Abstract
By introducing hindered amine GW-622 or GW-944 into nitrile-butadiene rubber/phenolic resin (NBR/PR, abbreviated as NBPR) matrix, we have prepared different hindered amine/NBR/PR ternary hybrid damping materials with high-temperature damping performance, respectively. Fourier transform infrared (FTIR) spectroscopy, scanning electron microscope (SEM), differential scanning calorimetry (DSC), and dynamic thermomechanical analysis (DMA) were used to research the microstructure, compatibility, and damping properties of the hindered amine/NBPR composites. FTIR results indicate that hydrogen bonds are formed between the hindered amine and the NBPR matrix. Both DSC and SEM results show that hindered amine has partial compatibility with the NBPR matrix. DMA results show that two loss peaks appear in the hindered amine/NBPR composite. Thereby, the composites show better damping performance at a higher temperature, and the temperature domain of high-temperature damping becomes wider with the increase in the addition of hindered amine. This study provides a theoretical support for the preparation of high-temperature damping materials.
Graphical abstract
To obtain high damping materials in the high-temperature domain, hindered amine GW-622 or GW-944 was introduced into nitrile-butadiene rubber/phenolic resin (NBR/PR) matrix to prepare ternary hybrid damping material. The FTIR, DSC, SEM, and DMA analyses were used to explore the microstructure, compatibility, and damping performance of the hindered amine/NBPR composite.

1 Introduction
Rubber is the most important damping material because of its unique viscoelastic properties (1,2). The damping principle of rubber damping material is to use the viscoelastic property of the polymer to absorb vibration energy (3). The absorbed mechanical energy or sound energy is partially converted into heat energy and dissipated to reduce vibration or reduce amplitude (4). Generally speaking, the damping factor of pure rubber matrix is small, the glass transition temperature (Tg) range is narrow, and the effective damping temperature range is in the low-temperature region below room temperature (5,6,7). Therefore, the material needs to be modified to achieve the required damping purpose. In recent years, the study of organic hybrid damping materials has attracted much attention (8,9). The damping property of the rubber matrix is improved by hydrogen bond (H-bond) interaction between rubber matrix and polar organic molecules (10).
To prepare organic hybrid materials, hindered phenols containing polar hydroxyl groups are often selected as polar small molecules, such as AO-80 (11), AO-60 (12), and AO-70 (13). Most of the previous studies have been on the binary hybrid damping materials (14,15). At the very beginning, Wu et al. studied the hybrid composites of AO-80/chlorinated polyethylene (CPE) (16), AO-70/CPE and AO-60/CPE (17), and found that the addition of hindered phenol could significantly increase the damping performance of CPE matrix. Zhao et al. added the hindered phenol to the polar nitrile rubber (nitrile butadiene rubber [NBR]) matrix to prepare the rubber-based damping material with high loss peak and improved tensile properties (18). Like hindered phenols, hindered amine molecules contain a large number of polar amine and imine groups. When the hindered amine is added to the polar rubber, it can interact with the polar rubber matrix, thus giving the rubber matrix excellent damping properties (19). Besides, the hindered amine has wide sources and is of lower price than hindered phenol, which can effectively reduce the production cost of organic hybrid materials. Therefore, it is of great significance to study hindered amine/rubber composites.
The damping properties of binary rubber-based organic hybrid materials tend to be improved at room temperature (20,21). However, the processing and use environment of rubber damping materials is changeable, so it is of great significance to prepare materials with high damping properties in a wide temperature range, especially in a high-temperature range. Researchers began to prepare ternary hybrid damping materials by adding polar small molecules to rubber and plastic blends. Zhang et al. prepared hindered phenol AO-80/phenol resin (PR)/NBR ternary hybrid with long-period damping properties (22). In our previous study, by introducing AO-80 into nitrile butadiene rubber/poly(vinyl chloride) (NBR/PVC), we got ternary hybrid damping materials with high damping properties and high mechanical properties (23).
In this study, we propose a strategy that many hydroxyl polar functional groups in the phenolic resin structure, which would lead to a polar amino group on the hindered amine, can form strong H-bond with NBR and PR matrix to prepare high damping materials in the high-temperature domain. Nitrile butadiene rubber/phenolic resin (NBR/PR [NBPR]) was selected as matrix, and different kinds of hindered amines (GW-622 and GW-944) were chosen as polar small molecules to prepare ternary hybrid damping materials. NBR exhibits excellent damping performance due to the presence of polar cyan functional groups in its structure.
2 Experimental
2.1 Materials
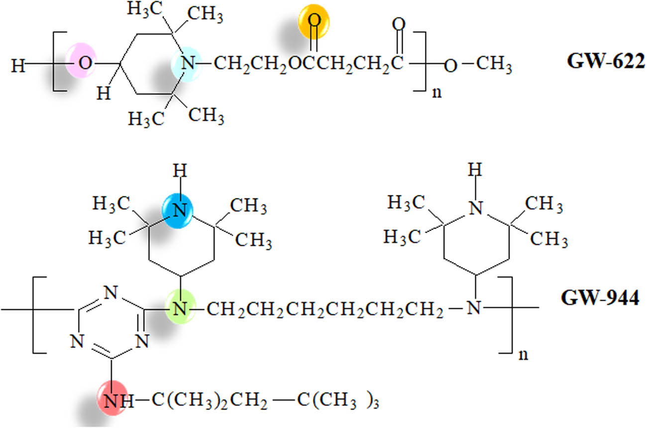
Hindered amine powders (GW-622 and GW-944) were supplied by Beijing Additives Institute (China). NBR with an acrylonitrile weight content of 41% (N220S) was provided by Japan Synthetic Rubber Co., Ltd (Japan). Phenolic resin powders (PR 2123) were obtained from Wuxi Mingyang Bonding Material Co., Ltd (China). Other rubber processing additives were of analytical grade and used without further purification. The chemical structures of GW-622 and GW-944 are shown in Figure 1.

Chemical structures of GW-622 and GW-944 molecules.
2.2 Preparation of hindered amine/NBPR composites
The NBPR composites were obtained by mixing the NBR and PR powders (the mass ratio of NBR and PR is 80:20) in φ152.4 mm two-roll mill at room temperature. The mixture was then added with different masses of hindered amine molecules, and the mass ratios of GW-622 and NBPR were 0/100, 17/100, 35/100, 52/100, and 70/100 (the mass ratios of GW-944 and NBPR were 0/100, 18/100, 36/100, 54/100, and 72/100). The mixtures were then kneaded at 130°C for 5 min on a two-roll mill to fully fuse the hindered amine molecules. Then, the compounding and crosslinking additives were added to the above mixtures, including 5.0 phr of zinc oxide, 2.0 phr of stearic acid, 0.2 phr of tetramethylthiuram disulfide, 0.5 phr of diphenyl guanidine, 0.5 phr of dibenzothiazole disulfide, and 2.0 phr of sulfur. Finally, the mixtures were hot pressed and vulcanized at 160°C and 15 MPa for their corresponding T90 (optimum cure time).
2.3 Characterization
Fourier transform infrared spectroscopy (FTIR) was conducted by Nicolet 8700, Thermo Fisher Scientific Inc. (USA). The spectra were obtained by using the attenuated total reflection technique in a wavenumber ranging from 4,000 cm−1 to 500 cm−1 for 32 scans at a resolution of 8 cm−1. The GW-622 (or GW-944) powder spectra were obtained by using ultrathin disk specimens pressed from hindered amine ground in anhydrous potassium bromide.
Scanning electron microscopy (SEM) images of the fracture surfaces of the hindered amine/NBPR composites were taken by Hitachi S-4800 (Japan). All SEM samples were cryogenically fractured by quenching in liquid nitrogen.
Differential scanning calorimetry (DSC) was performed on a TGA/DSC calorimeter, Mettler-Toledo Co (Switzerland). Samples were heated from −60°C to 150°C at a heating rate of 20°C/min under an N2 atmosphere.
Dynamic mechanical performance (dynamic thermomechanical analysis [DMA]) was attained by VA 3000 dynamic mechanical analyzer, Rheometric Scientific Inc. (USA). The sample size was 15 mm (length) × 10 mm (width) × 2 mm (thickness). The temperature range was measured form −100°C to 200°C at a heating rate of 5°C/min and a constant frequency of 10 Hz.
3 Results and discussion
3.1 Hydrogen bonding interactions of hindered amine/NBPR composites
To test our prepared samples, the classical FTIR measurements were used to detect the intermolecular interactions between the hindered amine molecules and NBPR matrix, as shown in Figure 2. Two prominent absorption peaks appear at 3,544 and 3,453 cm−1 in Figure 2a, corresponding to the free hydroxyls of GW-622 molecules and the H-bond interactions (O–H⋯O H-bonds) between GW-622 molecules (19). The peak at 1,733 cm−1 wavenumber is attributed to the carbonyl groups. For GW-944 molecules, the peak at the wavenumber 3,442 cm−1 belongs to the amino groups. Figure 2b shows that pure NBPR matrix has two distinct peaks. The broad infrared absorption peak in the wavenumber ranging from 3,250 to 3,500 cm−1 is responsible for phenolic hydroxyl groups of PR (22). The –CN group of NBR is at wavenumber 2,237 cm−1 (23). With the increasing addition of GW-622 molecules, it can be found that the 3,387 peak intensity decrease and the peak shifts to the high wavenumber, which means more phenolic hydroxyl groups involves in the formation of H-bonds. Similarly, the –CN groups also change accordingly, indicating that more –CN groups are involved in the formation of H-bonds.

FTIR spectra of (a) GW-622 and GW-944 molecule, (b) GW-622/NBPR composites, and (c) GW-944/NBPR composites.
Figure 2c shows that the addition of hindered amine GW-944 into NBPR matrix has a similar effect as GW-622. With increasing the content of GW-944 molecules, the 2,237 cm−1 peak of –CN groups decreases gradually. Also, the vibration peak of phenolic hydroxyl group moves toward high wavenumber, and the phenomenon of blue shift occurs. These phenomena indicate that the addition of GW-944 molecules increase the content of intermolecular H-bonds in the NBPR composites.
3.2 Microstructure of hindered amine/NBRR composites
To illustrate the microstructure morphology of hindered amine/NBPR composites, the SEM test is carried out, as shown in Figure 3. Figure 3a and b shows that pure NBPR samples have smooth fracture surfaces, indicating the good compatibility between the NBR and PR. When the content of GW-622 is above 35 phr, some pits begin to protrude on the surface of GW-622/NBPR composite, as shown in Figure 3c and d. The dispersion of small molecules in the NBPR has reached a saturation state. The addition of more GW-622 will cause the aggregation of small molecules. During the embrittlement and cold breaking in liquid nitrogen, the aggregates of GW-622 molecules fell off from the surface of the NBPR matrix, resulting in the formation of pits. At the same time, the partial compatibility between GW-622 molecules and the NBPR matrix is also the cause of the uneven surface.

SEM images of NBPR composites filed with (a) 0 phr, (b) 35 phr, and (c) 52 phr GW-622, and SEM images of NBPR composites filed (d) 0 phr, (e) 36 phr, and (f) 54 phr GW-944.
On the basis of the microstructure morphology test, we could clearly compare with our prepared samples with GW-622/NBPR composites, and the GW-944/NBPR composites become rougher when the addition of GW-944 small molecules reaches 36 phr. This may be due to the uneven size of the hindered amine GW-944, ranging from micron to millimeter, and so it is difficult for GW-944 to be uniformly dispersed in the NBPR matrix.
3.3 Glass transition of hindered amine/NBPR composites
Further analysis of the thermal stability of the prepared sample was carried out, and Figure 4 shows the DSC curves of the hindered amines molecules and the hindered amine/NBPR composites with different mass ratios. As shown in Figure 4a, the glass transition temperatures of hindered amine GW-622 and GW-944 are 67.6°C and 84.8°C, respectively. As shown in Figure 4b, Tg of NBPR matrix is 0.1°C, and the melting temperature of NBPR is 109.2°C. Figure 4b shows that Tg of GW-622/NBPR composite moves toward low temperature in a small extent with the addition of GW-622 molecules. With the formation of the molecular interaction between GW-622 and NBPR, theoretically, Tg should move toward high temperature. However, due to the large molecular structure of GW-622 (as shown in Figure 1), the volume of GW-622/NBPR composites becomes larger when there is an increase in the addition of GW-622, making Tg move toward the low temperature.

DSC curves of (a) GW-622 and GW-944 molecule, (b) GW-622/NBPR composites, and (c) GW-944/NBPR composites.
Similar results were observed for the GW-944/NBPR composite, i.e., adding GW-622 molecules and making Tg to move toward the low temperature. We will further verify the aforementioned results.
3.4 Damping properties of hindered amine/NBPR composites
The damping properties of materials are determined by the loss factor and the area of the glass transition zone (TA value) (tan δ > 0.3) (24,25). Figure 5 shows the temperature dependence of the tan δ value of hindered amine/NBPR composite. The pure NBPR matrix has only one loss peak, which again indicates the good compatibility between NBR and PR, as shown in the earlier SEM. As shown in Figure 5a, with the addition of GW-622 molecules, the GW-622/NBPR composites change from a single loss peak to two adjacent double loss peaks. Moreover, with the increasing GW-622 contents, the first loss peak in the room temperature region decreases and moves toward the low-temperature direction, as shown in the aforementioned DSC. The second loss peak in the high-temperature region increases gradually, and the range of damping temperature domain also increases gradually with the addition of GW-622 molecules. From Table 1, we can observe that the first loss peak value of GW-622/NBPR decreases from the original 1.28 to 0.87 by 32%. The TA1 value also has a 43.6% decrement from 38.61 to 21.78. The peak position moves from 29.88 to 23.14, which is consistent with the aforementioned DSC analysis. The second loss peak value increases from the original 0.20 to 0.64 by 220%. In addition, the TA2 value has a greater increment from 6.52 to 27.79.

Temperature dependence of tan δ of (a) GW-622/NBPR composites, (b) GW-944/NBPR composites, (c) damping parameter variation of GW-622/NBPR, and (d) damping parameter variation of GW-944/NBPR.
Damping properties of the GW-622/NBPR composite with different GW-622 molecule contents
| T < 50 (°C) | T > 50 (°C) | |||||||
|---|---|---|---|---|---|---|---|---|
| GW-622/NBPR | tan δ peak position (°C) | tan δ peak height | Temperature range >0.3 | tan δ peak position (°C) | tan δ peak height | Temperature range >0.3 | ||
| ΔT1 (°C) | TA1 | ΔT2 (°C) | TA2 | |||||
| 0/100 | 29.88 | 1.28 | 49.12 | 38.61 | — | — | — | — |
| 17/100 | 25.19 | 1.17 | 47.49 | 35.00 | 107.34 | 0.20 | — | — |
| 35/100 | 22.22 | 1.18 | 44.14 | 32.22 | 102.56 | 0.34 | 19.78 | 6.52 |
| 52/100 | 20.04 | 1.08 | 40.35 | 27.68 | 99.99 | 0.40 | 35.76 | 13.05 |
| 70/100 | 23.14 | 0.87 | 36.82 | 21.78 | 80.74 | 0.64 | 61.50 | 27.79 |
Figure 5b shows that the addition of GW-944 molecules also makes the GW-944/NBPR composite show two loss peaks. Compared with the addition of GW-622, the addition of GW-944 reduces the first loss peak of the NBPR matrix more and increases the second loss peak of the matrix more. From Table 2, we can observe that the first loss peak decreases by 61.7% from 1.28 to 0.49, whereas the second loss peak increases from 0.55 to 0.64.
Damping properties of the GW-944/NBPR composite with different GW-944 molecule contents
| T < 50 (°C) | T > 50 (°C) | |||||||
|---|---|---|---|---|---|---|---|---|
| GW-944/NBPR | tan δ peak position (°C) | tan δ peak height | Temperature range >0.3 | tan δ peak position (°C) | tan δ peak height | Temperature range >0.3 | ||
| ΔT1 (°C) | TA1 | ΔT2 (°C) | TA2 | |||||
| 0/100 | 29.88 | 1.28 | 49.12 | 38.61 | — | — | — | — |
| 18/100 | 25.65 | 0.54 | 42.85 | 19.14 | 129.39 | 0.55 | 32.23 | 14.51 |
| 36/100 | 23.85 | 0.61 | 43.57 | 20.63 | 136.04 | 0.50 | 37.43 | 16.17 |
| 54/100 | 20.67 | 0.58 | 38.01 | 17.47 | 139.07 | 0.54 | 40.98 | 18.64 |
| 72/100 | 19.42 | 0.49 | 30.88 | 12.80 | 122.91 | 0.64 | 50.32 | 26.88 |
Figure 5c and d shows that the loss factor value of hindered amine/NBPR composites in the low-temperature zone (−80°C to 60°C) decreases with the addition of the hindered amine, while the loss factor value of the composite in the high-temperature zone (80–140°C) increases continuously, indicating that the addition of hindered amine GW-622 or GW-944 can effectively improve the damping performance of the NBPR matrix in the high-temperature zone. When the hindered amine molecules are added to the NBPR matrix, the H-bond interactions formed between hindered amine molecules and the NBPR matrix. At the same time, saturated small molecules are dispersed in the NBPR matrix, the addition of more hindered amines would result in the aggregation in small molecules. As a result, the volume of hindered amine/NBPR composites increases, resulting in Tg of composites moving toward the direction of high temperature and decreasing of the loss factor value in the room temperature.
Figure 6 shows the temperature dependence of storage modulus (E′) of hindered amine/NBPR composites. As shown in Figure 6, the higher the content of the hindered amine molecules, the greater the storage modulus of the composites (26). The E′ is a measure of the capability of the composites to store mechanical energy and resist deformation (11,27). This is due to the formation of H-bond between hindered amine molecules and the NBPR matrix, which increases the E′ of the composites. It is noteworthy that the material has a wide glass transition zone, that is, the addition of small molecules to broaden the application range of damping materials.

Temperature dependence of storage modulus (E′) of (a) GW-622/NBPR composites and (b) GW-944/NBPR composites.
4 Conclusions
Herein, by introducing different hindered amine molecules into the NBPR matrix, we prepared different hindered amine/NBPR ternary hybrid damping materials. FTIR, DSC, SEM, and DMA were used to characterize the microstructure, compatibility, and damping performance of the hindered amine/NBPR composites as follows:
FTIR results show that H-bonds are formed between the hindered amine and the NBPR matrix.
DSC and SEM results indicate that GW-622 has partial compatibility with the NBPR matrix when the addition exceeds 35 phr. For GW-944 composites, phase splitting occurs when the addition of GW-944 molecules is more than 36 phr.
DMA results show that hindered amine/NBPR composites appear two loss peaks. The first loss peak value decreases, and the second loss peak value increases with the increasing hindered amine contents. The TA2 value of GW-622/NBPR composite has a greater increment from 6.52 to 27.79, while the TA2 value of GW-944/NBPR composite increases from 14.51 to 26.88. The high-temperature damping domains of both composites are broadened.
Acknowledgments
This work was supported by the National Natural Science Foundation of China under Grant (No. 51603236, 51703114); the Program for Henan Science and Technology Department of Science and Technology Research (No. 172102210073); the Program for Interdisciplinary Direction Team in Zhongyuan University of Technology, China; Key Scientific Research Project Plan of Henan University (No. 20B430022); and the Independent Innovation Application Research Project of Zhongyuan University of Technology (No. K2018YY029).
Conflict of interest: The authors declare no competing financial interest.
References
(1) Xiao DL, Zhao XY, Feng Y, Xiang P, Zhang LQ. The structure and dynamic properties of thermoplastic polyurethane elastomer/hindered phenol hybrids. J Appl Polym Sci. 2010;4(116):2143–50.10.1002/app.31828Search in Google Scholar
(2) Xu KM, Hu QM, Wu H, Guo SY, Zhang FS. Designing a polymer-based hybrid with simultaneously improved mechanical and damping properties via a multilayer structure construction: structure evolution and a damping mechanism. Polymers. 2020;2(12):446.10.3390/polym12020446Search in Google Scholar PubMed PubMed Central
(3) Song M, Zhao XY, Li Y, Hu SK, Zhang LQ, Wu SZ. Molecular dynamics simulations and microscopic analysis of the damping performance of hindered phenol AO-60/nitrile-butadiene rubber composites. RSC Adv. 2014;4(13):6719–29.10.1039/c3ra46275gSearch in Google Scholar
(4) Zhao XY, Cao YJ, Zou H, Li J, Zhang LQ. Structure and dynamic properties of nitrile-butadiene rubber/hindered phenol composites. J Appl Polym Sci. 2012;6(123):3696–702.10.1002/app.35043Search in Google Scholar
(5) Shi GP, Yin XT, Wu GZ. Thermodynamic phase analysis of acrylic polymer/hindered phenol hybrids: effects of hydrogen bonding strength. Polymer. 2018;153:317–24.10.1016/j.polymer.2018.08.037Search in Google Scholar
(6) Zhu J, Zhao XY, Liu L, Song M, Wu SZ. Quantitative relationships between intermolecular interaction and damping parameters of irganox-1035/NBR hybrids: acombination of experiments, molecular dynamics simulations, and linear regression analyses. J Appl Polym Sci. 2018;17(135):46202.10.1002/app.46202Search in Google Scholar
(7) Zhang JH, Wang LF, Zhao YF. Fabrication of novel hindered phenol/phenol resin/nitrile butadiene rubber hybrids and their long-period damping properties. Polym Composite. 2012;12(33):2125–33.10.1002/pc.22352Search in Google Scholar
(8) Zhang L, Chen DL, Fan XQ, Cai ZB, Zhu MH. Effect of hindered phenol crystallization on properties of organic hybrid damping materials. Materials. 2019;7(12):1008.10.3390/ma12071008Search in Google Scholar PubMed PubMed Central
(9) Yin XT, Liu CY, Lin Y, Guan AG, Wu GZ. Influence of hydrogen bonding interaction on the damping properties of poly(n-butyl methacrylate)/small molecule hybrids. J Appl Polym Sci. 2015;19(132):41954.10.1002/app.41954Search in Google Scholar
(10) Xu KM, Hu QM, Wang JH, Zhou HD, Chen JL. Towards a stable and high-performance hindered phenol/polymer-based damping material through structure optimization and damping mechanism revelation. Polymers. 2019;5(11):884.10.3390/polym11050884Search in Google Scholar PubMed PubMed Central
(11) Qiao B, Zhao XY, Yue DM, Zhang LQ, Wu SZ. A combined experiment and molecular dynamics simulation study of hydrogen bonds and free volume in nitrile-butadiene rubber/hindered phenol damping mixtures. J Mater Chem. 2012;22:12339–48.10.1039/c2jm31716hSearch in Google Scholar
(12) Song M, Zhao XY, Li Y, Chan TW, Zhang LQ, Wu SZ. Effect of acrylonitrile content on compatibility and damping properties of hindered phenol AO-60/nitrile-butadiene rubber composites: molecular dynamics simulation. RSC Adv. 2014;4(89):48472–9.10.1039/C4RA10211HSearch in Google Scholar
(13) Xu KM, Zhang FS, Zhang XL, Hu QM, Wu H, Guo SY. Molecular insights into hydrogen bonds in polyurethane/hindered phenol hybrids: evolution and relationship with damping properties. J Mater Chem A. 2015;2(22):8545–56.10.1039/C4TA00476KSearch in Google Scholar
(14) Yin C, Zhao XY, Zhu J, Hu HH, Song M, Wu SZ. Experimental and molecular dynamics simulation study on the damping mechanism of C5 petroleum resin/chlorinated butyl rubber composites. J Mater Sci. 2019;54:3960–74.10.5220/0007442806440650Search in Google Scholar
(15) Li MJ, Zhu WH, Xu YW, Fu MS, Cao YH. Preparation and damping properties of (waste rubber powder)/hindered phenol composites. J Vinyl Addit Techn. 2014;4(20):225–9.10.1002/vnl.21361Search in Google Scholar
(16) Wu CF, Yamagishi TA, Nakamoto Y, Ishida SI, Nitta KH. Organic hybrid of chlorinated polyethylene and hindered phenol. I. Dynamic mechanical properties. J Polym Sci Pol Phys. 2000;17(38):2285–95.10.1002/1099-0488(20000901)38:17<2285::AID-POLB90>3.0.CO;2-XSearch in Google Scholar
(17) Wu CF, Yamagishi TA, Nakamoto Y, Ishida SI, Kubota S, Nitta KH. Organic hybrid of chlorinated polyethylene and hindered phenol. II. Influence of the chemical structure of small molecules on viscoelastic properties. J Polym Sci Pol Phys. 2000;11(38):1496–503.10.1002/(SICI)1099-0488(20000601)38:11<1496::AID-POLB90>3.0.CO;2-XSearch in Google Scholar
(18) Zhao XY, Xiang P, Tian M, Fong H, Jin R, Zhang LQ. Nitrile butadiene rubber/hindered phenol nanocomposites with improved strength and high damping performance. Polymer. 2007;20(48):6056–63.10.1016/j.polymer.2007.08.011Search in Google Scholar
(19) Song M, Wang XJ, Wu SZ, Qin Q, Yu GM, Liu ZZ, et al. How the hindered amines affect the microstructure and mechanical properties of nitrile-butadiene rubber composites. e-Polymers. 2020;1(20):8–15.10.1515/epoly-2020-0002Search in Google Scholar
(20) Wu CF, Mori K, Otani Y, Namiki N, Emi H. Effects of molecule aggregation state on dynamic mechanical properties of chlorinated polyethylene/hindered phenol blends. Polymer. 2001;19(42):8289–95.10.1016/S0032-3861(01)00203-8Search in Google Scholar
(21) Zhu J, Zhao XY, Liu L, Yang RN, Song M, Wu SZ. Thermodynamic analyses of the hydrogen bond dissociation reaction andtheir effects on damping and compatibility capacities of polar smallmolecule/nitrile-butadiene rubber systems: molecular simulation andexperimental study. Polymer. 2018;155:152–67.10.1016/j.polymer.2018.09.040Search in Google Scholar
(22) Zhang JH, Wang LF, Zhao YF. Fabrication of novel hindered phenol/phenol resin/nitrile butadiene rubber hybrids and their long‐period damping properties. Polym Compos. 2012;33(12):2125–33.10.1002/pc.22352Search in Google Scholar
(23) Song M, Zhao XY, Chan TW, Zhang LQ, Wu SZ. Microstructure and dynamic properties analyses of hindered phenol AO-80/nitrile-butadiene rubber/poly (vinyl chloride): a molecular simulation and experimental study. Macromol Theory Simul. 2015;1(24):41–51.10.1002/mats.201400054Search in Google Scholar
(24) Xu KM, Zhou HD, Hu QM, Wang JH, Huang Y, Chen JL. Molecular insights into chain length effects of hindered phenol on the molecular interactions and damping properties of polymer-based hybrid materials. Polym Eng Sci. 2020;3(60):446–54.10.1002/pen.25299Search in Google Scholar
(25) Zhao XY, Zhang G, Lu F, Zhang LQ, Wu SZ. Molecular-level insight of hindered phenol AO-70/nitrile-butadiene rubber damping composites through a combination of a molecular dynamics simulation and experimental method. RSC Adv. 2016;6(89):85994–6005.10.1039/C6RA17283KSearch in Google Scholar
(26) Hilmi AR, Fauziyah NA, Pratapa S. A temperature-dependent storage modulus model for filler-dispersed PEG/silica composites. Composites Part B. 2019;173:079.10.1016/j.compositesb.2019.05.079Search in Google Scholar
(27) Laurent C, Simon J. Modelling the storage modulus, transition temperatures and time–temperature superposition characteristics of epoxies and their composites. J Therm Anal Calorim. 2018;3(131):2589–601.10.1007/s10973-017-6774-6Search in Google Scholar
© 2020 Meng Song et al., published by De Gruyter
This work is licensed under the Creative Commons Attribution 4.0 International License.
Articles in the same Issue
- Regular Articles
- The regulatory effects of the number of VP(N-vinylpyrrolidone) function groups on macrostructure and photochromic properties of polyoxometalates/copolymer hybrid films
- How the hindered amines affect the microstructure and mechanical properties of nitrile-butadiene rubber composites
- Novel benzimidazole-based conjugated polyelectrolytes: synthesis, solution photophysics and fluorescent sensing of metal ions
- Study on the variation of rock pore structure after polymer gel flooding
- Investigation on compatibility of PLA/PBAT blends modified by epoxy-terminated branched polymers through chemical micro-crosslinking
- Investigation on degradation mechanism of polymer blockages in unconsolidated sandstone reservoirs
- Investigation on the effect of active-polymers with different functional groups for EOR
- Fabrication and characterization of hexadecyl acrylate cross-linked phase change microspheres
- Surface-induced phase transitions in thin films of dendrimer block copolymers
- ZnO-assisted coating of tetracalcium phosphate/ gelatin on the polyethylene terephthalate woven nets by atomic layer deposition
- Animal fat and glycerol bioconversion to polyhydroxyalkanoate by produced water bacteria
- Effect of microstructure on the properties of polystyrene microporous foaming material
- Synthesis of amphiphilic poly(ethylene glycol)-block-poly(methyl methacrylate) containing trityl ether acid cleavable junction group and its self-assembly into ordered nanoporous thin films
- On-demand optimize design of sound-absorbing porous material based on multi-population genetic algorithm
- Enhancement of mechanical, thermal and water uptake performance of TPU/jute fiber green composites via chemical treatments on fiber surface
- Enhancement of mechanical properties of natural rubber–clay nanocomposites through incorporation of silanated organoclay into natural rubber latex
- Preparation and characterization of corn starch/PVA/glycerol composite films incorporated with ε-polylysine as a novel antimicrobial packaging material
- Preparation of novel amphoteric polyacrylamide and its synergistic retention with cationic polymers
- Effect of montmorillonite on PEBAX® 1074-based mixed matrix membranes to be used in humidifiers in proton exchange membrane fuel cells
- Insight on the effect of a piperonylic acid derivative on the crystallization process, melting behavior, thermal stability, optical and mechanical properties of poly(l-lactic acid)
- Lipase-catalyzed synthesis and post-polymerization modification of new fully bio-based poly(hexamethylene γ-ketopimelate) and poly(hexamethylene γ-ketopimelate-co-hexamethylene adipate) copolyesters
- Dielectric, mechanical and thermal properties of all-organic PI/PSF composite films by in situ polymerization
- Morphological transition of amphiphilic block copolymer/PEGylated phospholipid complexes induced by the dynamic subtle balance interactions in the self-assembled aggregates
- Silica/polymer core–shell particles prepared via soap-free emulsion polymerization
- Antibacterial epoxy composites with addition of natural Artemisia annua waste
- Design and preparation of 3D printing intelligent poly N,N-dimethylacrylamide hydrogel actuators
- Multilayer-structured fibrous membrane with directional moisture transportability and thermal radiation for high-performance air filtration
- Reaction characteristics of polymer expansive jet impact on explosive reactive armour
- Synthesis of a novel modified chitosan as an intumescent flame retardant for epoxy resin
- Synthesis of aminated polystyrene and its self-assembly with nanoparticles at oil/water interface
- The synthesis and characterisation of porous and monodisperse, chemically modified hypercrosslinked poly(acrylonitrile)-based terpolymer as a sorbent for the adsorption of acidic pharmaceuticals
- Crystal transition and thermal behavior of Nylon 12
- All-optical non-conjugated multi-functionalized photorefractive polymers via ring-opening metathesis polymerization
- Fabrication of LDPE/PS interpolymer resin particles through a swelling suspension polymerization approach
- Determination of the carbonyl index of polyethylene and polypropylene using specified area under band methodology with ATR-FTIR spectroscopy
- Synthesis, electropolymerization, and electrochromic performances of two novel tetrathiafulvalene–thiophene assemblies
- Wetting behaviors of fluoroterpolymer fiber films
- Plugging mechanisms of polymer gel used for hydraulic fracture water shutoff
- Synthesis of flexible poly(l-lactide)-b-polyethylene glycol-b-poly(l-lactide) bioplastics by ring-opening polymerization in the presence of chain extender
- Sulfonated poly(arylene ether sulfone) functionalized polysilsesquioxane hybrid membranes with enhanced proton conductivity
- Fmoc-diphenylalanine-based hydrogels as a potential carrier for drug delivery
- Effect of diacylhydrazine as chain extender on microphase separation and performance of energetic polyurethane elastomer
- Improved high-temperature damping performance of nitrile-butadiene rubber/phenolic resin composites by introducing different hindered amine molecules
- Rational synthesis of silicon into polyimide-derived hollow electrospun carbon nanofibers for enhanced lithium storage
- Synthesis, characterization and properties of phthalonitrile-etherified resole resin
- Highly thermally conductive boron nitride@UHMWPE composites with segregated structure
- Synthesis of high-temperature thermally expandable microcapsules and their effects on foaming quality and surface quality of foamed ABS materials
- Tribological and nanomechanical properties of a lignin-based biopolymer
- Hydroxyapatite/polyetheretherketone nanocomposites for selective laser sintering: Thermal and mechanical performances
- Synthesis of a phosphoramidate flame retardant and its flame retardancy on cotton fabrics
- Preparation and characterization of thermoresponsive poly(N-isopropylacrylamide) copolymers with enhanced hydrophilicity
- Fabrication of flexible SiO2 nanofibrous yarn via a conjugate electrospinning process
- Silver-loaded carbon nanofibers for ammonia sensing
- Polar migration behavior of phosphonate groups in phosphonate esterified acrylic grafted epoxy ester composites and their role in substrate protection
- Solubility and diffusion coefficient of supercritical CO2 in polystyrene dynamic melt
- Curcumin-loaded polyvinyl butyral film with antibacterial activity
- Experimental-numerical studies of the effect of cell structure on the mechanical properties of polypropylene foams
- Experimental investigation on the three-dimensional flow field from a meltblowing slot die
- Enhancing tribo-mechanical properties and thermal stability of nylon 6 by hexagonal boron nitride fillers
- Preparation and characterization of electrospun fibrous scaffolds of either PVA or PVP for fast release of sildenafil citrate
- Seawater degradation of PLA accelerated by water-soluble PVA
- Review Article
- Mechanical properties and application analysis of spider silk bionic material
- Additive manufacturing of PLA-based scaffolds intended for bone regeneration and strategies to improve their biological properties
- Structural design toward functional materials by electrospinning: A review
- Special Issue: XXXII National Congress of the Mexican Polymer Society
- Tailoring the morphology of poly(high internal phase emulsions) synthesized by using deep eutectic solvents
- Modification of Ceiba pentandra cellulose for drug release applications
- Redox initiation in semicontinuous polymerization to search for specific mechanical properties of copolymers
- pH-responsive polymer micelles for methotrexate delivery at tumor microenvironments
- Microwave-assisted synthesis of the lipase-catalyzed ring-opening copolymerization of ε-caprolactone and ω-pentadecanolactone: Thermal and FTIR characterization
- Rapid Communications
- Pilot-scale production of polylactic acid nanofibers by melt electrospinning
- Erratum
- Erratum to: Synthesis and characterization of new macromolecule systems for colon-specific drug delivery
Articles in the same Issue
- Regular Articles
- The regulatory effects of the number of VP(N-vinylpyrrolidone) function groups on macrostructure and photochromic properties of polyoxometalates/copolymer hybrid films
- How the hindered amines affect the microstructure and mechanical properties of nitrile-butadiene rubber composites
- Novel benzimidazole-based conjugated polyelectrolytes: synthesis, solution photophysics and fluorescent sensing of metal ions
- Study on the variation of rock pore structure after polymer gel flooding
- Investigation on compatibility of PLA/PBAT blends modified by epoxy-terminated branched polymers through chemical micro-crosslinking
- Investigation on degradation mechanism of polymer blockages in unconsolidated sandstone reservoirs
- Investigation on the effect of active-polymers with different functional groups for EOR
- Fabrication and characterization of hexadecyl acrylate cross-linked phase change microspheres
- Surface-induced phase transitions in thin films of dendrimer block copolymers
- ZnO-assisted coating of tetracalcium phosphate/ gelatin on the polyethylene terephthalate woven nets by atomic layer deposition
- Animal fat and glycerol bioconversion to polyhydroxyalkanoate by produced water bacteria
- Effect of microstructure on the properties of polystyrene microporous foaming material
- Synthesis of amphiphilic poly(ethylene glycol)-block-poly(methyl methacrylate) containing trityl ether acid cleavable junction group and its self-assembly into ordered nanoporous thin films
- On-demand optimize design of sound-absorbing porous material based on multi-population genetic algorithm
- Enhancement of mechanical, thermal and water uptake performance of TPU/jute fiber green composites via chemical treatments on fiber surface
- Enhancement of mechanical properties of natural rubber–clay nanocomposites through incorporation of silanated organoclay into natural rubber latex
- Preparation and characterization of corn starch/PVA/glycerol composite films incorporated with ε-polylysine as a novel antimicrobial packaging material
- Preparation of novel amphoteric polyacrylamide and its synergistic retention with cationic polymers
- Effect of montmorillonite on PEBAX® 1074-based mixed matrix membranes to be used in humidifiers in proton exchange membrane fuel cells
- Insight on the effect of a piperonylic acid derivative on the crystallization process, melting behavior, thermal stability, optical and mechanical properties of poly(l-lactic acid)
- Lipase-catalyzed synthesis and post-polymerization modification of new fully bio-based poly(hexamethylene γ-ketopimelate) and poly(hexamethylene γ-ketopimelate-co-hexamethylene adipate) copolyesters
- Dielectric, mechanical and thermal properties of all-organic PI/PSF composite films by in situ polymerization
- Morphological transition of amphiphilic block copolymer/PEGylated phospholipid complexes induced by the dynamic subtle balance interactions in the self-assembled aggregates
- Silica/polymer core–shell particles prepared via soap-free emulsion polymerization
- Antibacterial epoxy composites with addition of natural Artemisia annua waste
- Design and preparation of 3D printing intelligent poly N,N-dimethylacrylamide hydrogel actuators
- Multilayer-structured fibrous membrane with directional moisture transportability and thermal radiation for high-performance air filtration
- Reaction characteristics of polymer expansive jet impact on explosive reactive armour
- Synthesis of a novel modified chitosan as an intumescent flame retardant for epoxy resin
- Synthesis of aminated polystyrene and its self-assembly with nanoparticles at oil/water interface
- The synthesis and characterisation of porous and monodisperse, chemically modified hypercrosslinked poly(acrylonitrile)-based terpolymer as a sorbent for the adsorption of acidic pharmaceuticals
- Crystal transition and thermal behavior of Nylon 12
- All-optical non-conjugated multi-functionalized photorefractive polymers via ring-opening metathesis polymerization
- Fabrication of LDPE/PS interpolymer resin particles through a swelling suspension polymerization approach
- Determination of the carbonyl index of polyethylene and polypropylene using specified area under band methodology with ATR-FTIR spectroscopy
- Synthesis, electropolymerization, and electrochromic performances of two novel tetrathiafulvalene–thiophene assemblies
- Wetting behaviors of fluoroterpolymer fiber films
- Plugging mechanisms of polymer gel used for hydraulic fracture water shutoff
- Synthesis of flexible poly(l-lactide)-b-polyethylene glycol-b-poly(l-lactide) bioplastics by ring-opening polymerization in the presence of chain extender
- Sulfonated poly(arylene ether sulfone) functionalized polysilsesquioxane hybrid membranes with enhanced proton conductivity
- Fmoc-diphenylalanine-based hydrogels as a potential carrier for drug delivery
- Effect of diacylhydrazine as chain extender on microphase separation and performance of energetic polyurethane elastomer
- Improved high-temperature damping performance of nitrile-butadiene rubber/phenolic resin composites by introducing different hindered amine molecules
- Rational synthesis of silicon into polyimide-derived hollow electrospun carbon nanofibers for enhanced lithium storage
- Synthesis, characterization and properties of phthalonitrile-etherified resole resin
- Highly thermally conductive boron nitride@UHMWPE composites with segregated structure
- Synthesis of high-temperature thermally expandable microcapsules and their effects on foaming quality and surface quality of foamed ABS materials
- Tribological and nanomechanical properties of a lignin-based biopolymer
- Hydroxyapatite/polyetheretherketone nanocomposites for selective laser sintering: Thermal and mechanical performances
- Synthesis of a phosphoramidate flame retardant and its flame retardancy on cotton fabrics
- Preparation and characterization of thermoresponsive poly(N-isopropylacrylamide) copolymers with enhanced hydrophilicity
- Fabrication of flexible SiO2 nanofibrous yarn via a conjugate electrospinning process
- Silver-loaded carbon nanofibers for ammonia sensing
- Polar migration behavior of phosphonate groups in phosphonate esterified acrylic grafted epoxy ester composites and their role in substrate protection
- Solubility and diffusion coefficient of supercritical CO2 in polystyrene dynamic melt
- Curcumin-loaded polyvinyl butyral film with antibacterial activity
- Experimental-numerical studies of the effect of cell structure on the mechanical properties of polypropylene foams
- Experimental investigation on the three-dimensional flow field from a meltblowing slot die
- Enhancing tribo-mechanical properties and thermal stability of nylon 6 by hexagonal boron nitride fillers
- Preparation and characterization of electrospun fibrous scaffolds of either PVA or PVP for fast release of sildenafil citrate
- Seawater degradation of PLA accelerated by water-soluble PVA
- Review Article
- Mechanical properties and application analysis of spider silk bionic material
- Additive manufacturing of PLA-based scaffolds intended for bone regeneration and strategies to improve their biological properties
- Structural design toward functional materials by electrospinning: A review
- Special Issue: XXXII National Congress of the Mexican Polymer Society
- Tailoring the morphology of poly(high internal phase emulsions) synthesized by using deep eutectic solvents
- Modification of Ceiba pentandra cellulose for drug release applications
- Redox initiation in semicontinuous polymerization to search for specific mechanical properties of copolymers
- pH-responsive polymer micelles for methotrexate delivery at tumor microenvironments
- Microwave-assisted synthesis of the lipase-catalyzed ring-opening copolymerization of ε-caprolactone and ω-pentadecanolactone: Thermal and FTIR characterization
- Rapid Communications
- Pilot-scale production of polylactic acid nanofibers by melt electrospinning
- Erratum
- Erratum to: Synthesis and characterization of new macromolecule systems for colon-specific drug delivery