-2 and zircaloy-4 with consideration of mechanical properties
  81. New optical stochastic solutions for the Schrödinger equation with multiplicative Wiener process/random variable coefficients using two different methods
  82. Physical aspects of quantile residual lifetime sequence
  83. Synthesis, structure, IV characteristics, and optical properties of chromium oxide thin films for optoelectronic applications
  84. Smart mathematically filtered UV spectroscopic methods for quality assurance of rosuvastatin and valsartan from formulation
  85. A novel investigation into time-fractional multi-dimensional Navier–Stokes equations within Aboodh transform
  86. Homotopic dynamic solution of hydrodynamic nonlinear natural convection containing superhydrophobicity and isothermally heated parallel plate with hybrid nanoparticles
  87. A novel tetra hybrid bio-nanofluid model with stenosed artery
  88. Propagation of traveling wave solution of the strain wave equation in microcrystalline materials
  89. Innovative analysis to the time-fractional q-deformed tanh-Gordon equation via modified double Laplace transform method
  90. A new investigation of the extended Sakovich equation for abundant soliton solution in industrial engineering via two efficient techniques
  91. New soliton solutions of the conformable time fractional Drinfel'd–Sokolov–Wilson equation based on the complete discriminant system method
  92. Irradiation of hydrophilic acrylic intraocular lenses by a 365 nm UV lamp
  93. Inflation and the principle of equivalence
  94. The use of a supercontinuum light source for the characterization of passive fiber optic components
  95. Optical solitons to the fractional Kundu–Mukherjee–Naskar equation with time-dependent coefficients
  96. A promising photocathode for green hydrogen generation from sanitation water without external sacrificing agent: silver-silver oxide/poly(1H-pyrrole) dendritic nanocomposite seeded on poly-1H pyrrole film
  97. Photon balance in the fiber laser model
  98. Propagation of optical spatial solitons in nematic liquid crystals with quadruple power law of nonlinearity appears in fluid mechanics
  99. Theoretical investigation and sensitivity analysis of non-Newtonian fluid during roll coating process by response surface methodology
  100. Utilizing slip conditions on transport phenomena of heat energy with dust and tiny nanoparticles over a wedge
  101. Bismuthyl chloride/poly(m-toluidine) nanocomposite seeded on poly-1H pyrrole: Photocathode for green hydrogen generation
  102. Infrared thermography based fault diagnosis of diesel engines using convolutional neural network and image enhancement
  103. On some solitary wave solutions of the Estevez--Mansfield--Clarkson equation with conformable fractional derivatives in time
  104. Impact of permeability and fluid parameters in couple stress media on rotating eccentric spheres
  105. Review Article
  106. Transformer-based intelligent fault diagnosis methods of mechanical equipment: A survey
  107. Special Issue on Predicting pattern alterations in nature - Part II
  108. A comparative study of Bagley–Torvik equation under nonsingular kernel derivatives using Weeks method
  109. On the existence and numerical simulation of Cholera epidemic model
  110. Numerical solutions of generalized Atangana–Baleanu time-fractional FitzHugh–Nagumo equation using cubic B-spline functions
  111. Dynamic properties of the multimalware attacks in wireless sensor networks: Fractional derivative analysis of wireless sensor networks
  112. Prediction of COVID-19 spread with models in different patterns: A case study of Russia
  113. Study of chronic myeloid leukemia with T-cell under fractal-fractional order model
  114. Accumulation process in the environment for a generalized mass transport system
  115. Analysis of a generalized proportional fractional stochastic differential equation incorporating Carathéodory's approximation and applications
  116. Special Issue on Nanomaterial utilization and structural optimization - Part II
  117. Numerical study on flow and heat transfer performance of a spiral-wound heat exchanger for natural gas
  118. Study of ultrasonic influence on heat transfer and resistance performance of round tube with twisted belt
  119. Numerical study on bionic airfoil fins used in printed circuit plate heat exchanger
  120. Improving heat transfer efficiency via optimization and sensitivity assessment in hybrid nanofluid flow with variable magnetism using the Yamada–Ota model
  121. Special Issue on Nanofluids: Synthesis, Characterization, and Applications
  122. Exact solutions of a class of generalized nanofluidic models
  123. Stability enhancement of Al2O3, ZnO, and TiO2 binary nanofluids for heat transfer applications
  124. Thermal transport energy performance on tangent hyperbolic hybrid nanofluids and their implementation in concentrated solar aircraft wings
  125. Studying nonlinear vibration analysis of nanoelectro-mechanical resonators via analytical computational method
  126. Numerical analysis of non-linear radiative Casson fluids containing CNTs having length and radius over permeable moving plate
  127. Two-phase numerical simulation of thermal and solutal transport exploration of a non-Newtonian nanomaterial flow past a stretching surface with chemical reaction
  128. Natural convection and flow patterns of Cu–water nanofluids in hexagonal cavity: A novel thermal case study
  129. Solitonic solutions and study of nonlinear wave dynamics in a Murnaghan hyperelastic circular pipe
  130. Comparative study of couple stress fluid flow using OHAM and NIM
  131. Utilization of OHAM to investigate entropy generation with a temperature-dependent thermal conductivity model in hybrid nanofluid using the radiation phenomenon
  132. Slip effects on magnetized radiatively hybridized ferrofluid flow with acute magnetic force over shrinking/stretching surface
  133. Significance of 3D rectangular closed domain filled with charged particles and nanoparticles engaging finite element methodology
  134. Robustness and dynamical features of fractional difference spacecraft model with Mittag–Leffler stability
  135. Characterizing magnetohydrodynamic effects on developed nanofluid flow in an obstructed vertical duct under constant pressure gradient
  136. Study on dynamic and static tensile and puncture-resistant mechanical properties of impregnated STF multi-dimensional structure Kevlar fiber reinforced composites
  137. Thermosolutal Marangoni convective flow of MHD tangent hyperbolic hybrid nanofluids with elastic deformation and heat source
  138. Investigation of convective heat transport in a Carreau hybrid nanofluid between two stretchable rotatory disks
  139. Single-channel cooling system design by using perforated porous insert and modeling with POD for double conductive panel
  140. Special Issue on Fundamental Physics from Atoms to Cosmos - Part I
  141. Pulsed excitation of a quantum oscillator: A model accounting for damping
  142. Review of recent analytical advances in the spectroscopy of hydrogenic lines in plasmas
  143. Heavy mesons mass spectroscopy under a spin-dependent Cornell potential within the framework of the spinless Salpeter equation
  144. Coherent manipulation of bright and dark solitons of reflection and transmission pulses through sodium atomic medium
  145. Effect of the gravitational field strength on the rate of chemical reactions
  146. The kinetic relativity theory – hiding in plain sight
  147. Special Issue on Advanced Energy Materials - Part III
  148. Eco-friendly graphitic carbon nitride–poly(1H pyrrole) nanocomposite: A photocathode for green hydrogen production, paving the way for commercial applications
Downloaded on 28.2.2026 from https://www.degruyterbrill.com/document/doi/10.1515/phys-2024-0051/html
Scroll to top button