Abstract
C26H36Cl2O7, orthorhombic, Pccn, a = 14.2010(8) Å, b = 24.4565(15) Å, c = 7.8551(5) Å, V = 2728.1(3) Å3, Z = 4, Rgt(F) = 0.0434, wRref(F2) = 0.1291, T = 296(2) K.
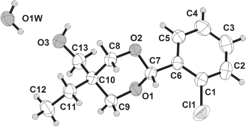
The crystal structure is shown in the figure, Tables 1–3 contain details of the measurement method and a list of the atoms including atomic coordinates and displacement parameters.
Data collection and handling.
Crystal: | Colorless, block, size 0.18×0.38×0.45 mm |
Wavelength: | Mo Kα radiation (0.71073 Å) |
μ: | 2.79 cm−1 |
Diffractometer, scan mode: | CCD area detector, φ and ω scans |
2θmax: | 54.96° |
N(hkl)measured, N(hkl)unique: | 28223, 3119 |
Criterion for Iobs, N(hkl)gt: | Iobs > 2 σ(Iobs), 2485 |
N(param)refined: | 167 |
Programs: | SHELX [13] |
Fractional atomic coordinates and isotropic or equivalent isotropic displacement parameters (Å2).
Atom | Site | x | y | z | Uiso |
---|---|---|---|---|---|
H(3) | 8e | 0.8188 | 0.7070 | 0.5508 | 0.096 |
H(7) | 8e | 1.0023 | 0.5734 | 0.9304 | 0.046 |
H(8A) | 8e | 0.8122 | 0.6338 | 0.7512 | 0.048 |
H(8B) | 8e | 0.8555 | 0.5770 | 0.8011 | 0.048 |
H(9A) | 8e | 1.0093 | 0.5470 | 0.6435 | 0.056 |
H(9B) | 8e | 1.0508 | 0.5876 | 0.5085 | 0.056 |
H(11A) | 8e | 0.8580 | 0.5356 | 0.5265 | 0.058 |
H(11B) | 8e | 0.7926 | 0.5848 | 0.4798 | 0.058 |
H(4) | 8e | 1.1115 | 0.7543 | 1.2213 | 0.072 |
H(13A) | 8e | 0.9602 | 0.6901 | 0.5880 | 0.060 |
H(13B) | 8e | 0.9650 | 0.6640 | 0.4060 | 0.060 |
H(5) | 8e | 1.0191 | 0.7135 | 1.0176 | 0.058 |
H(3A) | 8e | 1.2207 | 0.7032 | 1.3705 | 0.077 |
H(2) | 8e | 1.2420 | 0.6118 | 1.3066 | 0.070 |
H(12A) | 8e | 0.8795 | 0.6015 | 0.2360 | 0.099 |
H(12B) | 8e | 0.8468 | 0.5403 | 0.2355 | 0.099 |
H(12C) | 8e | 0.9506 | 0.5551 | 0.2849 | 0.099 |
H(1WA) | 8e | 0.718(4) | 0.764(2) | 0.303(4) | 0.067 |
H(1WB) | 8e | 0.787(3) | 0.725(2) | 0.263(4) | 0.067 |
Atomic displacement parameters (Å2).
Atom | Site | x | y | z | U11 | U22 | U33 | U12 | U13 | U23 |
---|---|---|---|---|---|---|---|---|---|---|
Cl(1) | 8e | 1.16020(4) | 0.53938(2) | 1.07988(8) | 0.0785(4) | 0.0488(3) | 0.0904(4) | 0.0157(2) | −0.0235(3) | 0.0054(2) |
O(2) | 8e | 0.92981(7) | 0.63994(5) | 0.8845(1) | 0.0356(6) | 0.0497(7) | 0.0375(6) | 0.0046(5) | −0.0002(4) | −0.0024(5) |
O(1) | 8e | 1.06598(8) | 0.61321(5) | 0.7461(1) | 0.0323(6) | 0.0658(8) | 0.0394(6) | 0.0027(5) | −0.0006(5) | −0.0064(5) |
O(3) | 8e | 0.8389(1) | 0.69035(6) | 0.4679(2) | 0.089(1) | 0.0594(8) | 0.0439(7) | 0.0269(7) | −0.0078(7) | 0.0043(6) |
C(6) | 8e | 1.0741(1) | 0.63775(6) | 1.0355(2) | 0.0395(8) | 0.0411(8) | 0.0344(8) | −0.0020(6) | −0.0003(6) | 0.0046(6) |
C(10) | 8e | 0.9174(1) | 0.60975(6) | 0.5868(2) | 0.0339(7) | 0.0391(8) | 0.0352(7) | −0.0012(6) | −0.0012(6) | 0.0028(6) |
C(1) | 8e | 1.1419(1) | 0.60841(7) | 1.1245(2) | 0.0430(9) | 0.0458(9) | 0.0457(9) | −0.0016(7) | −0.0030(7) | 0.0074(7) |
C(7) | 8e | 1.0150(1) | 0.61154(6) | 0.8996(2) | 0.0381(8) | 0.0401(8) | 0.0360(8) | 0.0022(6) | −0.0013(6) | 0.0028(6) |
C(8) | 8e | 0.8706(1) | 0.61354(7) | 0.7615(2) | 0.0329(7) | 0.0476(9) | 0.0385(8) | −0.0020(6) | 0.0001(6) | 0.0052(6) |
C(9) | 8e | 1.0154(1) | 0.58532(8) | 0.6138(2) | 0.0407(9) | 0.059(1) | 0.0396(8) | 0.0079(7) | −0.0023(7) | −0.0091(7) |
C(11) | 8e | 0.8571(1) | 0.57183(8) | 0.4761(2) | 0.0477(9) | 0.0502(9) | 0.0464(9) | −0.0052(7) | −0.0071(7) | −0.0014(8) |
C(4) | 8e | 1.1187(2) | 0.71732(8) | 1.1977(3) | 0.070(1) | 0.050(1) | 0.060(1) | −0.0101(9) | −0.001(1) | −0.0098(9) |
C(13) | 8e | 0.9273(1) | 0.66651(7) | 0.5086(2) | 0.059(1) | 0.0464(9) | 0.0435(9) | −0.0070(8) | −0.0006(8) | 0.0091(7) |
C(5) | 8e | 1.0639(1) | 0.69282(7) | 1.0751(2) | 0.056(1) | 0.0442(9) | 0.0458(9) | 0.0015(8) | −0.0028(8) | 0.0003(7) |
C(3) | 8e | 1.1846(2) | 0.68680(9) | 1.2858(3) | 0.067(1) | 0.073(1) | 0.053(1) | −0.025(1) | −0.012(1) | −0.004(1) |
C(2) | 8e | 1.1971(1) | 0.63230(9) | 1.2487(3) | 0.049(1) | 0.072(1) | 0.054(1) | −0.0077(9) | −0.0150(8) | 0.0124(9) |
C(12) | 8e | 0.8862(2) | 0.5667(1) | 0.2912(3) | 0.070(1) | 0.077(1) | 0.050(1) | −0.001(1) | −0.007(1) | −0.015(1) |
O(1W) | 4c | 0.75 | 0.75 | 0.2195(2) | 0.074(1) | 0.056(1) | 0.0385(9) | 0.0056(9) | 0 | 0 |
Source of material
2,2-Bis(hydroxymethyl) butanol (1.4759 g, 11 mmol), 2-chlorobenzaldehyde (1.4057 g, 10 mmol), cyclohexane (10 mL), N,N-dimethytformamide (2 mL) and p-toluene sulfonic acid (0.1003 g, 0.5825 mmol) were heated and stirred at 388 K for 3.5 hours, then sodium bicarbonate (0.05853 g, 0.6967 mmol) was added to dissolve the residue after the solvent was evaporated under reduced pressure. The solution was washed with water (20 ml), and dried with anhydrous sodium sulfate. The resulting solution was filtered and evaporated, and the product was recrystallized from cyclohexane to afford colorless crystals (yield 70.2%; m. p. 344 K).
Discussion
Most 1,3-dioxane compounds are important part of organic chemistry. It has special activity [1] and widely existed in many natural product such as carbohydrate, vitamin, hormone and so on [2]. The synthesis of 1,3-dioxane compounds was mainly applied from aldol reaction through hydroxy containing polyfunctional group with aldeyde (ketone) [3]. 2,2-Bis(hydroxymethyl) butanol, which has typical neoamyl group, is a common chemical product [4–7]. The neoamyl group display a good heat resistance, hydrolysis resistance, and color stability [8–10]. Therefore, in this paper, a novel compound (2-(2-chlorophenyl)-5-ethyl-1,3-dioxan-5-yl)methanol was synthesized by the reaction of 2,2-bis(hydroxymethyl) butanol with 2-chlorobenzaldehyde, and p-toluene sulfonic acid as catalyst, DMF and cyclohexanone as solvent. The crystal structures of some similar 1,3-dioxanes have been reported [11, 12].
In the crystal, adjacent molecules are connected by O—H⋯O (2.7622(19) Å) hydrogen bonds between the oxygen atoms O3 and O1W into a one-dimensional chain.
Acknowledgements:
This work was financially Supported by the Science and Technology Planning Project of Hunan Province (2015GK3037), the Scientific Research Fund of Hunan Provincial Education Department (14A058).
References
1. Polshettiwar, V.; Varma, R. S.: Greener and expeditious synthesis of bio-active heterocycles using microwave irradiation. Pure Appl. Chem. 80 (2008) 777—790.10.1351/pac200880040777Search in Google Scholar
2. Helguera, A. M.; Perez Machado, G.; Borges, F.: Discovery of MAO-B inhibitors present status and future directions. Part I: Oxygen heterocycles and analogues. Mini. Rev. Med. Chem., 10 (2012) 907—919.10.2174/138955712802762301Search in Google Scholar PubMed
3. Prantz, K.; Johann, M.: Synthetic applications of the carbonyl generating grob fragmentation. Chem. Rev. 110 (2010) 3741—3766.10.1021/cr900386hSearch in Google Scholar PubMed
4. Alemdar, N.; Erciyes, A. T.; Bicak, N.: Preparation of unsaturated polyesters using boric acid as mild catalyst and their sulfonated derivatives as new family of degradable polymer surfactants. J. Polymer. 51 (2010) 5044—5050.10.1016/j.polymer.2010.08.066Search in Google Scholar
5. Wang, G. W.; Yuan, X. Y.; Liu, Y. C.; Lei, X. G.; Guo, Q. X.: Synthesis and characterization of cleavable cationic surfactants with a 1,3-dioxane ring. J. Am. Oil Chem. Soc. 72 (1995) 83—87.10.1007/BF02635783Search in Google Scholar
6. Yuan, X. Y.; Yang, N. F.; Luo, H. A.; Liu, Y. J.: Microwave syntheses of disulfonate salt-type cleav-ablesurfactants with a 1,3-dioxane ring. Chin. J. Org. Chem. 25 (2005) 1049—1052.Search in Google Scholar
7. Wang, G. W.; Liu, Y. C.; Yuan, X. Y.; Lei, X. G.; Guo, Q. X.: Preparation, properties, and applications of vesicle-forming cleavable surfactants with a 1,3-dioxane ring. J. Colloid. Interface Sci. 173 (1995) 49—54.10.1006/jcis.1995.1295Search in Google Scholar
8. Arnott, G. E.: Reduction of carboxylic acids and their derivatives to aldehydes: reference module in chemistry from comprehensive organic synthesis II. Molecular Sciences and Chemical Engineering. 8 (2014) 410—455.10.1016/B978-0-08-097742-3.00813-2Search in Google Scholar
9. Mike, K.; Peter, R. S.: Acid-free, organocatalytic acetalization. Tetrahedron., 62 (2006) 434—439.10.1016/j.tet.2005.09.079Search in Google Scholar
10. Putla, M. B.; Avvari, N. P.; Padigapati, S. R.; Benjaram, M. R.: Synthesis of bio-additive fuels from acetalization of glycerol with benzaldehyde over molybdenum promoted green solid acid catalysts. Fuel Processing Technology. 106 (2013) 539—545.10.1016/j.fuproc.2012.09.025Search in Google Scholar
11. Jia, G. K.; Yuan, L.; Zhang, M.; Yuan, X. Y.: 2-(2-Chlorophenyl)-5-methyl-1,3-dioxane-5-carboxylic acid. Acta Crystallogr. E68 (2012) O2037.10.1107/S1600536812025019Search in Google Scholar PubMed PubMed Central
12. Zhang, M.; Jia, G. K.; Yuan, L.; Yuan, X. Y.: Crystal structure of 2-(4-chlorophenyl)-5-methyl-1, 3-dioxane-5-carboxylic acid, C12H13ClO4. J. Zeitschrift für Kristallographie-NCS. 228 (2013) 393—394.10.1524/ncrs.2013.0197Search in Google Scholar
13. Sheldrick, G. M.: A short history of SHELX. Acta Crystallogr. A64 (2008) 112–122.10.1107/S0108767307043930Search in Google Scholar PubMed
©2016 Lin Yuan et al., published by De Gruyter.
This work is licensed under the Creative Commons Attribution-NonCommercial-NoDerivatives 3.0 License.
Articles in the same Issue
- Cover and Frontmatter
- Crystal structure of fac-hexacarbonylbisμ2-(3-carboxy-3′-carboxylato-2,2′-bipyridine)-κ3N,N′:O-dirhenium(I) tetrahydrate, C30H22N4O18Re2
- The crystal structure of bis(4-(2,4-dimethylphenyl)piperazin-1-yl)methane, C25H36N4
- Crystal structure of bis(triphenylphosphine-κP)bis(μ2-1H,1′H-2,2′-biimidazole-κ3N,N′:N′)disilver(I) bis(tetrafluoroborate), C48H42Ag2B2F8N8P2
- The crystal structure of 1,2-bis(2-pyrazinecarboxamido)-benzene, C16H12N6O2
- Redetermination of the crystal structure of 3-bromobenzoic acid, C7H5BrO2
- Crystal structure of bis(ethyltriphenylphos-phonium) tetrabromidocuprate(II), (C20H20P)2[CuBr4]
- Crystal structure of 2-(4-bromophenyl)-1,3-dimethyl-2,3-dihydro-1H-perimidine, C19H17BrN2
- Crystal structure of trans-diaqua-bis(3-(pyrazin-2-yl)-5-(pyridin-4-yl)1,2,4-triazol-1-ido-κ2N,N′)-cobalt(II),C22H18CoN12O2
- Crystal structure of hexaaquamanganese(II) bis((E)-4-((4-(dimethylamino)phenyl)diazenyl)benzenesulfonate), C28H40MnN6O12S2
- Crystal structure of butyl 2-(3,5-dimethyl-1,1-dioxido-2H-1,2,6-thiadiazin-4-yl)benzoate, C16H20N2O4S
- Crystal structure of hexaaquabis(μ2-3-(6-carboxylatopyridin-2-yl)-5-(pyrazin-2-yl)-1,2,4-triazol-1-ido)bis(μ3-3-(6-carboxylatopyridin-2-yl)-5-(pyrazin-2-yl)-1,2,4-triazol-1-ido)tetra-manganese(II) dihydrate, C48H40Mn4N24O16
- Crystal structure of catena-poly[diaqua-bis(μ2-1,3-di(pyridin-4-yl)propane-κ2N:N′)cadmate(II)] bis(2-aminoisonicotinate) tetrahydrate, C38H50CdN8O10
- Crystal structure of succinic acid — 4-((pyridin-4-ylmethyl)sulfanylpyridine (1/1), C15H16N2O4S
- Crystal structure of tetrakis(μ2-acetato-κ2O:O′)bis(2-((pyridin-4-ylmethyl)sulfanyl)pyridine-κN)dicopper(II), C30H32N4O8S2Cu2
- Crystal structure of 1-((2R,3S)-2,3-dimethyl-2,3-dihydro-4H-benzo[b][1,4]oxazin-4-yl)-2-phenoxyethan-1-one, C18H19NO3
- Crystal structure of tetramethylammonium sulfanilate, C10H18N2O3S
- Crystal structure of triethylammonium 2′-carboxy-[1,1′-biphenyl]-2-carboxylate, C20H25NO4
- Crystal structure of 2-(4-acetyl-2,6-dimethylphenyl)-5,6-dichloro-1H-isoindole-1,3(2H)-dione, C18H13Cl2NO3
- Crystal structure of diaqua-bis(μ3-2-methyl-6-oxidopyridinium-4-carboxylato-κ3O:O′:O′′)neodymium(III) chloride, C14H16ClN2O8Nd
- Crystal structure of 5-methoxy-4-methyl-2-(2-methylbenzyl)-2,4-dihydro-3H-1,2,4-triazol-3-one, C12H15N3O2
- The crystal structure of 1-(4-(2-chloroethoxy)phenyl)ethanone
- Crystal structure of (E)-4-(2-(4-(diethylamino)phenyl)diazen-1-ium-1-yl)benzenesulfonate monohydrate
- Crystal structure of 2,2′-[(1E)-prop-1-ene-1,2-diyldisulfanediyl]bis(5-methyl-2,5-dihydro-1,3,4-thiadiazole, C9H10N4S4
- Crystal structure of poly [μ2-acetato-κ3-O,O′:O′)diaqua(μ3-isophthalato-κ4O,O′:O′′:O′′′)cerium(III)] monohydrate (C10H13O9Ce)
- Crystal structure of tris((2-(2,2-dicyanovinyl)phenoxy)ethyl)amine, C36H27N7O3
- Crystal structure of catena[diaqua-bis(μ2-1,3-bis((1H-tetrazol-1-yl)methyl)benzene-κ2N:N′)copper(II)] dinitrate, C20H24CuN18O8
- Crystal structure of (4-(1H-imidazol-5-yl)benzoic acid-κN) (4-(1H-imidazol-5-yl)benzoato-κN)silver(I), C20H15N4O4Ag
- Crystal structure of 2-amino-3-cyano-7,7-dimethyl-5-oxo-4-(3,4,5-trifluorophenyl)-4H-5,6,7,8-tetrahydrobenzo[b]pyran, C18H15F3N2O2
- Crystal structure of (2-(2-chlorophenyl)-5-ethyl-1,3-dioxan-5-yl)methanol hemihydrate, C13H17ClO3 · 0.5 H2O
- Crystal structure of catena-poly[diaqua-bis(benzene-1,2,4,5-tetracarboxylato-κN)(m2-2-(1H-1,2,4-trizol-1-ylmethyl)-1H-3,1-benzimidazol-3-ium-κ2O:O′)zinc(II)] dihydrate, C30H30N10O12Zn
- Crystal structure of [2,2′-((((ethane-1,2-diylbis(oxy-κ2O,O′))bis(2,1-phenylene))bis(azanylylidene-κ2N,N′))bis(methanylylidene))diphenolato-κ2O′′,O′′′]zinc(II), C28H22N2O4Zn
- Crystal structure of (E)-1-(3,4-dimethoxyphenyl)-3-(dimethylamino)prop-2-en-1-one, C13H17NO3
- Crystal structure of bis(2-fluoro-4-nitrophenyl) terephthalate C20H10F2N2O8
- Crystal structure of catena-[aqua((4-carboxyphenyl)acetato-κO)(μ2-(4-carboxyphenyl)acetato-κ2O:O′)bis(4,4′-ethene-1,2-diyldipyridine-κN)manganese(II)], C42H36N4O9Mn
- Crystal structure of N′-(2-hydroxybenzylidene)-3,4-dimethyl-1H-pyrrole-2-carbohydrazide, C14H15N3O2
- Crystal structure of bis(8-ethyl-5-oxo-2-(piperazin-4-ium-1-yl)-5,8-dihydropyrido[2,3-d]pyrimidine-6-carboxylato-κ2O,O′)copper(II) benzene-1,4-dicarboxylate dihydrate, C36H42CuN10O12
- Crystal structure of diaquabis(μ2-biphenyl-2,2′-dicarboxylato-κ2O:O′)bis(1-ethyl-6-fluoro-1,4-dihydro-4-oxo-7-(1-piperazinyl)-3-quinolinecarboxylato)zinc(II), C60H56N6Zn2O16F2
- Crystal structure of 2-amino-4-(4-fluorophenyl)-5-oxo-5,6,7,8-tetrahydro-4H-chromene-3-carbonitrile, C16H13FN2O2
- The crystal structure of hexaqua(μ2-3-(3-(pyridin-4-yl)-1,2,4-oxadiazol-5-yl)propanoato-1κ2O,O′;2κO′)(3-(3-(pyridin-4-yl)-1,2,4-oxadiazol-5-yl)propanoato-κO)(3-(3-(pyridin-4-yl)-1,2,4-oxadiazol-5-yl)propanoato-κ2O,O′)digadolinium(III) octahydrate, C60H76Gd2N18O32
- Crystal structure of hexacarbonyl bis(μ2-2-methoxybenzenethiolato-κ2S)pyridine(triphenylphosphane)dirhenium(I), C43H34NO8PS2Re2
- Crystal structure of 14-((1-(benzyloxycarbonyl-amino)-2-methylpropan-2-yl)sulfanyl)acetate Mutilin, C34H49NO6S
- Crystal structure of 2-methoxy-6-(((2-(1-methyl-1H-benzo[d] imidazol-2-yl)phenyl)imino)methyl)phenol — ethanol (1/1), C24H25N3O3
- Crystal structure of 2-(bis(methylthio)methylene)-1-phenylbutane-1,3-dione, C13H14O2S2
- Crystal structure of (E)-2-(bis(methylthio)methylene)-1-phenyl-3-(2-phenylhydrazono)butan-1-one, C19H20N2OS2
- Crystal structure of dichlorido(2-(1-methyl-1H-benzo[d]imidazol-2-yl)aniline-κ2N,N′)zinc(II)
- Crystal structure of bis(1-methyl-1H-tetrazole-5-thiolato)mercury(II)
- Crystal structure of (E)-2-styryl-1-ferrocenylsulfonyl-1H-imidazo[4,5-b]pyridine, C24H19FeN3O2S
- Crystal structure of aquabis(1-cyclopropyl-6-fluoro-4-oxo-7-(piperazin-4-ium-1-yl)-1,4-dihydroquinoline-3-carboxylato-κ2O,O′)copper(II) thiophene-2,5-dicarboxylate trihydrate, [Cu(C17H18N3FO3)2(H2O)](C6H2SO4)·3(H2O)
- Crystal structure of 2-amino-4-(2,6-dichlorophenyl)-7,7-dimethyl-5-oxo-5,6,7,8-tetrahydro-4H-chromene-3-carbonitrile, C18H16Cl2N2O2
- Crystal structure of 2,4,6,8,10,12-hexanitro-2,4,6,8,10,12-hexaazatetracyclo[5·5·0·05·9·03·11]dodecane 1/3 hydrate, C6H8N12O13
- Crystal structure of monocarbonyl(N-nitroso-N-oxido-phenylamine-κ2O,O′)(triphenylarsine-κAs)rhodium(I), C25H20AsN2O3Rh
- The crystal structure of 1-(4-(4-chlorophenoxy)-2-chlorophenyl)ethanone, C14H10Cl2O2
- Crystal structure of N,N-diethyl-2-(2-(6-(4-methoxybenzyl)-7-oxo-7H-thiazolo[3,3-b][1,2,4]triazin-3-yl)phenoxy)acetamide, C25H26N4O4S
- Crystal structure of tetraqua((E)-4,4′-(diazene-1,2-diyl)bis(5-oxo-4,5-dihydro-1,2,4-triazol-1-ide)-κ2N:O)barium(II), C4H10N8O6Ba
- Crystal structure of 2-amino-4-(3-phenoxyphenyl)-5-oxo-5,6,7,8-tetrahydro-4H-chromene-3-carbonitrile, C22H18N2O3
- Crystal structure of diethylammonium 5-((4-fluorophenyl)(6-hydroxy-1,3-dimethyl-2,4-dioxo-1,2,3,4-tetrahydropyrimidin-5-yl)methyl)-1,3-dimethyl-2,6-dioxo-1,2,3,6-tetrahydropyrimidin-4-olate, C23H30FN5O6
- Crystal structure of 2-amino-4-(3,5-difluoro-phenyl)-5-oxo-5,6,7,8-tetrahydro-4H-chromene-3-carbonitrile, C16H12F2N2O2
- Crystal structure of tris(N-nitroso-N-oxyanilino-κ2O, O′) oxidoniobium(V), C18H15N6O7Nb
- Crystal structure of 1-(5-benzoyl-4-methyl-2-(phenylamino)thiophen-3-yl)ethan-1-one, a structure with Z′ = 6, C20H17NO2S
- Crystal structure of diethyl-3-methyl-4-phenylthieno[2,3-b]thiophene-2,5-dicarboxylate, C19H18O4S2
- Crystal structure of 3,5-dicarboxybenzoate — benzene-1,3,5-tricarboxylic acid (1/1), C24H22N2O12
- The crystal structure of 2-chloro-1,3-bis(2,4,6-trimethylphenyl)-4,4-dimethyl-1,3,2λ3,4-diazaphosphasiletidine
- Crystal structure of hexaquamanganese(II) bis(hexaborato-κ3O,O′,O′′)manganese(II) dihydrate, B12H28Mn2O34
- Crystal structure of 1-propyl-3-methylimidazolium pentaborate, [C7H13N2][B5O6(OH)4]
- Crystal structure of 13-(4-fluorophenyl)-11,13-dihydro-1H-benzo[h]indazolo[6,7-b] [1, 6]naphthyridin-12(6H)-one — dimethylformamide — water (1/2/1), C29H31FN6O4
- Crystal structure of 1-(2-chlorophenyl)-2-(2-nitrophenyl)ethan-1-ol, C14H12ClNO3
- Crystal structure of (Z)-2-((2-bromo-1-phenylvinyl)oxy)benzonitrile, C15H10BrNO
- Crystal structure of tetrachlorido(1E,1′E)-N,N′-((1,4-phenylenebis(propane-2,2-diyl))bis(4,1-phenylene))bis(1-(pyridin-2-yl-κN)methanimine-κN)dizinc(II), C36H34N4Zn2Cl4
- Crystal structure of 2,6-bis(3-methylpyridinyl)hexahydro-4,8-ethenopyrrolo-[3,4-f]isoindole-1,3,5,7(2H,6H)-tetrone, C24H20N4O4
- Crystal structure of trans-bis(2-methylmaleato-κ2O,O′) bis(piperazinium-κN) cobalt(II) trihydrate, C18H36CoN4O11
- Crystal structure of (E)-4-chloro-N′-(4-(diethylamino)benzylidene)benzohydrazide, C18H20ClN3O
- Crystal structure of 3,6-di(1H-imidazol-1-yl)-9H-carbazole, C18H13N5
- Crystal structure of 4-(4-pyridinyl)-1-naphthoic acid, C16H11NO2
- Crystal structure of 1,1′-diformyl-4,4′-(6H,12H-5,11-methano-dibenzo[b,f][11,5]diazocine-2,8-diyl)dibenzene, C29H22N2O2
- Crystal structure of N′-(adamantan-2-ylidene)pyridine-3-carbohydrazide, C16H19N3O
- Crystal structure of 1,1′-(butane-1,4-diyl)bis(5-methyl-1H-pyrazole-3-carbaldehyde), C14H18N4O2
- Crystal structure of methyl 8-hydroxy-3-isopropyl-5a,8-dimethyl-2,3,4,5,5a,6,7,8,10a,10b-decahydrocyclohepta[e]indene-3a(1H)-carboxylate, C21H34O3
- Crystal structure of 6-oxo-4-propyl-2-(propylthio)-1,6-dihydropyrimidine-5-carbonitrile, C11H15N3OS
- Crystal structure of poly[diacetato(μ2-1,4-bis(1H-imidazol-1-yl)benzene-κ2N:N′)nickel(II)], C26H22N8NiO4
- Crystal structure of bis(2,4-dibromo-6-{(E)[(4-fluorobenzyl)imino]methyl}phenolato-κ2N,O) copper(II), C28H18Br4F2N2O2Cu
- Crystal structure of 1-(adamantan-1-yl)-3-phenylthiourea, C17H22N2S
- Crystal structure of 3-(6-(5-amino-1-phenyl-1H-pyrazol-3-yl)pyridin-2-yl)-1-phenyl-1H-pyrazol-5-amine – dioxan (2/1), C25H23N7O
- Crystal structure of 5-ethyl-6-[(3-methylphenyl)sulfanyl]pyrimidine-2,4(1H,3H)-dione, C13H14N2O2S
- Crystal structure of (((1E,1′E)-(cyclohexane-1,2-diylbis(azanylylidene-κ2N,N′))bis(methanylylidene))bis(2,1-phenylene))bis((2,6-diisopropylphenyl)amide-κ2N′′,N′′′)manganese(II), C44H54N4Mn
- Crystal structure of prop-2-en-1-yl 2-oxo-2H-1-benzopyran-3-carboxylate, C13H10O4
- Crystal structure of bis(μ2-2-((3-methylphenyl)imino)methylphenolato-κ2N,O:O)hexacarbonyldimanganese(I), C34H24Mn2N2O8
- Crystal structure of (Z)-1-(1,5-dimethyl-1H-pyrazol-3-yl)-3-hydroxybut-2-en-1-one C9H12N2O2
- Crystal structure of 2,2′-[pentane-1,5-diylbis(oxy)]dibenzaldehyde, C19H20O4
- Crystal structure of 2-phenyl-5,6,7,8-tetrahydro-4H-benzo[4,5]thieno[2,3-d][1,3]oxazin-4-one, C16H13NO2S
- Crystal structure of (E)-1-(2-chlorophenyl)-N-(4-chlorophenyl)methanimine, C13H9Cl2N
- Crystal structure of ethyl 2-amino-5-bromothiazole-4-carboxylate, C6H7BrN2O2S
- Crystal structure of 2-benzylisothiouronium tetraphenylborate, C32H31BN2S
- Crystal structure of poly[(μ2-biphenyl-2,2′-dicarboxylato-κ4O,O′:O′′,O′′′)(μ2-4,4′-bipyridine-κ2N:N′)copper(II)], C24H16CuN2O4
- Crystal structure of (η5-pentamethylcyclopentadienyl)titanium(III)dichloride (THF), C14H23Cl2OTi
- Crystal structure of 3-ferrocenylsulfonyl-2-(4-methoxyphenyl)-3H-imidazo[4,5-b]pyridine, C23H19FeN3O3S
- Crystal structure of 2-benzoyl-3-(4-fluorophenyl)cyclopropane-1,1-dicarbonitrile, C18H11FN2O
- Crystal structure of 1,6-ditosyl-1,6-diazecane, C22H30N2O4S2
- Crystal structure of N-phenyl-2-(pyridin-4-ylcarbonyl)hydrazinecarboxamide with Z′ = 4, C13H12N4O2
- Crystal structure of N,N-bis(diphenylphosphanyl)cyclohexylamine, C30H31NP2
- Crystal structure of 3-(4-hydroxy-3-methoxyphenyl)-N-phenylpropanamide, C16H17NO3
- Crystal structure of 6-(2-fluorophenyl)-3-phenyl-[1,2,4]-triazolo[3,4-b][1,3,4]thiadiazole, C15H9FN4S
- Crystal structure of catena-poly[aqua(dicyanoazanido-2κN-μ2-dicyanoazanido-1κN:2κN′)(μ2-2-methoxy-6-(((2-((3-methoxy-2-oxidobenzylidene)amino)ethyl)imino)methyl)phenolato-1κ2N,N′,2κ2O,O′,1κ2O′′,O′′′:2κ2O′′,O′′′)cadmium(II)copper(II)], C22H20CdCuN8O5
Articles in the same Issue
- Cover and Frontmatter
- Crystal structure of fac-hexacarbonylbisμ2-(3-carboxy-3′-carboxylato-2,2′-bipyridine)-κ3N,N′:O-dirhenium(I) tetrahydrate, C30H22N4O18Re2
- The crystal structure of bis(4-(2,4-dimethylphenyl)piperazin-1-yl)methane, C25H36N4
- Crystal structure of bis(triphenylphosphine-κP)bis(μ2-1H,1′H-2,2′-biimidazole-κ3N,N′:N′)disilver(I) bis(tetrafluoroborate), C48H42Ag2B2F8N8P2
- The crystal structure of 1,2-bis(2-pyrazinecarboxamido)-benzene, C16H12N6O2
- Redetermination of the crystal structure of 3-bromobenzoic acid, C7H5BrO2
- Crystal structure of bis(ethyltriphenylphos-phonium) tetrabromidocuprate(II), (C20H20P)2[CuBr4]
- Crystal structure of 2-(4-bromophenyl)-1,3-dimethyl-2,3-dihydro-1H-perimidine, C19H17BrN2
- Crystal structure of trans-diaqua-bis(3-(pyrazin-2-yl)-5-(pyridin-4-yl)1,2,4-triazol-1-ido-κ2N,N′)-cobalt(II),C22H18CoN12O2
- Crystal structure of hexaaquamanganese(II) bis((E)-4-((4-(dimethylamino)phenyl)diazenyl)benzenesulfonate), C28H40MnN6O12S2
- Crystal structure of butyl 2-(3,5-dimethyl-1,1-dioxido-2H-1,2,6-thiadiazin-4-yl)benzoate, C16H20N2O4S
- Crystal structure of hexaaquabis(μ2-3-(6-carboxylatopyridin-2-yl)-5-(pyrazin-2-yl)-1,2,4-triazol-1-ido)bis(μ3-3-(6-carboxylatopyridin-2-yl)-5-(pyrazin-2-yl)-1,2,4-triazol-1-ido)tetra-manganese(II) dihydrate, C48H40Mn4N24O16
- Crystal structure of catena-poly[diaqua-bis(μ2-1,3-di(pyridin-4-yl)propane-κ2N:N′)cadmate(II)] bis(2-aminoisonicotinate) tetrahydrate, C38H50CdN8O10
- Crystal structure of succinic acid — 4-((pyridin-4-ylmethyl)sulfanylpyridine (1/1), C15H16N2O4S
- Crystal structure of tetrakis(μ2-acetato-κ2O:O′)bis(2-((pyridin-4-ylmethyl)sulfanyl)pyridine-κN)dicopper(II), C30H32N4O8S2Cu2
- Crystal structure of 1-((2R,3S)-2,3-dimethyl-2,3-dihydro-4H-benzo[b][1,4]oxazin-4-yl)-2-phenoxyethan-1-one, C18H19NO3
- Crystal structure of tetramethylammonium sulfanilate, C10H18N2O3S
- Crystal structure of triethylammonium 2′-carboxy-[1,1′-biphenyl]-2-carboxylate, C20H25NO4
- Crystal structure of 2-(4-acetyl-2,6-dimethylphenyl)-5,6-dichloro-1H-isoindole-1,3(2H)-dione, C18H13Cl2NO3
- Crystal structure of diaqua-bis(μ3-2-methyl-6-oxidopyridinium-4-carboxylato-κ3O:O′:O′′)neodymium(III) chloride, C14H16ClN2O8Nd
- Crystal structure of 5-methoxy-4-methyl-2-(2-methylbenzyl)-2,4-dihydro-3H-1,2,4-triazol-3-one, C12H15N3O2
- The crystal structure of 1-(4-(2-chloroethoxy)phenyl)ethanone
- Crystal structure of (E)-4-(2-(4-(diethylamino)phenyl)diazen-1-ium-1-yl)benzenesulfonate monohydrate
- Crystal structure of 2,2′-[(1E)-prop-1-ene-1,2-diyldisulfanediyl]bis(5-methyl-2,5-dihydro-1,3,4-thiadiazole, C9H10N4S4
- Crystal structure of poly [μ2-acetato-κ3-O,O′:O′)diaqua(μ3-isophthalato-κ4O,O′:O′′:O′′′)cerium(III)] monohydrate (C10H13O9Ce)
- Crystal structure of tris((2-(2,2-dicyanovinyl)phenoxy)ethyl)amine, C36H27N7O3
- Crystal structure of catena[diaqua-bis(μ2-1,3-bis((1H-tetrazol-1-yl)methyl)benzene-κ2N:N′)copper(II)] dinitrate, C20H24CuN18O8
- Crystal structure of (4-(1H-imidazol-5-yl)benzoic acid-κN) (4-(1H-imidazol-5-yl)benzoato-κN)silver(I), C20H15N4O4Ag
- Crystal structure of 2-amino-3-cyano-7,7-dimethyl-5-oxo-4-(3,4,5-trifluorophenyl)-4H-5,6,7,8-tetrahydrobenzo[b]pyran, C18H15F3N2O2
- Crystal structure of (2-(2-chlorophenyl)-5-ethyl-1,3-dioxan-5-yl)methanol hemihydrate, C13H17ClO3 · 0.5 H2O
- Crystal structure of catena-poly[diaqua-bis(benzene-1,2,4,5-tetracarboxylato-κN)(m2-2-(1H-1,2,4-trizol-1-ylmethyl)-1H-3,1-benzimidazol-3-ium-κ2O:O′)zinc(II)] dihydrate, C30H30N10O12Zn
- Crystal structure of [2,2′-((((ethane-1,2-diylbis(oxy-κ2O,O′))bis(2,1-phenylene))bis(azanylylidene-κ2N,N′))bis(methanylylidene))diphenolato-κ2O′′,O′′′]zinc(II), C28H22N2O4Zn
- Crystal structure of (E)-1-(3,4-dimethoxyphenyl)-3-(dimethylamino)prop-2-en-1-one, C13H17NO3
- Crystal structure of bis(2-fluoro-4-nitrophenyl) terephthalate C20H10F2N2O8
- Crystal structure of catena-[aqua((4-carboxyphenyl)acetato-κO)(μ2-(4-carboxyphenyl)acetato-κ2O:O′)bis(4,4′-ethene-1,2-diyldipyridine-κN)manganese(II)], C42H36N4O9Mn
- Crystal structure of N′-(2-hydroxybenzylidene)-3,4-dimethyl-1H-pyrrole-2-carbohydrazide, C14H15N3O2
- Crystal structure of bis(8-ethyl-5-oxo-2-(piperazin-4-ium-1-yl)-5,8-dihydropyrido[2,3-d]pyrimidine-6-carboxylato-κ2O,O′)copper(II) benzene-1,4-dicarboxylate dihydrate, C36H42CuN10O12
- Crystal structure of diaquabis(μ2-biphenyl-2,2′-dicarboxylato-κ2O:O′)bis(1-ethyl-6-fluoro-1,4-dihydro-4-oxo-7-(1-piperazinyl)-3-quinolinecarboxylato)zinc(II), C60H56N6Zn2O16F2
- Crystal structure of 2-amino-4-(4-fluorophenyl)-5-oxo-5,6,7,8-tetrahydro-4H-chromene-3-carbonitrile, C16H13FN2O2
- The crystal structure of hexaqua(μ2-3-(3-(pyridin-4-yl)-1,2,4-oxadiazol-5-yl)propanoato-1κ2O,O′;2κO′)(3-(3-(pyridin-4-yl)-1,2,4-oxadiazol-5-yl)propanoato-κO)(3-(3-(pyridin-4-yl)-1,2,4-oxadiazol-5-yl)propanoato-κ2O,O′)digadolinium(III) octahydrate, C60H76Gd2N18O32
- Crystal structure of hexacarbonyl bis(μ2-2-methoxybenzenethiolato-κ2S)pyridine(triphenylphosphane)dirhenium(I), C43H34NO8PS2Re2
- Crystal structure of 14-((1-(benzyloxycarbonyl-amino)-2-methylpropan-2-yl)sulfanyl)acetate Mutilin, C34H49NO6S
- Crystal structure of 2-methoxy-6-(((2-(1-methyl-1H-benzo[d] imidazol-2-yl)phenyl)imino)methyl)phenol — ethanol (1/1), C24H25N3O3
- Crystal structure of 2-(bis(methylthio)methylene)-1-phenylbutane-1,3-dione, C13H14O2S2
- Crystal structure of (E)-2-(bis(methylthio)methylene)-1-phenyl-3-(2-phenylhydrazono)butan-1-one, C19H20N2OS2
- Crystal structure of dichlorido(2-(1-methyl-1H-benzo[d]imidazol-2-yl)aniline-κ2N,N′)zinc(II)
- Crystal structure of bis(1-methyl-1H-tetrazole-5-thiolato)mercury(II)
- Crystal structure of (E)-2-styryl-1-ferrocenylsulfonyl-1H-imidazo[4,5-b]pyridine, C24H19FeN3O2S
- Crystal structure of aquabis(1-cyclopropyl-6-fluoro-4-oxo-7-(piperazin-4-ium-1-yl)-1,4-dihydroquinoline-3-carboxylato-κ2O,O′)copper(II) thiophene-2,5-dicarboxylate trihydrate, [Cu(C17H18N3FO3)2(H2O)](C6H2SO4)·3(H2O)
- Crystal structure of 2-amino-4-(2,6-dichlorophenyl)-7,7-dimethyl-5-oxo-5,6,7,8-tetrahydro-4H-chromene-3-carbonitrile, C18H16Cl2N2O2
- Crystal structure of 2,4,6,8,10,12-hexanitro-2,4,6,8,10,12-hexaazatetracyclo[5·5·0·05·9·03·11]dodecane 1/3 hydrate, C6H8N12O13
- Crystal structure of monocarbonyl(N-nitroso-N-oxido-phenylamine-κ2O,O′)(triphenylarsine-κAs)rhodium(I), C25H20AsN2O3Rh
- The crystal structure of 1-(4-(4-chlorophenoxy)-2-chlorophenyl)ethanone, C14H10Cl2O2
- Crystal structure of N,N-diethyl-2-(2-(6-(4-methoxybenzyl)-7-oxo-7H-thiazolo[3,3-b][1,2,4]triazin-3-yl)phenoxy)acetamide, C25H26N4O4S
- Crystal structure of tetraqua((E)-4,4′-(diazene-1,2-diyl)bis(5-oxo-4,5-dihydro-1,2,4-triazol-1-ide)-κ2N:O)barium(II), C4H10N8O6Ba
- Crystal structure of 2-amino-4-(3-phenoxyphenyl)-5-oxo-5,6,7,8-tetrahydro-4H-chromene-3-carbonitrile, C22H18N2O3
- Crystal structure of diethylammonium 5-((4-fluorophenyl)(6-hydroxy-1,3-dimethyl-2,4-dioxo-1,2,3,4-tetrahydropyrimidin-5-yl)methyl)-1,3-dimethyl-2,6-dioxo-1,2,3,6-tetrahydropyrimidin-4-olate, C23H30FN5O6
- Crystal structure of 2-amino-4-(3,5-difluoro-phenyl)-5-oxo-5,6,7,8-tetrahydro-4H-chromene-3-carbonitrile, C16H12F2N2O2
- Crystal structure of tris(N-nitroso-N-oxyanilino-κ2O, O′) oxidoniobium(V), C18H15N6O7Nb
- Crystal structure of 1-(5-benzoyl-4-methyl-2-(phenylamino)thiophen-3-yl)ethan-1-one, a structure with Z′ = 6, C20H17NO2S
- Crystal structure of diethyl-3-methyl-4-phenylthieno[2,3-b]thiophene-2,5-dicarboxylate, C19H18O4S2
- Crystal structure of 3,5-dicarboxybenzoate — benzene-1,3,5-tricarboxylic acid (1/1), C24H22N2O12
- The crystal structure of 2-chloro-1,3-bis(2,4,6-trimethylphenyl)-4,4-dimethyl-1,3,2λ3,4-diazaphosphasiletidine
- Crystal structure of hexaquamanganese(II) bis(hexaborato-κ3O,O′,O′′)manganese(II) dihydrate, B12H28Mn2O34
- Crystal structure of 1-propyl-3-methylimidazolium pentaborate, [C7H13N2][B5O6(OH)4]
- Crystal structure of 13-(4-fluorophenyl)-11,13-dihydro-1H-benzo[h]indazolo[6,7-b] [1, 6]naphthyridin-12(6H)-one — dimethylformamide — water (1/2/1), C29H31FN6O4
- Crystal structure of 1-(2-chlorophenyl)-2-(2-nitrophenyl)ethan-1-ol, C14H12ClNO3
- Crystal structure of (Z)-2-((2-bromo-1-phenylvinyl)oxy)benzonitrile, C15H10BrNO
- Crystal structure of tetrachlorido(1E,1′E)-N,N′-((1,4-phenylenebis(propane-2,2-diyl))bis(4,1-phenylene))bis(1-(pyridin-2-yl-κN)methanimine-κN)dizinc(II), C36H34N4Zn2Cl4
- Crystal structure of 2,6-bis(3-methylpyridinyl)hexahydro-4,8-ethenopyrrolo-[3,4-f]isoindole-1,3,5,7(2H,6H)-tetrone, C24H20N4O4
- Crystal structure of trans-bis(2-methylmaleato-κ2O,O′) bis(piperazinium-κN) cobalt(II) trihydrate, C18H36CoN4O11
- Crystal structure of (E)-4-chloro-N′-(4-(diethylamino)benzylidene)benzohydrazide, C18H20ClN3O
- Crystal structure of 3,6-di(1H-imidazol-1-yl)-9H-carbazole, C18H13N5
- Crystal structure of 4-(4-pyridinyl)-1-naphthoic acid, C16H11NO2
- Crystal structure of 1,1′-diformyl-4,4′-(6H,12H-5,11-methano-dibenzo[b,f][11,5]diazocine-2,8-diyl)dibenzene, C29H22N2O2
- Crystal structure of N′-(adamantan-2-ylidene)pyridine-3-carbohydrazide, C16H19N3O
- Crystal structure of 1,1′-(butane-1,4-diyl)bis(5-methyl-1H-pyrazole-3-carbaldehyde), C14H18N4O2
- Crystal structure of methyl 8-hydroxy-3-isopropyl-5a,8-dimethyl-2,3,4,5,5a,6,7,8,10a,10b-decahydrocyclohepta[e]indene-3a(1H)-carboxylate, C21H34O3
- Crystal structure of 6-oxo-4-propyl-2-(propylthio)-1,6-dihydropyrimidine-5-carbonitrile, C11H15N3OS
- Crystal structure of poly[diacetato(μ2-1,4-bis(1H-imidazol-1-yl)benzene-κ2N:N′)nickel(II)], C26H22N8NiO4
- Crystal structure of bis(2,4-dibromo-6-{(E)[(4-fluorobenzyl)imino]methyl}phenolato-κ2N,O) copper(II), C28H18Br4F2N2O2Cu
- Crystal structure of 1-(adamantan-1-yl)-3-phenylthiourea, C17H22N2S
- Crystal structure of 3-(6-(5-amino-1-phenyl-1H-pyrazol-3-yl)pyridin-2-yl)-1-phenyl-1H-pyrazol-5-amine – dioxan (2/1), C25H23N7O
- Crystal structure of 5-ethyl-6-[(3-methylphenyl)sulfanyl]pyrimidine-2,4(1H,3H)-dione, C13H14N2O2S
- Crystal structure of (((1E,1′E)-(cyclohexane-1,2-diylbis(azanylylidene-κ2N,N′))bis(methanylylidene))bis(2,1-phenylene))bis((2,6-diisopropylphenyl)amide-κ2N′′,N′′′)manganese(II), C44H54N4Mn
- Crystal structure of prop-2-en-1-yl 2-oxo-2H-1-benzopyran-3-carboxylate, C13H10O4
- Crystal structure of bis(μ2-2-((3-methylphenyl)imino)methylphenolato-κ2N,O:O)hexacarbonyldimanganese(I), C34H24Mn2N2O8
- Crystal structure of (Z)-1-(1,5-dimethyl-1H-pyrazol-3-yl)-3-hydroxybut-2-en-1-one C9H12N2O2
- Crystal structure of 2,2′-[pentane-1,5-diylbis(oxy)]dibenzaldehyde, C19H20O4
- Crystal structure of 2-phenyl-5,6,7,8-tetrahydro-4H-benzo[4,5]thieno[2,3-d][1,3]oxazin-4-one, C16H13NO2S
- Crystal structure of (E)-1-(2-chlorophenyl)-N-(4-chlorophenyl)methanimine, C13H9Cl2N
- Crystal structure of ethyl 2-amino-5-bromothiazole-4-carboxylate, C6H7BrN2O2S
- Crystal structure of 2-benzylisothiouronium tetraphenylborate, C32H31BN2S
- Crystal structure of poly[(μ2-biphenyl-2,2′-dicarboxylato-κ4O,O′:O′′,O′′′)(μ2-4,4′-bipyridine-κ2N:N′)copper(II)], C24H16CuN2O4
- Crystal structure of (η5-pentamethylcyclopentadienyl)titanium(III)dichloride (THF), C14H23Cl2OTi
- Crystal structure of 3-ferrocenylsulfonyl-2-(4-methoxyphenyl)-3H-imidazo[4,5-b]pyridine, C23H19FeN3O3S
- Crystal structure of 2-benzoyl-3-(4-fluorophenyl)cyclopropane-1,1-dicarbonitrile, C18H11FN2O
- Crystal structure of 1,6-ditosyl-1,6-diazecane, C22H30N2O4S2
- Crystal structure of N-phenyl-2-(pyridin-4-ylcarbonyl)hydrazinecarboxamide with Z′ = 4, C13H12N4O2
- Crystal structure of N,N-bis(diphenylphosphanyl)cyclohexylamine, C30H31NP2
- Crystal structure of 3-(4-hydroxy-3-methoxyphenyl)-N-phenylpropanamide, C16H17NO3
- Crystal structure of 6-(2-fluorophenyl)-3-phenyl-[1,2,4]-triazolo[3,4-b][1,3,4]thiadiazole, C15H9FN4S
- Crystal structure of catena-poly[aqua(dicyanoazanido-2κN-μ2-dicyanoazanido-1κN:2κN′)(μ2-2-methoxy-6-(((2-((3-methoxy-2-oxidobenzylidene)amino)ethyl)imino)methyl)phenolato-1κ2N,N′,2κ2O,O′,1κ2O′′,O′′′:2κ2O′′,O′′′)cadmium(II)copper(II)], C22H20CdCuN8O5