Abstract
The photonuclear reactions, first extensively studied in the 1970’s and performed using the gamma rays obtained via bremsstrahlung, are a standard nuclear physics experiment. In this study, a non-enriched Rubidium sample was irradiated with photons produced by a clinical linear electron accelerator (cLINACs) with energies up to 18 MeV with the aim of activating it through photonuclear reactions. The activated sample was measured with a high purity germanium detector (HPGe) with the aim of measuring the transition energies and half-lives. The spectroscopic analysis performed on the obtained data yielded high quality results for the transition energies with precision matching or surpassing the literature data. For the half-lives the results were consistent with the literature, most notably the half-life of 84mRb decay was determined as 20.28(2) m. The results for both energies and half-lives further show that the clinical linear accelerators can be successfully used as an efficient tool in experimental nuclear research endeavors.
1 Introduction
The photon-induced nuclear reactions, which are commonly referred to as photonuclear reactions [1], have great significance in the field of nuclear physics [2, 3, 4, 5]. Among other aspects, understanding the photonuclear reactions has an implication for the general performance of the reactors and their accurate understanding is an important part of any reactor core simulation. Additionally, understanding the photonuclear reactions is essential in nuclear astrophysics where the process of nucleosynthesis relies heavily on the interaction between photons and nuclei. Consequently, the knowledge of photonuclear reactions influences our understanding on the observed abundances of elements [6]. Hence, many photonuclear reaction experiments are motivated by needs of nuclear astrophysics [7, 8, 9, 10, 11, 12, 13].
Historically, the first photonuclear experiments were performed on deuterium in 1934 by Chadwick and Goldhaber [14] using 2.62 MeV gamma-rays of 208Tl [15]. Presently, the photo-nuclear reactions are performed using dedicated superconducting linacs at several facilities around the world, most notably at S-DALINAC at TU Darmstadt [16, 17] and ELBE in Forschungszentrum Dresden in Rossendorf [18]. As a more recent development, a new innovative approach to these issues has been achieved through the use of non-superconducting clinical linear accelerators (cLINACs). The idea was initially proposed by Mohr et al. [19] and further developed by Boztosun et al. [6].
As a way of gaining knowledge on binding energies, identification of nuclear levels and nuclear deformations, the photonuclear data is important for the application in radiation protection, dosimetry, calculation of the absorbed dose, designing radiation shielding and activation analysis [1, 14, 20, 21, 22]. In addition, photonuclear reactions can be used as a tool for other fields of research and application outside of nuclear physics. Some of these fields are archaeological and forensic science, material analysis, medical science, environmental science, geological science, meteoroid analysis, etc. Specific examples of these applications can be seen in food analysis [23], chlorine and halogen analysis [24], international safeguards and security [25], characterization of geological, biological and environmental materials.
First photonuclear experiments in Turkey were performed on Zn element at Akdeniz University a few years ago and then described in detail in Ref. [6] and Ref. [26]. Also, the feasibility of utilizing a cLINAC was demonstrated by accurately determining the transition energies as well as the half-life values of Zn isotopes. Since then several more experiments on photonuclear reaction were performed at Akdeniz University on; platinum isotopes [15], Nb isotopes [27], Ga isotopes [1], Pr isotopes [28], Er isotopes [29] as well as several other studies have not been published yet. This manuscript is a part of the ongoing focus of researchers at Akdeniz University and their collaborators to explore the activation of nuclei via photonuclear reaction and to study the subsequent decay and its properties. Here we focus on the study of transition energy and the half-lives of 84Rb and 86Rb isotopes obtained from 85Rb and 87Rb target nuclei and compare our results to the literature data.
The paper is organized as follows; in Section 2 we explain the experiment, linac and the detectors; the results of the experiments are given in Section 3. Finally, summary and conclusions of our results are presented in Section 4.
2 Experimental details
To be successful the photonuclear reactions necessitate a sufficiently energetic and luminous photon source to be able to activate the target nuclei well. In the experiment presented here we used, a cLINAC linac, SLI-25 manufactured by Philips Medical Systems (currently a part of Elekta TM Synergy TM) [30]. The experiment was performed in two parts. The first was the irradiation, which activated the sample, and the second was the residual activity measurement. The SLI-25 cLINAC was able to provide photon beams in the energy range from 4 MeV to 25 MeV. For this experiment 18 MeV end-point energy photon beam was used. The SLI-25 beam exit was shown in Figure 1. As can be seen in the figure, 0.3 mm thick Tungsten foil, was used to convert the electrons to photons. Subsequently, the photon beam was shaped and collimated such that a 40×40 cm2 spatially flat and uniform field of photons is created at 100 cm. This is the simplest configuration of the cLINAC head components such that they do not interfere with the sample irradiation. Typically the multi-leaf collimator (MLC) is used to create a field matching the shape and size of the tumor being irradiated. Since this was not necessary for our experiment the MLC was simply left at its maximum opening, which gave the above mentioned 40×40 cm2 field at 100 cm. The sample that was irradiated was placed at a 56 cm distance from the Tungsten foil.

Schematic view of the cLINAC setup
The target was Rubidium, which had two stable isotopes (85Rb and 87Rb), whose natural abundance and separation energies can be found in Ref. [31]. In this study, the used sample was dust weighing about 10 g placed in a small isinglass case. The irradiation time was about 60 min ensuring good activation of the sample.
After irradiation, the sample was placed into the high-purity germanium HPGe detector (p-type, coaxial, electrically cooled) used for the measurement. The detector was placed into a 100 mm thick lead shield. To protect the detector from X-rays arising in lead, the inner surface of the shield was covered by a 2 mm thick copper foil. The bias supply, an amplifier, an ADC (analog-to-digital converter) and a computer were parts of the detector system. The relative efficiency of the detector was 40% and its energy resolution was 768 eV FWHM at 122 keV (57Co) and 1.85 keV at 1332 keV (60Co)[32]. The sample was placed in front of the detector about 10 min after the irradiation and the counting of γ -ray lasted for three days. Throughout the counting, spectra were automatically recorded at regular time periods. Initially, those time intervals were short, designed to pursue the short-lived isotopes, while the later ones were longer in order to focus on longer-lived isotopes.
While the 18 MeV photons are sufficient to create several isotopes neighboring the 85Rb and 87Rb, in our analysis we observed a lesser subset due to the practical considerations of cross section and detector sensitivity. The reactions, which produced the observable isotopes for their half-lives and energy transitions study, were:
As a result of these reactions the decay of the following products was observed:
The detector spectrum was calibrated using a set of point sources and one volume source, which were provided by the Çekmece Nuclear Research and Training Center (IAEA 1364-43-2) and the Turkish Atomic Energy Authority (TAEK), respectively. The point sources contained 133Ba, 60Co, 22Na, 54Mn, 109Cd, 57Co, 137Cs and 133Ba isotopes and volume source contained different natural radioactive isotopes (40K, 226Ra and 232Th) with known activities. The sources were counted twice, at the beginning of the experiment and at the end of the experiment. This additional experimental step was performed to ascertain and control any systematic errors which may arise due to temperature, humidity, power supply inconsistency or any other source which might cause the electronics to create a channel shifts. By averaging over the centroid positions of the calibration sources we included systematic errors into the energy calibration and subsequently into the transition energy values. The averaging is taking into consideration the stability of the electronics and accounts for any possible channel shift into our quoted uncertainty values. In addition, a background count was also carried out to ensure that there were no overlaps between the sample and the background peaks.
The MAESTRO software provided by the detector manufacturer ORTEC was used for data acquisition. Peak analysis was performed with RadWare software [33], while the remaining fitting procedures, like calibrations, were performed in ROOT [34]. For the energy calibration a choice was made for a cubic fit since it gave the lowest χ2/ndf. The fit obtained, via ROOT, is shown in Figure 2. After the calibration has been determined all sample peak positions were identified with the aid of the RadWare software. The values obtained for the peak positions were combined with the calibration fit obtained in ROOT to determine the energies. At the end of the data analysis procedure, the peaks were assigned to isotopes based on their energy with the aid of the literature. The results obtained and the comparison to the literature data are shown in Table 1, 2 and 3. We also note that the experimental technique and the data evaluation method of this study are identical to those reported in the earlier publications. More details can be found in Ref. [6].

Energy calibration graph
Results of energy transitions obtained from 84mRb decay and literature values (All values are in keV)
Nucleus | This Study | Ref. [35] | Ref. [36] | Refs [37, 38] |
---|---|---|---|---|
84mRb | 215.610 ± 0.005 | 216.1 ± 0.3 | 216.3 ± 0.25 | 215.61 ± 0.10 |
84mRb | 248.020 ± 0.005 | 248.24 ± 0.20 | 248.2 ± 0.25 | 248.02 ± 0.10 |
84mRb | 463.590 ± 0.006 | 464.3 ± 0.4 | 464.5 ± 0.25 | 463.62 ± 0.10 |
Results of energy transitions obtained from 84Rb decay and literature values (All values are in keV)
Nucleus | This Study | Ref. [38] | Ref. [39] | Ref. [40] |
---|---|---|---|---|
84Rb | 881.591 ± 0.009 | 881.6041 ± 0.0016 | 881.46 ± 0.20 | 881.6 ± 0.1 |
84Rb | 1016.18 ± 0.03 | 1016.158 ± 0.011 | 1015.86 ± 0.30 | 1015.9 ± 0.3 |
84Rb | 1897.80 ± 0.04 | 1897.751 ± 0.011 | 1897.02 ± 0.30 | 1897.6 ± 0.2 |
3 Results
Six different transitions coming from two decays of 84Rb and one transition from the decay of 86Rb have been observed. Tables 1, 2 and 3 are showing the obtained values compared to the literature values. As a standard practice, we have labeled the gamma-ray observed with the parent nuclei in the beta-decay even though the observed photons come from the transition in the daughter nuclei. The association can be clearly observed from the Eq. 4 and Eq. 5. The obvious exception is the isomeric transition of 84mRb, which is just a gamma-decay and the photon association fits the elements as well. For the 84mRb decay, as shown in Table 1, the agreement with the literature is excellent, with the small difference for the 463.6 keV state. However, in all of these cases, the results we have obtained are of superior quality to the literature values. This is quite understandable for older references [35, 36] but for the most recent measurement [37] the reason of such a strong improvement in precision is likely partly due to the authors who merely state that the uncertainties for all energies below 1500 keV are ⩽ 0.1 keV and do not reporting their best result. Nevertheless, we are quite satisfied to be able to report a measurement of the quality obtained.
For the beta-decay of 84Rb the situation is somewhat more complex than for 84mRb. As can be seen from Table 2 the measurement reported in the "Nuclear Data Sheets"[38] is in agreement with our measurement, but has significantly smaller uncertainties. However, it is impossible for us to comment as to why this is so, since the quoted values were obtained via private communications and have not been published. As for other, older publications shown in Table 2, our results are once again superior mostly due to improvements in detector quality.
At the end, the results obtained for the beta-decay of 86Rb are shown in Table 3. As it can be seen, our result is both within the previous measurement and is far more precise than it. This is especially notable given that the result quoted in the Nuclear Data Sheets [38] is a weighted average of several measurements. This case illustrates the best the goal of our work of reducing the uncertainties in the measurement of transition energies from decay bringing them closer to the standard to which level energies have been measured in direct experiments.
Figure 3 shows the observed spectrum of the Rubidium sample. The spectrum is without any background subtraction. We have labeled the sample peaks that have been obtained, but left all the background, escape and sum peaks unlabeled. We note that, while the raw data for peak potions is in channels we have used the energy calibration to label the peaks. The detailed results for the energies are included in the tables above.

Gamma-ray spectrum from photonuclear reaction on rubidium target
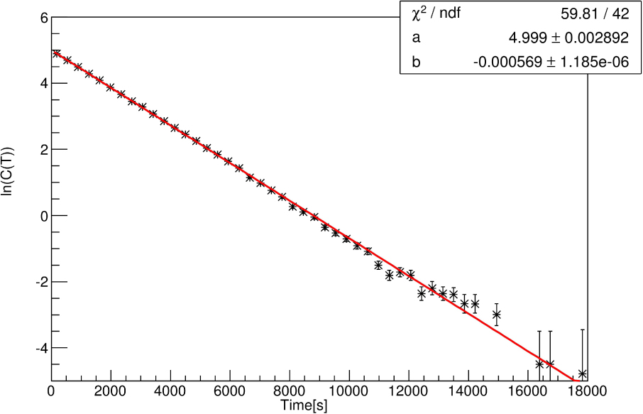
The decay curves for the stronger peaks can be used to determine the half-life of the parent, since they are in secular equilibrium. The spectra recorded needed to be divided into equal time intervals and then, for each interval, fitted and the value of counts determined. It is easy to show that change in the count number with time for measurement in equal time intervals:
will have the same functional dependence on time as the activity (A(t)=A0e−λt) [1, 6, 43]. The frequency of data taking, i.e. the length of the time interval, relies on the strength of the peak. The stronger the peak the more data points can be taken and a better fit can be obtained. This is especially evident as the difference between shorter and longer half-lives were for the shorter ones having greater activity. It allows a larger number of time intervals to be used for fitting. By taking the logarithm of the obtained count values, one can convert the time dependence into a simple linear progression and thus fit it with a linear function. Through this method, in the presented work, the half-life of 84mRb decay, shown in Figure 4, was determined as 20.28(2) m from a weighted average, 84Rb decay as 33(5) d from the 882 keV peak, and 86Rb decay has been determined as 19(6) d naturally from the 1077 keV peak. We note that results for the half-life contain statistical errors only at the level of one standard deviation. The literature values of half-lives for 84mRb, 84Rb and 86Rb stand at 20.26(4) m in Refs [37, 38], 32.82(7) d in Ref. [38] and 18.642(18) d in Refs [42, 44], respectively. As it is expected, the agreement for the shorter one, 84mRb, is very good with our result having two times smaller uncertainty. At the same time, the result for the longer ones, 84Rb and 86Rb, is in agreement with the literature but is not as precise. This is understandable given the difference between the half-lives and the observational time. Nevertheless, we included these results for completeness sake.

Fit of half-life for the 84mRb decay
4 Summary and conclusions
In the work presented here, we have studied the decay of nuclei produced by activating Rubidium isotopes with the aid of a clinical linac. The isotopes were produced by inducing photonuclear reactions with an 18 MeV end-point energy, bremsstrahlung beam. The activation was sufficient to observe the decays of 84mRb, 84Rb and 86Rb produced by neutron separation. Although the proton separation from 85Rb and 87Rb was likely to be occurred, no decay was observed, supposed that 84Kr and 86Kr were stable.
We have determined the transition energies of the several daughter nuclei in addition to the half-lives of the parent nuclei appearing in the decay. The data obtained for the transition energies show good agreement with the literature often surpassing it in terms of precision. This is not entirely surprising given that, much of the references for the transition energies are quite dated and thus this work serves to update those values to a better standard. Furthermore, in the case of 84Rb we have the peculiar case of there being no publication of the transition energy data, the quoted values in Nuclear Data Sheets coming from private communications. Given that, such cases are impossible to verify or understand how they were achieved, we feel that, although out precision in that case is somewhat lesser, the transparency of publication adds merit to our results.
Besides the transition energies the data we obtained also allowed us to determine the half-lives of the parent nuclei. The results shown offer consistency with the literature data but are limited in their precision by the observational time. The only exception is the decay of 84mRb, which was in good agreement with the literature and showed half of the uncertainty seen in the literature data.
Consequently, we have obtained results that can add knowledge to the nuclear databases in regards to Rubidium. Furthermore, we have demonstrated the usefulness of cLINAC in experimental nuclear physics and overall we have once again, [1, 6, 15, 26, 27, 28, 29] demonstrated that a clinic electron accelerator may activate nuclei well enough.
Acknowledgement
This work was supported by Dumlupınar University Scientific Research Projects Coordination Unit. Project Number 2014/51. Authors would like to special thank all of the people of Akdeniz University Nuclear Research and Application Center.
References
[1] Akkoyun S., Bayram T., Dulger F ., Dapo H., Boztosun I., Energy level and half-life determinations from photonuclear reaction on Ga target, Int. J. Mod. Phys. E., 2016, 25, 165004510.1142/S0218301316500452Search in Google Scholar
[2] Segebade C., Weise H.P., Lutz G.J., Photon activation analysis, Walter de Gruyter and Co., Berlin, 198710.1515/9783110864144Search in Google Scholar
[3] Strauch K., Recent studies of photonuclear reactions., Ann. Rev. Nucl. Sci., 1953, 2, 105-12810.1146/annurev.ns.02.120153.000541Search in Google Scholar
[4] IAEA-TECDOC-1178, Handbook on photonuclear data for applications cross-sections and spectra, IAEA Nuclear Data Section, 2000Search in Google Scholar
[5] Schumacher M., Photonuclear reactions, Inst. Phys. Conf. Ser. No.88/J. Phys. G:Nucl. Phys., 1988, 14, 235-25510.1088/0305-4616/14/S/026Search in Google Scholar
[6] Boztosun I., Dapo H., Karakoc M., Ozmen S.F., Cecen Y., Coban A., Caner T., Bayram E., Saito T.R., Akdogan T., Bozkurt V., Kucuk Y., Kaya D., Harakeh M.N., Photonuclear reactions with zinc: A case for clinical linacs, The European Physical Journal Plus, 2015, 130, 185-19510.1140/epjp/i2015-15185-2Search in Google Scholar
[7] Webb T., DeVeaux L., Harmon F., Petrisko J., Spaulding R., Photonuclear and radiation effects testing with a refurbished 20 MeV medical electron linac, Proceedings of the Particle Accelerator Conference, 2005, 2363-236510.1109/PAC.2005.1591111Search in Google Scholar
[8] Meyer B., Mathews G., Howard W., Woosley S., Hoffman R., R-process nucleosynthesis in the high-entropy supernova bubble, Astrophys. J., 1992, 399, 656-66410.1086/171957Search in Google Scholar
[9] Lambert D., Thep-nuclei: abundances and origins, Astron. Astrophys. Rev., 1992, 3, 201-25610.1007/BF00872527Search in Google Scholar
[10] Rauscher T., Heger A., Hoffman R., Woosley S., Nucleosynthesis in massive stars with improved nuclear and stellar physics, Astrophys. J., 2002, 576, 323-34810.1086/341728Search in Google Scholar
[11] Arnould M., Goriely S., The p-process of stellar nucleosynthesis: astrophysics and nuclear physics status, Phys. Rep., 2003, 384, 1-8410.1016/S0370-1573(03)00242-4Search in Google Scholar
[12] Hayakawa T., Iwamoto N., Shizuma T., Kajino T., Umeda H., Nomoto K., Evidence for nucleosynthesis in the supernova γ process: Universal scaling for p nuclei, Phys. Rev. Lett., 2004, 93, 16110210.1103/PhysRevLett.93.161102Search in Google Scholar
[13] Utsunomiya H., Mohr P., Zilges A., Rayet M., Direct determination of photodisintegration cross sections and the p-process, Nucl. Phys. A., 2006, 777, 459-47810.1016/j.nuclphysa.2004.06.025Search in Google Scholar
[14] Chadwick J., Goldhaber M., A nuclear photo-effect: Disintegration of the diplon by g-rays, Nature, 1934, 134, 237-23810.1038/134237a0Search in Google Scholar
[15] Eke C., Boztosun I., Dapo H., Segebade C., Bayram E., Determination of gamma-ray energies and half lives of platinum radio-isotopes by photon activation using a medical electron linear accelerator: a feasibility study, Journal of Radioanalytical and Nuclear Chemistry, 2016, 309, 79-8310.1007/s10967-016-4804-7Search in Google Scholar
[16] Mohr P., Enders J., Hartmann T., Kaiser H., Schiesser D., Schmitt S., Volz S., Wissel F., Zilges A., Real photon scattering up to 10MeV: the improved facility at the Darmstadt electron accelerator S-DALINAC, Nucl. Instrum. Methods Phys. Res. A, 1999, 423, 480-48810.1016/S0168-9002(98)01348-5Search in Google Scholar
[17] Sonnabend K., Savran D., Beller J., Büssing M., Constantinescu A., Elvers M., Endres J., Fritzsche M., Glorius J., Hasper J., Isaak J., Löher B., Müller S., Pietralla N., Romig C., Sauerwein A., Schnorrenberger L., Wälzlein C., Zilges A., Zweidinger M., The Darmstadt high-intensity photon setup (DHIPS) at the S-DALINAC, Nucl. Instrum. Methods Phys. Res. A, 2011, 640, 6-1210.1016/j.nima.2011.02.107Search in Google Scholar
[18] Schwengner R., Beyer R., Dönau F., Grosse E., Hartmann A., Junghans A., Mallion S., Rusev G., Schilling K., Schulze W., Wagner A., The photon-scattering facility at the superconducting electron accelerator ELBE, Nucl. Instrum. Methods Phys. Res. A, 2005, 555, 211-21910.1016/j.nima.2005.09.024Search in Google Scholar
[19] Mohr P., Brieger S., Witucki G., Maetz M., Photoactivation at a clinical LINAC: The 197Au(γ, n) 196Au reaction slightly above threshold, Nucl. Instrum. Meth. A, 2007, 580, 1201-120810.1016/j.nima.2007.07.043Search in Google Scholar
[20] Mazur V.M., Symochko D.M., Bigan Z.M., Poltorzhytska T.V., Excitation of the 119Tem, 121Tem, 123Tem, 127Tem, and 129Tem isomers in (γ, n) reactions from 10 to 22 MeV. Phys. Rev. C, 2013, 87, 04460410.1103/PhysRevC.87.044604Search in Google Scholar
[21] Green J., Zaijing S., Wells D., Maschner H., Using photon activation analysis to determine concentrations of unknown components in reference materials, AIP Conf. Proc., 2011, 1336, 497-50110.1063/1.3586149Search in Google Scholar
[22] Lee Y. O., Fukahori T., Chang J., Evaluation of photonuclear reaction data on Tantalum-181 up to 140MeV, J. Nucl. Sci. Tech., 1998, 35, 685-69110.1080/18811248.1998.9733928Search in Google Scholar
[23] Sun Z.J., Wells D.P., Segebade C., Maschner H., Benson B., A Provenance study of coffee by photon activation analysis, J. Radioanal Nucl. Chem, 2013, 296, 293-29910.1007/s10967-012-2021-6Search in Google Scholar
[24] Wagner K., Gorner W., Hedrich M., Jost P., Segebade C., Analysis of chlorine and other halogens by activation with photons and neutrons, Fresenius J. Anal. Chem., 1998, 362, 382-38610.1007/s002160051089Search in Google Scholar
[25] Johnson M.S., Hall J.M., McNabb D.P., McFarland J.L., Norman E.B., Bertozzi W., Korbly S.E., Ledoux R.J., Park W.H., Applications of photonuclear physics for international safeguards and security, Int. Conf. Nucl. Data Sci. Tech., 2010, 42, 1-410.3938/jkps.59.1414Search in Google Scholar
[26] Boztosun I., Dapo H., Ozmen F.S., et al., The results of the first photonuclear reaction performed in Turkey: The zinc example, Turkish J. Phy., 2014, 38, 1-910.3906/fiz-1305-19Search in Google Scholar
[27] Aygun M., Cesur A., Dogru M., Boztosun I., Dapo H., Kanarya M., Kuluozturk M.F., Bal S.S., Karatepe S., Using a clinical linac to determine the energy levels of 92mNb via the photonuclear reaction, Applied Radiation and Isotopes, 2016, 115, 97-9910.1016/j.apradiso.2016.06.007Search in Google Scholar
[28] Boztosun I., Dapo H., Karakoc M., Measuring decay of praseodymium isotopes activated by a clinical LINAC, Mod. Phys. Lett. A, 2016, 31, 165021210.1142/S0217732316502126Search in Google Scholar
[29] Bayram T., Akkoyun S., Uruk S., Dapo H., Dulger F., Boztosun I., Transition energy and half-life determinations of photonuclear reaction products of erbium nuclei, Int. J. Mod. Phys. E, 2016, 25, 165010710.1142/S021830131650107XSearch in Google Scholar
[30] Elekta Digital Accelerator, Technical training guide, unpublished, 2003Search in Google Scholar
[31] NuDat 2.6, 2016, http://www.nndc.bnl.gov/nudat2/Search in Google Scholar
[32] MAESTRO, 2012, http://pdf.directindustry.com/pdf/ortec/a65-b32-maestro-32-mca-emulation-software/50423-143327.htmlSearch in Google Scholar
[33] Radford D., ESCL8R and LEVIT8R: Software for interactive graphical analysis of HPGe coincidence data sets, Nucl. Instrum. Methods Phys. Res. A, 1995, 361, 297-30510.1016/0168-9002(95)00183-2Search in Google Scholar
[34] Brun R., Rademakers F., ROOT - An object oriented data analysis framework, Nucl. Instrum. Methods Phys. Res. A 1997, 389, 81-8610.1016/S0168-9002(97)00048-XSearch in Google Scholar
[35] Müller H.W., Tepel J.W., Nuclear data sheets for A = 84, Nucl. Data Sheets, 1979, 27, 339-38810.1016/S0090-3752(79)80057-5Search in Google Scholar
[36] Pathak B.P., Murty K.S.N., Mukherjee S. K., High resolution spectroscopy of 84mRb and 86mRb, Z. Physik, 1970, 233, 209-21510.1007/BF01398182Search in Google Scholar
[37] Grütter A., Decay data of 81,82m,83,84m+gRb and 83,85m,87mSr, Int. J. Appl. Radiat. Isot., 1982, 33, 456-46110.1016/0020-708X(82)90048-5Search in Google Scholar
[38] Abriola D., Nuclear data sheets for A = 84, Nucl. Data Sheets, 2009, 110, 2815-294410.1016/j.nds.2009.10.002Search in Google Scholar
[39] Cline J.E., Heath R.L., Ann. Progr. Rep., 1967, 17222Search in Google Scholar
[40] Hill J.C., Wang K.H., Decay of 84Br, Phys. Rev. C, 1972, 5, 805-81310.1103/PhysRevC.5.805Search in Google Scholar
[41] Harpster J.W., Bennett D.L., Casper K.J., Energy of the first excited state of 86Sr, Nucl. Phys., 1963, 47, 443-44810.1016/0029-5582(63)90886-1Search in Google Scholar
[42] Negret A., Singh B., Nuclear data sheets for A = 86, Nucl. Data Sheets, 2015, 124, 1-15610.1016/j.nds.2014.12.045Search in Google Scholar
[43] Reich C.W., Nuclear data sheets for A = 161, Nucl. Data Sheets, 2011, 112, 2497-271410.1016/j.nds.2011.09.001Search in Google Scholar
[44] Miyahara H., Gotoh T., Watanabe T., Half-lives and γ-ray intensities per decay of 86Rb and 103Ru, Int. J. Appl. Radiat. Isot., 1981, 32, 573-57910.1016/0020-708X(81)90036-3Search in Google Scholar
© 2018 Ahmet Biçer et al., published by De Gruyter
This work is licensed under the Creative Commons Attribution-NonCommercial-NoDerivatives 4.0 License.
Articles in the same Issue
- Regular Articles
- A modified Fermi-Walker derivative for inextensible flows of binormal spherical image
- Algebraic aspects of evolution partial differential equation arising in the study of constant elasticity of variance model from financial mathematics
- Three-dimensional atom localization via probe absorption in a cascade four-level atomic system
- Determination of the energy transitions and half-lives of Rubidium nuclei
- Three phase heat and mass transfer model for unsaturated soil freezing process: Part 1 - model development
- Three phase heat and mass transfer model for unsaturated soil freezing process: Part 2 - model validation
- Mathematical model for thermal and entropy analysis of thermal solar collectors by using Maxwell nanofluids with slip conditions, thermal radiation and variable thermal conductivity
- Constructing analytic solutions on the Tricomi equation
- Feynman diagrams and rooted maps
- New type of chaos synchronization in discrete-time systems: the F-M synchronization
- Unsteady flow of fractional Oldroyd-B fluids through rotating annulus
- A note on the uniqueness of 2D elastostatic problems formulated by different types of potential functions
- On the conservation laws and solutions of a (2+1) dimensional KdV-mKdV equation of mathematical physics
- Computational methods and traveling wave solutions for the fourth-order nonlinear Ablowitz-Kaup-Newell-Segur water wave dynamical equation via two methods and its applications
- Siewert solutions of transcendental equations, generalized Lambert functions and physical applications
- Numerical solution of mixed convection flow of an MHD Jeffery fluid over an exponentially stretching sheet in the presence of thermal radiation and chemical reaction
- A new three-dimensional chaotic flow with one stable equilibrium: dynamical properties and complexity analysis
- Dynamics of a dry-rebounding drop: observations, simulations, and modeling
- Modeling the initial mechanical response and yielding behavior of gelled crude oil
- Lie symmetry analysis and conservation laws for the time fractional simplified modified Kawahara equation
- Solitary wave solutions of two KdV-type equations
- Applying industrial tomography to control and optimization flow systems
- Reconstructing time series into a complex network to assess the evolution dynamics of the correlations among energy prices
- An optimal solution for software testing case generation based on particle swarm optimization
- Optimal system, nonlinear self-adjointness and conservation laws for generalized shallow water wave equation
- Alternative methods for solving nonlinear two-point boundary value problems
- Global model simulation of OH production in pulsed-DC atmospheric pressure helium-air plasma jets
- Experimental investigation on optical vortex tweezers for microbubble trapping
- Joint measurements of optical parameters by irradiance scintillation and angle-of-arrival fluctuations
- M-polynomials and topological indices of hex-derived networks
- Generalized convergence analysis of the fractional order systems
- Porous flow characteristics of solution-gas drive in tight oil reservoirs
- Complementary wave solutions for the long-short wave resonance model via the extended trial equation method and the generalized Kudryashov method
- A Note on Koide’s Doubly Special Parametrization of Quark Masses
- On right-angled spherical Artin monoid of type Dn
- Gas flow regimes judgement in nanoporous media by digital core analysis
- 4 + n-dimensional water and waves on four and eleven-dimensional manifolds
- Stabilization and Analytic Approximate Solutions of an Optimal Control Problem
- On the equations of electrodynamics in a flat or curved spacetime and a possible interaction energy
- New prediction method for transient productivity of fractured five-spot patterns in low permeability reservoirs at high water cut stages
- The collinear equilibrium points in the restricted three body problem with triaxial primaries
- Detection of the damage threshold of fused silica components and morphologies of repaired damage sites based on the beam deflection method
- On the bivariate spectral quasi-linearization method for solving the two-dimensional Bratu problem
- Ion acoustic quasi-soliton in an electron-positron-ion plasma with superthermal electrons and positrons
- Analysis of projectile motion in view of conformable derivative
- Computing multiple ABC index and multiple GA index of some grid graphs
- Terahertz pulse imaging: A novel denoising method by combing the ant colony algorithm with the compressive sensing
- Characteristics of microscopic pore-throat structure of tight oil reservoirs in Sichuan Basin measured by rate-controlled mercury injection
- An activity window model for social interaction structure on Twitter
- Transient thermal regime trough the constitutive matrix applied to asynchronous electrical machine using the cell method
- On the zagreb polynomials of benzenoid systems
- Integrability analysis of the partial differential equation describing the classical bond-pricing model of mathematical finance
- The Greek parameters of a continuous arithmetic Asian option pricing model via Laplace Adomian decomposition method
- Quantifying the global solar radiation received in Pietermaritzburg, KwaZulu-Natal to motivate the consumption of solar technologies
- Sturm-Liouville difference equations having Bessel and hydrogen atom potential type
- Study on the response characteristics of oil wells after deep profile control in low permeability fractured reservoirs
- Depiction and analysis of a modified theta shaped double negative metamaterial for satellite application
- An attempt to geometrize electromagnetism
- Structure of traveling wave solutions for some nonlinear models via modified mathematical method
- Thermo-convective instability in a rotating ferromagnetic fluid layer with temperature modulation
- Construction of new solitary wave solutions of generalized Zakharov-Kuznetsov-Benjamin-Bona-Mahony and simplified modified form of Camassa-Holm equations
- Effect of magnetic field and heat source on Upper-convected-maxwell fluid in a porous channel
- Physical cues of biomaterials guide stem cell fate of differentiation: The effect of elasticity of cell culture biomaterials
- Shooting method analysis in wire coating withdrawing from a bath of Oldroyd 8-constant fluid with temperature dependent viscosity
- Rank correlation between centrality metrics in complex networks: an empirical study
- Special Issue: The 18th International Symposium on Electromagnetic Fields in Mechatronics, Electrical and Electronic Engineering
- Modeling of electric and heat processes in spot resistance welding of cross-wire steel bars
- Dynamic characteristics of triaxial active control magnetic bearing with asymmetric structure
- Design optimization of an axial-field eddy-current magnetic coupling based on magneto-thermal analytical model
- Thermal constitutive matrix applied to asynchronous electrical machine using the cell method
- Temperature distribution around thin electroconductive layers created on composite textile substrates
- Model of the multipolar engine with decreased cogging torque by asymmetrical distribution of the magnets
- Analysis of spatial thermal field in a magnetic bearing
- Use of the mathematical model of the ignition system to analyze the spark discharge, including the destruction of spark plug electrodes
- Assessment of short/long term electric field strength measurements for a pilot district
- Simulation study and experimental results for detection and classification of the transient capacitor inrush current using discrete wavelet transform and artificial intelligence
- Magnetic transmission gear finite element simulation with iron pole hysteresis
- Pulsed excitation terahertz tomography – multiparametric approach
- Low and high frequency model of three phase transformer by frequency response analysis measurement
- Multivariable polynomial fitting of controlled single-phase nonlinear load of input current total harmonic distortion
- Optimal design of a for middle-low-speed maglev trains
- Eddy current modeling in linear and nonlinear multifilamentary composite materials
- The visual attention saliency map for movie retrospection
- AC/DC current ratio in a current superimposition variable flux reluctance machine
- Influence of material uncertainties on the RLC parameters of wound inductors modeled using the finite element method
- Cogging force reduction in linear tubular flux switching permanent-magnet machines
- Modeling hysteresis curves of La(FeCoSi)13 compound near the transition point with the GRUCAD model
- Electro-magneto-hydrodynamic lubrication
- 3-D Electromagnetic field analysis of wireless power transfer system using K computer
- Simplified simulation technique of rotating, induction heated, calender rolls for study of temperature field control
- Design, fabrication and testing of electroadhesive interdigital electrodes
- A method to reduce partial discharges in motor windings fed by PWM inverter
- Reluctance network lumped mechanical & thermal models for the modeling and predesign of concentrated flux synchronous machine
- Special Issue Applications of Nonlinear Dynamics
- Study on dynamic characteristics of silo-stock-foundation interaction system under seismic load
- Microblog topic evolution computing based on LDA algorithm
- Modeling the creep damage effect on the creep crack growth behavior of rotor steel
- Neighborhood condition for all fractional (g, f, n′, m)-critical deleted graphs
- Chinese open information extraction based on DBMCSS in the field of national information resources
- 10.1515/phys-2018-0079
- CPW-fed circularly-polarized antenna array with high front-to-back ratio and low-profile
- Intelligent Monitoring Network Construction based on the utilization of the Internet of things (IoT) in the Metallurgical Coking Process
- Temperature detection technology of power equipment based on Fiber Bragg Grating
- Research on a rotational speed control strategy of the mandrel in a rotary steering system
- Dynamic load balancing algorithm for large data flow in distributed complex networks
- Super-structured photonic crystal fiber Bragg grating biosensor image model based on sparse matrix
- Fractal-based techniques for physiological time series: An updated approach
- Analysis of the Imaging Characteristics of the KB and KBA X-ray Microscopes at Non-coaxial Grazing Incidence
- Application of modified culture Kalman filter in bearing fault diagnosis
- Exact solutions and conservation laws for the modified equal width-Burgers equation
- On topological properties of block shift and hierarchical hypercube networks
- Elastic properties and plane acoustic velocity of cubic Sr2CaMoO6 and Sr2CaWO6 from first-principles calculations
- A note on the transmission feasibility problem in networks
- Ontology learning algorithm using weak functions
- Diagnosis of the power frequency vacuum arc shape based on 2D-PIV
- Parametric simulation analysis and reliability of escalator truss
- A new algorithm for real economy benefit evaluation based on big data analysis
- Synergy analysis of agricultural economic cycle fluctuation based on ant colony algorithm
- Multi-level encryption algorithm for user-related information across social networks
- Multi-target tracking algorithm in intelligent transportation based on wireless sensor network
- Fast recognition method of moving video images based on BP neural networks
- Compressed sensing image restoration algorithm based on improved SURF operator
- Design of load optimal control algorithm for smart grid based on demand response in different scenarios
- Face recognition method based on GA-BP neural network algorithm
- Optimal path selection algorithm for mobile beacons in sensor network under non-dense distribution
- Localization and recognition algorithm for fuzzy anomaly data in big data networks
- Urban road traffic flow control under incidental congestion as a function of accident duration
- Optimization design of reconfiguration algorithm for high voltage power distribution network based on ant colony algorithm
- Feasibility simulation of aseismic structure design for long-span bridges
- Construction of renewable energy supply chain model based on LCA
- The tribological properties study of carbon fabric/ epoxy composites reinforced by nano-TiO2 and MWNTs
- A text-Image feature mapping algorithm based on transfer learning
- Fast recognition algorithm for static traffic sign information
- Topical Issue: Clean Energy: Materials, Processes and Energy Generation
- An investigation of the melting process of RT-35 filled circular thermal energy storage system
- Numerical analysis on the dynamic response of a plate-and-frame membrane humidifier for PEMFC vehicles under various operating conditions
- Energy converting layers for thin-film flexible photovoltaic structures
- Effect of convection heat transfer on thermal energy storage unit
Articles in the same Issue
- Regular Articles
- A modified Fermi-Walker derivative for inextensible flows of binormal spherical image
- Algebraic aspects of evolution partial differential equation arising in the study of constant elasticity of variance model from financial mathematics
- Three-dimensional atom localization via probe absorption in a cascade four-level atomic system
- Determination of the energy transitions and half-lives of Rubidium nuclei
- Three phase heat and mass transfer model for unsaturated soil freezing process: Part 1 - model development
- Three phase heat and mass transfer model for unsaturated soil freezing process: Part 2 - model validation
- Mathematical model for thermal and entropy analysis of thermal solar collectors by using Maxwell nanofluids with slip conditions, thermal radiation and variable thermal conductivity
- Constructing analytic solutions on the Tricomi equation
- Feynman diagrams and rooted maps
- New type of chaos synchronization in discrete-time systems: the F-M synchronization
- Unsteady flow of fractional Oldroyd-B fluids through rotating annulus
- A note on the uniqueness of 2D elastostatic problems formulated by different types of potential functions
- On the conservation laws and solutions of a (2+1) dimensional KdV-mKdV equation of mathematical physics
- Computational methods and traveling wave solutions for the fourth-order nonlinear Ablowitz-Kaup-Newell-Segur water wave dynamical equation via two methods and its applications
- Siewert solutions of transcendental equations, generalized Lambert functions and physical applications
- Numerical solution of mixed convection flow of an MHD Jeffery fluid over an exponentially stretching sheet in the presence of thermal radiation and chemical reaction
- A new three-dimensional chaotic flow with one stable equilibrium: dynamical properties and complexity analysis
- Dynamics of a dry-rebounding drop: observations, simulations, and modeling
- Modeling the initial mechanical response and yielding behavior of gelled crude oil
- Lie symmetry analysis and conservation laws for the time fractional simplified modified Kawahara equation
- Solitary wave solutions of two KdV-type equations
- Applying industrial tomography to control and optimization flow systems
- Reconstructing time series into a complex network to assess the evolution dynamics of the correlations among energy prices
- An optimal solution for software testing case generation based on particle swarm optimization
- Optimal system, nonlinear self-adjointness and conservation laws for generalized shallow water wave equation
- Alternative methods for solving nonlinear two-point boundary value problems
- Global model simulation of OH production in pulsed-DC atmospheric pressure helium-air plasma jets
- Experimental investigation on optical vortex tweezers for microbubble trapping
- Joint measurements of optical parameters by irradiance scintillation and angle-of-arrival fluctuations
- M-polynomials and topological indices of hex-derived networks
- Generalized convergence analysis of the fractional order systems
- Porous flow characteristics of solution-gas drive in tight oil reservoirs
- Complementary wave solutions for the long-short wave resonance model via the extended trial equation method and the generalized Kudryashov method
- A Note on Koide’s Doubly Special Parametrization of Quark Masses
- On right-angled spherical Artin monoid of type Dn
- Gas flow regimes judgement in nanoporous media by digital core analysis
- 4 + n-dimensional water and waves on four and eleven-dimensional manifolds
- Stabilization and Analytic Approximate Solutions of an Optimal Control Problem
- On the equations of electrodynamics in a flat or curved spacetime and a possible interaction energy
- New prediction method for transient productivity of fractured five-spot patterns in low permeability reservoirs at high water cut stages
- The collinear equilibrium points in the restricted three body problem with triaxial primaries
- Detection of the damage threshold of fused silica components and morphologies of repaired damage sites based on the beam deflection method
- On the bivariate spectral quasi-linearization method for solving the two-dimensional Bratu problem
- Ion acoustic quasi-soliton in an electron-positron-ion plasma with superthermal electrons and positrons
- Analysis of projectile motion in view of conformable derivative
- Computing multiple ABC index and multiple GA index of some grid graphs
- Terahertz pulse imaging: A novel denoising method by combing the ant colony algorithm with the compressive sensing
- Characteristics of microscopic pore-throat structure of tight oil reservoirs in Sichuan Basin measured by rate-controlled mercury injection
- An activity window model for social interaction structure on Twitter
- Transient thermal regime trough the constitutive matrix applied to asynchronous electrical machine using the cell method
- On the zagreb polynomials of benzenoid systems
- Integrability analysis of the partial differential equation describing the classical bond-pricing model of mathematical finance
- The Greek parameters of a continuous arithmetic Asian option pricing model via Laplace Adomian decomposition method
- Quantifying the global solar radiation received in Pietermaritzburg, KwaZulu-Natal to motivate the consumption of solar technologies
- Sturm-Liouville difference equations having Bessel and hydrogen atom potential type
- Study on the response characteristics of oil wells after deep profile control in low permeability fractured reservoirs
- Depiction and analysis of a modified theta shaped double negative metamaterial for satellite application
- An attempt to geometrize electromagnetism
- Structure of traveling wave solutions for some nonlinear models via modified mathematical method
- Thermo-convective instability in a rotating ferromagnetic fluid layer with temperature modulation
- Construction of new solitary wave solutions of generalized Zakharov-Kuznetsov-Benjamin-Bona-Mahony and simplified modified form of Camassa-Holm equations
- Effect of magnetic field and heat source on Upper-convected-maxwell fluid in a porous channel
- Physical cues of biomaterials guide stem cell fate of differentiation: The effect of elasticity of cell culture biomaterials
- Shooting method analysis in wire coating withdrawing from a bath of Oldroyd 8-constant fluid with temperature dependent viscosity
- Rank correlation between centrality metrics in complex networks: an empirical study
- Special Issue: The 18th International Symposium on Electromagnetic Fields in Mechatronics, Electrical and Electronic Engineering
- Modeling of electric and heat processes in spot resistance welding of cross-wire steel bars
- Dynamic characteristics of triaxial active control magnetic bearing with asymmetric structure
- Design optimization of an axial-field eddy-current magnetic coupling based on magneto-thermal analytical model
- Thermal constitutive matrix applied to asynchronous electrical machine using the cell method
- Temperature distribution around thin electroconductive layers created on composite textile substrates
- Model of the multipolar engine with decreased cogging torque by asymmetrical distribution of the magnets
- Analysis of spatial thermal field in a magnetic bearing
- Use of the mathematical model of the ignition system to analyze the spark discharge, including the destruction of spark plug electrodes
- Assessment of short/long term electric field strength measurements for a pilot district
- Simulation study and experimental results for detection and classification of the transient capacitor inrush current using discrete wavelet transform and artificial intelligence
- Magnetic transmission gear finite element simulation with iron pole hysteresis
- Pulsed excitation terahertz tomography – multiparametric approach
- Low and high frequency model of three phase transformer by frequency response analysis measurement
- Multivariable polynomial fitting of controlled single-phase nonlinear load of input current total harmonic distortion
- Optimal design of a for middle-low-speed maglev trains
- Eddy current modeling in linear and nonlinear multifilamentary composite materials
- The visual attention saliency map for movie retrospection
- AC/DC current ratio in a current superimposition variable flux reluctance machine
- Influence of material uncertainties on the RLC parameters of wound inductors modeled using the finite element method
- Cogging force reduction in linear tubular flux switching permanent-magnet machines
- Modeling hysteresis curves of La(FeCoSi)13 compound near the transition point with the GRUCAD model
- Electro-magneto-hydrodynamic lubrication
- 3-D Electromagnetic field analysis of wireless power transfer system using K computer
- Simplified simulation technique of rotating, induction heated, calender rolls for study of temperature field control
- Design, fabrication and testing of electroadhesive interdigital electrodes
- A method to reduce partial discharges in motor windings fed by PWM inverter
- Reluctance network lumped mechanical & thermal models for the modeling and predesign of concentrated flux synchronous machine
- Special Issue Applications of Nonlinear Dynamics
- Study on dynamic characteristics of silo-stock-foundation interaction system under seismic load
- Microblog topic evolution computing based on LDA algorithm
- Modeling the creep damage effect on the creep crack growth behavior of rotor steel
- Neighborhood condition for all fractional (g, f, n′, m)-critical deleted graphs
- Chinese open information extraction based on DBMCSS in the field of national information resources
- 10.1515/phys-2018-0079
- CPW-fed circularly-polarized antenna array with high front-to-back ratio and low-profile
- Intelligent Monitoring Network Construction based on the utilization of the Internet of things (IoT) in the Metallurgical Coking Process
- Temperature detection technology of power equipment based on Fiber Bragg Grating
- Research on a rotational speed control strategy of the mandrel in a rotary steering system
- Dynamic load balancing algorithm for large data flow in distributed complex networks
- Super-structured photonic crystal fiber Bragg grating biosensor image model based on sparse matrix
- Fractal-based techniques for physiological time series: An updated approach
- Analysis of the Imaging Characteristics of the KB and KBA X-ray Microscopes at Non-coaxial Grazing Incidence
- Application of modified culture Kalman filter in bearing fault diagnosis
- Exact solutions and conservation laws for the modified equal width-Burgers equation
- On topological properties of block shift and hierarchical hypercube networks
- Elastic properties and plane acoustic velocity of cubic Sr2CaMoO6 and Sr2CaWO6 from first-principles calculations
- A note on the transmission feasibility problem in networks
- Ontology learning algorithm using weak functions
- Diagnosis of the power frequency vacuum arc shape based on 2D-PIV
- Parametric simulation analysis and reliability of escalator truss
- A new algorithm for real economy benefit evaluation based on big data analysis
- Synergy analysis of agricultural economic cycle fluctuation based on ant colony algorithm
- Multi-level encryption algorithm for user-related information across social networks
- Multi-target tracking algorithm in intelligent transportation based on wireless sensor network
- Fast recognition method of moving video images based on BP neural networks
- Compressed sensing image restoration algorithm based on improved SURF operator
- Design of load optimal control algorithm for smart grid based on demand response in different scenarios
- Face recognition method based on GA-BP neural network algorithm
- Optimal path selection algorithm for mobile beacons in sensor network under non-dense distribution
- Localization and recognition algorithm for fuzzy anomaly data in big data networks
- Urban road traffic flow control under incidental congestion as a function of accident duration
- Optimization design of reconfiguration algorithm for high voltage power distribution network based on ant colony algorithm
- Feasibility simulation of aseismic structure design for long-span bridges
- Construction of renewable energy supply chain model based on LCA
- The tribological properties study of carbon fabric/ epoxy composites reinforced by nano-TiO2 and MWNTs
- A text-Image feature mapping algorithm based on transfer learning
- Fast recognition algorithm for static traffic sign information
- Topical Issue: Clean Energy: Materials, Processes and Energy Generation
- An investigation of the melting process of RT-35 filled circular thermal energy storage system
- Numerical analysis on the dynamic response of a plate-and-frame membrane humidifier for PEMFC vehicles under various operating conditions
- Energy converting layers for thin-film flexible photovoltaic structures
- Effect of convection heat transfer on thermal energy storage unit