Home Physical Sciences Joint measurements of optical parameters by irradiance scintillation and angle-of-arrival fluctuations
Article Open Access

Joint measurements of optical parameters by irradiance scintillation and angle-of-arrival fluctuations

  • Chao Gao , Haodong Liang and Xiaofeng Li EMAIL logo
Published/Copyright: July 9, 2018

Abstract

A method for joint measuring the power law exponent and the structure constant of atmospheric turbulence is proposed and examined. The measurements are equivalent to solve the simultaneous equations formed by the irradiance scintillation index and the angle-of-arrival fluctuations variance, where the measured parameters are regarded as the unknowns. The measured error analysis is also presented. Based on our proposed method, the measured results accord with the daily trend of atmospheric turbulence.

1 Introduction

Optical wireless communication (OWC) technology has attracted much attention for its large channel capacity and high transmission rate. It uses unguided optical carrier propagation in the free space channel for data transmission [1, 2]. As one typical kind of the free space, the atmosphere contains numerous turbulent eddies. To improve the performance of OWC systems, it is necessary to characterize the atmospheric turbulent eddies. It is the turbulent power law exponent α and the generalized atmospheric structure constant C^n2 that are critical optical parameters for theoretical modeling of the turbulence [3, 4]. α is dimensionless, and has influence on the shape of turbulent spectrum. For Kolmogorov turbulence, α=113, whereas for non-Kolmogorov cases, α ∈ (3, 4). C^n2 is the quantization of the strength of the refractive index fluctuations, whose typical values near the ground is 10–15 ∼ 10–13m3–α [5, 6, 7, 8].

In the past few decades, several methods has been proposed and applied to measure various optical parameters for actual atmospheric channels. These methods belong to the indirect measurement techniques, and can be generally classified into meteorology-based and optics-based methods [9]. For path-average measurements, the optics-based methods draw more attention than the meteorology-based ones [10, 11]. The optics-based methods prefer to utilize the irradiance scintillation (IS) or the angle-of-arrival (AOA) fluctuations for the indirect measurements of α and C^n2. IS is connected to the stochastic redistribution of the wavefront amplitude at the receiver, whereas AOA associates with the phase shift in the focal plane [1]. α is firstly determined by the slope of the temporal spectrum of IS or AOA, and C^n2 is subsequently determined by the corresponding mathematical relationship of IS index σIS2 or AOA variance σAOA2 [12, 13]. However, there are always differences between the results of IS-based and AOA-based measurements, and the unequal measured values may cause confusion for atmospheric calibration [14]. An alternative to avoid the inequality is the joint measurements of α and C^n2 based on σIS2 and σAOA2 synchronously. Although the joint measurements of multiple optical parameters from multiple physical quantities have been investigated before, their error analysis is still less well established because of the complexity [15].

This paper investigates the path-average measurements of α and C^n2. Our work can be regarded as incremental to the optics-based measurements. Compared with the previous work, our proposed method adopts more than one turbulent effects for joint measurements, and can ensure the uniqueness of the measurements. The rest of the paper is organized as follows. Section 2 not only presents detailed procedures for how to determine α and C^n2, but also gives their measurement errors by the mathematical models of σIS2 and σAOA2, respectively. In Section 3, our proposed method is examined based on both the simulated data and the actual gathered dataset, followed by conclusions in Section 4.

2 Theoretical model

Based on the Rytov perturbation approximation and the standard non-Kolmogorov spectrum, σIS2 and σAOA2 for a plane wave take the form as [16, 17]

σIS2α,C^n2=8C^n2Lα2k3α2π2α1×AαΓ1α2sinπα4,σAOA2α,C^n2=24απ2dα4LC^n2βα4×AαΓ2α2,(1)

where L is the length along the propagation path, k=2πλ is the angular wavenumber of the wave length λ, d is the diameter of the aperture at the receiver, and β = 0.4832 is the coefficient. A(α)=Γ(α1)4π2cosαπ2 is a function of α, and Γ(z)=0+xz1exdx is the gamma function. It must be pointed that σAOA2(α, C^n2) is valid for d>k1L.

2.1 Solutions of Eq. (1)

It is apparent that both α and C^n2 can be regarded as independent variables of σIS2 and σAOA2. Thus, the measurements of α and C^n2 is equivalent to the solutions of the following nonlinear bivariate equations problem

σ¯IS2=σIS2α,C^n2,σ¯AOA2=σAOA2α,C^n2,(2)

where σ¯IS2andσ¯AOA2 are measured values of σIS2 and σAOA2, respectively.

To solve Eq. (2), α and C^n2 should be separated. Based on Eq. (1), it is readily shown

fα=Δσ¯IS2σ¯AOA2=2αd4αLα21k3α2α1β4α×α21sinπα4=d4L1k3Ldkα×gα,gα=Δ2αα1β4αα21sinπα4.(3)

It is obvious that f (α) is continuous when α ∈ (3, 4), and limα3fα=432dβL12k32whilelimα4fα=0.

Figure 1 plots the g (α), which strictly monotonically decreases for α ∈ (3, 4). Because k1Ld<1, it can be found that f (α) strictly monotonically decreases when α ∈ (3, 4). Based on the extreme value theorem for a real-valued continuous function and the monotonicity, there must be one and only one α ∈ (3, 4) satisfying

Figure 1 g (α) is strictly monotonically decreases for α ∈ (3, 4)
Figure 1

g (α) is strictly monotonically decreases for α ∈ (3, 4)

fασ¯IS2σ¯AOA2=0(4)

if σ¯IS2σ¯AOA20,432dβL12k32 [18]. Thus, to measure α is equivalent to find the root of Eq. (4) in the interval (3, 4), which can be easily computed by numerical methods.

Simultaneously, to measure C^n2 is equivalent to calculate either of following expressions

C^n2=σ¯IS28π2Lα2k3α2α1AαΓ1α2sinπα4,σ¯AOA224απ2dα4Lβα4AαΓ2α2.(5)

They can lead to the same solution.

It has been pointed out that the unit of C^n2 is related to α. An optional technique to avoid the dependence on the selection of unit is to make the turbulence structure function Dn (r) = C^n2rα–3 constant at r=k1L with changing α, which means the Kolmogorov structure constant

Cn2=C^n2×k1L3α116(6)

with the unit of m23 [19, 20].

2.2 Error analysis of the measurements

The observation of α and C^n2 is indirect, so their measurement errors δ (α) and δ (C^n2) should rely on the measurement errors δσ¯IS2andδσ¯AOA2.

For mathematical convenience, define

F1=8π2Lα2k3α2α1AαΓ1α2sinπα4+σ¯IS2C^n2,F2=24απ2dα4Lβα4AαΓ2α2σ¯AOA2C^n2.(7)

where F1 = 0 and F2 = 0 ⇔ Eq. 2. α and C^n2 can be regarded as an implicit function of σ¯IS2andσ¯AOA2. Based on the implicit function theorem, the Jacobian matrix is defined by [18]

ασ¯IS2ασ¯AOA2C^n2σ¯IS2C^n2σ¯AOA2=F1αF1C^n2F2αF2C^n21×F1σ¯IS2F1σ¯AOA2F2σ¯IS2F2σ¯AOA2.(8)

Based on Eq. (7), it is readily shown that F1α=ddα8π2Lα2k3α2α1AαΓ1α2sinπα4,F2α=ddα24απ2dα4Lβα4AαΓ2α2,F1C^n2=σ¯IS2C^n22,F2C^n2=σ¯AOA2C^n22, and the inverse matrix takes the form as [18]

F1αF1C^n2F2αF2C^n21=F1αF2C^n2F1C^n2F2α1×F2C^n2F1C^n2F2αF1α.(9)

On account of

F1σ¯IS2F1σ¯AOA2F2σ¯IS2F2σ¯AOA2=1C^n2001C^n2,(10)

the Jacobian matrix deduces to

ασ¯IS2ασ¯AOA2C^n2σ¯IS2C^n2σ¯AOA2=1C^n2F1αF2C^n2F1C^n2F2α1×F2C^n2F1C^n2F2αF1α.(11)

Based on the law of error’s propagation, it follows that [21]

δα=ασ¯IS2δσ¯IS2+ασ¯AOA2δσ¯AOA2,δC^n2=C^n2σ¯IS2δσ¯IS2+C^n2σ¯AOA2δσ¯AOA2.(12)

In practical situations, the relative error ρ is widely used to quantitate the uncertainty of measurements, where δσ¯IS2ρσ¯IS2andδσ¯AOA2ρσ¯AOA2.

3 Results and discussions

This section mainly examines our proposed method by simulated data and actual gathered dataset, respectively.

3.1 Validation of Eq. (12)

To valid Eq. (12), the simulations follow the procedures below.

  1. set the values of parameters in Eq. (1), and denote 〈α〉 and C^n2 as the actual values of α and C^n2.

  2. calculate σIS2 and σAOA2 based on Eq. (1).

  3. calculate σ¯IS2=σIS21+ρISandσ¯AOA2=σAOA21+ρAOA.

  4. calculate α and C^n2 based on Eq. (4) and Eq. (5).

  5. calculate δ (α) and δ ( C^n2) based on Eq. (12).

  6. judge whether |α – 〈α〉| ≤ δ (α) and C^n2C^n2δC^n2 are true or not.

The simulations are conducted with the default settings: λ = 1.55 × 10–6m, k ≈ 4.0537 × 106rad/m, L = 1000m, d = 0.1m, ρ = 5%. Other values can be chosen for the same simulations.

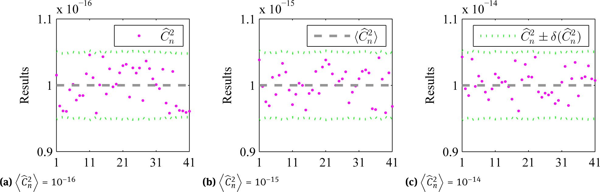
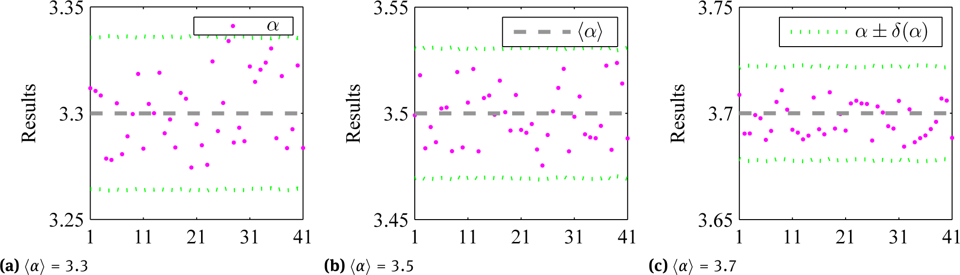
The simulations are repeated several times. In each simulation, ρIS and ρAOA, satisfying max {|ρIS|, |ρAOA|} ≤ ρ, are stochastic. Figure 2 and Figure 3 depict the simulation results under different situations. It can be found that both |α – 〈α〉| ≤ δ (α) and C^n2C^n2δC^n2 are true, which means that the measurement errors can bound the deviation between the actual and the measured values.

Figure 2 Simulation results with different 〈α〉 and constant 
C^n2$\begin{array}{} 
\left\langle {\widehat C_n^2} \right\rangle 
\end{array}$ = 10–15
Figure 2

Simulation results with different 〈α〉 and constant C^n2 = 10–15

Figure 3 Simulation results with different 
C^n2$\begin{array}{} 
\left\langle {\widehat C_n^2} \right\rangle 
\end{array}$ and constant 〈α〉 = 3.7
Figure 3

Simulation results with different C^n2 and constant 〈α〉 = 3.7

3.2 Examination by gathered dataset

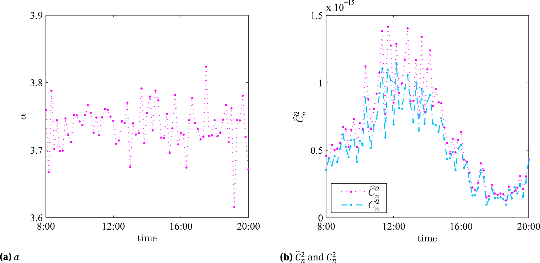
The actual gathered dataset is provided by Changchun University of Science and Technology (CUST) [22]. The measurement system includes a transmitter and a receiver. The OWC link (L = 893m) between the transmitter and the receiver is in the line-of-sight. The transmitter, including a laser (λ = 808nm), a collimator and a Cassegrain antenna, is located in 13th floor, science and technology building, south campus, CUST. The receiver, including a Cassegrain antenna (d = 200mm > k1L), a camera, a computer and other necessary components, is located in 9th floor, teaching building, east campus, CUST. During the measurements, there are nearly 15000 images captured by the camera in every 10 minutes. σ¯IS2andσ¯AOA2 are synchronously acquired by processing these images. Figure 4 depicts the daily trend of σ¯IS2andσ¯AOA2 from 8:00 to 20:00 on August 20, 2014.

Figure 4 Daily trend of 
σ¯IS2andσ¯AOA2$\begin{array}{} 
\overline \sigma _{{\rm{IS}}}^2 \,\,\text{and}\,\, \overline \sigma _{{\rm{AOA}}}^2
\end{array}$
Figure 4

Daily trend of σ¯IS2andσ¯AOA2

Figure 5 depicts the measured values of α, C^n2andCn2. On one hand, it is shown that α fluctuates around their mean value, which is slightly larger than 113. The deviation may be caused by the measurement errors or the altitude of the OWC link. On the other hand, both C^n2andCn2 present similar pattern. Unlike the almost stable curve of α versus time, they increase and decrease during the forenoon and after the midafternoon, respectively. Their maximum appears on the meridiem, and the turbulence after nightfall is much weaker than the turbulence in daytime, which coincides with other optics-based measurements [10, 11, 12, 13]. Besides, at 20:00, C^n2andCn2 seems to be outlier. The reason is the misalignment of the antennas. During the measurements, the direction of the laser beam will keep drifting with time, especially in the evening. So the light is no longer central aligned, and σ¯IS2 will be larger than regular value. Same phenomenon has been observed [12].

Figure 5 Measured values of α, 
C^n2andCn2$\begin{array}{} 
\widehat C_n^2 \,\,\text{and}\,\, C_n^2
\end{array}$
Figure 5

Measured values of α, C^n2andCn2

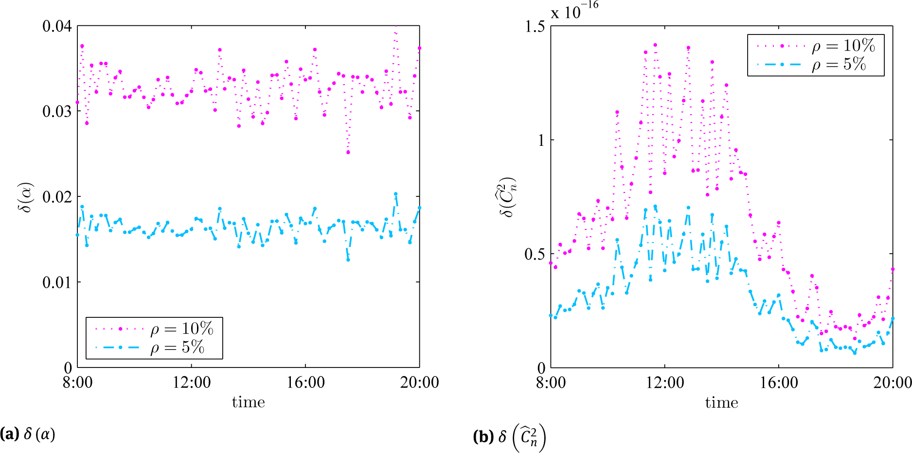
Figure 6 depicts δ (α) and δ ( C^n2) under different ρ ≥ max {|ρIS|, |ρAOA|}, respectively. It is obvious that both δ (α) and δ ( C^n2) are tolerable, and the confidence levels of α and C^n2 are controllable. Undoubtedly, a smaller ρ ensures smaller measurement errors. Thus, with the decrement in the measured errors of σ¯IS2andσ¯AOA2, the precisions of α and C^n2 will enhance. It can also be found that a smaller α leads to a larger δ (α), whereas a smaller C^n2 results in a smaller δ ( C^n2).

Figure 6 δ (α) and δ (
C^n2$\begin{array}{} 
\widehat C_n^2 
\end{array}$) under different ρ
Figure 6

δ (α) and δ ( C^n2) under different ρ

4 Conclusion

This paper investigates the joint measurements of α and C^n2 from σIS2 and σAOA2. Traditionally, α and C^n2 can be measured by either IS or AOA. However, there are always obvious differences among the measured values based on different physical quantities. To avoid the inequality, this paper regards α and C^n2 as independent variables of σIS2 and σAOA2, and their measurements are equivalent to solve the corresponding simultaneous equations. The necessary and sufficient condition for the existence and uniqueness of the solutions is established by the extreme value theorem for a real-valued continuous function and the monotonicity. The measurement errors can be deduced from the Jacobian matrix of implicit function. The proposed method is examined by simulated data and actual gathered dataset. The simulation results indicate that the measurement errors can bound the deviation between the actual and the measured values. Based on our proposed method, the measured results accord with the daily trend of atmospheric turbulence.

We ignore the measurement errors induced by other factors such as L, λ, and d. The reasons can be explained. The high-resolution total station theodolite for topography has been marketed long time ago. The commercial laser with high stability ensures the wavelength to hardly drift. The development of advanced 3D printing makes it possible to manufacture satisfied antenna.

Acknowledgement

We thank Changchun University of Science and Technology for providing their gathered dataset.

  1. Disclosures: The authors declare that there is no conflict of interest related to the publication of this article.

References

[1] Andrews L.C., RL Phillips R.L., Laser beam propagation through random media, 2nd ed., SPIE Press, 2005.10.1117/3.626196Search in Google Scholar

[2] Kaushal H., Kaddoum G., Optical communication in space: challenges and mitigation techniques, IEEE Communications Surveys and Tutorials, 2017, 19, 57-96.10.1109/COMST.2016.2603518Search in Google Scholar

[3] Gao C., Li X., An analytic expression for the beam wander of a Gaussian wave propagating through scale-dependent anisotropic turbulence, Iranian Journal of Science and Technology Transactions A: Science, 2018, 42, 975-982.10.1007/s40995-016-0062-3Search in Google Scholar

[4] Gao C., Li X., Effects of inner and outer scale on beam spreading for a Gaussian wave propagating through anisotropic non-Kolmogorov turbulence, Optica Applicata, 2017, 47, 63-74.Search in Google Scholar

[5] Xue B., Cui L., Xue W., Bai X., Zhou F., Generalized modified atmospheric spectral model for optical wave propagating through non-Kolmogorov turbulence, Journal of the Optical Society of America A, 2011, 28, 912-916.10.1364/JOSAA.28.000912Search in Google Scholar PubMed

[6] Baykal Y., Intensity fluctuations of asymmetrical optical beams in anisotropic turbulence, Applied Optics, 2016, 55, 7462-7467.10.1364/AO.55.007462Search in Google Scholar PubMed

[7] Xu G., Song Z., Theoretical analysis of the angle-of-arrival fluctuations for optical wavext propagation through solar corona turbulence, Optics Express, 2017, 25, 28022-28034.10.1364/OE.25.028022Search in Google Scholar

[8] Gao C., Li X., Effects of inner and outer scale on the modulation transfer function for a Gaussian wave propagating through anisotropic non-Kolmogorov turbulence, Optical Review, 2017, 24, 253-259.10.1007/s10043-017-0305-3Search in Google Scholar

[9] Qing C., Wu X., Li X., Zhu W., Qiao C., Rao R., Mei H., Use of weather research and forecasting model outputs to obtain near-surface refractive index structure constant over the ocean, Optics Express, 2016, 24, 13303-13315.10.1364/OE.24.013303Search in Google Scholar PubMed

[10] Tunick A., Statistical analysis of optical turbulence intensity over a 2.33 km propagation path, Optics Express, 2007, 15, 3619-3628.10.1364/OE.15.003619Search in Google Scholar PubMed

[11] Cole W.P., Marciniak M.A., Path-averaged Cn2 estimation using a laser-and-corner-cube system, Applied Optics, 2009, 48, 4256-4262.10.1364/AO.48.004256Search in Google Scholar PubMed

[12] Jiang Y., Ma J., Tan L., Yu S., Du W., Measurement of optical intensity fluctuation over an 11.8 km turbulent path, Optics Express, 2008, 16, 6963-6973.10.1364/OE.16.006963Search in Google Scholar

[13] Du W., Tan L., Ma J., Yu S., Jiang Y., Measurements of angle-of-arrival fluctuations over an 11.8 km urban path, Laser and Particle Beams, 2010, 28, 91-99.10.1017/S0263034609990644Search in Google Scholar

[14] Yuan R., Zeng Z., Xiao L., Ma C., Weng N., Wu X., Comparison of some methods of measuring refractive index structure parameter, Acta Optica Sinica, 2000, 20, 755-761, (in Chinese).Search in Google Scholar

[15] Consortini A., Sun Y., Innocenti C., Li Z., Measuring inner scale of atmospheric turbulence by angle of arrival and scintillation, Optics Communications, 2003, 216, 19-23.10.1016/S0030-4018(02)02294-0Search in Google Scholar

[16] Cui L., Xue B., Cao L., Zheng S., Xue W., Bai X., Cao X., Zhou F., Irradiance scintillation for Gaussian-beam wave propagating through weak non-Kolmogorov turbulence, Optics Express, 2011, 19, 16872-16884.10.1364/OE.19.016872Search in Google Scholar PubMed

[17] Du W., Yu S., Tan L., Ma J., Jiang Y., Xie W., Angle-of-arrival fluctuations for wave propagation through non-Kolmogorov turbulence, Optics Communications, 2009, 282, 705-708.10.1016/j.optcom.2008.11.006Search in Google Scholar

[18] Bronshtein I.N., Semendyayev K.A., Musiol G., Muhlig H., Handbook of mathematics, 6th ed., Springer Publishing, 2015.10.1007/978-3-662-46221-8Search in Google Scholar

[19] Charnotskii M., Intensity fluctuations of flat-topped beam in non-Kolmogorov weak turbulence: comment, Journal of the Optical Society of America A, 2012, 29, 1838-1840.10.1364/JOSAA.29.001838Search in Google Scholar PubMed

[20] Toselli I., Korotkova O., General scale-dependent anisotropic turbulence and its impact on free space optical communication system performance, Journal of the Optical Society of America A, 2015, 32, 1017-1025.10.1364/JOSAA.32.001017Search in Google Scholar PubMed

[21] Ku H.H., Notes on the use of propagation of error formulas, Journal of Research of the National Bureau of Standards, 1966, 1, 331-341.10.6028/NBS.RPT.9011Search in Google Scholar

[22] Song L., Ni X., Liu Y., Qi J., Experimental study on propagation of laser beams through a real atmospheric turbulence, In: International Conference on Optoelectronics and Microelectronics (16-18 July 2015, Changchun, China), Changchun, 2015, 165-169.10.1109/ICoOM.2015.7398796Search in Google Scholar

Received: 2018-02-01
Accepted: 2018-05-16
Published Online: 2018-07-09

© 2018 C. Gao et al., published by De Gruyter

This work is licensed under the Creative Commons Attribution-NonCommercial-NoDerivatives 4.0 License.

Articles in the same Issue

  1. Regular Articles
  2. A modified Fermi-Walker derivative for inextensible flows of binormal spherical image
  3. Algebraic aspects of evolution partial differential equation arising in the study of constant elasticity of variance model from financial mathematics
  4. Three-dimensional atom localization via probe absorption in a cascade four-level atomic system
  5. Determination of the energy transitions and half-lives of Rubidium nuclei
  6. Three phase heat and mass transfer model for unsaturated soil freezing process: Part 1 - model development
  7. Three phase heat and mass transfer model for unsaturated soil freezing process: Part 2 - model validation
  8. Mathematical model for thermal and entropy analysis of thermal solar collectors by using Maxwell nanofluids with slip conditions, thermal radiation and variable thermal conductivity
  9. Constructing analytic solutions on the Tricomi equation
  10. Feynman diagrams and rooted maps
  11. New type of chaos synchronization in discrete-time systems: the F-M synchronization
  12. Unsteady flow of fractional Oldroyd-B fluids through rotating annulus
  13. A note on the uniqueness of 2D elastostatic problems formulated by different types of potential functions
  14. On the conservation laws and solutions of a (2+1) dimensional KdV-mKdV equation of mathematical physics
  15. Computational methods and traveling wave solutions for the fourth-order nonlinear Ablowitz-Kaup-Newell-Segur water wave dynamical equation via two methods and its applications
  16. Siewert solutions of transcendental equations, generalized Lambert functions and physical applications
  17. Numerical solution of mixed convection flow of an MHD Jeffery fluid over an exponentially stretching sheet in the presence of thermal radiation and chemical reaction
  18. A new three-dimensional chaotic flow with one stable equilibrium: dynamical properties and complexity analysis
  19. Dynamics of a dry-rebounding drop: observations, simulations, and modeling
  20. Modeling the initial mechanical response and yielding behavior of gelled crude oil
  21. Lie symmetry analysis and conservation laws for the time fractional simplified modified Kawahara equation
  22. Solitary wave solutions of two KdV-type equations
  23. Applying industrial tomography to control and optimization flow systems
  24. Reconstructing time series into a complex network to assess the evolution dynamics of the correlations among energy prices
  25. An optimal solution for software testing case generation based on particle swarm optimization
  26. Optimal system, nonlinear self-adjointness and conservation laws for generalized shallow water wave equation
  27. Alternative methods for solving nonlinear two-point boundary value problems
  28. Global model simulation of OH production in pulsed-DC atmospheric pressure helium-air plasma jets
  29. Experimental investigation on optical vortex tweezers for microbubble trapping
  30. Joint measurements of optical parameters by irradiance scintillation and angle-of-arrival fluctuations
  31. M-polynomials and topological indices of hex-derived networks
  32. Generalized convergence analysis of the fractional order systems
  33. Porous flow characteristics of solution-gas drive in tight oil reservoirs
  34. Complementary wave solutions for the long-short wave resonance model via the extended trial equation method and the generalized Kudryashov method
  35. A Note on Koide’s Doubly Special Parametrization of Quark Masses
  36. On right-angled spherical Artin monoid of type Dn
  37. Gas flow regimes judgement in nanoporous media by digital core analysis
  38. 4 + n-dimensional water and waves on four and eleven-dimensional manifolds
  39. Stabilization and Analytic Approximate Solutions of an Optimal Control Problem
  40. On the equations of electrodynamics in a flat or curved spacetime and a possible interaction energy
  41. New prediction method for transient productivity of fractured five-spot patterns in low permeability reservoirs at high water cut stages
  42. The collinear equilibrium points in the restricted three body problem with triaxial primaries
  43. Detection of the damage threshold of fused silica components and morphologies of repaired damage sites based on the beam deflection method
  44. On the bivariate spectral quasi-linearization method for solving the two-dimensional Bratu problem
  45. Ion acoustic quasi-soliton in an electron-positron-ion plasma with superthermal electrons and positrons
  46. Analysis of projectile motion in view of conformable derivative
  47. Computing multiple ABC index and multiple GA index of some grid graphs
  48. Terahertz pulse imaging: A novel denoising method by combing the ant colony algorithm with the compressive sensing
  49. Characteristics of microscopic pore-throat structure of tight oil reservoirs in Sichuan Basin measured by rate-controlled mercury injection
  50. An activity window model for social interaction structure on Twitter
  51. Transient thermal regime trough the constitutive matrix applied to asynchronous electrical machine using the cell method
  52. On the zagreb polynomials of benzenoid systems
  53. Integrability analysis of the partial differential equation describing the classical bond-pricing model of mathematical finance
  54. The Greek parameters of a continuous arithmetic Asian option pricing model via Laplace Adomian decomposition method
  55. Quantifying the global solar radiation received in Pietermaritzburg, KwaZulu-Natal to motivate the consumption of solar technologies
  56. Sturm-Liouville difference equations having Bessel and hydrogen atom potential type
  57. Study on the response characteristics of oil wells after deep profile control in low permeability fractured reservoirs
  58. Depiction and analysis of a modified theta shaped double negative metamaterial for satellite application
  59. An attempt to geometrize electromagnetism
  60. Structure of traveling wave solutions for some nonlinear models via modified mathematical method
  61. Thermo-convective instability in a rotating ferromagnetic fluid layer with temperature modulation
  62. Construction of new solitary wave solutions of generalized Zakharov-Kuznetsov-Benjamin-Bona-Mahony and simplified modified form of Camassa-Holm equations
  63. Effect of magnetic field and heat source on Upper-convected-maxwell fluid in a porous channel
  64. Physical cues of biomaterials guide stem cell fate of differentiation: The effect of elasticity of cell culture biomaterials
  65. Shooting method analysis in wire coating withdrawing from a bath of Oldroyd 8-constant fluid with temperature dependent viscosity
  66. Rank correlation between centrality metrics in complex networks: an empirical study
  67. Special Issue: The 18th International Symposium on Electromagnetic Fields in Mechatronics, Electrical and Electronic Engineering
  68. Modeling of electric and heat processes in spot resistance welding of cross-wire steel bars
  69. Dynamic characteristics of triaxial active control magnetic bearing with asymmetric structure
  70. Design optimization of an axial-field eddy-current magnetic coupling based on magneto-thermal analytical model
  71. Thermal constitutive matrix applied to asynchronous electrical machine using the cell method
  72. Temperature distribution around thin electroconductive layers created on composite textile substrates
  73. Model of the multipolar engine with decreased cogging torque by asymmetrical distribution of the magnets
  74. Analysis of spatial thermal field in a magnetic bearing
  75. Use of the mathematical model of the ignition system to analyze the spark discharge, including the destruction of spark plug electrodes
  76. Assessment of short/long term electric field strength measurements for a pilot district
  77. Simulation study and experimental results for detection and classification of the transient capacitor inrush current using discrete wavelet transform and artificial intelligence
  78. Magnetic transmission gear finite element simulation with iron pole hysteresis
  79. Pulsed excitation terahertz tomography – multiparametric approach
  80. Low and high frequency model of three phase transformer by frequency response analysis measurement
  81. Multivariable polynomial fitting of controlled single-phase nonlinear load of input current total harmonic distortion
  82. Optimal design of a for middle-low-speed maglev trains
  83. Eddy current modeling in linear and nonlinear multifilamentary composite materials
  84. The visual attention saliency map for movie retrospection
  85. AC/DC current ratio in a current superimposition variable flux reluctance machine
  86. Influence of material uncertainties on the RLC parameters of wound inductors modeled using the finite element method
  87. Cogging force reduction in linear tubular flux switching permanent-magnet machines
  88. Modeling hysteresis curves of La(FeCoSi)13 compound near the transition point with the GRUCAD model
  89. Electro-magneto-hydrodynamic lubrication
  90. 3-D Electromagnetic field analysis of wireless power transfer system using K computer
  91. Simplified simulation technique of rotating, induction heated, calender rolls for study of temperature field control
  92. Design, fabrication and testing of electroadhesive interdigital electrodes
  93. A method to reduce partial discharges in motor windings fed by PWM inverter
  94. Reluctance network lumped mechanical & thermal models for the modeling and predesign of concentrated flux synchronous machine
  95. Special Issue Applications of Nonlinear Dynamics
  96. Study on dynamic characteristics of silo-stock-foundation interaction system under seismic load
  97. Microblog topic evolution computing based on LDA algorithm
  98. Modeling the creep damage effect on the creep crack growth behavior of rotor steel
  99. Neighborhood condition for all fractional (g, f, n′, m)-critical deleted graphs
  100. Chinese open information extraction based on DBMCSS in the field of national information resources
  101. 10.1515/phys-2018-0079
  102. CPW-fed circularly-polarized antenna array with high front-to-back ratio and low-profile
  103. Intelligent Monitoring Network Construction based on the utilization of the Internet of things (IoT) in the Metallurgical Coking Process
  104. Temperature detection technology of power equipment based on Fiber Bragg Grating
  105. Research on a rotational speed control strategy of the mandrel in a rotary steering system
  106. Dynamic load balancing algorithm for large data flow in distributed complex networks
  107. Super-structured photonic crystal fiber Bragg grating biosensor image model based on sparse matrix
  108. Fractal-based techniques for physiological time series: An updated approach
  109. Analysis of the Imaging Characteristics of the KB and KBA X-ray Microscopes at Non-coaxial Grazing Incidence
  110. Application of modified culture Kalman filter in bearing fault diagnosis
  111. Exact solutions and conservation laws for the modified equal width-Burgers equation
  112. On topological properties of block shift and hierarchical hypercube networks
  113. Elastic properties and plane acoustic velocity of cubic Sr2CaMoO6 and Sr2CaWO6 from first-principles calculations
  114. A note on the transmission feasibility problem in networks
  115. Ontology learning algorithm using weak functions
  116. Diagnosis of the power frequency vacuum arc shape based on 2D-PIV
  117. Parametric simulation analysis and reliability of escalator truss
  118. A new algorithm for real economy benefit evaluation based on big data analysis
  119. Synergy analysis of agricultural economic cycle fluctuation based on ant colony algorithm
  120. Multi-level encryption algorithm for user-related information across social networks
  121. Multi-target tracking algorithm in intelligent transportation based on wireless sensor network
  122. Fast recognition method of moving video images based on BP neural networks
  123. Compressed sensing image restoration algorithm based on improved SURF operator
  124. Design of load optimal control algorithm for smart grid based on demand response in different scenarios
  125. Face recognition method based on GA-BP neural network algorithm
  126. Optimal path selection algorithm for mobile beacons in sensor network under non-dense distribution
  127. Localization and recognition algorithm for fuzzy anomaly data in big data networks
  128. Urban road traffic flow control under incidental congestion as a function of accident duration
  129. Optimization design of reconfiguration algorithm for high voltage power distribution network based on ant colony algorithm
  130. Feasibility simulation of aseismic structure design for long-span bridges
  131. Construction of renewable energy supply chain model based on LCA
  132. The tribological properties study of carbon fabric/ epoxy composites reinforced by nano-TiO2 and MWNTs
  133. A text-Image feature mapping algorithm based on transfer learning
  134. Fast recognition algorithm for static traffic sign information
  135. Topical Issue: Clean Energy: Materials, Processes and Energy Generation
  136. An investigation of the melting process of RT-35 filled circular thermal energy storage system
  137. Numerical analysis on the dynamic response of a plate-and-frame membrane humidifier for PEMFC vehicles under various operating conditions
  138. Energy converting layers for thin-film flexible photovoltaic structures
  139. Effect of convection heat transfer on thermal energy storage unit
Downloaded on 7.12.2025 from https://www.degruyterbrill.com/document/doi/10.1515/phys-2018-0053/html
Scroll to top button