Abstract
A new approach for designing ac motor windings free of partial discharges (PD) is proposed. The method consists of adding a thin conducting layer on the outer surface of the enameled wire used for building the machine winding. With this additional layer, PDs occur only in critical zones localized near the wire connections rather than randomly in the residual voids between turns. With such deterministic localizations, it is possible to reduce strongly the PD activity by adding small quantities of varnish in the determined critical zones. After studying the validity of the Paschen’s hypotheses for this application, the Paschen’s law is coupled to an electrostatic finite element analysis, for predicting the Partial Discharge Inception Voltage (PDIV), which corresponds to the electronic avalanche ignition in the air of critical zones.
1 Introduction
In recent airliners, the electrical power is increasing because this energy brings more flexibility and many other advantages comparing to hydraulic and pneumatic ones. Conventional aircraft have several grids. For increasing the electric power, the aircraft industry has chosen a higher voltage, switching from 115V AC to 540V DC. This solution yields a higher flexibility and reduces losses in cables. With this choice, high power density electric actuators are connected to the 540V DC grid by inverters that provide efficient machine controls, with a full reversibility of the power. However, the electronic power components of the inverters impose steep-fronted voltage pulses that cause repetitive short voltage spikes in the machine windings. These voltage spikes may cause PDs and an earlier aging of the machine. The aging mechanism is known for a long time [1, 2]. In the polymer based electrical insulation system (EIS), PDs in small air-voids of windings slowly erode the insulation layer. This phenomenon is due to voltage spikes exceeding the partial discharge inception voltage (PDIV) of the motor EIS [3, 4].
For permanent magnet synchronous motor (PMSM), the machine winding can be made with concentrated windings (one coil per stator slot). This topology makes it possible to design deterministic coils where the exact position of each turn is known. Therefore, a specific coil design may guarantee a good distribution of voltage spikes able to avoid PD [5].
The PMSM are excellent machines that can be used for many actuators, but they are expensive. The aircraft industry needs also cheaper machines for many actuators, in the air conditioning system for instance. Induction machines can perform these functions in very good economic conditions, but they need distributed windings. Their coils are made by automatic machines and inserted in the stator slots. The windings have a random topology. The turn-to-turn voltage may be very large because the probability to have the input turn near the output one is not negligible [6]. For these parts of the coil, the thin insulating layer of the enameled wire and the residual air between them must withstand a high voltage stresses for inverter-fed motors. Therefore, it is impossible to guarantee the absence of PD in such random coils with a standard enameled wire. A classical solution consists in weakening the electric field between turns by using a thicker insulation layer, with the drawback of lower current density in the slots and heavier motors. Another solution consist in adding a filter that reduces the voltage fronts steepness but the filter is an additional component that has a mass and a cost.
The paper proposes another technological solution that consists of adding a thin conducting layer over the outer surface of the enameled wire. this layer creates equipotential surfaces that moves the critical zone, where DPs appear, toward deterministic areas. A local solution able to perform an insulation reinforcement in the critical zones is possible. The advantages, drawback and the technology readiness level (TRL) of the proposed solution are also discussed.
2 Principle of the proposed technological solution
The proposed method consist in adding a microscopic conducting layer on the outer part of the enameled wire used for building low voltage machines. This technology exist for large machines, it is used locally for getting a better potential distributions in end-winding connections [7, 8]. In low voltage motor coils, the outer surfaces of the wires are in contact together. Consequently, the additional conducting layer creates equipotential surfaces that reduce strongly electric field in the air between the turns. The electric field is concentrated in the polymer covering the copper wires, which can withstand much higher electrical fields than air. With the thin conducting additional layer, the critical zones, corresponding to high field magnitudes in air, are moved towards the ends of the additional conducting layer situated near the connections of the coil. In these critical zones, the insulation must be re-inforced to avoid PD for the highest voltage spikes. Investigations are made on twisted pairs made following the testing procedure defined in the IEC 60172 standard [9], that produce repetitive PDIV measurements in a given environment (temperature, pressure, humidity). In figure 1, the upper picture shows such a standard twisted pair and the lower one, shows a similar twisted pair with an additional thin external layer made of a silver conductive paint.

Standard twisted pair (a) and another one covered with a thin layer of silver conducting paint (b)

Pictures made on both twisted pairs in a deep darkness by a night vision device
For analyzing the influence of the thin additional layer of conducting paint on the electric field distribution, an experience has been carried out. Results are shown in figure 2 The pictures are obtained in a deep darkness, with a night vision device called “CoronaFinder” [10] placed at 0.8m of the twisted pairs. This optical system is able to make a visible image from the UV radiation emitted by DPs. This night vision device is designed for being used at naked eyes; a standard camera is added to get the pictures with long exposure times. For this experience, a 50 Hz sine voltage of 1200 Vpeak feeds the two twisted pair. This voltage is chosen over the PDIV for getting enough PDs. The PD level, measured electrically by a standard equipment, shows a similar PDs activities for both twisted pairs.
The upper photography of Fig. 2 corresponds to the standard twisted pair. The quality is low because of the general noise level. However, this picture shows that PDs are distributed along the twisted pair. The dark areas correspond to the shadows, made by the enameled wire situated between the PDs source, in the ambient air and the night vision device. At such a voltage, the electric field in the insulation layer is much under the polymer breakdown. The photography in the lower part of figure 2 is obtained in the same electrical condition, but with the twisted pair covered by a thin layer of silver conductive paint. On this picture, it is impossible to see the twisted pair body because of the darkness and the absence of PD in this area. Conversely, two bright points appear. They corresponds to many PDs at the ends of the thin layer of silver conductive paint.
Unfortunately, the night vision device associated to a standard camera cannot measure the energy of the PD radiation. However, the lower global noise of the picture suggests that the bright points correspond to a higher radiated energy in small zones. This photography suggests the existence of a concentration of a similar PD activity, in much smaller areas than without conducting paint.

Geometry and mesh of the polymer layer and the ambient air in the critcial zone where PDs may appear
3 Elecrtic field in the critical zones
3.1 Geometry of the critical zone
A finite-element electrostatic simulation is performed for predicting the PDIV in the critical zones where PDs may appear. The conducting layer covering the enameled wire moves these critical zones toward the ends of the wire. The conducting regions are not meshed; they form the voltage source of the electrostatic problem. The electric fields are computed in the polymer layer and in the ambient air. Figure 3 shows the 2D finite element model of the electrostatic problem built at the micrometer scale. A dense mesh is applied in the critical zone of air, near the end of the additional conducting layer.
3.2 Results and discussions
Figure 4 presents the color map of the electric field in the critical zone of air for 500V applied between the copper wire and the silver conducting paint. This voltage corresponds to half the peak voltage of the PDIV measured on twisted pairs. Indeed, when twisted pairs are supposed to be made of two identical enameled wires covered by an equipotential conducting layer, the voltage applied between the too copper conductors is split in two equal parts. The highest field values, where PDs may appear, are concentrated near the end of the silver conducting paint. A detailed analysis of the FE simulation results can be made using Paschen theory, for predicting the PDIV of the twisted pair made by an enameled wire covered by a conducting paint.

Geometry and mesh of the polymer layer and the ambient air in the critical zone where PDs may appear
Let us remind that, more than a century ago, Paschen studied the ignition of the ionization of a pressurized gas, under an electric field [11]. At the same period, Townsend worked on gas ionization processes, where free electrons are accelerated by electric fields [12]. Similar studies were performed for typical non-uniform fields due to specific electrode shapes used for high-voltage applications [13]. These approaches are based on the acceleration of free electrons, in the mean free path between gas molecules at a given pressure. When the free path is too short (high pressures), the electron gives up its energy in a series of non-ionizing collisions. When the mean free path is too long (low pressures), the electron reaches the anode before colliding with a gas molecule. In both cases, there is no gas ionization. The electronic avalanche occurs when the accelerated free electrons have enough energy for ionizing gas molecules when they collide. Then, a complex chain reaction leads breakdown, if the electric field remains high enough [14].
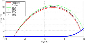
The Paschen’s empiric law defining the breakdown voltage in a gas is still a reference. This law was built on the results of many experiences made with two plane metallic electrodes in a pressurized gas. Therefore, the electric fields of Paschen’s experiences are uniform; free electrons accelerate along straight lines toward the anode. In practical cases, the electric field is never uniform. Figure 5 shows the field lines in the critical zone of air for our problem. The field lines are curved; the field in not uniform.
The interesting part of each field line starts from the polymer surface and finishes on the silver conducting paint. Unlike Paschen’s experiments, the electron inertia may have an influence: it is not obvious that the free electrons follow the field lines. The consequences of this major difference must be carefully studied before applying Paschen’s law. Two basic questions must be considered:
Do free electrons follow a filed line as they do in the Paschen’s experiences?
If the first answer is “yes”, a second question arises: does the variations of the field magnitude along a field line influence the Paschen’s threshold?

Field lines in the critical zone of air
For answering the first question, the ionization energy of molecules must be considered (13.6 eV for oxygen and 14.5 eV for nitrogen). It is supposed that the voltage is equal to the PDIV. For this voltage corresponding to the very beginning of the electronic avalanche. This hypothesis can be formulated in other words considering a microscopic point of view. It is supposed that the electric field accelerates a free electron until it acquires a kinetic energy equal to the gas molecule ionization one. Then a collision with a molecule absorbs this energy for creating a new free electron, which is also accelerated by the field. The random aspects of the problem are also neglected.
With this simplifying hypothesis, it is possible to estimate the trajectory of successive free electrons by solving the mechanical equation of a solid charged object placed in the Field force
Figure 6 shows simulation results of the mechanical problem, that consider the mass of moving electrons. A free electron at zero speed is supposed to appear at the origin of the filed line 15 of figure 5 Two voltage levels are considered: 500V, which correspond to the PDIV in air at atmospheric pressure, and half of this value that corresponds to a lower pressure. The time step used for solving the mechanical equation is 0.01ps and the geometry of the critical zone is a square mesh of 0.5μm.

Trajectories of free electrons for two voltages and the field line 15 copied from Fig. 5

Kinetic energy of free electrons between collisions for two voltages and the field line 15
The small crosses plotted on figure 6 correspond to the ionizing collisions with a N2 or a O2 molecule considering an average energy of 14eV. The electron trajectories cumulated from the starting point on the polymer layer toward the end point on the silver paint. The successive electron trajectories are not exactly superimposed to the field lines; the difference is higher for lower fields because the Coulomb forces are lower for the same inertial ones. For instance, at 250V and for a cumulated electron trajectory that starts at the beginning of the field line 15, the trajectory length is 41.5μm (1.5μm longer than the field length). This cumulated trajectory is the same that the field line for 500V (the difference is lower than the mesh grid). Figure 7 shows that, for lower fields, free electrons need more time, and consequently more space, for acquiring the ionization energy of 14eV.
This simplified approach shows that, for the considered geometry, the field line curvatures can be neglected at ambient pressure, but not for very low pressures.
The energy acquired by an accelerated free electron is a key value for answering the second question relative to the influence of the variations of the field magnitude along a field line. For an elementary electron displacement
When the free electrons follow the field lines,
Consequently, the energy acquired by an electron moving on a field line from point A to point B is equal to:
This energy does not depend on the variation of the magnitude of the electric field between points A and B of the field line, but only on the potential difference between the considered points.
The simplified approach presented above, made for a voltage corresponding to the electronic avalanche threshold, shows that the collisions with the molecules of the gas limit the free electron speed. Consequently, the inertia forces related to the curvature of the trajectory, remain low relatively to the Coulomb ones, at atmospheric pressure. The Paschen’s law can be used, substituting the field line length to the distance between the plane electrodes of Paschen’s experiences. This equivalence is not valid for very low pressures that remains over the Paschen’s minimum. For lower PDIV, Coulomb forces are also lower, but the maximum free electron speed remains the same. Consequently, the forces due to electron inertia are no longer negligible, comparing to the Coulomb forces. The trajectories of free electrons is no longer superimposed to the field lines. Equation (3) is no longer valid. In this case, more detailed simulations must be performed for estimating the kinetic energy of free electrons in the field force.
3.3 Application of Pashen’s law
Paschen’s formulae (4) predicts the threshold potential Vth corresponding to the ignition of the breakdown process in a gas at a pressure p for a field line length d in the gas [11].
The Paschen’s formulae uses the old unit for the pressure (Torr); the constants A and B use these units. For dry air, at room temperature, A = 15Torr−1.cm−1, B = 365V.Torr−1.cm−1; the second Townsend coefficient is γ = 0.01[12]. Figure 8 plots the Paschen’s curve and red points corresponding to the simulation results are added. Each + location is computed for the corresponding field line drawn in figure 5. The simulation was performed for a voltage equal to the experimental PDIV measured on a twisted pair recovered with a silver conducting paint. Fig. 8 shows that simulations points computed for the field lines 17 and 18 are very close to the Paschen curve. For a slightly higher voltage, PDs appear between these lines, which length are respectively 13μm and 21μm. The Paschen’s predictions are very close to the measurements.

Voltage difference between the ends of the field lines of the critical zone in air and Paschen curve (+ initial geometry: 0: geometry with the additional polymer drop)
4 Increase of the PDIV
The additional conducting layer on the insulating polymer of the wire limits the critical zones to small volumes at each ends of the wire. These critical zones are well localized. A small ball of insulating varnish placed in this zones change greatly the field lines in air. Fig. 9 shows the field lines obtained with a small drop of varnish, which relative permittivity is 4. The shortest field lines are now inside the polymer drop, which have a much higher breakdown voltage. PDs may appear in air between field lines 1 and 11 in figure 9. The corresponding small red circles are plotted on the Pashen’s graph of figure 8. A larger distance is observed between these small circles and the Paschen’s curve; the voltage can be increase by about 400V without any PD.
The research work it still at the very beginning of the maturation process; the technology readiness level can be estimated to TRL 2 - concept formulated.For getting the next TRL level (proof of concept), two major drawback must be overcome:
The silver paint spread on a flexible enameled wire is brittle; such a wire cannot withstand the mechanical stress of winding machines.
The hand made silver paint layer is very thick; its electrical resistance is low. Such an additional layer on the wire used in a machine winding would create short-circuited turns flown by large eddy currents that would create large additional Joule losses.

Field lines in the critical zone of air and in the polymer drop used to reinforce the insulation
The application of the proposed principle in electrical motor windings require to develop an new enameled wire with a semi-conducting layer able to bring a similar electric field distribution with a high resistance per short-circuited turn.
5 Conclusion
The proposed solution, consisting in adding a thin conducting layer on the external surface of an enameled wire, removes PDs in the residual air between the turns of motor coils. The additional layer moves PDs towards critical zones, near the coil connections. A careful design of these connections, with additional small balls of varnish, may increases the PDIV of the coil. However, it is not possible to built motor coils with the silver conducting paint used for preliminary experiments because its too high conductivity. For getting the maturity level TRL3 - proof of concept, experimental and theoretical developments must be performed with a thin semi-conductive external layer. A balance between the extra Joule losses and the higher PDIV must be found in close collaboration with a manufacturer of enameled wire.
References
[1] YinW., Failure mechanism of winding insulations in inverter-fed motors, IEEE Electr. Insul. Mag. 1977, 13(6), 18-23.Search in Google Scholar
[2] Fabiani D., Montanari G.C., Contin, A., Aging acceleration of insulating materials for electrical machine windings supplied bypwmin the presence and in the absence of partial discharges, Proc. Conf. ICSD, 2001, 283-286.Search in Google Scholar
[3] Maussion P., Picot A., Chabert M., Malec D., Lifespan and aging modeling methods for insulation systems in electrical machines: A survey, Proc. WEMDCD, 2015, 279-288.10.1109/WEMDCD.2015.7194541Search in Google Scholar
[4] Lahoud N., Faucher J., Malec D., Maussion P., Electrical aging of the insulation of low-voltage machines: Model definition and test with the design of experiments, IEEE Trans. Ind. Elect.2013, 60(9), 4147-4155.10.1109/TIE.2013.2245615Search in Google Scholar
[5] Iosif V., Duchesne S., Roger D., Voltage stress predetermination for long-life design of windings for electric actuators in aircrafts, Proc. Conf. CEIDP, 2015, 319-321.10.1109/CEIDP.2015.7352159Search in Google Scholar
[6] Duchesne S., Mihaila V., Vélu G., Roger D., Study of wire distribution in a slot of a motor fed by steep fronted pulses for lifetime extension, Proc. Conf. ISEI, 2012, 601-605.10.1109/ELINSL.2012.6251541Search in Google Scholar
[7] Misak S., Hamacek L., Bartłomiejczyk M., Verification ofa novel method of detecting faults in medium-voltage systemswith covered conductors, Polish Ac. Sc., Metrology & Meas. Syst., 2017, 24(2), 277-288.10.1515/mms-2017-0020Search in Google Scholar
[8] Stone G., Boulter E., Culbert I., Electrical insulation for rotating machines, design, evaluation, aging, testing, and repair, 2004, John Wiley & Sons10.1002/047168290XSearch in Google Scholar
[9] Standard EN 60172, Méthoded’essai pour la détermination de l’indice de température des fils de bobinageémaillés, 1994Search in Google Scholar
[10] http://syntronics.net/coronafinder.html.Search in Google Scholar
[11] Paschen F., Ueber die zumfunkenübergang in luft, wasser-stoffund kohlensäurebeiverschiedenendruckenerforderliche potential differenz, Annalen der Physik, 1889, 273(5), 69-96.10.1002/andp.18892730505Search in Google Scholar
[12] Townsend J.S., The theory of ionization of gases by collision, 1910, Constable & Company10.5962/bhl.title.22810Search in Google Scholar
[13] Hutton J.G., Determination or corona starting voltages or nonuniform fields in air, AIEE Trans., 1947, 66(1), 1674-1680.10.1109/T-AIEE.1947.5059624Search in Google Scholar
[14] Smalo H.S., Astrand P.O., Ingebrigtsen S., Calculation of ionization potentials and affinities for molecules relevant for streamer initiation and propagation, IEEE Trans. Dielect. Elec. Ins., 2010, 17(3), 733-741.10.1109/TDEI.2010.5492245Search in Google Scholar
© 2018 Daniel Roger et al., published by De Gruyter
This work is licensed under the Creative Commons Attribution-NonCommercial-NoDerivatives 4.0 License.
Articles in the same Issue
- Regular Articles
- A modified Fermi-Walker derivative for inextensible flows of binormal spherical image
- Algebraic aspects of evolution partial differential equation arising in the study of constant elasticity of variance model from financial mathematics
- Three-dimensional atom localization via probe absorption in a cascade four-level atomic system
- Determination of the energy transitions and half-lives of Rubidium nuclei
- Three phase heat and mass transfer model for unsaturated soil freezing process: Part 1 - model development
- Three phase heat and mass transfer model for unsaturated soil freezing process: Part 2 - model validation
- Mathematical model for thermal and entropy analysis of thermal solar collectors by using Maxwell nanofluids with slip conditions, thermal radiation and variable thermal conductivity
- Constructing analytic solutions on the Tricomi equation
- Feynman diagrams and rooted maps
- New type of chaos synchronization in discrete-time systems: the F-M synchronization
- Unsteady flow of fractional Oldroyd-B fluids through rotating annulus
- A note on the uniqueness of 2D elastostatic problems formulated by different types of potential functions
- On the conservation laws and solutions of a (2+1) dimensional KdV-mKdV equation of mathematical physics
- Computational methods and traveling wave solutions for the fourth-order nonlinear Ablowitz-Kaup-Newell-Segur water wave dynamical equation via two methods and its applications
- Siewert solutions of transcendental equations, generalized Lambert functions and physical applications
- Numerical solution of mixed convection flow of an MHD Jeffery fluid over an exponentially stretching sheet in the presence of thermal radiation and chemical reaction
- A new three-dimensional chaotic flow with one stable equilibrium: dynamical properties and complexity analysis
- Dynamics of a dry-rebounding drop: observations, simulations, and modeling
- Modeling the initial mechanical response and yielding behavior of gelled crude oil
- Lie symmetry analysis and conservation laws for the time fractional simplified modified Kawahara equation
- Solitary wave solutions of two KdV-type equations
- Applying industrial tomography to control and optimization flow systems
- Reconstructing time series into a complex network to assess the evolution dynamics of the correlations among energy prices
- An optimal solution for software testing case generation based on particle swarm optimization
- Optimal system, nonlinear self-adjointness and conservation laws for generalized shallow water wave equation
- Alternative methods for solving nonlinear two-point boundary value problems
- Global model simulation of OH production in pulsed-DC atmospheric pressure helium-air plasma jets
- Experimental investigation on optical vortex tweezers for microbubble trapping
- Joint measurements of optical parameters by irradiance scintillation and angle-of-arrival fluctuations
- M-polynomials and topological indices of hex-derived networks
- Generalized convergence analysis of the fractional order systems
- Porous flow characteristics of solution-gas drive in tight oil reservoirs
- Complementary wave solutions for the long-short wave resonance model via the extended trial equation method and the generalized Kudryashov method
- A Note on Koide’s Doubly Special Parametrization of Quark Masses
- On right-angled spherical Artin monoid of type Dn
- Gas flow regimes judgement in nanoporous media by digital core analysis
- 4 + n-dimensional water and waves on four and eleven-dimensional manifolds
- Stabilization and Analytic Approximate Solutions of an Optimal Control Problem
- On the equations of electrodynamics in a flat or curved spacetime and a possible interaction energy
- New prediction method for transient productivity of fractured five-spot patterns in low permeability reservoirs at high water cut stages
- The collinear equilibrium points in the restricted three body problem with triaxial primaries
- Detection of the damage threshold of fused silica components and morphologies of repaired damage sites based on the beam deflection method
- On the bivariate spectral quasi-linearization method for solving the two-dimensional Bratu problem
- Ion acoustic quasi-soliton in an electron-positron-ion plasma with superthermal electrons and positrons
- Analysis of projectile motion in view of conformable derivative
- Computing multiple ABC index and multiple GA index of some grid graphs
- Terahertz pulse imaging: A novel denoising method by combing the ant colony algorithm with the compressive sensing
- Characteristics of microscopic pore-throat structure of tight oil reservoirs in Sichuan Basin measured by rate-controlled mercury injection
- An activity window model for social interaction structure on Twitter
- Transient thermal regime trough the constitutive matrix applied to asynchronous electrical machine using the cell method
- On the zagreb polynomials of benzenoid systems
- Integrability analysis of the partial differential equation describing the classical bond-pricing model of mathematical finance
- The Greek parameters of a continuous arithmetic Asian option pricing model via Laplace Adomian decomposition method
- Quantifying the global solar radiation received in Pietermaritzburg, KwaZulu-Natal to motivate the consumption of solar technologies
- Sturm-Liouville difference equations having Bessel and hydrogen atom potential type
- Study on the response characteristics of oil wells after deep profile control in low permeability fractured reservoirs
- Depiction and analysis of a modified theta shaped double negative metamaterial for satellite application
- An attempt to geometrize electromagnetism
- Structure of traveling wave solutions for some nonlinear models via modified mathematical method
- Thermo-convective instability in a rotating ferromagnetic fluid layer with temperature modulation
- Construction of new solitary wave solutions of generalized Zakharov-Kuznetsov-Benjamin-Bona-Mahony and simplified modified form of Camassa-Holm equations
- Effect of magnetic field and heat source on Upper-convected-maxwell fluid in a porous channel
- Physical cues of biomaterials guide stem cell fate of differentiation: The effect of elasticity of cell culture biomaterials
- Shooting method analysis in wire coating withdrawing from a bath of Oldroyd 8-constant fluid with temperature dependent viscosity
- Rank correlation between centrality metrics in complex networks: an empirical study
- Special Issue: The 18th International Symposium on Electromagnetic Fields in Mechatronics, Electrical and Electronic Engineering
- Modeling of electric and heat processes in spot resistance welding of cross-wire steel bars
- Dynamic characteristics of triaxial active control magnetic bearing with asymmetric structure
- Design optimization of an axial-field eddy-current magnetic coupling based on magneto-thermal analytical model
- Thermal constitutive matrix applied to asynchronous electrical machine using the cell method
- Temperature distribution around thin electroconductive layers created on composite textile substrates
- Model of the multipolar engine with decreased cogging torque by asymmetrical distribution of the magnets
- Analysis of spatial thermal field in a magnetic bearing
- Use of the mathematical model of the ignition system to analyze the spark discharge, including the destruction of spark plug electrodes
- Assessment of short/long term electric field strength measurements for a pilot district
- Simulation study and experimental results for detection and classification of the transient capacitor inrush current using discrete wavelet transform and artificial intelligence
- Magnetic transmission gear finite element simulation with iron pole hysteresis
- Pulsed excitation terahertz tomography – multiparametric approach
- Low and high frequency model of three phase transformer by frequency response analysis measurement
- Multivariable polynomial fitting of controlled single-phase nonlinear load of input current total harmonic distortion
- Optimal design of a for middle-low-speed maglev trains
- Eddy current modeling in linear and nonlinear multifilamentary composite materials
- The visual attention saliency map for movie retrospection
- AC/DC current ratio in a current superimposition variable flux reluctance machine
- Influence of material uncertainties on the RLC parameters of wound inductors modeled using the finite element method
- Cogging force reduction in linear tubular flux switching permanent-magnet machines
- Modeling hysteresis curves of La(FeCoSi)13 compound near the transition point with the GRUCAD model
- Electro-magneto-hydrodynamic lubrication
- 3-D Electromagnetic field analysis of wireless power transfer system using K computer
- Simplified simulation technique of rotating, induction heated, calender rolls for study of temperature field control
- Design, fabrication and testing of electroadhesive interdigital electrodes
- A method to reduce partial discharges in motor windings fed by PWM inverter
- Reluctance network lumped mechanical & thermal models for the modeling and predesign of concentrated flux synchronous machine
- Special Issue Applications of Nonlinear Dynamics
- Study on dynamic characteristics of silo-stock-foundation interaction system under seismic load
- Microblog topic evolution computing based on LDA algorithm
- Modeling the creep damage effect on the creep crack growth behavior of rotor steel
- Neighborhood condition for all fractional (g, f, n′, m)-critical deleted graphs
- Chinese open information extraction based on DBMCSS in the field of national information resources
- 10.1515/phys-2018-0079
- CPW-fed circularly-polarized antenna array with high front-to-back ratio and low-profile
- Intelligent Monitoring Network Construction based on the utilization of the Internet of things (IoT) in the Metallurgical Coking Process
- Temperature detection technology of power equipment based on Fiber Bragg Grating
- Research on a rotational speed control strategy of the mandrel in a rotary steering system
- Dynamic load balancing algorithm for large data flow in distributed complex networks
- Super-structured photonic crystal fiber Bragg grating biosensor image model based on sparse matrix
- Fractal-based techniques for physiological time series: An updated approach
- Analysis of the Imaging Characteristics of the KB and KBA X-ray Microscopes at Non-coaxial Grazing Incidence
- Application of modified culture Kalman filter in bearing fault diagnosis
- Exact solutions and conservation laws for the modified equal width-Burgers equation
- On topological properties of block shift and hierarchical hypercube networks
- Elastic properties and plane acoustic velocity of cubic Sr2CaMoO6 and Sr2CaWO6 from first-principles calculations
- A note on the transmission feasibility problem in networks
- Ontology learning algorithm using weak functions
- Diagnosis of the power frequency vacuum arc shape based on 2D-PIV
- Parametric simulation analysis and reliability of escalator truss
- A new algorithm for real economy benefit evaluation based on big data analysis
- Synergy analysis of agricultural economic cycle fluctuation based on ant colony algorithm
- Multi-level encryption algorithm for user-related information across social networks
- Multi-target tracking algorithm in intelligent transportation based on wireless sensor network
- Fast recognition method of moving video images based on BP neural networks
- Compressed sensing image restoration algorithm based on improved SURF operator
- Design of load optimal control algorithm for smart grid based on demand response in different scenarios
- Face recognition method based on GA-BP neural network algorithm
- Optimal path selection algorithm for mobile beacons in sensor network under non-dense distribution
- Localization and recognition algorithm for fuzzy anomaly data in big data networks
- Urban road traffic flow control under incidental congestion as a function of accident duration
- Optimization design of reconfiguration algorithm for high voltage power distribution network based on ant colony algorithm
- Feasibility simulation of aseismic structure design for long-span bridges
- Construction of renewable energy supply chain model based on LCA
- The tribological properties study of carbon fabric/ epoxy composites reinforced by nano-TiO2 and MWNTs
- A text-Image feature mapping algorithm based on transfer learning
- Fast recognition algorithm for static traffic sign information
- Topical Issue: Clean Energy: Materials, Processes and Energy Generation
- An investigation of the melting process of RT-35 filled circular thermal energy storage system
- Numerical analysis on the dynamic response of a plate-and-frame membrane humidifier for PEMFC vehicles under various operating conditions
- Energy converting layers for thin-film flexible photovoltaic structures
- Effect of convection heat transfer on thermal energy storage unit
Articles in the same Issue
- Regular Articles
- A modified Fermi-Walker derivative for inextensible flows of binormal spherical image
- Algebraic aspects of evolution partial differential equation arising in the study of constant elasticity of variance model from financial mathematics
- Three-dimensional atom localization via probe absorption in a cascade four-level atomic system
- Determination of the energy transitions and half-lives of Rubidium nuclei
- Three phase heat and mass transfer model for unsaturated soil freezing process: Part 1 - model development
- Three phase heat and mass transfer model for unsaturated soil freezing process: Part 2 - model validation
- Mathematical model for thermal and entropy analysis of thermal solar collectors by using Maxwell nanofluids with slip conditions, thermal radiation and variable thermal conductivity
- Constructing analytic solutions on the Tricomi equation
- Feynman diagrams and rooted maps
- New type of chaos synchronization in discrete-time systems: the F-M synchronization
- Unsteady flow of fractional Oldroyd-B fluids through rotating annulus
- A note on the uniqueness of 2D elastostatic problems formulated by different types of potential functions
- On the conservation laws and solutions of a (2+1) dimensional KdV-mKdV equation of mathematical physics
- Computational methods and traveling wave solutions for the fourth-order nonlinear Ablowitz-Kaup-Newell-Segur water wave dynamical equation via two methods and its applications
- Siewert solutions of transcendental equations, generalized Lambert functions and physical applications
- Numerical solution of mixed convection flow of an MHD Jeffery fluid over an exponentially stretching sheet in the presence of thermal radiation and chemical reaction
- A new three-dimensional chaotic flow with one stable equilibrium: dynamical properties and complexity analysis
- Dynamics of a dry-rebounding drop: observations, simulations, and modeling
- Modeling the initial mechanical response and yielding behavior of gelled crude oil
- Lie symmetry analysis and conservation laws for the time fractional simplified modified Kawahara equation
- Solitary wave solutions of two KdV-type equations
- Applying industrial tomography to control and optimization flow systems
- Reconstructing time series into a complex network to assess the evolution dynamics of the correlations among energy prices
- An optimal solution for software testing case generation based on particle swarm optimization
- Optimal system, nonlinear self-adjointness and conservation laws for generalized shallow water wave equation
- Alternative methods for solving nonlinear two-point boundary value problems
- Global model simulation of OH production in pulsed-DC atmospheric pressure helium-air plasma jets
- Experimental investigation on optical vortex tweezers for microbubble trapping
- Joint measurements of optical parameters by irradiance scintillation and angle-of-arrival fluctuations
- M-polynomials and topological indices of hex-derived networks
- Generalized convergence analysis of the fractional order systems
- Porous flow characteristics of solution-gas drive in tight oil reservoirs
- Complementary wave solutions for the long-short wave resonance model via the extended trial equation method and the generalized Kudryashov method
- A Note on Koide’s Doubly Special Parametrization of Quark Masses
- On right-angled spherical Artin monoid of type Dn
- Gas flow regimes judgement in nanoporous media by digital core analysis
- 4 + n-dimensional water and waves on four and eleven-dimensional manifolds
- Stabilization and Analytic Approximate Solutions of an Optimal Control Problem
- On the equations of electrodynamics in a flat or curved spacetime and a possible interaction energy
- New prediction method for transient productivity of fractured five-spot patterns in low permeability reservoirs at high water cut stages
- The collinear equilibrium points in the restricted three body problem with triaxial primaries
- Detection of the damage threshold of fused silica components and morphologies of repaired damage sites based on the beam deflection method
- On the bivariate spectral quasi-linearization method for solving the two-dimensional Bratu problem
- Ion acoustic quasi-soliton in an electron-positron-ion plasma with superthermal electrons and positrons
- Analysis of projectile motion in view of conformable derivative
- Computing multiple ABC index and multiple GA index of some grid graphs
- Terahertz pulse imaging: A novel denoising method by combing the ant colony algorithm with the compressive sensing
- Characteristics of microscopic pore-throat structure of tight oil reservoirs in Sichuan Basin measured by rate-controlled mercury injection
- An activity window model for social interaction structure on Twitter
- Transient thermal regime trough the constitutive matrix applied to asynchronous electrical machine using the cell method
- On the zagreb polynomials of benzenoid systems
- Integrability analysis of the partial differential equation describing the classical bond-pricing model of mathematical finance
- The Greek parameters of a continuous arithmetic Asian option pricing model via Laplace Adomian decomposition method
- Quantifying the global solar radiation received in Pietermaritzburg, KwaZulu-Natal to motivate the consumption of solar technologies
- Sturm-Liouville difference equations having Bessel and hydrogen atom potential type
- Study on the response characteristics of oil wells after deep profile control in low permeability fractured reservoirs
- Depiction and analysis of a modified theta shaped double negative metamaterial for satellite application
- An attempt to geometrize electromagnetism
- Structure of traveling wave solutions for some nonlinear models via modified mathematical method
- Thermo-convective instability in a rotating ferromagnetic fluid layer with temperature modulation
- Construction of new solitary wave solutions of generalized Zakharov-Kuznetsov-Benjamin-Bona-Mahony and simplified modified form of Camassa-Holm equations
- Effect of magnetic field and heat source on Upper-convected-maxwell fluid in a porous channel
- Physical cues of biomaterials guide stem cell fate of differentiation: The effect of elasticity of cell culture biomaterials
- Shooting method analysis in wire coating withdrawing from a bath of Oldroyd 8-constant fluid with temperature dependent viscosity
- Rank correlation between centrality metrics in complex networks: an empirical study
- Special Issue: The 18th International Symposium on Electromagnetic Fields in Mechatronics, Electrical and Electronic Engineering
- Modeling of electric and heat processes in spot resistance welding of cross-wire steel bars
- Dynamic characteristics of triaxial active control magnetic bearing with asymmetric structure
- Design optimization of an axial-field eddy-current magnetic coupling based on magneto-thermal analytical model
- Thermal constitutive matrix applied to asynchronous electrical machine using the cell method
- Temperature distribution around thin electroconductive layers created on composite textile substrates
- Model of the multipolar engine with decreased cogging torque by asymmetrical distribution of the magnets
- Analysis of spatial thermal field in a magnetic bearing
- Use of the mathematical model of the ignition system to analyze the spark discharge, including the destruction of spark plug electrodes
- Assessment of short/long term electric field strength measurements for a pilot district
- Simulation study and experimental results for detection and classification of the transient capacitor inrush current using discrete wavelet transform and artificial intelligence
- Magnetic transmission gear finite element simulation with iron pole hysteresis
- Pulsed excitation terahertz tomography – multiparametric approach
- Low and high frequency model of three phase transformer by frequency response analysis measurement
- Multivariable polynomial fitting of controlled single-phase nonlinear load of input current total harmonic distortion
- Optimal design of a for middle-low-speed maglev trains
- Eddy current modeling in linear and nonlinear multifilamentary composite materials
- The visual attention saliency map for movie retrospection
- AC/DC current ratio in a current superimposition variable flux reluctance machine
- Influence of material uncertainties on the RLC parameters of wound inductors modeled using the finite element method
- Cogging force reduction in linear tubular flux switching permanent-magnet machines
- Modeling hysteresis curves of La(FeCoSi)13 compound near the transition point with the GRUCAD model
- Electro-magneto-hydrodynamic lubrication
- 3-D Electromagnetic field analysis of wireless power transfer system using K computer
- Simplified simulation technique of rotating, induction heated, calender rolls for study of temperature field control
- Design, fabrication and testing of electroadhesive interdigital electrodes
- A method to reduce partial discharges in motor windings fed by PWM inverter
- Reluctance network lumped mechanical & thermal models for the modeling and predesign of concentrated flux synchronous machine
- Special Issue Applications of Nonlinear Dynamics
- Study on dynamic characteristics of silo-stock-foundation interaction system under seismic load
- Microblog topic evolution computing based on LDA algorithm
- Modeling the creep damage effect on the creep crack growth behavior of rotor steel
- Neighborhood condition for all fractional (g, f, n′, m)-critical deleted graphs
- Chinese open information extraction based on DBMCSS in the field of national information resources
- 10.1515/phys-2018-0079
- CPW-fed circularly-polarized antenna array with high front-to-back ratio and low-profile
- Intelligent Monitoring Network Construction based on the utilization of the Internet of things (IoT) in the Metallurgical Coking Process
- Temperature detection technology of power equipment based on Fiber Bragg Grating
- Research on a rotational speed control strategy of the mandrel in a rotary steering system
- Dynamic load balancing algorithm for large data flow in distributed complex networks
- Super-structured photonic crystal fiber Bragg grating biosensor image model based on sparse matrix
- Fractal-based techniques for physiological time series: An updated approach
- Analysis of the Imaging Characteristics of the KB and KBA X-ray Microscopes at Non-coaxial Grazing Incidence
- Application of modified culture Kalman filter in bearing fault diagnosis
- Exact solutions and conservation laws for the modified equal width-Burgers equation
- On topological properties of block shift and hierarchical hypercube networks
- Elastic properties and plane acoustic velocity of cubic Sr2CaMoO6 and Sr2CaWO6 from first-principles calculations
- A note on the transmission feasibility problem in networks
- Ontology learning algorithm using weak functions
- Diagnosis of the power frequency vacuum arc shape based on 2D-PIV
- Parametric simulation analysis and reliability of escalator truss
- A new algorithm for real economy benefit evaluation based on big data analysis
- Synergy analysis of agricultural economic cycle fluctuation based on ant colony algorithm
- Multi-level encryption algorithm for user-related information across social networks
- Multi-target tracking algorithm in intelligent transportation based on wireless sensor network
- Fast recognition method of moving video images based on BP neural networks
- Compressed sensing image restoration algorithm based on improved SURF operator
- Design of load optimal control algorithm for smart grid based on demand response in different scenarios
- Face recognition method based on GA-BP neural network algorithm
- Optimal path selection algorithm for mobile beacons in sensor network under non-dense distribution
- Localization and recognition algorithm for fuzzy anomaly data in big data networks
- Urban road traffic flow control under incidental congestion as a function of accident duration
- Optimization design of reconfiguration algorithm for high voltage power distribution network based on ant colony algorithm
- Feasibility simulation of aseismic structure design for long-span bridges
- Construction of renewable energy supply chain model based on LCA
- The tribological properties study of carbon fabric/ epoxy composites reinforced by nano-TiO2 and MWNTs
- A text-Image feature mapping algorithm based on transfer learning
- Fast recognition algorithm for static traffic sign information
- Topical Issue: Clean Energy: Materials, Processes and Energy Generation
- An investigation of the melting process of RT-35 filled circular thermal energy storage system
- Numerical analysis on the dynamic response of a plate-and-frame membrane humidifier for PEMFC vehicles under various operating conditions
- Energy converting layers for thin-film flexible photovoltaic structures
- Effect of convection heat transfer on thermal energy storage unit