Home Physical Sciences MHD squeezed Darcy–Forchheimer nanofluid flow between two h–distance apart horizontal plates
Article Open Access

MHD squeezed Darcy–Forchheimer nanofluid flow between two h–distance apart horizontal plates

  • Ghulam Rasool , Waqar A. Khan , Sardar Muhammad Bilal and Ilyas Khan EMAIL logo
Published/Copyright: December 29, 2020

Abstract

This research is mainly concerned with the characteristics of magnetohydrodynamics and Darcy–Forchheimer medium in nanofluid flow between two horizontal plates. A uniformly induced magnetic impact is involved at the direction normal to the lower plate. Darcy–Forchheimer medium is considered between the plates that allow the flow along horizontal axis with additional effects of porosity and friction. The features of Brownian diffusive motion and thermophoresis are disclosed. Governing problems are transformed into nonlinear ordinary problems using appropriate transformations. Numerical Runge–Kutta procedure is applied using MATLAB to solve the problems and acquire the data for velocity field, thermal distribution, and concentration distribution. Results have been plotted graphically. The outcomes indicate that higher viscosity results in decline in fluid flow. Thermal profile receives a decline for larger viscosity parameter; however, Brownian diffusion and thermophoresis appeared as enhancing factors for the said profile. Numerical data indicate that heat flux reduces for viscosity parameter. However, enhancement is observed in skin-friction for elevated values of porosity factor. Data of this paper are practically helpful in industrial and engineering applications of nanofluids.

1 Introduction

Heat and mass convection is a natural phenomenon in every physical situation involving viscous fluid materials. This phenomenon is quite natural in various structures such as between two parallel plates, over stretching surfaces, and within a cylindrical sphere. Therefore, one can define a fluid flowing between two surfaces as squeezing flow. Because of high significance and demand in industrial and other setups, squeezing flow has received special attention from the researchers working on fluid flow, heat, and mass transport analysis. In particular, the branches of fluid dynamics which belong to mechanical and biochemical engineering, food processing, chemical engineering, industrial processing, and many others are typical examples where the concept of squeezing flow is mostly used. In addition, we have seen this in gears, rolling elements, machine devices, lubrication, automotive engines, grease and oil setups, compression, injection, and shaping. The pioneer approach was reported by Stefan [1], which was highly appreciated by the research community. In this research, squeezing flow between two surfaces was disclosed for the first time with useful comments on the flow profiles. Later on, the squeezing flow has been discussed widely in many articles. For example, Rashidi et al. [2] discussed unsteady and axisymmetric squeezed flow of nanofluids for approximation of analytic solutions to the flow problems. Hayat et al. [3] disclosed the features of three-dimensional and squeezed flow using two parallel sheets because of mixed convection. Hayat et al. [4] reported squeezing flow in rotating frame between two disks. The problems were developed using second grade fluid. In another study, Hayat et al. [5] discussed the findings of flow bounded by porous squeezed enclosure disclosing the features of magnetic field effects. Shahmohamadi and Rashidi [6] reported some good findings on the squeezing flow of nanofluids subject to rotating channel. The lower plate was assumed to be porous. Some recent studies [7,8] are also referred for further understanding the above scenario.

Technological developments have led the fluid mechanics toward a more productive formulation that is known as nanofluids. This formulation generally contains nano-size metallic particles suspended in the base fluid for shorter period. However, the results of this shorter period suspension are highly effective because the suspension is more efficient and has more thermophysical properties such as electric and thermal conductivity and density. Thermal features and dynamic flexibility in the context of irreversability, entropy, and many other respective features have shown some great improvements for nanofluids. The pioneer study was reported by Choi [9] disclosing the thermo-physical characteristics of base liquid with the addition of nanoparticles. The concept was highly appreciated by research community. Later, Parvin and Chamkha [10] reported free convection and entropy optimization of nanofluids flowing in odd-shaped cavity. Zaraki et al. [11] disclosed the properties of boundary layer convection considering the size, type, and shape of nanoparticles as well as the type of base fluid. Reddy and Chamkha [12] accounted the effect of Soret and Dufour on TiO2-water and Al2O3-water type suspensions passing via stretching sheet. Chamkha et al. [13] disclosed the features of entropy optimization in Cu O –water nanofluid using magnetic influence. Rasool et al. [14] discussed the effects of porosity and Darcy media in nanofluid flow via stretching surface. Ismael et al. [15] analyzed the entropy optimization in cavity filled with nanofluid via porous medium. Rasool et al. [16] reported flow of nanofluids bounded by a convective and vertically adjusted Riga plate. Many recent articles are typically based on the flow of nanofluids; however, some of them are listed here [17,18,19,20,21,22,23,24,25,26,27,28,29,30,31,32,33,34,35,36,37,38,39]. Fluid flow analysis via porous medium has many important applications in various mechanical and industrial procedures. For example, the underground water purification process, oil recovery and purification, outlining, pipe developments, and many other procedures are typical examples of fluid flow analysis through porous medium (known as Darcy–Forchheimer flow). The pioneer model was originally defined by Darcy for weak porosity conditions and smaller velocity. Later on, Forchheimer [40] remodeled it using nonlinear factor through velocity and the new name given to this model as Darcy–Forchheimer model. Muskat [41] presented homogeneous fluid flow through Darcy medium. Seddeek [42] disclosed the features of thermophoresis and dissipation in Darcy type fluid flow using the concept of mixed convection. Hayat et al. [43] analyzed the entropy optimization and heat and mass transport mechanism using bidirectional water-based nanofluid flow subject to convective conditions. Sadiq and Hayat [44] reported Darcy–Forchheimer Maxwell type nanofluid flow via convectively heated stretching surface. Umavathi et al. [45] reported numerical investigation on Darcy type nanofluid flow bounded by vertically adjusted rectangular duct. Hayat et al. [46] performed framing of radiation effect and heat generation in Darcy type nanofluid flow using chemical reaction.

In this research, our motivation is based on three novel concepts: first, to involve two parallel plates having filled the gap with a porous medium that has never been reported yet; second, to involve magnetohydrodynamics (MHD) effect in this formulation; and finally, to see the impact of squeezing nature of the model on the fluid flow analysis. This article is organized in the following order. First, a viscous, MHD non-Newtonian nanofluid is considered between the h distance apart two parallel plates via Darcy medium. The attributes of Brownian diffusive motion and thermophoresis are involved. Second, the so-formulated governing problems are transformed into nonlinear dimensionless problems using suitable transformations. Third, numerical Runge–Kutta method built in MATLAB is applied to solve the problems and acquire the data for velocity field, thermal distribution, concentration distribution, and Nusselt number. All the results have been plotted graphically. Finally, the discussion is provided on the results in detail.

2 Mathematical model

Here we consider a steady squeezed nanofluid flow contained between two horizontally adjusted h distance apart plates. The location of plates is fixed at x 2 = 0 at one side and x 2 = h at the other side in Cartesian coordinates. The bottom plate is stretched with at the rate of u 1 = z x 1 , where z is a positive constant integer. A uniformly induced magnetic impact is involved at the direction normal to the lower plate. Darcy–Forchheimer medium is considered between the plates, which allows the flow along horizontal axis with additional effects of porosity and friction. The geometry of the problem can be seen in Figure 1. The governing equations (see for reference Sheikholeslami et al. [47]) are:

(1) u 1 x 1 + u 2 x 2 = 0 ,

(2) u 1 u 1 x 1 + u 2 u 1 x 2 = 1 ρ f p x 1 + ν 2 u 1 x 1 2 + 2 u 1 x 2 2 σ B 0 2 ρ f u 1 ν K u 1 F u 1 2 ,

(3) u 1 u 2 x 1 + u 2 u 2 x 2 = 1 ρ f p x 2 + ν 2 u 2 x 1 2 + 2 u 2 x 2 2 ,

(4) u 1 T x 1 + u 2 T x 2 = α 2 T x 2 2 + 2 T x 1 2 + τ D B C x 2 T x 2 + C x 1 T x 1 + D T T h T x 1 2 + T x 2 2 ,

(5) u 1 C x 1 + u 2 C x 2 = D B 2 C x 1 2 + 2 T x 2 2 + D T T 0 2 T x 2 2 + 2 T x 1 2 ,

with BCs

(6) u 1 = u w = z x 1 , u 2 = 0 , C = C h , T = T h , at x 2 = 0 ,

(7) u 1 = 0 , C = C 0 , T = T 0 , at x 2 = + h .

Figure 1 
               Geometry.
Figure 1

Geometry.

Differentiation of equation (2) w.r.t. x 2 and equation (3) w.r.t. x 1 and subtraction yield the following combined momentum equation:

(8) u 1 x 1 u 1 x 2 + u 1 2 u 1 x 1 x 2 + u 1 x 2 u 2 x 2 + u 2 2 u 1 x 2 2 u 1 2 u 2 x 1 2 u 1 x 1 u 2 x 1 u 2 2 u 2 x 1 x 2 u 2 x 1 u 2 x 2 = ν 3 u 1 x 1 2 x 2 + 3 u 1 x 2 3 3 u 2 x 1 3 3 u 2 x 1 x 2 2 σ B 0 2 ρ f u 1 x 2 ν K u 1 x 2 2 F u 1 x 2 .

Define,

(9) u 1 = z x 1 f η , u 2 = z h f , ( T 0 T h ) θ ( η ) = ( T T h ) , ( C 0 C h ) ϕ ( η ) = ( C C h ) , η = y h .

Using (9) in (1), (4), (5), and (8), we have

(10) f i v P ( f f f f ) M f λ f 2 F r f f = 0 ,

(11) θ + Nb ϕ θ + P Pr f θ + Nt θ 2 = 0 ,

(12) ϕ + P Sc f ϕ + Nt Nb θ = 0 ,

(13) f ' = 1 , f = 0 , θ = 1 = ϕ , at η = 0 , f ' = 0 , f = 0 , θ = 0 = ϕ , at η = 1 ,

where P = h 2 z v is the viscosity parameter, λ = h 2 K is the porosity, F r = F z h x 1 v is the Forchheimer number such that F = C b K is the drag force coefficient and M = σ B 0 2 h 2 ρ f ν is the magnetic parameter. In the energy equation, Pr = v α is the Prandtl factor, Nb = τ D B ν ( C 0 C h ) is the Brownian motion factor, Nt = τ D T ν T h ( T 0 T h ) is the thermophoresis factor, and Sc = v D B is the Schmidt factor.

The physical quantities are given as:

(14) P x 1 h C f = f 0 , Nu x = θ ( 0 ) .

3 Numerical solution

MATLAB-based numerical scheme is applied for the solutions of governing problems. The results are plotted graphically for the velocity field and thermal and solute profiles as well as for Nusselt factor and skin-frictional force. The governing equations, i.e., equations (10)–(12), are highly nonlinear problems that are numerically dealt with RK-45 technique accompanied with shooting method. The methods start with conversion of governing equations into first-order differential problems as follows:

(15) f i v = P ( f f + f f ) + M f + λ f + 2 F r f f = 0 ,

(16) f = ξ 1 , f = ξ 2 , f = ξ 3 , f = ξ 4 , f i v = ξ 4 ' , θ = ξ 5 , θ = ξ 6 , θ = ξ 6 ' , ϕ = ξ 7 , ϕ = ξ 8 , ϕ = ξ 8 ' ,

(17) ξ 4 ' = P ( ξ 2 ξ 3 ξ 1 ξ 4 ) + M ( ξ 3 ) + λ ξ 3 + 2 F r ξ 2 ξ 3 ,

(18) ξ 6 ' = P Pr ξ 1 ξ 6 Nb ξ 8 ξ 6 Nt ξ 6 2 ,

(19) ξ 8 ' = P Sc ξ 1 ξ 8 Nt Nb ξ 6 ' ,

subject to:

(20) ξ 1 ( 0 ) = 0 , ξ 2 ( 0 ) = 1 , ξ 1 ( 1 ) = 0 and ξ 2 ( 1 ) = 1 , ξ 3 ( 0 ) = α 1 , ξ 5 ( 0 ) = 1 , ξ 5 ( 1 ) = 0 , ξ 6 ( 0 ) = α 2 , ξ 7 ( 0 ) = 1 , ξ 7 ( 1 ) = 0 , ξ 8 ( 0 ) = α 3 .

The fifth-order RK45-numerical techniques efficiently solved this problem for various values of χ , and subsequently the results are found accurate in region 0 χ 1 subject to suitable numerical values assigned to each fluid parameter.

4 Discussion

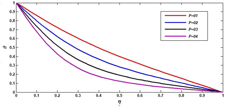
This section explores the graphical results and their physical justifications for the three main profiles, i.e., velocity, temperature, and concentration of nanoparticles. Figures 2–18 are plotted to disclose the impact of various fluid parameters involved in the present flow model. In particular, Figures 2 and 3 are graphical display of the influence of Forchheimer parameter on the velocity field (f and fʹ), respectively. A closer look explores that velocity field shows reduction for larger Forchheimer number. Physically, the relation of Forchheimer number with drag force coefficient is responsible for this trend in velocity field. For larger Forchheimer number, an intensive drag force coefficient results in higher amount of friction offered to the fluid flow. Therefore, a decline is noticed in velocity profile. Figures 4 and 5 show the impact of magnetic field on fluid flow through Darcy medium. The impact of magnetic field is inversely related to the fluid flow. Physically, a surface normal implementation of magnetic field creates certain bumps in the direction of fluid flow. Therefore, a decline is noticed in both f and f . Impact of viscosity parameter P on both f and f is shown in Figures 6 and 7, respectively. Physically, for larger values of P, the inverse relation of kinematic viscosity confirms the enhancement in dynamic viscosity, and therefore, a decline in velocity field is justified for larger values of viscosity parameter. Figure 8 shows the impact of viscosity parameter on thermal distribution. The relevant boundary layer shows declining trend for augmented values of viscosity parameter. Impact of Brownian diffusive motion and thermophoresis on thermal distribution is shown in Figures 9 and 10. The non-predictive movement of nanoparticles because of the Brownian motion rises for stronger thermophoretic force, resulting in a more rapid transport from hot region to the colder region. Therefore, a rise in thermal distribution is noticed for both the parameters. For elevated values of viscosity parameter, one can see an enhancement in the concentration distribution shown in Figure 11, which equally confirms the mathematical expression of viscosity parameter and its physical significance in fluid flow. For elevated values of Brownian diffusive motion parameter, concentration profile shows reduction. Physically, the random motion reduces for larger Brownian; however, the case is opposite in case of thermophoresis. At Nb = 0.01 , the impact of Brownian diffusion is quite obvious; however, the impact becomes slighter for further improvement in the Brownian diffusion, whereas a linear enhancement is seen in concentration distribution for Nt = 0.01 , 0.1 , 0.2 , 0.3 , and so on. The variation in Nusselt number is shown in Figures 14 and 15. In Figure 14, the cross effect of viscosity parameter and thermophoresis is involved, whereas in Figure 15, thermophoresis is replaced with Brownian diffusion. The rate of heat flux reduces in both cases. Figures 16 and 17 are plotted to see the fluctuation in skin-friction for porosity factor and magnetic parameter, respectively. The larger friction produced by Forchheimer medium and retardation offered by magnetic impact result in enhancement of skin-friction. The impact of Prandtl number on thermal profile is shown in Figure 18. A decline is noticed for larger values of Pr.

Figure 2 
               Consequences of 
                     
                        
                        
                           
                              
                                 F
                              
                              
                                 r
                              
                           
                        
                        {F}_{\text{r}}
                     
                   on 
                     
                        
                        
                           f
                           (
                           η
                           )
                        
                        f(\eta )
                     
                  .
Figure 2

Consequences of F r on f ( η ) .

Figure 3 
               Consequences of 
                     
                        
                        
                           
                              
                                 F
                              
                              
                                 r
                              
                           
                        
                        {F}_{\text{r}}
                     
                   on 
                     
                        
                        
                           
                              f
                              ′
                           
                           (
                           η
                           )
                        
                        f^{\prime} (\eta )
                     
                  .
Figure 3

Consequences of F r on f ( η ) .

Figure 4 
               Consequences of M on 
                     
                        
                        
                           f
                           (
                           η
                           )
                        
                        f(\eta )
                     
                  .
Figure 4

Consequences of M on f ( η ) .

Figure 5 
               Consequences of M on 
                     
                        
                        
                           
                              f
                              ′
                           
                           (
                           η
                           )
                        
                        f^{\prime} (\eta )
                     
                  .
Figure 5

Consequences of M on f ( η ) .

Figure 6 
               Consequences of P on 
                     
                        
                        
                           f
                           (
                           η
                           )
                        
                        f(\eta )
                     
                  .
Figure 6

Consequences of P on f ( η ) .

Figure 7 
               Consequences of P on 
                     
                        
                        
                           
                              f
                              ′
                           
                           (
                           η
                           )
                        
                        f^{\prime} (\eta )
                     
                  .
Figure 7

Consequences of P on f ( η ) .

Figure 8 
               Consequences of P on 
                     
                        
                        
                           θ
                           (
                           η
                           )
                        
                        \theta (\eta )
                     
                  .
Figure 8

Consequences of P on θ ( η ) .

Figure 9 
               Consequences of Nb on 
                     
                        
                        
                           θ
                           (
                           η
                           )
                        
                        \theta (\eta )
                     
                  .
Figure 9

Consequences of Nb on θ ( η ) .

Figure 10 
               Consequences of Nt on 
                     
                        
                        
                           θ
                           (
                           η
                           )
                        
                        \theta (\eta )
                     
                  .
Figure 10

Consequences of Nt on θ ( η ) .

Figure 11 
               Consequences of P on 
                     
                        
                        
                           ϕ
                           (
                           η
                           )
                        
                        \phi (\eta )
                     
                  .
Figure 11

Consequences of P on ϕ ( η ) .

Figure 12 
               Consequences of Nb on 
                     
                        
                        
                           ϕ
                           (
                           η
                           )
                        
                        \phi (\eta )
                     
                  .
Figure 12

Consequences of Nb on ϕ ( η ) .

Figure 13 
               Consequences of Nt on 
                     
                        
                        
                           ϕ
                           (
                           η
                           )
                        
                        \phi (\eta )
                     
                  .
Figure 13

Consequences of Nt on ϕ ( η ) .

Figure 14 
               Variation in Nu for viscosity parameter P and thermophoresis Nt.
Figure 14

Variation in Nu for viscosity parameter P and thermophoresis Nt.

Figure 15 
               Variation in Nu for viscosity parameter P and Brownian diffusion Nb.
Figure 15

Variation in Nu for viscosity parameter P and Brownian diffusion Nb.

Figure 16 
               Variation in 
                     
                        
                        
                           
                              
                                 C
                              
                              
                                 f
                              
                           
                        
                        {C}_{\text{f}}
                     
                   for porosity factor 
                     
                        
                        
                           λ
                        
                        \lambda 
                     
                  .
Figure 16

Variation in C f for porosity factor λ .

Figure 17 
               Variation in 
                     
                        
                        
                           
                              
                                 C
                              
                              
                                 f
                              
                           
                        
                        {C}_{\text{f}}
                     
                   for magnetic parameter M.
Figure 17

Variation in C f for magnetic parameter M.

Figure 18 
               Consequences of Pr on 
                     
                        
                        
                           θ
                           (
                           η
                           )
                        
                        \theta (\eta )
                     
                  .
Figure 18

Consequences of Pr on θ ( η ) .

5 Conclusions

Here the impact of MHD and Darcy medium on nanofluid flow contained between two h distance apart plates is taken into account. A viscous nanofluid saturates the given porous medium. The characteristics of Brownian diffusion and thermophoresis are disclosed. Numerical scheme using MATLAB is applied to solve the problems and acquire the data for velocity field, temperature, and concentration distributions. Salient features of the study are listed below:

  • Velocity field shows reduction for larger Forchheimer number. The drag force coefficient is responsible for this trend.

  • The impact of magnetic field is inversely related to the fluid flow. A decline is noticed in velocity profile.

  • For larger values of P, the inverse relation of kinematic viscosity confirms a decline in velocity field.

  • The non-predictive movement of nanoparticles because of the Brownian diffusion rises for stronger thermophoretic force, resulting in a more rapid transport from hot region to the colder region.

  • For elevated values of viscosity parameter, an enhancement in the concentration distribution is noticed.

  • The rate of heat flux reduces for Brownian diffusion and thermophoresis.

  • Skin-friction receives enhancement for elevated porosity factor and magnetic parameter.

Nomenclature

B 0

magnetic number

C f

skin-friction

D B

Brownian diffusion in m 2 s 1

D T

thermophoretic diffusion in m 2 s 1

h

distance between plates in m

M

non-dimensional magnetic number

MHD

magnetohydrodynamics

Nb

Brownian diffusion parameter

Nt

thermophoresis parameter

Nu

Nusselt number

P

viscosity parameter

Pr

Prandtl number

RK45

Runge–Kutta method

Sc

Schmidt number

T

temperature K−1

u 1 = z x 1

velocity in ms−1

u 1 , u 2

velocity components in ms−1

x 1 , x 2

Cartesian coordinates in m

z

stretching rate in s 1

α

thermal diffusivity in m 2 s 1

ν

viscosity (kinematic) in m 2 s 1

ρ

density in kg m 3

References

[1] Stefan MJ. Versuch uber die scheinbare Adhasion, sitzungsber, Abt. II, Osterr. Anzeiger der Akademie der Wissenschaften in Wien. Wien: Mathematische-naturwissenchaftliche Klasse; 1874;69:713–21.Search in Google Scholar

[2] Rashidi MM, Shahmohamadi H, Dinarvand S. Analytic approximate solutions for unsteady two-dimensional and axisymmetric squeezing flows between parallel plates. Math Probl Eng. 2008;2008:935095.10.1155/2008/935095Search in Google Scholar

[3] Hayat T, Qayyum A, Alsaedi A. Three-dimensional mixed convection squeezing flow. Appl Math Mech. 2015;36:47–60.10.1007/s10483-015-1894-9Search in Google Scholar

[4] Hayat T, Yousaf A, Mustafa M, Obaidat S. MHD squeezing ßow of second grade fluid between parallel disks. Int J Numer Methods Fluid. 2012;69:399–410.10.1002/fld.2565Search in Google Scholar

[5] Hayat T, Muhammad T, Qayyum A, Alsaedi A, Mustafa M. On squeezing flow of nanofluid in the presence of magnetic field effects. J Mol Liq. 2016;213:179–85.10.1016/j.molliq.2015.11.003Search in Google Scholar

[6] Shahmohamadi H, Rashidi MM. VIM solution of squeezing MHD nanofluid flow in a rotating channel with lower stretching porous surface. Adv Powder Technol. 2016;27:171–8.10.1016/j.apt.2015.11.014Search in Google Scholar

[7] Rostami AK, Hosseinzadeh K, Ganji DD. Hydrothermal analysis of ethylene glycol nanofluid in a porous enclosure with complex snowflake shaped inner wall. Waves Random Complex Media. 2020. 10.1080/17455030.2020.1758358.Search in Google Scholar

[8] Shah Z, Sheikholeslami M, Ikramullah, Kumam P. Influence of nanoparticles inclusion into water on convective magneto hydrodynamic flow with heat transfer and entropy generation through permeable domain. Case Stud Therm Eng. 2020;21:100732.10.1016/j.csite.2020.100732Search in Google Scholar

[9] Choi SUS, Eastman JA. Enhancing thermal conductivity of fluids with nanoparticles. ASME international mechanical engineering congress and exposition. 66, San Francisco: American Society of Mechanical Engineers; 1995. p. 99–105.Search in Google Scholar

[10] Parvin S, Chamkha AJ. An analysis on free convection flow, heat transfer and entropy generation in an odd-shaped cavity filled with nanofluid. Int Commun Heat Mass Transf. 2014;54:8–17.10.1016/j.icheatmasstransfer.2014.02.031Search in Google Scholar

[11] Zaraki A, Ghalambaz M, Chamkha AJ, Rossi DD. Theoretical analysis of natural convection boundary layer heat and mass transfer of nanofluids: Effects of size, shape and type of nanoparticles, type of base fluid and working temperature. Adv Powder Technol. 2015;26:935–46.10.1016/j.apt.2015.03.012Search in Google Scholar

[12] Reddy S, Chamkha AJ. Soret and Dufour effects on MHD convective flow of Al2O3-water and TiO2-water nanofluids past a stretching sheet in porous media with heat generation/absorption. Adv Powder Technol. 2016;27:1207–18.10.1016/j.apt.2016.04.005Search in Google Scholar

[13] Chamkha AJ, Ismael M, Kasaeipoor A, Armaghani T. Entropy generation and natural convection of CuO-water nanofluid in C-shaped cavity under magnetic field. Entropy. 2016;18:50. 10.3390/e18020050.Search in Google Scholar

[14] Rasool G, Shafiq A, Khalique CM, Zhang T. Magnetohydrodynamic Darcy Forchheimer nanofluid flow over nonlinear stretching sheet. Phys Scr. 2019;94:105221.10.1088/1402-4896/ab18c8Search in Google Scholar

[15] Ismael M, Armaghani T, Chamkha AJ. Conjugate heat transfer and entropy generation in a cavity filled with a nanofluid-saturated porous media and heated by a triangular solid. J Taiwan Inst Chem Eng. 2016;59:138–51.10.1016/j.jtice.2015.09.012Search in Google Scholar

[16] Rasool G, Zhang T, Shafiq A. Second grade nanofluidic flow past a convectively heated vertical Riga plate. Phys Scr. 2019;94:125212.10.1088/1402-4896/ab3990Search in Google Scholar

[17] Lund LA, Omar Z, Khan I, Raza J, Bakouri M, Tlili I. Stability analysis of Darcy-Forchheimer flow of Casson type Nanofluid over an exponential sheet: Investigation of critical points. Symmetry. 2019;11:412.10.3390/sym11030412Search in Google Scholar

[18] Rasool G, Zhang T. Darcy-Forchheimer nanofluidic flow manifested with Cattaneo-Christov theory of heat and mass flux over non-linearly stretching surface. PLoS One. 2019;14:e0221302.10.1371/journal.pone.0221302Search in Google Scholar PubMed PubMed Central

[19] Lund LA, Omar Z, Khan I, Dero S. Multiple solutions of Cu−C6H9NaO7 and Ag−C6H9NaO7 nanofluids flow over nonlinear shrinking surface. J Cent South Univ. 2019;26:1283–93.10.1007/s11771-019-4087-6Search in Google Scholar

[20] Rasool G, Shafiq A, Tlili I. Marangoni convective nano-fluid flow over an electromagnetic actuator in the presence of first order chemical reaction. Heat Transf Asian Res. 2019;49:274–89.10.1002/htj.21612Search in Google Scholar

[21] Rasool G, Shafiq A, Durur H. Darcy-Forchheimer relation in Magnetohydrodynamic Jeffrey nanofluid flow over stretching surface. Discrete Contin Dyn Syst Ser S. 2019. 10.3934/dcdss.2020399.Search in Google Scholar

[22] Rasool G, Wakif A. Numerical spectral examination of EMHD mixed convective flow of second grade nanofluid towards a vertical riga plate using an advanced version of the revised Buongiorno’s nanofluid model. J Therm Anal Calorim. 2020. 10.1007/s10973-020-09865-8.Search in Google Scholar

[23] Sohail M, Naz R, Abdelsalam SI. On the onset of entropy generation for a nanofluid with thermal radiation and gyrotactic microorganisms through 3D flows. Physica Scripta. 2019;95:045206.10.1088/1402-4896/ab3c3fSearch in Google Scholar

[24] Sohail M, Naz R. Modified heat and mass transmission models in the magnetohydrodynamic flow of Sutterby nanofluid in stretching cylinder. Phys A Stat Mech Appl. 2020;549:124088. 10.1016/j.physa.2019.124088.Search in Google Scholar

[25] Rasool G, Zhang T, Chamkha AJ, Shafiq A, Tlili I, Shahzadi G. Entropy generation and consequences of binary chemical reaction on MHD Darcy-Forchheimer Williamson nanofluid flow over non-linearly stretching surface. Entropy. 2020;22:18.10.3390/e22010018Search in Google Scholar PubMed PubMed Central

[26] Tlili I, Tawfeeq AA. Nanotechnology for water purification: Electrospun nanofibrous membrane in water and wastewater treatment. J Water Reuse Desalination. 2019;24:232–48. 10.2166/wrd.2019.057.Search in Google Scholar

[27] Tlili I, Khan WA, Ramadan I. MHD flow of Nanofluid flow across horizontal circular cylinder: Steady forced convection. J Nanofluids. 2019;8:179–86.10.1166/jon.2019.1574Search in Google Scholar

[28] Wakif A, Boulahia Z, Ali F, Eid MR, Sehaqui R. Numerical analysis of the unsteady natural convection MHD couette nanofluid flow in the presence of thermal radiation using single and two-phase nanofluid models for Cu-water nanofluids. Int J Appl Comput Math. 2018;4:81.10.1007/s40819-018-0513-ySearch in Google Scholar

[29] Wakif A, Boulahia Z, Sehaqui R. A semi-analytical analysis of electro-thermo-hydrodynamic stability in dielectric nanofluids using Buongiornos mathematical model together with more realistic boundary conditions. Results Phys. 2018;9:1438–54.10.1016/j.rinp.2018.01.066Search in Google Scholar

[30] Shafiq A, Rasool G, Masood CM. Significance of thermal slip and convective boundary conditions on three dimensional rotating Darcy-Forchheimer nanofluid flow. Symmetry. 2020;12(5):741. 10.3390/sym12050741.Search in Google Scholar

[31] Hosseinzadeh K, Roghani S, Mogharrebi AR, Asadi A, Waqas M, Ganji DD. Investigation of cross-fluid flow containing motile gyrotactic microorganisms and nanoparticles over a three-dimensional cylinder. Alex Eng J. 2020;59(5):3297–307.10.1016/j.aej.2020.04.037Search in Google Scholar

[32] Hosseinzadeh K, Asadi A, Mogharrebi AR, Azari ME, Ganji DD. Investigation of mixture fluid suspended by hybrid nanoparticles over vertical cylinder by considering shape factor effect. J Therm Anal Calorim. 2020. 10.1007/s10973-020-09347-x.Search in Google Scholar

[33] Hosseinzadeh K, Mogharrebi AR, Asadi A, Sheikhshahrokhdehkordi M, Mousavisani S, Ganji DD. Entropy generation analysis of mixture nanofluid (H2O/c2H6O2)−Fe3O4 flow between two stretching rotating disks under the effect of MHD and nonlinear thermal radiation. Int J Ambient Energy. 2019. 10.1080/01430750.2019.1681294.Search in Google Scholar

[34] Hosseinzadeh K, Roghani S, Asadi A, Mogharrebi A, Ganji DD. Investigation of micropolar hybrid ferrofluid flow over a vertical plate by considering various base fluid and nanoparticle shape factor. Int J Numer Method Heat Fluid Flow. 2020. 10.1108/HFF-02-2020-0095.Search in Google Scholar

[35] Shah Z, Hajizadeh MR, Ikramullah, Alreshidi NA, Deebani W, Shutaywi M. Entropy optimization and heat transfer modeling for Lorentz forces effect on solidification of NEPCM. Int Commun Heat Mass Transf. 2020;117:104715.10.1016/j.icheatmasstransfer.2020.104715Search in Google Scholar

[36] Sohail M, Shah Z, Tassaddiq A, Kumam P, Roy P. Entropy generation in MHD Casson fluid flow with variable heat conductance and thermal conductivity over non-linear bi-directional stretching surface. Sci Rep. 2020;10(1):12530. 10.1038/s41598-020-69411-2.Search in Google Scholar PubMed PubMed Central

[37] Deebani W, Tassaddiq A, Shah Z, Dawar A, Ali F. Hall effect on radiative casson fluid flow with chemical reaction on a rotating cone through entropy optimization. Entropy. 2020;22:480.10.3390/e22040480Search in Google Scholar PubMed PubMed Central

[38] Shah Z, McCash LB, Dawar A, Bonyah E. Entropy optimization in Darcy-Forchheimer MHD flow of water based copper and silver nanofluids with Joule heating and viscous dissipation effects. AIP Adv. 2020;10:065137.10.1063/5.0014952Search in Google Scholar

[39] Shah Z, Kumam P, Dawar A, Alzahrani EO, Thounthong P. Study of the couple stress convective micropolar fluid flow in a hall MHD generator system. Front Phys. 2019;7:171.10.3389/fphy.2019.00171Search in Google Scholar

[40] Forchheimer P. Wasserbewegung durch Boden. Z des Ver deutscher Ingenieure. 1901;45:1782–8.Search in Google Scholar

[41] Muskat M. The flow of homogeneous fluids through porous media. Edwards, MI: Ann Arbor; 1946.Search in Google Scholar

[42] Seddeek MA. Influence of viscous dissipation and thermophoresis on Darcy-Forchheimer mixed convection in a fluid saturated porous media. J Colloid Interface Sci. 2006;293:137–42.10.1016/j.jcis.2005.06.039Search in Google Scholar PubMed

[43] Hayat T, Khan MI, Khan TA, Alsaedi A. Entropy generation in Darcy-Forchheimer bidirectional flow of water-based carbon nanotubes with convective boundary conditions. J Mol Liq. 2018;265(1):629–38.10.1016/j.molliq.2018.06.017Search in Google Scholar

[44] Sadiq MA, Hayat T. Darcy-Forchheimer flow of magneto Maxwell liquid bounded by convectively heated sheet. Results Phys. 2016;6:884–90.10.1016/j.rinp.2016.10.019Search in Google Scholar

[45] Umavathi JC, Ojjela O, Vajravelu K. Numerical analysis of natural convective flow and heat transfer of nanofluids in a vertical rectangular duct using Darcy-Forchheimer-brinkman model. Int J Therm Sci. 2017;111:511–24.10.1016/j.ijthermalsci.2016.10.002Search in Google Scholar

[46] Hayat T, Shah F, Khan MI, Alsaedi A. Framing the performance of heat absorption/generation and thermal radiation in chemically reactive Darcy-Forchheimer flow. Results Phys. 2017;7:3390–5.10.1016/j.rinp.2017.08.052Search in Google Scholar

[47] Sheikholeslami M, Rashidi MM, Al Saad DM, Firouzi F, Rokni HB, Domairry G. Steady nanofluid flow between parallel plates considering thermophoresis and Brownian effects. J King Saud Univ Sci. 2016;28:380–9.10.1016/j.jksus.2015.06.003Search in Google Scholar

Received: 2020-07-11
Revised: 2020-09-29
Accepted: 2020-09-30
Published Online: 2020-12-29

© 2020 Ghulam Rasool et al., published by De Gruyter

This work is licensed under the Creative Commons Attribution 4.0 International License.

Articles in the same Issue

  1. Regular Articles
  2. Model of electric charge distribution in the trap of a close-contact TENG system
  3. Dynamics of Online Collective Attention as Hawkes Self-exciting Process
  4. Enhanced Entanglement in Hybrid Cavity Mediated by a Two-way Coupled Quantum Dot
  5. The nonlinear integro-differential Ito dynamical equation via three modified mathematical methods and its analytical solutions
  6. Diagnostic model of low visibility events based on C4.5 algorithm
  7. Electronic temperature characteristics of laser-induced Fe plasma in fruits
  8. Comparative study of heat transfer enhancement on liquid-vapor separation plate condenser
  9. Characterization of the effects of a plasma injector driven by AC dielectric barrier discharge on ethylene-air diffusion flame structure
  10. Impact of double-diffusive convection and motile gyrotactic microorganisms on magnetohydrodynamics bioconvection tangent hyperbolic nanofluid
  11. Dependence of the crossover zone on the regularization method in the two-flavor Nambu–Jona-Lasinio model
  12. Novel numerical analysis for nonlinear advection–reaction–diffusion systems
  13. Heuristic decision of planned shop visit products based on similar reasoning method: From the perspective of organizational quality-specific immune
  14. Two-dimensional flow field distribution characteristics of flocking drainage pipes in tunnel
  15. Dynamic triaxial constitutive model for rock subjected to initial stress
  16. Automatic target recognition method for multitemporal remote sensing image
  17. Gaussons: optical solitons with log-law nonlinearity by Laplace–Adomian decomposition method
  18. Adaptive magnetic suspension anti-rolling device based on frequency modulation
  19. Dynamic response characteristics of 93W alloy with a spherical structure
  20. The heuristic model of energy propagation in free space, based on the detection of a current induced in a conductor inside a continuously covered conducting enclosure by an external radio frequency source
  21. Microchannel filter for air purification
  22. An explicit representation for the axisymmetric solutions of the free Maxwell equations
  23. Floquet analysis of linear dynamic RLC circuits
  24. Subpixel matching method for remote sensing image of ground features based on geographic information
  25. K-band luminosity–density relation at fixed parameters or for different galaxy families
  26. Effect of forward expansion angle on film cooling characteristics of shaped holes
  27. Analysis of the overvoltage cooperative control strategy for the small hydropower distribution network
  28. Stable walking of biped robot based on center of mass trajectory control
  29. Modeling and simulation of dynamic recrystallization behavior for Q890 steel plate based on plane strain compression tests
  30. Edge effect of multi-degree-of-freedom oscillatory actuator driven by vector control
  31. The effect of guide vane type on performance of multistage energy recovery hydraulic turbine (MERHT)
  32. Development of a generic framework for lumped parameter modeling
  33. Optimal control for generating excited state expansion in ring potential
  34. The phase inversion mechanism of the pH-sensitive reversible invert emulsion from w/o to o/w
  35. 3D bending simulation and mechanical properties of the OLED bending area
  36. Resonance overvoltage control algorithms in long cable frequency conversion drive based on discrete mathematics
  37. The measure of irregularities of nanosheets
  38. The predicted load balancing algorithm based on the dynamic exponential smoothing
  39. Influence of different seismic motion input modes on the performance of isolated structures with different seismic measures
  40. A comparative study of cohesive zone models for predicting delamination fracture behaviors of arterial wall
  41. Analysis on dynamic feature of cross arm light weighting for photovoltaic panel cleaning device in power station based on power correlation
  42. Some probability effects in the classical context
  43. Thermosoluted Marangoni convective flow towards a permeable Riga surface
  44. Simultaneous measurement of ionizing radiation and heart rate using a smartphone camera
  45. On the relations between some well-known methods and the projective Riccati equations
  46. Application of energy dissipation and damping structure in the reinforcement of shear wall in concrete engineering
  47. On-line detection algorithm of ore grade change in grinding grading system
  48. Testing algorithm for heat transfer performance of nanofluid-filled heat pipe based on neural network
  49. New optical solitons of conformable resonant nonlinear Schrödinger’s equation
  50. Numerical investigations of a new singular second-order nonlinear coupled functional Lane–Emden model
  51. Circularly symmetric algorithm for UWB RF signal receiving channel based on noise cancellation
  52. CH4 dissociation on the Pd/Cu(111) surface alloy: A DFT study
  53. On some novel exact solutions to the time fractional (2 + 1) dimensional Konopelchenko–Dubrovsky system arising in physical science
  54. An optimal system of group-invariant solutions and conserved quantities of a nonlinear fifth-order integrable equation
  55. Mining reasonable distance of horizontal concave slope based on variable scale chaotic algorithms
  56. Mathematical models for information classification and recognition of multi-target optical remote sensing images
  57. Hopkinson rod test results and constitutive description of TRIP780 steel resistance spot welding material
  58. Computational exploration for radiative flow of Sutterby nanofluid with variable temperature-dependent thermal conductivity and diffusion coefficient
  59. Analytical solution of one-dimensional Pennes’ bioheat equation
  60. MHD squeezed Darcy–Forchheimer nanofluid flow between two h–distance apart horizontal plates
  61. Analysis of irregularity measures of zigzag, rhombic, and honeycomb benzenoid systems
  62. A clustering algorithm based on nonuniform partition for WSNs
  63. An extension of Gronwall inequality in the theory of bodies with voids
  64. Rheological properties of oil–water Pickering emulsion stabilized by Fe3O4 solid nanoparticles
  65. Review Article
  66. Sine Topp-Leone-G family of distributions: Theory and applications
  67. Review of research, development and application of photovoltaic/thermal water systems
  68. Special Issue on Fundamental Physics of Thermal Transports and Energy Conversions
  69. Numerical analysis of sulfur dioxide absorption in water droplets
  70. Special Issue on Transport phenomena and thermal analysis in micro/nano-scale structure surfaces - Part I
  71. Random pore structure and REV scale flow analysis of engine particulate filter based on LBM
  72. Prediction of capillary suction in porous media based on micro-CT technology and B–C model
  73. Energy equilibrium analysis in the effervescent atomization
  74. Experimental investigation on steam/nitrogen condensation characteristics inside horizontal enhanced condensation channels
  75. Experimental analysis and ANN prediction on performances of finned oval-tube heat exchanger under different air inlet angles with limited experimental data
  76. Investigation on thermal-hydraulic performance prediction of a new parallel-flow shell and tube heat exchanger with different surrogate models
  77. Comparative study of the thermal performance of four different parallel flow shell and tube heat exchangers with different performance indicators
  78. Optimization of SCR inflow uniformity based on CFD simulation
  79. Kinetics and thermodynamics of SO2 adsorption on metal-loaded multiwalled carbon nanotubes
  80. Effect of the inner-surface baffles on the tangential acoustic mode in the cylindrical combustor
  81. Special Issue on Future challenges of advanced computational modeling on nonlinear physical phenomena - Part I
  82. Conserved vectors with conformable derivative for certain systems of partial differential equations with physical applications
  83. Some new extensions for fractional integral operator having exponential in the kernel and their applications in physical systems
  84. Exact optical solitons of the perturbed nonlinear Schrödinger–Hirota equation with Kerr law nonlinearity in nonlinear fiber optics
  85. Analytical mathematical schemes: Circular rod grounded via transverse Poisson’s effect and extensive wave propagation on the surface of water
  86. Closed-form wave structures of the space-time fractional Hirota–Satsuma coupled KdV equation with nonlinear physical phenomena
  87. Some misinterpretations and lack of understanding in differential operators with no singular kernels
  88. Stable solutions to the nonlinear RLC transmission line equation and the Sinh–Poisson equation arising in mathematical physics
  89. Calculation of focal values for first-order non-autonomous equation with algebraic and trigonometric coefficients
  90. Influence of interfacial electrokinetic on MHD radiative nanofluid flow in a permeable microchannel with Brownian motion and thermophoresis effects
  91. Standard routine techniques of modeling of tick-borne encephalitis
  92. Fractional residual power series method for the analytical and approximate studies of fractional physical phenomena
  93. Exact solutions of space–time fractional KdV–MKdV equation and Konopelchenko–Dubrovsky equation
  94. Approximate analytical fractional view of convection–diffusion equations
  95. Heat and mass transport investigation in radiative and chemically reacting fluid over a differentially heated surface and internal heating
  96. On solitary wave solutions of a peptide group system with higher order saturable nonlinearity
  97. Extension of optimal homotopy asymptotic method with use of Daftardar–Jeffery polynomials to Hirota–Satsuma coupled system of Korteweg–de Vries equations
  98. Unsteady nano-bioconvective channel flow with effect of nth order chemical reaction
  99. On the flow of MHD generalized maxwell fluid via porous rectangular duct
  100. Study on the applications of two analytical methods for the construction of traveling wave solutions of the modified equal width equation
  101. Numerical solution of two-term time-fractional PDE models arising in mathematical physics using local meshless method
  102. A powerful numerical technique for treating twelfth-order boundary value problems
  103. Fundamental solutions for the long–short-wave interaction system
  104. Role of fractal-fractional operators in modeling of rubella epidemic with optimized orders
  105. Exact solutions of the Laplace fractional boundary value problems via natural decomposition method
  106. Special Issue on 19th International Symposium on Electromagnetic Fields in Mechatronics, Electrical and Electronic Engineering
  107. Joint use of eddy current imaging and fuzzy similarities to assess the integrity of steel plates
  108. Uncertainty quantification in the design of wireless power transfer systems
  109. Influence of unequal stator tooth width on the performance of outer-rotor permanent magnet machines
  110. New elements within finite element modeling of magnetostriction phenomenon in BLDC motor
  111. Evaluation of localized heat transfer coefficient for induction heating apparatus by thermal fluid analysis based on the HSMAC method
  112. Experimental set up for magnetomechanical measurements with a closed flux path sample
  113. Influence of the earth connections of the PWM drive on the voltage constraints endured by the motor insulation
  114. High temperature machine: Characterization of materials for the electrical insulation
  115. Architecture choices for high-temperature synchronous machines
  116. Analytical study of air-gap surface force – application to electrical machines
  117. High-power density induction machines with increased windings temperature
  118. Influence of modern magnetic and insulation materials on dimensions and losses of large induction machines
  119. New emotional model environment for navigation in a virtual reality
  120. Performance comparison of axial-flux switched reluctance machines with non-oriented and grain-oriented electrical steel rotors
  121. Erratum
  122. Erratum to “Conserved vectors with conformable derivative for certain systems of partial differential equations with physical applications”
Downloaded on 26.12.2025 from https://www.degruyterbrill.com/document/doi/10.1515/phys-2020-0191/html
Scroll to top button