Abstract
Normalized difference vegetation index (NDVI) is a conditioning factor that significantly affects slope stabilization, as the low vegetation coverage can create conducive conditions for landslide occurrence. In previous studies, NDVI was often calculated from long-term average NDVI maps or specific yearly NDVI maps. However, this approach is unsuitable due to the time-varying nature of these data, influenced by numerous factors, including human activities. To solve this problem, this study uses NDVI as a time-varying factor. NDVI maps are generated from Sentinel 2 and Landsat_8 imagery at the onset of each rainy season between 2015 and 2020 in the mountainous region of Quang Ngai Province. Moreover, the landslide events that occurred within this 5-year period (2016–2020), along with a set of conditioning factors, are utilized to develop landslide susceptibility models based on three algorithms: logistic regression, support vector machine, and extreme gradient boosting (XGBoost). The obtained results demonstrate that using time-varying NDVI shows superior performance compared to using only NDVI from 2015. The outcomes also indicate that XGBoost is the most effective model. Selecting suitable NDVI maps can improve the predictive accuracy of landslide susceptibility mapping.
1 Introduction
Landslides have long been recognized as the most dangerous natural disasters worldwide. They not only cause substantial destruction of valuable properties and infrastructure but also lead to significant casualties [1,2]. In essence, this phenomenon is complicated and is affected by natural and artificial factors. Furthermore, landslides can be influenced by various natural processes like rainfall, seismic activity, and human interventions such as deforestation and road construction [3]. Among these factors, land cover holds notable significance, as the absence of sufficient vegetation coverage can create favorable conditions for landslide occurrences. Additionally, the expansion of unstable slope areas is related to the appearance of bare soil within forested regions [4].
Numerous studies have highlighted the pivotal role of the normalized difference vegetation index (NDVI) in detecting land cover changes. This index can be extracted from satellite images like MODIS, Landsat 8, and Sentinel 2 [5,6,7,8]. In the context of landslide research, the creation of landslide susceptibility maps is a key effort for mitigating the damaging effects of this disaster [9]. These maps show the spatial distribution of potential landslide occurrences based on an assessment of spatial correlations between past landslide events and an array of geo-environmental factors [10]. The study of Reichenbach et al. [4] indicated that 596 unique variables were used for landside susceptibility assessment and NDVI is a factor among them.
Recently, NDVI has been widely used in landslide susceptibility assessment due to its ease of collection through remote-sensing techniques [4]. However, there were some problems when using NDVI data in previous studies. The study of Hua et al. [11] used the NDVI map sourced from Landsat 4-5 TM and Landsat 8 captured in 2002, 2007, and 2017 as influencing factors. The resulting landslide susceptibility maps in 2002, 2007, and 2017 consider the dynamic change of landslides. The landslide inventories up to 2007 and from 2007 to 2017 were used for developing models. However, the authors only used three NDVI maps in 3 years while landslide inventories were collected over a long period. Niraj et al. [12] indicated that the model using NDVI has better performance than the model without NDVI in landslide susceptibility mapping. However, they just used a singular NDVI map from a specific year, neglecting the temporal association of NDVI and inventory data. Furthermore, some studies have used NDVI maps that do not have time-collection information [13,14,15], or the time of collection is not related to the landslides [16,17,18]. Therefore, NDVI does not accurately reflect its effect on landslide susceptibility in these studies. In fact, as NDVI is a time-varying factor depending on deforestation and human activities [5], it can provide a suitable approach to solve this problem.
In the context of landslide spatial prediction, the selection of appropriate input data, such as time-variant NDVI, is crucial, but the type of model used also significantly impacts the prediction outcomes. Reichenbach et al. [4] revealed that a total of 163 model types were utilized to assess landslide susceptibility across 565 peer-reviewed articles published between 1983 and 2016. In particular, machine learning (ML) models have become a trend in recent studies. Both Reichenbach et al. [4] and Pourghasemi et al. [19] have highlighted the prevalence of logistic regression (LR) and support vector machine (SVM) in numerous ML models. Among these, the LR model emerged as the most commonly used model due to its ease of implementation and interpretation [20]. However, the classification with only LR works best when the input data are clearly separable. According to SVM, this is a binary classification method that has more flexibility than the LR model because it can perform non-linear classification with kernel functions. The SVM model is appropriate for small databases and is powerful when working with small variations in the samples [20]. Extreme gradient boosting (XGBoost) has recently gained much popularity and attention. XGBoost is an ensemble method, so it often achieves higher accuracy than other single models. Moreover, it is also highly effective in reducing the processing time. Therefore, it has been the most dominating method applied in landslide susceptibility [21,22,23].
To evaluate the effect of the NDVI factor on the landslide susceptibility model, this study used two cases of NDVI maps: (i) a time-variant NDVI map from 2016 to 2020 that was derived by Sentinel 2 satellite images, and (ii) prior NDVI map in 2015 that was created by Landsat 8 satellite image. These NDVI maps along with landslide inventory data that were collected for 2016–2020 and other influence factors were used to create the input database of landslide susceptibility models. Three methods, including LR, SVM, and XGBoost, were used for predicting landslide susceptibility. Thus, a total of six cases were trained and validated. The performance of these models was evaluated by statistical indexes, the receiver operating characteristic (ROC) curve, and the area under the ROC curve (AUC). A comparison process was carried out to find the most appropriate model for the mountainous regions of Quang Ngai Province, Vietnam. Moreover, the NDVI data that correspond to the best model will be recommended for use in the landside susceptibility assessment.
2 Study area
The study area covers about 32.327 km2 in five mountainous districts of Quang Ngai province, central Vietnam with coordinates (14°32′–15°25′N, 108°06′–109°04′E) (Figure 1). The topography of this area is hilly with 80% slopes having slope angles of 10–50°. According to land use/land cover, forest land occupies the largest part (upper 65%), followed by bush, agriculture, and residential areas. For climate characteristics, this area lies in the tropical monsoon region with two main seasons, namely the dry season (January to September) and the rainy season (October to December). Annual rainfall ranges from 2,255 to 3,723 mm, mainly in October and November. More than 70% of the region’s annual rainfall is accounted for tropical storms and tropical monsoons accompanied by heavy rainfall with intensity ranging from 500 to 1,000 mm. Additionally, this area is also impacted by deforestation, which leads to changes in the land cover. All these factors create a great susceptibility to landslides in this region.

The study area of Quang Ngai mountainous region (Vietnam).
3 Materials and methods
The methodology of this study (Figure 2) includes the following main steps: (1) Data preparation for landslide susceptibility assessment, including NDVI map and landslide inventory map and other conditioning factor maps; (2) evaluating the effect of NDVI on landslide occurrences by the frequency ratio (FR) method; (3) developing landslide susceptibility model based on LR, SVM, and XGBoost methods, a total of six training models were created, as shown in Table 1; and (4) validating and comparison of these models.

The flowchart of the study.
Case studies
| Name of the model | NDVI map | Method |
|---|---|---|
| Model 1 | Time-variant NDVI | LR |
| Model 2 | Prior event NDVI | LR |
| Model 3 | Time-variant NDVI | SVM |
| Model 4 | Prior event NDVI | SVM |
| Model 5 | Time-variant NDVI | XGBoost |
| Model 6 | Prior event NDVI | XGBoost |
3.1 Landslide inventory mapping
Landslide inventory map has been developed by 854 landslide sites identified using Google Earth images along with Sentinel 2 satellite images in the period of 2016–2020 (Table 2). These data have then been classified into two groups: (i) training dataset (70% landslide inventory) and (ii) validation dataset (30% remaining landslide inventory).
Number of landslides from 2016 to 2020
| Year | 2016 | 2017 | 2018 | 2019 | 2020 | Total |
|---|---|---|---|---|---|---|
| Number of landslides | 150 | 270 | 78 | 2 | 354 | 854 |
3.2 Landslide conditioning factors
3.2.1 Satellite image pre-processing for NDVI maps
This study uses Sentinel 2 images and Landsat 8 images to derive NDVI maps before each rainy season for 2015–2020 (Table 3). Landsat 8 was developed via a cooperation program between NASA and the US. This satellite, launched on February 11, 2013, provides seasonal coverage of the global landmass with a resolution of 30 m for visible, NIR, and SWIR bands; 100 m for the thermal band; and 15 m for the panchromatic band (landsat.gsfc.nasa.gov). Sentinel 2 program includes two satellites: Sentinal_2A (launched in June 2015) and Sentinel_2B (launched in March 2017). They are developed to provide a high revisit frequency of 5 days. The Sentinel-2 satellite can create 13 spectral bands: four bands at 10 m (blue, green, red, and NIR), six bands at 20 m, and three bands at a 60 m spatial resolution (sentinel.esa.int).
Time and percentage of cloud cover of NDVI images
| Year of the image | Season | Satellite type | % Cloud cover |
|---|---|---|---|
| 2015 | Autumn | Landsat 8 | <5 |
| 2016 | Summer | Sentinel 2 | <5 |
| 2017 | Summer | Sentinel 2 | <5 |
| 2018 | Autumn | Sentinel 2 | <5 |
| 2019 | Autumn | Sentinel 2 | <5 |
| 2020 | Summer | Sentinel 2 | <5 |
The NDVI maps were generated by the red band and NIR band using the following expression:
where NIR is the infrared band and Red is the red band of the electromagnetic spectrum.
Generally, NDVI values range from −1 to 1; the higher the NDVI value, the denser the vegetation cover. Each NDVI map is then classified into five classes: (1) water (<0.02), (2) built-up and barren land (0.02–0.18), (3) shrub and grassland (0.18–0.27), (4) sparse vegetation (0.27–0.36), and (5) dense vegetation (>0.36) (8) (Figure 3).

NDVI maps in 2015 (derived by Landsat 8 image) and from 2016 to 2020 (derived by Sentinel 2 images).
3.2.2 Other conditional factors
In addition to NDVI factors, other conditioning factors were selected for the input dataset, namely slope, aspect, elevation, distance to stream, soil type, land use, and rainfall.
Slope is a geomorphological factor and it can be seen as the most influential factor in landslide susceptibility [4]. In this study, the slope is evaluated numerically from a digital elevation model (DEM) with a 30 m resolution. This DEM has been built from the topography map of this area available on a scale of 1/50,000. Slope has been then classified into seven classes (Figure 5a).
The aspect reflects the direction in which the slope faces. This factor has a relationship with landslide occurrences because of solar radiation and rainfall affecting the face of the slope [24]. The aspect map was extracted by DEM, and it was created with eight classes (Figure 5c).
Elevation is the height of the terrain surface that affects landslide occurrences [24]. This factor was developed from DEM and was classified into eight classes (Figure 5e).
The distance to the stream affects the slope stability because the water flow is more near the stream [25]. Stream networks have been created from ALOS PALSAR DEM with 12.5 m resolution using GIS tools. The distance to the stream map can be extracted by buffering the stream network and is classified into six classes (Figure 5g).
Soil type is a geological factor that is strongly related to landslide occurrences. The mechanical movement of soils on the slope has a strong relationship with the chemical, mineralogical, and engineering properties of soil materials [26]. The soil map was collected from local authorities and classified into different classes (Figure 5i) [27].
Land use is also affecting landslide occurrences because the tree roots play an important role in maintaining the stability of soils and rocks [4]. This map was collected from local authorities with five classes (Figure 5k).
Rainfall is a triggering factor that strongly affects landslide occurrences because it causes instability in rock or soil mass [28]. The annual rainfall map that has been created from 44 years of rainfall data (1976–2020) is used in this study. The rainfall map has been generated using the IDW interpolation method and classified into eight classes based on the natural break classification method (Figure 5m).
3.3 Analysis and selection data
3.3.1 FR method
FR is a statistical index that gives information about the relationship between landslide inventories and influence factors. The FR value is shown in the following [29]:
where C
ij
is the jth class attribute of the landslide influencing factors C
i
(i = 1, 2, …, n), N(L) is the total number of landslide pixels in the study area, N(C) is the total number of pixels in the study area,
3.3.2 Variance inflation factor (VIF)
VIF is one of the important values that were used to detect the multicollinearity of the influence factors [30,31]. It can evaluate the near-linear relationship among factors to conclude whether a factor has a problem. Many studies have indicated that VIF > 10 implies a high correlation of factors. It is estimated as follows:
where R is the multicorrelation coefficient among factors and other influencing factors.
3.3.3 Boruta method
Boruta is a wrapper method, which utilizes a random forest classification algorithm. This method has been implemented in the R package “Boruta” [32]. The Boruta algorithm includes the following steps: (i) adding the copies of all variables to extend the information system and blending the added attributes to remove their correlations with the response; (ii) the random forest classifier is developed to calculate the Z score values on the extended information system and find the maximum Z score among shadow attributes (MZSA); and (iii) the influence factors having the Z score value better than MZSA were selected as the important factors in landslide spatial prediction model [33].
3.4 Landslide prediction model
3.4.1 LR
LR is the most popular algorithm applied in landslide susceptibility [4]. By using the sigmoid function, the LR model creates the out value to the interval [0,1]. Equation (4) demonstrates the relationship between the probability of a landslide susceptibility and independent variables:
where z = w 0 + w 1 x 1 + w 2 x 2 + … + w n x n ; x 1, x 2, …, x n shows predictor variables of landslide influence factors; n is the number of conditioning factors; w 0 is the intercept condition; w 1, w 2, …, w n are the coefficients which measure the contribution of predictor variables to z [34]; and f(z) is the probability of landslide susceptibility, within the range of [0, 1].
3.4.2 SVM
Based on the supervised learning algorithm, SVM was first proposed by Vapnik in 1995. This method is very popular in classification and many studies have indicated that SVM has been efficient for landslide susceptibility assessment [4,20].
Assume that we have a training dataset (X
i
, y
i
), where X
i
are the input values of the landslide conditioning factors and y
i
are the output values, y
where b is the offset from the origin of the hyper-plane, l is the number of landslide conditioning factors, α i are positive real constants, and K(X i , X j ) is the kernel function that is illustrated in Table 4. Many studies have indicated that the radial basis function (RBF) shows the best performance for landslide susceptibility [20,35,36,37,38]. Therefore, in this study, this function is used when applying the SVM method for the landslide susceptibility model.
Kernel functions and their parameters
| Kernel | Formula | Kernel parameters |
|---|---|---|
| Linear | K(X i , X j ) = X i T X j | |
| Polynomial function (PL) | K(X i , X j ) = (γX i T X j + r)d | d, γ, r |
| Sigmoid kernel function | K(X i , X j ) = tanh(γX i T X j + r) | γ, r |
| RBF | K(X i , X j ) = exp(−γ||X i − X j ||2) | γ |
3.4.3 XGBoost
XGBoost is a machine-learning method developed for tree boosting [39]. It creates many classification and regression trees (CART) and integrates them using the gradient boosting algorithm. XGBoost has three important contributions, which are regularized objective function for better generalization, gradient tree boosting for additive training, and shrinkage and column subsampling for preventing overfitting. The goal of the XGBoost algorithm is to minimize the following regularized objective function [39]:
where
Applying the gradient boosting to equation (6), the objective function is given as in equation (7):
In order to improve the optimization speed, the second-order approximation is applied for equation (7):
where
3.5 Evaluation methods
This study uses some statistical indexed methods and the ROC method for landslide susceptibility evaluation [40].
3.5.1 Statistical indexed method
Four statistical indexes were selected for evaluating the models, including accuracy, sensitivity, and specificity (Table 5). TP is the value that indicates the number of pixels that have been predicted correctly as landslide; FP is the value that indicates the number of pixels that have been predicted incorrectly as landslide; TN is the value that illustrates the number of pixels that have been predicted correctly as non-landslide; FN is the value that indicates the number of pixels that have been predicted incorrectly as non-landslide. P obs is the proportion of several pixels that have been classified correctly as landslide or non-landslide pixels, and P exp means the expected agreements.
Some of the statistical indexes for landslide susceptibility assessment [40]
| Statistical indexes | Equation | Definition |
|---|---|---|
| Accuracy (ACC) |
|
The proportion of landslide and non-landslide pixels that the resulting models are correctly classified |
| Sensitivity (SST) |
|
The proportion of landslide pixels that are classified correctly as “landslide” |
| Specificity (SPF) |
|
The proportion of non-landslide pixels that are classified correctly as “no landslide” |
| Kappa (k) |
|
The reliability of the landslide models |
3.5.2 ROC method
The ROC curve is usually used to assess the quality of landslide susceptibility models [4,19]. It represents the value of sensitivity on the y-axis, and (1-specificity) value on the x-axis. The AUC can be used as an index to evaluate the overall performance of a model. The larger the area, the better the performance of the model [4]. The AUC value can be divided into many intervals with the model quality, respectively, including 0.6–0.7 (poor), 0.7–0.8 (fair), 0.8–0.9 (good), and 0.9–1.0 (very good) [41].
4 Results and discussion
4.1 Analysis and selection data
4.1.1 Conditioning factor analysis
In this study, the FR method was used to assess the influence of the NDVI index on landslide inventories in two cases (Figure 4). In case 1, the FR value increases with the increase of NDVI value and reaches a peak in the shrub and grassland class (NDVI = 0.18–0.27); then the FR index moderately decreases and is the lowest in the class with NDVI > 0.36. On the contrary, Case 2 shows the increase of FR value as the NDVI index increases, and the sparse vegetation class (NDVI > 0.36) is found to have the highest FR. Obviously, the use of time-variant NDVI maps in Case 1 is more reasonable than in Case 2 which uses the prior NDVI map.

Analysis of frequency of landslides on the NDVI maps in two cases: Case 1 using prior NDVI and Case 2 with time-variant NDVI.
In addition, this study also evaluates other conditioning factors by the FR method to illustrate the relationship of specific factors to landslide inventories. Figure 5 shows the landslide influence factors and the graphs of FR. In the slope factor, the highest FR value is in a class ranging from 30 to 40°. According to the FR results on the aspect map, landslides are more frequent in southern classes, with the highest FR value recognized at the south-facing slope. For the elevation factor, landslides are more frequent at elevations ranging from 400 to 800 m as the FR values of these classes (1.48–1.54) are higher than others. Regarding the distance to stream factor, there is not a significant difference in the FR values in the classes, so it can be observed that this factor has a low positive influence on landslide occurrence. Similar to the distance to stream factor, the soil type does not show more effect on landside occurrences. According to the land use factor graph, the highest value of FR is found in the class of bust, whereas the lowest value of FR appears in the forest class. Rainfall also shows a significant effect on landslide inventories when landslides are more frequent in areas of high rainfall.


Conditioning factors: (a) slope, (c) aspect, (e) elevation, (g) distance to stream, (i) soil type, (k) land use, and (m) rainfall. Frequency distribution in (b) slope, (d) aspect, (f) elevation, (h) distance to stream, (j) soil type, (l) land use, and (n) rainfall.
4.1.2 Multicollinearity analysis
This study utilizes VIF values to evaluate the multicollinearity of the landslide conditioning factors. The VIF values in Table 6 indicate that all factors have VIF values <4. Therefore, each factor shows low linear dependence with other factors. As a result, eight landslide conditioning factors are all recommended for use in the landslide susceptibility assessment.
Multicollinearity analysis for the landslide conditioning factors
| Conditioning factors | Collinearity statistics | |
|---|---|---|
| VIF (case 1) | VIF (case 2) | |
| Slope | 1.220 | 1.254 |
| Aspect | 1.012 | 1.005 |
| Elevation | 1.856 | 1.851 |
| Distance to stream | 1.223 | 1.226 |
| Soil type | 1.043 | 1.055 |
| Land use | 1.138 | 1.143 |
| Rainfall | 1.114 | 1.114 |
| NDVI | 1.211 | 1.268 |
4.1.3 Feature selection
In this study, the Boruta method has been used to evaluate the importance of landslide conditioning factors. The higher the importance index, the more important the factor. Figures 6 and 7 show the results of the Boruta assessment in two cases. According to the importance index in both cases, the slope factor was found to have the highest importance index, whereas the lowest importance was found for the soil type factor. Regarding the NDVI factor, the case using time-variant NDVI is in second position with an importance value greater than 50, whereas the prior NDVI was the fourth important factor in Case 2 (the importance value only around 20). Based on these results, the time-variant NDVI factor is more important than the prior NDVI value when compared with the remaining factors. More importantly, the results indicated that no attributes were deemed unimportant, and all landslide conditioning factors were selected for landslide susceptibility models.

The importance of conditioning factors using the Boruta method for Case 1.

The importance of conditioning factors using the Boruta method for Case 2.
With the approach of using time-variant NDVI, this study has shown a better influence of the NDVI factor on landslide than previous studies that used the specific year of NDVI for assessment. Specifically, the second position of time-variant NDVI out of eight influence factors (2/8) was recognized in this study, whereas the important positions of NDVI in the list of conditioning factors of the studies (13, 14, 17, 18) are 10/11, 14/20, 12/14, 6/15, respectively.
4.2 Evaluation and comparison of landslide susceptibility models
In this study, 70% of inventory data are used for training model based on three methods, LR, SVM, and XGBoost. The parameters of each model are shown in Table 7–9.
Parameter estimates of Models 1 and with the LR method
| Parameter | Estimate | |
|---|---|---|
| Model 1 | Model 2 | |
| Intercept | 2.687 | 1.704 |
| Slope | 7.600 | 6.658 |
| Aspect | 0.018 | 0.044 |
| Elevation | 0.455 | 0.341 |
| Soil type | −0.135 | −0.230 |
| Land cover | −0.107 | −0.174 |
| Distance to stream | −1.624 | −1.539 |
| Rainfall | −0.306 | −0.375 |
| NDVI | −5.405 | −3.385 |
Parameter estimates of Models 3 and 4 with the SVM method
| Parameter | Estimate | |
|---|---|---|
| Model 3 | Model 4 | |
| Gamma | 0.125 | 0.125 |
| Cost | 1 | 1 |
| Number of support vectors | 941 | 963 |
Parameter estimates of Models 5 and 6 with the XGBoost method
| Parameter | Nrounds | eta | max_depth | gamma | Colsample_by tree | min_child_weight | subsample |
|---|---|---|---|---|---|---|---|
| Estimate | 1000 | 0.025 | 6 | 0 | 1 | 0.5 | 0.8 |
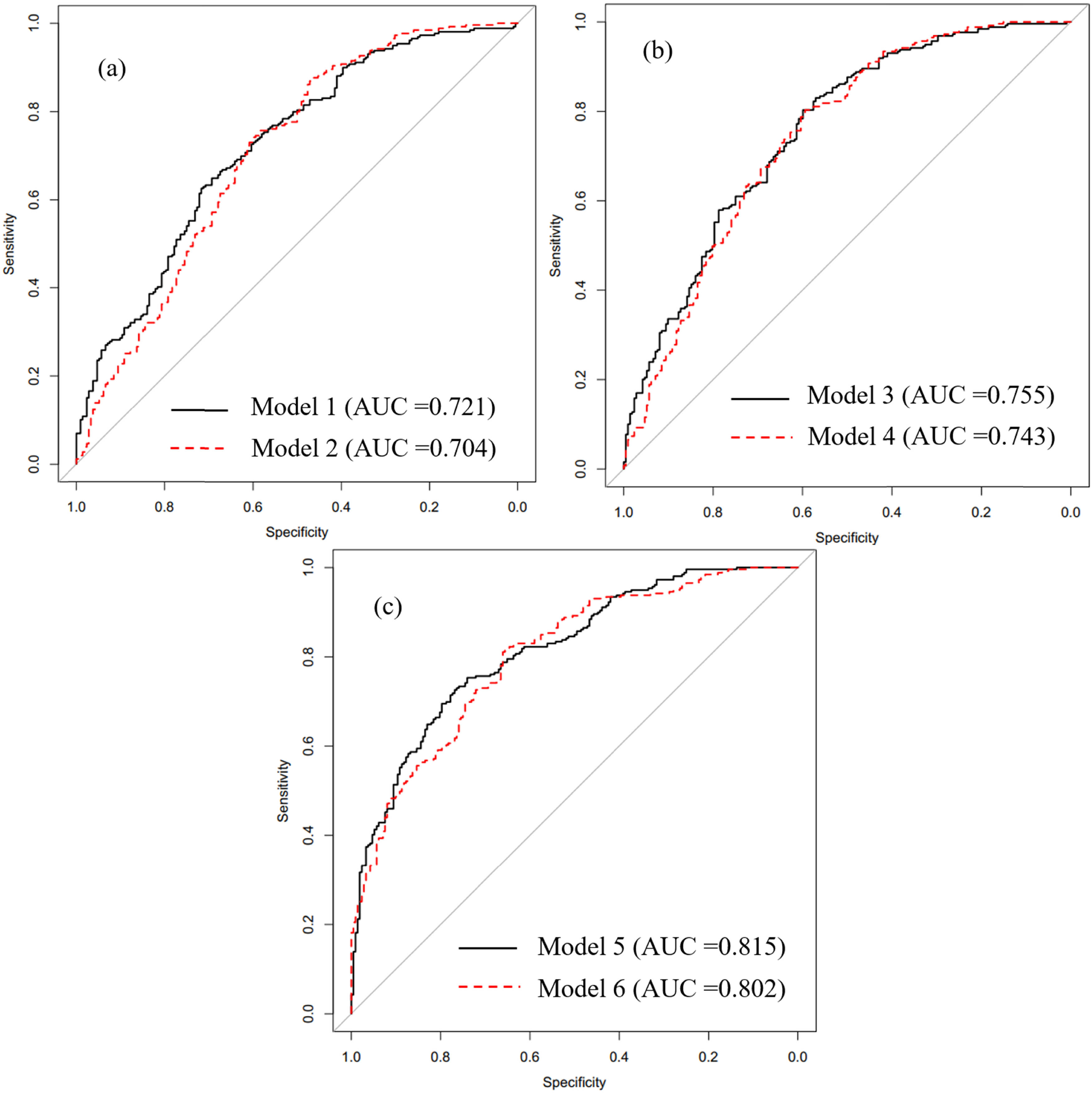
In this study, 30% of landslide inventories were used for model validation. The result of statistical indexes and AUC values that were utilized for evaluating the predictive capability of six models are shown in Table 10 and Figure 8. Overall, the outcomes from ACC, k, SPF, and AUC indicate that the models that used time-variant NDVI maps have slightly higher values than the cases utilizing prior NDVI maps. On the other hand, the models using prior NDVI maps were found to have higher SST values than others.
Results of landslide susceptibility evaluation
| Statistical index | Model 1 | Model 2 | Model 3 | Model 4 | Model 5 | Model 6 |
|---|---|---|---|---|---|---|
| Accuracy (ACC) | 0.6675 | 0.6667 | 0.7091 | 0.7028 | 0.7389 | 0.7381 |
| Kappa (k) | 0.3253 | 0.3246 | 0.4035 | 0.3885 | 0.4736 | 0.4718 |
| Sensitivity (SST) | 0.6950 | 0.7104 | 0.8031 | 0.8108 | 0.7529 | 0.8069 |
| Specificity (SPF) | 0.6274 | 0.6132 | 0.5943 | 0.5708 | 0.7217 | 0.6604 |
| Area under the ROC curve (AUC) | 0.721 | 0.704 | 0.755 | 0.743 | 0.815 | 0.802 |

Analysis of ROC curves of the models: (a) LR-time-variant NDVI-based and LR-prior NDVI-based; (b) SVM-time-variant NDVI-based and SVM-prior NDVI-based; and (c) XGBoost-time variant NDVI-based and XGBoost-prior NDVI-based.
Specifically, the results in Table 10 show that model 5 has the highest ACC, k, and AUC values (0.7389, 0.4736, and 0.815, respectively), followed by model 6, model 3, model 4, model 1, and model 2. For the SPF index, model 4 has the highest value (0.8108), followed by model 6, model 3, model 5, model 2, and model 1. However, model 4 is also the case that has the lowest value of SST (0.5708). As mentioned above, the SST value indicates how good the prediction of landslide models is for classifying landslide pixels, whereas SPF is used for evaluating the non-landslide pixels. The AUC is a value that is used for measuring the discrimination of the prediction model through SST and SPF values. Additionally, the AUC value illustrates how good the predictive capability of the model is. In this study, model 5 was found to have higher values of AUC than model 4. This is because the difference between the SST and SPF values of model 5 is smaller than that of model 4.
The results of Figure 8 show the ROC curves of LR, SVM, and XGBoost in each case of the NDVI map. For the LR method, the AUC value of model 1 that used time-variant NDVI (AUC = 0.721) was found to be higher than model 2 that used prior NDVI (AUC = 0.704) in Figure 8a. Similarly, the SVM and XGBoost methods have better results of AUC values when time-variant NDVI was used (Figure 8b and c). It can be concluded that all three methods have better predictive performance when time-variant NDVI maps are used.
Regarding the LR, SVM, and XGBoost methods that used time-variant NDVI map (model 1, model 2, and model 5, respectively) in Figure 9, the highest AUC value was achieved by the XGBoost model (AUC = 0.815), followed by the SVM (AUC = 0.755), and LR (AUC = 0.721). These results show that both the SVM and LR models exhibit fair quality for landside spatial prediction because the AUC values range from 0.7 to 0.8. Compared with the SVM and LR models, XGBoost shows good performance as the AUC value is greater than 0.8 [41]. In addition, the XGBoost model also outperforms the LR, and SVM models as the values of ACC, k, and SPF of the XGBoost model are greater than those of LR and SVM models. Regarding the LR model, it utilizes a simple algorithm and just suitable for linear discriminant data so its performance is less than that of the SVM and XGBoost models. The SVM model with kernel functions can be used for non-linear data as it has shown better predictive capability than the LR model. However, the SVM model is an individual classifier that is known to exhibit poorer performance than ensemble classifier models such as XGBoost. The XGBoost model which has three important aspects, such as regularized objective function, gradient tree boosting, and shrinkage and column subsampling, is one of the new ensemble methods. These techniques make XGBoost better in generalization and training steps and prevent overfitting as well. Therefore, the XGBoost model has the highest predictive capability for spatial prediction of landslides in the mountainous regions of Quang Ngai province, Vietnam. This is similar to the result of previous studies [21,23] when concluding that the XGBoost model outperformed other models in landslide susceptibility assessment.

Analysis of ROC curves of LR, SVM, and XGBoost models that are based on time-variant NDVI.
5 Conclusion
NDVI is one of the most important factors in landslide susceptibility predictions. Landslides often occur in the area with a lack of vegetation cover. However, various studies have not indicated the significant effect of NDVI on landslide susceptibility [13,14,17,18]. The limitation of these studies is the use of the long-term average of NDVI maps or a specific year of the NDVI map due to the limitations of detailed inventory data. In the areas where the vegetation cover is changed frequently by deforestation such as the mountainous regions of Quang Ngai province, this study uses NDVI as time-variant data. By applying remote sensing technology, this study has been collecting time-varying values of NDVI from 2016 to 2020 and landslide inventories corresponding to each year. The analysis result by the FR method indicates that cases using time-variant NDVI are better than the cases with prior NDVI. Specifically, the highest FR value was found in the shrub and grassland class areas in the case using time-variant NDVI, whereas landslides were more frequent in forest areas in the case using prior NDVI. Additionally, the feature selection results using the Boruta method show the great influence of time-varying NDVI on landslides. The prediction results also illustrate that the model with time-variant NDVI has better performance than the case using prior NDVI, and the best model corresponds to the XGBoost. In general, the time-variant NDVI and XGBoost models are encouraged for spatial prediction of landslides in mountainous regions of Quang Ngai province, Vietnam. This study also recommends increasing the investment in detailed inventory data collection to improve the time-series data as well as prediction efficiency.
-
Funding information: This work was supported by the University of Danang, University of Science and Technology (code number: T2022-02-26).
-
Conflict of interest: Authors state no conflict of interest.
References
[1] Zhang Y, Miao C, Zhu J, Gao T, Sun Y, Zhang J, et al. The impact of landslides on chemical and microbial properties of soil in a temperate secondary forest ecosystem. J For Res. 2022;33(6):1913–23. 10.1007/s11676-022-01466-5.Search in Google Scholar
[2] Haque U, Da Silva PF, Devoli G, Pilz J, Zhao B, Khaloua A, et al. The human cost of global warming: Deadly landslides and their triggers (1995–2014). Sci Total Environ. 2019;682:673–84. 10.1016/j.scitotenv.2019.03.415.Search in Google Scholar PubMed
[3] Highland L. Landslide types and processes. 2004. 10.3133/fs20043072.Search in Google Scholar
[4] Reichenbach P, Rossi M, Malamud BD, Mihir M, Guzzetti F. A review of statistically-based landslide susceptibility models. Earth-Sci Rev. 2018;180:60–91. 10.1016/j.earscirev.2018.03.001.Search in Google Scholar
[5] Dahigamuwa T, Yu Q, Gunaratne M. Feasibility study of land cover classification based on normalized difference vegetation index for landslide risk assessment. Geosciences. 2016;6(4):45. 10.3390/geosciences6040045.Search in Google Scholar
[6] Viet LD, Chi CN, Tien CN, Quoc DN. The effect of the normalized difference vegetation index to landslide susceptibility using optical imagery sentinel 2 and landsat 8. In: 4th Asia Pacific Meeting on Near Surface Geoscience & Engineering. European Association of Geoscientists & Engineers; 2021. p. 1–5. 10.3997/2214-4609.202177051.Search in Google Scholar
[7] Lunetta RS, Knight JF, Ediriwickrema J, Lyon JG, Worthy LD. Land-cover change detection using multi-temporal MODIS NDVI data. In: Geospatial Information Handbook for Water Resources and Watershed Management. Vol. II. Boca Raton: CRC Press; 2022. p. 65–88. 10.1201/9781003175025-5.Search in Google Scholar
[8] Akbar TA, Hassan QK, Ishaq S, Batool M, Butt HJ, Jabbar H. Investigative spatial distribution and modelling of existing and future urban land changes and its impact on urbanization and economy. Remote Sens. 2019;11(2):105. 10.3390/rs11020105.Search in Google Scholar
[9] Pham BT, Tien Bui D, Pham HV. Spatial prediction of rainfall induced landslides using Bayesian Network at Luc Yen District, Yen Bai Province (Viet Nam). In: International conference on environmental issues in mining and natural resources development (EMNR 2016). Viet Nam: Hanoi University of Mining and Geology (HUMG); 2016. p. 1–10.Search in Google Scholar
[10] Brabb EE. Innovative approaches to landslide hazard and risk mapping. 1984. 10.1016/0148-9062(87)91363-5.Search in Google Scholar
[11] Hua Y, Wang X, Li Y, Xu P, Xia W. Dynamic development of landslide susceptibility based on slope unit and deep neural networks. Landslides. 2021;18:281–302. 10.1007/s10346-020-01444-0.Search in Google Scholar
[12] Niraj KC, Singh A, Shukla DP. Effect of the normalized difference vegetation index (NDVI) on GIS-enabled bivariate and multivariate statistical models for landslide susceptibility mapping. J Indian Soc Remote Sens. 2023;51:1739–56. 10.1007/s12524-023-01738-5.Search in Google Scholar
[13] Pradhan B, Seeni MI, Kalantar B. Performance evaluation and sensitivity analysis of expert-based, statistical, machine learning, and hybrid models for producing landslide susceptibility maps. In: Laser Scanning Applications in Landslide Assessment. Springer; 2017. p. 193–232. 10.1007/978-3-319-55342-9_11.Search in Google Scholar
[14] Mandal K, Saha S, Mandal S. Applying deep learning and benchmark machine learning algorithms for landslide susceptibility modelling in Rorachu river basin of Sikkim Himalaya, India. Geosci Front. 2021;12(5):101203. 10.1016/j.gsf.2021.101203.Search in Google Scholar
[15] Fang Z, Wang Y, Peng L, Hong H. A comparative study of heterogeneous ensemble-learning techniques for landslide susceptibility mapping. Int J Geogr Inf Sci. 2021;35(2):321–47. 10.1080/13658816.2020.1808897.Search in Google Scholar
[16] Chen W, Chen X, Peng J, Panahi M, Lee S. Landslide susceptibility modeling based on ANFIS with teaching-learning-based optimization and Satin bowerbird optimizer. Geosci Front. 2021;12(1):93–107. 10.1016/j.gsf.2020.07.012.Search in Google Scholar
[17] Hong H, Liu J, Zhu A-X, Shahabi H, Pham BT, Chen W, et al. A novel hybrid integration model using support vector machines and random subspace for weather-triggered landslide susceptibility assessment in the Wuning area (China). Environ Earth Sci. 2017;76(19):652. 10.1007/s12665-017-6981-2.Search in Google Scholar
[18] Chen W, Hong H, Panahi M, Shahabi H, Wang Y, Shirzadi A, et al. Spatial prediction of landslide susceptibility using GIS-based data mining techniques of ANFIS with whale optimization algorithm (WOA) and grey wolf optimizer (GWO). Appl Sci. 2019;9(18):3755. 10.3390/app9183755.Search in Google Scholar
[19] Pourghasemi HR, Yansari ZT, Panagos P, Pradhan B. Analysis and evaluation of landslide susceptibility: a review on articles published during 2005–2016 (periods of 2005–2012 and 2013–2016). Arab J Geosci. 2018;11(9):193. 10.1007/s12517-018-3531-5.Search in Google Scholar
[20] Huang Y, Zhao L. Review on landslide susceptibility mapping using support vector machines. Catena. 2018;165:520–9. 10.1016/j.catena.2018.03.003.Search in Google Scholar
[21] Sahin EK. Assessing the predictive capability of ensemble tree methods for landslide susceptibility mapping using XGBoost, gradient boosting machine, and random forest. SN Appl Sci. 2020;2(7):1308. 10.1007/s42452-020-3060-1.Search in Google Scholar
[22] Can R, Kocaman S, Gokceoglu C. A comprehensive assessment of XGBoost algorithm for landslide susceptibility mapping in the upper basin of Ataturk dam, Turkey. Appl Sci. 2021;11(11):4993. 10.3390/app11114993.Search in Google Scholar
[23] Rabby YW, Hossain MB, Abedin J. Landslide susceptibility mapping in three Upazilas of Rangamati hill district Bangladesh: application and comparison of GIS-based machine learning methods. Geocarto Int. 2022;37(12):3371–96. 10.1080/10106049.2020.1864026.Search in Google Scholar
[24] Varnes DJ. Landslide hazard zonation: a review of principles and practice. Commission on landslides of the IAEG. Nat Hazards. 1984;3:61.Search in Google Scholar
[25] Pham BT, Khosravi K, Prakash I. Application and comparison of decision tree-based machine learning methods in landside susceptibility assessment at Pauri Garhwal Area, Uttarakhand, India. Environ Process. 2017;4(3):711–30. 10.1007/s40710-017-0248-5.Search in Google Scholar
[26] Varnes DJ. Slope movement types and processes. Spec Rep. 1978;176:11–33.Search in Google Scholar
[27] Phuoc VND, Binh NQ, Hung PD, Long DV, Cong NC. Studies on the causes of landslides for mountainous regions in central region of Vietnam. Univ Danang, J Sci Technol. 2019;17:29–32. 10.31130/jst-ud2019-170e.Search in Google Scholar
[28] Bui DT, Ho T-C, Pradhan B, Pham B-T, Nhu V-H, Revhaug I. GIS-based modeling of rainfall-induced landslides using data mining-based functional trees classifier with AdaBoost, Bagging, and MultiBoost ensemble frameworks. Environ Earth Sci. 2016;75(14):1101. 10.1007/s12665-016-5919-4.Search in Google Scholar
[29] Bui DT, Pradhan B, Lofman O, Revhaug I, Dick OB. Landslide Susceptibility Assessment at Hoa Binh Province of Vietnam Using Frequency Ratio Model. Adv Biomed Eng. 2012;6:476–84.Search in Google Scholar
[30] Pradhan B, Sameen MI. Landslide susceptibility modeling: optimization and factor effect analysis. Laser Scanning Appl Landslide Assess. 2017;115–32. 10.1007/978-3-319-55342-9_6.Search in Google Scholar
[31] Al-Najjar HAH, Kalantar B, Pradhan B, Saeidi V. Conditioning factor determination for mapping and prediction of landslide susceptibility using machine learning algorithms. In: Earth Resources and Environmental Remote Sensing/GIS Applications X. International Society for Optics and Photonics; 2019. p. 111560K. 10.1117/12.2532687.Search in Google Scholar
[32] Kursa MB, Rudnicki WR. Feature selection with the Boruta package. J Stat Softw. 2010;36:1–13. 10.18637/jss.v036.i11.Search in Google Scholar
[33] Prasad P, Loveson VJ, Das B, Kotha M. Novel ensemble machine learning models in flood susceptibility mapping. Geocarto Int. 2022;37(16):4571–93. 10.1080/10106049.2021.1892209.Search in Google Scholar
[34] Ayalew L, Yamagishi H. The application of GIS-based logistic regression for landslide susceptibility mapping in the Kakuda-Yahiko Mountains, Central Japan. Geomorphology. 2005;65(1–2):15–31. 10.1016/j.geomorph.2004.06.010.Search in Google Scholar
[35] Bui DT, Tuan TA, Klempe H, Pradhan B, Revhaug I. Spatial prediction models for shallow landslide hazards: a comparative assessment of the efficacy of support vector machines, artificial neural networks, kernel logistic regression, and logistic model tree. Landslides. 2016;13(2):361–78. 10.1007/s10346-015-0557-6.Search in Google Scholar
[36] Tien Bui D, Shahabi H, Shirzadi A, Chapi K, Alizadeh M, Chen W, et al. Landslide detection and susceptibility mapping by airsar data using support vector machine and index of entropy models in cameron highlands, Malaysia. Remote Sens. 2018;10(10):1527. 10.3390/rs10101527.Search in Google Scholar
[37] Pham BT, Prakash I, Khosravi K, Chapi K, Trinh PT, Ngo TQ, et al. A comparison of Support Vector Machines and Bayesian algorithms for landslide susceptibility modelling. Geocarto Int. 2019;34(13):1385–407. 10.1080/10106049.2018.1489422.Search in Google Scholar
[38] Kalantar B, Pradhan B, Naghibi SA, Motevalli A, Mansor S. Assessment of the effects of training data selection on the landslide susceptibility mapping: a comparison between support vector machine (SVM), logistic regression (LR) and artificial neural networks (ANN). Geomat Nat Hazards Risk. 2018;9(1):49–69. 10.1080/19475705.2017.1407368.Search in Google Scholar
[39] Chen T, Guestrin C. Xgboost: A scalable tree boosting system. In: Proceedings of the 22nd ACM SIGKDD international conference on knowledge discovery and data mining; 2016. p. 785–94. 10.1145/2939672.2939785.Search in Google Scholar
[40] Frattini P, Crosta G, Carrara A. Techniques for evaluating the performance of landslide susceptibility models. Eng Geol. 2010;111(1–4):62–72. 10.1016/j.enggeo.2009.12.004.Search in Google Scholar
[41] Abul Hasanat MH, Ramachandram D, Mandava R. Bayesian belief network learning algorithms for modeling contextual relationships in natural imagery: a comparative study. Artif Intell Rev. 2010;34:291–308. 10.1007/s10462-010-9176-8.Search in Google Scholar
© 2023 the author(s), published by De Gruyter
This work is licensed under the Creative Commons Attribution 4.0 International License.
Articles in the same Issue
- Regular Articles
- Diagenesis and evolution of deep tight reservoirs: A case study of the fourth member of Shahejie Formation (cg: 50.4-42 Ma) in Bozhong Sag
- Petrography and mineralogy of the Oligocene flysch in Ionian Zone, Albania: Implications for the evolution of sediment provenance and paleoenvironment
- Biostratigraphy of the Late Campanian–Maastrichtian of the Duwi Basin, Red Sea, Egypt
- Structural deformation and its implication for hydrocarbon accumulation in the Wuxia fault belt, northwestern Junggar basin, China
- Carbonate texture identification using multi-layer perceptron neural network
- Metallogenic model of the Hongqiling Cu–Ni sulfide intrusions, Central Asian Orogenic Belt: Insight from long-period magnetotellurics
- Assessments of recent Global Geopotential Models based on GPS/levelling and gravity data along coastal zones of Egypt
- Accuracy assessment and improvement of SRTM, ASTER, FABDEM, and MERIT DEMs by polynomial and optimization algorithm: A case study (Khuzestan Province, Iran)
- Uncertainty assessment of 3D geological models based on spatial diffusion and merging model
- Evaluation of dynamic behavior of varved clays from the Warsaw ice-dammed lake, Poland
- Impact of AMSU-A and MHS radiances assimilation on Typhoon Megi (2016) forecasting
- Contribution to the building of a weather information service for solar panel cleaning operations at Diass plant (Senegal, Western Sahel)
- Measuring spatiotemporal accessibility to healthcare with multimodal transport modes in the dynamic traffic environment
- Mathematical model for conversion of groundwater flow from confined to unconfined aquifers with power law processes
- NSP variation on SWAT with high-resolution data: A case study
- Reconstruction of paleoglacial equilibrium-line altitudes during the Last Glacial Maximum in the Diancang Massif, Northwest Yunnan Province, China
- A prediction model for Xiangyang Neolithic sites based on a random forest algorithm
- Determining the long-term impact area of coastal thermal discharge based on a harmonic model of sea surface temperature
- Origin of block accumulations based on the near-surface geophysics
- Investigating the limestone quarries as geoheritage sites: Case of Mardin ancient quarry
- Population genetics and pedigree geography of Trionychia japonica in the four mountains of Henan Province and the Taihang Mountains
- Performance audit evaluation of marine development projects based on SPA and BP neural network model
- Study on the Early Cretaceous fluvial-desert sedimentary paleogeography in the Northwest of Ordos Basin
- Detecting window line using an improved stacked hourglass network based on new real-world building façade dataset
- Automated identification and mapping of geological folds in cross sections
- Silicate and carbonate mixed shelf formation and its controlling factors, a case study from the Cambrian Canglangpu formation in Sichuan basin, China
- Ground penetrating radar and magnetic gradient distribution approach for subsurface investigation of solution pipes in post-glacial settings
- Research on pore structures of fine-grained carbonate reservoirs and their influence on waterflood development
- Risk assessment of rain-induced debris flow in the lower reaches of Yajiang River based on GIS and CF coupling models
- Multifractal analysis of temporal and spatial characteristics of earthquakes in Eurasian seismic belt
- Surface deformation and damage of 2022 (M 6.8) Luding earthquake in China and its tectonic implications
- Differential analysis of landscape patterns of land cover products in tropical marine climate zones – A case study in Malaysia
- DEM-based analysis of tectonic geomorphologic characteristics and tectonic activity intensity of the Dabanghe River Basin in South China Karst
- Distribution, pollution levels, and health risk assessment of heavy metals in groundwater in the main pepper production area of China
- Study on soil quality effect of reconstructing by Pisha sandstone and sand soil
- Understanding the characteristics of loess strata and quaternary climate changes in Luochuan, Shaanxi Province, China, through core analysis
- Dynamic variation of groundwater level and its influencing factors in typical oasis irrigated areas in Northwest China
- Creating digital maps for geotechnical characteristics of soil based on GIS technology and remote sensing
- Changes in the course of constant loading consolidation in soil with modeled granulometric composition contaminated with petroleum substances
- Correlation between the deformation of mineral crystal structures and fault activity: A case study of the Yingxiu-Beichuan fault and the Milin fault
- Cognitive characteristics of the Qiang religious culture and its influencing factors in Southwest China
- Spatiotemporal variation characteristics analysis of infrastructure iron stock in China based on nighttime light data
- Interpretation of aeromagnetic and remote sensing data of Auchi and Idah sheets of the Benin-arm Anambra basin: Implication of mineral resources
- Building element recognition with MTL-AINet considering view perspectives
- Characteristics of the present crustal deformation in the Tibetan Plateau and its relationship with strong earthquakes
- Influence of fractures in tight sandstone oil reservoir on hydrocarbon accumulation: A case study of Yanchang Formation in southeastern Ordos Basin
- Nutrient assessment and land reclamation in the Loess hills and Gulch region in the context of gully control
- Handling imbalanced data in supervised machine learning for lithological mapping using remote sensing and airborne geophysical data
- Spatial variation of soil nutrients and evaluation of cultivated land quality based on field scale
- Lignin analysis of sediments from around 2,000 to 1,000 years ago (Jiulong River estuary, southeast China)
- Assessing OpenStreetMap roads fitness-for-use for disaster risk assessment in developing countries: The case of Burundi
- Transforming text into knowledge graph: Extracting and structuring information from spatial development plans
- A symmetrical exponential model of soil temperature in temperate steppe regions of China
- A landslide susceptibility assessment method based on auto-encoder improved deep belief network
- Numerical simulation analysis of ecological monitoring of small reservoir dam based on maximum entropy algorithm
- Morphometry of the cold-climate Bory Stobrawskie Dune Field (SW Poland): Evidence for multi-phase Lateglacial aeolian activity within the European Sand Belt
- Adopting a new approach for finding missing people using GIS techniques: A case study in Saudi Arabia’s desert area
- Geological earthquake simulations generated by kinematic heterogeneous energy-based method: Self-arrested ruptures and asperity criterion
- Semi-automated classification of layered rock slopes using digital elevation model and geological map
- Geochemical characteristics of arc fractionated I-type granitoids of eastern Tak Batholith, Thailand
- Lithology classification of igneous rocks using C-band and L-band dual-polarization SAR data
- Analysis of artificial intelligence approaches to predict the wall deflection induced by deep excavation
- Evaluation of the current in situ stress in the middle Permian Maokou Formation in the Longnüsi area of the central Sichuan Basin, China
- Utilizing microresistivity image logs to recognize conglomeratic channel architectural elements of Baikouquan Formation in slope of Mahu Sag
- Resistivity cutoff of low-resistivity and low-contrast pays in sandstone reservoirs from conventional well logs: A case of Paleogene Enping Formation in A-Oilfield, Pearl River Mouth Basin, South China Sea
- Examining the evacuation routes of the sister village program by using the ant colony optimization algorithm
- Spatial objects classification using machine learning and spatial walk algorithm
- Study on the stabilization mechanism of aeolian sandy soil formation by adding a natural soft rock
- Bump feature detection of the road surface based on the Bi-LSTM
- The origin and evolution of the ore-forming fluids at the Manondo-Choma gold prospect, Kirk range, southern Malawi
- A retrieval model of surface geochemistry composition based on remotely sensed data
- Exploring the spatial dynamics of cultural facilities based on multi-source data: A case study of Nanjing’s art institutions
- Study of pore-throat structure characteristics and fluid mobility of Chang 7 tight sandstone reservoir in Jiyuan area, Ordos Basin
- Study of fracturing fluid re-discharge based on percolation experiments and sampling tests – An example of Fuling shale gas Jiangdong block, China
- Impacts of marine cloud brightening scheme on climatic extremes in the Tibetan Plateau
- Ecological protection on the West Coast of Taiwan Strait under economic zone construction: A case study of land use in Yueqing
- The time-dependent deformation and damage constitutive model of rock based on dynamic disturbance tests
- Evaluation of spatial form of rural ecological landscape and vulnerability of water ecological environment based on analytic hierarchy process
- Fingerprint of magma mixture in the leucogranites: Spectroscopic and petrochemical approach, Kalebalta-Central Anatolia, Türkiye
- Principles of self-calibration and visual effects for digital camera distortion
- UAV-based doline mapping in Brazilian karst: A cave heritage protection reconnaissance
- Evaluation and low carbon ecological urban–rural planning and construction based on energy planning mechanism
- Modified non-local means: A novel denoising approach to process gravity field data
- A novel travel route planning method based on an ant colony optimization algorithm
- Effect of time-variant NDVI on landside susceptibility: A case study in Quang Ngai province, Vietnam
- Regional tectonic uplift indicated by geomorphological parameters in the Bahe River Basin, central China
- Computer information technology-based green excavation of tunnels in complex strata and technical decision of deformation control
- Spatial evolution of coastal environmental enterprises: An exploration of driving factors in Jiangsu Province
- A comparative assessment and geospatial simulation of three hydrological models in urban basins
- Aquaculture industry under the blue transformation in Jiangsu, China: Structure evolution and spatial agglomeration
- Quantitative and qualitative interpretation of community partitions by map overlaying and calculating the distribution of related geographical features
- Numerical investigation of gravity-grouted soil-nail pullout capacity in sand
- Analysis of heavy pollution weather in Shenyang City and numerical simulation of main pollutants
- Road cut slope stability analysis for static and dynamic (pseudo-static analysis) loading conditions
- Forest biomass assessment combining field inventorying and remote sensing data
- Late Jurassic Haobugao granites from the southern Great Xing’an Range, NE China: Implications for postcollision extension of the Mongol–Okhotsk Ocean
- Petrogenesis of the Sukadana Basalt based on petrology and whole rock geochemistry, Lampung, Indonesia: Geodynamic significances
- Numerical study on the group wall effect of nodular diaphragm wall foundation in high-rise buildings
- Water resources utilization and tourism environment assessment based on water footprint
- Geochemical evaluation of the carbonaceous shale associated with the Permian Mikambeni Formation of the Tuli Basin for potential gas generation, South Africa
- Detection and characterization of lineaments using gravity data in the south-west Cameroon zone: Hydrogeological implications
- Study on spatial pattern of tourism landscape resources in county cities of Yangtze River Economic Belt
- The effect of weathering on drillability of dolomites
- Noise masking of near-surface scattering (heterogeneities) on subsurface seismic reflectivity
- Query optimization-oriented lateral expansion method of distributed geological borehole database
- Petrogenesis of the Morobe Granodiorite and their shoshonitic mafic microgranular enclaves in Maramuni arc, Papua New Guinea
- Environmental health risk assessment of urban water sources based on fuzzy set theory
- Spatial distribution of urban basic education resources in Shanghai: Accessibility and supply-demand matching evaluation
- Spatiotemporal changes in land use and residential satisfaction in the Huai River-Gaoyou Lake Rim area
- Walkaway vertical seismic profiling first-arrival traveltime tomography with velocity structure constraints
- Study on the evaluation system and risk factor traceability of receiving water body
- Predicting copper-polymetallic deposits in Kalatag using the weight of evidence model and novel data sources
- Temporal dynamics of green urban areas in Romania. A comparison between spatial and statistical data
- Passenger flow forecast of tourist attraction based on MACBL in LBS big data environment
- Varying particle size selectivity of soil erosion along a cultivated catena
- Relationship between annual soil erosion and surface runoff in Wadi Hanifa sub-basins
- Influence of nappe structure on the Carboniferous volcanic reservoir in the middle of the Hongche Fault Zone, Junggar Basin, China
- Dynamic analysis of MSE wall subjected to surface vibration loading
- Pre-collisional architecture of the European distal margin: Inferences from the high-pressure continental units of central Corsica (France)
- The interrelation of natural diversity with tourism in Kosovo
- Assessment of geosites as a basis for geotourism development: A case study of the Toplica District, Serbia
- IG-YOLOv5-based underwater biological recognition and detection for marine protection
- Monitoring drought dynamics using remote sensing-based combined drought index in Ergene Basin, Türkiye
- Review Articles
- The actual state of the geodetic and cartographic resources and legislation in Poland
- Evaluation studies of the new mining projects
- Comparison and significance of grain size parameters of the Menyuan loess calculated using different methods
- Scientometric analysis of flood forecasting for Asia region and discussion on machine learning methods
- Rainfall-induced transportation embankment failure: A review
- Rapid Communication
- Branch fault discovered in Tangshan fault zone on the Kaiping-Guye boundary, North China
- Technical Note
- Introducing an intelligent multi-level retrieval method for mineral resource potential evaluation result data
- Erratum
- Erratum to “Forest cover assessment using remote-sensing techniques in Crete Island, Greece”
- Addendum
- The relationship between heat flow and seismicity in global tectonically active zones
- Commentary
- Improved entropy weight methods and their comparisons in evaluating the high-quality development of Qinghai, China
- Special Issue: Geoethics 2022 - Part II
- Loess and geotourism potential of the Braničevo District (NE Serbia): From overexploitation to paleoclimate interpretation
Articles in the same Issue
- Regular Articles
- Diagenesis and evolution of deep tight reservoirs: A case study of the fourth member of Shahejie Formation (cg: 50.4-42 Ma) in Bozhong Sag
- Petrography and mineralogy of the Oligocene flysch in Ionian Zone, Albania: Implications for the evolution of sediment provenance and paleoenvironment
- Biostratigraphy of the Late Campanian–Maastrichtian of the Duwi Basin, Red Sea, Egypt
- Structural deformation and its implication for hydrocarbon accumulation in the Wuxia fault belt, northwestern Junggar basin, China
- Carbonate texture identification using multi-layer perceptron neural network
- Metallogenic model of the Hongqiling Cu–Ni sulfide intrusions, Central Asian Orogenic Belt: Insight from long-period magnetotellurics
- Assessments of recent Global Geopotential Models based on GPS/levelling and gravity data along coastal zones of Egypt
- Accuracy assessment and improvement of SRTM, ASTER, FABDEM, and MERIT DEMs by polynomial and optimization algorithm: A case study (Khuzestan Province, Iran)
- Uncertainty assessment of 3D geological models based on spatial diffusion and merging model
- Evaluation of dynamic behavior of varved clays from the Warsaw ice-dammed lake, Poland
- Impact of AMSU-A and MHS radiances assimilation on Typhoon Megi (2016) forecasting
- Contribution to the building of a weather information service for solar panel cleaning operations at Diass plant (Senegal, Western Sahel)
- Measuring spatiotemporal accessibility to healthcare with multimodal transport modes in the dynamic traffic environment
- Mathematical model for conversion of groundwater flow from confined to unconfined aquifers with power law processes
- NSP variation on SWAT with high-resolution data: A case study
- Reconstruction of paleoglacial equilibrium-line altitudes during the Last Glacial Maximum in the Diancang Massif, Northwest Yunnan Province, China
- A prediction model for Xiangyang Neolithic sites based on a random forest algorithm
- Determining the long-term impact area of coastal thermal discharge based on a harmonic model of sea surface temperature
- Origin of block accumulations based on the near-surface geophysics
- Investigating the limestone quarries as geoheritage sites: Case of Mardin ancient quarry
- Population genetics and pedigree geography of Trionychia japonica in the four mountains of Henan Province and the Taihang Mountains
- Performance audit evaluation of marine development projects based on SPA and BP neural network model
- Study on the Early Cretaceous fluvial-desert sedimentary paleogeography in the Northwest of Ordos Basin
- Detecting window line using an improved stacked hourglass network based on new real-world building façade dataset
- Automated identification and mapping of geological folds in cross sections
- Silicate and carbonate mixed shelf formation and its controlling factors, a case study from the Cambrian Canglangpu formation in Sichuan basin, China
- Ground penetrating radar and magnetic gradient distribution approach for subsurface investigation of solution pipes in post-glacial settings
- Research on pore structures of fine-grained carbonate reservoirs and their influence on waterflood development
- Risk assessment of rain-induced debris flow in the lower reaches of Yajiang River based on GIS and CF coupling models
- Multifractal analysis of temporal and spatial characteristics of earthquakes in Eurasian seismic belt
- Surface deformation and damage of 2022 (M 6.8) Luding earthquake in China and its tectonic implications
- Differential analysis of landscape patterns of land cover products in tropical marine climate zones – A case study in Malaysia
- DEM-based analysis of tectonic geomorphologic characteristics and tectonic activity intensity of the Dabanghe River Basin in South China Karst
- Distribution, pollution levels, and health risk assessment of heavy metals in groundwater in the main pepper production area of China
- Study on soil quality effect of reconstructing by Pisha sandstone and sand soil
- Understanding the characteristics of loess strata and quaternary climate changes in Luochuan, Shaanxi Province, China, through core analysis
- Dynamic variation of groundwater level and its influencing factors in typical oasis irrigated areas in Northwest China
- Creating digital maps for geotechnical characteristics of soil based on GIS technology and remote sensing
- Changes in the course of constant loading consolidation in soil with modeled granulometric composition contaminated with petroleum substances
- Correlation between the deformation of mineral crystal structures and fault activity: A case study of the Yingxiu-Beichuan fault and the Milin fault
- Cognitive characteristics of the Qiang religious culture and its influencing factors in Southwest China
- Spatiotemporal variation characteristics analysis of infrastructure iron stock in China based on nighttime light data
- Interpretation of aeromagnetic and remote sensing data of Auchi and Idah sheets of the Benin-arm Anambra basin: Implication of mineral resources
- Building element recognition with MTL-AINet considering view perspectives
- Characteristics of the present crustal deformation in the Tibetan Plateau and its relationship with strong earthquakes
- Influence of fractures in tight sandstone oil reservoir on hydrocarbon accumulation: A case study of Yanchang Formation in southeastern Ordos Basin
- Nutrient assessment and land reclamation in the Loess hills and Gulch region in the context of gully control
- Handling imbalanced data in supervised machine learning for lithological mapping using remote sensing and airborne geophysical data
- Spatial variation of soil nutrients and evaluation of cultivated land quality based on field scale
- Lignin analysis of sediments from around 2,000 to 1,000 years ago (Jiulong River estuary, southeast China)
- Assessing OpenStreetMap roads fitness-for-use for disaster risk assessment in developing countries: The case of Burundi
- Transforming text into knowledge graph: Extracting and structuring information from spatial development plans
- A symmetrical exponential model of soil temperature in temperate steppe regions of China
- A landslide susceptibility assessment method based on auto-encoder improved deep belief network
- Numerical simulation analysis of ecological monitoring of small reservoir dam based on maximum entropy algorithm
- Morphometry of the cold-climate Bory Stobrawskie Dune Field (SW Poland): Evidence for multi-phase Lateglacial aeolian activity within the European Sand Belt
- Adopting a new approach for finding missing people using GIS techniques: A case study in Saudi Arabia’s desert area
- Geological earthquake simulations generated by kinematic heterogeneous energy-based method: Self-arrested ruptures and asperity criterion
- Semi-automated classification of layered rock slopes using digital elevation model and geological map
- Geochemical characteristics of arc fractionated I-type granitoids of eastern Tak Batholith, Thailand
- Lithology classification of igneous rocks using C-band and L-band dual-polarization SAR data
- Analysis of artificial intelligence approaches to predict the wall deflection induced by deep excavation
- Evaluation of the current in situ stress in the middle Permian Maokou Formation in the Longnüsi area of the central Sichuan Basin, China
- Utilizing microresistivity image logs to recognize conglomeratic channel architectural elements of Baikouquan Formation in slope of Mahu Sag
- Resistivity cutoff of low-resistivity and low-contrast pays in sandstone reservoirs from conventional well logs: A case of Paleogene Enping Formation in A-Oilfield, Pearl River Mouth Basin, South China Sea
- Examining the evacuation routes of the sister village program by using the ant colony optimization algorithm
- Spatial objects classification using machine learning and spatial walk algorithm
- Study on the stabilization mechanism of aeolian sandy soil formation by adding a natural soft rock
- Bump feature detection of the road surface based on the Bi-LSTM
- The origin and evolution of the ore-forming fluids at the Manondo-Choma gold prospect, Kirk range, southern Malawi
- A retrieval model of surface geochemistry composition based on remotely sensed data
- Exploring the spatial dynamics of cultural facilities based on multi-source data: A case study of Nanjing’s art institutions
- Study of pore-throat structure characteristics and fluid mobility of Chang 7 tight sandstone reservoir in Jiyuan area, Ordos Basin
- Study of fracturing fluid re-discharge based on percolation experiments and sampling tests – An example of Fuling shale gas Jiangdong block, China
- Impacts of marine cloud brightening scheme on climatic extremes in the Tibetan Plateau
- Ecological protection on the West Coast of Taiwan Strait under economic zone construction: A case study of land use in Yueqing
- The time-dependent deformation and damage constitutive model of rock based on dynamic disturbance tests
- Evaluation of spatial form of rural ecological landscape and vulnerability of water ecological environment based on analytic hierarchy process
- Fingerprint of magma mixture in the leucogranites: Spectroscopic and petrochemical approach, Kalebalta-Central Anatolia, Türkiye
- Principles of self-calibration and visual effects for digital camera distortion
- UAV-based doline mapping in Brazilian karst: A cave heritage protection reconnaissance
- Evaluation and low carbon ecological urban–rural planning and construction based on energy planning mechanism
- Modified non-local means: A novel denoising approach to process gravity field data
- A novel travel route planning method based on an ant colony optimization algorithm
- Effect of time-variant NDVI on landside susceptibility: A case study in Quang Ngai province, Vietnam
- Regional tectonic uplift indicated by geomorphological parameters in the Bahe River Basin, central China
- Computer information technology-based green excavation of tunnels in complex strata and technical decision of deformation control
- Spatial evolution of coastal environmental enterprises: An exploration of driving factors in Jiangsu Province
- A comparative assessment and geospatial simulation of three hydrological models in urban basins
- Aquaculture industry under the blue transformation in Jiangsu, China: Structure evolution and spatial agglomeration
- Quantitative and qualitative interpretation of community partitions by map overlaying and calculating the distribution of related geographical features
- Numerical investigation of gravity-grouted soil-nail pullout capacity in sand
- Analysis of heavy pollution weather in Shenyang City and numerical simulation of main pollutants
- Road cut slope stability analysis for static and dynamic (pseudo-static analysis) loading conditions
- Forest biomass assessment combining field inventorying and remote sensing data
- Late Jurassic Haobugao granites from the southern Great Xing’an Range, NE China: Implications for postcollision extension of the Mongol–Okhotsk Ocean
- Petrogenesis of the Sukadana Basalt based on petrology and whole rock geochemistry, Lampung, Indonesia: Geodynamic significances
- Numerical study on the group wall effect of nodular diaphragm wall foundation in high-rise buildings
- Water resources utilization and tourism environment assessment based on water footprint
- Geochemical evaluation of the carbonaceous shale associated with the Permian Mikambeni Formation of the Tuli Basin for potential gas generation, South Africa
- Detection and characterization of lineaments using gravity data in the south-west Cameroon zone: Hydrogeological implications
- Study on spatial pattern of tourism landscape resources in county cities of Yangtze River Economic Belt
- The effect of weathering on drillability of dolomites
- Noise masking of near-surface scattering (heterogeneities) on subsurface seismic reflectivity
- Query optimization-oriented lateral expansion method of distributed geological borehole database
- Petrogenesis of the Morobe Granodiorite and their shoshonitic mafic microgranular enclaves in Maramuni arc, Papua New Guinea
- Environmental health risk assessment of urban water sources based on fuzzy set theory
- Spatial distribution of urban basic education resources in Shanghai: Accessibility and supply-demand matching evaluation
- Spatiotemporal changes in land use and residential satisfaction in the Huai River-Gaoyou Lake Rim area
- Walkaway vertical seismic profiling first-arrival traveltime tomography with velocity structure constraints
- Study on the evaluation system and risk factor traceability of receiving water body
- Predicting copper-polymetallic deposits in Kalatag using the weight of evidence model and novel data sources
- Temporal dynamics of green urban areas in Romania. A comparison between spatial and statistical data
- Passenger flow forecast of tourist attraction based on MACBL in LBS big data environment
- Varying particle size selectivity of soil erosion along a cultivated catena
- Relationship between annual soil erosion and surface runoff in Wadi Hanifa sub-basins
- Influence of nappe structure on the Carboniferous volcanic reservoir in the middle of the Hongche Fault Zone, Junggar Basin, China
- Dynamic analysis of MSE wall subjected to surface vibration loading
- Pre-collisional architecture of the European distal margin: Inferences from the high-pressure continental units of central Corsica (France)
- The interrelation of natural diversity with tourism in Kosovo
- Assessment of geosites as a basis for geotourism development: A case study of the Toplica District, Serbia
- IG-YOLOv5-based underwater biological recognition and detection for marine protection
- Monitoring drought dynamics using remote sensing-based combined drought index in Ergene Basin, Türkiye
- Review Articles
- The actual state of the geodetic and cartographic resources and legislation in Poland
- Evaluation studies of the new mining projects
- Comparison and significance of grain size parameters of the Menyuan loess calculated using different methods
- Scientometric analysis of flood forecasting for Asia region and discussion on machine learning methods
- Rainfall-induced transportation embankment failure: A review
- Rapid Communication
- Branch fault discovered in Tangshan fault zone on the Kaiping-Guye boundary, North China
- Technical Note
- Introducing an intelligent multi-level retrieval method for mineral resource potential evaluation result data
- Erratum
- Erratum to “Forest cover assessment using remote-sensing techniques in Crete Island, Greece”
- Addendum
- The relationship between heat flow and seismicity in global tectonically active zones
- Commentary
- Improved entropy weight methods and their comparisons in evaluating the high-quality development of Qinghai, China
- Special Issue: Geoethics 2022 - Part II
- Loess and geotourism potential of the Braničevo District (NE Serbia): From overexploitation to paleoclimate interpretation