Abstract
The purpose of this proposed investigation is to study unsteady magneto hydrodynamic (MHD) mixed initial-boundary value problem for incompressible fractional Maxwell fluid model via oscillatory porous rectangular duct. Considering the modified Darcy’s law, the problem is simplified by using the method of the double finite Fourier sine and Laplace transforms. As a limiting case of the general solutions, the same results can be obtained for the classical Maxwell fluid. Also, the impact of magnetic parameter, porosity of medium, and the impact of various material parameters on the velocity profile and the corresponding tangential tensions are illuminated graphically. At the end, we will give the conclusion of the whole paper.
1 Introduction
Fluid mechanics is an important branch of applied mathematics; nowadays, the theory of fluid mechanics is growing greatly due to which in various aspects of our life the study of mechanics of fluids has become very significant. The ability of the creatures to move through fluids, i.e., air as well as water, is of vital significance for their way of life. In our real world, all creatures live immersed in fluids (air or water). Significant ways are provided by the circulating fluids systems to distribute the things where they are necessary. For instance, take the example of blood flow which is very important for our body. Likewise, another significant circulation system is ocean which is essentially very crucial for man. Action of flow of fluid on the rotating blades converts different forms of energies like chemical energy, heat energy, or potential energy into kinetic energy in a steam turbine, gas turbine as well as in a water turbine. The efficiency of different types of turbines can be improved by studying this type of flow. Heat is transferred quickly from one part of the engine to the other part by the effective motion of fluid in various cases. The water motion through turbine produces electric power by waves, which is an example of fluid motion. Structures are designed in such a way that they can resist violent sea motions, strong winds, and river erosion, but all these need the understanding of forces exercised by waves, currents as well as winds on these static structures. Therefore, in every case the inclusive information of fluid flow plays the vital role. All these problems are very complicated. The progressive information of turbulence and boundary layer flow can tackle these complicated problems, since the motion of fluid generally propagates in a haphazard manner [1].
Subjects like non-Newtonian flow and rheology are basically interdisciplinary in nature and also get wide applications in many fields. Indeed, non-Newtonian fluids behavior is encountered in almost all the chemical and allied processing industries. Elements determining rheological properties of certain material are very complicated. The active role of applied mathematicians, physicists, and chemists is necessary for the full understanding of these complicated problems. Some of them consider this subject as central to their disciplines. Also, it gets diverse applications in many fields. It also requires an active contribution from chemical and process engineers. They can play their role by processing and handling complicated materials like slurries, polymer melts solutions, foams and emulsions, etc. Similarly, the practicing engineers, scientists, and theoretical mathematicians find this subject very important for them with diverse cultural background [2].
The working and understanding of artificial and natural systems requires the traditional derivative and integral which are important for technology professionals. The derivative operators and calculus integral can be defined by fractional calculus which is the field of mathematics in which the fractional exponents are used in place of integer exponents. In the definition of the non-integer order derivatives there is integral, so it is clear that these derivatives are nonlocal operators, which shows one of their most important uses in applications. The specific information about some function in space or time at some earlier points is contained by the non-integer derivative at some specific point in space or time, respectively. Therefore, non-integer derivatives are characterized by some memory effects that are shared with numerous materials like polymers and viscoelastic materials and also its uses in anomalous diffusions. Many researchers have studied keenly and comprehensively the fractional operators [3,4,5,6,7,8,9,10,23,46,47,48,56]. Due to this, fractional calculus is used in different disciplines [19,20,21,22,49,50,51,52,53]. Many scholars had discussed the dynamics predator-prey model with integer and fractional derivatives (see, e.g., ref. [32,33,34,35,36,37,38,39,40,54,55]). S. Djilali discussed the dynamics of other models (see, e.g., ref. [41,42]) for better understanding. B. Ghanbari et al. and S. Kumar et al. had studied the tumor-immune model for cancer treatment with fractional derivatives [43,44]. Similarities in a fifth-order evolution equation with and with no singular kernel were studied in ref. [45] by E. Goufo. In technological applications, non-Newtonian fluids have vital role as compared to Newtonian fluids. Non-Newtonian fluids are vastly used in industry and they vary from each other in their rheological properties. Due to simplicity of governing equation of the Maxwell fluid model, the scholars have keenly focused on it and elaborated its flow in various geometries. In geo-mechanics, biomechanics, and industry, the most important thing is how the flow takes place via porous media which include flow water through rock regulation of skin and filtration of fluids. Various types of solutions can be obtained by the cross sections of different geometries. It can be wisely used in industry due to its ability to flow via ducts. For the cooling in engineering systems, the porous passages with rectangular cross sections are of prime importance. So, the exact solutions of the classical Maxwell fluid and the generalized Maxwell fluid in different geometries have been thoroughly studied in the literature. Abdulhameed et al. [11] studied the Maxwell fluid via circular tube with the help of Caputo Fabrizio derivative. Aman et al. [12] focused on the thermal properties of Maxwell nanofluids with the fixed wall temperature. Bai et al. [13] studied the numerical analysis of MHD Maxwell fluid over the accelerating with slip condition. With the help of Atangana–Baleanu definition in porous medium, Abro et al. [14] obtained the temperature and velocity fields for the MHD Maxwell model. With the impact of slip and Newtonian heating, Imran et al. [15] focused on the fractional MHD Maxwell fluid flow. Raza and Asad [24] studied the heat transfer of fractional Maxwell fluid. Riaz et al. [25] studied the Maxwell fluid model with different fractional derivatives. Many researchers have studied the flow fluid through porous medium under different factors and conditions [26,27,28,29]. Nazar et al. [16,17] studied the motion of generalized and ordinary Maxwell fluid via an oscillatory rectangular duct and obtained the exact solution for the velocity and tangential stresses. Then, Sultan et al. [18] extended the Nazar et al. [16,17] problem and studied the unsteady flow of a Maxwell fluid in porous rectangular duct. However, to our best knowledge, there were no works on the flow of MHD generalized Maxwell fluid via porous rectangular duct. So, motivated by this, we are interested to find the exact solution for this problem by using integral transform [30].
The remainder of this article is organized as follows. Section 2 provides formulation of the flow problem. In Section 3, we will give the explicit expression of velocity field and the tangential stresses corresponding to MHD flows of a Maxwell fluid with fractional derivatives within an oscillating rectangular duct. In Section 4, we will obtain the explicit expressions for the velocity and the associated tangential stresses of the classical Maxwell fluids and the generalized Maxwell fluid without magnetic and porosity parameters. In Section 5, the obtained results are illuminated by the graphs. In Section 6, we will give the conclusion of the whole article.
2 Formulation of flow problem
Let us suppose the incompressible fractional Maxwell fluid in a duct of rectangular cross section whose sides are at
For the velocity field and an extra-stress, we have the following assumptions where
where
in above relation, p is the hydrostatic pressure of the fluid,
Here,
Furthermore, it is obvious to constrain the initial conditions for the fluid initially at rest
For the MHD flow, the governing equations for the incompressible fluid will be
where
2.1 Mathematical formulation of the problem
In correspondence to constitutive equations, a fractional Maxwell fluid can be obtained by using appropriate initial and boundary conditions. For this purpose, initially we formulate the constitutive equations for the flow of a classical Maxwell fluid and then revelent reversal are made to get the constitutive equations for the fractional Maxwell fluids. The (2.1) will fulfil the equation of continuity and
The momentum (2.6) for an ordinary Maxwell fluid by (2.1) and (2.7) will be
The appropriate IBC’s are
or
where
where
is the Capouto’s fractional derivative [8] and
By (2.12), the IBVP (2.11) becomes as, using the same notation for dimensionless quantities and without
or
3 Calculation for the velocity field
3.1 The case
ξ
(
0
,
y
̲
,
t
)
=
ξ
(
1
,
y
̲
,
t
)
=
ξ
(
x
̲
,
0
,
t
)
=
ξ
(
x
̲
,
1
,
t
)
=
sin
(
ω
t
)
Multiplying both sides of (2.13) by
where
is the double Fourier transform of
where
which can be written as
and
Denoting by
we get following, by applying the inverse Laplace transform to the above relation,
Taking the following function
The inverse Laplace transform of above expression is
where
We will get the following equation by implementing the inverse Laplace transform to the (3.4),
where
in simplifier form it can be,
The dimensionless tangential stresses
where
Therefore,
where
Taking the partial derivative of
Following relation can be obtained by implementing the inverse Laplace transform to the (3.9)
where
Similarly, we can calculate
3.2 The case
ξ
(
0
,
y
̲
,
t
)
=
ξ
(
1
,
y
̲
,
t
)
=
ξ
(
x
̲
,
0
,
t
)
=
ξ
(
x
̲
,
1
,
t
)
=
cos
(
ω
t
)
Multiplying both sides of (2.13) by
we can get the expression for
Then, (3.11) becomes
Denoting by
we get following equation by taking the inverse Laplace transform of the above equation
The transformed velocity can be marked as
By implementing the inverse Laplace transform to the (3.12), we will obtain
By implementing the inverse Fourier transform to (3.13)
simply, the above equation can be rewritten as
We can obtain the associated expressions for the tangential stresses by using the same method of the above section:
4 Limiting cases
4.1 Classical Maxwell fluid
Considering
and
where
4.2 Generalized Maxwell fluid without magnetic and porosity parameters
Considering
and
where
5 Numerical results
The present section aims to show the impact of various physical parameters with respect to time on the flow of MHD generalized Maxwell fluid via porous rectangular duct.
Figure 1 represents the influence of fractional parameter

The dimensionless velocity profile of sine and cosine oscillation at
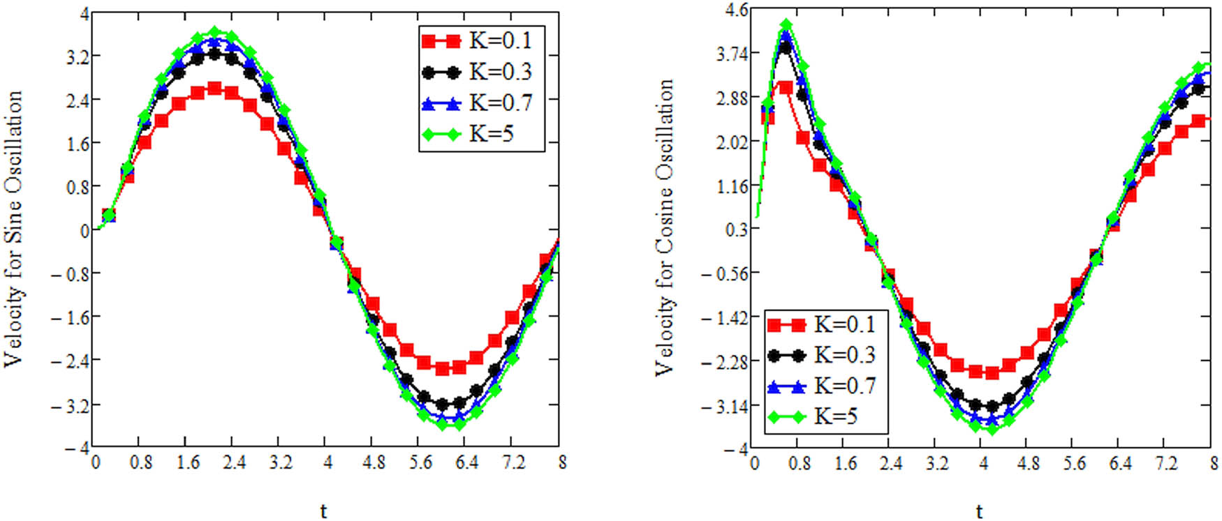
Figure 2 shows the effects of parameter K on the fluid motion with respect to time, as expected fluid velocity increases as value of K increases.

The dimensionless velocity profile of sine and cosine oscillation at
Figure 3 represents the effect of magnetic parameter M on fluid velocity. From Figure 4, it is clear that velocity of the fluid decreases with the strength of magnetic force.

The dimensionless velocity profile of sine and cosine oscillation at

The dimensionless velocity profile of sine and cosine oscillation at
Figure 4 shows the influence of the relaxation parameter on the fluid motion. From this figure, it is observed that velocity of the fluid decreases for cosine oscillation, but increases for the sine oscillation.
Figure 5 shows the same behavior as that of fractional parameter

The dimensionless velocity profile of sine and cosine oscillation at
In Figures 6 and 7, we show the effect of frequency parameter

The dimensionless velocity profile of sine and cosine oscillation at

The dimensionless tangential stress profile of sine and cosine oscillation at
In Figure 8, the dimensionless shear stress represented for different values of fractional parameter

The dimensionless tangential stress profile of sine and cosine oscillation at
Figure 9 shows the effects of parameter K on the dimensionless shear stress, as expected fluid velocity increases with the increase in K.

The dimensionless tangential stress profile of sine and cosine oscillation at
In Figures 10 and 11, we show the effect of Magnetic parameter M and relaxation time on the dimensionless shear stress, both sine and cosine oscillation decrease as the Magnetic parameter M and relaxation parameter increase.

The dimensionless tangential stress profile of sine and cosine oscillation at

The dimensionless tangential stress profile of sine and cosine oscillation at
In Figure 12, the effect of fractional parameter

The dimensionless tangential stress profile of sine and cosine oscillation at
6 Conclusion
In this article, the incompressible, unsteady flow mixed initial-boundary value problem for incompressible fractional Maxwell fluid model through oscillatory porous rectangular duct is studied. The solution is derived by using the techniques of Laplace and double finite sine Fourier transforms for the cosine and sine oscillation of the rectangular duct. The solutions are presented in terms of series form and the generalized G functions. The similar solutions of classical Maxwell fluid and generalized Maxwell fluid without magnetic and porosity parameters are recovered as a limiting case of the general solutions. Finally, the graphical influence of fractional parameters, magnetic parameter, porosity parameter, and relaxation time on the fluid motion is discussed.
-
Conflict of interest: The authors hereby declare that there is no conflict of interests regarding the publication of this paper.
References
[1] Rahman M. Mechanics of real fluids. UK: WIT Press; 2011.Search in Google Scholar
[2] Chhabra RP, Richardson JF. Non-Newtonian flow and applied rheology: Engineering applications. Oxford, United Kingdom: BH Publishers; 2008.Search in Google Scholar
[3] Caputo M, Fabrizio M, New A. Definition of fractional derivative without singular kernel. Prog Fract Differ Appl. 2015;1(2):73–85.Search in Google Scholar
[4] Ahmad I, Ahmad H, Abouelregal AE, Thounthong P, Abdel-Atay M. Numerical study of integer-order hyperbolic telegraph model arising in physical and related sciences. Eur Phys J Plus. 2020;135:759. 10.1140/epjp/s13360-020-00784-z.Search in Google Scholar
[5] Atangana A, Baleanu D. New fractional derivatives with nonlocal and non-singular kernel: Theory and application to heat transfermodel. Therm Sci. 2016;20:763–9. 10.2298/tsci160111018a.Search in Google Scholar
[6] Ahmad H, Akgül A, Khan TA, Stanimirovic PS, Chu Y-M. New perspective on the conventional solutions of the nonlinear time-fractional partial differential equations. Complexity. 2020:1–10. 10.1155/2020/8829017.Search in Google Scholar
[7] Lorenzo CF, Hartely TT. Generalized functions for fractional calculus. NASA/TP-1999-209424/REV1/; 1999.Search in Google Scholar
[8] Podlubny I. Fractional differential equations. San Diego: Academic Press; 1999.Search in Google Scholar
[9] Inc M, Khan MN, Ahmad I, Yao S-W, Ahmad H, Thounthong P. Analysing time-fractional exotic options via efficient local meshless method. Results Phys. 2020;19:103385. 10.1016/j.rinp.2020.103385.Search in Google Scholar
[10] Hilfer R. Applications of fractional calculus in physics. Singapore: World Scientific Press; 2002.Search in Google Scholar
[11] Abdulhameed M, Vieru D, Roslan R. Magnetohydrodynamic electroosmotic flow of Maxwell fluids with Caputo–Fabrizio derivatives through circular tubes. Comput Math Appl. 2017;74:2503–19.10.1016/j.camwa.2017.07.040Search in Google Scholar
[12] Aman S, Salleh M, Ismail Z, Khan I. Exact solution for heat transfer free convection fow of Maxwell nanofuids with graphene nanoparticles. J Phys Conf Ser. 2017;890:012004.10.1088/1742-6596/890/1/012004Search in Google Scholar
[13] Bai Y, Jiang Y, Liu F, Zhang Y. Numerical analysis of fractional MHD Maxwell fuid with the efects of convection heat transfer condition and viscous dissipation. AIP Adv. 2017;7:125309.10.1063/1.5011789Search in Google Scholar
[14] Abro K, Khan I, Tassaddiq A. A, Application of Atangana–Baleanu fractional derivative to convection fow of MHD Maxwell fuid in a porous medium over a vertical plate. Math Model Nat Phenom. 2018;13:1.10.1051/mmnp/2018007Search in Google Scholar
[15] Imran M, Riaz M, Shah N, Zafar A. Boundary layer fow of MHD generalized Maxwell fuid over an exponentially accelerated infnite vertical surface with slip and Newtonian heating at the boundary. Results Phys. 2018;8:1061–7.10.1016/j.rinp.2018.01.036Search in Google Scholar
[16] Nazar M, Zulqarnain M, Akram MS, Asif M. Flow through an oscillating rectangular duct for generalized maxwell fluid with fractional derivatives. Commun Nonlinear Sci Numer Simulat. 2012;17:3219–34.10.1016/j.cnsns.2011.10.002Search in Google Scholar
[17] Nazar M, Shahid F, Akram S, Sultan Q. Flow on oscillating rectangular duct for Maxwell fluid. Appl Math Mech. 2012;33:717–30.10.1007/s10483-012-1582-6Search in Google Scholar
[18] Sultan Q, Nazar M, Akhtar W, Ali U. Unsteady flow of a Maxwell fluid in porous rectangular duct. Sci Int. 2013;25(2):181–94.Search in Google Scholar
[19] Abro K, Gomez-Aguilar JF, Kolebaje O, Yildirim A. Chaos in a calcium oscillation model via Atangana–Baleanu operator with strong memory. Eur Phys J Plus. 2019;134:140. 10.1140/epjp/i2019-12550-1.Search in Google Scholar
[20] Khan A, ABdeljawad T, Gomez-Aguilar JF, Khan H. Dynamical study of fractional order mutualism parasitism food web module. Chaos, Solitons Fractals. 2020;134:109685. 10.1016/j.chaos.2020.109685.Search in Google Scholar
[21] Abouelregal AE, Yao S-W, Ahmad H. Analysis of a functionally graded thermopiezoelectric finite rod excited by a moving heat source. Results Phys. 2020;19:103389. 10.1016/j.rinp.2020.103389.Search in Google Scholar
[22] Abro KA, Abro IA, Yildirim A. A comparative analysis of sulfate ion concentration via modern fractional derivatives: An industrial application to cooling system of power plant. Physica. 2020;541(C). 10.1016/j.physa.2019.123306.Search in Google Scholar
[23] Hamid M, Usman M, Zubair T, Haq R, Wang W. Innovative operational matrices based computational scheme for fractional diffusion problems with the Riesz derivative. Eur Phys J Plus. 2019;134:484. 10.1140/epjp/i2019-12871-y.Search in Google Scholar
[24] Raza N, Asad M. A comparative study of heat transfer analysis of fractional Maxwell fluid by using Caputo and Caputo–Fabrizio derivatives. Can J Phys. 2020;98:89–101. 10.1139/cjp-2018-0602.Search in Google Scholar
[25] Riaz MB, Atangana A, Iftikhar N. Heat and mass transfer in Maxwell fluid in view of local and non-local differential operators. J Therm Anal Calorim. 2020. 10.1007/s10973-020-09383-7.Search in Google Scholar
[26] Jamil M, Ahmed A, Khan NA. Some exact traveling wave solutions of MHD Maxwell fluid in porous medium. Int J Appl Comput Math. 2020;6:69. 10.1007/s40819-020-00815-4.Search in Google Scholar
[27] Singh R, Bishnoi J, Tyagi VK. Triple diffusive convection with Soret–Dufour effects in a Maxwell nanofluid saturated in a Darcy porous medium. SN Appl Sci. 2020;2:704. 10.1007/s42452-020-2462-4.Search in Google Scholar
[28] Zhang M, Shen M, Liu F, Zhang H. A new time and spatial fractional heat conduction model for Maxwell nanofluid in porous medium. Compu Math Appl. 2019;78(5):1621–36.10.1016/j.camwa.2019.01.006Search in Google Scholar
[29] Kausar MS, Hussanan A, Mamat M, Ahmad B. Boundary layer flow through Darcy–Brinkman porous medium in the presence of slip effects and porous dissipation. Symmetry. 2019;11:659.10.3390/sym11050659Search in Google Scholar
[30] Debnath L, Bhatta D. Integral transforms and their applications. Boca Raton, London, New York: Chapman and Hall, CRC; 2007.Search in Google Scholar
[31] Fetecau C, Fetecau C, Kamran M, D, Vieru. Exact solutions for the flow of a generalized Oldroyd-B fluid induced by a constantly accelerating plate between two side walls perpendicular to the plate. J Non-Newtonian Fluid Mech. 2009;156:189–201.10.1016/j.jnnfm.2008.06.005Search in Google Scholar
[32] Kumar S, Kumar R, Cattani C, Samet B. Chaotic behaviour of fractional predator-prey dynamical system. Chaos, Solitons Fractals. 2020;135:109811.10.1016/j.chaos.2020.109811Search in Google Scholar
[33] Djilali S. Herd behavior in a predator-prey model with spatial diffusion: Bifurcation analysis and Turing instability. J Appl Math Comput. 2018;58:125–49.10.1007/s12190-017-1137-9Search in Google Scholar
[34] Djilali S. Pattern formation of a diffusive predator-prey model with herd behavior and nonlocal prey competition. Math Methods Appl Sci. 2020;43(5):2233–50.10.1002/mma.6036Search in Google Scholar
[35] Ahmad H, Khan TA, Stanimirovic PS, Chu Y-M, Ahmad I. Modified variational iteration algorithm-II: Convergence and applications to diffusion models. Complexity. 2020;20:8841718. 10.1155/2020/8841718.Search in Google Scholar
[36] Fethi S, Lakmeche A, Djilali S. Spatiotemporal patterns in a diffusive predator-prey model with protection zone and predator harvesting. Chaos, Solitons Fractals. 2020;140:110180.10.1016/j.chaos.2020.110180Search in Google Scholar
[37] Souna F, Lakmeche A, Djilali S. The effect of the defensive strategy taken by the prey on predator-prey interaction. J Appl Math Comput. 2020;64:665–90.10.1007/s12190-020-01373-0Search in Google Scholar
[38] Djilali S, Ghanbari B. Mathematical and numerical analysis of a three-species predator-prey model with herd behavior and time fractional-order derivative. Math Methods Appl Sci. 2020;43(4):1736–52.10.1002/mma.5999Search in Google Scholar
[39] Ahmad H, Seadawy AR, Khan TA. Numerical solution of Korteweg–de Vries–Burgers equation by the modified variational iteration algorithm-II arising in shallow water waves. Phys Scr. 2020;95(4):045210.10.1088/1402-4896/ab6070Search in Google Scholar
[40] Yokus A, Durur H, Ahmad H, Yao S-W. Hyperbolic type solutions for the couple Boiti–Leon–Pempinelli system. F U Math Inf. 2020;35(2):523–31.10.22190/FUMI2002523YSearch in Google Scholar
[41] Ahmad I, Khan MN, Inc M, Ahmad H, Nisar KS. Numerical simulation of simulate an anomalous solute transport model via local meshless method. Alexandria, Eng J. 2020;59(4):2827–38.10.1016/j.aej.2020.06.029Search in Google Scholar
[42] Djilali S, Touaoula TM, Miri SE. A heroin epidemic model: Very general non linear incidence, treat-age, and global stability. Acta Appl Math. 2017;152:171–94.10.1007/s10440-017-0117-2Search in Google Scholar
[43] Ahmad H, Ahmad I, Stanimirovic PS. Modified variational iteration technique for the numerical solution of fifth order KdV type equations. J Appl Comput Mech. 2020;6(SI):1220–7.Search in Google Scholar
[44] Kumar S, Kumar A, Samet B, Gomez-Aguilar JF, Osman MS. A chaos study of tumor and effector cells in fractional tumor-immune model for cancer treatment. Chaos, Solitons Fractals. 2020;141:110321.10.1016/j.chaos.2020.110321Search in Google Scholar
[45] Goufo EFD, Kumar S, Mugisha SB. Similarities in a fifth-order evolution equation with and with no singular kernel. Chaos, Solitons Fractals. 2020;130:109467.10.1016/j.chaos.2019.109467Search in Google Scholar
[46] Ahmad H, Khan TA, Yao SW. An efficient approach for the numerical solution of fifth-order KdV equations. Open Math. 2020;18(1):738–48.10.1515/math-2020-0036Search in Google Scholar
[47] Ahmad H, Khan TA, Ahmad I, Stanimirovic PS, Chu Y-M. A new analyzing technique for nonlinear time fractional Cauchy reaction-diffusion model equations. Results Phys. 2020;19:103462. 10.1016/j.rinp.2020.103462.Search in Google Scholar
[48] Kumar S, Ghosh S, Samet B, Goufo EFD. An analysis for heat equations arises in diffusion process using new Yang–Abdel–Aty–Cattani fractional operator. Math Methods Appl Sci. 2020;43(9):6062–80.10.1002/mma.6347Search in Google Scholar
[49] Kumar S, Kumar R, Agarwal RP, Samet B. A study of fractional Lotka–Volterra population model using Haar wavelet and Adams–Bashforth–Moulton methods. Math Methods Appl Sci. 2020;43(8):5564–78.10.1002/mma.6297Search in Google Scholar
[50] Bazighifan O, Ahmad H, Yao S-W. New oscillation criteria for advanced differential equations of fourth order. Mathematics. 2020;8(5):728.10.3390/math8050728Search in Google Scholar
[51] Khan MN, Ahmad I, Ahmad H. A radial basis function collocation method for space-dependent inverse heat problems. J Appl Comput Mech. 2020;6(SI):1187–99.Search in Google Scholar
[52] Kumar S, Rashidi MM. New analytical method for gas dynamics equation arising in shock fronts. Comp Phys Commun. 2014;185(7):1947–54.10.1016/j.cpc.2014.03.025Search in Google Scholar
[53] Kumar S, Kumar A, Baleanu D. Two analytical methods for time-fractional nonlinear coupled Boussinesq–Burger’s equations arise in propagation of shallow water waves. Nonlinear Dyn. 2016;85:699–715.10.1007/s11071-016-2716-2Search in Google Scholar
[54] Ahmad H, Seadawy AR, Khan TA, Thounthong P. Analytic approximate solutions for some nonlinear Parabolic dynamical wave equations. J Taibah Univ Sci. 2020;14(1):346–58.10.1080/16583655.2020.1741943Search in Google Scholar
[55] Ahmad I, Ahmad H, Thounthong P, Chu Y-M, Cesarano C. Solution of multi-term time-fractional PDE models arising in mathematical biology and physics by local meshless method. Symmetry. 2020;12(7):1195.10.3390/sym12071195Search in Google Scholar
[56] Momani S. Analytic solutions of a 3-D propagated wave dynamical equation formulated by conformable calculus. Prog Fract Differ Appl. 2020;1(1):1–10.Search in Google Scholar
© 2020 Aamir Farooq et al., published by De Gruyter
This work is licensed under the Creative Commons Attribution 4.0 International License.
Articles in the same Issue
- Regular Articles
- Model of electric charge distribution in the trap of a close-contact TENG system
- Dynamics of Online Collective Attention as Hawkes Self-exciting Process
- Enhanced Entanglement in Hybrid Cavity Mediated by a Two-way Coupled Quantum Dot
- The nonlinear integro-differential Ito dynamical equation via three modified mathematical methods and its analytical solutions
- Diagnostic model of low visibility events based on C4.5 algorithm
- Electronic temperature characteristics of laser-induced Fe plasma in fruits
- Comparative study of heat transfer enhancement on liquid-vapor separation plate condenser
- Characterization of the effects of a plasma injector driven by AC dielectric barrier discharge on ethylene-air diffusion flame structure
- Impact of double-diffusive convection and motile gyrotactic microorganisms on magnetohydrodynamics bioconvection tangent hyperbolic nanofluid
- Dependence of the crossover zone on the regularization method in the two-flavor Nambu–Jona-Lasinio model
- Novel numerical analysis for nonlinear advection–reaction–diffusion systems
- Heuristic decision of planned shop visit products based on similar reasoning method: From the perspective of organizational quality-specific immune
- Two-dimensional flow field distribution characteristics of flocking drainage pipes in tunnel
- Dynamic triaxial constitutive model for rock subjected to initial stress
- Automatic target recognition method for multitemporal remote sensing image
- Gaussons: optical solitons with log-law nonlinearity by Laplace–Adomian decomposition method
- Adaptive magnetic suspension anti-rolling device based on frequency modulation
- Dynamic response characteristics of 93W alloy with a spherical structure
- The heuristic model of energy propagation in free space, based on the detection of a current induced in a conductor inside a continuously covered conducting enclosure by an external radio frequency source
- Microchannel filter for air purification
- An explicit representation for the axisymmetric solutions of the free Maxwell equations
- Floquet analysis of linear dynamic RLC circuits
- Subpixel matching method for remote sensing image of ground features based on geographic information
- K-band luminosity–density relation at fixed parameters or for different galaxy families
- Effect of forward expansion angle on film cooling characteristics of shaped holes
- Analysis of the overvoltage cooperative control strategy for the small hydropower distribution network
- Stable walking of biped robot based on center of mass trajectory control
- Modeling and simulation of dynamic recrystallization behavior for Q890 steel plate based on plane strain compression tests
- Edge effect of multi-degree-of-freedom oscillatory actuator driven by vector control
- The effect of guide vane type on performance of multistage energy recovery hydraulic turbine (MERHT)
- Development of a generic framework for lumped parameter modeling
- Optimal control for generating excited state expansion in ring potential
- The phase inversion mechanism of the pH-sensitive reversible invert emulsion from w/o to o/w
- 3D bending simulation and mechanical properties of the OLED bending area
- Resonance overvoltage control algorithms in long cable frequency conversion drive based on discrete mathematics
- The measure of irregularities of nanosheets
- The predicted load balancing algorithm based on the dynamic exponential smoothing
- Influence of different seismic motion input modes on the performance of isolated structures with different seismic measures
- A comparative study of cohesive zone models for predicting delamination fracture behaviors of arterial wall
- Analysis on dynamic feature of cross arm light weighting for photovoltaic panel cleaning device in power station based on power correlation
- Some probability effects in the classical context
- Thermosoluted Marangoni convective flow towards a permeable Riga surface
- Simultaneous measurement of ionizing radiation and heart rate using a smartphone camera
- On the relations between some well-known methods and the projective Riccati equations
- Application of energy dissipation and damping structure in the reinforcement of shear wall in concrete engineering
- On-line detection algorithm of ore grade change in grinding grading system
- Testing algorithm for heat transfer performance of nanofluid-filled heat pipe based on neural network
- New optical solitons of conformable resonant nonlinear Schrödinger’s equation
- Numerical investigations of a new singular second-order nonlinear coupled functional Lane–Emden model
- Circularly symmetric algorithm for UWB RF signal receiving channel based on noise cancellation
- CH4 dissociation on the Pd/Cu(111) surface alloy: A DFT study
- On some novel exact solutions to the time fractional (2 + 1) dimensional Konopelchenko–Dubrovsky system arising in physical science
- An optimal system of group-invariant solutions and conserved quantities of a nonlinear fifth-order integrable equation
- Mining reasonable distance of horizontal concave slope based on variable scale chaotic algorithms
- Mathematical models for information classification and recognition of multi-target optical remote sensing images
- Hopkinson rod test results and constitutive description of TRIP780 steel resistance spot welding material
- Computational exploration for radiative flow of Sutterby nanofluid with variable temperature-dependent thermal conductivity and diffusion coefficient
- Analytical solution of one-dimensional Pennes’ bioheat equation
- MHD squeezed Darcy–Forchheimer nanofluid flow between two h–distance apart horizontal plates
- Analysis of irregularity measures of zigzag, rhombic, and honeycomb benzenoid systems
- A clustering algorithm based on nonuniform partition for WSNs
- An extension of Gronwall inequality in the theory of bodies with voids
- Rheological properties of oil–water Pickering emulsion stabilized by Fe3O4 solid nanoparticles
- Review Article
- Sine Topp-Leone-G family of distributions: Theory and applications
- Review of research, development and application of photovoltaic/thermal water systems
- Special Issue on Fundamental Physics of Thermal Transports and Energy Conversions
- Numerical analysis of sulfur dioxide absorption in water droplets
- Special Issue on Transport phenomena and thermal analysis in micro/nano-scale structure surfaces - Part I
- Random pore structure and REV scale flow analysis of engine particulate filter based on LBM
- Prediction of capillary suction in porous media based on micro-CT technology and B–C model
- Energy equilibrium analysis in the effervescent atomization
- Experimental investigation on steam/nitrogen condensation characteristics inside horizontal enhanced condensation channels
- Experimental analysis and ANN prediction on performances of finned oval-tube heat exchanger under different air inlet angles with limited experimental data
- Investigation on thermal-hydraulic performance prediction of a new parallel-flow shell and tube heat exchanger with different surrogate models
- Comparative study of the thermal performance of four different parallel flow shell and tube heat exchangers with different performance indicators
- Optimization of SCR inflow uniformity based on CFD simulation
- Kinetics and thermodynamics of SO2 adsorption on metal-loaded multiwalled carbon nanotubes
- Effect of the inner-surface baffles on the tangential acoustic mode in the cylindrical combustor
- Special Issue on Future challenges of advanced computational modeling on nonlinear physical phenomena - Part I
- Conserved vectors with conformable derivative for certain systems of partial differential equations with physical applications
- Some new extensions for fractional integral operator having exponential in the kernel and their applications in physical systems
- Exact optical solitons of the perturbed nonlinear Schrödinger–Hirota equation with Kerr law nonlinearity in nonlinear fiber optics
- Analytical mathematical schemes: Circular rod grounded via transverse Poisson’s effect and extensive wave propagation on the surface of water
- Closed-form wave structures of the space-time fractional Hirota–Satsuma coupled KdV equation with nonlinear physical phenomena
- Some misinterpretations and lack of understanding in differential operators with no singular kernels
- Stable solutions to the nonlinear RLC transmission line equation and the Sinh–Poisson equation arising in mathematical physics
- Calculation of focal values for first-order non-autonomous equation with algebraic and trigonometric coefficients
- Influence of interfacial electrokinetic on MHD radiative nanofluid flow in a permeable microchannel with Brownian motion and thermophoresis effects
- Standard routine techniques of modeling of tick-borne encephalitis
- Fractional residual power series method for the analytical and approximate studies of fractional physical phenomena
- Exact solutions of space–time fractional KdV–MKdV equation and Konopelchenko–Dubrovsky equation
- Approximate analytical fractional view of convection–diffusion equations
- Heat and mass transport investigation in radiative and chemically reacting fluid over a differentially heated surface and internal heating
- On solitary wave solutions of a peptide group system with higher order saturable nonlinearity
- Extension of optimal homotopy asymptotic method with use of Daftardar–Jeffery polynomials to Hirota–Satsuma coupled system of Korteweg–de Vries equations
- Unsteady nano-bioconvective channel flow with effect of nth order chemical reaction
- On the flow of MHD generalized maxwell fluid via porous rectangular duct
- Study on the applications of two analytical methods for the construction of traveling wave solutions of the modified equal width equation
- Numerical solution of two-term time-fractional PDE models arising in mathematical physics using local meshless method
- A powerful numerical technique for treating twelfth-order boundary value problems
- Fundamental solutions for the long–short-wave interaction system
- Role of fractal-fractional operators in modeling of rubella epidemic with optimized orders
- Exact solutions of the Laplace fractional boundary value problems via natural decomposition method
- Special Issue on 19th International Symposium on Electromagnetic Fields in Mechatronics, Electrical and Electronic Engineering
- Joint use of eddy current imaging and fuzzy similarities to assess the integrity of steel plates
- Uncertainty quantification in the design of wireless power transfer systems
- Influence of unequal stator tooth width on the performance of outer-rotor permanent magnet machines
- New elements within finite element modeling of magnetostriction phenomenon in BLDC motor
- Evaluation of localized heat transfer coefficient for induction heating apparatus by thermal fluid analysis based on the HSMAC method
- Experimental set up for magnetomechanical measurements with a closed flux path sample
- Influence of the earth connections of the PWM drive on the voltage constraints endured by the motor insulation
- High temperature machine: Characterization of materials for the electrical insulation
- Architecture choices for high-temperature synchronous machines
- Analytical study of air-gap surface force – application to electrical machines
- High-power density induction machines with increased windings temperature
- Influence of modern magnetic and insulation materials on dimensions and losses of large induction machines
- New emotional model environment for navigation in a virtual reality
- Performance comparison of axial-flux switched reluctance machines with non-oriented and grain-oriented electrical steel rotors
- Erratum
- Erratum to “Conserved vectors with conformable derivative for certain systems of partial differential equations with physical applications”
Articles in the same Issue
- Regular Articles
- Model of electric charge distribution in the trap of a close-contact TENG system
- Dynamics of Online Collective Attention as Hawkes Self-exciting Process
- Enhanced Entanglement in Hybrid Cavity Mediated by a Two-way Coupled Quantum Dot
- The nonlinear integro-differential Ito dynamical equation via three modified mathematical methods and its analytical solutions
- Diagnostic model of low visibility events based on C4.5 algorithm
- Electronic temperature characteristics of laser-induced Fe plasma in fruits
- Comparative study of heat transfer enhancement on liquid-vapor separation plate condenser
- Characterization of the effects of a plasma injector driven by AC dielectric barrier discharge on ethylene-air diffusion flame structure
- Impact of double-diffusive convection and motile gyrotactic microorganisms on magnetohydrodynamics bioconvection tangent hyperbolic nanofluid
- Dependence of the crossover zone on the regularization method in the two-flavor Nambu–Jona-Lasinio model
- Novel numerical analysis for nonlinear advection–reaction–diffusion systems
- Heuristic decision of planned shop visit products based on similar reasoning method: From the perspective of organizational quality-specific immune
- Two-dimensional flow field distribution characteristics of flocking drainage pipes in tunnel
- Dynamic triaxial constitutive model for rock subjected to initial stress
- Automatic target recognition method for multitemporal remote sensing image
- Gaussons: optical solitons with log-law nonlinearity by Laplace–Adomian decomposition method
- Adaptive magnetic suspension anti-rolling device based on frequency modulation
- Dynamic response characteristics of 93W alloy with a spherical structure
- The heuristic model of energy propagation in free space, based on the detection of a current induced in a conductor inside a continuously covered conducting enclosure by an external radio frequency source
- Microchannel filter for air purification
- An explicit representation for the axisymmetric solutions of the free Maxwell equations
- Floquet analysis of linear dynamic RLC circuits
- Subpixel matching method for remote sensing image of ground features based on geographic information
- K-band luminosity–density relation at fixed parameters or for different galaxy families
- Effect of forward expansion angle on film cooling characteristics of shaped holes
- Analysis of the overvoltage cooperative control strategy for the small hydropower distribution network
- Stable walking of biped robot based on center of mass trajectory control
- Modeling and simulation of dynamic recrystallization behavior for Q890 steel plate based on plane strain compression tests
- Edge effect of multi-degree-of-freedom oscillatory actuator driven by vector control
- The effect of guide vane type on performance of multistage energy recovery hydraulic turbine (MERHT)
- Development of a generic framework for lumped parameter modeling
- Optimal control for generating excited state expansion in ring potential
- The phase inversion mechanism of the pH-sensitive reversible invert emulsion from w/o to o/w
- 3D bending simulation and mechanical properties of the OLED bending area
- Resonance overvoltage control algorithms in long cable frequency conversion drive based on discrete mathematics
- The measure of irregularities of nanosheets
- The predicted load balancing algorithm based on the dynamic exponential smoothing
- Influence of different seismic motion input modes on the performance of isolated structures with different seismic measures
- A comparative study of cohesive zone models for predicting delamination fracture behaviors of arterial wall
- Analysis on dynamic feature of cross arm light weighting for photovoltaic panel cleaning device in power station based on power correlation
- Some probability effects in the classical context
- Thermosoluted Marangoni convective flow towards a permeable Riga surface
- Simultaneous measurement of ionizing radiation and heart rate using a smartphone camera
- On the relations between some well-known methods and the projective Riccati equations
- Application of energy dissipation and damping structure in the reinforcement of shear wall in concrete engineering
- On-line detection algorithm of ore grade change in grinding grading system
- Testing algorithm for heat transfer performance of nanofluid-filled heat pipe based on neural network
- New optical solitons of conformable resonant nonlinear Schrödinger’s equation
- Numerical investigations of a new singular second-order nonlinear coupled functional Lane–Emden model
- Circularly symmetric algorithm for UWB RF signal receiving channel based on noise cancellation
- CH4 dissociation on the Pd/Cu(111) surface alloy: A DFT study
- On some novel exact solutions to the time fractional (2 + 1) dimensional Konopelchenko–Dubrovsky system arising in physical science
- An optimal system of group-invariant solutions and conserved quantities of a nonlinear fifth-order integrable equation
- Mining reasonable distance of horizontal concave slope based on variable scale chaotic algorithms
- Mathematical models for information classification and recognition of multi-target optical remote sensing images
- Hopkinson rod test results and constitutive description of TRIP780 steel resistance spot welding material
- Computational exploration for radiative flow of Sutterby nanofluid with variable temperature-dependent thermal conductivity and diffusion coefficient
- Analytical solution of one-dimensional Pennes’ bioheat equation
- MHD squeezed Darcy–Forchheimer nanofluid flow between two h–distance apart horizontal plates
- Analysis of irregularity measures of zigzag, rhombic, and honeycomb benzenoid systems
- A clustering algorithm based on nonuniform partition for WSNs
- An extension of Gronwall inequality in the theory of bodies with voids
- Rheological properties of oil–water Pickering emulsion stabilized by Fe3O4 solid nanoparticles
- Review Article
- Sine Topp-Leone-G family of distributions: Theory and applications
- Review of research, development and application of photovoltaic/thermal water systems
- Special Issue on Fundamental Physics of Thermal Transports and Energy Conversions
- Numerical analysis of sulfur dioxide absorption in water droplets
- Special Issue on Transport phenomena and thermal analysis in micro/nano-scale structure surfaces - Part I
- Random pore structure and REV scale flow analysis of engine particulate filter based on LBM
- Prediction of capillary suction in porous media based on micro-CT technology and B–C model
- Energy equilibrium analysis in the effervescent atomization
- Experimental investigation on steam/nitrogen condensation characteristics inside horizontal enhanced condensation channels
- Experimental analysis and ANN prediction on performances of finned oval-tube heat exchanger under different air inlet angles with limited experimental data
- Investigation on thermal-hydraulic performance prediction of a new parallel-flow shell and tube heat exchanger with different surrogate models
- Comparative study of the thermal performance of four different parallel flow shell and tube heat exchangers with different performance indicators
- Optimization of SCR inflow uniformity based on CFD simulation
- Kinetics and thermodynamics of SO2 adsorption on metal-loaded multiwalled carbon nanotubes
- Effect of the inner-surface baffles on the tangential acoustic mode in the cylindrical combustor
- Special Issue on Future challenges of advanced computational modeling on nonlinear physical phenomena - Part I
- Conserved vectors with conformable derivative for certain systems of partial differential equations with physical applications
- Some new extensions for fractional integral operator having exponential in the kernel and their applications in physical systems
- Exact optical solitons of the perturbed nonlinear Schrödinger–Hirota equation with Kerr law nonlinearity in nonlinear fiber optics
- Analytical mathematical schemes: Circular rod grounded via transverse Poisson’s effect and extensive wave propagation on the surface of water
- Closed-form wave structures of the space-time fractional Hirota–Satsuma coupled KdV equation with nonlinear physical phenomena
- Some misinterpretations and lack of understanding in differential operators with no singular kernels
- Stable solutions to the nonlinear RLC transmission line equation and the Sinh–Poisson equation arising in mathematical physics
- Calculation of focal values for first-order non-autonomous equation with algebraic and trigonometric coefficients
- Influence of interfacial electrokinetic on MHD radiative nanofluid flow in a permeable microchannel with Brownian motion and thermophoresis effects
- Standard routine techniques of modeling of tick-borne encephalitis
- Fractional residual power series method for the analytical and approximate studies of fractional physical phenomena
- Exact solutions of space–time fractional KdV–MKdV equation and Konopelchenko–Dubrovsky equation
- Approximate analytical fractional view of convection–diffusion equations
- Heat and mass transport investigation in radiative and chemically reacting fluid over a differentially heated surface and internal heating
- On solitary wave solutions of a peptide group system with higher order saturable nonlinearity
- Extension of optimal homotopy asymptotic method with use of Daftardar–Jeffery polynomials to Hirota–Satsuma coupled system of Korteweg–de Vries equations
- Unsteady nano-bioconvective channel flow with effect of nth order chemical reaction
- On the flow of MHD generalized maxwell fluid via porous rectangular duct
- Study on the applications of two analytical methods for the construction of traveling wave solutions of the modified equal width equation
- Numerical solution of two-term time-fractional PDE models arising in mathematical physics using local meshless method
- A powerful numerical technique for treating twelfth-order boundary value problems
- Fundamental solutions for the long–short-wave interaction system
- Role of fractal-fractional operators in modeling of rubella epidemic with optimized orders
- Exact solutions of the Laplace fractional boundary value problems via natural decomposition method
- Special Issue on 19th International Symposium on Electromagnetic Fields in Mechatronics, Electrical and Electronic Engineering
- Joint use of eddy current imaging and fuzzy similarities to assess the integrity of steel plates
- Uncertainty quantification in the design of wireless power transfer systems
- Influence of unequal stator tooth width on the performance of outer-rotor permanent magnet machines
- New elements within finite element modeling of magnetostriction phenomenon in BLDC motor
- Evaluation of localized heat transfer coefficient for induction heating apparatus by thermal fluid analysis based on the HSMAC method
- Experimental set up for magnetomechanical measurements with a closed flux path sample
- Influence of the earth connections of the PWM drive on the voltage constraints endured by the motor insulation
- High temperature machine: Characterization of materials for the electrical insulation
- Architecture choices for high-temperature synchronous machines
- Analytical study of air-gap surface force – application to electrical machines
- High-power density induction machines with increased windings temperature
- Influence of modern magnetic and insulation materials on dimensions and losses of large induction machines
- New emotional model environment for navigation in a virtual reality
- Performance comparison of axial-flux switched reluctance machines with non-oriented and grain-oriented electrical steel rotors
- Erratum
- Erratum to “Conserved vectors with conformable derivative for certain systems of partial differential equations with physical applications”