Influence of interfacial electrokinetic on MHD radiative nanofluid flow in a permeable microchannel with Brownian motion and thermophoresis effects
-
Abdul Samad Khan
, Yufeng Nie , Zahir Shah , Ilyas Khan, Dumitru Baleanu
, Kottakkaran Sooppy Nisarand Raees Khan
Abstract
In this study, the behavior of a microchannel flow is examined. The fluid is considered to be a nanofluid, which moves between two parallel flat plates in the presence of an electrical double layer. The Buongiorno nanofluid is considered with body force. In this study, the unphysical supposition presented in the preceding work to the discontinuity of the flow fled where the electrostatic potential in the central of the canal must be equal to zero is removed. The incorrect supposition that the pressure constant is preserved, which is considered a known form, is corrected. The current fresh model equation is modified by using dimensionless parameters to convert partial differential equations into ordinary differential equations. The transformed nonlinear equations are solved by the homotopy analysis method. The physical parameters, magnetic parameters, Eckert number, Lewis number, Brownian motion parameters, thermophoresis parameters, and Prandtl number are analyzed. The influence of both the viscous and Joule dissipation in the presence of magnetohydrodynamic effect is examined.
1 Introduction
Nanofluid contains nanometer-sized particles called nanoparticles. Nanofluids are formed by the colloidal interruptions of nanoparticles in a base fluid. Nanofluids have low thermal conductivity and therefore do not attain the required freezing or heating rates. To overcome this challenge, nanoparticles are inserted in base fluids. This increases the heat transfer characteristics of nanofluids which find applications in a wide range of industrial settings such as nuclear power plants, paper production, vehicle cooling, and domestic fridges.
We know that the industrial and viscous fluids differ in their various rheological features. This type of fluid is called non-Newtonian fluid. This type of fluid has numerous applications in various fields, such as plastic manufacturing, wire coating, paper and fabric vanishing, polymer production, and food dispensation. Characterizing the behavior of such type of fluids is difficult by simply using Navier–Stokes equation. This means there is no unique relation that shows the exact behavior of the non-Newtonian fluids. Therefore, many authors propose different models of non-Newtonian fluids. In this study, we discuss the Williamson fluid model [1]. He found that this type of fluids has unique characteristics which ideal plastic and viscid fluids do not possess.
One of the primary problems of the globe is maintaining energy generation. Sunlight-based vitality gives the results the hourly sun oriented transition on the earth surface being more notable than most of the human utilization of vitality in a year. Focusing on the sunlight-based vitality has been one of the most important and interesting areas for the researchers in the past few years. Recently, a research study suggests that adding nanoparticles to the nanofluids increases heat transmission and solar collection. Solar energy is the best source of energy due to its negligible impact on the environment [2]. One of the essential elements in our daily life is solar energy through which we get electricity, heat, and water. Nanoparticles are an important topic of recent research. Nanofluids are heat transmission fluids which comprise a base fluid and nanoparticles. The purpose of using nanoparticles is to increase the heat transmission of the base fluid [3]. The thermal conductivity of the base liquid increases by the Brownian motion of the nanoparticles. Magnetohydrodynamic (MHD) nanofluids have vital implications in physics, chemistry, and engineering. The MHD flow of nanofluids with radiation heat transmission and movable surface heat flux in porous media is discussed by Zhang et al. [4].
This is why the subject of heat transmission in nanofluids is of much attraction to the authors. Choi and Eastman [5] have introduced the concept of nanofluid and showed that the thermal properties of the base liquids improve significantly once nanoparticles are introduced. Despite the groundbreaking struggle, the effects of theapplication of nanoparticles to fluid flow are being explored by many scientists. Sheikholeslami et al. [6] investigated the 3D nanofluid force in the presence of a magnetic field using lattice Boltzmann method. Nithyadevi et al. [7] discussed the effect of the angle of inclination on the mixed convection of the nanofluid. Dhananjay et al. [8] studied the isothermal boundary condition of the nanoparticles in the presence of Lorentz force. Selimefendigil and Hakan [9] used the finite element method to examine the heat transfer in conjugate natural convection–condition. Hayat et al. [10] showed the impact of radioactivity on nanofluid concentrations. They showed that heat dispersion increases with an increase in thermal radioactivity. Sheikholeslami [11] studied the motion of the nanofluid in a porous semi-annulus under the influence of a magnetic field. Sheikholeslami et al. [12] investigated a two-phase nanofluid in the presence of an unsteady magnetic field. They used the homotopy perturbation method for solving the model equation. Farooq et al. [13] studied the MHD Falkner–Skan flow of the nanofluid. Shehzad et al. [14] discussed about Jeffrey nanofluid with internal heat. Abbasi et al. [15] investigated Jeffrey nanofluid under heat and mass flux conditions.
Due to various applications and consideration of microchannel flow, Kandlikar and Grande [16], Bergles et al. [17], and Thome et al. [18] introduced some alternative ways of cooling microsized devices. High applications of microchannel heat sinks using large-scale cooling microreactors for the study of organic cells and the microfluid pumps have been discussed by Safaei et al. [19] and Arani et al. [20]. Particularly, Wang and Peng [21] found that the transmission and laminar heat transformation in microchannels is strange and quite complex with a conservatively sized condition. Zhao et al. [22] discussed the heat transfer investigation of the nanofluid flow in a microchannel. Recently, some researchers studied the heat transfer flow of nanofluids for different purposes [23,24,25,26,27,28,29,30,31,32,33]. Anum et al. [34,35,36] studied mass transfer and heat transfer of Williamson and Walters-B nanofluid flow with MHD and thermal radiation. Sunil et al. [37,38,39] investigated the fractional Lotka–Volterra model in the Caputo sense. They converted the considered modelled equation into an algebraic equation to solve it easily. They also discussed a model to describe the velocity of the particle during Brownian motion. Khalid et al. [40] introduced an analytical and numerical study of the Peyrard–Bishop DNA dynamic model. They compared the analytical and numerical results and presented in graphs. Lu et al. [41] studied the numerical and analytical simulation of the separation phase for the ternary alloys of iron. Hadi et al. [42] used the method of exponential rational function to solve four conformable fractional Boussinesq-like equations. Osman et al. [43,44,45,46,47], Ahmad et al. [48], and Omar et al. [49] used the unified technique and the modified reproducing kernel discretization technique to solve different model equations. They showed that the unified method offers a powerful mathematical tool to solve the nonlinear conformable fractional evaluation equations. Jian-Guo et al. [50] studied the Hirota equation and found an exact solution. Sumit et al. [51,52,53] investigated the heat and mass transfer of the two-dimensional flow. The fluid they considered in their work is Williamson nanofluid with MHD. Prakash et al. [54] discussed the thermal radiation of the nanofluid flow in the presence of peristalsis electroosmosis phenomenon. The tapered asymmetric microchannels were taken into account in his work. Sharma et al. [55] investigated the MHD mixed convection flow of the non-Newtonian fluid. Gupta and Dutta [56] examined a mathematical model for HIV/AIDS and solved using the homotopy analysis method (HAM). For comparing the accuracy, they used the numerical method.
In the light of these studies, the main aim of this research is to examine the nanofluid flow of the Williamson fluid. The fluid here in this study moves between the two parallel flat plates in the presence of an electrical double layer (EDL). The Buongiorno nanofluid is considered with body force. In this study, the unphysical supposition presented in the preceding work to the discontinuity of the flow fled where the electrostatic potential in the central of the canal must be equal to zero is removed. The physical parameters have been analyzed and discussed. The influence of both the viscous and Joule dissipation in the presence of MHD effect is examined. We choose the HAM method to solve this problem. The purpose of choosing this method is that it is a fast convergent and time-saving method and offers the choice of choosing our own auxiliary linear operator. HAM is an analytical method, which is semianalytical. We solved nonlinear ordinary differential equations by using HAM. The stated technique pays the conception of the homotopy taken from the topology, and it generates a convergent series result for nonlinear systems. This is supported by operating a homotopy Maclaurin series to compact with the nonlinearities in the system. Jagdev et al. [57,58] used a numerical scheme q-local fractional homotopy analysis transform method to solve the local fractional linear transport equation. Gupta et al. [59,60] and Das et al. [61] used HAM and a new powerful algorithm based on HAM to solve the nonlinear diffusion equation.
1.1 Analytical solution to the electrostatic potential
Viscous and Joule dissipation MHD.
The ratio between
where
Manipulating the hypothesis of the equilibrium Boltzmann dispersal around the unchanging dielectric constant and omitting the variation, the number of the ion dissemination in the symmetric electrolyte result is given by
where
By simulating equation (3) into equation (1) (Poisson’s equation), we get the famous Poisson–Boltzmann equation:
By applying the similarity transformation, we get the nondimensionalized form of equation (4):
where
where
If the electric potential is lesser than the thermal energy of the ions, i.e.,
Analytically, it is given by
1.2 Mathematical formulation for other fields
We use horizontal rectangular microchannel with EDL and pass the nanofluid flow of heat transmission over the stated microchannel. Figure 1 shows the physical effect. X-axis is parallel to the channel of the walls, and Y-axis is perpendicular to the walls. We keep the origin fix here at the center line of the microchannel. H denotes half distance between the upper and the lower wall. Length and width of the microchannel are denoted by L and W, respectively. For simplification, consider W ≫ H. Then, we can frame the current research problem as a nonlinear microchannel flow of two-dimension with the effect of EDL:
where F is the electrical body force and

Geometry of the current problem: (a) geometry in 3D and (b) geometry in 2D.
If the flow is parallel in the channels, then only one component of the velocity field will not be zero. This means that the collective fluid particles move in a similar path. Only the velocity part
With the above supposition, we see that the continuity equation is satisfied, and rest of the governing equations are simplified to the following equations:
using the boundary conditions
In the channel flow study, we assumed the mass flow rate as a given number. Therefore, we get the following:
where
Nondimensionalizing equation (16) by similarity transformations (5) and (21), we get
Using boundary conditions
where
Substituting the nondimensional variables (21) into equations (17) and (18), we get the compact energy and concentration of nanoparticle equations as
subject to the boundary conditions
where
The main physical quantities of practical interests are the local skin friction, the local Nusselt number, and the local Sherwood number. We know that the flow inside the channel is a symmetric flow; therefore, we can consider them on the lower plate. Therefore, in the current situation, it is defined as
where
Substituting equation (21) into equation (27), we get the following:
1.3 HAM solution
We solve equations (9) and (22)–(25) using the given boundary conditions (8), (23), and (26). We use HAM in the succeeding way.
The linear operators are taken as
containing the following characteristics:
where
The initial assumptions are selected as follows:
The resulting nonlinear operators
The detailed HAM method is discussed in ref. [1]. Here, zeroth-order problems are
The equivalent boundary conditions are
where
expanding
where
We choose the secondary constraints
The mth order problem fulfills
The analogous boundary conditions are as follows (Figures 2 and 3):
Here,
where

Combined h-curve graph of the temperature and concentration profiles.

h-curve graph of the velocity profile.
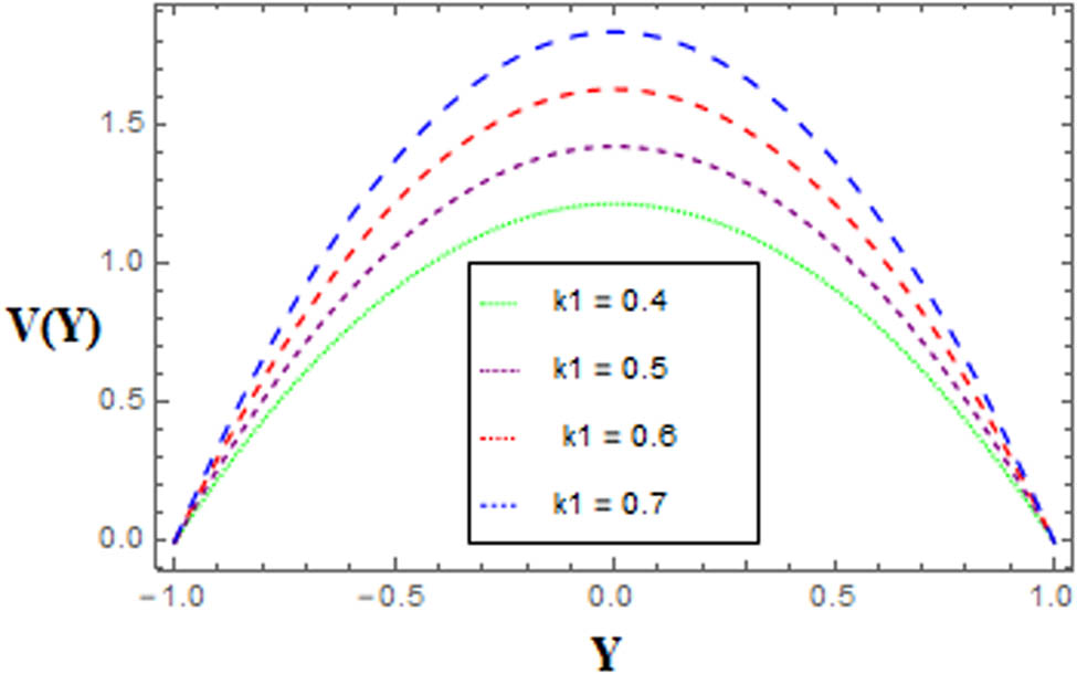
Figures 4 and 5 show the influence of
The Hartmann number is based on the Lorentz force theory. As stated by the Lorentz force theory, the larger Hartmann number means more collision among the atoms of the fluid, which produces more resistive force to fluid flow. More opposing force reduces the fluid flow, and the velocity field falls down (Figure 6).

Variations in velocity distribution

Variations in velocity distribution

Variations in velocity distribution
Figure 7 shows the Eckert number “Ec” on temperature distributions. We see that with increasing Ec, the thickness of the thermal boundary layer and temperature increase. When Ec increases, the energy of the heat is stored in the fluid, which is due to the friction forces that improve the temperature distribution.

Variations in concentration distribution
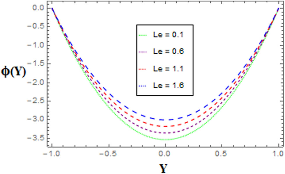
Figure 8 shows that with increasing Lewis number, the concentration of the nanoparticle decreases, which correlates with the boundary layer thickness. It is because the Lewis number contains the coefficient of the Brownian dispersion. The coefficient of the Brownian dispersion is stronger for smaller values of the Lewis number and weaker for greater values of the Lewis number. Such type of weaker Brownian dispersion coefficient leads to a lower nanoparticle concentration distribution function.

Variations in concentration distribution
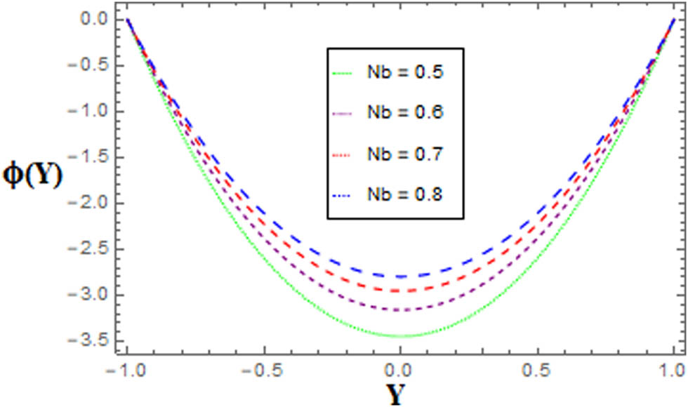
Figure 9 shows that higher Brownian motion causes arbitrary motion of the particles. Due to this arbitrary motion, extra heat is created. Thus, the reduction in concentration filed is depicted.

Differences in the concentration distribution
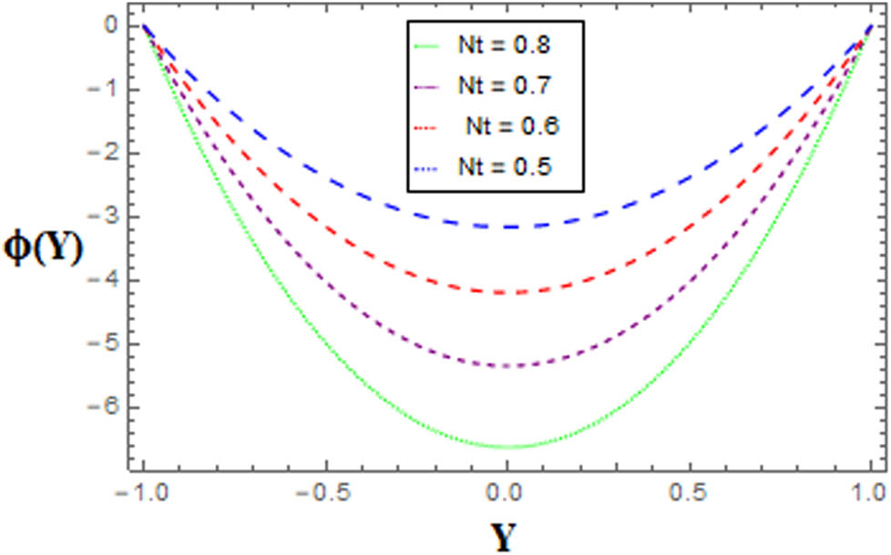
Figure 10 shows that increasing Nt increases the concentration field, whereas in thermophoresis phenomena, small particles of the fluid are dragged from the hot to the cold surface. Thus, the particles of the fluid moved back from the surface, which is heated, and consequently,

Variations in concentration distribution
The correlation governing kinetic energy of the flow and enthalpy difference is called the Eckert number. Eckert number is used in extraordinary speed compressible flow. The positive Eckert number indicates cooling of the wall, and consequently, the heat transmission convection to the fluid is intensified.
The higher Brownian motion causes arbitrary motion of the particles. Due to this arbitrary motion, extra heat is created. Thus, escalation in temperature filed is depicted.
In thermophoresis phenomena, the small particles of the fluid are dragged from the hot to the cold surface. Thus, the particles of the fluid moved back from the surface, which is heated, and consequently,
The Pr has opposite impacts on the temperature of the fluid flow. The higher Pr reduces while the lower Pr increases the fluid temperature. Thus, the fluid temperature reduces with small Prandtl numbers.
The numerical calculations of surface drag force at different values of
Numerical values of the skin friction for various parameters
|
|
|
M |
|
|---|---|---|---|
| 0.5 | 0.6 | 0.6 | −0.407027 |
| 0.6 | 0.6 | 0.6 | −0.400427 |
| 0.7 | 0.6 | 0.6 | −0.392627 |
| 0.5 | 0.6 | 0.6 | −0.407027 |
| 0.5 | 0.7 | 0.6 | −0.382364 |
| 0.5 | 0.8 | 0.6 | −0.357702 |
| 0.5 | 0.6 | 0.6 | −0.407027 |
| 0.5 | 0.6 | 0.7 | −0.400893 |
| 0.5 | 0.6 | 0.8 | −0.403960 |
Numerical values of Nusselt number for different parameters
| Rd | Nb | Nt | Pr |
|
|---|---|---|---|---|
| 0.5 | 0.6 | 0.6 | 0.7 | −1.31073 |
| 0.6 | 0.6 | 0.6 | 0.7 | −1.27073 |
| 0.7 | 0.6 | 0.6 | 0.7 | −1.23073 |
| 0.5 | 0.6 | 0.6 | 0.7 | −1.31073 |
| 0.5 | 0.7 | 0.6 | 0.7 | −1.52740 |
| 0.5 | 0.8 | 0.6 | 0.7 | −1.41907 |
| 0.5 | 0.6 | 0.6 | 0.7 | −1.31073 |
| 0.5 | 0.6 | 0.7 | 0.7 | −1.52740 |
| 0.5 | 0.6 | 0.8 | 0.7 | −1.41907 |
| 0.5 | 0.6 | 0.6 | 0.7 | −1.31073 |
| 0.5 | 0.6 | 0.6 | 0.8 | −1.31380 |
| 0.5 | 0.6 | 0.6 | 0.9 | −1.31227 |
Numerical values of Sherwood number for different parameters
| Pe | Nb | Nt | Re |
|
|---|---|---|---|---|
| 0.5 | 0.6 | 0.6 | 0.5 | 0.293560 |
| 0.6 | 0.6 | 0.6 | 0.5 | 0.294480 |
| 0.7 | 0.6 | 0.6 | 0.5 | 0.295400 |
| 0.5 | 0.6 | 0.6 | 0.5 | 0.293560 |
| 0.5 | 0.7 | 0.6 | 0.5 | 0.273971 |
| 0.5 | 0.8 | 0.6 | 0.5 | 0.277900 |
| 0.5 | 0.6 | 0.6 | 0.5 | 0.293560 |
| 0.5 | 0.6 | 0.7 | 0.5 | 0.374567 |
| 0.5 | 0.6 | 0.8 | 0.5 | 0.462067 |
| 0.5 | 0.6 | 0.6 | 0.5 | 0.293560 |
| 0.5 | 0.6 | 0.6 | 0.6 | 0.293560 |
| 0.5 | 0.6 | 0.6 | 0.7 | 0.294480 |

Variations in temperature distribution

Disparities in temperature distribution

Variations in temperature distribution

Deviations in temperature profile
2 Conclusions
In this article, the behavior of the microchannel nanofluid flow between the two parallel flat plates in the presence of EDL was examined. The Buongiorno nanofluid with body force was assumed. The model equations were solved analytically through HAM. Important model parameters were discussed graphically and numerically. Conclusions are as follows:
The larger Hartmann number means more collision among the atoms of the fluid, which produces a more resistive force to fluid flow. The more opposing force reduces the fluid flow, and the velocity field falls down.
Thermal dispersion reduces the heat transmission rate while the salutal dispersion is responsible for the decrease in the mass transmission rate.
The higher Pr decreases while the lower Pr increases the fluid temperature.
Temperature field increases the magnitude of Nt as well as the thermophoresis Nb parameters.
Sharp drop is seen in the nanoparticle concentration profile with an increase in Nt although a small increase is seen with an increase in the value of Nb.
The result of the viscid indulgence effect on the fluid temperature distribution and the nanoparticle concentration is important. It is because the strength of the shear and the resistance of the friction are significantly increased in the microchannel. It makes the viscous dissipation function strong.
Acknowledgments
The authors extend their thanks to the Deanship of Scientific Research at Majmaah University for funding this work under Project No. (RGP-2019-3).
-
Conflict of interest: None.
References
[1] Williamson RV. The flow of pseudoplastic materials. Int J Ind Eng Chem. 1929;21:1108–11.10.1021/ie50239a035Search in Google Scholar
[2] Sharma A, Tyagi VV, Chen CR, Buddhi D. Review on thermal energy storage with phase change materials and applications. Renewable Sustainable Energy Rev. 2009;13:318–45.10.1016/j.rser.2007.10.005Search in Google Scholar
[3] Choi SUS. Enhancing thermal conductivity of fluids with nanoparticles. ASME Int Mech Eng. 1995;66:99–105.Search in Google Scholar
[4] Zhang C, Zheng L, Zhang X, Chen G. MHD flow and radiation heat transfer of nanofluids in porous media with variable surface heat flux and chemical reaction. Appl Math Comput. 2015;39:165–81.10.1016/j.apm.2014.05.023Search in Google Scholar
[5] Choi SUS, Eastman JA. Enhancing thermal conductivity of fluids with nanoparticles. Conf ASME Publ. 1995;231:99–106.Search in Google Scholar
[6] Sheikholeslami M, Hayat T, Alsaedi A. Numerical simulation of nanofluid forced convection heat transfer improvement in existence of magnetic field using lattice Boltzmann method. Int J Heat Mass Transf. 2017;108:1870–83.10.1016/j.ijheatmasstransfer.2017.01.044Search in Google Scholar
[7] Nithyadevi N, Shamadhani BA, Hakan FO, Khaled AS. Effects of inclination angle and non-uniform heating on mixed convection of a nanofluid filled porous enclosure with active mid-horizontal moving. Int J Heat Mass Transf. 2017;104:1217–28.10.1016/j.ijheatmasstransfer.2016.09.041Search in Google Scholar
[8] Dhananjay Y, Junye W, Rama B, Jinho L, Hyung HC. Numerical investigation of the effect of magnetic field on the onset of nanofluid convection. Appl Therm Eng. 2016;103:1441–9.10.1016/j.applthermaleng.2016.05.039Search in Google Scholar
[9] Selimefendigil F, Hakan FÖ. Conjugate natural convection in a cavity with a conductive partition and filled with different nanofluids on different sides of the partition. J Mol Liq. 2016;216:67–77.10.1016/j.molliq.2015.12.102Search in Google Scholar
[10] Hayat T, Waqas M, Shehzad SA, Alsaedi A. A model of solar radiation and Joule heating in magnetohydrodynamic (MHD) convective flow of thixotropic Nanofluid. J Mol Liq. 2016;215:704–10.10.1016/j.molliq.2016.01.005Search in Google Scholar
[11] Sheikholeslami M. Influence of Lorentz forces on nanofluid flow in a porous cylinder considering Darcy model. J Mol Liq. 2017;225:903–12. 10.1016/j.molliq.2016.11.022.Search in Google Scholar
[12] Sheikholeslami M, Hatami M, Domairry G. Numerical simulation of two phase unsteady nanofluid flow and heat transfer between parallel plates in presence of time dependent magnetic field. J Taiwan Inst Chem Eng. 2015;46:43–50. 10.1016/j.jtice.2014.09.025.Search in Google Scholar
[13] Farooq U, Zhao YL, Hayat T, Alsaedi A, Liao SJ. Application of the HAM-based Mathematica package BVPh 2.0 on MHD Falkner-Skan flow of Nanofluid. Comput Fluids. 2015;11:69–75.10.1016/j.compfluid.2015.01.005Search in Google Scholar
[14] Shehzad SA, Abdullah Z, Alsaedi A, Abbasi FM, Hayat T. Thermally radiative three-dimensional flow of Jeffrey nanofluid with internal heat generation and magnetic field. J Magn Magn Mater. 2016;397:108–14.10.1016/j.jmmm.2015.07.057Search in Google Scholar
[15] Abbasi FM, Shehzad SA, Hayat T, Alsaedi A, Mustafa AO. Influence of heat and mass flux conditions in hydromagnetic flow of Jeffrey Nanofluid. AIP Adv. 2015;5:037111.10.1063/1.4914549Search in Google Scholar
[16] Kandlikar SG, Grande WJ. Evolution of microchannel flow passages thermohydraulic performance and fabrication technology. Heat Transf Eng. 2002;25(1):3–17.10.1115/IMECE2002-32043Search in Google Scholar
[17] Bergles AE, Lienhard JH, Kendall GE, Griffith P. Boiling and evaporation in small diameter channels. Heat Transf Eng. 2003;24(1):18–40.10.1080/01457630304041Search in Google Scholar
[18] Thome JR, Dupont V, Jacobi AM. Heat transfer model for evaporation in microchannels. Part I: presentation of the model. Int J Heat Mass Transf. 2004;47(14–16):3375–85.10.1016/j.ijheatmasstransfer.2004.01.006Search in Google Scholar
[19] Safaei MR, Gooarzi M, Akbari OA, Shadloo MS, Dahari M. Performance evaluation of nanofluids in an inclined ribbed microchannel for electronic cooling applications. Electron Cooling. 2016. 10.5772/62898.Search in Google Scholar
[20] Arani AAA, Akbari OA, Safaei MR, Marzban A, Alrashed AAAA. Heat transfer improvement of water/single-wall carbon nanotubes (SWCNT) nanofluid in a novel design of a truncated double-layered microchannel heat sink. Int J Heat Mass Transf. 2017;113:780–95.10.1016/j.ijheatmasstransfer.2017.05.089Search in Google Scholar
[21] Wang BX, Peng XF. Experimental investigation on liquid forced-convection heat transfer through microchannels. Int J Heat Mass Transf. 1994;37:73–82.10.1016/0017-9310(94)90011-6Search in Google Scholar
[22] Zhao Q, Xu H, Tao L. Nanofluid flow and heat transfer in a microchannel with interfacial electrokinetic effects. Int J heat mass Transf. 2018;124:158–67.10.1016/j.ijheatmasstransfer.2018.03.043Search in Google Scholar
[23] Jiang-Tao H, Xiu-Hong R, Di L, Fu-Yun Z, Han-Qing W. Natural convective heat and moisture transfer in an inclined building enclosure with one slender wall of finite thickness: analytical investigation and non-unique steady flow solutions. Int J Heat Mass Transf. 2017;104:1160–76.10.1016/j.ijheatmasstransfer.2016.09.033Search in Google Scholar
[24] Sheikholeslami M. Magnetic source impact on nanofluid heat transfer using CVFEM. Neural Comput Appl. 2016;30(4):1055–64. 10.1007/s00521-016-2740-7.Search in Google Scholar
[25] Sheikholeslami M. CVFEM for magnetic nanofluid convective heat transfer in a porous curved enclosure. Eur Phys J Plus. 2016;131:413. 10.1140/epjp/i2016-16413-y.Search in Google Scholar
[26] Sheikholeslami M, Houman BR. Nanofluid two phase model analysis in existence of induced magnetic field. Int J Heat Mass Transf. 2017;107:288–99.10.1016/j.ijheatmasstransfer.2016.10.130Search in Google Scholar
[27] Sheremet MA, Pop I, Bachok N. Effect of thermal dispersion on transient natural convection in a wavy-walled porous cavity filled with a nanofluid: Tiwari and Das’ nanofluid model. Int J Heat Mass Transf. 2016;92:1053–60.10.1016/j.ijheatmasstransfer.2015.09.071Search in Google Scholar
[28] Sheikholeslami M, Hayat T, Alsaedi A, Abelman S. EHD nanofluid force convective heat transfer considering electric field dependent viscosity. Int J Heat Mass Transf. 2017;108:2558–65. 10.1016/j.ijheatmasstransfer.2016.10.099.Search in Google Scholar
[29] Sheikholeslami M, Hayat T, Alsaedi A. Numerical study for external magnetic source influence on water based nanofluid convective heat transfer. Int J Heat Mass Transf. 2016;106:745–55. 10.1016/j.ijheatmasstransfer.2016.09.077.Search in Google Scholar
[30] Jashim Uddin Md, Kabir OMN, Anwar B. Computational investigation of Stefan blowing and multiple-slip effects on buoyancy-driven bioconvection nanofluid flow with microorganisms. Int J Heat Mass Transf. 2016;95:116–30.10.1016/j.ijheatmasstransfer.2015.11.015Search in Google Scholar
[31] Sheikholeslami M, Rashidi MM, Hayat T, Ganji DD. Free convection of magnetic nanofluid considering MFD viscosity effect. J Mol Liq. 2016;218:393–9.10.1016/j.molliq.2016.02.093Search in Google Scholar
[32] Sheikholeslami M, Ganji DD. Nanofluid convective heat transfer using semi analytical and numerical approaches. A review. J Taiwan Inst Chem Eng. 2016;65:43–77.10.1016/j.jtice.2016.05.014Search in Google Scholar
[33] Sheikholeslami M, Chamkha, Ali J. Flow and convective heat transfer of a ferro-nanofluid in a double-sided lid-driven cavity with a wavy wall in the presence of a variable magnetic field. Numer Heat Transfer Part A. 2016;69(10):1186–200. 10.1080/10407782.2015.1125709.Search in Google Scholar
[34] Anum S, Hammouch Z, Sindhu TN. Bioconvective MHD flow of tangent hyperbolic nanofluid with newtonian heating. Int J Mech Sci. 2017;133:759–66.10.1016/j.ijmecsci.2017.07.048Search in Google Scholar
[35] Anum S, Rashidi MM, Hammouch Z, Ilyas K. Analytical investigation of stagnation point flow of Williamson liquid with melting phenomenon. Phys Scr. 2019;94(3):035204.10.1088/1402-4896/aaf548Search in Google Scholar
[36] Anum S, Hammouch Z, Ali T. Impact of radiation in a stagnation point flow of Walters’ B fluid towards a Riga plate. Therm Sci Eng Prog. 2018;6:27–33.10.1016/j.tsep.2017.11.005Search in Google Scholar
[37] Sunil K, Ranbir K, Ravi PA, Bessem S. A study of fractional Lotka–Volterra population model using Haar wavelet and Adams–Bashforth–Moulton methods. Math Meth Appl Sci. 2020;43(8):5564–78.10.1002/mma.6297Search in Google Scholar
[38] Sunil K, Surath G, Mansour SML, Bessem S. A model for describing the velocity of a particle n Brownian motion y Robotnov function based fractional operator. Alex Eng J. 2020;59(3):1435–49.10.1016/j.aej.2020.04.019Search in Google Scholar
[39] Sunil K, Ali A, Ranbir K, Devendra K, Jagdev S, Dumitru B, et al. An efficient numerical method for fractional SIR epidemic model of infectious disease by using Bernstein wavelets. Mathematics. 2020;8(4):558.10.3390/math8040558Search in Google Scholar
[40] Khalid KA, Carlo C, Gomez-Aguilar JF, Dumitru B, Osman MS. Analytical and numerical study of the DNA dynamics arising in oscillator-chain of Peyrard-Bishop model. Chaos Solitons Fractals. 2020;139:110089.10.1016/j.chaos.2020.110089Search in Google Scholar
[41] Lu D, Osman MS, Khater MMA, Attia RAM, Baleanu D. Analytical and numerical simulations for the kinetics of phase separation in iron (Fe–Cr–X (X = Mo, Cu)) based on ternary alloys. Phys A Stat Mech Appl. 2020;537:122634.10.1016/j.physa.2019.122634Search in Google Scholar
[42] Hadi R, Osman MS, Mostafa E, Mohammad M, Qin Z, Seyed AB, et al. Hyperbolic rational solutions to a variety of conformable fractional Boussinesq–Kuje equations. Nonlinear Eng. 2018;8(1):224–30.Search in Google Scholar
[43] Osman MS, Hadi R, Mostafa E. Traveling wave solutions for (3 + 1) dimensional conformable fractional Zakharov–Kuznetsov. Nonlinear Eng. 2019;8(1):559–67.10.1515/nleng-2018-0163Search in Google Scholar
[44] Osman MS. New analytical study of water waves described by coupled fractional variant Boussinesq equation in fluid dynamics. Pramana – J Phys. 2019;93(2):26.10.1007/s12043-019-1785-4Search in Google Scholar
[45] Osman MS, Dianchen L, Mostafa MAK. A study of optical wave propagation in the nonautonomous Schrodinger–Hirota equation with power-Law nonlinearity. Results Phys. 2019;13: 102157.10.1016/j.rinp.2019.102157Search in Google Scholar
[46] Osman MS, Abdul-Majid W. A general bilinear form to generate different wave structures of solitons for a (3 + 1)-dimensional Boiti–Leon–Manna–Pempinelli equation. Math Meth Appl Sci. 2019;42(18):6277–83.10.1002/mma.5721Search in Google Scholar
[47] Osman MS, Lu D, Khater MMA, Attia RAM. Complex wave structures for abundant solutions related to the complex Ginzburg–Landau model. Opt Int J Light Electron Opt. 2019;192:162927.10.1016/j.ijleo.2019.06.027Search in Google Scholar
[48] Ahmad J, Nauman R, Osman MS. Multi-solitons of thermophoretic motion equation depicting the wrinkle propagation in substrate-supported graphene sheets. Commun Theor Phys. 2019;71(4):362–6.10.1088/0253-6102/71/4/362Search in Google Scholar
[49] Omar AA, Osman MS, Abdel-Haleem AA, Abdel-Baset AM, Shaher M. A numerical algorithm for the solutions of ABC singular Lane–Emden type models arising in astrophysics using reproducing Kernel Discretization method. Mathematics. 2020;8(6):923.10.3390/math8060923Search in Google Scholar
[50] Jian-Guo L, Osman MS, Wen-Hui Z, Li Z, Guo-Ping A. Different complex wave structures described by the Hirota equation with variable coefficients in inhomogeneous optical fibers. Appl Phys B. 2019;125(9):175.10.1007/s00340-019-7287-8Search in Google Scholar
[51] Sumit G, Devendra K, Jagdev S. Analytical study for MHD flow of Williamson nanofluid with the effects of variable thickness, nonlinear thermal radiation and improved Fourier’s and Fick’s Laws. SN Appl Sci. 2020;2:438.10.1007/s42452-020-1995-xSearch in Google Scholar
[52] Sumit G, Devendra K, Jagdev S. Magnetohydrodynamic three dimensional boundary layer flow and heat transfer of Water driven Copper and Alumina nanoparticles induced by convective conditions. Int J Mod Phys B. 2019;33(26):1950307.10.1142/S0217979219503077Search in Google Scholar
[53] Sumit G, Devendra K, Jagdev S. MHD mixed convective stagnation point flow and heat transfer of an incompressible nanofluid over an inclined stretching sheet with chemical reaction and radiation. Int J Heat Mass Transf. 2018;118:378–87.10.1016/j.ijheatmasstransfer.2017.11.007Search in Google Scholar
[54] Prakash J, Sharma A, Tripathi D. Thermal radiation effects on electroosmosis modulated peristaltic transport of ionic nanoliquids in biomicrofluidics channel. J Mol Liq. 2018;249:843–55.10.1016/j.molliq.2017.11.064Search in Google Scholar
[55] Sharma B, Kumar S, Paswan MK. Analytical solution for mixed convection and MHD flow of electrically conducting non-Newtonian nanofluid with different nanoparticles: A comparative study. Int J Heat Technol. 2018;36(3):987–96.10.18280/ijht.360327Search in Google Scholar
[56] Gupta PK, Dutta A. A mathematical model on HIV/AIDS with fusion effect: Analysis and homotopy solution. Eur Phys J Plus. 2019;134(6):265.10.1140/epjp/i2019-12599-8Search in Google Scholar
[57] Jagdev S, Devendra K, Sunil K. An efficient computational method for local fractional transport equation occurring in fractal porous media. Comput Appl Math. 2020;39:137.10.1007/s40314-020-01162-2Search in Google Scholar
[58] Jagdev S, Devendra K, Ram S, Sunil K. An efficient computational approach for time-fractional Rosenau–Hyman equation. Neural Comput Appl. 2018;30(10):3063–70.10.1007/s00521-017-2909-8Search in Google Scholar
[59] Gupta PK, Verma S. A numerical study of the nonlinear reaction–diffusion equation with different type of absorbent term by Homotopy analysis method. Z Naturforschung A-Journal Phys Sci. 2012;67A:621–7.10.5560/zna.2012-0066Search in Google Scholar
[60] Gupta KP. An approximate analytical solution of nonlinear fractional diffusion equation by homotopy analysis method. Int J Phys Sci. 2011;6(34):7721–8.Search in Google Scholar
[61] Das S, Vishal K, Gupta PK, Yildirim A. An approximate analytical solution of time-fractional telegraph equation. Appl Math Comput. 2011;217(18):7405–11.10.1016/j.amc.2011.02.030Search in Google Scholar
© 2020 Abdul Samad Khan et al., published by De Gruyter
This work is licensed under the Creative Commons Attribution 4.0 International License.
Articles in the same Issue
- Regular Articles
- Model of electric charge distribution in the trap of a close-contact TENG system
- Dynamics of Online Collective Attention as Hawkes Self-exciting Process
- Enhanced Entanglement in Hybrid Cavity Mediated by a Two-way Coupled Quantum Dot
- The nonlinear integro-differential Ito dynamical equation via three modified mathematical methods and its analytical solutions
- Diagnostic model of low visibility events based on C4.5 algorithm
- Electronic temperature characteristics of laser-induced Fe plasma in fruits
- Comparative study of heat transfer enhancement on liquid-vapor separation plate condenser
- Characterization of the effects of a plasma injector driven by AC dielectric barrier discharge on ethylene-air diffusion flame structure
- Impact of double-diffusive convection and motile gyrotactic microorganisms on magnetohydrodynamics bioconvection tangent hyperbolic nanofluid
- Dependence of the crossover zone on the regularization method in the two-flavor Nambu–Jona-Lasinio model
- Novel numerical analysis for nonlinear advection–reaction–diffusion systems
- Heuristic decision of planned shop visit products based on similar reasoning method: From the perspective of organizational quality-specific immune
- Two-dimensional flow field distribution characteristics of flocking drainage pipes in tunnel
- Dynamic triaxial constitutive model for rock subjected to initial stress
- Automatic target recognition method for multitemporal remote sensing image
- Gaussons: optical solitons with log-law nonlinearity by Laplace–Adomian decomposition method
- Adaptive magnetic suspension anti-rolling device based on frequency modulation
- Dynamic response characteristics of 93W alloy with a spherical structure
- The heuristic model of energy propagation in free space, based on the detection of a current induced in a conductor inside a continuously covered conducting enclosure by an external radio frequency source
- Microchannel filter for air purification
- An explicit representation for the axisymmetric solutions of the free Maxwell equations
- Floquet analysis of linear dynamic RLC circuits
- Subpixel matching method for remote sensing image of ground features based on geographic information
- K-band luminosity–density relation at fixed parameters or for different galaxy families
- Effect of forward expansion angle on film cooling characteristics of shaped holes
- Analysis of the overvoltage cooperative control strategy for the small hydropower distribution network
- Stable walking of biped robot based on center of mass trajectory control
- Modeling and simulation of dynamic recrystallization behavior for Q890 steel plate based on plane strain compression tests
- Edge effect of multi-degree-of-freedom oscillatory actuator driven by vector control
- The effect of guide vane type on performance of multistage energy recovery hydraulic turbine (MERHT)
- Development of a generic framework for lumped parameter modeling
- Optimal control for generating excited state expansion in ring potential
- The phase inversion mechanism of the pH-sensitive reversible invert emulsion from w/o to o/w
- 3D bending simulation and mechanical properties of the OLED bending area
- Resonance overvoltage control algorithms in long cable frequency conversion drive based on discrete mathematics
- The measure of irregularities of nanosheets
- The predicted load balancing algorithm based on the dynamic exponential smoothing
- Influence of different seismic motion input modes on the performance of isolated structures with different seismic measures
- A comparative study of cohesive zone models for predicting delamination fracture behaviors of arterial wall
- Analysis on dynamic feature of cross arm light weighting for photovoltaic panel cleaning device in power station based on power correlation
- Some probability effects in the classical context
- Thermosoluted Marangoni convective flow towards a permeable Riga surface
- Simultaneous measurement of ionizing radiation and heart rate using a smartphone camera
- On the relations between some well-known methods and the projective Riccati equations
- Application of energy dissipation and damping structure in the reinforcement of shear wall in concrete engineering
- On-line detection algorithm of ore grade change in grinding grading system
- Testing algorithm for heat transfer performance of nanofluid-filled heat pipe based on neural network
- New optical solitons of conformable resonant nonlinear Schrödinger’s equation
- Numerical investigations of a new singular second-order nonlinear coupled functional Lane–Emden model
- Circularly symmetric algorithm for UWB RF signal receiving channel based on noise cancellation
- CH4 dissociation on the Pd/Cu(111) surface alloy: A DFT study
- On some novel exact solutions to the time fractional (2 + 1) dimensional Konopelchenko–Dubrovsky system arising in physical science
- An optimal system of group-invariant solutions and conserved quantities of a nonlinear fifth-order integrable equation
- Mining reasonable distance of horizontal concave slope based on variable scale chaotic algorithms
- Mathematical models for information classification and recognition of multi-target optical remote sensing images
- Hopkinson rod test results and constitutive description of TRIP780 steel resistance spot welding material
- Computational exploration for radiative flow of Sutterby nanofluid with variable temperature-dependent thermal conductivity and diffusion coefficient
- Analytical solution of one-dimensional Pennes’ bioheat equation
- MHD squeezed Darcy–Forchheimer nanofluid flow between two h–distance apart horizontal plates
- Analysis of irregularity measures of zigzag, rhombic, and honeycomb benzenoid systems
- A clustering algorithm based on nonuniform partition for WSNs
- An extension of Gronwall inequality in the theory of bodies with voids
- Rheological properties of oil–water Pickering emulsion stabilized by Fe3O4 solid nanoparticles
- Review Article
- Sine Topp-Leone-G family of distributions: Theory and applications
- Review of research, development and application of photovoltaic/thermal water systems
- Special Issue on Fundamental Physics of Thermal Transports and Energy Conversions
- Numerical analysis of sulfur dioxide absorption in water droplets
- Special Issue on Transport phenomena and thermal analysis in micro/nano-scale structure surfaces - Part I
- Random pore structure and REV scale flow analysis of engine particulate filter based on LBM
- Prediction of capillary suction in porous media based on micro-CT technology and B–C model
- Energy equilibrium analysis in the effervescent atomization
- Experimental investigation on steam/nitrogen condensation characteristics inside horizontal enhanced condensation channels
- Experimental analysis and ANN prediction on performances of finned oval-tube heat exchanger under different air inlet angles with limited experimental data
- Investigation on thermal-hydraulic performance prediction of a new parallel-flow shell and tube heat exchanger with different surrogate models
- Comparative study of the thermal performance of four different parallel flow shell and tube heat exchangers with different performance indicators
- Optimization of SCR inflow uniformity based on CFD simulation
- Kinetics and thermodynamics of SO2 adsorption on metal-loaded multiwalled carbon nanotubes
- Effect of the inner-surface baffles on the tangential acoustic mode in the cylindrical combustor
- Special Issue on Future challenges of advanced computational modeling on nonlinear physical phenomena - Part I
- Conserved vectors with conformable derivative for certain systems of partial differential equations with physical applications
- Some new extensions for fractional integral operator having exponential in the kernel and their applications in physical systems
- Exact optical solitons of the perturbed nonlinear Schrödinger–Hirota equation with Kerr law nonlinearity in nonlinear fiber optics
- Analytical mathematical schemes: Circular rod grounded via transverse Poisson’s effect and extensive wave propagation on the surface of water
- Closed-form wave structures of the space-time fractional Hirota–Satsuma coupled KdV equation with nonlinear physical phenomena
- Some misinterpretations and lack of understanding in differential operators with no singular kernels
- Stable solutions to the nonlinear RLC transmission line equation and the Sinh–Poisson equation arising in mathematical physics
- Calculation of focal values for first-order non-autonomous equation with algebraic and trigonometric coefficients
- Influence of interfacial electrokinetic on MHD radiative nanofluid flow in a permeable microchannel with Brownian motion and thermophoresis effects
- Standard routine techniques of modeling of tick-borne encephalitis
- Fractional residual power series method for the analytical and approximate studies of fractional physical phenomena
- Exact solutions of space–time fractional KdV–MKdV equation and Konopelchenko–Dubrovsky equation
- Approximate analytical fractional view of convection–diffusion equations
- Heat and mass transport investigation in radiative and chemically reacting fluid over a differentially heated surface and internal heating
- On solitary wave solutions of a peptide group system with higher order saturable nonlinearity
- Extension of optimal homotopy asymptotic method with use of Daftardar–Jeffery polynomials to Hirota–Satsuma coupled system of Korteweg–de Vries equations
- Unsteady nano-bioconvective channel flow with effect of nth order chemical reaction
- On the flow of MHD generalized maxwell fluid via porous rectangular duct
- Study on the applications of two analytical methods for the construction of traveling wave solutions of the modified equal width equation
- Numerical solution of two-term time-fractional PDE models arising in mathematical physics using local meshless method
- A powerful numerical technique for treating twelfth-order boundary value problems
- Fundamental solutions for the long–short-wave interaction system
- Role of fractal-fractional operators in modeling of rubella epidemic with optimized orders
- Exact solutions of the Laplace fractional boundary value problems via natural decomposition method
- Special Issue on 19th International Symposium on Electromagnetic Fields in Mechatronics, Electrical and Electronic Engineering
- Joint use of eddy current imaging and fuzzy similarities to assess the integrity of steel plates
- Uncertainty quantification in the design of wireless power transfer systems
- Influence of unequal stator tooth width on the performance of outer-rotor permanent magnet machines
- New elements within finite element modeling of magnetostriction phenomenon in BLDC motor
- Evaluation of localized heat transfer coefficient for induction heating apparatus by thermal fluid analysis based on the HSMAC method
- Experimental set up for magnetomechanical measurements with a closed flux path sample
- Influence of the earth connections of the PWM drive on the voltage constraints endured by the motor insulation
- High temperature machine: Characterization of materials for the electrical insulation
- Architecture choices for high-temperature synchronous machines
- Analytical study of air-gap surface force – application to electrical machines
- High-power density induction machines with increased windings temperature
- Influence of modern magnetic and insulation materials on dimensions and losses of large induction machines
- New emotional model environment for navigation in a virtual reality
- Performance comparison of axial-flux switched reluctance machines with non-oriented and grain-oriented electrical steel rotors
- Erratum
- Erratum to “Conserved vectors with conformable derivative for certain systems of partial differential equations with physical applications”
Articles in the same Issue
- Regular Articles
- Model of electric charge distribution in the trap of a close-contact TENG system
- Dynamics of Online Collective Attention as Hawkes Self-exciting Process
- Enhanced Entanglement in Hybrid Cavity Mediated by a Two-way Coupled Quantum Dot
- The nonlinear integro-differential Ito dynamical equation via three modified mathematical methods and its analytical solutions
- Diagnostic model of low visibility events based on C4.5 algorithm
- Electronic temperature characteristics of laser-induced Fe plasma in fruits
- Comparative study of heat transfer enhancement on liquid-vapor separation plate condenser
- Characterization of the effects of a plasma injector driven by AC dielectric barrier discharge on ethylene-air diffusion flame structure
- Impact of double-diffusive convection and motile gyrotactic microorganisms on magnetohydrodynamics bioconvection tangent hyperbolic nanofluid
- Dependence of the crossover zone on the regularization method in the two-flavor Nambu–Jona-Lasinio model
- Novel numerical analysis for nonlinear advection–reaction–diffusion systems
- Heuristic decision of planned shop visit products based on similar reasoning method: From the perspective of organizational quality-specific immune
- Two-dimensional flow field distribution characteristics of flocking drainage pipes in tunnel
- Dynamic triaxial constitutive model for rock subjected to initial stress
- Automatic target recognition method for multitemporal remote sensing image
- Gaussons: optical solitons with log-law nonlinearity by Laplace–Adomian decomposition method
- Adaptive magnetic suspension anti-rolling device based on frequency modulation
- Dynamic response characteristics of 93W alloy with a spherical structure
- The heuristic model of energy propagation in free space, based on the detection of a current induced in a conductor inside a continuously covered conducting enclosure by an external radio frequency source
- Microchannel filter for air purification
- An explicit representation for the axisymmetric solutions of the free Maxwell equations
- Floquet analysis of linear dynamic RLC circuits
- Subpixel matching method for remote sensing image of ground features based on geographic information
- K-band luminosity–density relation at fixed parameters or for different galaxy families
- Effect of forward expansion angle on film cooling characteristics of shaped holes
- Analysis of the overvoltage cooperative control strategy for the small hydropower distribution network
- Stable walking of biped robot based on center of mass trajectory control
- Modeling and simulation of dynamic recrystallization behavior for Q890 steel plate based on plane strain compression tests
- Edge effect of multi-degree-of-freedom oscillatory actuator driven by vector control
- The effect of guide vane type on performance of multistage energy recovery hydraulic turbine (MERHT)
- Development of a generic framework for lumped parameter modeling
- Optimal control for generating excited state expansion in ring potential
- The phase inversion mechanism of the pH-sensitive reversible invert emulsion from w/o to o/w
- 3D bending simulation and mechanical properties of the OLED bending area
- Resonance overvoltage control algorithms in long cable frequency conversion drive based on discrete mathematics
- The measure of irregularities of nanosheets
- The predicted load balancing algorithm based on the dynamic exponential smoothing
- Influence of different seismic motion input modes on the performance of isolated structures with different seismic measures
- A comparative study of cohesive zone models for predicting delamination fracture behaviors of arterial wall
- Analysis on dynamic feature of cross arm light weighting for photovoltaic panel cleaning device in power station based on power correlation
- Some probability effects in the classical context
- Thermosoluted Marangoni convective flow towards a permeable Riga surface
- Simultaneous measurement of ionizing radiation and heart rate using a smartphone camera
- On the relations between some well-known methods and the projective Riccati equations
- Application of energy dissipation and damping structure in the reinforcement of shear wall in concrete engineering
- On-line detection algorithm of ore grade change in grinding grading system
- Testing algorithm for heat transfer performance of nanofluid-filled heat pipe based on neural network
- New optical solitons of conformable resonant nonlinear Schrödinger’s equation
- Numerical investigations of a new singular second-order nonlinear coupled functional Lane–Emden model
- Circularly symmetric algorithm for UWB RF signal receiving channel based on noise cancellation
- CH4 dissociation on the Pd/Cu(111) surface alloy: A DFT study
- On some novel exact solutions to the time fractional (2 + 1) dimensional Konopelchenko–Dubrovsky system arising in physical science
- An optimal system of group-invariant solutions and conserved quantities of a nonlinear fifth-order integrable equation
- Mining reasonable distance of horizontal concave slope based on variable scale chaotic algorithms
- Mathematical models for information classification and recognition of multi-target optical remote sensing images
- Hopkinson rod test results and constitutive description of TRIP780 steel resistance spot welding material
- Computational exploration for radiative flow of Sutterby nanofluid with variable temperature-dependent thermal conductivity and diffusion coefficient
- Analytical solution of one-dimensional Pennes’ bioheat equation
- MHD squeezed Darcy–Forchheimer nanofluid flow between two h–distance apart horizontal plates
- Analysis of irregularity measures of zigzag, rhombic, and honeycomb benzenoid systems
- A clustering algorithm based on nonuniform partition for WSNs
- An extension of Gronwall inequality in the theory of bodies with voids
- Rheological properties of oil–water Pickering emulsion stabilized by Fe3O4 solid nanoparticles
- Review Article
- Sine Topp-Leone-G family of distributions: Theory and applications
- Review of research, development and application of photovoltaic/thermal water systems
- Special Issue on Fundamental Physics of Thermal Transports and Energy Conversions
- Numerical analysis of sulfur dioxide absorption in water droplets
- Special Issue on Transport phenomena and thermal analysis in micro/nano-scale structure surfaces - Part I
- Random pore structure and REV scale flow analysis of engine particulate filter based on LBM
- Prediction of capillary suction in porous media based on micro-CT technology and B–C model
- Energy equilibrium analysis in the effervescent atomization
- Experimental investigation on steam/nitrogen condensation characteristics inside horizontal enhanced condensation channels
- Experimental analysis and ANN prediction on performances of finned oval-tube heat exchanger under different air inlet angles with limited experimental data
- Investigation on thermal-hydraulic performance prediction of a new parallel-flow shell and tube heat exchanger with different surrogate models
- Comparative study of the thermal performance of four different parallel flow shell and tube heat exchangers with different performance indicators
- Optimization of SCR inflow uniformity based on CFD simulation
- Kinetics and thermodynamics of SO2 adsorption on metal-loaded multiwalled carbon nanotubes
- Effect of the inner-surface baffles on the tangential acoustic mode in the cylindrical combustor
- Special Issue on Future challenges of advanced computational modeling on nonlinear physical phenomena - Part I
- Conserved vectors with conformable derivative for certain systems of partial differential equations with physical applications
- Some new extensions for fractional integral operator having exponential in the kernel and their applications in physical systems
- Exact optical solitons of the perturbed nonlinear Schrödinger–Hirota equation with Kerr law nonlinearity in nonlinear fiber optics
- Analytical mathematical schemes: Circular rod grounded via transverse Poisson’s effect and extensive wave propagation on the surface of water
- Closed-form wave structures of the space-time fractional Hirota–Satsuma coupled KdV equation with nonlinear physical phenomena
- Some misinterpretations and lack of understanding in differential operators with no singular kernels
- Stable solutions to the nonlinear RLC transmission line equation and the Sinh–Poisson equation arising in mathematical physics
- Calculation of focal values for first-order non-autonomous equation with algebraic and trigonometric coefficients
- Influence of interfacial electrokinetic on MHD radiative nanofluid flow in a permeable microchannel with Brownian motion and thermophoresis effects
- Standard routine techniques of modeling of tick-borne encephalitis
- Fractional residual power series method for the analytical and approximate studies of fractional physical phenomena
- Exact solutions of space–time fractional KdV–MKdV equation and Konopelchenko–Dubrovsky equation
- Approximate analytical fractional view of convection–diffusion equations
- Heat and mass transport investigation in radiative and chemically reacting fluid over a differentially heated surface and internal heating
- On solitary wave solutions of a peptide group system with higher order saturable nonlinearity
- Extension of optimal homotopy asymptotic method with use of Daftardar–Jeffery polynomials to Hirota–Satsuma coupled system of Korteweg–de Vries equations
- Unsteady nano-bioconvective channel flow with effect of nth order chemical reaction
- On the flow of MHD generalized maxwell fluid via porous rectangular duct
- Study on the applications of two analytical methods for the construction of traveling wave solutions of the modified equal width equation
- Numerical solution of two-term time-fractional PDE models arising in mathematical physics using local meshless method
- A powerful numerical technique for treating twelfth-order boundary value problems
- Fundamental solutions for the long–short-wave interaction system
- Role of fractal-fractional operators in modeling of rubella epidemic with optimized orders
- Exact solutions of the Laplace fractional boundary value problems via natural decomposition method
- Special Issue on 19th International Symposium on Electromagnetic Fields in Mechatronics, Electrical and Electronic Engineering
- Joint use of eddy current imaging and fuzzy similarities to assess the integrity of steel plates
- Uncertainty quantification in the design of wireless power transfer systems
- Influence of unequal stator tooth width on the performance of outer-rotor permanent magnet machines
- New elements within finite element modeling of magnetostriction phenomenon in BLDC motor
- Evaluation of localized heat transfer coefficient for induction heating apparatus by thermal fluid analysis based on the HSMAC method
- Experimental set up for magnetomechanical measurements with a closed flux path sample
- Influence of the earth connections of the PWM drive on the voltage constraints endured by the motor insulation
- High temperature machine: Characterization of materials for the electrical insulation
- Architecture choices for high-temperature synchronous machines
- Analytical study of air-gap surface force – application to electrical machines
- High-power density induction machines with increased windings temperature
- Influence of modern magnetic and insulation materials on dimensions and losses of large induction machines
- New emotional model environment for navigation in a virtual reality
- Performance comparison of axial-flux switched reluctance machines with non-oriented and grain-oriented electrical steel rotors
- Erratum
- Erratum to “Conserved vectors with conformable derivative for certain systems of partial differential equations with physical applications”