Home Physical Sciences Microblog topic evolution computing based on LDA algorithm
Article Open Access

Microblog topic evolution computing based on LDA algorithm

  • Feng Jian EMAIL logo , Wang Yajiao and Ding Yuanyuan
Published/Copyright: August 20, 2018

Abstract

Research on topic evolution of Microblog is an effective way to analyze network public opinions. This paper proposes a method for mining changing of Microblog topics with time, and realizes topic evolution through topic extraction and topic relevance calculation. Firstly, latent Dirichlet allocation (LDA) model is used to automatically extract topics from different time slices; secondly, a similarity calculation algorithm is designed to calculate relevance of topic content through normalization of similarities among characteristic words and co-occurrence relations, to get evolutionary relationship among sub-topics of different time slices; thirdly, using probability distribution of blog article-topic to calculate topic intensity in each time slice, and then gets evolutionary relationship of topic intensity over time. Experiments show that the proposed topic evolution analysis model can effectively detect the evolution of topic content and intensity of real blogs.

1 Introduction

Due to the characteristics of timeliness, flexibility, integration and grassroots, Microblog became the main source and an important distribution center of public opinions. In order to maintain healthy development of society, public opinions formed by Microblog should be monitored.

Network public opinions are sublimation of Microblog topics, and their evolution often depends on content and intensity changes. Topic content evolution refers to the changes of topic content over time, and topic intensity evolution shows the changes of attentiveness [1]. How to effectively track the development of Microblog topics becomes the key to evolution analysis of network public opinions.

Sina Microblog and Tencent Microblog are main research objects in China, and Twitter is the counterpart out of China. The traditional research method to describe topics is usually based on vector space model (VSM). In recent years, latent Dirichlet allocation (LDA) [2] has become the mainstream model of research because it can refine topics from network events more accurately, and was introduced to the study of topic evolution. However, due to the characteristics of dynamic interaction, inheritance and continuity of Microblog, existed researches did not fully consider semantic information of the corpus, resulting in insufficient tracking accuracy. Therefore, the field has still a great exploration space, requiring innovative information mining methods to enhance accuracy of topic mining and descript topic evolution dynamically. This paper studies the problem of topic evolution for Sina Microblog based on LDA, establishes topic evolution analysis model, and analyzes evolution of topic content and intensity with time.

The content of the paper is organized as follows. LDA model and its related researches in topic evolution are introduced in Section 2. In Section 3, we analyze the relevant characteristics of topic content and intensity evolution, and give corresponding calculation methods. New topic evolution model is descripted in Section 4. Section 5 presents experiments we have performed using the proposed model . Final conclusions and suggestions for future work are discussed in Section 6.

2 Related works

2.1 LDA model

LDA is a typical statistical topic model. Its basic idea is assuming implicit semantic structure of a document consisted by a set of interrelated topics, and topics are composed of a set of words; assuming that words are generated by the probability distribution of topics, each topic is represented by the words and their probability distribution on the topic; the document is a random finite mixing of probabilistic distribution of potential topics. Each document is sampled according to Dirichlet distribution to produce proportion of topics in the document, combined with the probability distribution of topic-words to generate every word, so that high dimensional lexical space of the document is reduced to low dimensional topic space to extract topics. Table 1 shows the main parameters used for LDA model generation.

Table 1

Notation correspondence

ParameterDescriptions
DTotal number of documents
KNumber of hidden topics
NdNumber of words in the dth document
wd,nThe nth word in document d
zd,nThe topic associated with wd, n
θdThe multinomial distribution of topics
specific to the document d
φzThe multinomial distribution of words
specific to the topic z
αHyperparameter for the multinomial θd
βHyperparameter for the multinomial φz

The process of simulating topics generation in LDA is as follows:

  1. For each blog article dD, according to θd ∼ Dir(α), gets multinomial distribution parameter θd of topics on document d;

  2. For each topic zK, according to φk∼ Dir(β), gets multinomial distribution parameter φk of words on topic z;

  3. For the nth word wd,n in document d:

    1. According to the multinomial distribution zd, n ∼ Mult (θd), gets the topic zd,n.

    2. According to the multinomial distribution wd,n ∼ Mult(φk), gets the word wd,n.

In LDA, a topic is represented by a set of semantically related words and the probability that words appear on the topic. Namely, z = {(w1z),⋯,(wv,p(wvz))}, where p(wvz) indicates probability that word wv appears where topic z has been observed.

2.2 Tracking topic evolution based on LDA

LDA model assumes that documents are exchangeable, that is, it ignores time information of documents. For revealing dynamics and development of topics over time, researchers introduced time information to LDA to extend the model [3,4,5,6].

There are three kinds of topic evolution methods based on LDA. The first kind considers the words in the document to be influenced by time, so it combines the time information of the document into LDA. The representative model is called topic over time (TOT) [3], which can use distribution of the topic at different time to get evolution of topic intensity, but cannot get evolution of topic content; the second kind first uses LDA to get topics in whole document set, and then checks the distribution of topics in discrete time to measure evolution. This kind of method also cannot get the evolution of topic content, and the evolution of topic intensity depends on time granularity; the third kind of method separates the document into different time slice in accordance with time information, and then deals with the collection of documents on each time slice in turn. It can simultaneously achieve the evolution of topic content and intensity. The typical model includes dynamic topic model (DTM) [4], which uses the state space to record the change of topic content and distribution intensity; continuous time dynamic topic model (CTDMT) [5] adopts Brownian motion model to model topic evolution in continuous time; multiscale topic tomography (MTT) [6] studies the topic evolution of multi-time granularity. The work of this paper belongs to the third kind of methods.

2.3 Topic similarity calculation

The relevance of reports in adjacent time periods should be determined when evolution of topic content is analyzed. If a new report is related to the priori report, it can be used to track the development of the transcendental report. If it is not relevant, the report can be judged as a new event. Relevance judgment is also called correlation detection, which is the original problem of topic tracking. In text mining methods, the similarity between two topics is generally calculated according to characteristic words in the text. According to difference of text representation models, the topic similarity calculation method can be summed up as Jaccard coefficient and cosine similarity based on word pocket model, KL (Kullback-Leibler) distance method [7] and words co-occurrence method based on language model.

The similarity algorithm used in conjunction with LDA is usually KL algorithm, that is, the similarity between two topics is seen as the distance of vector space formed by words of two topics, as follows:

KL(z1,z2)=D(P(wz1)P(wz2))=wWP(wz1)logP(wz1)P(wz2)(1)

Where D(P(wz1) ‖ P(wz2)) is the distance of two vectors. The algorithm measures the difference of probability distribution of two sets of characteristic words in same semantic space. In order to improve the accuracy of this kind of algorithms, Chu proposed an improved similarity calculation method which combines classical cosine similarity algorithm and Jensen-Shannon divergence (JSD) [8], the latter is an improved KL algorithm [9], hereinafter referred to JSD_COS algorithm:

JSD(z1,z2)=12(D(z1||m)+D(z2||m)),m=12(z1+z2)(2)
JSD_COS(z1,z2)=λCOS(z1,z2)+(1λ)JSD(z1,z2)+λ(3)

Where COS(z1, z2) is cosine similarity, which represents cosine of the angle of two vectors composed by characteristic words from two topics, and λ is a adjustment coefficient.

Because LDA and its improved models have some shortcomings, such as high frequency words tends to be selected for topic distribution, the above methods will lead to a problem that semantics of generated topics is not clear, for lacking semantic analysis.

In the other hand, some scholars use co-occurrence relationship between characteristic words to express their semantic relations [10], so as to calculate relevance between words and topics. The basic idea is if a few words often appear together in the same text, then they express the semantic information of the text to a certain extent. For example, in a news report, if “Haiti” and “earthquake” appear together repeatedly, it can be inferred that this is a report on the earthquake in Haiti. The existing co-occurrence analysis model is mainly used to extend VSM, and with no research on extending LDA.

3 Analyses of topic evolution

In this paper, we use the following strategies to study the evolution of Microblog topics: according to the release time of blog articles, we will scatter the blogs into different time slices, and then use LDA to extract topics in each time slice. The evolution of topics is mainly based on changes of topic similarity and intensity in different time slice.

3.1 Topic content evolution

The evolution of topic content shows the difference of characteristic words sequence in different time slices. This difference is mainly manifested in semantic relevance. From the analysis of Section 2.3, it can be seen that the topic relevance calculation based on LDA often based on characteristic words matching without considering semantic relevance of the topic, and the co-occurrence relationship of characteristic words can express semantic relations among words, but considering only the co-occurrence relation between the characteristic words is not enough. Therefore, this paper measures the relevance of topic content in different time slices from two aspects: the proportion of the same characteristic words included in the two topics and co-occurrence frequency of the characteristic words. The former is calculated by Jaccard coefficient, while the latter is measured by co-occurrence probability of characteristic words.

Suppose that z1 and z2 are two topics of the adjacent time slices respectively, and C and D are the characteristic word sets of z1 and z2, respectively.

  1. The proportion of the same characteristic words

    The proportion of the same characteristic words in z1 and z2 is calculated by Jaccard coefficient, that is, the matching degree of the characteristic words. The Equation 4 is:

    Jaccard(z1,z2)=CDCD(4)
  2. The co-occurrence frequency

    The term co-occurrence here refers to the situation in which two different characteristic words appear simultaneously in topics of two different time slices. The higher the co-occurrence rate among words, the more likely semantics of topics may be similar, and the more likely the topics may be related. The co-occurrence frequency of characteristic words is the synchronized appearance frequency of the characteristic word pairs in z1 and z2:

    WC(z1,z2)=ij||Segment(wz1i,wz2j)||||Segment||(5)

    Where ‖Segment‖ represents the total number of blog articles in two adjacent time slices where z1 and z2 are located; and ‖Segment(wz1i,wz2j)‖ is the number of blogs including the characteristic words wz1i and wz2j simultaneously in both time slices. The algorithm hereinafter is referred to as WC algorithm.

  3. The relevance degree of z1 and z2

    Based on the above calculations, the method to calculate the relevance degree of z1 and z2 are given, namely JW algorithm:

    JW(z1,z2)=γJaccard(z1,z2)+(1γ)WC(z1,z2)(6)

    Where Jaccard(z1,z2) calculates the similarity of the characteristic words, and WC(z1,z2) reinforces its semantic similarity. γ is the weighting coefficient, which reflects the contribution of two different similarities to the overall similarity.

    In order to determine the relevance of two topics by value of JW, experience threshold is needed. If JW value is greater than the threshold, it is considered there is a correlation between the two topics on the adjacent time slices, so content evolution happens.

3.2 Topic intensity evolution

Generally, the more the number of blogs to discuss a topic, the higher the hotness of the topic is. In each time slice, the average value of the topic distribution probability on each blog is calculated to determine the mean hotness of a topic. The Equation 7 is as follows:

θzt¯=dDtθdztDt(7)

Where t is a time slice, z is a topic, Dt is total number of blogs in time slice t, and θdzt is the probability of blog d belonging to z in t. The topic intensity is represented by the average of θ, namely the proportion of the topic in the time slice, so the evolution of the topic intensity can be obtained by combining the topic intensity of all time slices.

4 Topic evolution system architecture

Microblog is a text stream with a timing relationship. On the basis of the time slice segmentation, this paper uses LDA to extract topics on each time slice, and uses the topic content evolution method and the topic intensity evolution method proposed in 3.1 and 3.2, respectively, to achieve tracking and evolution of topic content and intensity. System architecture is shown in Figure 1, and the specific steps are as follows:

Figure 1 Topic evolution system architecture
Figure 1

Topic evolution system architecture

  1. Gets and pre-processes blog sets, including eliminating duplicates, making word segmentation and removing stop words.

  2. According to time information on blogs, divides the blog sets into different subsets.

  3. Models blogs in each time slice by LDA, extracts sub-topics of each time slice, and gets the probability distributions of the topic-word and document-topic, so as to extract topic collection from each time slice.

    The specific process is: using Gibbs sampling algorithm to estimate the posterior distribution θd and φz of LDA [10]. Takes parameters of Dirichlet prior distribution α = 50/K, β = 0.1, iterates 1000 times to obtain document-topic distribution matrix and topic-word distribution matrix.

    Characteristic words selection: for each blog, according to the probability distribution of words, extracts multiple words with high probability as characteristic words (through artificial excavation of the experimental corpus, when number of characteristic words is bigger than 8, the best specificity and coverage of the topic should be obtained. Therefore, in order not to lose generality, we extract the first 10 words as the characteristic word for each sub-topic).

  4. Analyzes and calculates the similarity among topics in each adjacent time slice according to Equation 6, so as to analyze the detailed evolution process of topic content in the whole time interval.

  5. According to Equation 7 to calculate the hotness of each topic under different time slices, and then gets the topic intensity evolution process.

5 Experimental analyses

In this paper, two sets of experiments were designed. The first set of experiments uses KL algorithm, JSD_COS algorithm, WC algorithm and JW algorithm, respectively, to calculate relevance of the topic, aiming at verifying the feasibility of JW algorithm; the second set of experiments evaluates the effect of topic content and intensity evolution, to verify the effectiveness of the overall scheme.

Experiments had been done on PC with Windows XP system, 2.93GHz CPU and 2GB memory. In experiments, Niuparser system developed by Northeastern University in China was used to carry on Chinese word segmentation.

5.1 Experimental data sets

There are no widely accepted corpus and annotation results for the study of topic evolution, so we chose Microblog data sets from an open source community aiming to do the social network analysis, namely Social Analysis [11]. These experimental blogs have been manually marked by the website. Each topic includes a large number of blogs and each blog clearly belongs to one topic. We used two data sets from August 2012 to November 2012: M-blog1 and M-blog2. The basic information is shown in Table 2.

Table 2

Basic information of data sets

Data setsNumber of blogsNumber of topics
Mblogl884806
Mblog221730829

Table 3

Distribution of blogs in time slices

Time slice2012/082012/092012/102012/11
Number of blogs (Mblog1)17991331472031517027
Number of blogs (Mblog2)45106627355926850199

5.2 Experiment 1 – JW algorithm evaluation

5.2.1 Evaluation indexes

The Precision(P), Recall(R) and F1-Measure(F1) are used in the evaluation of the experiment. F1 is the comprehensive evaluation of the first two.

P=AA+B(8)
R=AA+C(9)
F1=2×P×RP+R(10)

Where A represents the extracted contents related to the topic; B represents the extracted contents that are not relevant to the topic; and C represents the contents related to the topic that has not been extracted. The number of blogs related to the topic in all blogs is A+C, and the number determined to be related with the topic is A+B.

5.2.2 Experimental results and analysis

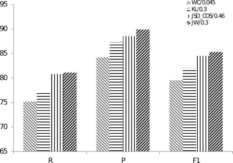
In order to verify the effect of JW algorithm, both 4 algorithms including KL, JSD_COS, WC and JW were used to calculate similarities among topics on M-blog1 and M-blog2, and then R, P, and F1 were calculated according to artificial tagging. After comparing the experimental results, the value of γ in JW algorithm was taken by 0.6.

Figure 2-4 show that the R, P and F1 of JW in topic similarity calculation on different time slices on M-blog1 are better than KL, JSD_COS and WC. In order to further verify the stability of JW algorithm, to avoid the possible coincidence of the experimental results, the same experiment is carried out on M-blog2. The results are consistent and are not listed for length relation. The results show that JW algorithm has the best result for the relevance calculation and can track the topic content evolution better.

Figure 2 Results of relevance between August and September in M-blog1
Figure 2

Results of relevance between August and September in M-blog1

Figure 3 Results of relevance between September and October in M-blog1
Figure 3

Results of relevance between September and October in M-blog1

Figure 4 Results of relevance between October and November in M-blog1
Figure 4

Results of relevance between October and November in M-blog1

5.3 Experiment 2 – Topic evolution evaluations

5.3.1 Evaluation standard

There is no uniform criterion for evolution of topic content and intensity, and no effective method for quantifying the comparison. Generally, it is necessary to measure trend and intensity of real events by contrast with the artificial summary or the artificial description.

5.3.2 Experimental results and analysis

In order to verify whether the topic evolution method proposed in Section 4 can track the development of real events, measurement and judgment of multiple topics in two data sets are carried out. Due to the space relationship, only the “Liu Xiang” topic in M-blog2 is taken as an example, and its content and intensity changes in the time series are tracked and compared with the real event development process.

  1. Topic content evolution analysis

    According to LDA, the sub-topics with relevance more than 0.3 and its corresponding characteristic words of Liu Xiang topic in different time slices are calculated and listed in Table 4.

    Table 4

    Sub-topics of Liu Xiang in different time slices

    Sub-topicsTime sliceCharacteristic words
    Liu Xiang wrestled2012/08Liu Xiang, results, London, Olympic Games, foot injury, preliminary contest, audience, stumbled, retire, hurdling
    Cybemaut questionedOlympic Games, Liu Xiang, London, hurdling, deliberate, acting, wrestling, earn money, diving, public opinion
    Liu hopped to end pointLiu Xiang, London, condition of an injury, fall, end point, Olympic Games, regret, hop, kiss, retire
    Zhao Benshan donated coupletLiu Xiang, horizontal scroll, first scroll, Zhao Benshan, second scroll, swindle, cheat, Paralympic Games, rewards, rich man
    Foot surgery success2012/09Liu Xiang, surgery, achilles tendon, success, hospital, Wellington, doctor, operating room, sober, narcosis
    Liu earned high advertising feesLiu Xiang, Forbes, celebrity, endorse, money, Chinese Yuan, advertisement, China, track and field, Olympic Games
    Contradiction between Liu Xiang and Sun Haiping2012/10Liu Xiang, coach, Olympic Games, Sun Haiping, disagreement, increase, old wounds, intensity, training, recrudesce
    Sun Haiping refuted the rumorLiu Xiang, Sun Haiping, recover, training, relationship, National Games, contradiction, treat injury, next year, display talents
    Nike applied for Liu Xiang trademark2012/11Liu Xiang, trademark, Nike, agent, register, popularity, right of personal name, commercialization, preemptive registration, reject

    Similarities more than 0.3 among sub-topics are related to Liu Xiang showed in Figure 5, calculated by JW algorithm. Among them, “Liu Xiang earned high advertising fees” sub-topic in September and “Cybernaut questioned Liu Xiang” sub-topic in August have slightly higher similarity than others; this is because the two sub-topics have more common characteristic words and co-occurrence words.

    Figure 5 Content evolution and Similarities of topic Liu Xiang
    Figure 5

    Content evolution and Similarities of topic Liu Xiang

    From the Figure 5, topic content evolution process of Liu Xiang is summarized as follows:

    In reality, content changes of Liu Xiang event in the time series are: in August, Liu Xiang fell in London Olympic Games, but he still adhered to hop to end point, finally has been questioned and accused by cybernaut, and he was in the whirlpool of public opinion. In September, Liu Xiang received a successful surgery, but cybernaut still discussed huge amount of advertising earned by him in last 8 years, and expressed their dissatisfaction. In October, there were nosy parkers spreading rumors about disagreement between Liu Xiang and his coach Sun Haiping, and Sun Haiping came forward against the rumor. In November, a commercial dispute emerged about Nike wanting to use Liu Xiang as a brand. It can be seen from Figure 5 that the content change tracked in this paper is the real trajectory of Liu Xiang event development.

  2. Topic intensity evolution analysis

    We calculate topic intensity of each time slice according to Equation 3. As shown in Figure 6, in August, Liu Xiang topic received wide attention, and topic intensity is very high; with the time of migration, the intensity gradually decreased. The actual situation is, in August 2012, event of Liu Xiang falling in the London Olympic Games caused uproar, cybernaut started a heated discussion about injury and hidden situations behind wrestling of Liu Xiang; in September, event of Liu Xiang falling continued to ferment, more were concerned about the subsequent recovery, retirement and other issues; until November, discuss about the event slowly subsided. The intensity curve of Figure 6 conforms to the actual hotness change of Liu Xiang topic.

    Figure 6 Topic intensity evolution of Liu Xiang
    Figure 6

    Topic intensity evolution of Liu Xiang

    We also carried out analysis on content and intensity evolution of “Diaoyu Islands”, “Yan’ an car accident” topic in M-blog1 and “Yang Ming Tan Bridge collapsed” topic in M-blog2, and their analysis results are all consistent with the development process.

    The experimental results show that the JW algorithm has high accuracy and can effectively describe the relevance of the topic. The proposed topic evolution model can track the change of topic content and intensity.

6 Conclusions

This paper describes a method of Microblog topic evolution based on LDA. The main contributions are as follows: ① A topic similarity calculation method based on Jaccard coefficient and co-occurrence frequency is proposed; ② A topic evolution model is presented through topic extraction from different time slices, and topic relevance and topic intensity calculation. Applying the proposed scheme to actual Microblog data sets shows that the evolution of topic content and intensity are in good agreement with the development of real events.

The paper only considered content and time information of blog articles, but did not consider author, reply, reference and other attribute information of blogs. How to integrate these into evolution of topics, that is making the evolution more directional and synergitic is our next direction of efforts. At the same time, evaluation for Microblog topic evolution has no unified evaluation criteria and no corresponding testing corpus. Whether it is topic content or topic intensity evolution, these can only be judged by people’s subjective understanding of the topic. This is not comparable. Therefore, proposing criteria for evaluation is also an important problem to be solved.

Acknowledgement

This work is supported by Natural Science Foundation from Department of Education in Shaanxi Province (No. 15JK1468) and Shaanxi Provincial Natural Science Foundation Project (No. 2017JQ6053).

References

[1] Qin Y., Luo Y.Y., Zhao Y.Q., Zhang J., Research on relationship between tourism income and economic growth based on meta-analysis, Appl. Math. Nonl. Sci., 2018, 3, 105-114.10.21042/AMNS.2018.1.00008Search in Google Scholar

[2] Blei D.M., Ng A.Y., Jordan M.I., Latent Dirichlet Allocation, J. Mach. Learn. Res., 2003, 3, 993-1022.Search in Google Scholar

[3] Wang X., Mccallum A., Topics over time: a non-Markov continuous-time model of topical trends, In: T. Eliassi-Rad(Ed.), Proceedings of the 12th ACM SIGKDD International Conference on Knowledge Discovery and Data Mining(20-23 August 2006, Philadelphia, PA, USA), ACM, 2006, 424-433.10.1145/1150402.1150450Search in Google Scholar

[4] Blei D.M., Lafferty J.D., Dynamic topic models, In: W. Cohen (Ed.), Proceedings of the 23rd International Conference on Machine Learning(25-29 June 2006, Pittsburgh, Pennsylvania, USA), ACM, 2006, 113-120.10.1145/1143844.1143859Search in Google Scholar

[5] Wang C., Blei D., Heckerman D., Continuous Time Dynamic Topic Models, In: D. McAllester(Ed.), Proceedings of the 23rd Conference on Uncertainty in Artificial Intelligence(9-12 July 2008, Helsinki, Finland), AUAI Press Arlington, Virginia, United States, 2008, 579-586.Search in Google Scholar

[6] Nallapati R.M., Cohen W., Ditmore S., Lafferty J., Ung K., Multiscale topic tomography, In: P. Berkhin(Ed.), Proceedings of the 13th ACM SIGKDD International Conference on Knowledge Discovery and Data Mining(12-15 August 2007, San Jose, CA, USA), ACM, 2007, 520-529.10.1145/1281192.1281249Search in Google Scholar

[7] Delpha C., Diallo D., Youssef A., Kullback-Leibler Divergence for fault estimation and isolation: Application to Gamma distributed data, Mech. Syst. Sign. Proc., 2017, 93, 118-135.10.1016/j.ymssp.2017.01.045Search in Google Scholar

[8] Chu K.M., Li F., Fast algorithm for random walk centerlity, Comp. Appl. Softw., 2011, 28, 4-7.Search in Google Scholar

[9] Wu L.F., Wang D., Zhang X Z, Liu S, Zhang L, Chen C.W., MLLDA: Multi-level LDA for modelling users on content curation social networks, Neurocomputing, 2017, 236, 73-81.10.1016/j.neucom.2016.08.114Search in Google Scholar

[10] Li Y.G., Zhou X.G., Sun Y., Zhang H.G., Design and Implementation of Weibo Sentiment Analysis Based on LDA and Dependency Parsing, Chin. Comm., 2016, 13, 91-105.10.1109/CC.2016.7781721Search in Google Scholar

[11] Social Analysis. http://www.socialsis.org/data/dataset/dataset, 2016-03-15.Search in Google Scholar

Received: 2018-04-20
Accepted: 2018-05-29
Published Online: 2018-08-20

© 2018 F. Jian et al., published by De Gruyter

This work is licensed under the Creative Commons Attribution-NonCommercial-NoDerivatives 4.0 License.

Articles in the same Issue

  1. Regular Articles
  2. A modified Fermi-Walker derivative for inextensible flows of binormal spherical image
  3. Algebraic aspects of evolution partial differential equation arising in the study of constant elasticity of variance model from financial mathematics
  4. Three-dimensional atom localization via probe absorption in a cascade four-level atomic system
  5. Determination of the energy transitions and half-lives of Rubidium nuclei
  6. Three phase heat and mass transfer model for unsaturated soil freezing process: Part 1 - model development
  7. Three phase heat and mass transfer model for unsaturated soil freezing process: Part 2 - model validation
  8. Mathematical model for thermal and entropy analysis of thermal solar collectors by using Maxwell nanofluids with slip conditions, thermal radiation and variable thermal conductivity
  9. Constructing analytic solutions on the Tricomi equation
  10. Feynman diagrams and rooted maps
  11. New type of chaos synchronization in discrete-time systems: the F-M synchronization
  12. Unsteady flow of fractional Oldroyd-B fluids through rotating annulus
  13. A note on the uniqueness of 2D elastostatic problems formulated by different types of potential functions
  14. On the conservation laws and solutions of a (2+1) dimensional KdV-mKdV equation of mathematical physics
  15. Computational methods and traveling wave solutions for the fourth-order nonlinear Ablowitz-Kaup-Newell-Segur water wave dynamical equation via two methods and its applications
  16. Siewert solutions of transcendental equations, generalized Lambert functions and physical applications
  17. Numerical solution of mixed convection flow of an MHD Jeffery fluid over an exponentially stretching sheet in the presence of thermal radiation and chemical reaction
  18. A new three-dimensional chaotic flow with one stable equilibrium: dynamical properties and complexity analysis
  19. Dynamics of a dry-rebounding drop: observations, simulations, and modeling
  20. Modeling the initial mechanical response and yielding behavior of gelled crude oil
  21. Lie symmetry analysis and conservation laws for the time fractional simplified modified Kawahara equation
  22. Solitary wave solutions of two KdV-type equations
  23. Applying industrial tomography to control and optimization flow systems
  24. Reconstructing time series into a complex network to assess the evolution dynamics of the correlations among energy prices
  25. An optimal solution for software testing case generation based on particle swarm optimization
  26. Optimal system, nonlinear self-adjointness and conservation laws for generalized shallow water wave equation
  27. Alternative methods for solving nonlinear two-point boundary value problems
  28. Global model simulation of OH production in pulsed-DC atmospheric pressure helium-air plasma jets
  29. Experimental investigation on optical vortex tweezers for microbubble trapping
  30. Joint measurements of optical parameters by irradiance scintillation and angle-of-arrival fluctuations
  31. M-polynomials and topological indices of hex-derived networks
  32. Generalized convergence analysis of the fractional order systems
  33. Porous flow characteristics of solution-gas drive in tight oil reservoirs
  34. Complementary wave solutions for the long-short wave resonance model via the extended trial equation method and the generalized Kudryashov method
  35. A Note on Koide’s Doubly Special Parametrization of Quark Masses
  36. On right-angled spherical Artin monoid of type Dn
  37. Gas flow regimes judgement in nanoporous media by digital core analysis
  38. 4 + n-dimensional water and waves on four and eleven-dimensional manifolds
  39. Stabilization and Analytic Approximate Solutions of an Optimal Control Problem
  40. On the equations of electrodynamics in a flat or curved spacetime and a possible interaction energy
  41. New prediction method for transient productivity of fractured five-spot patterns in low permeability reservoirs at high water cut stages
  42. The collinear equilibrium points in the restricted three body problem with triaxial primaries
  43. Detection of the damage threshold of fused silica components and morphologies of repaired damage sites based on the beam deflection method
  44. On the bivariate spectral quasi-linearization method for solving the two-dimensional Bratu problem
  45. Ion acoustic quasi-soliton in an electron-positron-ion plasma with superthermal electrons and positrons
  46. Analysis of projectile motion in view of conformable derivative
  47. Computing multiple ABC index and multiple GA index of some grid graphs
  48. Terahertz pulse imaging: A novel denoising method by combing the ant colony algorithm with the compressive sensing
  49. Characteristics of microscopic pore-throat structure of tight oil reservoirs in Sichuan Basin measured by rate-controlled mercury injection
  50. An activity window model for social interaction structure on Twitter
  51. Transient thermal regime trough the constitutive matrix applied to asynchronous electrical machine using the cell method
  52. On the zagreb polynomials of benzenoid systems
  53. Integrability analysis of the partial differential equation describing the classical bond-pricing model of mathematical finance
  54. The Greek parameters of a continuous arithmetic Asian option pricing model via Laplace Adomian decomposition method
  55. Quantifying the global solar radiation received in Pietermaritzburg, KwaZulu-Natal to motivate the consumption of solar technologies
  56. Sturm-Liouville difference equations having Bessel and hydrogen atom potential type
  57. Study on the response characteristics of oil wells after deep profile control in low permeability fractured reservoirs
  58. Depiction and analysis of a modified theta shaped double negative metamaterial for satellite application
  59. An attempt to geometrize electromagnetism
  60. Structure of traveling wave solutions for some nonlinear models via modified mathematical method
  61. Thermo-convective instability in a rotating ferromagnetic fluid layer with temperature modulation
  62. Construction of new solitary wave solutions of generalized Zakharov-Kuznetsov-Benjamin-Bona-Mahony and simplified modified form of Camassa-Holm equations
  63. Effect of magnetic field and heat source on Upper-convected-maxwell fluid in a porous channel
  64. Physical cues of biomaterials guide stem cell fate of differentiation: The effect of elasticity of cell culture biomaterials
  65. Shooting method analysis in wire coating withdrawing from a bath of Oldroyd 8-constant fluid with temperature dependent viscosity
  66. Rank correlation between centrality metrics in complex networks: an empirical study
  67. Special Issue: The 18th International Symposium on Electromagnetic Fields in Mechatronics, Electrical and Electronic Engineering
  68. Modeling of electric and heat processes in spot resistance welding of cross-wire steel bars
  69. Dynamic characteristics of triaxial active control magnetic bearing with asymmetric structure
  70. Design optimization of an axial-field eddy-current magnetic coupling based on magneto-thermal analytical model
  71. Thermal constitutive matrix applied to asynchronous electrical machine using the cell method
  72. Temperature distribution around thin electroconductive layers created on composite textile substrates
  73. Model of the multipolar engine with decreased cogging torque by asymmetrical distribution of the magnets
  74. Analysis of spatial thermal field in a magnetic bearing
  75. Use of the mathematical model of the ignition system to analyze the spark discharge, including the destruction of spark plug electrodes
  76. Assessment of short/long term electric field strength measurements for a pilot district
  77. Simulation study and experimental results for detection and classification of the transient capacitor inrush current using discrete wavelet transform and artificial intelligence
  78. Magnetic transmission gear finite element simulation with iron pole hysteresis
  79. Pulsed excitation terahertz tomography – multiparametric approach
  80. Low and high frequency model of three phase transformer by frequency response analysis measurement
  81. Multivariable polynomial fitting of controlled single-phase nonlinear load of input current total harmonic distortion
  82. Optimal design of a for middle-low-speed maglev trains
  83. Eddy current modeling in linear and nonlinear multifilamentary composite materials
  84. The visual attention saliency map for movie retrospection
  85. AC/DC current ratio in a current superimposition variable flux reluctance machine
  86. Influence of material uncertainties on the RLC parameters of wound inductors modeled using the finite element method
  87. Cogging force reduction in linear tubular flux switching permanent-magnet machines
  88. Modeling hysteresis curves of La(FeCoSi)13 compound near the transition point with the GRUCAD model
  89. Electro-magneto-hydrodynamic lubrication
  90. 3-D Electromagnetic field analysis of wireless power transfer system using K computer
  91. Simplified simulation technique of rotating, induction heated, calender rolls for study of temperature field control
  92. Design, fabrication and testing of electroadhesive interdigital electrodes
  93. A method to reduce partial discharges in motor windings fed by PWM inverter
  94. Reluctance network lumped mechanical & thermal models for the modeling and predesign of concentrated flux synchronous machine
  95. Special Issue Applications of Nonlinear Dynamics
  96. Study on dynamic characteristics of silo-stock-foundation interaction system under seismic load
  97. Microblog topic evolution computing based on LDA algorithm
  98. Modeling the creep damage effect on the creep crack growth behavior of rotor steel
  99. Neighborhood condition for all fractional (g, f, n′, m)-critical deleted graphs
  100. Chinese open information extraction based on DBMCSS in the field of national information resources
  101. 10.1515/phys-2018-0079
  102. CPW-fed circularly-polarized antenna array with high front-to-back ratio and low-profile
  103. Intelligent Monitoring Network Construction based on the utilization of the Internet of things (IoT) in the Metallurgical Coking Process
  104. Temperature detection technology of power equipment based on Fiber Bragg Grating
  105. Research on a rotational speed control strategy of the mandrel in a rotary steering system
  106. Dynamic load balancing algorithm for large data flow in distributed complex networks
  107. Super-structured photonic crystal fiber Bragg grating biosensor image model based on sparse matrix
  108. Fractal-based techniques for physiological time series: An updated approach
  109. Analysis of the Imaging Characteristics of the KB and KBA X-ray Microscopes at Non-coaxial Grazing Incidence
  110. Application of modified culture Kalman filter in bearing fault diagnosis
  111. Exact solutions and conservation laws for the modified equal width-Burgers equation
  112. On topological properties of block shift and hierarchical hypercube networks
  113. Elastic properties and plane acoustic velocity of cubic Sr2CaMoO6 and Sr2CaWO6 from first-principles calculations
  114. A note on the transmission feasibility problem in networks
  115. Ontology learning algorithm using weak functions
  116. Diagnosis of the power frequency vacuum arc shape based on 2D-PIV
  117. Parametric simulation analysis and reliability of escalator truss
  118. A new algorithm for real economy benefit evaluation based on big data analysis
  119. Synergy analysis of agricultural economic cycle fluctuation based on ant colony algorithm
  120. Multi-level encryption algorithm for user-related information across social networks
  121. Multi-target tracking algorithm in intelligent transportation based on wireless sensor network
  122. Fast recognition method of moving video images based on BP neural networks
  123. Compressed sensing image restoration algorithm based on improved SURF operator
  124. Design of load optimal control algorithm for smart grid based on demand response in different scenarios
  125. Face recognition method based on GA-BP neural network algorithm
  126. Optimal path selection algorithm for mobile beacons in sensor network under non-dense distribution
  127. Localization and recognition algorithm for fuzzy anomaly data in big data networks
  128. Urban road traffic flow control under incidental congestion as a function of accident duration
  129. Optimization design of reconfiguration algorithm for high voltage power distribution network based on ant colony algorithm
  130. Feasibility simulation of aseismic structure design for long-span bridges
  131. Construction of renewable energy supply chain model based on LCA
  132. The tribological properties study of carbon fabric/ epoxy composites reinforced by nano-TiO2 and MWNTs
  133. A text-Image feature mapping algorithm based on transfer learning
  134. Fast recognition algorithm for static traffic sign information
  135. Topical Issue: Clean Energy: Materials, Processes and Energy Generation
  136. An investigation of the melting process of RT-35 filled circular thermal energy storage system
  137. Numerical analysis on the dynamic response of a plate-and-frame membrane humidifier for PEMFC vehicles under various operating conditions
  138. Energy converting layers for thin-film flexible photovoltaic structures
  139. Effect of convection heat transfer on thermal energy storage unit
Downloaded on 7.12.2025 from https://www.degruyterbrill.com/document/doi/10.1515/phys-2018-0067/html
Scroll to top button