Abstract
Microspheres with phase change properties were fabricated by polymerization of hexadecyl acrylate (HA) and different cross-linking agents. The samples were characterized by scanning electron microscope (SEM), Fourier transform infrared spectroscopy (FTIR), thermal gravimetric analysis (TGA). The results show that, the samples that added cross-linking agents have a smooth surface and the latent heat of them is different. The experiments show that all of the cross-linked copolymer shells can be made into temperature controlled release microspheres. These materials can be potentially applied in the field of thermal energy storage. β-tricalcium phosphate was encapsulated in microspheres to obtain one with a fast release effect. It will effectively promote bone conduction when these microspheres were implanted into a bone defect. This microsphere can be used for orthopedic implant or coating of instrument in the future.
1 Introduction
Energy storage is a hot research topic in recent years. In particular, phase-change thermal storage technology is an important technology that makes rational and effective use of existing energy, optimizes the use of renewable energy and enhances energy efficiency (1,2). Phase change thermal storage materials use the latent heat of phase change to achieve the energy storage and utilization (3,4). The realization of phase change energy storage technology relies on phase change materials (PCMs). PCM is a kind of material which can change its phase when it absorbs or releases heat, and the latent heat reflects the heat absorption and heat release ability of materials. It has been developed for many years and the key research scope focuses on preparation and application of micro-PCMs with appropriate phase change temperatures and desirable thermal stability (5, 6, 7). PCMs achieve the storage and release of energy through the latent heat of phase change (3). At present, these materials have been widely used in textiles, building materials and some other fields (3,8). Microspheres have attracted more attention in recent years. They have potential application in energy storage, thermal insulation, drug delivery, and some other fields (9, 10, 11, 12, 13). Microspheres can be fabricated by natural and synthetic polymers (13, 14, 15, 16). There are many chemical and physicochemical methods available to fabricate microspheres (17, 18, 19).
Hexadecyl acrylate polymer (PHA) is a solid-liquid phase change material, which can absorb and release heat energy at 39°C. However, it is not suitable for application since its unstable olefinic bond. It was used as a shell material in this paper, and further investigations were made to the effect of different crosslinking agents on the surface and phase transition properties of microspheres. In order to expand the application of PHA in a wider range of fields, we have prepared rapid-release microspheres using phase change materials (20). In this research, microspheres with phase change properties were fabricated by polymerization of hexadecyl acrylate (HA) and different crosslinking agents, such as hexadecyl acrylate, allyl methacrylate, 1,4-butylene glycol diacrylate, trimethylolpropyltriacrylate, divinyl benzene, pentaerythritol tetraacrylate, which will help increase the strength and rigidity of the shell material. In addition, the β-tricalcium phosphate has good biocompatibility and can promote bio-bone repair, so it was encapsulated in microspheres to obtain one with a fast release effect. It will effectively promote bone conduction when these microspheres were implanted into a bone defect. This microsphere can be used for orthopedic implant or coating of instrument in the future.
2 Experimental
2.1 Materials
Hexadecyl acrylate (HA, purity, 98 wt%, China Zhejiang Kangde Chemical Inc.) was used as the monomer in the composition of the shell. Allyl methacrylate (AMA, purity, 99.7 wt%) was purchased from China Tianjin Jintongletai Chemical Product Corporation). 1,4-Butylene glycol diacrylate (BDDA; purity, 99.0 wt%) and trimethylolpropyltriacrylate (TMPTA, purity, 99.0 wt%) were products of China Liyang Blazer Chemical Technology Service Center. Divinyl benzene (DVB, purity, 55.0 wt%) was purchased from China Tianjin Jintongletai Chemical Product Corporation. Pentaerythritol tetraacrylate (PETRA, purity, 99.0 wt%) was also a product of China Liyang Blazer Chemical Technology Service Center, which was used as the crosslinking agents in the composition of the microspheres. 2,2′-azobisisobutyronitrile (AIBN, 98.0 wt%, China Tianjin Zhiyuan Chemical Reagent Corporation) was employed as the initiator during the reaction. Sodium salt emulsion of styrene-maleic anhydride copolymer (Na-SMA, 19 wt% aqueous solutions, China Shanghai Leather Chemical Works) was used as surfactant. β-tricalcium phosphate was purchased from Aladdin Reagent (China Shanghai) Co., Ltd. (purity, 99.8 wt%).
2.2 Fabrication of microspheres
The dispersed oil phase consists of 0.3 g 2,2′-azobisisobutyronitrile (AIBN), 0.02 mol hexadecyl acrylate (HA) and 0.01 mol crosslinking agents (Figure 1). The aqueous phase was fabricated by dissolving 100 mL H2O and 7 g sodium salt emulsion of styrenemaleic anhydride copolymer (Na-SMA). The oil phase was added into the aqueous phase under a stirring rate of 500 rpm. After being emulsified by a homogenizer at 1500 rpm for 15 min, the reaction was carried out for 6 h under a stirring rate of 550 rpm at 85°C. Finally, the product was washed with ethanol at 50°C and was vacuum-dried at 45°C for 24 h.

The chemical structure of cross-linking agents: (a) allyl methacrylate (AMA), (b) divinyl benzene (DVB), (c) 1,4-butylene glycol diacrylate (BDDA), (d) trimethylolpropyltriacrylate (TMPTA), (e) pentaerythritol tetraacrylate (PETRA)
2.3 Characterization
Fourier transform infrared spectroscopy (FTIR) spectra was recorded on a Bruker Vector 22 spectrometer (Germany) at natural temperature. The micrographs of the microsphere were observed by scanning electron microscope (SEM, Hitachi S4800, Japan), samples were coated with a layer of gold. Thermal Gravimetric Analysis (TGA) plots were obtained by thermogravimetry (NETZSCH STA 409 PC/ PGTG–DTA, Germany), with a heating rate of 10°C/min in a nitrogen atmosphere, in the range of 20°C-800°C. The thermal behavior of the microsphere was obtained using a differential scanning calorimeter (DSC, NETZSCH DSC 200 F3, Germany) in the range of from –20°C to 80°C at a heating or cooling rate of 10°C/min in a nitrogen atmosphere. Particle size distribution of the microspheres was obtained by a laser particle size analyzer (Horiba LA-300, Japan). X-ray photoelectron spectroscopy (XPS, K-alpha, Thermofisher, United States) was used for element analysis.
3 Results and discussion
3.1 Chemical characterization
In Figure 2, compared with PHA, the bands at 2926 cm–1 and 2856 cm–1 are assigned to stretching vibration of –CH3 and –CH2, respectively. The bands corresponding to C–H stretching vibration of polymer shells are overlapped with hexadecyl acrylate structural unit in each microsphere spectrum. The band at 1468 cm–1 is assigned to the deformation vibration of –CH2. The bands at around 1468 cm–1 and 1410 cm–1, which can be observed in both hexadecyl acrylate structural unit spectrum and each microspheres spectrum, and 717 cm–1 are attributed to a long-chain horizontal rocking vibration absorption peak containing more than four –CH2– groups in the molecule, these are the characteristic bands for hexadecyl acrylate structural unit. The bands at 1735 cm–1 and 1162 cm–1 are assigned to C=O stretching vibration and C–O stretching of the ester group in the polymer shell, due to the presence of the crosslinked structure, the peak at that point appears offset, this may be due to the induced effect causing a change in the distribution of electron clouds in the molecule, causing a change in the bond force constant, which shifts the frequency of the group. The band at 1497cm–1 observed in the spectra of HA-DVB polymer can be assigned to the benzene ring bending vibration.

FTIR spectra of the microspheres with various cross-linking agents.
The FTIR test results showed that the monomers had effective polymerization reaction and the target products were obtained.
The particle size distributions of the microspheres are shown in Figure 3. The particle size ranged mainly from 25 μm to 100 μm for HA-AMA, HA-TMPTA and HA-PETRA microspheres, and from 3 μm to 10 μm for the HA-BDDA and HA-DVB microspheres. The particle size distributions of the five microspheres are different. This may be caused by the difference of the surface tension between the organic phase and the aqueous phase.

Particle size distribution of the microspheres: (a) HA-AMA, (b) HA-BDDA, (c) HA-PETRA, (d) HA-DVB, (e) HA-TMPTA.
3.2 Morphology of microspheres
SEM micrographs of the surface of various micrographs are shown in Figure 4. The capsules show a regular spherical shape except the shell that obtained only by PHA. It is observed that the surface of the micrographs is spherical and smooth, without any defects, this indicates that the addition of cross-linking agent has no obvious effect on the surface morphology of microspheres and this will be beneficial to the application of microspheres in the field of phase change material, washing materials and drugs.

SEM micrographs of (a) HA-AMA, (b) HA-BDDA, (c) HA-PETRA, (d) HA-TMPTA, (e) HA-DVB, (f) PHA.
3.3 Thermal properties and thermal stability
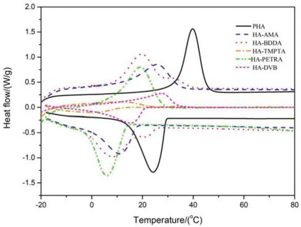
Thermal properties of microspheres fabricated with different cross-linking agents are shown in Figure 5 and summarized in Table 1. As shown in the curve, the endothermic peaks of microspheres fabricated with AMA, BDDA, TMPTA and PETRA as crosslinking agents decreased slightly, the endothermic peaks of microspheres fabricated with DVB as crosslinking agents significantly improved by 2.3°C. This phenomenon shows the phase transition temperature of the microspheres decreased with the increase of functional groups of the cross-linking agents. This is because cross-linking agents with complex structures destroy the regularity of the macromolecular chains and this is not conducive to crystallization. In addition, microspheres fabricated using DVB has the highest latent heats of melting. The results show that the microspheres fabricated by HA and DVB have better structural regularity and application potential. HA-TMPTA microspheres did not show significant endothermic peaks and exothermic peaks, it indicates that the presence of TMPTA affected the crystallinity of the material and leaded to a decrease in the crystallinity of the microspheres.

DSC curve of microspheres with various cross-linking agents.
Thermal properties of microspheres with various cross-linking agents.
Material | Tom/°C | Tpm/°C | ΔHm/Jg–1 | Toc/°C | Tpc/°C | ΔHc/Jg–1 |
---|---|---|---|---|---|---|
PHA | 33.9 | 39.8 | 116.4 | 29.3 | 24.2 | 115.9 |
HA-AMA | 14.7 | 25.8 | 42.03 | 17.5 | 10.9 | 41.83 |
HA-BDDA | 10.0 | 19.7 | 58.56 | 14.9 | 8.2 | 58.54 |
HA-TMPTA | 2.7 | 16.4 | 24.60 | 15.4 | 6.1 | 25.64 |
HA-PETRA | 9.4 | 19.1 | 63.64 | 13.4 | 5.9 | 63.28 |
HA-DVB | 18.3 | 31.6 | 70.68 | 28.4 | 15 | 69.03 |
Note: Tom – on set temperature on DSC heating curve; Tpm – peak temperature on DSC heating curve;
ΔHm – enthalpy on DSC heating curve; Toc – on set temperature on DSC cooling curve;
Tpc – peak temperature on DSC cooling curve; ΔHc – enthalpy on DSC cooling curve.
Thermal stability is one of significant factors in evaluating microspheres for their applications. Figure 6 shows the TGA plots of PHA, HA-AMA, HA-BDDA, HA-TMPTA, HA-PETRA and HA-DVB shells. The extracted value at the temperature for occurrence of mass loss of 5 wt% (Td5%), and the temperature of HA-AMA is approximately 40°C above that of PHA. It is believed that the cross-linked copolymer shell exhibits better thermal stability than that of PHA. The thermal decomposition temperature of PHA shell is approximately equivalent to that of the cross-linked copolymer shells. There is no obvious difference between the shells.

TG curve of the microspheres with various cross-linking agents.
3.4 Application
To verify the temperature controlled release properties of HA-AMA, HA-BDDA, HA-PETRA, HA-TMPTA and HA-DVB, microspheres were prepared using β-tricalcium phosphate as core materials. The release principle of temperature controlled release microspheres is simple and the microspheres can be effectively controlled by temperature. This kind of microsphere can be widely used in food, medical, construction, textile, daily chemical and other fields. The experiment in Figure 7 validates the actual release effect of temperature controlled release microspheres. The microspheres are placed in the water bath. When the temperature is lower than the phase transition temperature of the shell material, the microspheres are suspended in the water and after the temperature is increased to the phase transition temperature, the shell material undergoes a phase change and the microspheres gradually rupture and form the film. The core material sank at the bottom of the tube after the core material was released. The release process of various microcapsules is recorded as shown in Figure 7. Due to the different phase transition temperatures of the microcapsule shell materials, the melting and release rates of the microcapsules are different. The release times of HA-TMPTA, HA-PETRA, HA-BDDA, HA-AMA and HA-DVB were 86 s, 93 s, 98 s, 116 s and 142 s, respectively.

Release effect verification experiment of the temperature controlled release microspheres.
It can be seen from the SEM image in Figure 8 that the HA-PETRA microspheres were released after the particles were melted. And the ratio of Ca/ P of the particles analyzed by EDS is 1.67. In addition, the XPS elemental analysis of the HA-PETRA microcapsules with completed release is carried out as shown in Figure 9, and the Ca/ P ratio is 1.30, which is closed to the test result of EDS, so these results indicating that the released particles were β-tricalcium phosphate. The separation phenomenon of the core and the shell indicates that HA-AMA, HA-BDDA, HA-PETRA, HA-TMPTA and HA-DVB can be used as shell materials to realize the preparation of microspheres and have obvious temperature controlled release effect. This verification is of great significance for carrying out the later research and application.

SEM picture and EDS analysis of HA-PETRA microspheres after melting.

XPS analysis of HA-PETRA microcapsules after release of β-tricalcium phosphate.
4 Conclusions
In this study, microspheres could be obtained by using AMA, BDDA, PETRA, DVB and TMPTA as the cross-linkers. All of the cross-linked copolymer shells exhibit better thermal stability than that of PHA. The latent heats of microspheres fabricated by various cross-linking agents are different. The cross-linking agents with complex structures destroy the regularity of the macromolecular chains and it will affect the crystallization of microspheres but it has no effect on their surface morphology. The latent heat of microspheres fabricated by DVB as cross-linker is the largest and the particle size of the microsphere is uniform. Since the crystal structure is destroyed by varying degrees, the various microspheres have different lower phase transition temperatures, so that all of the cross-linked copolymer shells can be made into temperature controlled release microspheres and the experiments show that all kinds of microcapsules have significant temperature-controlled release effect.
Acknowledgment
The work was supported by the New Materials Research Key Program of Tianjin (No. 16ZXCLGX00090), the National Key Research and Development Program of China (No. 2016YFB0303000) and State Key Laboratory of Separation Membranes and Membrane Processes.
References
1 Li M.G., Zhang Y., Effect of different amounts of surfactant on characteristics of nano-encapsulated phase-change materials. Polym. Bull., 2011, 67, 541-552.10.1007/s00289-011-0492-1Search in Google Scholar
2 Zhang L., Jin Y., Liu H., Du. Y., Structure and control release of chitosan/carboxymethyl cellulose microspheres. J. Appl. Polym. Sci., 2001, 82, 584-592.10.1002/app.1886Search in Google Scholar
3 Sharma A., Tyagi V.V., Chen C.R., Buddhi D., Review on thermal energy storage with phase change materials and applications. Renew. Sust. Energ. Rev., 2009, 13(2), 318-345.10.1016/j.rser.2007.10.005Search in Google Scholar
4 Ahmed A., Sanada K., Fanni M., El-Moneim A., A practical methodology for modeling and verification of self-healing microspheres-based composites elasticity. Compos. Struct., 2018, 184, 1092-1098.10.1016/j.compstruct.2017.10.045Search in Google Scholar
5 Palanikkumaran M., Gupta K.K., Agrawal A.K., Jassal M., Highly stable hexamethylolmelamine microcapsules containing n-octadecane prepared by in situ encapsulation. J. Appl. Polym. Sci., 2009, 114, 2997-3002.10.1002/app.30923Search in Google Scholar
6 Yu F., Chen Z.-H., Zeng X.-R., Gao X.-N., Zhang Z.-G., Poly(methyl methacrylate) copolymer nanocapsules containing phase-change material (n-dodecanol) prepared via miniemulsion polymerization. J. Appl. Polym. Sci., 2015, 132, 4233410.1002/app.42334Search in Google Scholar
7 Szczotok A.M., Carmona M., Kjøniksen A.-L., Rodriguez J.F., The role of radical polymerization in the production of thermoregulating microcapsules or polymers from saturated and unsaturated fatty acids. J. Appl. Polym. Sci., 2018, 135, 45970.10.1002/app.45970Search in Google Scholar
8 Ahmed A., Sanada K., Fanni M., El-Moneim A.A., A practical methodology for modeling and verification of self-healing microcapsules-based composites elasticity. Compos. Struct., 2018, 184, 1092-1098.10.1016/j.compstruct.2017.10.045Search in Google Scholar
9 Liu J., Detrembleur C., De Pauw-Gillet M.C., Mornet S., Jérôme C., Duguet E., Gold Nanorods Coated with Mesoporous β-tricalcium phosphate Shell as Drug Delivery System for Remote Near Infrared Light-Activated Release and Potential Phototherapy. SMALL, 2015, 11, 2323-2332.10.1002/smll.201402145Search in Google Scholar PubMed
10 Nejman A., Cieślak M., The impact of the heating/cooling rate on the thermoregulating properties of textile materials modified with PCM microspheres. Appl. Therm. Eng., 2017, 127, 212-223.10.1016/j.applthermaleng.2017.08.037Search in Google Scholar
11 Delgado M., Lázaro A., Peñalosa C., Zalba B., Experimental analysis of the influence of microsphere mass fraction on the thermal and rheological behavior of a PCM slurry. Appl. Therm. Eng., 2014, 63, 11-22.10.1016/j.applthermaleng.2013.10.011Search in Google Scholar
12 Konuklu Y., Ostry M., Paksoy H., Charvat P., Review on using microencapsulated phase change materials (PCM) in building applications. Energ. Buildings, 2015, 106, 134-155.10.1016/j.enbuild.2015.07.019Search in Google Scholar
13 Aguayo M., Das S., Maroli A., Kabay N., Mertens J.C.E., Rajan S.D., et al., The influence of microencapsulated phase change material (PCM) characteristics on the microstructure and strength of cementitious composites: Experiments and finite element simulations. Cement Concrete Comp., 2016, 73, 29-41.10.1016/j.cemconcomp.2016.06.018Search in Google Scholar
14 Ahangaran F., Hayaty M., Navarchian A., Picchioni F., Micromechanical assessment of PMMA microspheres containing epoxy and mercaptan as self-healing agents. Polym. Test., 2017, 64, 330-336.10.1016/j.polymertesting.2017.10.014Search in Google Scholar
15 Tang X F., Li W., Zhang X.X., New approach to fabricate microspheres with comb-like copolymer shell by phase separation method. Adv. Mater. Res., 2014, 860-863, 577-581.10.4028/www.scientific.net/AMR.860-863.577Search in Google Scholar
16 Sarı A., Biçer A., Karaipekli A., Synthesis, characterization, thermal properties of a series of stearic acid esters as novel solid–liquid phase change materials. Mater. Lett., 2009, 63, 1213-1216.10.1016/j.matlet.2009.02.045Search in Google Scholar
17 Ma Y., Chu X., Tang G., Yao Y., Adjusting phase change temperature of microspheres by regulating their core compositions. Mater. Lett., 2012, 82, 39-41.10.1016/j.matlet.2012.05.033Search in Google Scholar
18 Ma Y., Chu X., Tang G., Yao Y., Synthesis and thermal properties of acrylate-based polymer shell microspheres with binary core as phase change materials. Mater. Lett., 2013, 91, 133-135.10.1016/j.matlet.2012.09.084Search in Google Scholar
19 Qiu X., Li W., Song G.L., Chu X.G., Tang G.Y., Fabrication and characterization of microencapsulated n-octadecane with different crosslinked methyl methacrylate-based polymer shells. Sol. Energ. Mater. Sol. C., 2012, 98, 283-293.10.1016/j.solmat.2011.11.018Search in Google Scholar
20 Ahangaran F., Hayaty M., Navarchian A.H., Picchioni F., Micromechanical assessment of PMMA microcapsules containing epoxy and mercaptan as self-healing agents. Polym. Test., 2017, 64, 330-336.10.1016/j.polymertesting.2017.10.014Search in Google Scholar
© 2020 Yun and Zhang, published by De Gruyter
This work is licensed under the Creative Commons Attribution 4.0 International License.
Articles in the same Issue
- Regular Articles
- The regulatory effects of the number of VP(N-vinylpyrrolidone) function groups on macrostructure and photochromic properties of polyoxometalates/copolymer hybrid films
- How the hindered amines affect the microstructure and mechanical properties of nitrile-butadiene rubber composites
- Novel benzimidazole-based conjugated polyelectrolytes: synthesis, solution photophysics and fluorescent sensing of metal ions
- Study on the variation of rock pore structure after polymer gel flooding
- Investigation on compatibility of PLA/PBAT blends modified by epoxy-terminated branched polymers through chemical micro-crosslinking
- Investigation on degradation mechanism of polymer blockages in unconsolidated sandstone reservoirs
- Investigation on the effect of active-polymers with different functional groups for EOR
- Fabrication and characterization of hexadecyl acrylate cross-linked phase change microspheres
- Surface-induced phase transitions in thin films of dendrimer block copolymers
- ZnO-assisted coating of tetracalcium phosphate/ gelatin on the polyethylene terephthalate woven nets by atomic layer deposition
- Animal fat and glycerol bioconversion to polyhydroxyalkanoate by produced water bacteria
- Effect of microstructure on the properties of polystyrene microporous foaming material
- Synthesis of amphiphilic poly(ethylene glycol)-block-poly(methyl methacrylate) containing trityl ether acid cleavable junction group and its self-assembly into ordered nanoporous thin films
- On-demand optimize design of sound-absorbing porous material based on multi-population genetic algorithm
- Enhancement of mechanical, thermal and water uptake performance of TPU/jute fiber green composites via chemical treatments on fiber surface
- Enhancement of mechanical properties of natural rubber–clay nanocomposites through incorporation of silanated organoclay into natural rubber latex
- Preparation and characterization of corn starch/PVA/glycerol composite films incorporated with ε-polylysine as a novel antimicrobial packaging material
- Preparation of novel amphoteric polyacrylamide and its synergistic retention with cationic polymers
- Effect of montmorillonite on PEBAX® 1074-based mixed matrix membranes to be used in humidifiers in proton exchange membrane fuel cells
- Insight on the effect of a piperonylic acid derivative on the crystallization process, melting behavior, thermal stability, optical and mechanical properties of poly(l-lactic acid)
- Lipase-catalyzed synthesis and post-polymerization modification of new fully bio-based poly(hexamethylene γ-ketopimelate) and poly(hexamethylene γ-ketopimelate-co-hexamethylene adipate) copolyesters
- Dielectric, mechanical and thermal properties of all-organic PI/PSF composite films by in situ polymerization
- Morphological transition of amphiphilic block copolymer/PEGylated phospholipid complexes induced by the dynamic subtle balance interactions in the self-assembled aggregates
- Silica/polymer core–shell particles prepared via soap-free emulsion polymerization
- Antibacterial epoxy composites with addition of natural Artemisia annua waste
- Design and preparation of 3D printing intelligent poly N,N-dimethylacrylamide hydrogel actuators
- Multilayer-structured fibrous membrane with directional moisture transportability and thermal radiation for high-performance air filtration
- Reaction characteristics of polymer expansive jet impact on explosive reactive armour
- Synthesis of a novel modified chitosan as an intumescent flame retardant for epoxy resin
- Synthesis of aminated polystyrene and its self-assembly with nanoparticles at oil/water interface
- The synthesis and characterisation of porous and monodisperse, chemically modified hypercrosslinked poly(acrylonitrile)-based terpolymer as a sorbent for the adsorption of acidic pharmaceuticals
- Crystal transition and thermal behavior of Nylon 12
- All-optical non-conjugated multi-functionalized photorefractive polymers via ring-opening metathesis polymerization
- Fabrication of LDPE/PS interpolymer resin particles through a swelling suspension polymerization approach
- Determination of the carbonyl index of polyethylene and polypropylene using specified area under band methodology with ATR-FTIR spectroscopy
- Synthesis, electropolymerization, and electrochromic performances of two novel tetrathiafulvalene–thiophene assemblies
- Wetting behaviors of fluoroterpolymer fiber films
- Plugging mechanisms of polymer gel used for hydraulic fracture water shutoff
- Synthesis of flexible poly(l-lactide)-b-polyethylene glycol-b-poly(l-lactide) bioplastics by ring-opening polymerization in the presence of chain extender
- Sulfonated poly(arylene ether sulfone) functionalized polysilsesquioxane hybrid membranes with enhanced proton conductivity
- Fmoc-diphenylalanine-based hydrogels as a potential carrier for drug delivery
- Effect of diacylhydrazine as chain extender on microphase separation and performance of energetic polyurethane elastomer
- Improved high-temperature damping performance of nitrile-butadiene rubber/phenolic resin composites by introducing different hindered amine molecules
- Rational synthesis of silicon into polyimide-derived hollow electrospun carbon nanofibers for enhanced lithium storage
- Synthesis, characterization and properties of phthalonitrile-etherified resole resin
- Highly thermally conductive boron nitride@UHMWPE composites with segregated structure
- Synthesis of high-temperature thermally expandable microcapsules and their effects on foaming quality and surface quality of foamed ABS materials
- Tribological and nanomechanical properties of a lignin-based biopolymer
- Hydroxyapatite/polyetheretherketone nanocomposites for selective laser sintering: Thermal and mechanical performances
- Synthesis of a phosphoramidate flame retardant and its flame retardancy on cotton fabrics
- Preparation and characterization of thermoresponsive poly(N-isopropylacrylamide) copolymers with enhanced hydrophilicity
- Fabrication of flexible SiO2 nanofibrous yarn via a conjugate electrospinning process
- Silver-loaded carbon nanofibers for ammonia sensing
- Polar migration behavior of phosphonate groups in phosphonate esterified acrylic grafted epoxy ester composites and their role in substrate protection
- Solubility and diffusion coefficient of supercritical CO2 in polystyrene dynamic melt
- Curcumin-loaded polyvinyl butyral film with antibacterial activity
- Experimental-numerical studies of the effect of cell structure on the mechanical properties of polypropylene foams
- Experimental investigation on the three-dimensional flow field from a meltblowing slot die
- Enhancing tribo-mechanical properties and thermal stability of nylon 6 by hexagonal boron nitride fillers
- Preparation and characterization of electrospun fibrous scaffolds of either PVA or PVP for fast release of sildenafil citrate
- Seawater degradation of PLA accelerated by water-soluble PVA
- Review Article
- Mechanical properties and application analysis of spider silk bionic material
- Additive manufacturing of PLA-based scaffolds intended for bone regeneration and strategies to improve their biological properties
- Structural design toward functional materials by electrospinning: A review
- Special Issue: XXXII National Congress of the Mexican Polymer Society
- Tailoring the morphology of poly(high internal phase emulsions) synthesized by using deep eutectic solvents
- Modification of Ceiba pentandra cellulose for drug release applications
- Redox initiation in semicontinuous polymerization to search for specific mechanical properties of copolymers
- pH-responsive polymer micelles for methotrexate delivery at tumor microenvironments
- Microwave-assisted synthesis of the lipase-catalyzed ring-opening copolymerization of ε-caprolactone and ω-pentadecanolactone: Thermal and FTIR characterization
- Rapid Communications
- Pilot-scale production of polylactic acid nanofibers by melt electrospinning
- Erratum
- Erratum to: Synthesis and characterization of new macromolecule systems for colon-specific drug delivery
Articles in the same Issue
- Regular Articles
- The regulatory effects of the number of VP(N-vinylpyrrolidone) function groups on macrostructure and photochromic properties of polyoxometalates/copolymer hybrid films
- How the hindered amines affect the microstructure and mechanical properties of nitrile-butadiene rubber composites
- Novel benzimidazole-based conjugated polyelectrolytes: synthesis, solution photophysics and fluorescent sensing of metal ions
- Study on the variation of rock pore structure after polymer gel flooding
- Investigation on compatibility of PLA/PBAT blends modified by epoxy-terminated branched polymers through chemical micro-crosslinking
- Investigation on degradation mechanism of polymer blockages in unconsolidated sandstone reservoirs
- Investigation on the effect of active-polymers with different functional groups for EOR
- Fabrication and characterization of hexadecyl acrylate cross-linked phase change microspheres
- Surface-induced phase transitions in thin films of dendrimer block copolymers
- ZnO-assisted coating of tetracalcium phosphate/ gelatin on the polyethylene terephthalate woven nets by atomic layer deposition
- Animal fat and glycerol bioconversion to polyhydroxyalkanoate by produced water bacteria
- Effect of microstructure on the properties of polystyrene microporous foaming material
- Synthesis of amphiphilic poly(ethylene glycol)-block-poly(methyl methacrylate) containing trityl ether acid cleavable junction group and its self-assembly into ordered nanoporous thin films
- On-demand optimize design of sound-absorbing porous material based on multi-population genetic algorithm
- Enhancement of mechanical, thermal and water uptake performance of TPU/jute fiber green composites via chemical treatments on fiber surface
- Enhancement of mechanical properties of natural rubber–clay nanocomposites through incorporation of silanated organoclay into natural rubber latex
- Preparation and characterization of corn starch/PVA/glycerol composite films incorporated with ε-polylysine as a novel antimicrobial packaging material
- Preparation of novel amphoteric polyacrylamide and its synergistic retention with cationic polymers
- Effect of montmorillonite on PEBAX® 1074-based mixed matrix membranes to be used in humidifiers in proton exchange membrane fuel cells
- Insight on the effect of a piperonylic acid derivative on the crystallization process, melting behavior, thermal stability, optical and mechanical properties of poly(l-lactic acid)
- Lipase-catalyzed synthesis and post-polymerization modification of new fully bio-based poly(hexamethylene γ-ketopimelate) and poly(hexamethylene γ-ketopimelate-co-hexamethylene adipate) copolyesters
- Dielectric, mechanical and thermal properties of all-organic PI/PSF composite films by in situ polymerization
- Morphological transition of amphiphilic block copolymer/PEGylated phospholipid complexes induced by the dynamic subtle balance interactions in the self-assembled aggregates
- Silica/polymer core–shell particles prepared via soap-free emulsion polymerization
- Antibacterial epoxy composites with addition of natural Artemisia annua waste
- Design and preparation of 3D printing intelligent poly N,N-dimethylacrylamide hydrogel actuators
- Multilayer-structured fibrous membrane with directional moisture transportability and thermal radiation for high-performance air filtration
- Reaction characteristics of polymer expansive jet impact on explosive reactive armour
- Synthesis of a novel modified chitosan as an intumescent flame retardant for epoxy resin
- Synthesis of aminated polystyrene and its self-assembly with nanoparticles at oil/water interface
- The synthesis and characterisation of porous and monodisperse, chemically modified hypercrosslinked poly(acrylonitrile)-based terpolymer as a sorbent for the adsorption of acidic pharmaceuticals
- Crystal transition and thermal behavior of Nylon 12
- All-optical non-conjugated multi-functionalized photorefractive polymers via ring-opening metathesis polymerization
- Fabrication of LDPE/PS interpolymer resin particles through a swelling suspension polymerization approach
- Determination of the carbonyl index of polyethylene and polypropylene using specified area under band methodology with ATR-FTIR spectroscopy
- Synthesis, electropolymerization, and electrochromic performances of two novel tetrathiafulvalene–thiophene assemblies
- Wetting behaviors of fluoroterpolymer fiber films
- Plugging mechanisms of polymer gel used for hydraulic fracture water shutoff
- Synthesis of flexible poly(l-lactide)-b-polyethylene glycol-b-poly(l-lactide) bioplastics by ring-opening polymerization in the presence of chain extender
- Sulfonated poly(arylene ether sulfone) functionalized polysilsesquioxane hybrid membranes with enhanced proton conductivity
- Fmoc-diphenylalanine-based hydrogels as a potential carrier for drug delivery
- Effect of diacylhydrazine as chain extender on microphase separation and performance of energetic polyurethane elastomer
- Improved high-temperature damping performance of nitrile-butadiene rubber/phenolic resin composites by introducing different hindered amine molecules
- Rational synthesis of silicon into polyimide-derived hollow electrospun carbon nanofibers for enhanced lithium storage
- Synthesis, characterization and properties of phthalonitrile-etherified resole resin
- Highly thermally conductive boron nitride@UHMWPE composites with segregated structure
- Synthesis of high-temperature thermally expandable microcapsules and their effects on foaming quality and surface quality of foamed ABS materials
- Tribological and nanomechanical properties of a lignin-based biopolymer
- Hydroxyapatite/polyetheretherketone nanocomposites for selective laser sintering: Thermal and mechanical performances
- Synthesis of a phosphoramidate flame retardant and its flame retardancy on cotton fabrics
- Preparation and characterization of thermoresponsive poly(N-isopropylacrylamide) copolymers with enhanced hydrophilicity
- Fabrication of flexible SiO2 nanofibrous yarn via a conjugate electrospinning process
- Silver-loaded carbon nanofibers for ammonia sensing
- Polar migration behavior of phosphonate groups in phosphonate esterified acrylic grafted epoxy ester composites and their role in substrate protection
- Solubility and diffusion coefficient of supercritical CO2 in polystyrene dynamic melt
- Curcumin-loaded polyvinyl butyral film with antibacterial activity
- Experimental-numerical studies of the effect of cell structure on the mechanical properties of polypropylene foams
- Experimental investigation on the three-dimensional flow field from a meltblowing slot die
- Enhancing tribo-mechanical properties and thermal stability of nylon 6 by hexagonal boron nitride fillers
- Preparation and characterization of electrospun fibrous scaffolds of either PVA or PVP for fast release of sildenafil citrate
- Seawater degradation of PLA accelerated by water-soluble PVA
- Review Article
- Mechanical properties and application analysis of spider silk bionic material
- Additive manufacturing of PLA-based scaffolds intended for bone regeneration and strategies to improve their biological properties
- Structural design toward functional materials by electrospinning: A review
- Special Issue: XXXII National Congress of the Mexican Polymer Society
- Tailoring the morphology of poly(high internal phase emulsions) synthesized by using deep eutectic solvents
- Modification of Ceiba pentandra cellulose for drug release applications
- Redox initiation in semicontinuous polymerization to search for specific mechanical properties of copolymers
- pH-responsive polymer micelles for methotrexate delivery at tumor microenvironments
- Microwave-assisted synthesis of the lipase-catalyzed ring-opening copolymerization of ε-caprolactone and ω-pentadecanolactone: Thermal and FTIR characterization
- Rapid Communications
- Pilot-scale production of polylactic acid nanofibers by melt electrospinning
- Erratum
- Erratum to: Synthesis and characterization of new macromolecule systems for colon-specific drug delivery