Abstract
In this study, a new damage mode for the explosive reactive armour (ERA) of a shaped charge jet was proposed. The response characteristics of polytetrafluoroethylene (PTFE) and polyamide (PA) polymer jet impact on the ERA were analysed. The expansion degree and the diameter of the PTFE jet are larger than those of the PA jet, but the compactness of the PTFE jet head is lower than that of the PA jet, resulting in different impact pressures of the different polymer expansive jets on the target. The PTFE jet achieved the penetration without initiation of the ERA at different standoffs, while the PA jet directly detonated the sandwich charge when impacting the ERA vertically and failed to penetrate the front plate when impacting the ERA at 68°. With the increase of standoff, the reaction degree of the PTFE jet to the ERA decreased gradually, and the aperture of the front plate did not change.
Graphical abstract
In this article, the application of polymer in the weapon of shaped charge station is studied, and a new damage mode based on the properties of polymer material is proposed.

1 Introduction
Explosive reactive armour (ERA) is an important protective means for main battle tanks and armoured vehicles to defend shaped charge warheads. Currently, a tandem shaped charge warhead is used to destroy such targets; that is, the front shaped charge warhead destroys the ERA, and the main charge experiences delayed detonation, and then, the main jet penetrates the main armour. The conventional shaped charge liners primarily comprise metallic materials, including copper, iron, and aluminium, among others. The focus of this study is to use polymer-shaped charge liners to form an expansive jet that impacts ERA, but not initiate its sandwich charge, therefore making the protection provided by the ERA ineffective and improving the penetration performance of the tandem warhead (1,2,3,4,5).
In recent years, extensive research has been conducted on the problems related to the metal jet impact on ERA. Through many experiments, Held (6,7,8,9,10,11,12) studied the interaction mechanism between armour and jet; analysed the influence laws of the thickness of the sandwich charge, detonation velocity, metal plate thickness, and jet impact angle; and proposed the famous v2d initiation criterion, which greatly contributed to the development of ERA. Tariq Hussain et al. (13) discussed the initiation of heterogeneous explosives by a shaped charge jet. The results show that the insensitive effect caused by the shocks preceding the jet plays a significant role in determining the run-to-detonation distance for covered explosives initiated by jets. Mickovic et al. (14) studied the influence of the thicknesses of the back and front plates, the thickness of the sandwich charge, jet impact angle, and the distance between the ERA and the main armour and evaluated the interaction between ERA and a shaped charge jet. Kobylkin (15) introduced the main characteristics of initiation of a metal jet impact to shell charge. The results show that the initiation ability of the jet can be significantly reduced by using a compressible light material as the front plate material, eliminating the initial shockwave stage of explosive loading.
Through the aforementioned literature, it can be found that the reaction mechanism and initiation criteria of a shaped charge jet on ERA have been well studied. In most of the previous works, a metal jet is used to destroy ERA (16). In the future weaponry development, warhead quality, economic cost, initiation safety, and other performance indicators will gain importance. Therefore, considering that the low acoustic impedance of jet impact pressure is weak, this study proposes the use of polytetrafluoroethylene (PTFE) and polyamide (PA) as the liner materials of a shaped charge, which is then used to form the low acoustic resistance expansive jet to open a hole but not initiate the ERA, forming a channel with enough aperture. The main jet penetrates the armoured vehicle through the ERA from the channel without interference.
2 Experiments
2.1 Conditions of shaped charge
The liner used in the experiment had a diameter of 40 mm, a length of 40 mm, a thickness of 3 mm, a charge of 37.5 g, without shell, and a cone angle of 60°. The material of the liner comprised PTFE and PA. The liner was manufactured by the mechanical processing of bars. Figure 1 shows a photograph of a shaped charge, which includes a liner, main charge, and experimental shaped charge warhead.

Photograph of the shaped charge with a diameter of 40 mm.
To study the behaviour of the polymer expansive jet, its formation process was observed by the pulse X-ray technology, and its morphology was obtained. In the experiment, two 450 kV pulse X-ray machines (HP Co.) were used for combined shooting. The experimental principle is shown in Figure 2. The two pulsed X-ray tubes were arranged at a certain angle, and the shaped warhead was arranged vertically on the intersectional axis of the two X-ray tubes to ensure that the shaped jet flowed through it. By controlling the output time of the pulsed X-ray machines, two photographs of the jet morphology at different time intervals were obtained on photographic negatives from the X-ray (17,18).

Field layout of the pulse X-ray test: (a) pulse X-ray test principle and (b) test layout.
The results of the experiments by the pulsed X-ray technology are shown in Figure 3; when the main charge detonates, both the PA and PTFE liners can form a shaped charge jet. The difference is that the head of the PTFE jet clearly exhibits the expansion phenomenon, i.e., the PTFE jet has a larger head diameter compared to that of the PA jet. This will significantly affect the penetration performance of the two kinds of polymer jets, therefore affecting the response characteristics of the polymer jet impacting the ERA.

Diagram of test results: (a) PA jet and (b) PTFE jet.
2.2 Impact ERA experimental setup
Two kinds of polymer liners impacted the ERA at different angles and standoffs, and their effects were analysed. The structure of PTFE and PA liner was the same in the experiment. The ERA comprises the following layers: front plate, sandwich charge, and back plate, which are connected by bolts. The thicknesses of the front plate, sandwich charge, and back plate are 2, 4, and 2 mm, respectively. The ERA had an area of 375 × 250 mm. The main charge in the shaped charge warhead is detonated by a detonator to form the shaped charge jet to impact the ERA. After the interaction between the jet and the ERA is completed, the response degree is determined by the recovered broken ERA. An experimental diagram and the arrangement are shown in Figure 4. The different experimental conditions are summarized in Table 1.

(a) Experimental setup schematic and (b) layout of the experimental site.
Experimental conditions for impact ERA
| No. | Materials | Thickness (CD) | Angle (°) | Standoff (CD) | Impact angle (°) |
|---|---|---|---|---|---|
| 1 | PTFE | 0.08 | 60 | 2 | 0 |
| 2 | PTFE | 0.08 | 60 | 3 | 0 |
| 3 | PTFE | 0.08 | 60 | 4 | 0 |
| 4 | PTFE | 0.08 | 60 | 5 | 0 |
| 5 | PTFE | 0.08 | 60 | 3 | 68 |
| 6 | PA | 0.08 | 60 | 3 | 0 |
| 7 | PA | 0.08 | 60 | 3 | 68 |
3 Numerical simulation
By using AUTODYN software (Ansys 16.0, CA, USA), the polymer jet was numerically simulated using the smooth particle hydrodynamics method. The geometric model and the numerical model of the shaped charge are shown in Figure 5. For detailed model parameters, refer to the literature (19). In the SPH method, a set of particles are used to represent an object. The governing equations of the derivatives of the conservation laws were discretized using the following integral:
where vectors x and x0 describe the location of the particle of interest and its neighbouring particles within the smooth length h. In addition, h determines the number of particles that affect the interpolation of a particular point. In this method, nearby particles are more influential compared with those further away. The derivative is integrated using the kernel function W, which is similar to the shape function in the finite element method, without the need for connectivity between particles. Therefore, the particles can move in the simulated area, allowing numerical prediction of the jet and detonation products during the explosion.

(a) Structural sketch and (b) scheme of a simulation model for shaped charge warhead.
The finite element model of the 2/4/2 structure of the ERA was established; the thickness of the sandwich explosive was 4 mm, and the thicknesses of both the front and back plates were 2 mm, as shown in Figure 6. According to the AUTODYN manual, the intensity of the reaction of the sandwich explosive is judged according to the pressure and the reactivity of each point of the sandwich explosive in the finite element model. Alpha is the ratio of the part to the entire reaction explosive in the explosive unit, with a value between 0 and 1. When α = 0, the sandwich explosive has not reacted; when 0 < α < 1, the sandwich explosive has partially reacted; when α = 1, the interlayer explosive has completely reacted or even detonated.

Finite element model of ERA.
3.1 Liner and shield plate material model
In this article, the Shock state equation was selected for the polymer material, the description of which is based on the Gruneisen equation of state of the Hugoniot curve:
where c0 and s are the parameters of the material shock adiabatic line,
Parameters of Shock equation of state for polymers and steel
| Material | P (g/cm3) | C1 (cm/µs) | S1 | G (GPa) | Y (GPa) | |
|---|---|---|---|---|---|---|
| PA | 1.14 | 0.87 | 0.229 | 1.63 | 3.68 | 0.0105 |
| PTFE | 2.16 | 0.9 | 0.134 | 1.93 | 2.33 | 0.015 |
| Steel | 7.823 | 2.17 | 0.4569 | 1.49 | 77 | 0.8 |
3.2 Main charge and sandwich charge material model
The Jones–Wilkins–Lee equation of state (EOS_JWL) was chosen to describe the material properties of the CompB explosive. The EOS_JWL can accurately describe the volume, pressure, and energy characteristics of gaseous products in the process of detonation, which is expressed as follows:
where A, B, R1, R2, and w are material constants, V is the initial relative volume, E0 is the initial specific internal energy, and P is the detonation pressure. The specific parameters are listed in Table 3.
JWL parameters and C–J parameters of the CompB explosive
| Material | A (GPa) | B (GPa) | C (GPa) | R1 | R2 | ω | ρ0 (g/cm3) | PCJ (GPa) | D (m/s) |
|---|---|---|---|---|---|---|---|---|---|
| CompB | 524.2 | 7.678 | 1.082 | 4.20 | 1.10 | 0.34 | 1.717 | 29.5 | 7,980 |
The reaction rate equation is expressed as follows:
where λ is the reaction degree of the explosive, t is the time, ρ is the density, ρ0 is the initial density, p is the pressure, and I, G1, G2, a, b, x, c, d, y, e, g, and z are constants. The first represents the ignition of some explosives under impact compression, the second represents the growth of hotspots, and the third represents the relatively slow diffusion control reaction after the main reaction. Here, a is the critical compressibility, which is used to limit the ignition limit. When the compressibility is less than a, the explosive cannot be ignited, and detonation does not occur. y is the pressure index defining the combustion term, and in most cases, it is equal to 1. The order b = c = 2/3 of the ignition and combustion terms indicates the combustion of the inward spherical particles. Parameters I and x control the number of ignition hotspots. The ignition term is a function of the shockwave strength and pressure duration. G1 and d control the function of the reaction growth duration at the early stage of a hotspot after ignition. G2 and z determine the reaction rate at high pressure.
4 Results and discussion
4.1 Performance analysis of polymer expansive jet
Figure 9 contains parts labelled (a) to (d), but these do not appear to be mentioned in the caption. Would you like to modify the caption or resupply the artwork (preferably as a TIF file at 600 dots per inch)?
The performance parameters of the expansive jet formed by the polymer liner vary with time during the stretching process. Table 4 provides a comparison of the jet morphologies of PTFE and PA at different standoffs. The jet-forming diagram shows that the PA jet is similar to the PTFE jet head in the initial stage, but with the continuous elongation of the jet, the expansion degree of the PA jet head becomes smaller than that of the PTFE jet. The reason for this is that the compressibility of the PA material is lower than that of the PTFE. Therefore, the smaller radial velocity obtained in the initial stage of jet formation results in a smaller diameter of the PA jet head, but the compactness of the PA jet head is higher than that of the PTFE jet. Because the diameter of the head of the polymer expansive jet increases during the formation process, a larger opening entrance to the target plate will result with the increase of the standoff; thus, it is important to study the response of the polymer jet with different standoffs to the impact ERA.
Morphologies of the two polymer expansive jets at different standoffs
| Standoff (CD) | PTFE jet | PA jet |
|---|---|---|
| 1 | ![]() | ![]() |
| 2 | ![]() | ![]() |
| 3 | ![]() | ![]() |
| 4 | ![]() | ![]() |
| 5 | ![]() | ![]() |
According to the criterion of the impact initiation of a metal jet on ERA, in the initial stage of contact with ERA, the current main factors determining the detonation of the ERA are the density, velocity, and diameter of the jet. The time t of the PTFE and PA jets to reach different standoffs and a comparison of the jet head velocity v, density ρ, length L, and diameter D at these times are presented in Table 5.
Performance parameters of two polymer expansive jets at different standoffs
| Standoff | PTFE jet | PA jet | ||||||||
|---|---|---|---|---|---|---|---|---|---|---|
| t (µs) | v (mm µs−1) | ρ (g cm−3) | L (mm) | D (mm) | t (µs) | v (mm µs−1) | ρ (g cm−3) | L (mm) | D (mm) | |
| 1CD | 12 | 7.397 | 1.57 | 59.4 | 10.7 | 10 | 8.106 | 0.89 | 60.1 | 6.2 |
| 2CD | 17 | 7.007 | 1.55 | 90.2 | 15.2 | 15 | 7.967 | 0.87 | 99.9 | 9.2 |
| 3CD | 22 | 6.907 | 1.55 | 123.2 | 19.2 | 19 | 7.962 | 0.85 | 132.3 | 11.0 |
| 4CD | 27 | 6.905 | 1.53 | 156.7 | 24.8 | 24 | 7.958 | 0.84 | 173.0 | 13.0 |
| 5CD | 33 | 6.890 | 1.52 | 197.1 | 29.6 | 29 | 7.955 | 0.84 | 214.5 | 13.6 |
As listed in Table 5, the velocity and density of the jet decrease, while the diameter and length increase with the increase of the standoff. However, the variation degree of the different jets has minor differences. The average head density of the PTFE jet decreased by 28.9% to 1.548 g/cm3, while that of the PA jet decreased by 23.1% to 0.876 g/cm3. The difference of the jet performances at different standoffs is mainly reflected in the different jet densities and diameters. There are two reasons for this difference. First, there are differences in the nature of the liner materials, that is, the difference between a polymer liner and a metal liner. Next, the compressibility of the liner material plays a dominant role. The high compressibility of the polymer liner material results in high expansion of the jet head and a large average density loss.
According to the metal jet penetration formula, because the initial density of the PA jet is much lower than that of the PTFE jet, the penetration force of the PA jet is weaker when the velocity and diameter are the same. However, according to the study of the penetration performance of the polymer jet, it was found that when the charge structure is consistent, the PA jet has a weak penetration ability but a strong hole enlargement effect, and this phenomenon becomes more obvious with the increase of the standoff (20). This indicates that the change in the jet density of the polymer, i.e., the degree of expansion of the jet head, will determine to some extent the state of its initial contact with the target, resulting in a different response state of the impact ERA.
4.2 Effect of impact angle on initiation characteristics of ERA
When the shaped charge structure is the same, a comparative test of the PTFE jet and PA jet impacting the ERA was conducted at the standoff of 3CD. The experimental results show that the PTFE jet can penetrate the ERA without initiation, and the perforation diameter of the back plate was not less than 16 mm. As shown on the left of Figure 7, the aperture is sufficient for the main jet to penetrate the main armour behind, through the ERA, without interference. Meanwhile, under the impact of the PA jet, the ERA causes the strong chemical reaction of the sandwich explosive, which disperses the shell of the sandwich explosive and results in complete detonation, as shown on the right of Figure 7.

Effect of polymer expansive jet impacting ERA.
However, in the battlefield, it is almost impossible for the jet to penetrate the ERA vertically because the ERA is fixed on the inclined main armour. The shaped charge jet first penetrates the pre-fuse, anti-skid cap, and other structures of the warhead and then penetrates the ERA at different angles to complete the combat task. Therefore, to simulate a real combat situation and to obtain the specific ability of the polymer expansive jet to penetrate the ERA without initiation, a piezoelectric fuse and anti-skid cap were added in front of the warhead, and two polymer expansive jets were used for a 68° oblique penetration test of the ERA. The layout and results of the oblique penetration test are shown in Figure 8.

Effect of polymer jet impacting ERA obliquely.
According to the test results of the PTFE jet, under conditions of vertical penetration and 68° oblique penetration, the PTFE jet can penetrate the ERA without initiation. However, for the PA jet with the same shaped charge structure, because its material density is too low (0.876 g/cm3), the oblique penetration is affected by the impact force component; when 68° oblique penetration impacts the ERA, the PA jet only strikes a very obvious pit on the front plate and does not cause the reaction of the sandwich charge. The test results of different impact angles show that the smaller the jet density, the better, and it has a certain penetration power.
4.3 Effect of standoff on initiation characteristics of ERA
The penetration performance of a polymer expansive jet is different under different standoffs, so the response characteristics of the standoff to the impact of the polymer jet on the ERA were studied under different standoffs. The experiment was conducted as per conditions listed in Table 6. Figure 9 shows the experimental results of the PTFE jet impact on the ERA.
Parameters of ignition growth model for CompB Lee–Tarver
| Reaction rates | a | b | c | d | e | g | I (µs−1) | FG1max | FG2max |
|---|---|---|---|---|---|---|---|---|---|
| 0.0367 | 0.667 | 0.667 | 0.333 | 0.222 | 1.0 | 4.0 × 106 | 0.7 | 0.0 | |
| Figmax | G1 | G2 | x | y | z | — | — | — | |
| 0.022 | 140 | 1000 | 7.0 | 2.0 | 3.0 | — | — | — |

Experimental results of PTFE jets impacting ERA under different standoff conditions: (a) standoff = 2CD, (b) standoff = 3CD, (c) standoff = 4CD, and (d) standoff = 5CD.
According to the experimental results in Figure 9, the PTFE jet can penetrate the ERA without initiation under different standoff conditions, and with the increase of the standoff, the hole diameter of the back plate gradually decreased after impact, showing that the response degree of the sandwich charge decreased with the increase of the standoff, while the hole diameter of the front plate only slightly changed.
Through an analysis of the simulation results of the PTFE and PA jet impacts on the ERA, it was found that the instability (violent reaction, detonation, etc.) of the explosive mainly occurs in the steady penetration stage of the jet to the front plate. The transmission and the reflection of shockwaves from the contact surface between the front plate and the explosive accelerated the reaction rate of the sandwich explosive and played a decisive role in the initiation of the impacted explosive. The simulation results of the PTFE and PA jet impacts on the ERA are shown in Figure 10.

Reactivity of the ERA impacted by PTFE jets at different standoffs.
As shown in Figure 10, the reaction degree of the PTFE jet impacting the ERA gradually decreased with the increase of the standoff. The ERA only reaches the state of complete detonation at 1CD, and the sandwich explosive at other standoff is included in the reaction of combustion later. Moreover, there was only a weak reaction in the part contacted with the PTFE jet, and the reaction area did not expand. The reaction area of the non-initiating sandwich explosive could be observed. With the increase of the standoff, the reaction area of the sandwich charge decreased although the diameter of the head of the PTFE jet increased. This shows that the PTFE expansive jet has a larger head diameter, which leads to an increase in the contact area with the panel, but due to the decreases of the head density and compactness, the impact force of the jet weakens, which affects the response state of the impacted sandwich charge and ultimately leads to the incomplete initiation of the sandwich charge. The damage aperture parameters of the PTFE jet to the ERA front and back plates at different standoffs are listed in Table 7.
Damage aperture parameters of PTFE jet to ERA front and back plates at different standoffs
| Standoff (CD) | Front plate aperture (mm) | Back plate aperture (mm) | Maximum reactivity | ||
|---|---|---|---|---|---|
| Simulation results | Experimental results | Simulation results | Experimental results | ||
| 2 | 16.98 | 20 | 17.58 | 19 | 0.2666 |
| 3 | 16.12 | 20 | 15.88 | 17 | 0.07591 |
| 4 | 16.84 | 22 | 11.68 | 13 | 0.02013 |
| 5 | 16.38 | 21 | 8.16 | 10 | 0.01171 |
As shown in Figure 11, when the PA jet impacts the ERA at different standoffs, the reaction state of the impacted ERA is complete detonation. Because the density and the diameter of the PA jet are smaller than those of the PTFE jet, only the velocity of the PA jet is slightly larger than that of the PTFE jet. According to the Held criterion, the impact of the PA jet on the ERA should be similar to that of the PTFE jet, but the result is just the opposite. This proves that the penetration and non-initiation of the ERA by the polymer expansive jet impact explosion is not related to the initial density of the liner material, but only to the reduction of the density of the polymer expansive jet and the initial contact area. Meanwhile, because the diameter and the velocity of the polymer expansive jet are obviously larger than those of the metal condensation jet, if the

Reactivity of the ERA impacted by PA jets at different standoffs.
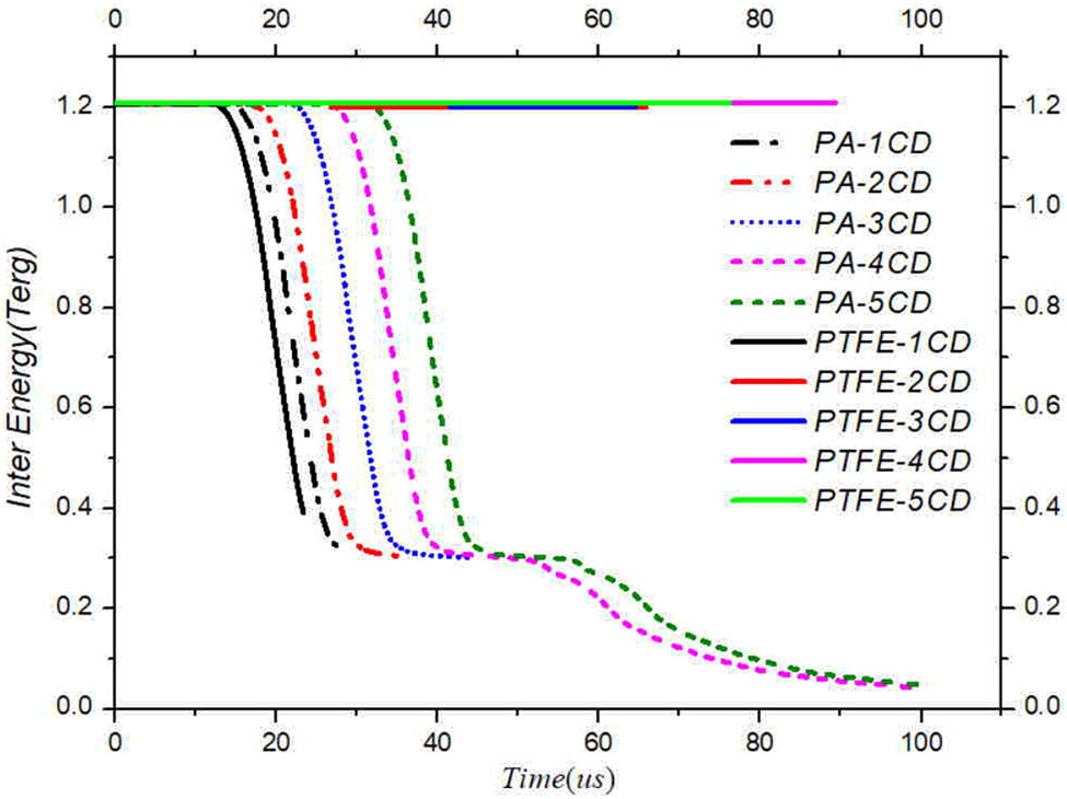
It is shown in Figure 12 that when the PTFE jet impacted the ERA at the standoff of 1CD, the internal energy of the sandwich explosive decreased sharply at 14.627 µs. According to the data in Table 5, the PTFE jet reached the surface of the ERA at 12 µs under the condition of the standoff, and the action time was 2.627 µs. As the reaction continued to intensify until the charge detonated completely, a large amount of energy was released instantaneously, resulting in a sharp decrease in the internal energy of the sandwich charge, while the internal energy of the sandwich charge at other standoffs remained almost unchanged. Because the structure of the sandwich charge was fixed, a small reduction was also caused by material erosion failure in the calculation process. The PA jet detonated the ERA at different standoffs, and all reached a complete detonation state. The inner energy of the sandwich charge eventually dropped to zero, representing the complete explosion of the ERA. At the standoff of 1CD, the PA jet contacted the ERA at 10 µs. Then, at 12.11 µs, the reaction of the sandwich charge intensified and the action time was 2.11 µs. With the increase of the standoff, the contact time of the PA jet with the ERA was delayed and the action time increased, being 2.21, 2.3, 2.49, and 2.6 µs. This shows that with the increase of standoff, the impact ability of the PA jet decreased, but could still detonate the ERA.

Curve of internal energy of sandwich charge with time.
Figure 13 shows that the contact area between the PTFE and PA jets and the ERA remained unchanged when the standoff was less than 3CD, while the contact area increased for standoffs greater than 3CD. However, the increase range is different, and the increase range of the contact area of the PTFE jets became larger. With the increase of the standoff, the initial contact pressure of the PTFE jet decreased gradually, while that of the PA jet first increased and stabilized and then decreased. According to the aforementioned analysis, the PTFE jet only detonated the ERA at the standoff of 1CD but did not detonate the ERA at the other standoffs. The contact areas of 2CD and 3CD are the same as that of 1CD. The only difference is that the initial contact pressure decreased, resulting in the failure to detonate the sandwich charge. Therefore, the main factor of the PTFE jet affecting the initiation is the initial pressure of the jet. Because the initial contact pressure of the PA jet was greater than that of the PTFE jet, and the ERA detonated at different standoffs, the primary factor initiating the ERA is the initial pressure of the jet, while the effect of a precursor wave is an important factor.

Curve of initial contact area and pressure with standoffs.
5 Conclusions
In this article, through theoretical analysis, numerical simulation, and experimental verification, the penetration of a polymer expansive jet into ERA without initiation was studied. The following conclusions can be drawn:
Under different standoffs, the PTFE jet did not detonate the ERA, while the PA jet did; with the increase of standoffs, the diameter of the PTFE jet passing through the front plate of the ERA did not change significantly, but the diameter of the back plate was smaller, and the experimental and numerical simulation results showed that the reaction area of the ERA decreased with the increase of the standoff.
When the angle between the polymer jet and ERA was 68°, the PTFE jet could penetrate the ERA, achieving the effect of penetration without initiation, while the PA jet did not penetrate the ERA front plate.
The results of the theoretical analysis and numerical simulation show that the initiation factor of the polymer expansive jet is predominantly the initial contact pressure. Because the dynamic pressure of the polymer expansive jet is generally low, it realized the penetration of the ERA without initiation.
Acknowledgements
This work was financially supported by the National Natural Science Foundation of China (Grant No. 11572291).
References
(1) Rumyantsev BV. Penetration kinetics of a cumulative jet into brittle materials. Tech Phys. 2009;54(6):790–4.10.1134/S106378420906005XSearch in Google Scholar
(2) Fedorov S, Bayanova Y. Penetration of long strikers under hydrodynamic conditions with allowance for the material compressibility. Tech Phys. 2011;56(9):1266–71.10.1134/S1063784211090088Search in Google Scholar
(3) Bai X, Liu JX, Li SK. Effect of interaction mechanism between jet and target on penetration performance of shaped charge liner. Mat Sci Eng A-Struct. 2012;553(15):142–8.10.1016/j.msea.2012.06.003Search in Google Scholar
(4) Jia X, Huang ZX, Zu XD, Gu XH, Zhu CS, Zhang ZW. Experimental study on the performance of woven fabric rubber composite armor subjected to shaped charge jet impact. Int J Impact Eng. 2013;57(1):134–44.10.1016/j.ijimpeng.2013.01.014Search in Google Scholar
(5) Jia X, Huang ZX, Zu XD, Gu XH, Xiao QQ. Theoretical analysis of the disturbance of shaped charge jet penetrating a woven fabric rubber composite armor. Int J Impact Eng. 2014;65(1):69–78.10.1016/j.ijimpeng.2013.11.005Search in Google Scholar
(6) Held M. Effectiveness of an ERA-sandwich with a large distance between sandwich and target. Propell Explos Pyrot. 2001;26(1):33–7.10.1002/1521-4087(200101)26:1<33::AID-PREP33>3.0.CO;2-JSearch in Google Scholar
(7) Held M. Momentum theory of explosive reactive armours. Propell Explos Pyrot. 2001;26(2):91–6.10.1002/1521-4087(200104)26:2<91::AID-PREP91>3.0.CO;2-9Search in Google Scholar
(8) Held M. Stopping power of explosive reactive armours against different shaped charge diameters or at different angles. Propell Explos Pyrot. 2001;26(2):97–104.10.1002/1521-4087(200104)26:2<97::AID-PREP97>3.0.CO;2-ASearch in Google Scholar
(9) Held M. Time-distance plots for era-design. Propell Explos Pyrot. 2015;26(5):258–62.10.1002/1521-4087(200112)26:5<258::AID-PREP258>3.0.CO;2-QSearch in Google Scholar
(10) Held M. Jet initiation of covered high explosives with different materials. Propell Explos Pyrot. 2002;27(2):88–93.10.1002/1521-4087(200204)27:2<88::AID-PREP88>3.0.CO;2-2Search in Google Scholar
(11) Held M. Dynamic plate thickness of era sandwiches against shaped charge jets. Propell Explos Pyrot. 2004;29(4):244–6.10.1002/prep.200400051Search in Google Scholar
(12) Held M. Time distance diagram of the jet initiation of covered high explosive charges. Int J Impact Eng. 2007;34(4):702–7.10.1016/j.ijimpeng.2006.03.001Search in Google Scholar
(13) Hussain T, Liu Y, Huang FL. Preshock desensitization phenomena during initiation of covered heterogeneous explosives by shaped charge jets. J Energetic Mater. 2016;34(2):152–69.10.1080/07370652.2015.1027972Search in Google Scholar
(14) Mickovic D, Jaramaz S, Elek P, Miloradovic N. A model for explosive reactive armor interaction with shaped charge jet. Propell Explos Pyrot. 2016;41(1):53–61.10.1002/prep.201500163Search in Google Scholar
(15) Kobylkin IF. Detonation initiation in shielded thin layers of explosives by shaped-charge jets. Combust Explo Shock Waves. 2015;51(3):358–65.10.1134/S0010508215030120Search in Google Scholar
(16) Chang BH, Yin JP, Cui ZQ, Liu TX. Numerical simulation of modified low-density jet penetrating shell charge. Int J Simul Model. 2015;14(3):426–37.10.2507/IJSIMM14(3)5.295Search in Google Scholar
(17) Chang BH, Yin JP, Cui ZQ, Liu TX. Improved dynamic mechanical properties of modified PTFE jet penetrating charge with shell. Strength Mater. 2016;48(1):82–9.10.1007/s11223-016-9741-8Search in Google Scholar
(18) Yi JY, Wang ZJ, Yin JP, Chang BH. Numerical simulation of steel target penetration by shaped charge distended jet with a high-polymer liner. Strength Mater. 2017;49(1):27–36.10.1007/s11223-017-9838-8Search in Google Scholar
(19) Yi JY, Wang ZJ, Yin JP. Simulation study on expansive jet formation characteristics of polymer liner. Materials. 2019;12(5):744–59.10.3390/ma12050744Search in Google Scholar PubMed PubMed Central
(20) Yi JY, Wang ZJ. Damage characteristics of polymer expansive jet based on the crater growth enhanced effect. Mater Express. 2019;9(7):732–40.10.1166/mex.2019.1556Search in Google Scholar
© 2020 Jianya Yi et al., published by De Gruyter
This work is licensed under the Creative Commons Attribution 4.0 International License.
Articles in the same Issue
- Regular Articles
- The regulatory effects of the number of VP(N-vinylpyrrolidone) function groups on macrostructure and photochromic properties of polyoxometalates/copolymer hybrid films
- How the hindered amines affect the microstructure and mechanical properties of nitrile-butadiene rubber composites
- Novel benzimidazole-based conjugated polyelectrolytes: synthesis, solution photophysics and fluorescent sensing of metal ions
- Study on the variation of rock pore structure after polymer gel flooding
- Investigation on compatibility of PLA/PBAT blends modified by epoxy-terminated branched polymers through chemical micro-crosslinking
- Investigation on degradation mechanism of polymer blockages in unconsolidated sandstone reservoirs
- Investigation on the effect of active-polymers with different functional groups for EOR
- Fabrication and characterization of hexadecyl acrylate cross-linked phase change microspheres
- Surface-induced phase transitions in thin films of dendrimer block copolymers
- ZnO-assisted coating of tetracalcium phosphate/ gelatin on the polyethylene terephthalate woven nets by atomic layer deposition
- Animal fat and glycerol bioconversion to polyhydroxyalkanoate by produced water bacteria
- Effect of microstructure on the properties of polystyrene microporous foaming material
- Synthesis of amphiphilic poly(ethylene glycol)-block-poly(methyl methacrylate) containing trityl ether acid cleavable junction group and its self-assembly into ordered nanoporous thin films
- On-demand optimize design of sound-absorbing porous material based on multi-population genetic algorithm
- Enhancement of mechanical, thermal and water uptake performance of TPU/jute fiber green composites via chemical treatments on fiber surface
- Enhancement of mechanical properties of natural rubber–clay nanocomposites through incorporation of silanated organoclay into natural rubber latex
- Preparation and characterization of corn starch/PVA/glycerol composite films incorporated with ε-polylysine as a novel antimicrobial packaging material
- Preparation of novel amphoteric polyacrylamide and its synergistic retention with cationic polymers
- Effect of montmorillonite on PEBAX® 1074-based mixed matrix membranes to be used in humidifiers in proton exchange membrane fuel cells
- Insight on the effect of a piperonylic acid derivative on the crystallization process, melting behavior, thermal stability, optical and mechanical properties of poly(l-lactic acid)
- Lipase-catalyzed synthesis and post-polymerization modification of new fully bio-based poly(hexamethylene γ-ketopimelate) and poly(hexamethylene γ-ketopimelate-co-hexamethylene adipate) copolyesters
- Dielectric, mechanical and thermal properties of all-organic PI/PSF composite films by in situ polymerization
- Morphological transition of amphiphilic block copolymer/PEGylated phospholipid complexes induced by the dynamic subtle balance interactions in the self-assembled aggregates
- Silica/polymer core–shell particles prepared via soap-free emulsion polymerization
- Antibacterial epoxy composites with addition of natural Artemisia annua waste
- Design and preparation of 3D printing intelligent poly N,N-dimethylacrylamide hydrogel actuators
- Multilayer-structured fibrous membrane with directional moisture transportability and thermal radiation for high-performance air filtration
- Reaction characteristics of polymer expansive jet impact on explosive reactive armour
- Synthesis of a novel modified chitosan as an intumescent flame retardant for epoxy resin
- Synthesis of aminated polystyrene and its self-assembly with nanoparticles at oil/water interface
- The synthesis and characterisation of porous and monodisperse, chemically modified hypercrosslinked poly(acrylonitrile)-based terpolymer as a sorbent for the adsorption of acidic pharmaceuticals
- Crystal transition and thermal behavior of Nylon 12
- All-optical non-conjugated multi-functionalized photorefractive polymers via ring-opening metathesis polymerization
- Fabrication of LDPE/PS interpolymer resin particles through a swelling suspension polymerization approach
- Determination of the carbonyl index of polyethylene and polypropylene using specified area under band methodology with ATR-FTIR spectroscopy
- Synthesis, electropolymerization, and electrochromic performances of two novel tetrathiafulvalene–thiophene assemblies
- Wetting behaviors of fluoroterpolymer fiber films
- Plugging mechanisms of polymer gel used for hydraulic fracture water shutoff
- Synthesis of flexible poly(l-lactide)-b-polyethylene glycol-b-poly(l-lactide) bioplastics by ring-opening polymerization in the presence of chain extender
- Sulfonated poly(arylene ether sulfone) functionalized polysilsesquioxane hybrid membranes with enhanced proton conductivity
- Fmoc-diphenylalanine-based hydrogels as a potential carrier for drug delivery
- Effect of diacylhydrazine as chain extender on microphase separation and performance of energetic polyurethane elastomer
- Improved high-temperature damping performance of nitrile-butadiene rubber/phenolic resin composites by introducing different hindered amine molecules
- Rational synthesis of silicon into polyimide-derived hollow electrospun carbon nanofibers for enhanced lithium storage
- Synthesis, characterization and properties of phthalonitrile-etherified resole resin
- Highly thermally conductive boron nitride@UHMWPE composites with segregated structure
- Synthesis of high-temperature thermally expandable microcapsules and their effects on foaming quality and surface quality of foamed ABS materials
- Tribological and nanomechanical properties of a lignin-based biopolymer
- Hydroxyapatite/polyetheretherketone nanocomposites for selective laser sintering: Thermal and mechanical performances
- Synthesis of a phosphoramidate flame retardant and its flame retardancy on cotton fabrics
- Preparation and characterization of thermoresponsive poly(N-isopropylacrylamide) copolymers with enhanced hydrophilicity
- Fabrication of flexible SiO2 nanofibrous yarn via a conjugate electrospinning process
- Silver-loaded carbon nanofibers for ammonia sensing
- Polar migration behavior of phosphonate groups in phosphonate esterified acrylic grafted epoxy ester composites and their role in substrate protection
- Solubility and diffusion coefficient of supercritical CO2 in polystyrene dynamic melt
- Curcumin-loaded polyvinyl butyral film with antibacterial activity
- Experimental-numerical studies of the effect of cell structure on the mechanical properties of polypropylene foams
- Experimental investigation on the three-dimensional flow field from a meltblowing slot die
- Enhancing tribo-mechanical properties and thermal stability of nylon 6 by hexagonal boron nitride fillers
- Preparation and characterization of electrospun fibrous scaffolds of either PVA or PVP for fast release of sildenafil citrate
- Seawater degradation of PLA accelerated by water-soluble PVA
- Review Article
- Mechanical properties and application analysis of spider silk bionic material
- Additive manufacturing of PLA-based scaffolds intended for bone regeneration and strategies to improve their biological properties
- Structural design toward functional materials by electrospinning: A review
- Special Issue: XXXII National Congress of the Mexican Polymer Society
- Tailoring the morphology of poly(high internal phase emulsions) synthesized by using deep eutectic solvents
- Modification of Ceiba pentandra cellulose for drug release applications
- Redox initiation in semicontinuous polymerization to search for specific mechanical properties of copolymers
- pH-responsive polymer micelles for methotrexate delivery at tumor microenvironments
- Microwave-assisted synthesis of the lipase-catalyzed ring-opening copolymerization of ε-caprolactone and ω-pentadecanolactone: Thermal and FTIR characterization
- Rapid Communications
- Pilot-scale production of polylactic acid nanofibers by melt electrospinning
- Erratum
- Erratum to: Synthesis and characterization of new macromolecule systems for colon-specific drug delivery
Articles in the same Issue
- Regular Articles
- The regulatory effects of the number of VP(N-vinylpyrrolidone) function groups on macrostructure and photochromic properties of polyoxometalates/copolymer hybrid films
- How the hindered amines affect the microstructure and mechanical properties of nitrile-butadiene rubber composites
- Novel benzimidazole-based conjugated polyelectrolytes: synthesis, solution photophysics and fluorescent sensing of metal ions
- Study on the variation of rock pore structure after polymer gel flooding
- Investigation on compatibility of PLA/PBAT blends modified by epoxy-terminated branched polymers through chemical micro-crosslinking
- Investigation on degradation mechanism of polymer blockages in unconsolidated sandstone reservoirs
- Investigation on the effect of active-polymers with different functional groups for EOR
- Fabrication and characterization of hexadecyl acrylate cross-linked phase change microspheres
- Surface-induced phase transitions in thin films of dendrimer block copolymers
- ZnO-assisted coating of tetracalcium phosphate/ gelatin on the polyethylene terephthalate woven nets by atomic layer deposition
- Animal fat and glycerol bioconversion to polyhydroxyalkanoate by produced water bacteria
- Effect of microstructure on the properties of polystyrene microporous foaming material
- Synthesis of amphiphilic poly(ethylene glycol)-block-poly(methyl methacrylate) containing trityl ether acid cleavable junction group and its self-assembly into ordered nanoporous thin films
- On-demand optimize design of sound-absorbing porous material based on multi-population genetic algorithm
- Enhancement of mechanical, thermal and water uptake performance of TPU/jute fiber green composites via chemical treatments on fiber surface
- Enhancement of mechanical properties of natural rubber–clay nanocomposites through incorporation of silanated organoclay into natural rubber latex
- Preparation and characterization of corn starch/PVA/glycerol composite films incorporated with ε-polylysine as a novel antimicrobial packaging material
- Preparation of novel amphoteric polyacrylamide and its synergistic retention with cationic polymers
- Effect of montmorillonite on PEBAX® 1074-based mixed matrix membranes to be used in humidifiers in proton exchange membrane fuel cells
- Insight on the effect of a piperonylic acid derivative on the crystallization process, melting behavior, thermal stability, optical and mechanical properties of poly(l-lactic acid)
- Lipase-catalyzed synthesis and post-polymerization modification of new fully bio-based poly(hexamethylene γ-ketopimelate) and poly(hexamethylene γ-ketopimelate-co-hexamethylene adipate) copolyesters
- Dielectric, mechanical and thermal properties of all-organic PI/PSF composite films by in situ polymerization
- Morphological transition of amphiphilic block copolymer/PEGylated phospholipid complexes induced by the dynamic subtle balance interactions in the self-assembled aggregates
- Silica/polymer core–shell particles prepared via soap-free emulsion polymerization
- Antibacterial epoxy composites with addition of natural Artemisia annua waste
- Design and preparation of 3D printing intelligent poly N,N-dimethylacrylamide hydrogel actuators
- Multilayer-structured fibrous membrane with directional moisture transportability and thermal radiation for high-performance air filtration
- Reaction characteristics of polymer expansive jet impact on explosive reactive armour
- Synthesis of a novel modified chitosan as an intumescent flame retardant for epoxy resin
- Synthesis of aminated polystyrene and its self-assembly with nanoparticles at oil/water interface
- The synthesis and characterisation of porous and monodisperse, chemically modified hypercrosslinked poly(acrylonitrile)-based terpolymer as a sorbent for the adsorption of acidic pharmaceuticals
- Crystal transition and thermal behavior of Nylon 12
- All-optical non-conjugated multi-functionalized photorefractive polymers via ring-opening metathesis polymerization
- Fabrication of LDPE/PS interpolymer resin particles through a swelling suspension polymerization approach
- Determination of the carbonyl index of polyethylene and polypropylene using specified area under band methodology with ATR-FTIR spectroscopy
- Synthesis, electropolymerization, and electrochromic performances of two novel tetrathiafulvalene–thiophene assemblies
- Wetting behaviors of fluoroterpolymer fiber films
- Plugging mechanisms of polymer gel used for hydraulic fracture water shutoff
- Synthesis of flexible poly(l-lactide)-b-polyethylene glycol-b-poly(l-lactide) bioplastics by ring-opening polymerization in the presence of chain extender
- Sulfonated poly(arylene ether sulfone) functionalized polysilsesquioxane hybrid membranes with enhanced proton conductivity
- Fmoc-diphenylalanine-based hydrogels as a potential carrier for drug delivery
- Effect of diacylhydrazine as chain extender on microphase separation and performance of energetic polyurethane elastomer
- Improved high-temperature damping performance of nitrile-butadiene rubber/phenolic resin composites by introducing different hindered amine molecules
- Rational synthesis of silicon into polyimide-derived hollow electrospun carbon nanofibers for enhanced lithium storage
- Synthesis, characterization and properties of phthalonitrile-etherified resole resin
- Highly thermally conductive boron nitride@UHMWPE composites with segregated structure
- Synthesis of high-temperature thermally expandable microcapsules and their effects on foaming quality and surface quality of foamed ABS materials
- Tribological and nanomechanical properties of a lignin-based biopolymer
- Hydroxyapatite/polyetheretherketone nanocomposites for selective laser sintering: Thermal and mechanical performances
- Synthesis of a phosphoramidate flame retardant and its flame retardancy on cotton fabrics
- Preparation and characterization of thermoresponsive poly(N-isopropylacrylamide) copolymers with enhanced hydrophilicity
- Fabrication of flexible SiO2 nanofibrous yarn via a conjugate electrospinning process
- Silver-loaded carbon nanofibers for ammonia sensing
- Polar migration behavior of phosphonate groups in phosphonate esterified acrylic grafted epoxy ester composites and their role in substrate protection
- Solubility and diffusion coefficient of supercritical CO2 in polystyrene dynamic melt
- Curcumin-loaded polyvinyl butyral film with antibacterial activity
- Experimental-numerical studies of the effect of cell structure on the mechanical properties of polypropylene foams
- Experimental investigation on the three-dimensional flow field from a meltblowing slot die
- Enhancing tribo-mechanical properties and thermal stability of nylon 6 by hexagonal boron nitride fillers
- Preparation and characterization of electrospun fibrous scaffolds of either PVA or PVP for fast release of sildenafil citrate
- Seawater degradation of PLA accelerated by water-soluble PVA
- Review Article
- Mechanical properties and application analysis of spider silk bionic material
- Additive manufacturing of PLA-based scaffolds intended for bone regeneration and strategies to improve their biological properties
- Structural design toward functional materials by electrospinning: A review
- Special Issue: XXXII National Congress of the Mexican Polymer Society
- Tailoring the morphology of poly(high internal phase emulsions) synthesized by using deep eutectic solvents
- Modification of Ceiba pentandra cellulose for drug release applications
- Redox initiation in semicontinuous polymerization to search for specific mechanical properties of copolymers
- pH-responsive polymer micelles for methotrexate delivery at tumor microenvironments
- Microwave-assisted synthesis of the lipase-catalyzed ring-opening copolymerization of ε-caprolactone and ω-pentadecanolactone: Thermal and FTIR characterization
- Rapid Communications
- Pilot-scale production of polylactic acid nanofibers by melt electrospinning
- Erratum
- Erratum to: Synthesis and characterization of new macromolecule systems for colon-specific drug delivery









