Home Mathematics Delta waves of the isentropic relativistic Euler system coupled with an advection equation for Chaplygin gas
Article Open Access

Delta waves of the isentropic relativistic Euler system coupled with an advection equation for Chaplygin gas

  • Hongjun Cheng EMAIL logo
Published/Copyright: December 17, 2022

Abstract

Most previous studies concerning delta waves have been focused on the overcompressible ones. To study the non-overcompressible delta waves, this article is concerned with the isentropic relativistic Euler system coupled with an advection equation for Chaplygin gas. The Riemann problem is completely solved. The solutions exhibit four kinds of wave patterns: the first contains three contact discontinuities; the second includes a single overcompressible delta wave, and the third and fourth involve a contact discontinuity and a non-overcompressible delta wave.

MSC 2010: 35L65; 35L67; 35B30

1 Introduction

A delta wave is a generalization of an ordinary shock wave. Speaking informally, it is a kind of discontinuity, on which at least one of the state variables may develop an extreme concentration in the form of a weighted Dirac delta function with the discontinuity as its support. From the physical point of view, a delta wave represents the concentration of the mass. If all characteristics are not outcoming from the discontinuity on both sides, the delta wave is said to be overcompressible; otherwise, it is non-overcompressible.

Since Korchinski [1] constructed his Riemann solutions by using generalized delta functions, people started to explore the existence and uniqueness of delta waves. Over the past three decades, such research studies have become very active. There are lots of authors who have obtained a great many excellent achievements; see [2,3,4, 5,6,7, 8,9,10, 11,12,13, 14,15,16] and references cited therein. Regrettably, all the delta waves in these investigations are overcompressible. Excitingly, Cheng [17] has recently found a kind of non-overcompressible delta wave when he solved the Riemann problem of the following isentropic Cargo-LeRoux model [18,19]:

(1.1) ρ t + ( ρ v ) x = 0 , ( ρ v ) t + ( ρ v 2 + p + q ) x = 0 , ( ρ q ) t + ( ρ v q ) x = 0

for the Chaplygin gas, which is characterized by the equation of state [20,21,22]

(1.2) p = 1 ρ .

Besides, Cheng [23] has also derived a kind of contact delta wave in the Riemann solutions to the pressureless isentropic Cargo-LeRoux model ((1.1) with p 0 ).

The aim of this article is to extend the study in [17] to the relativistic situation. To this end, we couple the isentropic Euler system of conservation laws of baryon numbers and momentum for a perfect fluid in special relativity [24,25,26] with an advection equation as follows:

(1.3) n 1 v 2 / c 2 t + n v 1 v 2 / c 2 x = 0 , ( ρ + p / c 2 ) v 1 v 2 / c 2 t + ( ρ + p / c 2 ) v 2 1 v 2 / c 2 + p + q x = 0 , n q 1 v 2 / c 2 t + n v q 1 v 2 / c 2 x = 0 ,

where ρ and v represent the proper energy density and particle speed, respectively; p = p ( ρ ) is the pressure; n is the proper number density of baryons; c is the speed of light; and q (satisfying q t + v q x = 0 ) is the advected quantity. The advection equation is the basis for mathematical models of continuum mechanics. The concept of advection is widely used in the fields of physics and engineering to describe the transport of a substance or quantity by bulk flux. The model (1.3) can describe the relativistic fluids affected by a quantity that is advected along the particle speed, such as the hydrostatic pressure.

The proper number density of baryons is determined by the first law of thermodynamics as follows:

θ d S = 1 n d ρ ρ + p / c 2 n 2 d n ,

where θ is the temperature and S is the entropy per baryon. For isentropic fluids ( S = const . ) , it is reduced to

d n n = d ρ ρ + p / c 2 ,

that is,

(1.4) n = n ( ρ ) = n 0 exp α ρ d s s + p ( s ) / c 2 , ( where n 0 and α are constants ) .

Formally, the Newtonian limit ( c ) of (1.3) + (1.4) is just (1.1).

We consider the Riemann problem for (1.3) + (1.4) + (1.2) with initial data

(1.5) ( ρ , v , q ) ( x , t = 0 ) = ( ρ , v , q ) , x < 0 , ( ρ + , v + , q + ) , x > 0 .

The system (1.3) + (1.4) + (1.2) is strictly hyperbolic and has three linearly degenerate characteristics; the classical waves include three kinds of contact discontinuity J , J 0 , and J + . It is concluded that when the initial data (1.5) satisfy any one of the conditions (2.19)–(2.21), the wave pattern J + J 0 + J + serves as a solution to the Riemann problem. In order to construct the Riemann solutions for the rest of the initial data, first, we introduce the overcompressible delta wave and clarify its existence conditions, with which it is concluded that when any one of the conditions (4.14)–(4.17) is true, the Riemann problem can be solved by a single overcompressible delta wave besides two constant states; second, we introduce a kind of non-overcompressible delta wave and derive the existence conditions, by which we construct the Riemann solutions by the structure containing a contact discontinuity J on the left and a non-overcompressible delta wave on the right for any one of the conditions (4.22)–(4.24) and by the structure including a non-overcompressible delta wave on the left and a contact discontinuity J + on the right for any one of the conditions (4.31)–(4.33). Thus the Riemann problem is solved for all initial data by four kinds of structures. The jump of q is the cause of non-overcompressible delta waves.

One can observe that the structures for q = q + are coincident with those of the Riemann solutions to the isentropic relativistic Euler system for Chaplygin gas [11]; besides, as c + , these structures just tend to those of the Riemann solutions to the isentropic Cargo-LeRoux system for Chaplygin gas [17].

The arrangement of the article is as follows. In Section 2, we solve the Riemann problem by the contact discontinuities for some initial data. In Section 3, we introduce delta waves and clarify the generalized Rankine-Hugoniot relation. In Section 4, we solve the Riemann problem by using overcompressible and non-overcompressible delta waves for the rest of the initial data.

2 Riemann solutions only containing contact discontinuities

In this section, we present some preliminary knowledge and construct the Riemann solutions through contact discontinuities. The physically relevant region for solutions is

(2.1) V = ( ρ , v , q ) : ρ 1 c , v < c , q < c ,

which implies that the sonic speed p ( ρ ) should be equal to or less than the light speed c . Putting equation (1.2) into equation (1.4), by suitably choosing n 0 and α , one can easily reach

(2.2) n = n ( ρ ) = ρ 1 + 1 ρ c 1 1 ρ c .

The characteristics of the system (1.3) + (1.4) + (1.2) and the associated right eigenvectors are

λ = v p ( ρ ) 1 v p ( ρ ) / c 2 = v 1 ρ 1 v ρ c 2 , r = 1 1 v 2 / c 2 , p ( ρ ) ρ + p ( ρ ) / c 2 , 0 T ,

λ 0 = v , r 0 = ( ρ 2 , 0 , 1 ) T ,

λ + = v + p ( ρ ) 1 + v p ( ρ ) / c 2 = v + 1 ρ 1 + v ρ c 2 , r + = 1 1 v 2 / c 2 , p ( ρ ) ρ + p ( ρ ) / c 2 , 0 T .

A direct calculation gives

(2.3) λ i r i 0 ( i = , 0 , + ) ,

where = ( ρ , v , q ) is the gradient operation. Therefore, the system is strictly hyperbolic ( c λ < λ 0 < λ + c ) and fully linearly degenerate. The linear degeneracy excludes the possibility of shocks and rarefaction waves in solutions.

Since the considered system and initial data remain invariant under a uniform expansion of coordinates t α t , x α x , α > 0 , the solution is only connected with ξ = x / t . Thus, we should seek the self-similar solution ( ρ , v , q ) ( x , t ) = ( ρ , v , q ) ( ξ ) . At this time, the system becomes

(2.4) ξ n 1 v 2 / c 2 ξ + n v 1 v 2 / c 2 ξ = 0 , ξ ( ρ + p / c 2 ) v 1 v 2 / c 2 ξ + ( ρ + p / c 2 ) v 2 1 v 2 / c 2 + p + q ξ = 0 , ξ n q 1 v 2 / c 2 ξ + n v q 1 v 2 / c 2 ξ = 0

and the initial data change to the boundary condition

(2.5) ( ρ , v , q ) ( ± ) = ( ρ ± , v ± , q ± ) .

This is a two-point boundary value problem of first-order ordinary differential equations with the boundary value at the infinity.

Any smooth solution satisfies

(2.6) n v ξ n ( ρ + p / c 2 ) 1 v 2 / c 2 c 2 n ξ n v c 2 ( 1 v 2 / c 2 ) 3 / 2 0 ( p + v 2 ) ξ ( 1 + p / c 2 ) v 1 v 2 / c 2 2 ( ρ + p / c 2 ) v ξ ( ρ + p / c 2 ) ( 1 + v 2 / c 2 ) ( 1 v 2 / c 2 ) 2 , 1 0 0 v ξ d ρ d v d q = 0 .

It provides only general solutions (constant states)

(2.7) ( ρ , v , q ) = constant , ρ 1 c .

For a bounded discontinuity at ξ = τ , the Rankine-Hugoniot relation reads

(2.8) τ n 1 v 2 / c 2 + n v 1 v 2 / c 2 = 0 , τ ( ρ + p / c 2 ) v 1 v 2 / c 2 + ( ρ + p / c 2 ) v 2 1 v 2 / c 2 + p + q = 0 , τ n q 1 v 2 / c 2 + n v q 1 v 2 / c 2 = 0 ,

where [ G ] = G l G r is the jump of G across discontinuity. From equation (2.8), we can solve three kinds of contact discontinuities

(2.9) J : τ = v l 1 ρ l 1 v l ρ l c 2 = v r 1 ρ r 1 v r ρ r c 2 , q l = q r ,

(2.10) J 0 : τ = v l = v r , q l 1 ρ l = q r 1 ρ r ,

and

(2.11) J + : τ = v l + 1 ρ l 1 + v l ρ l c 2 = v r + 1 ρ r 1 + v r ρ r c 2 , q l = q r .

Now we solve the Riemann problem by the structure consisting of three kinds of contact discontinuities. Let

(2.12) λ = v 1 ρ 1 v ρ c 2 < λ + + = v + + 1 ρ + 1 + v + ρ + c 2 .

Consider the following system:

(2.13) λ = v 1 ρ 1 v ρ c 2 = v 1 1 ρ 1 1 v 1 ρ 1 c 2 , q = q 1 , v 1 = v 2 , q 1 1 ρ 1 = q 2 1 ρ 2 , v 2 + 1 ρ 2 1 + v 2 ρ 2 c 2 = v + + 1 ρ + 1 + v + ρ + c 2 = λ + + , q 2 = q + 0 < 1 ρ 1 c , 0 < 1 ρ 2 c ,

which is equivalent to

(2.14) ( λ + + λ ) 1 ρ 1 1 ρ 2 + ( λ λ + + c 2 ) 1 ρ 1 + 1 ρ 2 + c 2 ( λ + + λ ) = 0 , q 1 ρ 1 = q + 1 ρ 2 , 0 < 1 ρ 1 c , 0 < 1 ρ 2 c , v 1 = v 2 = λ + 1 ρ 1 1 + λ ρ 1 c 2 = λ + + 1 ρ 2 1 λ + + ρ 2 c 2 , q 1 = q , q 2 = q + .

From the first two equations in (2.14), it can be solved that

(2.15) 1 ρ 1 = 2 ( c 2 λ λ + + ) ( λ + + λ ) ( q + q ) ± Δ 2 ( λ + + λ ) , 1 ρ 2 = 2 ( c 2 λ λ + + ) + ( λ + + λ ) ( q + q ) ± Δ 2 ( λ + + λ )

with

Δ = 4 ( c 2 λ 2 ) ( c 2 λ + + 2 ) + ( λ + + λ ) 2 ( q + q ) 2 > 0 .

To guarantee 1 ρ 1 c and 1 ρ 2 c , we should choose

(2.16) 1 ρ 1 = 2 ( c 2 λ λ + + ) ( λ + + λ ) ( q + q ) Δ 2 ( λ + + λ ) , 1 ρ 2 = 2 ( c 2 λ λ + + ) + ( λ + + λ ) ( q + q ) Δ 2 ( λ + + λ ) ,

that is,

(2.17) 1 ρ 1 = 2 ( c 2 λ λ + + ) Δ λ + + λ ( q + q ) 2 , 1 ρ 2 = 2 ( c 2 λ λ + + ) Δ λ + + λ ( q q + ) 2 .

Observing that

2 ( c 2 λ λ + + ) > Δ , λ + + > λ ,

one can find that 1 ρ 1 > 0 and 1 ρ 2 > 0 are satisfied if and only if either

q = q +

or

q > q + , 2 ( c 2 λ λ + + ) Δ λ + + λ > q q + λ + + λ 1 λ λ + + / c 2 > q q +

or

q < q + , 2 ( c 2 λ λ + + ) Δ λ + + λ > q + q λ + + λ 1 λ λ + + / c 2 > q + q .

At this time, returning to (2.14), we have

(2.18) v 1 = v 2 = 2 λ + 2 ( c 2 λ λ + + ) Δ λ + + λ ( q + q ) 2 + λ c 2 2 ( c 2 λ λ + + ) Δ λ + + λ ( q + q ) = 2 λ + + 2 ( c 2 λ λ + + ) Δ λ + + λ ( q q + ) 2 λ + + c 2 2 ( c 2 λ λ + + ) Δ λ + + λ ( q q + ) , q 1 = q , q 2 = q + .

Thus, we can conclude that when the initial data (1.5) satisfy

(2.19) λ < λ + + , q = q +

or

(2.20) λ < λ + + , q > q + , λ + + λ 1 λ λ + + / c 2 > q q +

or

(2.21) λ < λ + + , q < q + , λ + + λ 1 λ λ + + / c 2 > q + q ,

the Riemann problem (1.3) + (1.4) + (1.2) and (1.5) is solvable with three contact discontinuities:

(2.22) ( ρ , v , q ) ( ξ ) = ( ρ , v , q ) , < ξ < τ , ( ρ 1 , v 1 , q 1 ) , τ < ξ < τ 0 , ( ρ 2 , v 2 , q 2 ) , τ 0 < ξ < τ + , ( ρ + , v + , q + ) , τ + < ξ < + ,

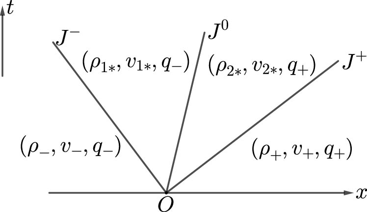
where ( ρ 1 , v 1 , q 1 ) and ( ρ 2 , v 2 , q 2 ) are shown by equations (2.17) and (2.18); ( ρ , v , q ) and ( ρ 1 , v 1 , q 1 ) are connected by a contact discontinuity J with the speed τ = λ ; ( ρ + , v + , q + ) and ( ρ 2 , v 2 , q 2 ) are connected by a contact discontinuity J + with the speed τ + = λ + + ; and two intermediate states ( ρ 1 , v 1 , q 1 ) and ( ρ 2 , v 2 , q 2 ) are connected by a contact discontinuity J 0 with the speed τ 0 = v 1 = v 2 . We illustrate the structure, denoted by J + J 0 + J , in Figure 1.

Figure 1 
               Riemann solution: 
                     
                        
                        
                           
                              
                                 J
                              
                              
                                 −
                              
                           
                           +
                           
                              
                                 J
                              
                              
                                 0
                              
                           
                           +
                           
                              
                                 J
                              
                              
                                 −
                              
                           
                        
                        {J}^{-}+{J}^{0}+{J}^{-}
                     
                  .
Figure 1

Riemann solution: J + J 0 + J .

3 Generalized Rankine-Hugoniot relation of delta waves

For the rest of the initial data, it can be found that the Riemann problem cannot be solved only by using three kinds of contact discontinuities. Motivated by [11,17], we introduce delta waves to solve the Riemann problem.

We define a two-dimensional weighted Dirac delta function w ( s ) δ ( S ) supported on a smooth curve S parameterized as x = x ( s ) , t = t ( s ) ( c s d ) by

(3.1) w ( s ) δ ( S ) , φ ( x , t ) = c d w ( s ) φ ( x ( s ) , t ( s ) ) d s

for all the test functions φ ( x , t ) C 0 ( R × R + ) .

Let Ω be a region in ( x , t ) -plane and cut into a left part Ω l and a right part Ω r by a smooth curve S : x = x ( t ) . Seek the delta wave in the form

(3.2) ( ρ , v , q ) ( x , t ) = ( ρ l , v l , q l ) ( x , t ) , ( x , t ) Ω l , ( w ( t ) δ S , v δ ( t ) , q δ ( t ) ) , ( x , t ) S , ( ρ r , v r , q r ) ( x , t ) , ( x , t ) Ω r

with

(3.3) 1 ρ = 1 ρ l , ( x , t ) Ω l , 0 , ( x , t ) S , 1 ρ r , ( x , t ) Ω r ,

where ( ρ l , v l , q l ) and ( ρ r , v r , q r ) ( t , x ) are piecewise smooth solutions of (1.3) + (1.4) + (1.2) and w ( t ) , v δ ( t ) , and q δ ( t ) are smooth functions.

We assert that if the following ordinary differential equations

(3.4) d x ( t ) d t = v δ ( t ) , d d t w ( t ) 1 v δ 2 ( t ) / c 2 = v δ ( t ) n 1 v 2 / c 2 + n v 1 v 2 / c 2 , d d t w ( t ) v δ ( t ) 1 v δ 2 ( t ) / c 2 = v δ ( t ) ( ρ + p / c 2 ) v 1 v 2 / c 2 + ( ρ + p / c 2 ) v 2 1 v 2 / c 2 + p + q , d d t w ( t ) q δ ( t ) 1 v δ 2 ( t ) / c 2 = v δ ( t ) n q 1 v 2 / c 2 + n v q 1 v 2 / c 2

are satisfied, where [ G ] = G ¯ l G ¯ r , G ¯ l , and G ¯ r are the limits of G l ( x , t ) and G r ( x , t ) on the discontinuity S , respectively, then the distribution (3.2) is a solution of the system (1.3) + (1.4) + (1.2) in the distributional sense, that is, it satisfies

Ω l n ( ρ l ) 1 v l 2 / c 2 φ t + n ( ρ l ) v l 1 v l 2 / c 2 φ x d x d t + Ω r n ( ρ r ) 1 v r 2 / c 2 φ t + n ( ρ r ) v r 1 v r 2 / c 2 φ x d x d t + w ( t ) 1 ( v δ ( t ) ) 2 / c 2 δ ( S ) , φ t + w ( t ) v δ ( t ) 1 ( v δ ( t ) ) 2 / c 2 δ ( S ) , φ x = 0 ,

Ω l ( ρ l + p ( ρ l ) / c 2 ) v l 1 v l 2 / c 2 φ t + ( ρ l + p ( ρ l ) / c 2 ) v l 2 1 v l 2 / c 2 + p ( ρ l ) + q l φ x d x d t + Ω r ( ρ r + p ( ρ r ) / c 2 ) v r 1 v r 2 / c 2 φ t + ( ρ r + p ( ρ r ) / c 2 ) v r 2 1 v r 2 / c 2 + p ( ρ r ) + q r φ x d x d t + w ( t ) 1 ( v δ ( t ) ) 2 / c 2 δ ( S ) , φ t + w ( t ) v δ ( t ) 1 ( v δ ( t ) ) 2 / c 2 δ ( S ) , φ x = 0

and

Ω l n ( ρ l ) q l 1 v l 2 / c 2 φ t + n ( ρ l ) v l q l 1 v l 2 / c 2 φ x d x d t + Ω r n ( ρ r ) q r 1 v r 2 / c 2 φ t + n ( ρ r ) v r q r 1 v r 2 / c 2 φ x d x d t + w ( t ) q δ ( t ) 1 ( v δ ( t ) ) 2 / c 2 δ ( S ) , φ t + w ( t ) v δ ( t ) q δ ( t ) 1 ( v δ ( t ) ) 2 / c 2 δ ( S ) , φ x = 0

for all the test functions φ ( x , t ) C 0 ( R × R + ) . The proof is similar to those in the articles [5,6], and we omit it.

Relations in equation (3.4) are called the generalized Rankine-Hugoniot relation of the delta wave, which reflects the exact relationship among the location, propagation speed, weight, and assignment of v and q on the discontinuity.

Let us consider the delta wave in the form (3.2) with the assumption that ( ρ ¯ l , v ¯ l , q ¯ l ) = ( ρ 1 , v 1 , q 1 ) and ( ρ ¯ r , v ¯ r , q ¯ r ) = ( ρ 2 , v 2 , q 2 ) are constant, x ( 0 ) = 0 , and w ( 0 ) = 0 . In view of knowledge concerning delta waves [1–16], it is found that v δ ( t ) v δ and q δ ( t ) q δ are constants, and w ( t ) w 0 t is a linear function of t . Then, the generalized Rankine-Hugoniot relation becomes

(3.5) x ( t ) = v δ t , w 0 1 v δ 2 / c 2 = v δ n 1 v 2 / c 2 + n v 1 v 2 / c 2 , w 0 v δ 1 v δ 2 / c 2 = v δ ( ρ + p / c 2 ) v 1 v 2 / c 2 + ( ρ + p / c 2 ) v 2 1 v 2 / c 2 + p + q , w 0 q δ 1 v δ 2 / c 2 = v δ n q 1 v 2 / c 2 + n v q 1 v 2 / c 2 .

One can observe that if v δ is determined, then the remaining is determined accordingly.

Denote

(3.6) E = n 1 v 2 / c 2 = ρ 1 1 / ( ρ 2 c 2 ) 1 v 2 / c 2 = [ ρ m ] , F = n v 1 v 2 / c 2 = ρ v 1 1 / ( ρ 2 c 2 ) 1 v 2 / c 2 = [ ρ v m ] , G = ( ρ + p / c 2 ) v 1 v 2 / c 2 = ρ v ( 1 1 / ( ρ 2 c 2 ) ) 1 v 2 / c 2 = [ ρ v m 2 ] , H = ( ρ + p / c 2 ) v 2 1 v 2 / c 2 + p + q = ρ v 2 ( 1 1 / ( ρ 2 c 2 ) ) 1 v 2 / c 2 + p + q = [ ρ v 2 m 2 + p + q ] .

From the second and third equations in (3.5), we obtain

(3.7) L ( v δ ) ( E v δ F ) f ( v δ ) G v δ + H = 0

with

f ( v δ ) = v δ 1 v δ 2 / c 2 , f ( v δ ) = 1 ( 1 v δ 2 / c 2 ) 3 / 2 > 0 .

It is indeed a quartic equation, so it is difficult to obtain an explicit expression for v δ .

One can calculate that

L ( v δ ) = ( E v δ F ) f ( v δ ) G v δ + H = ρ 1 m 1 ( v δ v 1 ) ( f ( v δ ) v 1 m 1 ) 1 ρ 1 + ρ 2 m 2 ( v 2 v δ ) ( f ( v δ ) v 2 m 2 ) + 1 ρ 2 + q 1 q 2 L 1 ( v δ ) + L 2 ( v δ ) + q 1 q 2

and

L ( v δ ) = ρ 1 m 1 { ( f ( v δ ) v 1 m 1 ) + ( v δ v 1 ) f ( v δ ) } + ρ 2 m 2 { ( v 2 m 2 f ( v δ ) ) + ( v 2 v δ ) f ( v δ ) } L 1 ( v δ ) + L 2 ( v δ ) ,

where

m i = 1 1 / ( ρ i 2 c 2 ) 1 v i 2 / c 2 , i = 1 , 2 .

4 Riemann solutions involving delta waves

In this section, we will construct the Riemann solutions by using overcompressible delta wave and non-overcompressible delta waves respectively.

4.1 Riemann solution containing overcompressible delta wave

A delta wave in the form (3.2) is overcompressible, denoted by δ , if it satisfies the condition

(4.1) v ¯ l 1 ρ ¯ l 1 v ¯ l ρ ¯ l c 2 v δ ( t ) v ¯ r + 1 ρ ¯ r 1 + v ¯ r ρ ¯ r c 2 ,

which means that all the characteristics on both sides of the delta wave are not outcoming from the discontinuity.

Let us study the conditions of existence for an overcompressilbe delta wave. Consider the above constant limit delta wave with ( ρ ¯ l , v ¯ l , q ¯ l ) = ( ρ 1 , v 1 , q 1 ) and ( ρ ¯ r , v ¯ r , q ¯ r ) = ( ρ 2 , v 2 , q 2 ) .

Let

(4.2) v 1 1 ρ 1 1 v 1 ρ 1 c 2 > v 2 + 1 ρ 2 1 + v 2 ρ 2 c 2 .

First, with

(4.3) f v 1 1 ρ 1 1 v 1 ρ 1 c 2 = v 1 1 ρ 1 1 v 1 ρ 1 c 2 1 v 1 1 ρ 1 1 v 1 ρ 1 c 2 2 c 2 = v 1 1 ρ 1 c ( c v 1 ρ 1 c ) 2 v 1 1 ρ 1 2 = v 1 1 ρ 1 1 1 ρ 1 2 c 2 1 v 1 2 c 2

and

(4.4) f v 2 + 1 ρ 2 1 + v 2 ρ 2 c 2 = v 2 + 1 ρ 2 1 + v 2 ρ 2 c 2 1 v 2 + 1 ρ 2 1 + v 2 ρ 2 c 2 2 c 2 = v 2 + 1 ρ 2 1 1 ρ 2 2 c 2 1 v 2 2 c 2 ,

we can calculate that

(4.5) L 1 v 1 1 ρ 1 1 v 1 ρ 1 c 2 = ρ 1 1 1 ρ 1 2 c 2 1 v 1 2 c 2 v 1 1 ρ 1 1 v 1 ρ 1 c 2 v 1 f v 1 1 ρ 1 1 v 1 ρ 1 c 2 v 1 1 1 ρ 1 2 c 2 1 v 1 2 c 2 1 ρ 1 = ρ 1 1 1 ρ 1 2 c 2 1 v 1 2 c 2 1 ρ 1 v 1 2 c 2 1 1 v 1 ρ 1 c 2 v 1 1 ρ 1 1 1 ρ 1 2 c 2 1 v 1 2 c 2 v 1 1 1 ρ 1 2 c 2 1 v 1 2 c 2 1 ρ 1 = v 1 1 ρ 1 1 v 1 ρ 1 c 2 + v 1 1 1 ρ 1 2 c 2 1 v 1 ρ 1 c 2 1 ρ 1 = 0

and

(4.6) L 2 v 2 + 1 ρ 2 1 + v 2 ρ 2 c 2 = ρ 2 1 1 ρ 2 2 c 2 1 v 2 2 c 2 v 2 v 2 + 1 ρ 2 1 + v 2 ρ 2 c 2 f v 2 + 1 ρ 2 1 + v 2 ρ 2 c 2 v 2 1 1 ρ 2 2 c 2 1 v 2 2 c 2 + 1 ρ 2 = ρ 2 1 1 ρ 2 2 c 2 1 v 2 2 c 2 1 ρ 2 v 2 2 c 2 1 1 + v 2 ρ 2 c 2 v 2 + 1 ρ 2 1 1 ρ 2 2 c 2 1 v 2 2 c 2 v 2 1 1 ρ 2 2 c 2 1 v 2 2 c 2 + 1 ρ 2 = 0 .

In consideration of (2.1), it is also easy to obtain from (4.3) and (4.4) that

f v 1 1 ρ 1 1 v 1 ρ 1 c 2 < v 1 m 1 , f v 2 + 1 ρ 2 1 + v 2 ρ 2 c 2 > v 2 m 2 .

Since f ( v δ ) is monotonely increasing, it follows that

(4.7) L 1 ( v δ ) = ρ 1 m 1 { ( f ( v δ ) v 1 m 1 ) + ( v δ v 1 ) f ( v δ ) } < 0 for v δ < v 1 1 ρ 1 1 v 1 ρ 1 c 2 < v 1 , L 2 ( v δ ) = ρ 2 m 2 { ( v 2 m 2 f ( v δ ) ) + ( v 2 v δ ) f ( v δ ) } < 0 for v δ > v 2 + 1 ρ 2 1 + v 2 ρ 2 c 2 > v 2 ,

and furthermore,

(4.8) L ( v δ ) = L 1 ( v δ ) + L 2 ( v δ ) < 0 for v δ v 2 + 1 ρ 2 1 + v 2 ρ 2 c 2 , v 1 1 ρ 1 1 v 1 ρ 1 c 2 .

Second, it is obvious that

(4.9) L v 2 + 1 ρ 2 1 + v 2 ρ 2 c 2 = L 1 v 2 + 1 ρ 2 1 + v 2 ρ 2 c 2 + q 1 q 2 = ρ 1 m 1 v 2 + 1 ρ 2 1 + v 2 ρ 2 c 2 v 1 f v 2 + 1 ρ 2 1 + v 2 ρ 2 c 2 v 1 m 1 1 ρ 1 + q 1 q 2

and

(4.10) L v 1 1 ρ 1 1 v 1 ρ 1 c 2 = L 2 v 1 1 ρ 1 1 v 1 ρ 1 c 2 + q 1 q 2 = ρ 2 m 2 v 2 v 1 1 ρ 1 1 v 1 ρ 1 c 2 f v 1 1 ρ 1 1 v 1 ρ 1 c 2 v 2 m 2 + 1 ρ 2 + q 1 q 2 .

Note that due to (4.2) and (4.7), it holds that

L 1 v 2 + 1 ρ 2 1 + v 2 ρ 2 c 2 > L 1 v 1 1 ρ 1 1 v 1 ρ 1 c 2 = 0

and

L 2 v 1 1 ρ 1 1 v 1 ρ 1 c 2 < L 2 v 2 + 1 ρ 2 1 + v 2 ρ 2 c 2 = 0 .

Thus, by using the zero point theorem in mathematical analysis and taking the monotonicity of L ( v δ ) in account, we conclude that if and only if either

(4.11) q 1 = q 2

or

(4.12) q 1 > q 2 , ρ 2 m 2 v 2 v 1 1 ρ 1 1 v 1 ρ 1 c 2 v 2 m 2 f v 1 1 ρ 1 1 v 1 ρ 1 c 2 1 ρ 2 q 1 q 2

or

(4.13) q 1 < q 2 , ρ 1 m 1 v 2 + 1 ρ 2 1 + v 2 ρ 2 c 2 v 1 f v 2 + 1 ρ 2 1 + v 2 ρ 2 c 2 v 1 m 1 1 ρ 1 q 2 q 1 ,

(3.7) has a unique solution

v δ v 2 + 1 ρ 2 1 + v 2 ρ 2 c 2 , v 1 1 ρ 1 1 v 1 ρ 1 c 2 ,

that is, an overcompressilbe delta wave exists. Besides, when

v 2 + 1 ρ 2 1 + v 2 ρ 2 c 2 = v 1 1 ρ 1 1 v 1 ρ 1 c 2 ,

there exists an overcompressilbe delta wave with

v δ = v 2 + 1 ρ 2 1 + v 2 ρ 2 c 2 = v 1 1 ρ 1 1 v 1 ρ 1 c 2

if and only if

q 1 = q 2 .

Thus, we can conclude that when the initial data (1.5) satisfy either

(4.14) λ > λ + , q = q +

or

(4.15) λ > λ + , q > q + , ρ + m + v + v 1 ρ 1 v ρ c 2 v + m + f v 1 ρ 1 v ρ c 2 1 ρ + q q +

or

(4.16) λ > λ + , q < q + , ρ m v + + 1 ρ + 1 + v + ρ + c 2 v f v + + 1 ρ + 1 + v + ρ + c 2 v m 1 ρ q + q

or

(4.17) λ = λ + , q = q + ,

the Riemann problem (1.3) + (1.4) + (1.2) and (1.5) is solvable with a single overcompressible delta wave:

(4.18) ( ρ , v , q ) ( x , t ) = ( ρ , v , q ) , x < x ( t ) , ( w 0 t δ ( x x ( t ) ) , v δ , q δ ) , x = x ( t ) , ( ρ + , v + , q + ) , x > x ( t )

satisfying the relations (3.5) and (4.1). The structure, denoted by δ , is illustrated in Figure 2.

Figure 2 
                  Riemann solution: 
                        
                           
                           
                              δ
                           
                           \delta 
                        
                     .
Figure 2

Riemann solution: δ .

4.2 Riemann solution involving a left-contact non-overcompressible delta wave

To look at the Riemann solution for the critical initial data

λ < λ + + , q > q + , λ + + λ 1 λ λ + + / c 2 = q q + ,

we fix ( ρ ± , v ± ) and consider the limit of the solution (2.22) with initial data (2.20) as

q q + λ + + λ 1 λ λ + + / c 2 .

One can easily calculate that

ρ 1 1 λ λ + + / c 2 λ + + λ ρ , ρ 2 + , τ 0 = v 1 = v 2 λ + + v , τ 0 τ + ρ d ξ 1 λ + + 2 c 2 0 ,

which show that J 0 and J + will coincide to form a new nonlinear hyperbolic wave at ξ = v , where ρ ( ξ ) has the same singularity as a weighted Dirac delta function. As a result, the limit is the structure: ( ρ , v , q ) is connected to ( ρ , v , q ) by a contact discontinuity J with τ = λ , and ( ρ , v , q ) is connected to ( ρ + , v + , q + ) by a delta wave with x / t = u (Figure 3).

Figure 3 
                  Limit of the Riemann solution as 
                        
                           
                           
                              
                                 
                                    q
                                 
                                 
                                    −
                                 
                              
                              −
                              
                                 
                                    q
                                 
                                 
                                    +
                                 
                              
                              →
                              
                                 
                                    
                                       
                                          λ
                                       
                                       
                                          +
                                          +
                                       
                                    
                                    −
                                    
                                       
                                          λ
                                       
                                       
                                          −
                                          −
                                       
                                    
                                 
                                 
                                    1
                                    −
                                    
                                       
                                          λ
                                       
                                       
                                          −
                                          −
                                       
                                    
                                    
                                       
                                          λ
                                       
                                       
                                          +
                                          +
                                       
                                    
                                    
                                    /
                                    
                                    
                                       
                                          c
                                       
                                       
                                          2
                                       
                                    
                                 
                              
                           
                           {q}_{-}-{q}_{+}\to \frac{{\lambda }_{++}-{\lambda }_{--}}{1-{\lambda }_{--}{\lambda }_{++}\hspace{0.1em}\text{/}\hspace{0.1em}{c}^{2}}
                        
                     .
Figure 3

Limit of the Riemann solution as q q + λ + + λ 1 λ λ + + / c 2 .

Observing that for the limited delta wave, the characteristics λ and λ 0 on the left are outcoming from and contact to the discontinuity, respectively, we introduce the following delta wave. If a delta wave satisfies

(4.19) v δ ( t ) = v ¯ l v ¯ r + 1 ρ ¯ r 1 + v ¯ r ρ ¯ r c 2 ,

we call it a left-contact non-overcompressible delta wave, denoted by δ 0 l , for which the characteristics λ , λ 0 , and λ + on the left are outcoming from, contact to, and coming into the discontinuity, respectively, and the characteristics on the right are not outcoming from the discontinuity.

Consider the above constant limit delta wave with ( ρ ¯ l , v ¯ l , q ¯ l ) = ( ρ 1 , v 1 , q 1 ) and ( ρ ¯ r , v ¯ r , q ¯ r ) = ( ρ 2 , v 2 , q 2 ) . With (4.19), we have

L ( v 1 ) = 1 ρ 1 + ρ 2 m 2 ( v 2 v 1 ) ( f ( v 1 ) v 2 m 2 ) + 1 ρ 2 + q 1 q 2 = 0 ,

which gives the condition of existence for the left-contact non-overcompressible delta wave

(4.20) q 1 q 2 = 1 ρ 1 ρ 2 m 2 ( v 2 v 1 ) ( f ( v 1 ) v 2 m 2 ) + 1 ρ 2 = 1 ρ 1 L 2 ( v 1 ) > 0 .

Besides, from the generalized Rankine-Hugoniot relation (3.5), we can obtain

(4.21) x ( t ) = v 1 t , w 0 = 1 v 1 2 / c 2 1 v 2 2 / c 2 ( v 1 v 2 ) n 2 , v δ = v 1 , q δ = q 2 .

When the initial data (1.5) satisfy either

(4.22) λ < λ + + , q > q + , λ + + λ 1 λ λ + + / c 2 q q +

or

(4.23) λ > λ + + , q > q + , ρ + m + v + v 1 ρ 1 v ρ c 2 v + m + f v 1 ρ 1 v ρ c 2 1 ρ + < q q +

or

(4.24) λ = λ + + , q > q + ,

we suggest the following solution to the Riemann problem (1.3) + (1.4) + (1.2) and (1.5):

(4.25) ( ρ , v , q ) ( x , t ) = ( ρ , v , q ) , x < τ t , ( ρ , v , q ) , τ t < x < v t , ( w 0 t δ ( x v t ) , v δ , q δ ) , x = v t , ( ρ + , v + , q + ) , x > v t ,

that is, ( ρ , v , q ) is connected to ( ρ , v , q ) by a contact discontinuity J with τ = λ , and ( ρ , v , q ) is connected to ( ρ + , v + , q + ) by a left-contact non-overcompressible delta wave, where it holds that

(4.26) λ = v 1 ρ 1 v ρ c 2 = v 1 ρ 1 v ρ c 2 , q q + = 1 ρ ρ + m + ( v + v ) ( f ( v ) v + m + ) + 1 ρ +

and

(4.27) w 0 = 1 v 2 / c 2 1 v + 2 / c 2 ( v v + ) n + , v δ = v , q δ = q + .

This structure, denoted by J + δ 0 l , is shown in Figure 4.

Figure 4 
                  Riemann solution: 
                        
                           
                           
                              
                                 
                                    J
                                 
                                 
                                    −
                                 
                              
                              +
                              
                                 
                                    δ
                                 
                                 
                                    0
                                 
                                 
                                    l
                                 
                              
                           
                           {J}^{-}+{\delta }_{0}^{l}
                        
                     .
Figure 4

Riemann solution: J + δ 0 l .

Let us show the existence and uniqueness of v satisfying v λ + + and v > λ . From (4.26), we have

M ( v ) = q q + v λ 1 v λ / c 2 + ρ + m + ( v + v ) ( f ( v ) v + m + ) + 1 ρ + = 0 ,

in which, similarly to (4.6),

ρ + m + ( v + v ) ( f ( v ) v + m + ) + 1 ρ + v = λ + + = 0 .

On the one side, it holds that

M ( v ) = 1 λ 2 / c 2 ( 1 v λ / c 2 ) 2 + ρ + m + { ( f ( v ) v + m + ) + ( v + v ) f ( v ) } < 0

for v [ λ + + , c ) because of f ( v ) f ( λ + + ) > v + m + . On the other hand, it is true that

M ( λ + + ) = q q + λ + + λ 1 λ + + λ / c 2 0 , M ( c )

for (4.22),

M ( λ ) = q q + + ρ + m + ( v + λ ) ( f ( λ ) v + m + ) + 1 ρ + > 0 , M ( c )

for (4.23), and

M ( λ = λ + + ) = q q + > 0 , M ( c )

for (4.24). In virtue of the monotonicity of M ( v ) , by zero point theorem in mathematical analysis, it is known that there exists a unique v satisfying v λ + + and v > λ .

4.3 Riemann solution involving a right-contact non-overcompressible delta wave

In order to see the Riemann solution for the critical initial data

λ < λ + + , q < q + , λ + + λ 1 λ λ + + / c 2 = q + q ,

let us fix ( ρ ± , v ± ) and study the limit of the solution (2.22) with initial data (2.21) as follows:

q + q λ + + λ 1 λ λ + + / c 2 .

It can be obtained that

ρ 1 + , ρ 2 1 λ λ + + / c 2 λ + + λ ρ , τ 0 = v 1 = v 2 λ v , τ τ 0 ρ d ξ 1 λ 2 c 2 0 ,

that is, J 0 and J will coincide to form a new nonlinear hyperbolic wave at ξ = λ , where ρ ( ξ ) has the same singularity as a weighted Dirac delta function. As a result, the limit is the structure: ( ρ , v , q ) is connected to ( ρ , v , q + ) by a delta wave with x / t = u , and ( ρ , v , q + ) is connected to ( ρ + , v + , q + ) by a contact discontinuity J + with τ = λ + + (Figure 5).

Figure 5 
                  Limit of the Riemann solution as 
                        
                           
                           
                              
                                 
                                    q
                                 
                                 
                                    +
                                 
                              
                              −
                              
                                 
                                    q
                                 
                                 
                                    −
                                 
                              
                              →
                              
                                 
                                    
                                       
                                          λ
                                       
                                       
                                          +
                                          +
                                       
                                    
                                    −
                                    
                                       
                                          λ
                                       
                                       
                                          −
                                          −
                                       
                                    
                                 
                                 
                                    1
                                    −
                                    
                                       
                                          λ
                                       
                                       
                                          −
                                          −
                                       
                                    
                                    
                                       
                                          λ
                                       
                                       
                                          +
                                          +
                                       
                                    
                                    
                                    /
                                    
                                    
                                       
                                          c
                                       
                                       
                                          2
                                       
                                    
                                 
                              
                           
                           {q}_{+}-{q}_{-}\to \frac{{\lambda }_{++}-{\lambda }_{--}}{1-{\lambda }_{--}{\lambda }_{++}\hspace{0.1em}\text{/}\hspace{0.1em}{c}^{2}}
                        
                     .
Figure 5

Limit of the Riemann solution as q + q λ + + λ 1 λ λ + + / c 2 .

Observing that for the limit delta wave, the characteristics λ + and λ 0 on the right are outcoming from and contact to the discontinuity respectively, we introduce the right-contact non-overcompressible delta wave, denoted by δ 0 r , by which we mean that it satisfies

(4.28) v ¯ l 1 ρ ¯ l 1 v ¯ l ρ ¯ l c 2 v ¯ r = v δ ( t ) ,

that is, the characteristics λ , λ 0 , and λ + on the right are incoming into, contact to, and outcoming from the discontinuity, respectively, and the characteristics on the left are not outcoming from the discontinuity.

Consider the above constant limit delta wave with ( ρ ¯ l , v ¯ l , q ¯ l ) = ( ρ 1 , v 1 , q 1 ) and ( ρ ¯ r , v ¯ r , q ¯ r ) = ( ρ 2 , v 2 , q 2 ) . With (4.28), we have

L ( v 2 ) = ρ 1 m 1 ( v 2 v 1 ) ( f ( v 2 ) v 1 m 1 ) 1 ρ 1 + 1 ρ 2 + q 1 q 2 = 0 ,

which gives the condition of existence for the left-contact non-overcompressible delta wave

(4.29) q 1 q 2 = 1 ρ 2 ρ 1 m 1 ( v 2 v 1 ) ( f ( v 2 ) v 1 m 1 ) 1 ρ 1 = 1 ρ 2 L 1 ( v 2 ) < 0 .

Then, from the generalized Rankine-Hugoniot relation (3.5), it follows that

(4.30) x ( t ) = v 2 t , w 0 = 1 v 2 2 / c 2 1 v 1 2 / c 2 ( v 1 v 2 ) n 1 , v δ = v 2 , q δ = q 1 .

It is suggested that when the initial data (1.5) satisfy either

(4.31) λ < λ + + , q < q + , λ + + λ 1 λ λ + + / c 2 q + q

or

(4.32) λ > λ + + , q < q + , ρ m v + + 1 ρ + 1 + v + ρ + c 2 v f v + + 1 ρ + 1 + v + ρ + c 2 v m 1 ρ < q + q

or

(4.33) λ = λ + + , q < q + ,

the solution of the Riemann problem (1.3) + (1.4) + (1.2) and (1.5) is

(4.34) ( ρ , v , q ) ( x , t ) = ( ρ , v , q ) , x < v t , ( w 0 t δ ( x v t ) , v δ , q δ ) , x = v t , ( ρ , v , q + ) , v t < x < τ t , ( ρ + , v + , q + ) , x > τ t ,

that is, ( ρ , v , q ) is connected to ( ρ , v , q + ) by a right-contact non-overcompressible delta wave, and ( ρ , v , q + ) is connected to ( ρ + , v + , q + ) by a contact discontinuity J + with τ = λ + + , where it holds that

(4.35) q + q = 1 ρ + ρ m ( v v ) ( f ( v ) v m ) 1 ρ , λ + + = v + + 1 ρ + 1 + v + ρ + c 2 = v + 1 ρ 1 + v ρ c 2

and

(4.36) w 0 = 1 v 2 / c 2 1 v 2 / c 2 n ( v v ) , v δ = v , q δ = q .

We show this structure, denoted by δ 0 r + J + , in Figure 6.

Figure 6 
                  Riemann solution: 
                        
                           
                           
                              
                                 
                                    δ
                                 
                                 
                                    0
                                 
                                 
                                    r
                                 
                              
                              +
                              
                                 
                                    J
                                 
                                 
                                    +
                                 
                              
                           
                           {\delta }_{0}^{r}+{J}^{+}
                        
                     .
Figure 6

Riemann solution: δ 0 r + J + .

We also show the existence and uniqueness of v satisfying v < λ + + and v λ . From (4.35), we have

N ( v ) = q + q v λ + + v λ + + / c 2 1 ρ m ( v v ) ( f ( v ) v m ) 1 ρ = 0 ,

where

ρ m ( v v ) ( f ( v ) v m ) 1 ρ v = λ = 0 .

First, it holds that

N ( v ) = 1 λ + + 2 / c 2 ( 1 v λ / c 2 ) 2 ρ m { ( f ( v ) v m ) + ( v v ) f ( v ) } > 0

for v ( c , λ ] . Second, we have

N ( c ) , N ( λ ) = q + q λ + + λ 1 λ + + λ / c 2 0

for (4.31),

N ( c ) , N ( λ + + ) = q + q ρ m ( λ + + v ) ( f ( λ + + ) v m ) 1 ρ > 0

for (4.32), and

N ( c ) , N ( λ = λ + + ) = q + q > 0

for (4.33). By zero point theorem of monotone functions in mathematical analysis, it is known that there exists a unique v satisfying v < λ + + and v λ .

So far, we have solved the Riemann problem (1.3) + (1.4) + (1.2) and (1.5) for all initial data by four kinds of wave patterns. The solutions and corresponding initial conditions can be summarized as follows:

  1. q = q +

    1. when λ < λ + + , the solution is J + J 0 + J + ,

    2. when λ λ + + , the solution is δ ;

  2. q > q +

    1. λ < λ + +

      1. when λ + + λ 1 λ λ + + / c 2 > q q + , the solution is J + J 0 + J + ,

      2. when λ + + λ 1 λ λ + + / c 2 q q + , the solution is J + δ 0 l ,

    2. λ > λ + +

      1. when ρ + m + ( v + λ ) ( v + m + f ( λ ) ) 1 ρ + q q + , the solution is δ ,

      2. when ρ + m + ( v + λ ) ( v + m + f ( λ ) ) 1 ρ + < q q + , the solution is J + δ 0 l ,

    3. λ = λ + + , the solution is J + δ 0 l ;

  3. q < q +

    1. λ < λ + +

      1. when λ + + λ 1 λ λ + + / c 2 > q + q , the solution is J + J 0 + J + ,

      2. when λ + + λ 1 λ λ + + / c 2 q + q , the solution is δ 0 r + J + ,

    2. λ > λ + +

      1. when ρ m ( λ + + v ) ( f ( λ + + ) v m ) 1 ρ q + q , the solution is δ ,

      2. when ρ m ( λ + + v ) ( f ( λ + + ) v m ) 1 ρ < q + q , the solution is δ 0 r + J + ,

  4. λ = λ + + , the solution is δ 0 r + J + .

Acknowledgement

The author would like to express their cordial gratitude to the referee for valuable comments that improved the article.

  1. Funding information: This article is supported by the National Natural Science Foundation of China (11861073, 12061084), Natural Science Foundation of Yunnan Province (2019FY003007), and the top young talent project of Yunnan high level talent training support program (2019281).

  2. Author contributions: The author has accepted responsibility for the entire content of this manuscript and approved its submission.

  3. Conflict of interest: The author states that there is no conflict of interest.

  4. Data availability statement: Data sharing is not applicable to this article as no datasets were generated or analyzed during this study.

References

[1] D. Korchinski, Solution of a Riemann problem for a 2 x 2 system of conservation laws possessing no classical weak solution, PhD thesis, Adelphi University, 1977. Search in Google Scholar

[2] H. Kranzer and B. Keyfitz, A strictly hyperbolic system of conservation laws admitting singular shocks, In: B. L. Keyfitz and M. Shearer (eds), Nonlinear Evolution Equations That Change Type. The IMA Volumes in Mathematics and Its Applications, Vol. 27, Springer Verlag, New York, 1990, pp. 107–125. 10.1007/978-1-4613-9049-7_9Search in Google Scholar

[3] P. Le Floch, An existence and uniqueness result for two nonstrictly hyperbolic systems, In: B. L. Keyfitz and M. Shearer (eds), Nonlinear Evolution Equations That Change Type. The IMA Volumes in Mathematics and Its Applications, Vol. 27, Springer Verlag, New York, 1990, pp. 126–138. 10.1007/978-1-4613-9049-7_10Search in Google Scholar

[4] F. Bouchut, On zero pressure gas dynamics, In: B. Perthame (eds), Advances in Kinetic Theory and Computing: Selected Papers, Series on for Applied Sciences, Vol. 22, World Scientific, River Edge, NJ, 1994, pp. 171–190. 10.1142/9789814354165_0006Search in Google Scholar

[5] D. Tan, T. Zhang, and Y. Zheng, Delta-shock waves as limits of vanishing viscosity for hyperbolic systems of conservation laws, J. Differential Equations 112 (1994), no. 1, 1–32, https://doi.org/10.1006/jdeq.1994.1093. Search in Google Scholar

[6] W. Sheng and T. Zhang, The Riemann problem for the transportation equations in gas dynamics, Mem. Amer. Math. Soc. 137 (1999), no. 654, 1–77, http://dx.doi.org/10.1090/memo/0654. Search in Google Scholar

[7] G. Chen and H. Liu, Formation of δ-shocks and vacuum states in the vanishing pressure limit of solutions to the isentropic Euler equations, SIAM J. Math. Anal. 34 (2003), no. 4, 925–938, https://doi.org/10.1137/S0036141001399350. Search in Google Scholar

[8] V. M. Shelkovich, The Riemann problem admitting δ-, δ′-shocks, and vacuum states (the vanishing viscosity approach), J. Differential Equations 231 (2006), no. 2, 459–500, https://doi.org/10.1016/j.jde.2006.08.003. Search in Google Scholar

[9] M. Nedeljkov and M. Oberguggenberger, Interactions of delta shock waves in a strictly hyperbolic system of conservation laws, J. Math. Anal. Appl. 344 (2008), no. 1, 1143–1157, https://doi.org/10.1016/j.jmaa.2008.03.040. Search in Google Scholar

[10] L. Guo, W. Sheng, and T. Zhang, The two-dimensional Riemann problem for isentropic Chaplygin gas dynamic system, Commun. Pure. Appl. Anal. 9 (2010), no. 2, 431–458, https://doi.org/10.3934/cpaa.2010.9.431. Search in Google Scholar

[11] H. Cheng and H. Yang, Riemann problem for the isentropic relativistic Chaplygin Euler equations, Z. Angew. Math. Phys. 63 (2012), no. 3, 429–440, https://doi.org/10.1007/s00033-012-0199-7. Search in Google Scholar

[12] G. Yin and W. Sheng, Delta wave formation and vacuum state in vanishing pressure limit for system of conservation laws to relativistic fluid dynamics, ZAMM Z. Angew. Math. Mech. 95 (2015), no. 1, 49–65, https://doi.org/10.1002/zamm.201200148. Search in Google Scholar

[13] H. Kalisch, D. Mitrovic, and V. Teyekpiti, Delta shock waves in shallow water flow, Phys. Lett. A 381 (2017), no. 13, 1138–1144, https://doi.org/10.1016/j.physleta.2017.02.007. Search in Google Scholar

[14] A. Sen and T. Raja Sekhar, Delta shock wave as self-similar viscosity limit for a strictly hyperbolic system of conservation laws, J. Math. Phys. 60 (2019), no. 5, 051510, https://doi.org/10.1063/1.5092668. Search in Google Scholar

[15] Y. Zhang and Y. Zhang, Riemann problem for a two-dimensional steady pressureless relativistic Euler equations, Math. Nachr. 294 (2021), no. 6, 1206–1229, https://doi.org/10.1002/mana.201900313. Search in Google Scholar

[16] C. Shen and M. Sun, Exact Riemann solutions for the drift-flux equations of two-phase flow under gravity, J. Differential Equations 314 (2022), no. 25, 1–55, https://doi.org/10.1016/j.jde.2022.01.009. Search in Google Scholar

[17] H. Cheng, Riemann problem for the isentropic Chaplygin gas Cargo-LeRoux model, J. Math. Phys. 60 (2019), no. 8, 081507, https://doi.org/10.1063/1.5108701. Search in Google Scholar

[18] P. Cargo and A. Y. LeRoux, Un schéma équilibre adapté au modéle d’atmosphére avectermes de gravité, C. R. Acad. Sci. Paris. 318 (1994), no. 1, 73–76. Search in Google Scholar

[19] A. Y. LeRoux, Riemann solvers for some hyperbolic problems with a source term, ESAIM Proc. 6 (1999), 75–90, https://doi.org/10.1051/proc:1999047. Search in Google Scholar

[20] S. Chaplygin, On gas jets, Sci. Mem. Moscow Univ. Math. Phys. 21 (1904), 1–121. Search in Google Scholar

[21] H. Tsien, Two dimensional subsonic flow of compressible fluids, J. Aeron. Sci. 6 (1939), no. 10, 399–407. 10.1016/B978-0-12-398277-3.50005-1Search in Google Scholar

[22] T. vonKarman, Compressibility effects in aerodynamics, J. Aeron. Sci. 8 (1941), no. 9, 337–365. 10.2514/8.10737Search in Google Scholar

[23] H. Cheng, Riemann problem for the pressureless Cargo-LeRoux model by flux perturbation, Z. Angew. Math. Phys. 69 (2018), no. 6, 141, https://doi.org/10.1007/s00033-018-1036-4. Search in Google Scholar

[24] E. Liang, Relativistic simple waves: shock damping and entropy production, Astrophys. J. 211 (1977), no. 2, 361–376, https://doi.org/10.1086/154942. Search in Google Scholar

[25] A. Taub, Approximate solutions of the Einstein equations for isentropic motions of plane-symmetric distributions of perfect fluids, Phys. Rev. 107 (1957), no. 2, 884–900, https://doi.org/10.1103/PhysRev.107.884. Search in Google Scholar

[26] V. Pant, Global entropy solutions for isentropic relativistic fluid dynamics, Comm. Partial Differential Equations 21 (1996), no. 9–10, 1609–1641, https://doi.org/10.1080/03605309608821240. Search in Google Scholar

Received: 2022-04-07
Revised: 2022-08-27
Accepted: 2022-11-17
Published Online: 2022-12-17

© 2022 the author(s), published by De Gruyter

This work is licensed under the Creative Commons Attribution 4.0 International License.

Articles in the same Issue

  1. Regular Articles
  2. A random von Neumann theorem for uniformly distributed sequences of partitions
  3. Note on structural properties of graphs
  4. Mean-field formulation for mean-variance asset-liability management with cash flow under an uncertain exit time
  5. The family of random attractors for nonautonomous stochastic higher-order Kirchhoff equations with variable coefficients
  6. The intersection graph of graded submodules of a graded module
  7. Isoperimetric and Brunn-Minkowski inequalities for the (p, q)-mixed geominimal surface areas
  8. On second-order fuzzy discrete population model
  9. On certain functional equation in prime rings
  10. General complex Lp projection bodies and complex Lp mixed projection bodies
  11. Some results on the total proper k-connection number
  12. The stability with general decay rate of hybrid stochastic fractional differential equations driven by Lévy noise with impulsive effects
  13. Well posedness of magnetohydrodynamic equations in 3D mixed-norm Lebesgue space
  14. Strong convergence of a self-adaptive inertial Tseng's extragradient method for pseudomonotone variational inequalities and fixed point problems
  15. Generic uniqueness of saddle point for two-person zero-sum differential games
  16. Relational representations of algebraic lattices and their applications
  17. Explicit construction of mock modular forms from weakly holomorphic Hecke eigenforms
  18. The equivalent condition of G-asymptotic tracking property and G-Lipschitz tracking property
  19. Arithmetic convolution sums derived from eta quotients related to divisors of 6
  20. Dynamical behaviors of a k-order fuzzy difference equation
  21. The transfer ideal under the action of orthogonal group in modular case
  22. The multinomial convolution sum of a generalized divisor function
  23. Extensions of Gronwall-Bellman type integral inequalities with two independent variables
  24. Unicity of meromorphic functions concerning differences and small functions
  25. Solutions to problems about potentially Ks,t-bigraphic pair
  26. Monotonicity of solutions for fractional p-equations with a gradient term
  27. Data smoothing with applications to edge detection
  28. An ℋ-tensor-based criteria for testing the positive definiteness of multivariate homogeneous forms
  29. Characterizations of *-antiderivable mappings on operator algebras
  30. Initial-boundary value problem of fifth-order Korteweg-de Vries equation posed on half line with nonlinear boundary values
  31. On a more accurate half-discrete Hilbert-type inequality involving hyperbolic functions
  32. On split twisted inner derivation triple systems with no restrictions on their 0-root spaces
  33. Geometry of conformal η-Ricci solitons and conformal η-Ricci almost solitons on paracontact geometry
  34. Bifurcation and chaos in a discrete predator-prey system of Leslie type with Michaelis-Menten prey harvesting
  35. A posteriori error estimates of characteristic mixed finite elements for convection-diffusion control problems
  36. Dynamical analysis of a Lotka Volterra commensalism model with additive Allee effect
  37. An efficient finite element method based on dimension reduction scheme for a fourth-order Steklov eigenvalue problem
  38. Connectivity with respect to α-discrete closure operators
  39. Khasminskii-type theorem for a class of stochastic functional differential equations
  40. On some new Hermite-Hadamard and Ostrowski type inequalities for s-convex functions in (p, q)-calculus with applications
  41. New properties for the Ramanujan R-function
  42. Shooting method in the application of boundary value problems for differential equations with sign-changing weight function
  43. Ground state solution for some new Kirchhoff-type equations with Hartree-type nonlinearities and critical or supercritical growth
  44. Existence and uniqueness of solutions for the stochastic Volterra-Levin equation with variable delays
  45. Ambrosetti-Prodi-type results for a class of difference equations with nonlinearities indefinite in sign
  46. Research of cooperation strategy of government-enterprise digital transformation based on differential game
  47. Malmquist-type theorems on some complex differential-difference equations
  48. Disjoint diskcyclicity of weighted shifts
  49. Construction of special soliton solutions to the stochastic Riccati equation
  50. Remarks on the generalized interpolative contractions and some fixed-point theorems with application
  51. Analysis of a deteriorating system with delayed repair and unreliable repair equipment
  52. On the critical fractional Schrödinger-Kirchhoff-Poisson equations with electromagnetic fields
  53. The exact solutions of generalized Davey-Stewartson equations with arbitrary power nonlinearities using the dynamical system and the first integral methods
  54. Regularity of models associated with Markov jump processes
  55. Multiplicity solutions for a class of p-Laplacian fractional differential equations via variational methods
  56. Minimal period problem for second-order Hamiltonian systems with asymptotically linear nonlinearities
  57. Convergence rate of the modified Levenberg-Marquardt method under Hölderian local error bound
  58. Non-binary quantum codes from constacyclic codes over 𝔽q[u1, u2,…,uk]/⟨ui3 = ui, uiuj = ujui
  59. On the general position number of two classes of graphs
  60. A posteriori regularization method for the two-dimensional inverse heat conduction problem
  61. Orbital stability and Zhukovskiǐ quasi-stability in impulsive dynamical systems
  62. Approximations related to the complete p-elliptic integrals
  63. A note on commutators of strongly singular Calderón-Zygmund operators
  64. Generalized Munn rings
  65. Double domination in maximal outerplanar graphs
  66. Existence and uniqueness of solutions to the norm minimum problem on digraphs
  67. On the p-integrable trajectories of the nonlinear control system described by the Urysohn-type integral equation
  68. Robust estimation for varying coefficient partially functional linear regression models based on exponential squared loss function
  69. Hessian equations of Krylov type on compact Hermitian manifolds
  70. Class fields generated by coordinates of elliptic curves
  71. The lattice of (2, 1)-congruences on a left restriction semigroup
  72. A numerical solution of problem for essentially loaded differential equations with an integro-multipoint condition
  73. On stochastic accelerated gradient with convergence rate
  74. Displacement structure of the DMP inverse
  75. Dependence of eigenvalues of Sturm-Liouville problems on time scales with eigenparameter-dependent boundary conditions
  76. Existence of positive solutions of discrete third-order three-point BVP with sign-changing Green's function
  77. Some new fixed point theorems for nonexpansive-type mappings in geodesic spaces
  78. Generalized 4-connectivity of hierarchical star networks
  79. Spectra and reticulation of semihoops
  80. Stein-Weiss inequality for local mixed radial-angular Morrey spaces
  81. Eigenvalues of transition weight matrix for a family of weighted networks
  82. A modified Tikhonov regularization for unknown source in space fractional diffusion equation
  83. Modular forms of half-integral weight on Γ0(4) with few nonvanishing coefficients modulo
  84. Some estimates for commutators of bilinear pseudo-differential operators
  85. Extension of isometries in real Hilbert spaces
  86. Existence of positive periodic solutions for first-order nonlinear differential equations with multiple time-varying delays
  87. B-Fredholm elements in primitive C*-algebras
  88. Unique solvability for an inverse problem of a nonlinear parabolic PDE with nonlocal integral overdetermination condition
  89. An algebraic semigroup method for discovering maximal frequent itemsets
  90. Class-preserving Coleman automorphisms of some classes of finite groups
  91. Exponential stability of traveling waves for a nonlocal dispersal SIR model with delay
  92. Existence and multiplicity of solutions for second-order Dirichlet problems with nonlinear impulses
  93. The transitivity of primary conjugacy in regular ω-semigroups
  94. Stability estimation of some Markov controlled processes
  95. On nonnil-coherent modules and nonnil-Noetherian modules
  96. N-Tuples of weighted noncommutative Orlicz space and some geometrical properties
  97. The dimension-free estimate for the truncated maximal operator
  98. A human error risk priority number calculation methodology using fuzzy and TOPSIS grey
  99. Compact mappings and s-mappings at subsets
  100. The structural properties of the Gompertz-two-parameter-Lindley distribution and associated inference
  101. A monotone iteration for a nonlinear Euler-Bernoulli beam equation with indefinite weight and Neumann boundary conditions
  102. Delta waves of the isentropic relativistic Euler system coupled with an advection equation for Chaplygin gas
  103. Multiplicity and minimality of periodic solutions to fourth-order super-quadratic difference systems
  104. On the reciprocal sum of the fourth power of Fibonacci numbers
  105. Averaging principle for two-time-scale stochastic differential equations with correlated noise
  106. Phragmén-Lindelöf alternative results and structural stability for Brinkman fluid in porous media in a semi-infinite cylinder
  107. Study on r-truncated degenerate Stirling numbers of the second kind
  108. On 7-valent symmetric graphs of order 2pq and 11-valent symmetric graphs of order 4pq
  109. Some new characterizations of finite p-nilpotent groups
  110. A Billingsley type theorem for Bowen topological entropy of nonautonomous dynamical systems
  111. F4 and PSp (8, ℂ)-Higgs pairs understood as fixed points of the moduli space of E6-Higgs bundles over a compact Riemann surface
  112. On modules related to McCoy modules
  113. On generalized extragradient implicit method for systems of variational inequalities with constraints of variational inclusion and fixed point problems
  114. Solvability for a nonlocal dispersal model governed by time and space integrals
  115. Finite groups whose maximal subgroups of even order are MSN-groups
  116. Symmetric results of a Hénon-type elliptic system with coupled linear part
  117. On the connection between Sp-almost periodic functions defined on time scales and ℝ
  118. On a class of Harada rings
  119. On regular subgroup functors of finite groups
  120. Fast iterative solutions of Riccati and Lyapunov equations
  121. Weak measure expansivity of C2 dynamics
  122. Admissible congruences on type B semigroups
  123. Generalized fractional Hermite-Hadamard type inclusions for co-ordinated convex interval-valued functions
  124. Inverse eigenvalue problems for rank one perturbations of the Sturm-Liouville operator
  125. Data transmission mechanism of vehicle networking based on fuzzy comprehensive evaluation
  126. Dual uniformities in function spaces over uniform continuity
  127. Review Article
  128. On Hahn-Banach theorem and some of its applications
  129. Rapid Communication
  130. Discussion of foundation of mathematics and quantum theory
  131. Special Issue on Boundary Value Problems and their Applications on Biosciences and Engineering (Part II)
  132. A study of minimax shrinkage estimators dominating the James-Stein estimator under the balanced loss function
  133. Representations by degenerate Daehee polynomials
  134. Multilevel MC method for weak approximation of stochastic differential equation with the exact coupling scheme
  135. Multiple periodic solutions for discrete boundary value problem involving the mean curvature operator
  136. Special Issue on Evolution Equations, Theory and Applications (Part II)
  137. Coupled measure of noncompactness and functional integral equations
  138. Existence results for neutral evolution equations with nonlocal conditions and delay via fractional operator
  139. Global weak solution of 3D-NSE with exponential damping
  140. Special Issue on Fractional Problems with Variable-Order or Variable Exponents (Part I)
  141. Ground state solutions of nonlinear Schrödinger equations involving the fractional p-Laplacian and potential wells
  142. A class of p1(x, ⋅) & p2(x, ⋅)-fractional Kirchhoff-type problem with variable s(x, ⋅)-order and without the Ambrosetti-Rabinowitz condition in ℝN
  143. Jensen-type inequalities for m-convex functions
  144. Special Issue on Problems, Methods and Applications of Nonlinear Analysis (Part III)
  145. The influence of the noise on the exact solutions of a Kuramoto-Sivashinsky equation
  146. Basic inequalities for statistical submanifolds in Golden-like statistical manifolds
  147. Global existence and blow up of the solution for nonlinear Klein-Gordon equation with variable coefficient nonlinear source term
  148. Hopf bifurcation and Turing instability in a diffusive predator-prey model with hunting cooperation
  149. Efficient fixed-point iteration for generalized nonexpansive mappings and its stability in Banach spaces
Downloaded on 8.12.2025 from https://www.degruyterbrill.com/document/doi/10.1515/math-2022-0534/html?lang=en
Scroll to top button