Home Physical Sciences Optimized framework numerical solution for swirling hybrid nanofluid flow with silver/gold nanoparticles on a stretching cylinder with heat source/sink and reactive agents
Article Open Access

Optimized framework numerical solution for swirling hybrid nanofluid flow with silver/gold nanoparticles on a stretching cylinder with heat source/sink and reactive agents

  • Humaira Yasmin EMAIL logo , Showkat Ahmad Lone , Ali M. Mahnashi , Waleed Hamali , M. D. Shamshuddin and Anwar Saeed EMAIL logo
Published/Copyright: March 12, 2024

Abstract

The heat and mass transportation for nanofluid across a swirling cylinder under the actions of magnetic effects and Cattaneo–Christov heat flux is reported in the current analysis. The objective of this study is to examine the energy and mass transmissions through hybrid nanofluid under the influence of heat source/sink and reactive species. The hybrid nanoliquid has been prepared by the dispersion of silver (Ag) and gold (Au) nanoparticles (NPs) in the base fluid ethylene glycol (C2H6O2). The flow phenomena are expressed in the form of nonlinear partial differential equations and are converted to a nondimensional form, by employing the similarity substitution. For the computational estimation of the problem, the parametric continuation method is employed. The demonstration of velocity, mass, and energy outlines versus distinct physical factors is exposed in the form of figures. It has been perceived that the axial and swirling velocity outline drops with the influence of the Reynolds number, magnetic effect, and the insertion of Au and Ag NPs in C2H6O2. Furthermore, the hybrid nanofluid energy curve declines with the effect of the Reynolds number, thermal relaxation factor, and the volume friction of NPs.

Nomenclature

E

uniform rotation

σ hnf

electrical conductivity

ρ hnf

density

( u , v , w )

velocity componenets

C w

surface concentration

k hnf

thermal conductivity

Q 0

internal heat source

δ c

solutal relaxation factor

Re

Reynolds number

M

magnetic parameter

Au

gold

NPs

nanoparticles

PCM

parametric continuation method

a

stretching cylinder

R 1

cylinder radius

B

magnetic field

r

radial direction

μ hnf

dynamic viscosity

T w

surface temperature

D B

mass diffusivity

( ρ C p ) hnf

Specific heat

R s

destructive reactive species

δ t

thermal relaxation factor

H

heat source/sink parameter

C2H6O2

ethylene glycol

Ag

silver

MHD

magnetohydrodynamics

1 Introduction

The study of hybrid nanofluid flow along an expanding cylinder has gained a great deal of recognition because of its wide range of applications, including glass fiber manufacturing, channel and flyovers in construction management, plastic sheets, paper production, blood transportation, polymer innovation, toxic liquid transport power plants (nuclear), and carriage of dangerous fluids in equipment and machinery [1,2,3]. Based on their applications in several fields of industries and engineering, a number of researchers have reported on the fluid flow across an elongating cylinder. Bilal et al. [4] explored an unsteady fluid flow on a straining cylinder with suction effects. Pattnaik et al. [5] described the free convective flow of gold (Au)-based water nanoliquid flow through a channel. Kumar et al. [6] examined the energy transportation in hybrid fluid flow on a shrinking sheet using an electrostatic dipole. The results showed that an intensification in the magnetization interaction diminishes the velocity curve, but an opposite pattern is observed in the concentration and energy outlines. Alhowaity et al. [7] numerically reviewed the Williamson hybrid nanoliquid flow with heat characteristics across a prolonging surface. Abbasi et al. [8] used Fe3O4 and Cu in blood to explore thermal transportation inside a curved wavy conduit with slip constraints. Pattnaik et al. [9] presented the theoretical approach for catalytic aggressive species propagation in an axisymmetric covering that incorporates forced convection flow from a linear fashion elongating perpendicular cylinder dipped in a homogeneous non-Darcy permeable medium filled with magnetic ferrofluid. Ramzan et al. [10] proceeded the detail about the outcome of the heat generator on the nanocomposite flow over an extending cylinder and sheet. The Burger nanoliquid factor and Deborah number were found to lessen nanofluid velocity in both the shrinking cylinder and sheet. Seid et al. [11] presented a mathematical framework for analyzing the slip properties on an electrically charged nanoliquid flow over an upward swelling surface. Raising the velocity slip factor accelerates the flow velocity, while enhancing the Soret influence boosts the concentration of nanomaterials near the shrinking sheet. Recently, numerous researchers have presented findings on the fluid flow over an elongated cylinder [12,13,14,15].

Hybrid nanofluids are a novel form of fluids formed by scattering nanometer-sized components in base fluids (nanofibers, nanoparticles (NPs), nanowires, nanorods, nanotubes, droplets, or nanosheets). Nanofluids, in another phrase, are nanosized colloidal suspensions comprising concentrated nanocomposites. When compared with conventional fluids such as water and oil, nanoliquids have improved thermophysical characteristics such as dissipation factor, thermal conductivity, convective heat transfer, and viscosity. It has demonstrated a promising potential in a variety of disciplines [16,17,18]. In the current analysis, we are using silver (Ag) and Au NPs in ethylene glycol. Unique optical characteristics of nanofluids (nanofluids-based microbial fuel cell, nanofluids as vehicular brake fluids, and intensify microreactors), biomedical applications (nanodrug delivery, antibacterial activity), mechanical applications (magnetic sealing, friction reduction, solar absorption, energy storage), and mass and heat transfer intensification (space and defense, nuclear systems cooling, heating buildings and reducing pollution, industrial cooling applications, transportation, and electronic applications) are some uses and applications of the Au-Ag/C2H6O2-based nanofluid [19,20,21]. Bilal et al. [22] used the bvp4c package and the parametric continuation method (PCM) technique to numerically simulate carbon nanotubes and microorganisms’ water-based nanoliquid flow influenced by a curly fluctuating rotating plate with heat dissemination. Alharbi et al. [23] revealed the nanofluid flow with energy transfer containing metallic NPs across an elongated cylinder with magnetization impacts. It was exposed that the Prandtl magnetic number upshot drops the flow velocity, while boosting the energy resume. Zhang et al. [24] explored the 3D flow across a circular cylinder of varying surface area and the modified Fourier law. The efficiency of the hybrid-nanoliquid was found to be far superior to that of the conventional ferrofluid. Akram et al. [25] evaluated the peristaltically controlled electro-osmotic stimulation of Ag–Au/water-based hybrid nanofluids across a highly permeable inclined nonsymmetric fluid flow. It was renowned that the hybrid nanoliquid allows a more efficient heat transmission rate than silver–water, and thermodynamic premises are significantly advanced in the instance of hybrid nanofluids. Sreedevi et al. [26] quantitatively analyzed the Ag- and water-based convective fluid flow within a square cavity with isothermal and adiabatic conditions, while considering magnetic influence. When 0.05% of Ag NPs are dissolved in water, the rate of energy transport increases up to 12.4% from 6.3%. Waqas et al. [27] documented the significance of Ag–Au NPs submerged in the base fluid (human blood) and revealed that enhancing the behavior of the thermal radiation and Biot number increases the energy transmission rate. Nanda et al. [28] inspected the hybrid nanofluid flow and thermal escalation of a nonlinear extended sheet. When compared to a smooth surface, the curly pivoting substrate enhances heat transfer up to 15%. Studies on the Ag–Au-based nanofluid and hybrid nanofluid may be found in some recent literature [21,2932].

The significance of magnetohydrodynamics (MHD) can be found in astrophysics, geophysics, engineering, pointing, and sensing magnetic drug. MHD fluid flow overcomplicated geometry, which is engaged in human body components in addition to commercial applications, is an attractive and important scientific subject [3335]. Bejawada et al. [36] offered a computational examination of MHD nanofluid flow through a nonlinear slanted extending surface. Kodi and Mopuri [37] used a Soret-aligned chemical reaction and a magnetic field to simulate the volumetric flow on an elevated sheet. The existence of an aligned magnetic field and Casson fluid characteristics are said to have a velocity detrimental influence. Mahabaleshwar et al. [38] scrutinized the MHD nanofluid flow in the context of mass dissipation and heat conduction. It was discovered that the induced magnetic field improves skin surface friction and decreases surface mass transport, and this was documented in the literature [31,3945].

The determination in the present research is to examine the heat and mass transport through hybrid nanoliquid across a swirling cylinder under the impact of magnetic effects and Cattaneo–Christov heat flux. The energy and mass communications are also calculated under the effects of heat source/sink and reactive species. The nanoliquid has been produced by the dispersion of Ag and Au-NPs in the base fluid (C2H6O2). For the numerical estimation of the problem, the PCM approach is used.

2 Mathematical formulation of the problem

The developed axisymmetric 3D mathematical model under the flow assumptions on a stretching cylinder is deliberated (Figure 1). The flow is produced due to the uniform stretching and rotation of the cylinder with radius R 1, which is immersed in a hybrid nanofluid containing Ag and Au solid NPs. Here, z direction is along the axis of the cylinder, where r is the radial direction. The magnetic effect B = (0, 0, B 0) is functional perpendicular to the cylinder. T w, C w are surface and T , C are temperature and concentration at free stream, where T w, T , C w > C By using the aforementioned presumptions, the modeled equations are expressed as follows [46,47]:

(1) ( w ) r + ( u ) z + w r = 0 ,

(2) w ( w ) r + u ( u ) z = μ hnf ρ hnf ( u ) r r + 1 r ( u ) r σ hnf B 0 2 ρ hnf u ,

(3) u ( v ) z + w ( v ) r + v w r = μ hnf ρ hnf ( v ) r r v r 2 + 1 r ( v ) r σ hnf B 0 2 ρ hnf v ,

(4) w ( T ) r + u ( T ) z = α hnf ( T ) r r + 1 r ( T ) r λ t { u 2 ( T ) z z + w 2 ( T ) r r + 2 u w ( T ) z r + w ( u ) r ( T ) z + u ( T ) z ( u ) z + w ( w ) r ( T ) r + ( T ) r u ( w ) z } + Q 0 ( ρ C p ) hnf ( T T ) + λ t Q 0 ( ρ C p ) hnf { w ( T ) z + u ( T ) z } ,

(5) w ( C ) r u ( C ) z = D B ( C ) r r + 1 r ( C ) r λ c { u 2 ( C ) z z + w 2 ( C ) r r + 2 u w ( C ) z r + w ( u ) r ( C ) z + ( C ) z u ( u ) z + w ( w ) r ( C ) r + ( C ) r u ( w ) z } k c ( C C ) k c λ c { w ( C ) z + u ( C ) z } .

Figure 1 
               Flow configuration model.
Figure 1

Flow configuration model.

The constraints at boundary are as follows:

(6) at r = R 1 : u = 2 a z , v = E , w = 0 , T = T w , C = C w , as r : u 0 , v 0 , T T , C C .

Here, (u,v,w) denote velocity componenets. Dynamic viscosity of nanoliquid µ hnf, density ρ hnf, electrical conductivity σ hnf, thermal conductivity k hnf, specific heat (ρC p)hnf, magnetic field strength B 0, energy and mass relaxation time conveyance, respectively, are (λ t, λ c), mass diffusivity D B, and internal heat source Q 0.

The attributes of nondimensional terms are as follows:

(7) η = r 2 R 1 2 , u = 2 a z f ( η ) , v = E h ( η ) , w = a R 1 f ( η ) η 1 / 2 , θ ( η ) = T T T w T , φ ( η ) = C C C w C .

When Eq. (7) is applied on Eqs. (1)–(6), we obtain

(8) N 1 N 2 1 η f + f + Re η f f f 1 2 N 5 N 2 M f = 0 ,

(9) N 1 N 2 2 η 2 h + 2 η h h 2 + Re η 2 f h + 1 η f h N 5 N 4 M h = 0 ,

(10) ( η θ + θ ) 2 δ t N 3 N 4 Re Pr ( θ f 2 + f f θ ) + Re Pr N 4 H 2 θ + N 3 f θ = 0 ,

(11) η φ + φ 2 δ c Re Pr Le ( φ f 2 + f φ f ) + Re Pr Le f φ R s 2 φ = 0 .

With the transformed boundary conditions,

(12) f ( 1 ) = 1 , f ( 1 ) = 0 , h ( 1 ) = 1 , θ ( 1 ) = 1 , φ ( 1 ) = 1 , f ' ( ) 0 , h ( ) 0 , θ ( ) 0 , φ ( ) 0 . .

Re = a R 1 2 / 2 v is the Reynolds number, M = σ bf B 0 2 / ρ bf a indicates the magnetic parameter, Pr = ν / α bf indicates the Prandtl number, H = Q 0 / a ( ρ C p ) bf indicates the heat source/sink parameter, Le = α 1 D B is the Lewis number, δ t = a λ t represents the thermal relaxation factor, δ c = a λ c represents the solutal relaxation factor, and R s = k c / a point out destructive reactive species.

Now for the nanofluids [48], let us present the following expression for μ hnf , ρ hnf , ( ρ C p ) hnf , k hnf , and σ hnf as follows:

(13) μ hnf μ bf = 1 ( 1 ϕ Au ϕ Ag ) 2.5 , ρ hnf ρ bf = ϕ Au ρ Au ρ bf + ϕ Ag ρ Ag ρ bf + ( 1 ϕ Au ϕ Ag ) , ( ρ C p ) hnf = ϕ Au ( ρ C p ) Au ( ρ C p ) bf + ϕ Ag ( ρ C p ) Ag ( ρ C p ) bf + ( 1 ϕ Au ϕ Ag ) , k hnf k bf = ϕ Au k Au + ϕ Ag k Ag ϕ Au + ϕ Ag + 2 k bf + 2 ( ϕ Au k Au + ϕ Ag k Ag ) 2 ( ϕ Au + ϕ Ag ) k bf ϕ Au k Au + ϕ Ag k Ag ϕ Au + ϕ Ag + 2 k bf 2 ( k Au ϕ Au + k Ag ϕ Ag ) + 2 ( ϕ Au + ϕ Ag ) k bf , σ hnf σ bf = ϕ Au σ Au + σ Ag ϕ Ag ϕ Ag + ϕ Au + 2 σ bf 2 ( ϕ Au + ϕ Ag ) σ bf + 2 ( σ Au ϕ Au + ( ϕ Ag ) σ Ag ) ϕ Au σ Au + ϕ Ag σ Ag ϕ Au + ϕ Ag + 2 σ bf + σ bf ( ϕ Au + ϕ Ag ) ( σ Au ϕ Au + ( ϕ Ag ) σ Ag ) .

The nanofluid constants can be stated as follows:

(14) N 1 = μ hnf μ bf , N 2 = ρ hnf ρ bf , N 3 = ( ρ C p ) hnf ( ρ C p ) bf , N 4 = k hnf k bf , N 5 = σ hnf σ bf .

The thermophysical features of nanoliquid are presented in Table 1.

Table 1

Following [48], thermo-physical properties of nanoparticulates with base fluid

Properties Base fluid NPs
C 2 H 6 O 2 (ethylene glycol) A g A u
ρ ( K g m 3 ) 1,115 10,500 19,300
c p ( J K m 1 m 1 ) 2,430 235 129.1
k ( W m 1 K 1 ) 0.253 429 318
β × 10 5 ( K 1 ) 5.7 1.89 1.4
σ ( S m 1 ) 10.7 × 10‒5 6.30 × 107 4.25 × 107

Eqs. (8)–(11) are valid only for values ( > 0 ) of Re and slow convergence as disclosed by Fang and Yao [49]. So, further transformations η = e x is used to quicken the approach of the solutions, which lead to the following equations:

(15) N 1 N 2 ( f x x x 2 f x x + f x ) Re f x 2 + f f x f f x x 1 2 N 5 N 2 M f x e x = 0 ,

(16) 2 N 1 N 2 h x x h 2 + Re 2 f h x + f h N 5 N 4 M h e x = 0 ,

(17) θ x x e x 2 δ t N 3 N 4 Re Pr ( θ x x f 2 θ x f 2 + f f x θ x ) + Re Pr N 4 e 2 x H 2 θ + N 3 f θ x e x = 0 ,

(18) φ x x e x 2 δ c Re Le ( f 2 φ x x f 2 φ x + f f x φ x ) Pr + Re Le f φ x e x R s 2 φ Pr = 0 .

Along with transformed boundary conditions

(19) f ( 0 ) = 0 , f x ( 0 ) = 1 , h ( 0 ) = 1 , θ ( 0 ) = 1 , φ ( 0 ) = 1 , Lim x e x f x = 0 , h ( ) = 0 , θ ( ) = 0 , φ ( ) = 0 .

The physical quantities local surface friction C f , Nusselt number Nu x , and Sherwood number Sh x are mathematically given as follows:

(20) Re 1 / 2 C f z = 1 ( 1 ϕ Au ϕ Ag ) 2.5 f ( 0 ) , Re 1 / 2 C g r = 1 ( 1 ϕ Au ϕ Ag ) 2.5 h ( 0 ) ,

(21) Nu z = 2 θ ( 1 ) ,

(22) Sh x = 2 ϕ ( 1 ) .

3 Numerical solution

The detailed description regarding the PCM methodology is as follows [5053]:

Step 1: Generalization to first-order ordinary differential equation

(23) ƛ 1 ( η ) = f ( η ) , ƛ 3 ( η ) = f ( η ) , ƛ 5 ( η ) = h ( η ) , ƛ 7 ( η ) = θ ( η ) , ƛ 9 ( η ) = φ ( η ) , ƛ 2 ( η ) = f ( η ) , ƛ 4 ( η ) = h ( η ) , ƛ 6 ( η ) = θ ( η ) , ƛ 8 ( η ) = φ ( η ) . .

By setting Eq. (23) in Eqs. (15)–(18) and (19), we obtain:

(24) N 1 N 2 ( ƛ 3 2 ƛ 3 + ƛ 2 ) R e ƛ 2 2 + ƛ 1 ƛ 2 ƛ 1 ƛ 3 1 2 N 5 N 2 M ƛ 2 e x = 0 ,

(25) 2 N 1 N 2 ƛ 5 ƛ 4 2 + Re 2 f ƛ 5 + f ƛ 4 N 5 N 4 M ƛ 4 e x = 0 ,

(26) ƛ 7 e x 2 δ t N 3 N 4 Re Pr ( ƛ 1 2 ƛ 7 ƛ 1 2 ƛ 7 + ƛ 1 ƛ 2 ƛ 7 ) + Re Pr N 4 e 2 x H 2 ƛ 6 + N 3 ƛ 1 ƛ 7 e x = 0 ,

(27) ƛ 9 e x 2 δ c Re Le ( ƛ 1 2 ƛ 9 ƛ 1 2 ƛ 9 + ƛ 1 ƛ 2 ƛ 9 ) Pr + Re Le ƛ 1 ƛ 9 e x R s 2 ƛ 8 Pr = 0 .

Along with transformed boundary conditions

(28) ƛ 1 ( 0 ) = 0 , ƛ 2 ( 0 ) = 1 , ƛ 4 ( 0 ) = 1 , ƛ 6 ( 0 ) = 1 , ƛ 8 ( 0 ) = 1 , Lim x e x ƛ 2 = 0 , ƛ 4 ( ) = 0 , ƛ 6 ( ) = 0 , ƛ 8 ( ) = 0

Step 2: Introducing parameter p in Eqs. ( 24 )–( 27 )

(29) N 1 N 2 ( ƛ 3 2 ( ƛ 3 1 ) p + ƛ 2 ) Re ƛ 2 2 + ƛ 1 ƛ 2 ƛ 1 ƛ 3 1 2 N 5 N 2 M ƛ 2 e x = 0 ,

(30) 2 N 1 N 2 ƛ 5 ƛ 4 2 + Re 2 f ( ƛ 5 1 ) p + f ƛ 4 N 5 N 4 M ƛ 4 e x = 0 ,

(31) ƛ 7 e x 2 δ t N 3 N 4 Re Pr ( ƛ 1 2 ƛ 7 ƛ 1 2 ( ƛ 7 1 ) p + ƛ 1 ƛ 2 ƛ 7 ) + Re Pr N 4 e 2 x H 2 ƛ 6 + N 3 ƛ 1 ƛ 7 e x = 0 ,

(32) ƛ 9 e x 2 δ c Re Le ( ƛ 1 2 ƛ 9 ƛ 1 2 ( ƛ 9 1 ) p + ƛ 1 ƛ 2 ƛ 9 ) Pr + Re Le ƛ 1 ƛ 9 e x R s 2 ƛ 8 Pr = 0 ,

(33) ƛ 1 ( 0 ) = 0 , ƛ 2 ( 0 ) = 1 , ƛ 4 ( 0 ) = 1 , ƛ 6 ( 0 ) = 1 , ƛ 8 ( 0 ) = 1 , Lim x e x ƛ 2 = 0 , ƛ 4 ( ) = 0 , ƛ 6 ( ) = 0 , ƛ 8 ( ) = 0 .

Step 3: Solving the Cauchy problems

By using implicit numerical scheme:

(34) U i + 1 U i Δ η = AU i + 1 and W i + 1 W i Δ η = A W i + 1 .

The final iterative form is attained as follows:

(35) U i + 1 = U i ( I Δ η A ) and W i + 1 = ( W i + Δ η R ) ( I Δ η A ) .

3.1 Validation of the results

For the validity of the present results, the obtained numerical results for skin friction are related to the published work as shown in Table 2. It can be observed that the present results have greater similarity with the published studies.

Table 2

The comparison of the present results versus the existing study for h ( 1 ) and f ( 1 ) by taking M = H = 0 .

Fang and Yao [49] Jawad et al. [47] Present study Fang and Yao [49] Jawad et al. [47] Present study
Re f ( 1 ) f ( 1 ) f ( 1 ) h ( 1 ) h ( 1 ) h ( 1 )
0.1 −0.48170 −0.48950 −0.489523 −0.51018 −0.51022 −0.510242
0.2 −0.61738 −0.61415 −0.614163 −0.52604 −0.52740 −0.527463
0.5 −0.88210 −0.88602 −0.886048 −0.58487 −0.58561 −0.585634
1.0 −1.17765 −1.17940 −1.179428 −0.68771 −0.687933 −0.687947
2.0 −1.59379 −1.59600 −1.596023 −0.87262 −0.87263 −0.872662
5.0 −2.41733 −2.41788 −2.417967 −1.29787 −1.29787 −1.297972
10 −3.34436 −3.34444 −3.344673 −1.81005 −1.81006 −1.810281

4 Results and discussion

This section revealed the physics behind the graphical results. For the velocity energy and mass outlines, we have used the following default values of parameters: Re = 1 , M = 2 , Pr = 6.2 , ϕ 1 = ϕ 2 = 0.02 , Le = 1 , H = 1.5 , R s = 1.5 , δ t = 0.1 , δ c = 0.1 .

4.1 Velocity interpretations

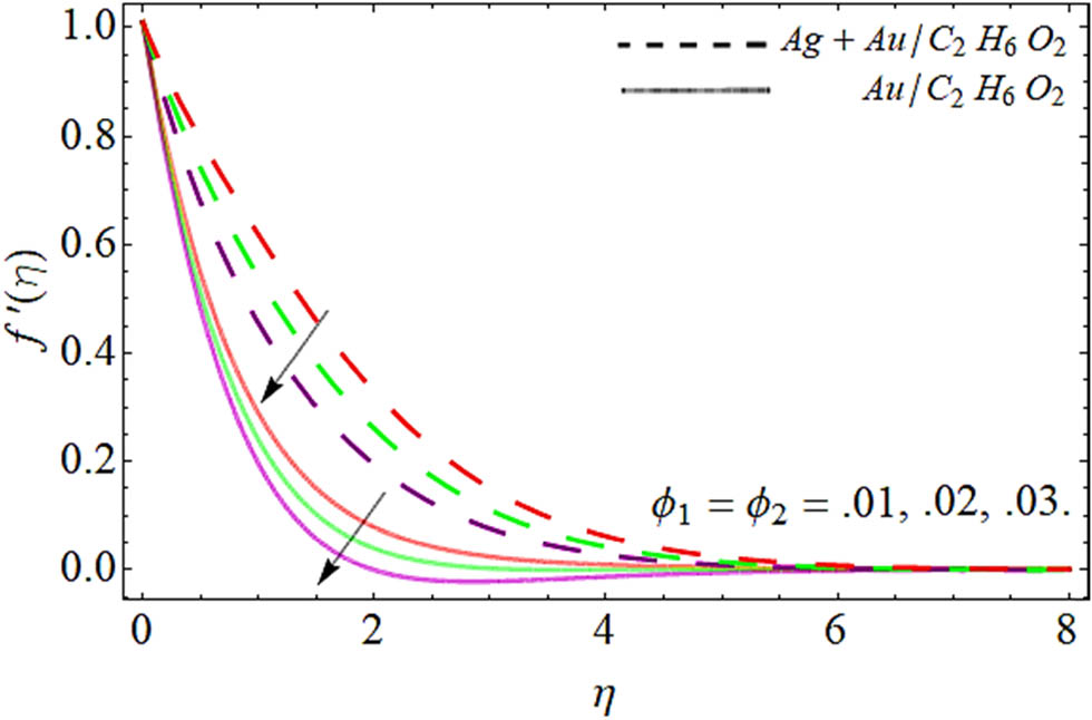
Figures 24 exhibit the appearance of the axial velocity curve f ( η ) against the Reynolds number Re, magnetic effect M and NPs. Figure 2 testifies that the velocity panel drops with the influence of the Reynolds number. Physically, inertial forces enhance the consequences of Re and cause the lessening of the velocity curve. Figure 3 shows that the nanofluid velocity diminishes with the intensifying values of the magnetic factor, as the opposing force, that provides resistance in the flow direction generated due to the magnetic influence. That is why, the fluid velocity drops with the magnetic upshot as demonstrated in Figure 3. Figure 4 shows that the insertion of NPs in C2H6O2 reduces the fluid velocity in the axial direction. Physically, the density of NPs is higher than C2H6O2, and hence their dispersion makes the fluid density denser; as a result, fluid velocity drops as shown in Figure 4.

Figure 2 
                  Performance of axial velocity curve 
                        
                           
                           
                              
                                 f
                                 ′
                              
                              (
                              η
                              )
                           
                           f^{\prime} (\eta )
                        
                      
                     versus the Reynolds number Re.
Figure 2

Performance of axial velocity curve f ( η ) versus the Reynolds number Re.

Figure 3 
                  Performance of axial velocity curve 
                        
                           
                           
                              
                                 f
                                 ′
                              
                              (
                              η
                              )
                           
                           f^{\prime} (\eta )
                        
                      
                     versus the magnetic effect M.
Figure 3

Performance of axial velocity curve f ( η ) versus the magnetic effect M.

Figure 4 
                  Performance of axial velocity curve 
                        
                           
                           
                              
                                 f
                                 ′
                              
                              (
                              η
                              )
                           
                           f^{\prime} (\eta )
                        
                      
                     versus NPs volume friction.
Figure 4

Performance of axial velocity curve f ( η ) versus NPs volume friction.

Figures 57 present the presentation of swirling curve h ( η ) versus the Re, magnetic effect M, and NP volume friction, respectively. Figure 5 describes that the velocity distribution decays with the impact of the Reynolds number. Physically, the inertial forces enhance with the effect of Re, which results in the decrease of the momentum boundary layer. Figure 6 shows that the nanofluid velocity diminishes with the growing values of the magnetic factor because the resistive force provides resistance in the flow direction generated due to magnetic influence. Hence, the fluid velocity drops with the magnetic upshot as demonstrated in Figure 6. Figure 7 shows that the inclusion of NPs in ethylene glycol reduces the fluid velocity in the radial direction. Physically, the density of Ag and Au NPs is higher than C2H6O2, and hence, their scattering makes the fluid density denser and fluid velocity degenerates as shown in Figure 7.

Figure 5 
                  Performance of swirling curve 
                        
                           
                           
                              h
                              (
                              η
                              )
                           
                           h(\eta )
                        
                      
                     versus the Reynolds number Re.
Figure 5

Performance of swirling curve h ( η ) versus the Reynolds number Re.

Figure 6 
                  Performance of swirling curve 
                        
                           
                           
                              h
                              (
                              η
                              )
                           
                           h(\eta )
                        
                      
                     versus the magnetic effect M.
Figure 6

Performance of swirling curve h ( η ) versus the magnetic effect M.

Figure 7 
                  Performance of swirling curve 
                        
                           
                           
                              h
                              (
                              η
                              )
                           
                           h(\eta )
                        
                      
                     versus the NPs volume friction.
Figure 7

Performance of swirling curve h ( η ) versus the NPs volume friction.

4.2 Energy interpretation

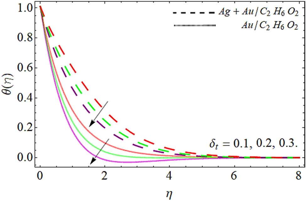
Figures 812 illustrate the presentation of energy curve θ ( η ) versus the Re, thermal relaxation factor δ t , NPs volume friction, heat source H, and magnetic effect M, respectively. Figures 8 and 9 express that the nanofluid energy outlines decrease with the influence of Reynolds number Re and thermal relaxation factor δ t . As we have discussed ealier, interial forces boosts with the upshot of Re, which declines the energy curve as shown in Figure 8. Thermal relaxation time is the duration that it takes for an object to restore to its initial temperature after being heated. Hence, the rising values of δ t drops the nanofluid energy curve δ t as shown in Figure 9. Figure 10 demonstrates that the temperature outlines also drop with the increasing numbers of Ag and Au NPs in the ethylene gylcol. Physcally, the thermal conductivity and the density of nanoliquid increase with the addition of nano composities, which augments the energy-absorbing capability of the base fluid, as a result of a decrease in the fluid temperature δ t . Figures 11 and 12 reveal that the nanofluid temperature outlines upsurges with the flourshing upshots of H (heat source) and magnetic field. During the chemical reaction, the atoms release some energy, which when added to the total energy of the fluid, causes inclination in the thermal profile as indicated in Figure 11. However, the resistive force that opposes the flow field also produces heat and ultimately the energy curve boosts as shown in Figure 12.

Figure 8 
                  Performance of energy curve 
                        
                           
                           
                              θ
                              
                                 
                                    (
                                    
                                       η
                                    
                                    )
                                 
                              
                           
                           \theta (\eta )
                        
                      
                     versus the Reynolds number Re.
Figure 8

Performance of energy curve θ ( η ) versus the Reynolds number Re.

Figure 9 
                  Performance of energy curve 
                        
                           
                           
                              θ
                              
                                 
                                    (
                                    
                                       η
                                    
                                    )
                                 
                              
                           
                           \theta (\eta )
                        
                      
                     versus the thermal relaxation factor 
                        
                           
                           
                              
                                 
                                    δ
                                 
                                 
                                    t
                                 
                              
                           
                           {\delta }_{\text{t}}
                        
                     .
Figure 9

Performance of energy curve θ ( η ) versus the thermal relaxation factor δ t .

Figure 10 
                  Performance of energy curve 
                        
                           
                           
                              θ
                              
                                 
                                    (
                                    
                                       η
                                    
                                    )
                                 
                              
                           
                           \theta (\eta )
                        
                      
                     versus the NPs volume friction.
Figure 10

Performance of energy curve θ ( η ) versus the NPs volume friction.

Figure 11 
                  Performance of energy curve 
                        
                           
                           
                              θ
                              
                                 
                                    (
                                    
                                       η
                                    
                                    )
                                 
                              
                           
                           \theta (\eta )
                        
                      
                     versus the heat source H.
Figure 11

Performance of energy curve θ ( η ) versus the heat source H.

Figure 12 
                  Performance of energy curve 
                        
                           
                           
                              θ
                              
                                 
                                    (
                                    
                                       η
                                    
                                    )
                                 
                              
                           
                           \theta (\eta )
                        
                      
                     versus the magnetic effect M.
Figure 12

Performance of energy curve θ ( η ) versus the magnetic effect M.

4.3 Mass interpretations

Figures 1315 illustrate the presentation of mass outline φ ( η ) versus the solutal relaxation factor δ c , NPs volume friction, and Lewis number Le, respectively. Figures 1315 demonstrate that the mass outlines decline with the influence of parameters δ c , ϕ , and Le. Relaxation time is the period when a system relieves in response to external conditions that change. Hence, the action of the solutal relaxation factor descents the mass diffusion rate of nanofluid as shown in Figure 13. Likewise, the addition of Ag and Au NPs to base fluid makes the fluid atom denser, which causes the reduction of molecular diffusion rate, and thus, mass panel declines as shown in Figure 14. Figure 15 expresses that the mass distribution also weakens with the upsurge in the Lewis number. Table 3 reveals the statistical value for the Sherwood number, skin friction, and Nusselt number. Also, the skin friction enhances with the result of magnetic factor, while the energy transference rate declines.

Figure 13 
                  Performance of mass outline 
                        
                           
                           
                              φ
                              
                                 
                                    (
                                    
                                       η
                                    
                                    )
                                 
                              
                           
                           \varphi (\eta )
                        
                      
                     versus the solutal relaxation factor 
                        
                           
                           
                              
                                 
                                    δ
                                 
                                 
                                    c
                                 
                              
                           
                           {\delta }_{\text{c}}
                        
                     .
Figure 13

Performance of mass outline φ ( η ) versus the solutal relaxation factor δ c .

Figure 14 
                  Performance of mass outline 
                        
                           
                           
                              φ
                              
                                 
                                    (
                                    
                                       η
                                    
                                    )
                                 
                              
                           
                           \varphi (\eta )
                        
                      
                     versus the NPs volume friction.
Figure 14

Performance of mass outline φ ( η ) versus the NPs volume friction.

Figure 15 
                  Performance of mass outline 
                        
                           
                           
                              φ
                              
                                 
                                    (
                                    
                                       η
                                    
                                    )
                                 
                              
                           
                           \varphi (\eta )
                        
                      
                     versus the Lewis number Le.
Figure 15

Performance of mass outline φ ( η ) versus the Lewis number Le.

Table 3

The statistical outputs for Sherwood number, skin friction, and Nusselt number

M Re ϕ 1 = ϕ 2 δ t f ( 1 ) g ( 1 ) θ ( 1 ) φ ( 1 )
0.1 0.5 0.01 0.2 0.01382 3.66511 1.05166 0.83201
0.3 0.02744 3.89473 1.04799 0.83258
0.5 0.03924 4.10009 1.04508 0.83303
0.7 0.05090 1.75129 1.05648 0.83127
0.5 0.05592 1.86606 1.17839 0.88044
1.0 0.06103 1.98190 1.29760 1.01614
1.5 0.06623 1.09873 1.41310 1.05927
2.0 0.08745 3.40207 1.51518 1.70389
0.01 0.08732 3.40205 1.36499 0.67873
0.02 0.08723 3.40196 1.41399 0.65379
0.03 0.08654 3.40178 1.50938 0.62171
0.04 0.08645 3.40107 1.03834 0.58124
0.2 0.08645 3.40206 1.03215 0.84004
0.4 0.08542 3.40204 1.13743 0.88745
0.6 0.08454 3.40123 1.27348 0.71823
0.8 0.08245 3.40007 1.45929 0.70920

5 Conclusions

This study examined the heat and mass conveyance through the fluid flow across a swirling cylinder under the impact of magnetic effects and Cattaneo–Christov heat flux, heat source/sink, and reactive species. The hybrid nanoliquid has been produced by the dispersion of Ag and Au NPs in C2H6O2 (pure fluid). The modeled equations are reduced to the dimensionless system of ODEs by employing the similarity substitution. For the numerical estimation of the problem, PCM methodology is used. The main findings are as follows:

  • The axial velocity distribution drops with the impact of the Reynolds number, magnetic effect, and the inclusion of Ag and Au NPs in C2H6O2.

  • Nanofluid energy outlines decrease with upsurge Reynolds number Re, thermal relaxation factor δ t , and the rising number of Ag and Au NPs.

  • Swirling velocity outline also diminishes due to the effects of NPs volume friction, Reynolds number, and magnetic factor.

  • Mass outlines drop with the flourishing values of solutal relaxation factor δ c , NPs volume friction, and Lewis number Le.

  • The temperature field upsurges for flourshing effects of heat source H and magnetic field.

  • The present mathematical model can be modified to other types of fluid models and can also be numerically and analytically solved.

Acknowledgments

The authors acknowledge support from the Deanship of Scientific Research, the Vice Presidency for Graduate Studies and Scientific Research, King Faisal University, Saudi Arabia (Grant No. 5783).

  1. Funding information: This work was supported by the Deanship of Scientific Research, the Vice Presidency for Graduate Studies and Scientific Research, King Faisal University, Saudi Arabia (Grant No. 5783).

  2. Author contributions: All authors have accepted responsibility for the entire content of this manuscript and approved its submission.

  3. Conflict of interest: The authors state no conflict of interest.

  4. Data availability statement: All data generated or analysed during this study are included in this published article.

References

[1] Dufrane KF. Wear perfomance of ceramics in ring/cylinder applications. J Am Ceram Soc. 1989 Apr;72(4):691–5.10.1111/j.1151-2916.1989.tb06199.xSearch in Google Scholar

[2] Chu YM, Bashir S, Ramzan M, Malik MY. Model‐based comparative study of magnetohydrodynamics unsteady hybrid nanofluid flow between two infinite parallel plates with particle shape effects. Math Methods Appl Sci. 2023 Jul 15;46(10):11568–82.10.1002/mma.8234Search in Google Scholar

[3] Karlsson J, Fredriksson J. Cylinder-by-cylinder engine models vs mean value engine models for use in powertrain control applications. SAE Technical Paper; 1999 Mar 1.10.4271/1999-01-0906Search in Google Scholar

[4] Bilal M, Saeed A, Selim MM, Gul T, Ali I, Kumam P. Comparative numerical analysis of Maxwell’s time-dependent thermo-diffusive flow through a stretching cylinder. Case Stud Therm Eng. 2021 Oct 1;27:101301.10.1016/j.csite.2021.101301Search in Google Scholar

[5] Pattnaik PK, Abbas MA, Mishra S, Khan SU, Bhatti MM. Free convective flow of hamilton-crosser model gold-water nanofluid through a channel with permeable moving walls. Comb Chem High Throughput Screen. 2022 Jul 1;25(7):1103–14.10.2174/1386207324666210813112323Search in Google Scholar PubMed

[6] Kumar RN, Gowda RP, Abusorrah AM, Mahrous YM, Abu-Hamdeh NH, Issakhov A, et al. Impact of magnetic dipole on ferromagnetic hybrid nanofluid flow over a stretching cylinder. Phys Scr. 2021 Feb 12;96(4):045215.10.1088/1402-4896/abe324Search in Google Scholar

[7] Alhowaity A, Hamam H, Bilal M, Ali A. Numerical study of Williamson hybrid nanofluid flow with thermal characteristics past over an extending surface. Heat Transf. 2022 Nov;51(7):6641–55.10.1002/htj.22616Search in Google Scholar

[8] Abbasi A, Farooq W, Tag-ElDin ES, Khan SU, Khan MI, Guedri K, et al. Heat transport exploration for hybrid nanoparticle (Cu, Fe3O4)—Based blood flow via tapered complex wavy curved channel with slip features. Micromachines. 2022 Aug 28;13(9):1415.10.3390/mi13091415Search in Google Scholar PubMed PubMed Central

[9] Pattnaik PK, Mishra SR, Bég OA, Khan UF, Umavathi JC. Axisymmetric radiative titanium dioxide magnetic nanofluid flow on a stretching cylinder with homogeneous/heterogeneous reactions in Darcy-Forchheimer porous media: Intelligent nanocoating simulation. Mater Sci Eng B. 2022 Mar 1;277:115589.10.1016/j.mseb.2021.115589Search in Google Scholar

[10] Ramzan M, Algehyne EA, Saeed A, Dawar A, Kumam P, Watthayu W. Homotopic simulation for heat transport phenomenon of the Burgers nanofluids flow over a stretching cylinder with thermal convective and zero mass flux conditions. Nanotechnol Rev. 2022 Apr 1;11(1):1437–49.10.1515/ntrev-2022-0089Search in Google Scholar

[11] Seid E, Haile E, Walelign T. Multiple slip, Soret and Dufour effects in fluid flow near a vertical stretching sheet in the presence of magnetic nanoparticles. Int J Thermofluids. 2022 Feb 1;13:100136.10.1016/j.ijft.2022.100136Search in Google Scholar

[12] Umar M, Amin F, Al-Mdallal Q, Ali MR. A stochastic computing procedure to solve the dynamics of prevention in HIV system. Biomed Signal Process Control. 2022 Sep 1;78:103888.10.1016/j.bspc.2022.103888Search in Google Scholar

[13] Reddy YD, Goud BS, Nisar KS, Alshahrani B, Mahmoud M, Park C. Heat absorption/generation effect on MHD heat transfer fluid flow along a stretching cylinder with a porous medium. Alex Eng J. 2023 Feb 1;64:659–66.10.1016/j.aej.2022.08.049Search in Google Scholar

[14] Sreedevi P, Reddy PS. Flow and heat transfer analysis of carbon nanotubes based nanofluid flow inside a cavity with modified Fourier heat flux. Phys Scr. 2021;96(5).10.1088/1402-4896/abe90fSearch in Google Scholar

[15] Sudarsana Reddy P, Sreedevi P. Impact of chemical reaction and double stratification on heat and mass transfer characteristics of nanofluid flow over porous stretching sheet with thermal radiation. Int J Ambient Energy. 2022 Dec 31;43(1):1626–36.10.1080/01430750.2020.1712240Search in Google Scholar

[16] Yu W, Xie H. A review on nanofluids: Preparation, stability mechanisms, and applications. J Nanomater. 2012 Jan 1;2012:1–7.10.1155/2012/435873Search in Google Scholar

[17] Rauf A, Faisal, Shah NA, Botmart T. Hall current and morphological effects on MHD micropolar non-Newtonian tri-hybrid nanofluid flow between two parallel surfaces. Sci Rep. 2022 Oct 5;12(1):16608.10.1038/s41598-022-19625-3Search in Google Scholar PubMed PubMed Central

[18] Zhao J, Pinchuk AO, McMahon JM, Li S, Ausman LK, Atkinson AL, et al. Methods for describing the electromagnetic properties of silver and gold nanoparticles. Acc Chem Res. 2008 Dec 16;41(12):1710–20.10.1021/ar800028jSearch in Google Scholar PubMed

[19] Rónavári A, Igaz N, Adamecz DI, Szerencsés B, Molnar C, Kónya Z, et al. Green silver and gold nanoparticles: Biological synthesis approaches and potentials for biomedical applications. Molecules. 2021 Feb 5;26(4):844.10.3390/molecules26040844Search in Google Scholar PubMed PubMed Central

[20] Assiri TA, Aziz Elsebaee FA, Alqahtani AM, Bilal M, Ali A, Eldin SM. Numerical simulation of energy transfer in radiative hybrid nanofluids flow influenced by second-order chemical reaction and magnetic field. AIP Adv. 2023 Mar 1;13(3).10.1063/5.0141532Search in Google Scholar

[21] Waqas H, Farooq U, Hassan A, Liu D, Noreen S, Makki R, et al. Numerical and computational simulation of blood flow on hybrid nanofluid with heat transfer through a stenotic artery: Silver and gold nanoparticles. Results Phys. 2023 Jan 1;44:106152.10.1016/j.rinp.2022.106152Search in Google Scholar

[22] Bilal M, Saeed A, Gul T, Ali I, Kumam W, Kumam P. Numerical approximation of microorganisms hybrid nanofluid flow induced by a wavy fluctuating spinning disc. Coatings. 2021 Aug 27;11(9):1032.10.3390/coatings11091032Search in Google Scholar

[23] Alharbi KA, Ahmed AE, Sidi MO, Ahammad NA, Mohamed A, El-Shorbagy MA, et al. Computational valuation of Darcy ternary-hybrid nanofluid flow across an extending cylinder with induction effects. Micromachines. 2022;13:588.10.3390/mi13040588Search in Google Scholar PubMed PubMed Central

[24] Zhang Y, Shahmir N, Ramzan M, Alotaibi H, Aljohani HM. Upshot of melting heat transfer in a Von Karman rotating flow of gold-silver/engine oil hybrid nanofluid with cattaneo–christov heat flux. Case Stud Therm Eng. 2021 Aug 1;26:101149.10.1016/j.csite.2021.101149Search in Google Scholar

[25] Akram J, Akbar NS, Tripathi D. A theoretical investigation on the heat transfer ability of water-based hybrid (Ag–Au) nanofluids and Ag nanofluids flow driven by electroosmotic pumping through a microchannel. Arab J Sci Eng. 2021 Mar;46:2911–27.10.1007/s13369-020-05265-0Search in Google Scholar

[26] Sreedevi P, Reddy PS, Suryanarayana Rao KV. Effect of magnetic field and radiation on heat transfer analysis of nanofluid inside a square cavity filled with silver nanoparticles: Tiwari–Das model. Waves Random Complex Media. 2021 Apr 28;1–9.10.1080/17455030.2021.1918798Search in Google Scholar

[27] Waqas H, Farooq U, Liu D, Alghamdi M, Noreen S, Muhammad T. Numerical investigation of nanofluid flow with gold and silver nanoparticles injected inside a stenotic artery. Mater Des. 2022 Nov 1;223:111130.10.1016/j.matdes.2022.111130Search in Google Scholar

[28] Nanda P, Sandeep N, Sulochana C, Ashwinkumar GP. Enhanced heat transmission in methanol-based AA7072/AA7075 tangent hyperbolic hybrid nanofluid flow along a nonlinear expandable surface. Numer Heat Transfer Part A: Appl. 2023 Apr 3;83(7):711–25.10.1080/10407782.2022.2157916Search in Google Scholar

[29] Shahzad A, Liaqat F, Ellahi Z, Sohail M, Ayub M, Ali MR. Thin film flow and heat transfer of Cu-nanofluids with slip and convective boundary condition over a stretching sheet. Sci Rep. 2022 Aug 22;12(1):14254.10.1038/s41598-022-18049-3Search in Google Scholar PubMed PubMed Central

[30] Reddy PS, Sreedevi P, Suryanarayana Rao KV. Impact of heat generation/absorption on heat and mass transfer of nanofluid over rotating disk filled with carbon nanotubes. Int J Numer Methods Heat Fluid Flow. 2021 Aug 26;31(9):2962–85.10.1108/HFF-10-2020-0621Search in Google Scholar

[31] Nazia S, Seshaiah B, Sudarsana Reddy P, Sreedevi P. Silver–ethylene glycol and copper–ethylene glycol based thermally radiative nanofluid characteristics between two rotating stretchable disks with modified Fourier heat flux. Heat Transf. 2023 Jan;52(1):289–316.10.1002/htj.22695Search in Google Scholar

[32] Pattnaik PK, Parida SK, Mishra SR, Abbas MA, Bhatti MM. Analysis of metallic nanoparticles (Cu, Al2O3, and SWCNTs) on magnetohydrodynamics water-based nanofluid through a porous medium. J Math. 2022 Feb 14;2022:1–2.10.1155/2022/3237815Search in Google Scholar

[33] Baag S, Mishra SR, Hoque MM, Anika NN. Magnetohydrodynamic boundary layer flow over an exponentially stretching sheet past a porous medium with uniform heat source. J Nanofluids. 2018 Jun 1;7(3):570–6.10.1166/jon.2018.1478Search in Google Scholar

[34] Chandra Sekar Reddy R, Reddy PS, Sreedevi P. Impact of the Cattaneo–Christov heat flux on heat and mass transfer analysis of a hybrid nanofluid flow over a vertical cone. Int J Ambient Energy. 2022 Dec 31;43(1):6919–31.10.1080/01430750.2022.2056916Search in Google Scholar

[35] Bejawada SG, Nandeppanavar MM. Effect of thermal radiation on magnetohydrodynamics heat transfer micropolar fluid flow over a vertical moving porous plate. Exp Comput Multiph Flow. 2023 Jun;5(2):149–58.10.1007/s42757-021-0131-5Search in Google Scholar

[36] Bejawada SG, Reddy YD, Jamshed W, Nisar KS, Alharbi AN, Chouikh R. Radiation effect on MHD Casson fluid flow over an inclined non-linear surface with chemical reaction in a Forchheimer porous medium. Alex Eng J. 2022 Oct 1;61(10):8207–20.10.1016/j.aej.2022.01.043Search in Google Scholar

[37] Kodi R, Mopuri O. Unsteady MHD oscillatory Casson fluid flow past an inclined vertical porous plate in the presence of chemical reaction with heat absorption and Soret effects. Heat Transf. 2022 Jan;51(1):733–52.10.1002/htj.22327Search in Google Scholar

[38] Mahabaleshwar US, Vishalakshi AB, Hatami M. MHD micropolar fluid flow over a stretching/shrinking sheet with dissipation of energy and stress work considering mass transpiration and thermal radiation. Int Commun Heat Mass Transf. 2022 Apr 1;133:105966.10.1016/j.icheatmasstransfer.2022.105966Search in Google Scholar

[39] Sadaf M, Arshed S, Akram G, Ali MR, Bano I. Analytical investigation and graphical simulations for the solitary wave behavior of Chaffee–Infante equation. Results Phys. 2023 Nov 1;54:107097.10.1016/j.rinp.2023.107097Search in Google Scholar

[40] Ali KK, Yusuf A, Yokus A, Ali MR. Optical waves solutions for the perturbed Fokas–Lenells equation through two different methods. Results Phys. 2023 Oct 1;53:106869.10.1016/j.rinp.2023.106869Search in Google Scholar

[41] Ali A, Ahammad NA, Tag-Eldin E, Gamaoun F, Daradkeh YI, Yassen MF. MHD Williamson nanofluid flow in the rheology of thermal radiation, Joule heating, and chemical reaction using the Levenberg–Marquardt neural network algorithm. Front Energy Res. 2022;1175.10.3389/fenrg.2022.965603Search in Google Scholar

[42] Adnan, Nadeem A, Mahmoud HA, Ali A, Eldin SM. Significance of Koo-Kleinstreuer-Li model for thermal enhancement in nanofluid under magnetic field and thermal radiation factors using LSM. Adv Mech Eng. 2023 Oct;15(10):16878132231206906.10.1177/16878132231206906Search in Google Scholar

[43] Pattnaik PK, Moapatra DK, Mishra SR. Influence of velocity slip on the MHD flow of a micropolar fluid over a stretching surface. In Recent trends in applied mathematics: Select Proceedings of AMSE 2019 2021. Singapore: Springer; p. 307–21.10.1007/978-981-15-9817-3_21Search in Google Scholar

[44] Nisar KS, Mohapatra R, Mishra SR, Reddy MG. Semi-analytical solution of MHD free convective Jeffrey fluid flow in the presence of heat source and chemical reaction. Ain Shams Eng J. 2021 Mar 1;12(1):837–45.10.1016/j.asej.2020.08.015Search in Google Scholar

[45] Makinde OD, Mishra SR. Chemically reacting MHD mixed convection variable viscosity Blasius flow embedded in a porous medium. In Defect and Diffusion Forum 2017 May 31. Vol. 374, Trans Tech Publications Ltd; p. 83–91.10.4028/www.scientific.net/DDF.374.83Search in Google Scholar

[46] Ahmed A, Khan M, Ahmed J. Thermal analysis in swirl motion of Maxwell nanofluid over a rotating circular cylinder. Appl Math Mech. 2020 Sep;41:1417–30.10.1007/s10483-020-2643-7Search in Google Scholar

[47] Ahmed J, Shahzad A, Farooq A, Kamran M, Ud-Din Khan S, Ud-Din Khan S. Thermal analysis in swirling flow of titanium dioxide–aluminum oxide water hybrid nanofluid over a rotating cylinder. J Therm Anal Calorim. 2021 Jun;144:2175–85.10.1007/s10973-020-10190-3Search in Google Scholar

[48] Shamshuddin MD, Mabood F, Bég OA. Thermomagnetic reactive ethylene glycol-metallic nanofluid transport from a convectively heated porous surface with Ohmic dissipation, heat source, thermophoresis and Brownian motion effects. Int J Model Simul. 2022 Sep 3;42(5):782–96.10.1080/02286203.2021.1977531Search in Google Scholar

[49] Fang T, Yao S. Viscous swirling flow over a stretching cylinder. Chin Phys Lett. 2011 Nov 1;28(11):114702.10.1088/0256-307X/28/11/114702Search in Google Scholar

[50] Berezowski M. The application of the parametric continuation method for determining steady state diagrams in chemical engineering. Chem Eng Sci. 2010 Oct 1;65(19):5411–4.10.1016/j.ces.2010.07.003Search in Google Scholar

[51] Patil A. A modification and application of parametric continuation method to variety of nonlinear boundary value problems in applied mechanics. Rochester Institute of Technology; 2016.Search in Google Scholar

[52] Algehyne EA, Alrihieli HF, Saeed A, Alduais FS, Hayat AU, Kumam P. Numerical simulation of 3D Darcy–Forchheimer fluid flow with the energy and mass transfer over an irregular permeable surface. Sci Rep. 2022 Aug 26;12(1):14629.10.1038/s41598-022-18304-7Search in Google Scholar PubMed PubMed Central

[53] Raizah Z, Saeed A, Bilal M, Galal AM, Bonyah E Parametric simulation of stagnation point flow of motile microorganism hybrid nanofluid across a circular cylinder with sinusoidal radius. Open Phys. 2023 Jan 25;21(1):20220205.10.1515/phys-2022-0205Search in Google Scholar

Received: 2023-11-02
Revised: 2024-01-24
Accepted: 2024-02-06
Published Online: 2024-03-12

© 2024 the author(s), published by De Gruyter

This work is licensed under the Creative Commons Attribution 4.0 International License.

Articles in the same Issue

  1. Regular Articles
  2. Numerical study of flow and heat transfer in the channel of panel-type radiator with semi-detached inclined trapezoidal wing vortex generators
  3. Homogeneous–heterogeneous reactions in the colloidal investigation of Casson fluid
  4. High-speed mid-infrared Mach–Zehnder electro-optical modulators in lithium niobate thin film on sapphire
  5. Numerical analysis of dengue transmission model using Caputo–Fabrizio fractional derivative
  6. Mononuclear nanofluids undergoing convective heating across a stretching sheet and undergoing MHD flow in three dimensions: Potential industrial applications
  7. Heat transfer characteristics of cobalt ferrite nanoparticles scattered in sodium alginate-based non-Newtonian nanofluid over a stretching/shrinking horizontal plane surface
  8. The electrically conducting water-based nanofluid flow containing titanium and aluminum alloys over a rotating disk surface with nonlinear thermal radiation: A numerical analysis
  9. Growth, characterization, and anti-bacterial activity of l-methionine supplemented with sulphamic acid single crystals
  10. A numerical analysis of the blood-based Casson hybrid nanofluid flow past a convectively heated surface embedded in a porous medium
  11. Optoelectronic–thermomagnetic effect of a microelongated non-local rotating semiconductor heated by pulsed laser with varying thermal conductivity
  12. Thermal proficiency of magnetized and radiative cross-ternary hybrid nanofluid flow induced by a vertical cylinder
  13. Enhanced heat transfer and fluid motion in 3D nanofluid with anisotropic slip and magnetic field
  14. Numerical analysis of thermophoretic particle deposition on 3D Casson nanofluid: Artificial neural networks-based Levenberg–Marquardt algorithm
  15. Analyzing fuzzy fractional Degasperis–Procesi and Camassa–Holm equations with the Atangana–Baleanu operator
  16. Bayesian estimation of equipment reliability with normal-type life distribution based on multiple batch tests
  17. Chaotic control problem of BEC system based on Hartree–Fock mean field theory
  18. Optimized framework numerical solution for swirling hybrid nanofluid flow with silver/gold nanoparticles on a stretching cylinder with heat source/sink and reactive agents
  19. Stability analysis and numerical results for some schemes discretising 2D nonconstant coefficient advection–diffusion equations
  20. Convective flow of a magnetohydrodynamic second-grade fluid past a stretching surface with Cattaneo–Christov heat and mass flux model
  21. Analysis of the heat transfer enhancement in water-based micropolar hybrid nanofluid flow over a vertical flat surface
  22. Microscopic seepage simulation of gas and water in shale pores and slits based on VOF
  23. Model of conversion of flow from confined to unconfined aquifers with stochastic approach
  24. Study of fractional variable-order lymphatic filariasis infection model
  25. Soliton, quasi-soliton, and their interaction solutions of a nonlinear (2 + 1)-dimensional ZK–mZK–BBM equation for gravity waves
  26. Application of conserved quantities using the formal Lagrangian of a nonlinear integro partial differential equation through optimal system of one-dimensional subalgebras in physics and engineering
  27. Nonlinear fractional-order differential equations: New closed-form traveling-wave solutions
  28. Sixth-kind Chebyshev polynomials technique to numerically treat the dissipative viscoelastic fluid flow in the rheology of Cattaneo–Christov model
  29. Some transforms, Riemann–Liouville fractional operators, and applications of newly extended M–L (p, s, k) function
  30. Magnetohydrodynamic water-based hybrid nanofluid flow comprising diamond and copper nanoparticles on a stretching sheet with slips constraints
  31. Super-resolution reconstruction method of the optical synthetic aperture image using generative adversarial network
  32. A two-stage framework for predicting the remaining useful life of bearings
  33. Influence of variable fluid properties on mixed convective Darcy–Forchheimer flow relation over a surface with Soret and Dufour spectacle
  34. Inclined surface mixed convection flow of viscous fluid with porous medium and Soret effects
  35. Exact solutions to vorticity of the fractional nonuniform Poiseuille flows
  36. In silico modified UV spectrophotometric approaches to resolve overlapped spectra for quality control of rosuvastatin and teneligliptin formulation
  37. Numerical simulations for fractional Hirota–Satsuma coupled Korteweg–de Vries systems
  38. Substituent effect on the electronic and optical properties of newly designed pyrrole derivatives using density functional theory
  39. A comparative analysis of shielding effectiveness in glass and concrete containers
  40. Numerical analysis of the MHD Williamson nanofluid flow over a nonlinear stretching sheet through a Darcy porous medium: Modeling and simulation
  41. Analytical and numerical investigation for viscoelastic fluid with heat transfer analysis during rollover-web coating phenomena
  42. Influence of variable viscosity on existing sheet thickness in the calendering of non-isothermal viscoelastic materials
  43. Analysis of nonlinear fractional-order Fisher equation using two reliable techniques
  44. Comparison of plan quality and robustness using VMAT and IMRT for breast cancer
  45. Radiative nanofluid flow over a slender stretching Riga plate under the impact of exponential heat source/sink
  46. Numerical investigation of acoustic streaming vortices in cylindrical tube arrays
  47. Numerical study of blood-based MHD tangent hyperbolic hybrid nanofluid flow over a permeable stretching sheet with variable thermal conductivity and cross-diffusion
  48. Fractional view analytical analysis of generalized regularized long wave equation
  49. Dynamic simulation of non-Newtonian boundary layer flow: An enhanced exponential time integrator approach with spatially and temporally variable heat sources
  50. Inclined magnetized infinite shear rate viscosity of non-Newtonian tetra hybrid nanofluid in stenosed artery with non-uniform heat sink/source
  51. Estimation of monotone α-quantile of past lifetime function with application
  52. Numerical simulation for the slip impacts on the radiative nanofluid flow over a stretched surface with nonuniform heat generation and viscous dissipation
  53. Study of fractional telegraph equation via Shehu homotopy perturbation method
  54. An investigation into the impact of thermal radiation and chemical reactions on the flow through porous media of a Casson hybrid nanofluid including unstable mixed convection with stretched sheet in the presence of thermophoresis and Brownian motion
  55. Establishing breather and N-soliton solutions for conformable Klein–Gordon equation
  56. An electro-optic half subtractor from a silicon-based hybrid surface plasmon polariton waveguide
  57. CFD analysis of particle shape and Reynolds number on heat transfer characteristics of nanofluid in heated tube
  58. Abundant exact traveling wave solutions and modulation instability analysis to the generalized Hirota–Satsuma–Ito equation
  59. A short report on a probability-based interpretation of quantum mechanics
  60. Study on cavitation and pulsation characteristics of a novel rotor-radial groove hydrodynamic cavitation reactor
  61. Optimizing heat transport in a permeable cavity with an isothermal solid block: Influence of nanoparticles volume fraction and wall velocity ratio
  62. Linear instability of the vertical throughflow in a porous layer saturated by a power-law fluid with variable gravity effect
  63. Thermal analysis of generalized Cattaneo–Christov theories in Burgers nanofluid in the presence of thermo-diffusion effects and variable thermal conductivity
  64. A new benchmark for camouflaged object detection: RGB-D camouflaged object detection dataset
  65. Effect of electron temperature and concentration on production of hydroxyl radical and nitric oxide in atmospheric pressure low-temperature helium plasma jet: Swarm analysis and global model investigation
  66. Double diffusion convection of Maxwell–Cattaneo fluids in a vertical slot
  67. Thermal analysis of extended surfaces using deep neural networks
  68. Steady-state thermodynamic process in multilayered heterogeneous cylinder
  69. Multiresponse optimisation and process capability analysis of chemical vapour jet machining for the acrylonitrile butadiene styrene polymer: Unveiling the morphology
  70. Modeling monkeypox virus transmission: Stability analysis and comparison of analytical techniques
  71. Fourier spectral method for the fractional-in-space coupled Whitham–Broer–Kaup equations on unbounded domain
  72. The chaotic behavior and traveling wave solutions of the conformable extended Korteweg–de-Vries model
  73. Research on optimization of combustor liner structure based on arc-shaped slot hole
  74. Construction of M-shaped solitons for a modified regularized long-wave equation via Hirota's bilinear method
  75. Effectiveness of microwave ablation using two simultaneous antennas for liver malignancy treatment
  76. Discussion on optical solitons, sensitivity and qualitative analysis to a fractional model of ion sound and Langmuir waves with Atangana Baleanu derivatives
  77. Reliability of two-dimensional steady magnetized Jeffery fluid over shrinking sheet with chemical effect
  78. Generalized model of thermoelasticity associated with fractional time-derivative operators and its applications to non-simple elastic materials
  79. Migration of two rigid spheres translating within an infinite couple stress fluid under the impact of magnetic field
  80. A comparative investigation of neutron and gamma radiation interaction properties of zircaloy-2 and zircaloy-4 with consideration of mechanical properties
  81. New optical stochastic solutions for the Schrödinger equation with multiplicative Wiener process/random variable coefficients using two different methods
  82. Physical aspects of quantile residual lifetime sequence
  83. Synthesis, structure, IV characteristics, and optical properties of chromium oxide thin films for optoelectronic applications
  84. Smart mathematically filtered UV spectroscopic methods for quality assurance of rosuvastatin and valsartan from formulation
  85. A novel investigation into time-fractional multi-dimensional Navier–Stokes equations within Aboodh transform
  86. Homotopic dynamic solution of hydrodynamic nonlinear natural convection containing superhydrophobicity and isothermally heated parallel plate with hybrid nanoparticles
  87. A novel tetra hybrid bio-nanofluid model with stenosed artery
  88. Propagation of traveling wave solution of the strain wave equation in microcrystalline materials
  89. Innovative analysis to the time-fractional q-deformed tanh-Gordon equation via modified double Laplace transform method
  90. A new investigation of the extended Sakovich equation for abundant soliton solution in industrial engineering via two efficient techniques
  91. New soliton solutions of the conformable time fractional Drinfel'd–Sokolov–Wilson equation based on the complete discriminant system method
  92. Irradiation of hydrophilic acrylic intraocular lenses by a 365 nm UV lamp
  93. Inflation and the principle of equivalence
  94. The use of a supercontinuum light source for the characterization of passive fiber optic components
  95. Optical solitons to the fractional Kundu–Mukherjee–Naskar equation with time-dependent coefficients
  96. A promising photocathode for green hydrogen generation from sanitation water without external sacrificing agent: silver-silver oxide/poly(1H-pyrrole) dendritic nanocomposite seeded on poly-1H pyrrole film
  97. Photon balance in the fiber laser model
  98. Propagation of optical spatial solitons in nematic liquid crystals with quadruple power law of nonlinearity appears in fluid mechanics
  99. Theoretical investigation and sensitivity analysis of non-Newtonian fluid during roll coating process by response surface methodology
  100. Utilizing slip conditions on transport phenomena of heat energy with dust and tiny nanoparticles over a wedge
  101. Bismuthyl chloride/poly(m-toluidine) nanocomposite seeded on poly-1H pyrrole: Photocathode for green hydrogen generation
  102. Infrared thermography based fault diagnosis of diesel engines using convolutional neural network and image enhancement
  103. On some solitary wave solutions of the Estevez--Mansfield--Clarkson equation with conformable fractional derivatives in time
  104. Impact of permeability and fluid parameters in couple stress media on rotating eccentric spheres
  105. Review Article
  106. Transformer-based intelligent fault diagnosis methods of mechanical equipment: A survey
  107. Special Issue on Predicting pattern alterations in nature - Part II
  108. A comparative study of Bagley–Torvik equation under nonsingular kernel derivatives using Weeks method
  109. On the existence and numerical simulation of Cholera epidemic model
  110. Numerical solutions of generalized Atangana–Baleanu time-fractional FitzHugh–Nagumo equation using cubic B-spline functions
  111. Dynamic properties of the multimalware attacks in wireless sensor networks: Fractional derivative analysis of wireless sensor networks
  112. Prediction of COVID-19 spread with models in different patterns: A case study of Russia
  113. Study of chronic myeloid leukemia with T-cell under fractal-fractional order model
  114. Accumulation process in the environment for a generalized mass transport system
  115. Analysis of a generalized proportional fractional stochastic differential equation incorporating Carathéodory's approximation and applications
  116. Special Issue on Nanomaterial utilization and structural optimization - Part II
  117. Numerical study on flow and heat transfer performance of a spiral-wound heat exchanger for natural gas
  118. Study of ultrasonic influence on heat transfer and resistance performance of round tube with twisted belt
  119. Numerical study on bionic airfoil fins used in printed circuit plate heat exchanger
  120. Improving heat transfer efficiency via optimization and sensitivity assessment in hybrid nanofluid flow with variable magnetism using the Yamada–Ota model
  121. Special Issue on Nanofluids: Synthesis, Characterization, and Applications
  122. Exact solutions of a class of generalized nanofluidic models
  123. Stability enhancement of Al2O3, ZnO, and TiO2 binary nanofluids for heat transfer applications
  124. Thermal transport energy performance on tangent hyperbolic hybrid nanofluids and their implementation in concentrated solar aircraft wings
  125. Studying nonlinear vibration analysis of nanoelectro-mechanical resonators via analytical computational method
  126. Numerical analysis of non-linear radiative Casson fluids containing CNTs having length and radius over permeable moving plate
  127. Two-phase numerical simulation of thermal and solutal transport exploration of a non-Newtonian nanomaterial flow past a stretching surface with chemical reaction
  128. Natural convection and flow patterns of Cu–water nanofluids in hexagonal cavity: A novel thermal case study
  129. Solitonic solutions and study of nonlinear wave dynamics in a Murnaghan hyperelastic circular pipe
  130. Comparative study of couple stress fluid flow using OHAM and NIM
  131. Utilization of OHAM to investigate entropy generation with a temperature-dependent thermal conductivity model in hybrid nanofluid using the radiation phenomenon
  132. Slip effects on magnetized radiatively hybridized ferrofluid flow with acute magnetic force over shrinking/stretching surface
  133. Significance of 3D rectangular closed domain filled with charged particles and nanoparticles engaging finite element methodology
  134. Robustness and dynamical features of fractional difference spacecraft model with Mittag–Leffler stability
  135. Characterizing magnetohydrodynamic effects on developed nanofluid flow in an obstructed vertical duct under constant pressure gradient
  136. Study on dynamic and static tensile and puncture-resistant mechanical properties of impregnated STF multi-dimensional structure Kevlar fiber reinforced composites
  137. Thermosolutal Marangoni convective flow of MHD tangent hyperbolic hybrid nanofluids with elastic deformation and heat source
  138. Investigation of convective heat transport in a Carreau hybrid nanofluid between two stretchable rotatory disks
  139. Single-channel cooling system design by using perforated porous insert and modeling with POD for double conductive panel
  140. Special Issue on Fundamental Physics from Atoms to Cosmos - Part I
  141. Pulsed excitation of a quantum oscillator: A model accounting for damping
  142. Review of recent analytical advances in the spectroscopy of hydrogenic lines in plasmas
  143. Heavy mesons mass spectroscopy under a spin-dependent Cornell potential within the framework of the spinless Salpeter equation
  144. Coherent manipulation of bright and dark solitons of reflection and transmission pulses through sodium atomic medium
  145. Effect of the gravitational field strength on the rate of chemical reactions
  146. The kinetic relativity theory – hiding in plain sight
  147. Special Issue on Advanced Energy Materials - Part III
  148. Eco-friendly graphitic carbon nitride–poly(1H pyrrole) nanocomposite: A photocathode for green hydrogen production, paving the way for commercial applications
Downloaded on 4.2.2026 from https://www.degruyterbrill.com/document/doi/10.1515/phys-2023-0202/html
Scroll to top button