Abstract
In this paper, a new constitutive matrix for thermal conduction in transient thermal regime is developed and tested. We use cell method as a numerical method that is included in finite formulation methodology. The constitutive matrix defines through the cell method the behavior of solids when they are under a thermal potential. We have demonstrated that this matrix is equivalent to the electrical conduction constitutive matrix in steady state. We have applied this constitutive matrix to thermal analysis of asynchronous electric machines in transient regime. This constitutive matrix has been validated with comparisons based on finite element method. In finite formulation, the physical laws governing the electromagnetic fields and the physical thermal phenomena are expressed in integral formulation. The final algebraic equation system is tailored directly without discretizing of the differential equations. This is an important advantage because we omit a complex differential formulation and the discretization of the respective equations.
1 Nomenclature
Symbols and units used
Symbol | Name | unit |
---|---|---|
[A] | Scheme Crank-Nicolson’s Matrix | W·K−1 |
C, C̃ | Primal and dual discrete curl operators | - |
Cp | Specific heat | J·kg−1·K−1 |
D,D̃ | Primal and dual discrete divergence operators | - |
Temperature variation | ºC·s−1 | |
G, G̃ | Primal and dual discrete gradient operators | - |
I | Electric current intensity | A |
L, L̃ | Primal and dual cell edge longitude | m |
[Mλ] | Constitutive matrix in Fourier’s Law of Heat Conduction | W ·K−1 |
[MCp] | Constitutive matrix in heat transition intransitory state | J·K−1 |
[Mσ] | Constitutive matrix in electrical conduction | Ω−1 |
nk | Number of nodes of the cell | - |
q | Heat flow crossing a surface (included qλ and qCp) | J/s |
S, S̃ | and dual surfaces | m2 |
T, t | ||
Δt | Time | s |
VT | Tetrahedron volume | m3 |
V, Ṽ | Primal and dual volumes | m3 |
[v] | Electrical potential matrix | V |
[W] | Heat generated during a process | W |
λk | Volumetric thermal conductivity | W·K−1·m−1Kg· |
ρ | Material density | m−3 |
τ | Temperature | °C |
θ | Scheme Crank-Nicolson’s term: Euler implicit = 1 | - |
σ | Electrical conductivity | Ω−1·m−1 |
2 Introduction
Nowadays, with the increasing demand for electric machine design – reduction of costs and size, new materials, energy saving, etc. – we should pay special attention to a particular design problem, the electric machine thermal analysis.
Electromagnetic behavior and thermal analysis are strongly linked in electric machine analysis. There are excellent works that apply modern thermal analysis to electric machines [1, 2]. Among these models, those based on concentrated parameters are often used. These models are simple and they are easily implemented [3, 4, 5] but sometimes they are not accurate enough.
Other methods, such as finite element method (FEM), use both concentrated and distributed parameters. In addition, in the computational study of the convective effect [6] in fluid dynamics, FEM is commonly recognized as the most generalized method for electromagnetic-thermal coupled analysis [7], including electromagnetic-thermal-mechanical couplings [8].
Other researchers use statistical experimental methods such as design of experiment (DOE) and response surface methodology (RSM) techniques for thermal power loss analysis [9].
Some authors investigate the experimental characterization of thermal properties, such as thermal conductivity and thermal effusivity and the measurement of these thermal properties [10, 11, 12].
In the present work, we use cell method (CM) as a numerical method [13] that is included in finite formulation methodology (FF). In FF, the physical laws governing the electromagnetic fields and the physical thermal phenomena are expressed in integral formulation. The final algebraic equation system is tailored directly without discretizing of the differential equations. The matrix of coefficients of this linear algebraic equation system is called global matrix. In previous works, we have presented some studies related to CM technologies [14, 15].
Clearly, this is an important advantage, because we omit a complex differential formulation and the discretization of the respective equations. Recently, CM has been used to analyze electromagnetic fields [14] and thermal-electromagnetic fields [16, 17, 18].
Our methodology can be generalized to other electric machines such as transformers, DC machines, synchronous machines and linear drives.
3 CM and thermal conductivity
The domain of interest is a thermal conduction region with a particular thermal conductivity (λk). With CM, we determine the thermal distribution using a mesh composed of cells. Cells are geometry entities with their own physical properties, delimitated by nodes, edges and surfaces.
This domain is subdivided into a primal subspace and a dual subspace, with their respective discrete operators i[]
[G], [C] and [D] for the primal cell, and
Thus, the amount of heat (q) is associated with the dual cell volume (Ṽ) and the heat flow will fiow throughthe dual cell faces (S̃k) that constrain the dual cell. How- ever, the temperature (τ) is associated with the primal cellnodes (nk) because temperature is a configuration variableof the CM. Reducing one dimension, from 3-D to 2-D, willobviously decrease the cell dimension.
In CM, the Heat Transmission Equation for homogenous and isotropic media is expressed as [17, 18, 19]:
We observe that there are two constitutive matrices: [Mλ]and [MCp]. The thermal constitutive matrix [Mλ] is the first term of (1) that belongs to Fourier’s Law of Heat Conduction and the constitutive matrix [MCp] that indicates the body capacity to store heat energy, with temperature change expressed by
To understand the meaning of the numerical matrix and the dividend, consult [20].
Equation (1) is a system of n ordinary differential equations, where the unknowns are the temperature τ associated with the mesh nodes.
Based in (1) we have studied the temperature field produced by the electromagnetic fields generated in an asynchronous electrical machine, which is one of the most typical problems related to asynchronous electrical machines. Both constitutive matrices depend on the physical characteristics of the asynchronous machine constitutive materials. These characteristics are the thermal conductivity (λ), the specific heat (Cp) and the material density (ρ), and they are applied to the study of asynchronous machines. They are in connection with the capacity of the machine of storing the heat generated in a process. Vector [W] in (1) represents the heat sources produced by Joule effect, magnetic hysteresis and eddy currents. Matrix [G] stands for the primal discrete gradient.
Fourier Heat Transmission equation in CM is studied in [15, 16]. These references solve the problem by a transformation of the general absolute Cartesian cell coordinates to local normalized coordinates. This implies that absolute Cartesians coordinates of each cell have to be converted to normalized local coordinates. When these authors have finished their calculations, the output data are in local mode and they have to be assembled into the global matrix of the system. They have to convert the data into absolute coordinates, the global mode coordinates. This process of successive conversions is time-consuming so we have directly worked in general absolute Cartesian cell coordinates. When it is possible, other authors employ axial or planar symmetries in their models. In this way, the problem is reduced to a 2-D domain, see Figure 1.

Planar and axial symmetry of a body of revolution
When there is an axisymmetric symmetry, the magnitude of the problem is also considerably reduced [13]. All the variables in the dual cell are projected to the primal cell. Here after, they perform all the calculations in the primal subspace.
However, it is not possible to use an axial or planar temperature distribution in asynchronous electric machines, as it can be seen in Figure 2. It is only possible in the squirrel cage rotor where the sources of heat are practically located in the volume that occupies. In this particular case, heat is generated in the shaft ends by mechanical friction and eddy currents, and the cage and the ferromagnetic core look like a cylindrical volume, see Figure 2a

Symmetries of a rotor (a) and a stator (b) of an electric machine
This approach cannot be applied to an asynchronous wound rotor machine, where the coil heads of the rotor do not have this symmetry. In addition, the electromagnetic and thermal effects are different in the heads of the coil and the cylindrical part of the rotor. The same behavior appears in the heads of the stator coil. See Figure 2b
The heat sources studied in this work are the Joule effect in wires and the magnetic hysteresis, and eddy currents in the ferromagnetic cores. The heat produced by mechanical friction is not studied.
Therefore, we have developed a new methodology to solve problems working with CM in a 3-D complex domain. Axial symmetries, planar symmetries, changes of coordinates and projection of the dual space into the primal space are not needed because we solve more general non-axisymmetric problems.
This leads to considerable savings in computational time and memory because we do not have to change coordinate definition from local to absolute and we do not have to translate the properties from an axisymmetric model to a 3-D model.
The system of equations (1) is assembled volume to volume (tetrahedron). The equations that correspond to each tetrahedron are explained in Section 4.
4 Thermal constitutive matrix
The thermal constitutive matrix characterizes the behaviour of a domain with a thermal distribution and it is the key to solve a coupled electromagnetic thermal problem. This matrix is applied to each elements of the dual volume.
The first step to obtain this matrix is to separate the heat conduction equation in two terms, as can be seen in (1). The first term corresponds to the Fourier’s Law of Heat Conduction applied to the rotor, the stator and the air gap, as can be seen in (3).
The second term represents the changes in internal energy, which depend on asynchronous machine materials, see (4). This equations system can to be used for global system (1) or for each element in the dual volume.
It is equivalent to apply the dual divergence operator [D̃] to the Fourier’s Law of Heat Conduction in (5) and to the electrical current conduction law in (6). In a temperature field, a non-zero divergence indicates if we are working with a positive or a negative heat source.
However, when the divergence is zero, the materials conduct heat without sources or sinks.
But, if we operate with the dual divergence operator and we seek its equivalent in the primal cell [10], then (5) and (6) can be expressed as (7) and (8), where [G] is the primal gradient operator, with changes in the sign and the operator.
Therefore, we can conclude that the thermal and electrical conductivity constitutive matrix are equivalent. That is,
Therefore, there is an equivalence between electric conductivity and thermal conductivity in CM and we take the term proposed in [14]:
We set the equivalence proposed in (10),
Where matrix [S] is defined according to (11), following Specogna and F. Trevisan [16], by
where

Cells in 2-D and 3-D
In one of our previous works [19] we have demonstrated that FF-CC methodology is valid for calculating processes of heat transmission in steady state. In the present work we demonstrate that CM is also a valid method when it is applied in heat transmission in transient regime.
5 Numerical results
In this section we will check that FF-CM is valid to analyse a transient electro-thermic process and that the proposed matrix [Mλ] is also valid in transient regime.
Our model consists on a cube that covers a conductor rod. We have called this prototype 1CUBO as it can be seen in Figure 4. In the model 1CUBO, the inner prism represents a segment of the rotor winding or the stator winding in an electric machine. This wire will get hot by the effect of electric currents. The outer prism is surrounded by air.

Model 1CUBO
Both cube and rod are crossed by a line where temperature has been measured, see Figure 5a.

Electro-thermal transient state in 1CUBO model. The first column shows the result for t = 0.01 s, the central column shows the result for t = 5.07 s and the third column shows the result for t = 9.91 s. The first row shows the parametric line, the second one shows in 3D the 1CUBO model, the third one represents the inner of the model and finally, the fourth ones shows a 2D model.
The experiment consists on applying an electrical potential difference to the element 1CUBO in Figure 4. This difference in electrical potential is 0.1 V. An electric current is created. This electric current generates heat represented by [W]. This matrix represents the heat sources with their respective thermal potentials in the primal nodes - temperatures. We use the interval T = [0.00, 10.00] seconds, with increments of 0.1 seconds. To realise the experiment with FF-CM we have made a parametric cut that crosses the whole volume of the envelope (air) and conductor rod (cupper) of the model 1CUBO. This parametric cut line is shown in Figure 5a, b and c.
To contrast the obtained results, a surface has been designed which is equivalent to the transversal section where the experiment has been carried out with FF-CM. This section contains a parametric cut identical to that previously explained.
The same conditions have been simulated with Getdp [21] in 2D and the obtained results have been used as a comparison pattern.
The equation that uses FF-CM (1), with a scheme Crank-Nicolson, is the following,
where
The data of the experiment are the following,
Boundary conditions are: the cupper domain Cu, which is an electric and thermal conductor, air domain air is a thermal conductor and the envelope domain envelope is an electric and thermal insulator.
Initial conditions are: τ0_Cu: 20.00 °C y τ0_air: 20.00 °C.
The time step used is Δt = 0.01 seconds, as can be seen in Table 2. We have taken thermal data in the parametric cutline in three different arbitrary instants of time [0.01, 5.07, 9.91] seconds, as it is shown in Figure 7. With these three instants of time, we demonstrate that the three numerical methods are coincident. Therefore, our method 3D FF-CM is validated, see Figure 7.

Domains for the model 1CUBO
![Figure 7 Thermal transient using constitutive thermal matrix [Mλ]](/document/doi/10.1515/phys-2018-0090/asset/graphic/j_phys-2018-0090_fig_007.jpg)
Thermal transient using constitutive thermal matrix [Mλ]
Physical and numeric parameters for the simulations
V: | 0,1 | V | xx | Mair: | BC | kg |
Ig: | 0,0 | A | Cpair: | 1012 | Ud2 | |
t0: | 0,0 | s | T0_air: | 20 | °C | |
tf: | 10,0 | s | Mcu: | BC | kg | |
θ: | 1 | IE | Cpcu: | 387 | Ud2 | |
Δt: | 0,01 | s | λCu: | 372,10 | Ud3 | |
γair: | 1,25184 | Ud1 | Cu: | 8940 | Ud1 | |
λair: | 0,024 | Ud4 | T0_Cu: | 20 | °C | |
σair: | -.- | NA | σCu: | 58·106 | S/m |
Ud1: Kg/m3, 25°C, 1 ATA; Ud2: J·kg−1·K−1, 25°C, 1 ATA; Ud3: W·m−1 K−1; Ud4: W·m1 K−1; IE: Implicit Euler; NA: Not applicable; BC: By calculation.
We have developed three models to analyse the prototype 1CUBO.
The first model is developed with FF-CMin 3D. The second one is calculated with Getdp in 2D. And finally, the third model is worked out with Getdp in 3D.
We have compared the results obtained with these three methods. They have been compared in pairs to determine the errors committed, as it is shown in Table 3
Comparatives between different numerical experiments
C1: | FF-CM vs 2D Getdp in 0.01 s |
C2: | FF-CM vs 2D Getdp in 5.07 s |
C3: | FF-CM vs 2D Getdp in 9.91 s |
C4: | FF-CM vs 3D Getdp in 0.01 s |
C5: | FF-CM vs 3D Getdp in 5.07 s |
C6: | FF-CM vs 3D Getdp in 9.91 s |
We have used 2D and 3D Getdp as a reference for the estimation of the result accuracy in FF-CM. In this way, we compare the results obtained through FF-CM in 3D and 2D with those obtained with Getdp. Getdp 2D is more accurate than Getdp3D in axisymmetric problems because you can use denser meshes with the same number of finite elements.
We have verified the accuracy of the results obtained though the new constitutive matrix of FF-CM by three different methods.
5.1 First verification
The statistics of error or metrics are models that allow the development of fit criteria to estimate the error introduced by experimentation or simulation compared to specific reference functions. That is to say, they allow to quantify the error committed with regard the data of reference.
The statistics used in the validation of the models are the following, R2, Determination Coefficient, see [22, 23, 24]. MSE: Mean Square Error, see [22, 23, 24, 25, 26, 27, 28] . RMSE: Root Mean Square Error, see [28, 29, 30]. RMSPE: Root M. S. Perceptual Error, see [31]. MAE: Mean Absolute Error, see [25, 26, 27, 28, 29, 30]. MAEP: Mean Absolute Percentage Error, see [31]. PBIAS, see [22, 25, 32, 33], NSEF: Modelling Efficiency Nash & Sutclifie, see [25, 27, 34].U1: Theil Inequality Coefficient, see [26, 33, 35]. UM: Bias Proportion or difference between means (systematical error), see [26]. US: Variance Proportion (systematical error), see [26]. UC: Covariance Proportion (not systematical error), see [26]. d:d-Willmott Index, see [36]. MEF: Modelling Efficiency, see [37]. CD: Determination Coefficient of Modelling, see [37]. C: Error Coefficient of Modelling, see [37].
Table 4 shows the metrics applied to the comparisons stablished in Table 3 and points out the validity ranges of each indicator.
Comparative metrics of Table 3 cases
Comparatives | C1 | C2 | C3 | C4 | C5 | C6 |
---|---|---|---|---|---|---|
R2[0, +1] Optimum: +1 | 0,857 | 0,998 | 0,999 | 0,952 | 0,999 | 0,999 |
MSE [0, +∞] Optimum: 0 | 0,001 | 3,857 | 8,693 | 0,001 | 0,878 | 4,643 |
RMSE[°C] | 0,033 | 1,96 | 2,948 | 0,021 | 0,937 | 2,155 |
RMSPE [-1, +1] Optimum: 0 | 0,002 | 0,032 | 0,026 | 0,001 | 0,015 | 0,019 |
MAE [°C] | 0,012 | 1,231 | 2,493 | 0,011 | 0,590 | 1,874 |
MAEP [-1, +1] Optimum: 0 | 0,001 | 0,020 | 0,022 | 0,001 | 0,009 | 0,016 |
IRM[-∞, +∞] Optimum: 0 | 0,093 | 3,133 | 3,487 | 0,042 | 1,489 | 2,477 |
PBIAS [-1, +1] Optimum: 0 | 0,001 | 0,019 | 0,012 | 0,000 | 0,000 | -0,012 |
NSEF[-∞, 1] Optimum: 1 | 0,833 | 0,997 | 0,998 | 0,940 | 0,999 | 0,999 |
U1 de Theil [0, 1] Optimum: 0 | 0,001 | 0,013 | 0,011 | 0,001 | 0,006 | 0,008 |
UM de Theil [0, 1] Optimum: 0 | 0,109 | 0,362 | 0,211 | 0,178 | 0,001 | 0,418 |
US de Theil [0, 1] Optimum: 0 | 0,000 | 0,017 | 0,271 | 0,067 | 0,001 | 0,004 |
UC de Theil [0, 1] Optimum: 0 | 0,891 | 0,621 | 0,518 | 0,754 | 0,999 | 0,577 |
Willmott-dW [0, 1] Optimum: 1 | 0,958 | 0,999 | 0,999 | 0,984 | 0,999 | 0,999 |
MEF [-∞, 1] Optimum: 1 | 0,835 | 0,997 | 0,998 | 0,940 | 0,999 | 0,999 |
CD [-∞,+∞] Optimum: 1 | 0,993 | 1,013 | 1,046 | 1,127 | 0,999 | 0,995 |
C [-∞,+∞] Optimum: 0 | 0,001 | 0,019 | 0,022 | 0,001 | 0,009 | 0,016 |
In all the matrix shown in Table 4 we can see that all of them are near the optimum. MAE, which is given by the true value of the measured magnitude, in Celsius degrees, indicates small errors, under 3 °C.
This first verification confirms the validity of FF-CM applied to transient thermic analysis.
5.2 Second verification
The second verification it is based in the Error Gauss’s law. This law stablishes that null error should be the mean of the distribution, grouping the rest around this value. We have developed as an example two graphics for comparing C1and C6, (see Figure 8).
It can be seen that null error is the most frequent error, and the other errors are distributed in a normal shape following Gauss´s law.
The distortion of the distributions from a normal distribution is due mainly to the fact that the cutline does not coincide exactly with the nodes of the mesh, see Figure 6.
This second verification, validates graphically the use of FF-CM in the transient thermal analysis, because the committed errors are very small.
5.3 Third verification
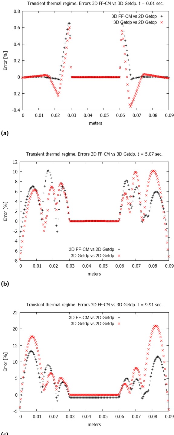
In Figure 9a, 9b and 9c we realize a comparative analysis of errors in 3D FF-CM and 3D Getdp, taking as a reference 2D Getdp, in the three time instants considered. The errors in most of the cases are lower for FF-CM.

Errors between 3D models FF-CM and Getdp vs. 2D model Getdp
The distribution of the error is not symmetric in the cutline because the mesh of the model is not totally symmetrical. The asymmetric of these errors appears in Figure 9 because they are relative errors, while in Figure 7 they are absolute errors and hence they are very small.
This is due to the fact that while the thermal mass matrix in FFM has a condition number of 5, the thermal mass matrix in FF-CM has a condition number of 2.7692. This implies that FF-CM is more accurate in the transient thermal analysis than FEM
The mass matrix for FEM that proposes Driesen [38] is
The mass matrix proposed by Bullo and which we use in this work for FF-CM is [18]
6 Conclusions
We have demonstrated that FF-CM and [Mλ] matrix are valid both in stationary and transient thermal regime. It should be emphasized that this matrix has been used only for electromagnetic problems.
In the same way, we have demonstrated that FF with the Cell Method and the new proposed matrix [Mλ] can surpass the accuracy of FEM, in transient thermal analysis, due to the improvement in the condition number of the constitutive mass matrix.
Acknowledgment
This work was funded by project SURF (TEC2014-60527-C2-1-R) of the Spanish Ministry of Economy and Competitiveness.
References
[1] Boglietti A., Cavagnino A., Staton D., Shanel M., Mueller M., Mejuto C., Evolution and Modern Approaches for Thermal Analysis of Electrical Machines, IEEE Trans. Industrial Electronics, 2009, 56(3), 871-882.10.1109/TIE.2008.2011622Suche in Google Scholar
[2] Popescu M., Staton D., Boglietti A., Cavagnino A., Hawkins D., Goss J., Modern heat extraction systems for electrical machines - A review, Electrical Machines Design, Control and Diagnosis (WEMDCD), 2015 IEEE Workshop, Torino, 2015, 289-296.10.1109/WEMDCD.2015.7194542Suche in Google Scholar
[3] Mezani S., Takorabet N., Laporte B., A combined electromagnetic and thermal analysis of induction motors, IEEE Trans. Magnetics, 2005, 41(5), 1572-1575.10.1109/TMAG.2005.845044Suche in Google Scholar
[4] Popova L., Nerg J., Pyrhönen J., Combined Electromagnetic and thermal design platform for totally enclosed induction machines, Diagnostics for Electric Machines, Power Electronics & Drives (SDEMPED), 2011 IEEE International Symposium on, Bologna, 2011, 153-158.10.1109/DEMPED.2011.6063617Suche in Google Scholar
[5] Boglietti A., Cavagnino A., Popescu M., Staton D., Thermal Model and Analysis of Wound-Rotor Induction Machine, IEEE Trans. Industry Applications, 2013, 49(5), 2078-2085.10.1109/TIA.2013.2261444Suche in Google Scholar
[6] Nategh S., Huang Z., Krings A., Wallmark O., Leksell M., Thermal Modeling of Directly Cooled Electric Machines Using Lumped Parameter and Limited CFD Analysis, IEEE Trans. Energy Conversion, 2013, 28(4), 979-990.10.1109/TEC.2013.2283089Suche in Google Scholar
[7] Jiang W., Jahns T.M., Coupled Electromagnetic–Thermal Analysis of Electric Machines Including Transient Operation Based on Finite-Element Techniques, IEEE Trans. Industry Applications, 2015, 51(2), 1880-1889.10.1109/TIA.2014.2345955Suche in Google Scholar
[8] Sun X., Cheng M., Zhu S., Zhang J., Coupled Electromagnetic-Thermal-Mechanical Analysis for Accurate Prediction of Dual-Mechanical-Port Machine Performance, IEEE Trans. Industry Applications, 2012, 48(6), 2240-2248.10.1109/TIA.2012.2226859Suche in Google Scholar
[9] Seong K.H., Hwang J., Shim J., Cho H.W., Investigation of Temperature Rise in an Induction Motor Considering the Effect of Loading, IEEE Trans. Magnetics, 2014, 50(11), 1-4.10.1109/TMAG.2014.2327112Suche in Google Scholar
[10] Lin Qiu, Hanying Zou, Dawei Tang, Dongsheng Wen, Yanhui Feng, Xinxin Zhang, Inhomogeneity in pore size appreciably lowering thermal conductivity for porous thermal insulators, Applied Thermal Engineering, 2018, 130, 1004-1011.10.1016/j.applthermaleng.2017.11.066Suche in Google Scholar
[11] Qiu L., Zheng X.H., Zhu J., Tang D.W., Non-destructive measurement of thermal effusivity of a solid and liquid using a freestanding serpentine sensor-based 3 ω technique, Review of Scientific Instruments, Rev. Sci. Instrum., 2011, 82(8), 086110.10.1063/1.3626937Suche in Google Scholar PubMed
[12] Qiu L., Zheng X.H., Yue P., Zhu J., Tang D.W., Dong Y.J., Peng Y.L., Adaptable thermal conductivity characterization of microporous membranes based on freestanding sensor-based 3 ω technique, Int. J. Therm. Sci., 2015, 89, 185-192.10.1016/j.ijthermalsci.2014.11.005Suche in Google Scholar
[13] Tonti E., A direct discrete formulation of field laws: The cell method, CMES- Computer Modeling in Engineering and Sciences, 2001, 2(2), 237-258.Suche in Google Scholar
[14] González-Domínguez P.I., Monzón-Verona J.M., Contribution to the improvement of the computing time for G, C, D matrix in the Cell Method, EUROGEN 2013, 2013, 201-203.Suche in Google Scholar
[15] Monzón-Verona J.M., Simón-Rodríguez L., González-Domínguez P.I., Global Equation of Cell Method and Modified Nodal Method of Electromagnetic and Circuital Problems, ISEF 2011 Int. Symposium on Electromagnetic Fields in Mechatronics, Electrical and Electronic Engineering, Funchal, 2011, Madeira.Suche in Google Scholar
[16] Specogna R., Trevisan F., Discrete constitutive equations in A-Chi geometric eddy-current formulation, IEEE Trans. Magnetics, 2005, 41(4), 1259-1263.10.1109/TMAG.2005.844841Suche in Google Scholar
[17] Bullo M., D’Ambrosio V., Dughiero F., Guarnieri M., Coupled electrical and thermal transient conduction problems with a quadratic interpolation cell method approach, IEEE Trans. Magnetics, 2006, 42(4), 1003-1006.10.1109/TMAG.2006.872471Suche in Google Scholar
[18] Bullo M., D’Ambrosio V., Dughiero F., Guarnieri M., A 3D Cell Method Formulation for Coupled Electric and Thermal Problems, IEEE Trans. Magnetics, 2007, 43,(4), 1197-1200.10.1109/TMAG.2006.890955Suche in Google Scholar
[19] González Domínguez P. I., Monzón-Verona J. M., Simón Rodríguez L., de Pablo Sánchez A., Thermal constitutive matrix applied to asynchronous electrical machine using the cell method, Open Physics, 2018, 16, 27-30.10.1515/phys-2018-0005Suche in Google Scholar
[20] Voitovich T.V., Vandewalle S., Exact integration formulas for the finite volume element method on simplicial meshes. Numerical Methods for Partial Differential Equations, 2007, 23(5), 1059-1082.10.1002/num.20210Suche in Google Scholar
[21] Geuzaine C., GetDP: A general finite-element solver for the de Rham complex, In Proceedings of the Sixth International Congress on Industrial Applied Mathematics (ICIAM07) and GAMM Annual Meeting, Zürich, Switzerland, 16–20 July 2007.Suche in Google Scholar
[22] Tedeschi L.O., Assessment of the adequacy of mathematical models, Agricultural Systems, 2006, 89(2), 225-247.10.1016/j.agsy.2005.11.004Suche in Google Scholar
[23] Martínez Rodríguez E., Errores frecuentes en la interpretación del coeficiente de determinación lineal, Anuario jurídico y económico escurialense, 2005, 38, 315-331.Suche in Google Scholar
[24] Piñeiro G., Perelman S., Guerschman J.P., Paruelo J.M., How to evaluate models: observed vs. predicted or predicted vs. observed? Ecological Modelling, 2008, 216(3), 316-322.10.1016/j.ecolmodel.2008.05.006Suche in Google Scholar
[25] Moriasi D. et al., Model evaluation guidelines for systematic quantification of accuracy in watershed simulations, Trans. Asabe, 2007, 50(3), 885-900.10.13031/2013.23153Suche in Google Scholar
[26] Fullerton Jr T.M., Novela G. et al., Metropolitan Maquiladora Econometric Forecast Accuracy, Romanian Journal of Economic Forecasting, 2010, 13(3), 124-140.Suche in Google Scholar
[27] Gupta H.V., Kling H., Yilmaz K.K., Martinez G.F., Decomposition of the mean squared error and performance criteria: Implications for improving hydrological modelling, J. Hydrology, 2009, 377(1), 80-91.10.1016/j.jhydrol.2009.08.003Suche in Google Scholar
[28] Jolliffe I.T., Stephenson D.B., Forecast verification: a practitioner’s guide in atmospheric science, 2012, First ed. Sussex, UK, John Wiley & Sons10.1002/9781119960003Suche in Google Scholar
[29] Chai T., Draxler R.R., Root mean square error (RMSE) or mean absolute error (MAE)? Arguments against avoiding RMSE in the literature, Geoscientific Model Development, 2014, 7(3), 1247-1250.10.5194/gmd-7-1247-2014Suche in Google Scholar
[30] Willmott C.J., Matsuura K., Advantages of the mean absolute error (MAE) over the root mean square error (RMSE) in assessing average model performance, Climate research, 2005, 30(1), 79.10.3354/cr030079Suche in Google Scholar
[31] Hyndman R.J., Koehler A.B., Another look at measures of forecast accuracy, Int. J. Forecasting, 2006, 22(4), 679-688.10.1016/j.ijforecast.2006.03.001Suche in Google Scholar
[32] Sanabria J., García J., Lhomme J.P., Calibración y validación de modelos de pronóstico de heladas en el valle del Mantaro, ECIPERU, 2006, 18.Suche in Google Scholar
[33] Leuthold R.M., On the Use of Theil’s Inequality Coefficients, Amer. J. Agricult. Econom., 1975, 57(2), 344-346.10.2307/1238512Suche in Google Scholar
[34] Mathevet T., Michel C., Andreassian V., Perrin C., A bounded version of the Nash-Sutcliffe criterion for better model assessment on large sets of basins, IAHS PUBLICATION, 2006, 307, 211.Suche in Google Scholar
[35] Bliemel F., Theil’s Forecast Accuracy Coefficient: A Clarification, Journal of Marketing Research, 1973, 10(4), 444-446.10.1177/002224377301000413Suche in Google Scholar
[36] Willmott C., Robesonb S., Matsuuraa K., Short Communication: A Refined Index of Model Performance, Int. J. Climatology, 2012, 32(13), 2088-2094.10.1002/joc.2419Suche in Google Scholar
[37] Medina-Peralta S., Vargas–Villamil L., Navarro-Alberto J., Canul-Pech C., Peraza-Romero S., Comparación de medidas de desviación para validar modelos sin sesgo, sesgo constante o proporcional, Universidad y ciencia, 2010, 12, 26, 255-263.Suche in Google Scholar
[38] Driesen J., Coupled Electromagnetic-Thermal Problems in Electrical Energy Transducers, Phd. Thesis, Katholieke Universiteit Leuven. Facluteit Toegepaste Wetenschappen. Departament Electrotechniek (ESAT). Afdeling Elecrische Energie (ELEN), 2000, LeuvenSuche in Google Scholar
© 2018 Pablo Ignacio González-Domínguez et al., published by De Gruyter
This work is licensed under the Creative Commons Attribution-NonCommercial-NoDerivatives 4.0 License.
Artikel in diesem Heft
- Regular Articles
- A modified Fermi-Walker derivative for inextensible flows of binormal spherical image
- Algebraic aspects of evolution partial differential equation arising in the study of constant elasticity of variance model from financial mathematics
- Three-dimensional atom localization via probe absorption in a cascade four-level atomic system
- Determination of the energy transitions and half-lives of Rubidium nuclei
- Three phase heat and mass transfer model for unsaturated soil freezing process: Part 1 - model development
- Three phase heat and mass transfer model for unsaturated soil freezing process: Part 2 - model validation
- Mathematical model for thermal and entropy analysis of thermal solar collectors by using Maxwell nanofluids with slip conditions, thermal radiation and variable thermal conductivity
- Constructing analytic solutions on the Tricomi equation
- Feynman diagrams and rooted maps
- New type of chaos synchronization in discrete-time systems: the F-M synchronization
- Unsteady flow of fractional Oldroyd-B fluids through rotating annulus
- A note on the uniqueness of 2D elastostatic problems formulated by different types of potential functions
- On the conservation laws and solutions of a (2+1) dimensional KdV-mKdV equation of mathematical physics
- Computational methods and traveling wave solutions for the fourth-order nonlinear Ablowitz-Kaup-Newell-Segur water wave dynamical equation via two methods and its applications
- Siewert solutions of transcendental equations, generalized Lambert functions and physical applications
- Numerical solution of mixed convection flow of an MHD Jeffery fluid over an exponentially stretching sheet in the presence of thermal radiation and chemical reaction
- A new three-dimensional chaotic flow with one stable equilibrium: dynamical properties and complexity analysis
- Dynamics of a dry-rebounding drop: observations, simulations, and modeling
- Modeling the initial mechanical response and yielding behavior of gelled crude oil
- Lie symmetry analysis and conservation laws for the time fractional simplified modified Kawahara equation
- Solitary wave solutions of two KdV-type equations
- Applying industrial tomography to control and optimization flow systems
- Reconstructing time series into a complex network to assess the evolution dynamics of the correlations among energy prices
- An optimal solution for software testing case generation based on particle swarm optimization
- Optimal system, nonlinear self-adjointness and conservation laws for generalized shallow water wave equation
- Alternative methods for solving nonlinear two-point boundary value problems
- Global model simulation of OH production in pulsed-DC atmospheric pressure helium-air plasma jets
- Experimental investigation on optical vortex tweezers for microbubble trapping
- Joint measurements of optical parameters by irradiance scintillation and angle-of-arrival fluctuations
- M-polynomials and topological indices of hex-derived networks
- Generalized convergence analysis of the fractional order systems
- Porous flow characteristics of solution-gas drive in tight oil reservoirs
- Complementary wave solutions for the long-short wave resonance model via the extended trial equation method and the generalized Kudryashov method
- A Note on Koide’s Doubly Special Parametrization of Quark Masses
- On right-angled spherical Artin monoid of type Dn
- Gas flow regimes judgement in nanoporous media by digital core analysis
- 4 + n-dimensional water and waves on four and eleven-dimensional manifolds
- Stabilization and Analytic Approximate Solutions of an Optimal Control Problem
- On the equations of electrodynamics in a flat or curved spacetime and a possible interaction energy
- New prediction method for transient productivity of fractured five-spot patterns in low permeability reservoirs at high water cut stages
- The collinear equilibrium points in the restricted three body problem with triaxial primaries
- Detection of the damage threshold of fused silica components and morphologies of repaired damage sites based on the beam deflection method
- On the bivariate spectral quasi-linearization method for solving the two-dimensional Bratu problem
- Ion acoustic quasi-soliton in an electron-positron-ion plasma with superthermal electrons and positrons
- Analysis of projectile motion in view of conformable derivative
- Computing multiple ABC index and multiple GA index of some grid graphs
- Terahertz pulse imaging: A novel denoising method by combing the ant colony algorithm with the compressive sensing
- Characteristics of microscopic pore-throat structure of tight oil reservoirs in Sichuan Basin measured by rate-controlled mercury injection
- An activity window model for social interaction structure on Twitter
- Transient thermal regime trough the constitutive matrix applied to asynchronous electrical machine using the cell method
- On the zagreb polynomials of benzenoid systems
- Integrability analysis of the partial differential equation describing the classical bond-pricing model of mathematical finance
- The Greek parameters of a continuous arithmetic Asian option pricing model via Laplace Adomian decomposition method
- Quantifying the global solar radiation received in Pietermaritzburg, KwaZulu-Natal to motivate the consumption of solar technologies
- Sturm-Liouville difference equations having Bessel and hydrogen atom potential type
- Study on the response characteristics of oil wells after deep profile control in low permeability fractured reservoirs
- Depiction and analysis of a modified theta shaped double negative metamaterial for satellite application
- An attempt to geometrize electromagnetism
- Structure of traveling wave solutions for some nonlinear models via modified mathematical method
- Thermo-convective instability in a rotating ferromagnetic fluid layer with temperature modulation
- Construction of new solitary wave solutions of generalized Zakharov-Kuznetsov-Benjamin-Bona-Mahony and simplified modified form of Camassa-Holm equations
- Effect of magnetic field and heat source on Upper-convected-maxwell fluid in a porous channel
- Physical cues of biomaterials guide stem cell fate of differentiation: The effect of elasticity of cell culture biomaterials
- Shooting method analysis in wire coating withdrawing from a bath of Oldroyd 8-constant fluid with temperature dependent viscosity
- Rank correlation between centrality metrics in complex networks: an empirical study
- Special Issue: The 18th International Symposium on Electromagnetic Fields in Mechatronics, Electrical and Electronic Engineering
- Modeling of electric and heat processes in spot resistance welding of cross-wire steel bars
- Dynamic characteristics of triaxial active control magnetic bearing with asymmetric structure
- Design optimization of an axial-field eddy-current magnetic coupling based on magneto-thermal analytical model
- Thermal constitutive matrix applied to asynchronous electrical machine using the cell method
- Temperature distribution around thin electroconductive layers created on composite textile substrates
- Model of the multipolar engine with decreased cogging torque by asymmetrical distribution of the magnets
- Analysis of spatial thermal field in a magnetic bearing
- Use of the mathematical model of the ignition system to analyze the spark discharge, including the destruction of spark plug electrodes
- Assessment of short/long term electric field strength measurements for a pilot district
- Simulation study and experimental results for detection and classification of the transient capacitor inrush current using discrete wavelet transform and artificial intelligence
- Magnetic transmission gear finite element simulation with iron pole hysteresis
- Pulsed excitation terahertz tomography – multiparametric approach
- Low and high frequency model of three phase transformer by frequency response analysis measurement
- Multivariable polynomial fitting of controlled single-phase nonlinear load of input current total harmonic distortion
- Optimal design of a for middle-low-speed maglev trains
- Eddy current modeling in linear and nonlinear multifilamentary composite materials
- The visual attention saliency map for movie retrospection
- AC/DC current ratio in a current superimposition variable flux reluctance machine
- Influence of material uncertainties on the RLC parameters of wound inductors modeled using the finite element method
- Cogging force reduction in linear tubular flux switching permanent-magnet machines
- Modeling hysteresis curves of La(FeCoSi)13 compound near the transition point with the GRUCAD model
- Electro-magneto-hydrodynamic lubrication
- 3-D Electromagnetic field analysis of wireless power transfer system using K computer
- Simplified simulation technique of rotating, induction heated, calender rolls for study of temperature field control
- Design, fabrication and testing of electroadhesive interdigital electrodes
- A method to reduce partial discharges in motor windings fed by PWM inverter
- Reluctance network lumped mechanical & thermal models for the modeling and predesign of concentrated flux synchronous machine
- Special Issue Applications of Nonlinear Dynamics
- Study on dynamic characteristics of silo-stock-foundation interaction system under seismic load
- Microblog topic evolution computing based on LDA algorithm
- Modeling the creep damage effect on the creep crack growth behavior of rotor steel
- Neighborhood condition for all fractional (g, f, n′, m)-critical deleted graphs
- Chinese open information extraction based on DBMCSS in the field of national information resources
- 10.1515/phys-2018-0079
- CPW-fed circularly-polarized antenna array with high front-to-back ratio and low-profile
- Intelligent Monitoring Network Construction based on the utilization of the Internet of things (IoT) in the Metallurgical Coking Process
- Temperature detection technology of power equipment based on Fiber Bragg Grating
- Research on a rotational speed control strategy of the mandrel in a rotary steering system
- Dynamic load balancing algorithm for large data flow in distributed complex networks
- Super-structured photonic crystal fiber Bragg grating biosensor image model based on sparse matrix
- Fractal-based techniques for physiological time series: An updated approach
- Analysis of the Imaging Characteristics of the KB and KBA X-ray Microscopes at Non-coaxial Grazing Incidence
- Application of modified culture Kalman filter in bearing fault diagnosis
- Exact solutions and conservation laws for the modified equal width-Burgers equation
- On topological properties of block shift and hierarchical hypercube networks
- Elastic properties and plane acoustic velocity of cubic Sr2CaMoO6 and Sr2CaWO6 from first-principles calculations
- A note on the transmission feasibility problem in networks
- Ontology learning algorithm using weak functions
- Diagnosis of the power frequency vacuum arc shape based on 2D-PIV
- Parametric simulation analysis and reliability of escalator truss
- A new algorithm for real economy benefit evaluation based on big data analysis
- Synergy analysis of agricultural economic cycle fluctuation based on ant colony algorithm
- Multi-level encryption algorithm for user-related information across social networks
- Multi-target tracking algorithm in intelligent transportation based on wireless sensor network
- Fast recognition method of moving video images based on BP neural networks
- Compressed sensing image restoration algorithm based on improved SURF operator
- Design of load optimal control algorithm for smart grid based on demand response in different scenarios
- Face recognition method based on GA-BP neural network algorithm
- Optimal path selection algorithm for mobile beacons in sensor network under non-dense distribution
- Localization and recognition algorithm for fuzzy anomaly data in big data networks
- Urban road traffic flow control under incidental congestion as a function of accident duration
- Optimization design of reconfiguration algorithm for high voltage power distribution network based on ant colony algorithm
- Feasibility simulation of aseismic structure design for long-span bridges
- Construction of renewable energy supply chain model based on LCA
- The tribological properties study of carbon fabric/ epoxy composites reinforced by nano-TiO2 and MWNTs
- A text-Image feature mapping algorithm based on transfer learning
- Fast recognition algorithm for static traffic sign information
- Topical Issue: Clean Energy: Materials, Processes and Energy Generation
- An investigation of the melting process of RT-35 filled circular thermal energy storage system
- Numerical analysis on the dynamic response of a plate-and-frame membrane humidifier for PEMFC vehicles under various operating conditions
- Energy converting layers for thin-film flexible photovoltaic structures
- Effect of convection heat transfer on thermal energy storage unit
Artikel in diesem Heft
- Regular Articles
- A modified Fermi-Walker derivative for inextensible flows of binormal spherical image
- Algebraic aspects of evolution partial differential equation arising in the study of constant elasticity of variance model from financial mathematics
- Three-dimensional atom localization via probe absorption in a cascade four-level atomic system
- Determination of the energy transitions and half-lives of Rubidium nuclei
- Three phase heat and mass transfer model for unsaturated soil freezing process: Part 1 - model development
- Three phase heat and mass transfer model for unsaturated soil freezing process: Part 2 - model validation
- Mathematical model for thermal and entropy analysis of thermal solar collectors by using Maxwell nanofluids with slip conditions, thermal radiation and variable thermal conductivity
- Constructing analytic solutions on the Tricomi equation
- Feynman diagrams and rooted maps
- New type of chaos synchronization in discrete-time systems: the F-M synchronization
- Unsteady flow of fractional Oldroyd-B fluids through rotating annulus
- A note on the uniqueness of 2D elastostatic problems formulated by different types of potential functions
- On the conservation laws and solutions of a (2+1) dimensional KdV-mKdV equation of mathematical physics
- Computational methods and traveling wave solutions for the fourth-order nonlinear Ablowitz-Kaup-Newell-Segur water wave dynamical equation via two methods and its applications
- Siewert solutions of transcendental equations, generalized Lambert functions and physical applications
- Numerical solution of mixed convection flow of an MHD Jeffery fluid over an exponentially stretching sheet in the presence of thermal radiation and chemical reaction
- A new three-dimensional chaotic flow with one stable equilibrium: dynamical properties and complexity analysis
- Dynamics of a dry-rebounding drop: observations, simulations, and modeling
- Modeling the initial mechanical response and yielding behavior of gelled crude oil
- Lie symmetry analysis and conservation laws for the time fractional simplified modified Kawahara equation
- Solitary wave solutions of two KdV-type equations
- Applying industrial tomography to control and optimization flow systems
- Reconstructing time series into a complex network to assess the evolution dynamics of the correlations among energy prices
- An optimal solution for software testing case generation based on particle swarm optimization
- Optimal system, nonlinear self-adjointness and conservation laws for generalized shallow water wave equation
- Alternative methods for solving nonlinear two-point boundary value problems
- Global model simulation of OH production in pulsed-DC atmospheric pressure helium-air plasma jets
- Experimental investigation on optical vortex tweezers for microbubble trapping
- Joint measurements of optical parameters by irradiance scintillation and angle-of-arrival fluctuations
- M-polynomials and topological indices of hex-derived networks
- Generalized convergence analysis of the fractional order systems
- Porous flow characteristics of solution-gas drive in tight oil reservoirs
- Complementary wave solutions for the long-short wave resonance model via the extended trial equation method and the generalized Kudryashov method
- A Note on Koide’s Doubly Special Parametrization of Quark Masses
- On right-angled spherical Artin monoid of type Dn
- Gas flow regimes judgement in nanoporous media by digital core analysis
- 4 + n-dimensional water and waves on four and eleven-dimensional manifolds
- Stabilization and Analytic Approximate Solutions of an Optimal Control Problem
- On the equations of electrodynamics in a flat or curved spacetime and a possible interaction energy
- New prediction method for transient productivity of fractured five-spot patterns in low permeability reservoirs at high water cut stages
- The collinear equilibrium points in the restricted three body problem with triaxial primaries
- Detection of the damage threshold of fused silica components and morphologies of repaired damage sites based on the beam deflection method
- On the bivariate spectral quasi-linearization method for solving the two-dimensional Bratu problem
- Ion acoustic quasi-soliton in an electron-positron-ion plasma with superthermal electrons and positrons
- Analysis of projectile motion in view of conformable derivative
- Computing multiple ABC index and multiple GA index of some grid graphs
- Terahertz pulse imaging: A novel denoising method by combing the ant colony algorithm with the compressive sensing
- Characteristics of microscopic pore-throat structure of tight oil reservoirs in Sichuan Basin measured by rate-controlled mercury injection
- An activity window model for social interaction structure on Twitter
- Transient thermal regime trough the constitutive matrix applied to asynchronous electrical machine using the cell method
- On the zagreb polynomials of benzenoid systems
- Integrability analysis of the partial differential equation describing the classical bond-pricing model of mathematical finance
- The Greek parameters of a continuous arithmetic Asian option pricing model via Laplace Adomian decomposition method
- Quantifying the global solar radiation received in Pietermaritzburg, KwaZulu-Natal to motivate the consumption of solar technologies
- Sturm-Liouville difference equations having Bessel and hydrogen atom potential type
- Study on the response characteristics of oil wells after deep profile control in low permeability fractured reservoirs
- Depiction and analysis of a modified theta shaped double negative metamaterial for satellite application
- An attempt to geometrize electromagnetism
- Structure of traveling wave solutions for some nonlinear models via modified mathematical method
- Thermo-convective instability in a rotating ferromagnetic fluid layer with temperature modulation
- Construction of new solitary wave solutions of generalized Zakharov-Kuznetsov-Benjamin-Bona-Mahony and simplified modified form of Camassa-Holm equations
- Effect of magnetic field and heat source on Upper-convected-maxwell fluid in a porous channel
- Physical cues of biomaterials guide stem cell fate of differentiation: The effect of elasticity of cell culture biomaterials
- Shooting method analysis in wire coating withdrawing from a bath of Oldroyd 8-constant fluid with temperature dependent viscosity
- Rank correlation between centrality metrics in complex networks: an empirical study
- Special Issue: The 18th International Symposium on Electromagnetic Fields in Mechatronics, Electrical and Electronic Engineering
- Modeling of electric and heat processes in spot resistance welding of cross-wire steel bars
- Dynamic characteristics of triaxial active control magnetic bearing with asymmetric structure
- Design optimization of an axial-field eddy-current magnetic coupling based on magneto-thermal analytical model
- Thermal constitutive matrix applied to asynchronous electrical machine using the cell method
- Temperature distribution around thin electroconductive layers created on composite textile substrates
- Model of the multipolar engine with decreased cogging torque by asymmetrical distribution of the magnets
- Analysis of spatial thermal field in a magnetic bearing
- Use of the mathematical model of the ignition system to analyze the spark discharge, including the destruction of spark plug electrodes
- Assessment of short/long term electric field strength measurements for a pilot district
- Simulation study and experimental results for detection and classification of the transient capacitor inrush current using discrete wavelet transform and artificial intelligence
- Magnetic transmission gear finite element simulation with iron pole hysteresis
- Pulsed excitation terahertz tomography – multiparametric approach
- Low and high frequency model of three phase transformer by frequency response analysis measurement
- Multivariable polynomial fitting of controlled single-phase nonlinear load of input current total harmonic distortion
- Optimal design of a for middle-low-speed maglev trains
- Eddy current modeling in linear and nonlinear multifilamentary composite materials
- The visual attention saliency map for movie retrospection
- AC/DC current ratio in a current superimposition variable flux reluctance machine
- Influence of material uncertainties on the RLC parameters of wound inductors modeled using the finite element method
- Cogging force reduction in linear tubular flux switching permanent-magnet machines
- Modeling hysteresis curves of La(FeCoSi)13 compound near the transition point with the GRUCAD model
- Electro-magneto-hydrodynamic lubrication
- 3-D Electromagnetic field analysis of wireless power transfer system using K computer
- Simplified simulation technique of rotating, induction heated, calender rolls for study of temperature field control
- Design, fabrication and testing of electroadhesive interdigital electrodes
- A method to reduce partial discharges in motor windings fed by PWM inverter
- Reluctance network lumped mechanical & thermal models for the modeling and predesign of concentrated flux synchronous machine
- Special Issue Applications of Nonlinear Dynamics
- Study on dynamic characteristics of silo-stock-foundation interaction system under seismic load
- Microblog topic evolution computing based on LDA algorithm
- Modeling the creep damage effect on the creep crack growth behavior of rotor steel
- Neighborhood condition for all fractional (g, f, n′, m)-critical deleted graphs
- Chinese open information extraction based on DBMCSS in the field of national information resources
- 10.1515/phys-2018-0079
- CPW-fed circularly-polarized antenna array with high front-to-back ratio and low-profile
- Intelligent Monitoring Network Construction based on the utilization of the Internet of things (IoT) in the Metallurgical Coking Process
- Temperature detection technology of power equipment based on Fiber Bragg Grating
- Research on a rotational speed control strategy of the mandrel in a rotary steering system
- Dynamic load balancing algorithm for large data flow in distributed complex networks
- Super-structured photonic crystal fiber Bragg grating biosensor image model based on sparse matrix
- Fractal-based techniques for physiological time series: An updated approach
- Analysis of the Imaging Characteristics of the KB and KBA X-ray Microscopes at Non-coaxial Grazing Incidence
- Application of modified culture Kalman filter in bearing fault diagnosis
- Exact solutions and conservation laws for the modified equal width-Burgers equation
- On topological properties of block shift and hierarchical hypercube networks
- Elastic properties and plane acoustic velocity of cubic Sr2CaMoO6 and Sr2CaWO6 from first-principles calculations
- A note on the transmission feasibility problem in networks
- Ontology learning algorithm using weak functions
- Diagnosis of the power frequency vacuum arc shape based on 2D-PIV
- Parametric simulation analysis and reliability of escalator truss
- A new algorithm for real economy benefit evaluation based on big data analysis
- Synergy analysis of agricultural economic cycle fluctuation based on ant colony algorithm
- Multi-level encryption algorithm for user-related information across social networks
- Multi-target tracking algorithm in intelligent transportation based on wireless sensor network
- Fast recognition method of moving video images based on BP neural networks
- Compressed sensing image restoration algorithm based on improved SURF operator
- Design of load optimal control algorithm for smart grid based on demand response in different scenarios
- Face recognition method based on GA-BP neural network algorithm
- Optimal path selection algorithm for mobile beacons in sensor network under non-dense distribution
- Localization and recognition algorithm for fuzzy anomaly data in big data networks
- Urban road traffic flow control under incidental congestion as a function of accident duration
- Optimization design of reconfiguration algorithm for high voltage power distribution network based on ant colony algorithm
- Feasibility simulation of aseismic structure design for long-span bridges
- Construction of renewable energy supply chain model based on LCA
- The tribological properties study of carbon fabric/ epoxy composites reinforced by nano-TiO2 and MWNTs
- A text-Image feature mapping algorithm based on transfer learning
- Fast recognition algorithm for static traffic sign information
- Topical Issue: Clean Energy: Materials, Processes and Energy Generation
- An investigation of the melting process of RT-35 filled circular thermal energy storage system
- Numerical analysis on the dynamic response of a plate-and-frame membrane humidifier for PEMFC vehicles under various operating conditions
- Energy converting layers for thin-film flexible photovoltaic structures
- Effect of convection heat transfer on thermal energy storage unit