Home Physical Sciences Computational works of blood flow with dust particles and partially ionized containing tiny particles on a moving wedge: Applications of nanotechnology
Article Open Access

Computational works of blood flow with dust particles and partially ionized containing tiny particles on a moving wedge: Applications of nanotechnology

  • , and EMAIL logo
Published/Copyright: September 17, 2025
Become an author with De Gruyter Brill

Abstract

The effect of Hall and ion slip forces on a three-dimensional wedge flow with multiple slip conditions and hyperbolic tangent rheology is examined in the current problem. The flow and thermal behaviors are analyzed considering a ternary hybrid nanofluid (HNF) with a two-phase boundary layer mechanism with both liquid and dusty phases. Thermal energy characteristics involving nanofluid suspensions of copper, TiO 2 , and aluminum oxide in an ethylene glycol utilizing the correlations of Yamada-Ota and Xue models. Viscous dissipation and Joule heating effects are also taken into account in the model, which is important for applications in a variety of industries, including papermaking, cooling systems, heat reservoirs and automotive thermal control. The governing PDEs are reduced to ODEs through the use of mathematical transformations. The numerical results are simulated by utilizing the finite element method. The findings show that, in comparison to the phase liquid, the dusty fluid moves more readily and has a thicker momentum boundary layer than the phase liquid. By highlighting the unique thermal and flow characteristics of each phase, these results advance our knowledge of the dynamics of HNFs. The new understanding of multi-phase, ternary HNFs under electromagnetic forces provided by this study improves the predictive modeling of nanofluid behaviors for industrial and engineering applications, particularly those that call for exact control and high thermal efficiency.

Nomenclature

Al 2 O 3

aluminum oxide

Cu

copper

Cfx , Cfy

skin friction coefficients

c p

specific heat capacitance

Ec

Eckert number

e

elements

FEM

finite element method

k *

volume fraction

K

thermal conductivity

l 2 , l 1

multiple slip coefficient numbers

M

magnetic number

m

power law index number

N

drag force

Nu

Nusselt number

n

stretching parameter

Pr

Prandtl number

Q

heat source number

Q

dimensionless temperature

Re

Reynolds number

T p

temperature of dusty model

T

ambient temperature

T w

wall temperature

Ti O 2

titanium dioxide

u , v , w

velocity components

u p , v p , w p

velocity components of the dusty model

ν

kinematic viscosity

We

Weissenberg number

y , z , x

space coordinates

γ 1

fluid particle interaction

β et i

ion slip number

ρ

density

ρ p

density of dusty flow model

s 3 , s 1 , s 2

volume fractions

δ v

fluid particle interaction number

μ

kinematic viscosity

λ 1 , λ 2

multiple slip coefficients

infinity

Γ e

time relaxation number

σ

electrical thermal conductivity

β et e

Hall number

η

independent variable

δ 1

slip parameters

Θ p

dimensionless temperature of the dusty model

β

pressure gradient number

1 Introduction

Because of its uses in information technology, especially in contemporary devices, as well as its use as coolants in refrigeration and other engineering processes, nanofluids are becoming more and more important. In 1995, Choi and Eastman [1] introduced nanofluid. Shamshuddin et al. [2] experienced the part of nanofluid in the heat transfer mechanism using the impacts of solar radiation and Lorentz force. They visualized viscous dissipation and heat sinks on a stretching plate. Numerical outcomes are obtained using the shooting approach. The problem included that temperature profiles are improved when radiation, thermal viscosity, and heat source are increased because this increases the thermal conductivity of nanoparticles. Shamshuddin et al. [3] explored the features of heat transfer by highlighting the significance of Ohmic heating in nanofluid flow over a rotating disk and using ferromagnetic nanoparticles. Heat transfer rates are enhanced by higher thermal radiation and markedly slowed down by an increase in the Eckert number. Shamshuddin et al. [4] analyzed thermal characteristics utilizing water-based hybrid nanofluid (HNF) across a plate in the presence of convective conditions. The homotopy analysis method (HAM) approach is utilized for numerical purposes. Shamshuddin et al. [5] discussed the visualization of HNF in hyperbolic tangent rheology via a magnetic field on a rotating disk. They have utilized a semi-analytical scheme for numerical consequences. An HNF transfers heat more effectively than a mono nanofluid (NF), and our findings are in good agreement with other studies that have been published. Shamshuddin et al. [5] studied the influence of the Lorentz force involving NF with an Ohmic heating approach. They assumed base fluid ethylene glycol (EG) with the suspension of copper and silver. Nanoparticle concentrations decrease as reactive species and Lewis number increase, while the Sherwood number increases as a result of increased chemical reaction impact. Shamshuddin et al. [6] visualized thermal aspects in Prandtl liquid on a 3D plate with an Ohmic heating approach. They incorporated HNF along with base fluid (water) via slip solution (multiple). Numerical outcomes have been attained by the HAM approach. Kumar et al. [7] captured the influence of the Buongiorno model incorporating nanomaterials named aluminum oxide and Cu on the wedge. They used magnetic fields and two kinds of heat sources named linear and space-dependent heat sources. The Nusselt number for shaped nanoparticles is higher than that for spherical nanoparticles. Karthik et al. [8] visualized thermal analysis based on thermal radiation with tri-hybrid nanoparticles and thermo-phoretic particles toward a wedge. The numerical outcome is obtained using the shooting approach while the Sherwood number is declined when volume fraction and thermo-phoretic particles are increased. Sajid et al. [9] discussed autocatalysis reactions of cross NF across a wedge while heat energy characterizations were determined using thermal radiation and thermal conductivity (variable). They also utilized homogeneous heat sources and heterogeneous reactions on a wedge. Patil et al. [10] estimated the two-dimensional (2D) motion of micropolar fluid with viscous dissipation on a wedge utilizing the quasilinearization approach. They utilized nanofluid for characterizations of thermal energy and microorganisms. Abbasi et al. [11] optimized the 2D motion of hybrid nanoparticles in a channel filled with hybrid nanoparticles. They utilized the Joule heating mechanism and solar radiation in the desired model. They determined entropy production in the presence of nanoparticles. Thermal energy declined when the magnetic number and suction number were increased. Saleem et al. [12] optimized the 2D motion of a magnetic field and hybrid nanomaterials on a plate utilizing mixed conditions and viscous dissipation. Flow behavior is analyzed using Newtonian fluid. They have used the Keller box approach for numerical purposes. Sagheer et al. [13] developed a model of Maxwell fluid including hybrid nanoparticles with assumptions of magnetic field and engine oil. They incorporated viscous dissipation and source (heat) where cases shooting scheme was utilized for numerical outcomes.

Sultana et al. [14] modified the model of a power-law fluid in the presence of ions slip and Hall forces on 2D surface and Joulean dissipation. They inserted an HNF with convective conditions. RK-4 numerical approach is employed for numerical outcomes. They included that flow behavior for ion slip and Hall force becomes significant. Gul et al. [15] estimated the performance of tri-hybrid nanoparticles including reactions (heterogeneous and homogeneous) numerically simulated by the bvp4c approach. They used the non-Fourier’s method in the heat transfer equation. Thermal efficiency for tri-hybrid nanofluids (THNFs) is higher than thermal efficiency for hybrid nanofluids (HBNfs). Das et al. [16] developed a model related to partial ionization with the occurrence of peristaltic liquid on a microchannel. They estimated that motion (nanoparticles) declined when the ion slip number was enhanced. Krishna and Chamkha [17] observed the motion of hybrid nanoparticles with the appearance of solar radiation and slip conditions on surfaces subjected to partial ionization. The velocity field is inclined when the slip number, Hall number, and buoyancy parameter are enhanced. Kodi et al. [18] presented the impacts of Joule heating in the motion (hybrid nanoparticles) with Hall currents on the surface. They assumed thermophoresis, chemical reaction, no-slip conditions and Brownian parameters. Numerical outcomes are obtained using a shooting scheme. Jameel et al. [19] discussed the role of 3D flow and HNF and entropy production on 3D surfaces (stretching and shrinking). They assumed non-Fourier’s method for knowing heat energy and partial ionizations. Sharif et al. [20] utilized a Riga plate and took the volume concentration of the dust material while the study investigated the momentum and thermal properties of magnetohydrodynamics (MHD)-Ellis ternary nanomaterial integrated with dust particles. Khan et al. [21] explored dusty tetra HNF that effortlessly meanders between infinite vertical parallel stationary panels through convection. Furthermore, the entire stream is evenly scattered with spherical dust particles. Using non-Fourier mechanisms and MHD boundary layers on various shapes, including plates, cones, and wedges, Babu et al. [22] examined heat energy estimation. Using the RK-4 method, they examined the behavior of Brownian and thermophoresis particles and calculated skin friction coefficients under various parameter variations. The idea of variable thermal properties and a mixed convective approach incorporating hydro-magnetic mechanisms were investigated by Awais et al. [23]. Using the optimal homotopy asymptotic method approach, they looked into the absorption and generation of non-Newtonian liquids based on heat sources. Akbar et al. [24] estimated the thermal enhancement incorporating heat sink effects in a non-Newtonian (Jeffrey) model filled with hybrid nanofluids. They studied the impact of peristaltic motion including entropy generation. They have used a finite element approach. Akbar et al. [25] discussed the impact of energy transfer with the suspension of multiple NFs in symmetric ducts with pores considering the phenomena of peristaltic motion. They discussed the role of carbon nanotubes (CNTs). Adhikari et al. [26] observed the influence of tetra-HNF in Maxwell–Oldroyd-B liquid considering blood motion in an elastic artery utilizing Neural networks. They have included that the opposite trend has been noticed in thermal energy and velocity field when the Lorentz force has been used. Paul et al. [27] explored the impact of ion slip and Hall current with titania-CNTs in a base fluid (blood) under the role of electro-magnetization in a squeezed artery. It was estimated that drag force has been enhanced utilizing a higher Hall number and ion slip number. Lund et al. [28] determined the role of sodium alginate with an HNF on a moving surface under the effect of Joule heating and radiation toward a stretching plate. Lund et al. [29] observed the dual solutions of steady motion in Casson flow on a shrinking sheet incorporating the Lorentz force. They implemented a stability approach. The works associated with heat transfer with nanofluid are discussed in previous literature [30,31,32,33,34,35,36,37,38,39]. Figure 1a describes the applications of HNF. The applications of HNF include automotive cooling process, solar energy, biomedical field, material characteristic, lubrication, welding process, air conditioning and cooling coils.

Figure 1 
               (a) Applications of HNF. (b) Flow chart of desired model and mixture of NF. (c) Conversion of c-domain. (d) Elements with subdomain.
Figure 1

(a) Applications of HNF. (b) Flow chart of desired model and mixture of NF. (c) Conversion of c-domain. (d) Elements with subdomain.

Table 1 shows the uniqueness of the current model. The research questions related to the current study are listed as follows:

  • What will be the variation in velocity curves on enhancing values of Hall number, β , and ion slip number?

  • How will the effect of divergent velocity on Hall number, magnetic number, and ion slip number be?

  • What will be the comparative effects between working fluid, nano, hybrid, and tri-HNF on heat energy?

  • How do magnetic, Hall, ion slip, and magnetic parameters influence on temperature profile?

  • What will be the comparative roles of dusty and phase fluid on temperature and velocity curves?

Table 1

Novelty study of the present developed model

Authors Hall and ion slip forces Dusty fluid Tri-HNF 3D wedge Hyperbolic tangent fluid Finite element method (FEM)
Rana et al. [40] × × × × ×
Kudenatti et al. [41] × × × × ×
Kudenatti and Jyothi [42] × × × × ×
Rana and Gupta [43] × × × × ×

Table 1 describes the novelty study of the developed model. The influences in the current model have not yet via published works [40,41,42,43]. The effects based on tri-HNF, dusty fluid, Hall and ion slip impacts on 3D wedge are not discussed in the current model utilizing FEM. Hence, the current model shows strong novelty work.

The current model has some limitations which are listed below.

  • Certain terms add complexity, such as those about the magnetic field M , slip parameters δ 1 , and ion slip terms β. Interpreting the sensitivity of each of these parameters is crucial for validation because even slight changes could have a big impact on the results;

  • Convergence issues may arise from nonlinear terms in the equations, such as those involving F , g , and products of derivatives;

  • FEM uses interpolation within each element to approximate solutions, which can result in discretization errors, particularly in regions with steep gradients. In models with intricate interactions, like ternary HNFs, these errors may compound for high-order derivatives, potentially decreasing accuracy.

Current work investigates the effects of ion and Hall slip forces on 3D wedge with particular attention to thermal and flow behaviors in a ternary HNF considering liquid and dusty phases. The FEM to model the behavior of NF suspensions (copper, Ti O 2 , and Al 2 O 3 ) under Joule heating and viscous dissipation.

2 Mathematical background of the flow problem

Let us consider a steady, laminar, and three-dimensional incompressible boundary layer flow of tangent hyperbolic and dusty particles towards a wedge shape object with slip boundary conditions. According to geometry, flow is considered at z > 0 and z-coordinates are assumed upright on the yx -plane. Hall currents along with ion slip forces are assumed in energy as well as momentum equations. Viscous dissipation is assumed along with the Joule heating mechanism in the energy equation. The relations of three types (NF) called ternary HNF are incorporated. The HNF model is known as Y Ota and Xue-models are taken out. Dusty model is assumed with suspension of ternary HNF. Thermal properties associated with various nanofluids are assumed in Table 2. A diagram of the 3D wedge is assumed in Figure 1b.

Table 2

Thermal properties are associated with nanoparticles [45]

Properties Aluminum oxide Copper TiO2 Ethylene glycol
k 40 401 8.9538 0.253
ρ 3,970 8,933 4,250 1113.5
C p 765 385 686.2 2,430

Figure 1b describes a 3D wedge surface in z , x , and y components. In Figure 1b, the green shaded region reveals a wedge expanding in y and x coordinates. The x -axis is the orientation of the wedge, and fluid flow passes over this geometry. It is mentioned that the horizontal direction is visualized by the x -axis, the y -axis is placed along the perpendicular direction, and the z -axis shows vertically upwards. An applied magnetic field that is perpendicular to the wedge surface is indicated by red arrows pointing upward. Momentum and thermal boundary layers are indicated by two lines. A tri-HNF is created by combining three different types of nanoparticles: copper, aluminum oxide, and titanium oxide. T w and T are called wall temperature and ambient temperature placed at the wall and for a way of the wall. The wall velocities along y- and x-directions are assumed as u w and v w . The assumptions are listed below.

  • Three-dimensional motion of hyperbolic tangent liquid is considered;

  • Steady flow and incompressible flow are assumed;

  • Dusty flow model is assumed;

  • Viscous dissipation and Joule heating are considered;

  • The heat sink is utilized;

  • Multiple conditions are incorporated;

  • The suspension of tri-HNF is inserted;

  • The 3D-wedge surface is considered.

Reduced ordinary differential equations (ODES) using boundary layer approximations (in conservation laws) [40] are derived as

(1) u x + v y + w z = 0 ,

(2) u u x + v u y + w u z = u u x + v v x + ν thnf [ ( 1 n ) u zz + 2 n Γ e u z u zz ] + k * N ρ thnf ( v y v ) + σ thnf ( B 0 ) 2 ρ thnf [ ( 1 + β et e β et i ) 2 + ( β et e ) 2 ] × ( v β et e ( 1 + β et i β et e ) u ) ,

(3) u v x + v v y + w v z = u v x + v v y + ν thnf [ ( 1 n ) v zz + 2 n Γ e v z v zz ] + k * N ρ thnf ( u p u ) σ thnf ( B 0 ) 2 ρ thnf [ ( 1 + β et e β et i ) 2 + ( β et e ) 2 ] × ( u β et e + ( 1 + β et i β et e ) v ) ,

(4) u T x + v T y + w T z = K thnf ( ρ c p ) thnf T zz + σ thnf ( B 0 ) 2 ρ thnf [ ( 1 + β et e β et i ) 2 + ( β et e ) 2 ] × ( u 2 + v 2 ) + μ thnf ( ρ c p ) thnf 1 n + n Γ e ( 2 ) 1 2 ( ( u z ) 2 + ( v z ) 2 ) 1 2 × ( ( u z ) 2 + ( v z ) 2 ) 1 2 ( u z 2 + v z 2 ) + Q ( ρ c p ) thnf ( T T ) + N C pf m ρ c p τ t ( T p T ) .

Slip conditions (multiple) are considered [40] as

u = u w + l 1 u z , v = v w + l 2 v z , w = 0 , T = T w : z = 0 ,

(5) u U , v V , T T : z , u p 0 , v p 0 , w p 0 , T p ,

Boundary conditions (BCs) at z = 0, velocity along the x-direction is u w + l 1 u z , here u w is the wall velocity while it is generated using slip condition. l 1 u z is called velocity gradient, which is generated at no-slip condition. l 1 reveals the varying linear velocity. Velocity along the x-direction is v w + l 2 v z . v w is the wall velocity along the y-component. l 2 v z describes a linear velocity gradient that describes possible slip or no slip based on l 2 . w shows velocity direction along the z-direction. At w = 0 , it means that flow is not occurred. T = T w means that the temperature of the fluid at the wall is the same as that of the wall. BCs at z , u U , and v V reveal that at large distances from the wall, the fluid flow becomes uniform. T T reveals that the fluid’s temperature is approached to T . u p , v p , and w p are velocity components for the dusty fluidic model. u p 0 , v p 0 , and w p 0 means that fluid flow becomes uniform and steady. T p means that temperature decreases far from the wall as a result of wall effects. Transformations for phase fluid and dusty fluid are defined [40] as

(6) u = U ( x + y ) n F , v = v ( x + y ) n g , η = z U ( 1 + n ) ν f ( x + y ) 2 ν f 1 / 2 , T = Q ( T w T ) + T , w = U ( 1 + n ) ν f 2 1 2 ( x + y ) n 1 2 × F + γ g + n 1 n + 1 η ( F + γ g ) , T p = ( T w T ) Θ p + T , u p = U ( x + y ) n F p , v p = v ( x + y ) n g p , w p = U ( 1 + n ) ν f 2 1 2 ( x + y ) n 1 2 ( F p + g p ) .

On incorporating transformations in governing the above equations, the ODEs [40] become

(7) ( 1 m ) F + m We F F F ( F + γ g ) + β ( 1 F 2 ) + γ β ( 1 F g ) + δ 1 γ 1 ( F p + F ) + M 2 ( 1 + β et e β et i ) 2 + ( β et e ) 2 ( β et e g × ( 1 + β et e β et i ) F ) = 0 ,

(8) ( 1 m ) g + m We g g g ( F + γ g ) + β ( 1 g F ) + γ β ( 1 ( g ) 2 ) + δ 1 γ 1 ( g p + g ) M 2 ( 1 + β et e β et i ) 2 + ( β et e ) 2 ( β et e F + ( 1 + β et e β et i ) g ) = 0 ,

(9) Q + Q ( F + γ g ) + k f k thnf M 2 EcPr ( 1 + β et e β et i ) 2 + ( β et e ) 2 ( F 2 + g 2 ) + k f 2 k thnf WePrEc ( 1 s 3 ) 2.5 ( 1 s 2 ) 2.5 ( 1 s 1 ) 2.5 × ( F 2 + g 2 ) 1 / 2 ( F 2 + g 2 ) γ * β * Pr ( Θ p Q ) + k f k thnf EcPr ( 1 + β et e β et i ) 2 + ( β et e ) 2 ( F 2 + g 2 ) = 0 .

Model associated with ternary HNF [44] is delivered as

(10) μ f ( 1 s 3 ) 2.5 ( 1 s 2 ) 2.5 ( 1 s 1 ) 2.5 = μ thb ,

(11) ρ thb = ( 1 s 1 ) { ( 1 s 2 ) [ ( 1 s 3 ) ρ f + s 3 ρ 3 ] + s 2 ρ 2 } + s 1 ρ 1 ,

(12) K hb K nf = K 2 + 2 K nf 2 s 1 ( K nf K 2 ) K 2 + 2 K nf + s 2 ( K nf K 2 ) , K thb K hb = K 1 + 2 K hb 2 s 1 ( K hb K 1 ) K 1 + 2 K hb + s 1 ( K hb K 1 ) ,

(13) K nf K f = K 3 + 2 K f 2 s 3 ( K f K 3 ) K 3 + 2 K f + s 3 ( K f K 3 ) , σ nf σ f = σ 3 ( 1 + 2 s 3 ) + s f ( 1 2 s 3 ) σ 3 ( 1 s 3 ) + σ f ( 1 + s 3 ) ,

(14) σ thb σ hb = σ 1 ( 1 + 2 s 1 ) F hb ( 1 2 s 1 ) σ 1 ( 1 s 1 ) + σ hb ( 1 + s 1 ) , σ hb σ nf = σ 2 ( 1 + 2 s 2 ) + φ nf ( 1 2 s 2 ) σ 2 ( 1 s 2 ) + σ nf ( 1 + s 2 ) .

The Xue model (ternary hybrid) [44] is defined as

(15) K Thb K nf = 1 s 3 + 2 s 3 K 1 K 1 K hb ln K 1 + K hb 2 K hb 1 s 3 + 2 s 3 K hb K 1 K hb ln K 1 + K hb 2 K hb ,

(16) K hb K nf = 1 s 3 + 2 s 3 K 2 K 2 K nf ln K 2 + K nf 2 K hb 1 s 3 + 2 s 3 K nf K 2 K nf ln K 2 + K nf 2 K nf ,

(17) K nf K f = 1 s 1 + 2 s 1 K 3 K 3 K f ln K 3 + K f 2 K f 1 s 3 + 2 s 3 K f K 3 K f ln K 3 + K f 2 K f .

The Xue model (ternary hybrid) [44] is derived as

(18) K hb K nf = K hb K 1 + 2 s 3 0.2 L R 2 s 3 s 3 0.2 L R 1 K hb K 1 K hb K 1 + 2 s 3 0.2 L R s 3 1 K hb K 1 ,

(19) K hb K nf = K nf K 2 + 2 s 2 0.2 L R 2 s 2 s 2 0.2 L R 1 K nf K 2 K nf K 2 + 2 s 2 0.2 L R s 3 1 K nf K 2 ,

(20) K nf K f = K f K 3 + 2 s 1 0.2 L R 2 s 1 s 1 0.2 L R 1 K f K 3 K f K 3 + 2 s 1 0.2 L R s 1 1 K f K 3 .

The model of dusty fluid [45] is mentioned below

(21) ( u p ) x + ( v p ) y + ( w p ) z = 0 ,

(22) u p ( u p ) x + v p ( u p ) y + w p ( u p ) z = Kn ρ p ( u u p ) ,

(23) u p ( v p ) x + v p ( v p ) y + w p ( v p ) z = Kn ρ p ( v v p ) ,

(24) u p ( T p ) x + v p ( T p ) y + w p ( T p ) z = c p c m τ t ( T T p ) .

On utilizing transformations of the dusty model in PDEs of dusty model, the PDEs become

(25) ( F p + g p ) F p ( F p ) 2 g p F p + δ v ( F F p ) = 0 ,

(26) ( F p + g p ) g p ( g p ) 2 g p F p + δ v ( g g p ) = 0 ,

(27) ( F p + g p ) Θ p + λ δ t ( Θ Θ p ) = 0 .

BCs (dimensionless) are

F = 0 , g = 0 , F = λ 1 + α 1 F , g = λ 2 + α 2 g , Θ = 1 + α 3 Θ : η = 0 ,

(28) F 1 , g 1 , Θ 0 : η , F p 0 , g p 0 , F p F , g p g , Θ p 0 .

The shear stresses of walls [40] are reduced as

(29) Cfx = τ xz ( u w ) 2 ρ thnf , ( Re ) 1 2 Cfx = ν thnf ( 1 n ) F ( 0 ) + n 2 We F ( 0 ) ,

(30) C fy = τ yz ( u w ) 2 ρ thnf , ( Re ) 1 2 Cfy = ν thnf ( 1 n ) g ( 0 ) + n 2 We g ( 0 ) .

Nusselt number [40] is

(31) ( Re ) 1 2 Nu = K thnf k f Θ ( 0 ) .

3 Numerical approach

The ability of FEM to produce physically plausible solutions, which are distinguished by consistency, stability, and convergence, makes it a reliable numerical technique that is highly valued. Its adaptability makes it a popular option for mathematicians, physicists, and engineers because it can precisely handle complex geometries. Because of its versatility concerning different BCs and material properties, FEM [44] is frequently utilized in structural analysis and computational fluid dynamics.

The advantages of FEM are listed below.

  • FEM handles irregular shapes and complex geometries;

  • Fluid dynamics, heat transfer, electromagnetics, structural analysis, and many other fields can all benefit from the high versatility of FEM;

  • Depending on the problem’s complexity, FEM can frequently produce precise answers without requiring a large amount of processing power;

  • Implementing different BCs, such as Robin, Neumann, and Dirichlet is a good fit for EM.

  • FEM is beneficial for an extensive range of applications, from straightforward linear models to intricate three-dimensional structures, since it can solve problems in 1D, 2D, and 3D. It also addresses multiphysics problems, such as fluid-structure interaction, in which several physical phenomena interact at the same time.

A structured mesh is created by dividing the computational domain into smaller subdomains, Dom i , for i = 1, 2, …, m. Each subdomain is connected at nodes ( i th ). Discrete analysis is based on the two nodes that make up each line segment. In Figure 1c, the semi-infinite domain is depicted, offering a structure for numerical calculations. This segmentation facilitates the effective application of BCs and partial differential equation solutions. Figure 1d illustrates the division of the subdomain.

The computational domain is described by S = OP and P is the point (where BCs are satisfied). The formulations are formulated on S. OP is divided into small elements Dom i .

(32) Dom i = [ η i , η i + 1 , η i ] .

KL is defined as

(33) KL = 0 , ξ D .

The discretization of problems with weights function is

(34) K i = 1 n H i Ψ i Ψ j d Ω = 0 .

The system of the equation is

(35) AH i = b ,

where A is a matrix (order n × n ) consisting of nodal values ( H i ). A particular element is then used to integrate the weighted residuals.

(36) L h = i = 1 n H i Ψ i ,

where H i = F i , G i , K i , Q i The convergence criterion is

(37) maX | π i rr π i rr 1 | < 10 5 .

3.1 Convergence analysis

The computed data from the grid independence study is displayed in Table 3. In Table 3, simulations of velocity and temperature fields are recorded when the number of elements is increased from 30 to 300. The data, which are taken at the halfway point of each element, demonstrate that the solution converges and remains unaffected by element additions. The current computational study is predicated on the conclusion that the solution stabilizes at 300 elements. Table 4 reveals the validation of the code with the polished study [40] for divergent velocities when β et i = β et e = 0 and We = 0 .

Table 3

Mesh-free analysis of Θ p η max 2 , g p η max 2 , F p η max 2 , g η max 2 , and F η max 2

e F η max 2 g η max 2 Q η max 2 F p η max 2 g p η max 2 Θ p η max 2
30 0.0234056466 0.0580435689 0.182239869 0.9890556832 0.2659396979 0.95097991372
60 0.09263981983 0.3326258029 0.178586925 0.8920320869 0.2309859091 0.75464761241
90 0.4161099304 0.5497993056 0.175164793 0.8089596326 0.1996852665 0.48848906700
120 0.4161099304 0.7030324797 0.171514050 0.7298820903 0.1716998880 0.38762269459
150 0.3662510383 0.8252500601 0.168707319 0.6554327134 0.1466935768 0.30411698221
180 0.5154292282 0.9969330760 0.166264252 0.5859876737 0.1043059661 0.23538172380
210 0.7460303502 0.0050345183 0.166044450 0.5217220983 0.08629197592 0.17292551291
240 0.0561544901 0.1427694011 0.165840482 0.4626561634 0.06999381097 0.09279069767
270 0.05623969901 0.14821369710 0.165423453 0.3596480640 0.05691248717 0.08886785565
300 0.05623100901 0.14825871639 0.165423775 0.3596760803 0.05695862297 0.08882114377
Table 4

Validation of the code with the published study [40] when β et i = β et e = 0 and We = 0

Rana et al. [40] FEM
F ( 0 ) 0.64479203 0.5217220983
g ( 0 ) 0.76390721 0.17292551291

4 Results and discussion

In Section 3, the complex system of ODEs related to phase fluid and dusty phase in the presence of correlations associated with ternary HNF is resolved by advanced FEM. According to this approach, numerical solutions are resolved successfully by developed models. The detailed discussion of defined parameters on phase and dusty models is given below.

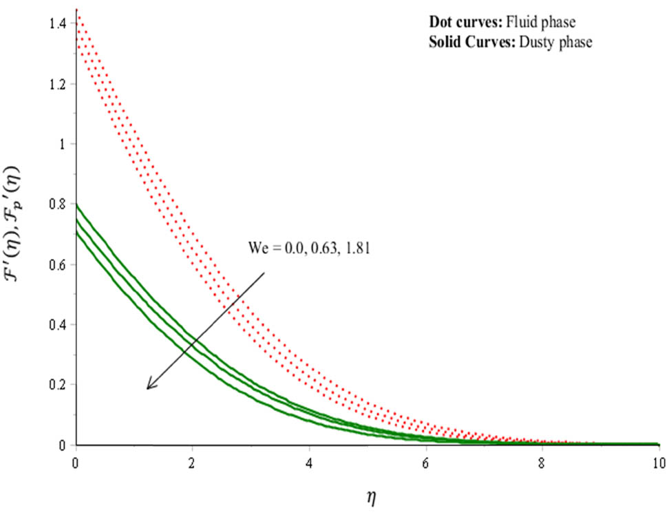
Figures 29 reveal the impacts of We , β et i , β et e , and β on primary and secondary velocity curves for the case of fluid phase and dusty liquid. Here dusty liquid is revealed by solid lines and dot lines reveal the role of fluid liquid. Figures 2 and 6 show the impacts of β et i on primary and secondary velocity curves for fluid phase and dusty liquid. Both velocities (secondary and primary) increase when β et i is enhanced for primary and secondary velocity curves. Ion slip number is a dimensionless number that is applied to knowing neutral particles, and relative velocities. Physically, an enhancement of β et i reveals that the movement of ions is higher than neutral particles. Through collisions, ions can apply momentum to neutral particles. The neutrals accelerate when ions move more quickly and impart more momentum to them. The velocity field as a whole increases as a result of this increased momentum transfer. Figures 3 and 4 illustrate the visualizations of Hall number ( β et e ) on phase velocity and dusty curves. Hall number is utilized for knowing the behavior of Hall impacts that is enhanced due to interactions among electric current and magnetic number, which is carried through charged particles in fluidic motion. It was noticed that the effect of Hall is increased when the Hall number is enhanced. Hall and ion currents are produced when plasma and a magnetic field interact. The force of the magnetic field is opposed by the Hall and ion slip forces created by these currents. As a result, the Lorentz force is produced when the magnetic field is applied to charged particles. The Lorentz force is further reduced by strengthening the opposing forces through an increase in the Hall and ion slip parameters. Because it affects both the general dynamics of magnetic fields and the behavior of charged particles, this effect is especially significant in plasma physics. Therefore, velocity fields are inclined when β et i and β et e are enhanced. Figures 4 and 9 visualize the influence of We on phase velocity and dusty curves. We show the relative contribution of a fluid’s elastic and viscous behaviors to flow. Whereas viscous forces are more important when the Weissenberg number is low, a high number suggests that elastic forces predominate. Therefore, frictional force is increased during flow of nanoparticles when We is enhanced. The Weissenberg number is the proportion of elastic force to viscous force. When We = 0 , the model becomes Newtonian. The viscous force becomes significant when We is enhanced. Due to higher viscous force, resulting flow field declines. Velocity curves (along the y-axis) under variation in β are addressed in Figures 5 and 8. Secondary velocities slow down with a change in β . Here β is called the pressure gradient parameter and β is evaluated as 2 m 1 + m . The pressure gradient parameter ( β ) is frequently used to connect specific flow properties, like shear rate to pressure variations along the flow direction. Thus, this parameter β can adjust how the pressure gradient affects the flow field. A greater m would result in a higher value of β , indicating that the pressure gradient’s effect becomes more significant. On the other hand, β likewise decreases to lessen the impact of the pressure gradient when m is small. Hence, velocity curves decrease when β is increased.

Figure 2 
               Velocity curves (along x-axis) under variation in 
                     
                        
                        
                           
                              
                                 β
                                 et
                              
                              
                                 i
                              
                           
                           .
                        
                        {\beta {et}}_{i}.
Figure 2

Velocity curves (along x-axis) under variation in β et i .

Figure 3 
               Velocity curves (along x-axis) under variation in 
                     
                        
                        
                           
                              
                                 β
                                 et
                              
                              
                                 e
                              
                           
                        
                        {\beta {et}}_{e}
                     
                  .
Figure 3

Velocity curves (along x-axis) under variation in β et e .

Figure 4 
                Velocity curves (along x-axis) under variation in 
                     
                        
                        
                           We
                        
                        {\rm{We}}
                     
                  .
Figure 4

Velocity curves (along x-axis) under variation in We .

Figure 5 
               Velocity curves (along x-axis) under variation in 
                     
                        
                        
                           β
                        
                        \beta 
                     
                  .
Figure 5

Velocity curves (along x-axis) under variation in β .

Figure 6 
               Velocity curves (along y-axis) under variation in 
                     
                        
                        
                           
                              
                                 β
                                 et
                              
                              
                                 i
                              
                           
                        
                        {\beta {et}}_{i}
                     
                  .
Figure 6

Velocity curves (along y-axis) under variation in β et i .

Figure 7 
               Velocity curves (along y-axis) under variation in 
                     
                        
                        
                           
                              
                                 β
                                 et
                              
                              
                                 e
                              
                           
                        
                        {\beta {et}}_{e}
                     
                  .
Figure 7

Velocity curves (along y-axis) under variation in β et e .

Figure 8 
               Velocity curves (along y-axis) under variation in 
                     
                        
                        
                           β
                        
                        \beta 
                     
                  .
Figure 8

Velocity curves (along y-axis) under variation in β .

Figure 9 
               Velocity curves (along y-axis) under variation in 
                     
                        
                        
                           We
                        
                        {\rm{We}}
                     
                  .
Figure 9

Velocity curves (along y-axis) under variation in We .

The temperature curve under variation in Ec for dusty and phase liquid is illustrated in Figure 10. The dimensionless Ec is used to describe the kinetic energy and enthalpy. It notes that Eckert’s number describes the impact of viscous dissipation. An inclination of Ec describes a higher impact of heat energy. Mathematically, the directly proportional relationship is studied between Eckert number and heat energy. The dimensionless Eckert number illustrates the impact of heat produced by friction in a fluid flow. The impact of this frictional heating increases with an increase in the Eckert number. The fluid’s movement produces more heat as the Eckert number increases. The fluid’s temperature rises as a result of absorbing this additional heat. The visualization of ion slip number on thermal energy is captured in Figure 11. It is a dimensionless parameter applied to the study of gases that have been ionized, like plasmas. It describes the neutral species and ions moving about one another in the gas. The ion slip number represents the relative velocity between ions and neutrals. It is defined as the ratio of the ion-neutral collision frequency to the ion gyrofrequency. Mathematically, it can be expressed as ( β et i ). It visualizes that β et i has a directly proportional relation with the change in thermal energy. An increase in β et i results in temperature profile enhancement. The temperature curve under variation in β et e is captured in Figure 12 for dusty as well as phase liquids. An increasing role is displayed in thermal energy when β et e is enhanced. It describes the trend of charge carriers subjected to magnetic field. Charge particles experience an electric field and magnetic field (both perpendicular to each other) called the Hall effect. The relationship between the applied magnetic field, current, and induced electric field is quantified by the Hall parameter. Figure 13 shows the effect of the magnetic number on heat energy for dusty as well as phase liquids. Here M occurs using Joule heating. The process by which heat is produced by electric current flowing through a conductor is called Joule heating, or Ohmic heating. Joule’s law, which asserts that the square of the current and the conductor’s resistance determines the amount of heat produced, explains this phenomenon. The increment in M results in heat energy being enhanced and dissipated significantly. The phenomenon known as Joule heating, or ohmic heating, occurs when heat is produced by an electric current flowing through a conductor. This happens because the electrons collide with the atoms and ions in the material as the current passes through the conductor and encounters resistance.

Figure 10 
               Temperature curve under variation in 
                     
                        
                        
                           Ec
                           .
                        
                        {\rm{Ec}}.
Figure 10

Temperature curve under variation in Ec .

Figure 11 
               Velocity curves under variation in 
                     
                        
                        
                           
                              
                                 β
                                 et
                              
                              
                                 i
                              
                           
                        
                        {\beta {et}}_{i}
                     
                  .
Figure 11

Velocity curves under variation in β et i .

Figure 12 
               Temperature curve under variation in 
                     
                        
                        
                           
                              
                                 β
                                 et
                              
                              
                                 e
                              
                           
                        
                        {\beta {et}}_{e}
                     
                  .
Figure 12

Temperature curve under variation in β et e .

Figure 13 
               Temperature curve under variation in 
                     
                        
                        
                           M
                           .
                        
                        M.
Figure 13

Temperature curve under variation in M .

The change in divergent velocities under β et i and β et e for phase and dusty fluids is addressed in Figure 14. The roles of β et e and β et i are used to determine variation in skin friction coefficient (SFC) between dusty and fluidic phases. These characteristics aid in describing the charged particles such as ions and electrons behave when subjected to magnetic and electric fields. SFC is enhanced when β et i and β et e are inclined. Moreover, the phase fluid in SFC is higher than the dusty phase. The change in divergent velocities under We and m for phase and dusty fluids is captured in Figure 15. The characterizations of m and We on SFC between phase fluid and dusty phase are discussed. Because the fluid’s elastic energy resists deformation, the decreased elasticity frequently results in a lower skin friction coefficient, which can lessen the shear forces applied to the surface. Figure 16 shows the role of Ec and M for phase and dusty fluids on the Nusselt number. Comparative 3D plots of Ec and M on the temperature gradient between tri, hybrid, nanofluid, and working liquid is carried out in Figure 17. The impact of internal friction, or viscous dissipation, on heat transfer is measured by this dimensionless number. Increased heating from fluid particle friction is indicated by higher values of Ec , which raises the temperature gradient. The strength of the applied magnetic field on the fluid is represented by the magnetic parameter. By producing a Lorentz force, increasing M affects the temperature gradient and has the potential to either heat the fluid or change its motion and thermal profile. By increasing the values of M and E results in a decrease in Nusselt number. Table 4 indicates that more heat is retained in the fluid as a result of viscous dissipation when the temperature gradient is reduced by a higher Eckert number. Utilizing both the slip parameter and Hall parameter enhance the temperature gradient in dusty and phase fluids. The temperature gradient rises with higher Pr because thermal diffusion is less efficient. Because elastic effects enhance convective heat transfer, we greatly increase the temperature gradient, particularly in the phase fluid. Table 5 reveals changes in M , We , β et i , β et e , and m on temperature gradient for the cases of Ti O 2 / Al 2 O 3 / Cu -EG and Al 2 O 3 / Cu -EG. SFC for the case of HNF is less than that for tri-HNF. When M and We are enhanced, SFC is inclined. Because the velocity field decreases when M and We. The gradient close to the surface rises as the velocity falls as a result of this magnetic resistance, increasing SFC. Since the SFC and the rate of velocity change close to the boundary are directly correlated, a stronger magnetic field increases friction at the boundary by lowering fluid velocity. But SFC decreases when β et i and β et e are enhanced. Figure 17 estimates the comparison role of tri, di, and HNF using magnetic number and Ec on Nusselt number. It is experienced that the thermal efficiency of tri-hybrid nanostructures is larger than the thermal efficiency of di and hybrid nanostructures (Table 6).

Figure 14 
               Change in divergent velocities under 
                     
                        
                        
                           
                              
                                 β
                                 et
                              
                              
                                 i
                              
                           
                        
                        {\beta {et}}_{i}
                     
                   and 
                     
                        
                        
                           
                              
                                 β
                                 et
                              
                              
                                 e
                              
                           
                        
                        {\beta {et}}_{e}
                     
                   for phase and dusty fluids. (a) Dusty fluid. (b) Phase fluid.
Figure 14

Change in divergent velocities under β et i and β et e for phase and dusty fluids. (a) Dusty fluid. (b) Phase fluid.

Figure 15 
               Change in divergent velocities under 
                     
                        
                        
                           We
                        
                        {We}
                     
                   and 
                     
                        
                        
                           m
                        
                        m
                     
                   for phase and dusty fluids. (a) Dusty fluid. (b) Phase fluid.
Figure 15

Change in divergent velocities under We and m for phase and dusty fluids. (a) Dusty fluid. (b) Phase fluid.

Figure 16 
               Change in temperature gradients under 
                     
                        
                        
                           Ec
                        
                        {Ec}
                     
                   and 
                     
                        
                        
                           M
                        
                        {M}
                     
                   for phase and dusty fluids. (a) Dusty fluid. (b) Phase fluid.
Figure 16

Change in temperature gradients under Ec and M for phase and dusty fluids. (a) Dusty fluid. (b) Phase fluid.

Figure 17 
               Comparative 3D plots of 
                     
                        
                        
                           Ec
                        
                        {Ec}
                     
                   and 
                     
                        
                        
                           M
                        
                        M
                     
                   on the temperature gradient between tri, hybrid, nanofluid, and working liquid.
Figure 17

Comparative 3D plots of Ec and M on the temperature gradient between tri, hybrid, nanofluid, and working liquid.

Table 5

Change in Ec , Pr , β et i , β et e , and We on temperature gradient for the cases of dusty fluid and phase liquid

Dusty fluid Phase fluid
( Re ) 1 2 Nu ( Re ) 1 2 Nu
0.3 0.4027932468 1.119711288
Ec 0.4 0.3542803692 1.081731355
0.6 0.3111527338 1.006274116
206 0.0613507491 1.671369481
Pr 208 0.2297850581 1.867330867
210 0.3798906630 1.922025016
0.0 0.5140671221 1.085666460
β et i 0.3 0.6342066683 1.188126488
0.6 0.7416948762 1.260256048
0.0 0.9231750210 1.304681068
β et e 0.8 0.948868708 1.317159722
1.3 0.993380714 1.338174448
0.0 0.173224774 1.319089034
We 0.6 0.215396722 2.324068272
1.4 0.250209482 2.323484074
Table 6

Change in M , We , β et i , β et e , and m on temperature gradient for the cases of Ti O 2 / Al 2 O 3 / Cu -EG and Al 2 O 3 / Cu -EG

Al 2 O 3 / Cu -EG Ti O 2 / Al 2 O 3 / Cu -EG
( Re ) 1 2 Cfx ( Re ) 1 2 Cfy ( Re ) 1 2 Cfx ( Re ) 1 2 Cfy
0.3 0.6574657074 0.7430512048 1.7159607396 1.7031980705
M 0.4 0.6765520869 0.7758504891 1.6254364987 1.6156856295
0.6 0.6993437672 0.7908548301 1.4962478874 1.4896434850
0.0 0.3140376510 0.3088790779 1.4467961976 1.3411062126
We 0.6 0.3397235951 0.3355774352 1.4657144599 1.3612425869
1.4 0.3778672544 0.3540824597 1.4803379752 1.3966328529
0.0 0.2786662778 0.2751789283 1.2452166541 1.2420338175
β et i 0.3 0.2516658309 0.2484271343 1.2204832124 1.2775027650
0.6 0.2265153852 0.2234872693 1.2753533031 1.2926974648
0.0 0.2029395322 0.2000918116 1.1545794789 1.1520555458
β et e 0.8 0.1807184874 0.1780268752 1.1348043393 1.1323966902
1.3 0.1996611728 0.1372257650 1.0978062868 1.0955940863
0.0 0.1205580703 0.1182289429 1.08254357887 1.08040433723
m 0.8 0.1405580703 0.1482289429 1.08569983234 1.09363636840
1.3 0.1868522531 0.1846928404 1.09143995103 1.14943698119

5 Conclusion

The features of HNF in hyperbolic tangent rheology including dusty fluid on a 3D wedge are studied. Hall forces and ion slip currents are considered for visualization of thermal energy. Multiple slip constraints are incorporated with Joule heating. The role of viscous dissipation is also considered. The finite element approach is employed for numerical purposes. The key findings are listed below.

  • The study discusses a ternary HNF comprising copper, titanium dioxide, and aluminum oxide suspended in ethylene glycol, highlighting nanomaterial applications in thermal systems. Nanotechnology reviews emphasize research on nanomaterials and their thermal properties, and this study contributes by exploring their behavior under slip conditions, which is essential for real-world applications in cooling, automotive thermal control, and more.

  • Thermal efficiency can be maximized by ternary HNFs, a subject of particular interest to industries and researchers working on cooling systems, heat reservoirs, and other related nanotechnology-based thermal applications.

  • Utilizing FEM, this approach helps accurate assessment of the behavior of nanofluids in different conditions;

  • The motion of the dusty fluid is greater than the motion of phase liquid while momentum boundary layer (MBL) (thickness) for dusty fluid is higher than that for phase liquid;

  • The forces (ion slip and Hall effect) bring enhancement thickness (MBL) and motion of fluidic particles;

  • With higher values of We , the declination of dusty and phase liquids occurs whereas thickness (MBL) may be managed utilizing change in We ;

  • Maximum production associated with heat energy may be attained when Ec and magnetic numbers are increased;

  • The dusty phase on the temperature curve is greater than the phase liquid on the temperature curve;

  • Declination of temperature curves is observed when β et i and β et e are increased;

  • Skin friction coefficient are reduced due to the higher values of m, We, β et i and β et e , while the Nusselt number is increased due to the escalating values of Ec and magnetic field;

  • Tri-HNFs’ improved heat transfer properties allow them to have a higher thermal efficiency than hybrid and working fluids. This makes tri-HNFs ideal for use in thermal energy and advanced cooling systems;

  • The current problem is related to tri-HNF along with Casson fluid. Such development is utilized in solar collectors, enhancing cooling processes, drug delivery systems, drilling muds, oil recovery, viscous food products, electronic devices, cancer treatment, and electronics cooling.

6 Future recommendation

The current investigation is constructed on hyperbolic tangent fluid utilizing multiple NF s on the 3D wedge. The currents (ion slip and Hall effect) are analyzed with dust particles. FEM has been utilized for numerical consequences. In the future, the current model will be analyzed in complex non-Newtonian fluids like Maxwell fluid, second-grade fluid, Bingham plastic, Jeffrey fluid and fourth-grade fluids. Moreover, the current model will be analyzed utilizing advanced correlations of nanofluids like tetra- HNFs and penta-HNFs. FEM will be implemented on PDEs on various complex geometries. Including these effects could result in more thorough models that can be used right away in industrial processes and technologies, increasing the usefulness of your research in real-world and business applications.

  1. Funding information: The authors state no funding involved.

  2. Author contributions: U.N.: conceptualization, methodology, software, formal analysis, validation; writing – original draft, data curation, and investigation. U.K.: conceptualization, visualization, writing – review and editing, supervision, resources; and writing – original draft. I.M.: validation; writing review and editing; software; writing – original draft, project administration; and funding acquisition. All authors have accepted responsibility for the entire content of this manuscript and approved its submission.

  3. Conflict of interest: The authors state no conflict of interest.

  4. Data availability statement: The datasets generated and/or analyzed during the current study are available from the corresponding author on reasonable request.

References

[1] Choi SU, Eastman JA. Enhancing thermal conductivity of fluids with nanoparticles (No. ANL/MSD/CP-84938; CONF-951135-29). Argonne, IL (United States): Argonne National Lab. (ANL); 1995.Search in Google Scholar

[2] Shamshuddin MD, Rajput GR, Mishra SR, Salawu SO. Radiative and exponentially space-based thermal generation effects on an inclined hydromagnetic aqueous nanofluid flow past thermal slippage saturated porous media. Int J Mod Phys B. 2023;37(21):2350202.10.1142/S0217979223502028Search in Google Scholar

[3] Shamshuddin MD, Panda S, Pattnaik PK, Mishra SR. Ferromagnetic and ohmic effects on nanofluid flow via permeability rotative disk: Significant interparticle radial and nanoparticle radius. Phys Scr. 2024;99(5):055206.10.1088/1402-4896/ad35f8Search in Google Scholar

[4] Shamshuddin MD, Saeed A, Mishra SR, Katta R, Eid MR. Homotopic simulation of MHD bioconvective flow of water-based hybrid nanofluid over a thermal convective exponential stretching surface. Int J Numer Methods Heat Fluid Flow. 2024;34(1):31–53.10.1108/HFF-03-2023-0128Search in Google Scholar

[5] Shamshuddin MD, Saeed A, Asogwa KK, Jamshed W. A semi-analytical approach to investigate the entropy generation in a tangent hyperbolic magnetized hybrid nanofluid flow upon a stretchable rotating disk. J Magn Magn Mater. 2023;574:170664.10.1016/j.jmmm.2023.170664Search in Google Scholar

[6] Shamshuddin MD, Raizah Z, Akkurt N, Patil VS, Eldin SM. Case study of thermal and solutal aspects on non-Newtonian Prandtl hybrid nanofluid flowing via stretchable sheet: multiple slip solution. Case Stud Therm Eng. 2023;49:103186.10.1016/j.csite.2023.103186Search in Google Scholar

[7] Kumar A, Ray AK, Saha S, Tanwar DV, Kumar B, Sheremet MA. Flow of hybrid nanomaterial over a wedge: Shape factor of nanoparticles impact. Eur Phys J Plus. 2023;138(10):901.10.1140/epjp/s13360-023-04535-8Search in Google Scholar

[8] Karthik K, JK M, Kiran S, KV N, Prasannakumara BC, Fehmi G. Impacts of thermophoretic deposition and thermal radiation on heat and mass transfer analysis of ternary nanofluid flow across a wedge. Int J Model Simul. 2024;15:1–13.10.1080/02286203.2023.2298234Search in Google Scholar

[9] Sajid T, Gari AA, Jamshed W, Eid MR, Islam N, Irshad K, et al. Case study of autocatalysis reactions on tetra hybrid binary nanofluid flow via Riga wedge: Biofuel thermal application. Case Stud Therm Eng. 2023;47:103058.10.1016/j.csite.2023.103058Search in Google Scholar

[10] Patil PM, Goudar B, Momoniat E. Magnetized bioconvective micropolar nanofluid flow over a wedge in the presence of oxytactic microorganisms. Case Stud Therm Eng. 2023;49:103284.10.1016/j.csite.2023.103284Search in Google Scholar

[11] Abbasi A, Al-Khaled K, Khan MI, Khan SU, El-Refaey AM, Farooq W, et al. Optimized analysis and enhanced thermal efficiency of modified hybrid nanofluid (Al2O3, CuO, Cu) with nonlinear thermal radiation and shape features. Case Stud Therm Eng. 2021;28:101425.10.1016/j.csite.2021.101425Search in Google Scholar

[12] Saleem S, Ahmad B, Naseem A, Riaz MB, Abbas T. Mono and hybrid nanofluid analysis over shrinking surface with thermal radiation: A numerical approach. Case Stud Therm Eng. 2024;54:104023.10.1016/j.csite.2024.104023Search in Google Scholar

[13] Sagheer S, Farooq U, Hussain M. Non-similar investigation of enhanced thermal efficiency of Maxwell based hybrid nanofluid (MoS2+ ZnO) across a linearly stretched surface. J Magn Magn Mater. 2023;565:170285.10.1016/j.jmmm.2022.170285Search in Google Scholar

[14] Sultana N, Shaw S, Mondal S, Nayak MK, Nazari S, Mouldi A, et al. Hall and ion-slip current efficacy on thermal performance of magnetic power-law hybrid nanofluid using modified Fourier’s law. Ain Shams Eng J. 2024;15:102838.10.1016/j.asej.2024.102838Search in Google Scholar

[15] Gul H, Ramzan M, Saleel CA, Kadry S. Hall current and ion slip effects on a ternary hybrid nanofluid flow over a bidirectional surface with chemical reaction and Cattaneo–Christov heat flux. Numer Heat Transfer, Part A: Appl. 2023;1–16.10.1080/10407782.2023.2296130Search in Google Scholar

[16] Das S, Barman B. Ramification of Hall and ion-slip currents on electro-osmosis of ionic hybrid nanofluid in a peristaltic microchannel. BioNanoScience. 2022;12(3):957–78.10.1007/s12668-022-01002-zSearch in Google Scholar

[17] Krishna MV, Chamkha AJ. Hall and ion slip impacts on unsteady MHD convective flow of Ag-TiO2/WEG hybrid nanofluid in a rotating frame. Curr Nanosci. 2023;19(1):15–32.10.2174/1573413717666211018113823Search in Google Scholar

[18] Kodi R, Ravuri MR, Veeranna V, Khan MI, Abdullaev S, Tamam N. Hall current and thermal radiation effects of 3D rotating hybrid nanofluid reactive flow via stretched plate with internal heat absorption. Results Phys. 2023;53:106915.10.1016/j.rinp.2023.106915Search in Google Scholar

[19] Jameel M, Shah Z, Shafiq A, Rooman M, Vrinceanu N, Alshehri A, et al. Statistical and entropy optimization modeling for radiative hybrid nanofluid flow with Hall effect over exponential stretching/shrinking plate. Int J Thermofluids. 2023;20:100398.10.1016/j.ijft.2023.100398Search in Google Scholar

[20] Sharif H, Ali B, Siddique I, Saman I, Jaradat MM, Sallah M. Numerical investigation of dusty tri-hybrid Ellis rotating nanofluid flow and thermal transportation over a stretchable Riga plate. Sci Rep. 2023;13(1):14272.10.1038/s41598-023-41141-1Search in Google Scholar PubMed PubMed Central

[21] Khan D, Kumam P, Watthayu W, Jarad F. Exploring the potential of heat transfer and entropy generation of generalized dusty tetra hybrid nanofluid in a microchannel. Chin J Phys. 2024;89:1009–23.10.1016/j.cjph.2023.10.006Search in Google Scholar

[22] Babu MJ, Sandeep N, Saleem S. Free convective MHD Cattaneo-Christov flow over three different geometries with thermophoresis and Brownian motion. Alex Eng J. 2017;56(4):659–69.10.1016/j.aej.2017.01.005Search in Google Scholar

[23] Awais M, Awan SE, Iqbal K, Khan ZA, Raja MA. Hydromagnetic mixed convective flow over a wall with variable thickness and Cattaneo-Christov heat flux model: OHAM analysis. Results Phys. 2018;8:621–7.10.1016/j.rinp.2017.12.043Search in Google Scholar

[24] Akbar NS, Akram J, Hussain MF, Maraj EN, Muhammad T. Thermal storage study and enhancement of heat transfer through hybrid Jeffrey nanofluid flow in ducts under peristaltic motion with entropy generation. Therm Sci Eng Prog. 2024;49:102463.10.1016/j.tsep.2024.102463Search in Google Scholar

[25] Akbar NS, Akram J, Fiaz Hussain M, Maraj EN, Muhammad T. Hybrid nanofluid flow and heat transfer in symmetric porous ducts with CuO nanoparticles and multi-walled carbon nanotubes under peristaltic motion. Mod Phys Lett B. 2024;1–15:2450333.10.1142/S0217984924503330Search in Google Scholar

[26] Adhikari R, Das S, Das S. Neural networks-based framework for recognizing streaming patterns in magnetized Maxwell–Oldroyd-B blood blended with tetra-hybrid nanoparticles and microbes over stenosis in an elastic artery. Eng Appl Artif Intell. 2024;136:109048.10.1016/j.engappai.2024.109048Search in Google Scholar

[27] Paul P, Karmakar P, Das S, Das S. Demonstration of angioplasty using a balloon catheter in tetra-hybrid nano-bloodstream within an electrified stenotic arterial cavity under a magnetic field: Artificial neural network analysis. Biomed Signal Process Control. 2024;96:106549.10.1016/j.bspc.2024.106549Search in Google Scholar

[28] Lund LA, Asghar A, Rasool G, Yashkun U. Magnetized casson SA-hybrid nanofluid flow over a permeable moving surface with thermal radiation and Joule heating effect. Case Stud Therm Eng. 2023;50:103510.10.1016/j.csite.2023.103510Search in Google Scholar

[29] Lund LA, Omar Z, Khan I. Steady incompressible magnetohydrodynamics Casson boundary layer flow past a permeable vertical and exponentially shrinking sheet: A stability analysis. Heat Transf – Asian Res. 2019;48(8):3538–56.10.1002/htj.21554Search in Google Scholar

[30] Asghar A, Dero S, Lund LA, Shah Z, Alshehri MH, Vrinceanu N. Slip effects on magnetized radiatively hybridized ferrofluid flow with acute magnetic force over shrinking/stretching surface. Open Phys. 2024;22(1):20240052.10.1515/phys-2024-0052Search in Google Scholar

[31] Yashkun U, Zaimi K, Lund LA. MHD stagnation point flow with thermal radiation and slip effect over a linear stretching sheet. J Mt Area Res. 2023;8:49–59.10.53874/jmar.v8i0.175Search in Google Scholar

[32] Yashkun U, Lund LA, Zaimi K, Shah Z, Alshehri MH, Vrinceanu N, et al. Computational study of magnetite-ethylene glycol–water-based hybrid nanofluid dynamics on an exponential shrinking/stretching Riga surface under radiative heat flux. Colloid Polym Sci. 2024;1–15.10.1007/s00396-024-05332-0Search in Google Scholar

[33] Akbar NS, Rafiq M, Muhammad T, Alghamdi M. Biological structural study for the blood casson fluid flow in catheterized diverging tapered stenosed arteries with emerging shaped nanoparticles: application in drug delivery. Microfluid Nanofluid. 2024;28(6):1–14.10.1007/s10404-024-02735-xSearch in Google Scholar

[34] Akbar NS, Rafiq M, Muhammad T, Alghamdi M. Propulsive study of blood flow with heat transfer enhancement connection to ferro copper magnetized nanoparticles in converging tapered stenosed arterial surface. Int J Mod Phys B. 2024;35–47:2550055.10.1142/S0217979225500559Search in Google Scholar

[35] Mekheimer KS, Mohamed El‐Sayed MO, Akbar NS, Gouda AA. Physics‐informed deep learning study for MHD particle‐fluid suspension flow with heat transfer in porous annular‐sector duct. Heat Transf. 2024;53(4):1749–69.10.1002/htj.23017Search in Google Scholar

[36] Ali A, Das S, Jana RN. Oblique rotational dynamics of chemically reacting tri-hybridized nanofluids over a suddenly moved plate subject to Hall and ion slip currents, Newtonian heating and mass fluxes. J Indian Chem Soc. 2023;100(4):100983.10.1016/j.jics.2023.100983Search in Google Scholar

[37] Sarkar S, Das S. Gyrotactic microbes’ movement in a magneto-nano-polymer induced by a stretchable cylindrical surface set in a DF porous medium subject to non-linear radiation and Arrhenius kinetics. Int J Model Simul. 2023;1–18.10.1080/02286203.2023.2205987Search in Google Scholar

[38] Ali A, Das S, Muhammad T. Dynamics of blood conveying copper, gold, and titania nanoparticles through the diverging/converging ciliary micro-vessel: further analysis of ternary-hybrid nanofluid. J Mol Liq. 2023;390:122959.10.1016/j.molliq.2023.122959Search in Google Scholar

[39] Ali A, Das S, Jana RN. MHD gyrating stream of non‐Newtonian modified hybrid nanofluid past a vertical plate with ramped motion, Newtonian heating and Hall currents. ZAMM‐J Appl Math Mech/Z Angew Math Mech. 2023;103(9):e202200080.10.1002/zamm.202200080Search in Google Scholar

[40] Rana P, Gupta S, Gupta G. FEM computations and Taguchi optimization in nonlinear radiative MHD MWCNT-MgO/EG hybrid nanoliquid flow and heat transfer over a 3D wedge surface. Case Stud Therm Eng. 2023;41:102639.10.1016/j.csite.2022.102639Search in Google Scholar

[41] Kudenatti RB, Gogate S SP, Bujurke NM. Asymptotic and numerical solutions of three‐dimensional boundary‐layer flow past a moving wedge. Math Methods Appl Sci. 2018;41(7):2602–14.10.1002/mma.4761Search in Google Scholar

[42] Kudenatti RB, Jyothi B. Computational and asymptotic methods for three-dimensional boundary-layer flow and heat transfer over a wedge. Eng Computers. 2020;36(4):1467–83.10.1007/s00366-019-00776-3Search in Google Scholar

[43] Rana P, Gupta G. Numerical and sensitivity computations of three-dimensional flow and heat transfer of nanoliquid over a wedge using modified Buongiorno model. Comput Math Appl. 2021;101:51–62.10.1016/j.camwa.2021.09.010Search in Google Scholar

[44] Mohsin BB, Abbas M, Asamoah JKK, Rehman MJU, Umer M, Mahariq I. A computational framework of Marangoni convective flow of trihybrid nanofluid with thermo-bioconvection and oxytactic microorganisms based on the extended version of Xue and Yamada-Ota models. Res Sq. 2024.10.21203/rs.3.rs-4404759/v1Search in Google Scholar

[45] Elboughdiri N, Nazir U, Sohail M, Abd Allah AM. Combine thermal performance based on dust particles and Hall and ion slip currents including tetra-hybrid nanoparticles on Howarth’s wavy pipe. Results Eng. 2024;23:102666.10.1016/j.rineng.2024.102666Search in Google Scholar

Received: 2024-08-11
Revised: 2025-01-07
Accepted: 2025-08-07
Published Online: 2025-09-17

© 2025 the author(s), published by De Gruyter

This work is licensed under the Creative Commons Attribution 4.0 International License.

Articles in the same Issue

  1. Research Articles
  2. MHD radiative mixed convective flow of a sodium alginate-based hybrid nanofluid over a convectively heated extending sheet with Joule heating
  3. Experimental study of mortar incorporating nano-magnetite on engineering performance and radiation shielding
  4. Multicriteria-based optimization and multi-variable non-linear regression analysis of concrete containing blends of nano date palm ash and eggshell powder as cementitious materials
  5. A promising Ag2S/poly-2-amino-1-mercaptobenzene open-top spherical core–shell nanocomposite for optoelectronic devices: A one-pot technique
  6. Biogenic synthesized selenium nanoparticles combined chitosan nanoparticles controlled lung cancer growth via ROS generation and mitochondrial damage pathway
  7. Fabrication of PDMS nano-mold by deposition casting method
  8. Stimulus-responsive gradient hydrogel micro-actuators fabricated by two-photon polymerization-based 4D printing
  9. Physical aspects of radiative Carreau nanofluid flow with motile microorganisms movement under yield stress via oblique penetrable wedge
  10. Effect of polar functional groups on the hydrophobicity of carbon nanotubes-bacterial cellulose nanocomposite
  11. Review in green synthesis mechanisms, application, and future prospects for Garcinia mangostana L. (mangosteen)-derived nanoparticles
  12. Entropy generation and heat transfer in nonlinear Buoyancy–driven Darcy–Forchheimer hybrid nanofluids with activation energy
  13. Green synthesis of silver nanoparticles using Ginkgo biloba seed extract: Evaluation of antioxidant, anticancer, antifungal, and antibacterial activities
  14. A numerical analysis of heat and mass transfer in water-based hybrid nanofluid flow containing copper and alumina nanoparticles over an extending sheet
  15. Investigating the behaviour of electro-magneto-hydrodynamic Carreau nanofluid flow with slip effects over a stretching cylinder
  16. Electrospun thermoplastic polyurethane/nano-Ag-coated clear aligners for the inhibition of Streptococcus mutans and oral biofilm
  17. Investigation of the optoelectronic properties of a novel polypyrrole-multi-well carbon nanotubes/titanium oxide/aluminum oxide/p-silicon heterojunction
  18. Novel photothermal magnetic Janus membranes suitable for solar water desalination
  19. Green synthesis of silver nanoparticles using Ageratum conyzoides for activated carbon compositing to prepare antimicrobial cotton fabric
  20. Activation energy and Coriolis force impact on three-dimensional dusty nanofluid flow containing gyrotactic microorganisms: Machine learning and numerical approach
  21. Machine learning analysis of thermo-bioconvection in a micropolar hybrid nanofluid-filled square cavity with oxytactic microorganisms
  22. Research and improvement of mechanical properties of cement nanocomposites for well cementing
  23. Thermal and stability analysis of silver–water nanofluid flow over unsteady stretching sheet under the influence of heat generation/absorption at the boundary
  24. Cobalt iron oxide-infused silicone nanocomposites: Magnetoactive materials for remote actuation and sensing
  25. Magnesium-reinforced PMMA composite scaffolds: Synthesis, characterization, and 3D printing via stereolithography
  26. Bayesian inference-based physics-informed neural network for performance study of hybrid nanofluids
  27. Numerical simulation of non-Newtonian hybrid nanofluid flow subject to a heterogeneous/homogeneous chemical reaction over a Riga surface
  28. Enhancing the superhydrophobicity, UV-resistance, and antifungal properties of natural wood surfaces via in situ formation of ZnO, TiO2, and SiO2 particles
  29. Synthesis and electrochemical characterization of iron oxide/poly(2-methylaniline) nanohybrids for supercapacitor application
  30. Impacts of double stratification on thermally radiative third-grade nanofluid flow on elongating cylinder with homogeneous/heterogeneous reactions by implementing machine learning approach
  31. Synthesis of Cu4O3 nanoparticles using pumpkin seed extract: Optimization, antimicrobial, and cytotoxicity studies
  32. Cationic charge influence on the magnetic response of the Fe3O4–[Me2+ 1−y Me3+ y (OH2)] y+(Co3 2−) y/2·mH2O hydrotalcite system
  33. Pressure sensing intelligent martial arts short soldier combat protection system based on conjugated polymer nanocomposite materials
  34. Magnetohydrodynamics heat transfer rate under inclined buoyancy force for nano and dusty fluids: Response surface optimization for the thermal transport
  35. Fly ash and nano-graphene enhanced stabilization of engine oil-contaminated soils
  36. Enhancing natural fiber-reinforced biopolymer composites with graphene nanoplatelets: Mechanical, morphological, and thermal properties
  37. Performance evaluation of dual-scale strengthened co-bonded single-lap joints using carbon nanotubes and Z-pins with ANN
  38. Computational works of blood flow with dust particles and partially ionized containing tiny particles on a moving wedge: Applications of nanotechnology
  39. Hybridization of biocomposites with oil palm cellulose nanofibrils/graphene nanoplatelets reinforcement in green epoxy: A study of physical, thermal, mechanical, and morphological properties
  40. Design and preparation of micro-nano dual-scale particle-reinforced Cu–Al–V alloy: Research on the aluminothermic reduction process
  41. Spectral quasi-linearization and response optimization on magnetohydrodynamic flow via stenosed artery with hybrid and ternary solid nanoparticles: Support vector machine learning
  42. Ferrite/curcumin hybrid nanocomposite formulation: Physicochemical characterization, anticancer activity, and apoptotic and cell cycle analyses in skin cancer cells
  43. Enhanced therapeutic efficacy of Tamoxifen against breast cancer using extra virgin olive oil-based nanoemulsion delivery system
  44. A titanium oxide- and silver-based hybrid nanofluid flow between two Riga walls that converge and diverge through a machine-learning approach
  45. Enhancing convective heat transfer mechanisms through the rheological analysis of Casson nanofluid flow towards a stagnation point over an electro-magnetized surface
  46. Intrinsic self-sensing cementitious composites with hybrid nanofillers exhibiting excellent piezoresistivity
  47. Research on mechanical properties and sulfate erosion resistance of nano-reinforced coal gangue based geopolymer concrete
  48. Impact of surface and configurational features of chemically synthesized chains of Ni nanostars on the magnetization reversal process
  49. Porous sponge-like AsOI/poly(2-aminobenzene-1-thiol) nanocomposite photocathode for hydrogen production from artificial and natural seawater
  50. Multifaceted insights into WO3 nanoparticle-coupled antibiotics to modulate resistance in enteric pathogens of Houbara bustard birds
  51. Synthesis of sericin-coated silver nanoparticles and their applications for the anti-bacterial finishing of cotton fabric
  52. Enhancing chloride resistance of freeze–thaw affected concrete through innovative nanomaterial–polymer hybrid cementitious coating
  53. Development and performance evaluation of green aluminium metal matrix composites reinforced with graphene nanopowder and marble dust
  54. Morphological, physical, thermal, and mechanical properties of carbon nanotubes reinforced arrowroot starch composites
  55. Influence of the graphene oxide nanosheet on tensile behavior and failure characteristics of the cement composites after high-temperature treatment
  56. Central composite design modeling in optimizing heat transfer rate in the dissipative and reactive dynamics of viscoplastic nanomaterials deploying Joule and heat generation aspects
  57. Double diffusion of nano-enhanced phase change materials in connected porous channels: A hybrid ISPH-XGBoost approach
  58. Synergistic impacts of Thompson–Troian slip, Stefan blowing, and nonuniform heat generation on Casson nanofluid dynamics through a porous medium
  59. Optimization of abrasive water jet machining parameters for basalt fiber/SiO2 nanofiller reinforced composites
  60. Enhancing aesthetic durability of Zisha teapots via TiO2 nanoparticle surface modification: A study on self-cleaning, antimicrobial, and mechanical properties
  61. Nanocellulose solution based on iron(iii) sodium tartrate complexes
  62. Combating multidrug-resistant infections: Gold nanoparticles–chitosan–papain-integrated dual-action nanoplatform for enhanced antibacterial activity
  63. Novel royal jelly-mediated green synthesis of selenium nanoparticles and their multifunctional biological activities
  64. Direct bandgap transition for emission in GeSn nanowires
  65. Synthesis of ZnO nanoparticles with different morphologies using a microwave-based method and their antimicrobial activity
  66. Numerical investigation of convective heat and mass transfer in a trapezoidal cavity filled with ternary hybrid nanofluid and a central obstacle
  67. Halloysite nanotube enhanced polyurethane nanocomposites for advanced electroinsulating applications
  68. Low molar mass ionic liquid’s modified carbon nanotubes and its role in PVDF crystalline stress generation
  69. Green synthesis of polydopamine-functionalized silver nanoparticles conjugated with Ceftazidime: in silico and experimental approach for combating antibiotic-resistant bacteria and reducing toxicity
  70. Evaluating the influence of graphene nano powder inclusion on mechanical, vibrational and water absorption behaviour of ramie/abaca hybrid composites
  71. Dynamic-behavior of Casson-type hybrid nanofluids due to a stretching sheet under the coupled impacts of boundary slip and reaction-diffusion processes
  72. Influence of polyvinyl alcohol on the physicochemical and self-sensing properties of nano carbon black reinforced cement mortar
  73. Advanced machine learning approaches for predicting compressive and flexural strength of carbon nanotube–reinforced cement composites: a comparative study and model interpretability analysis
  74. Artificial neural network-driven insights into nanoparticle-enhanced phase change materials melting for heat storage optimization
  75. Optical, structural, and morphological characterization of hydrothermally synthesized zinc oxide nanorods: exploring their potential for environmental applications
  76. Structural, optical, and gas sensing properties of Ce, Nd, and Pr doped ZnS nanostructured thin films prepared by nebulizer spray pyrolysis method
  77. The influence of nano-size La2O3 and HfC on the microstructure and mechanical properties of tungsten alloys by microwave sintering
  78. 10.1515/ntrev-2025-0187
  79. Review Articles
  80. A comprehensive review on hybrid plasmonic waveguides: Structures, applications, challenges, and future perspectives
  81. Nanoparticles in low-temperature preservation of biological systems of animal origin
  82. Fluorescent sulfur quantum dots for environmental monitoring
  83. Nanoscience systematic review methodology standardization
  84. Nanotechnology revolutionizing osteosarcoma treatment: Advances in targeted kinase inhibitors
  85. AFM: An important enabling technology for 2D materials and devices
  86. Carbon and 2D nanomaterial smart hydrogels for therapeutic applications
  87. Principles, applications and future prospects in photodegradation systems
  88. Do gold nanoparticles consistently benefit crop plants under both non-stressed and abiotic stress conditions?
  89. An updated overview of nanoparticle-induced cardiovascular toxicity
  90. Arginine as a promising amino acid for functionalized nanosystems: Innovations, challenges, and future directions
  91. Advancements in the use of cancer nanovaccines: Comprehensive insights with focus on lung and colon cancer
  92. Membrane-based biomimetic delivery systems for glioblastoma multiforme therapy
  93. The drug delivery systems based on nanoparticles for spinal cord injury repair
  94. Green synthesis, biomedical effects, and future trends of Ag/ZnO bimetallic nanoparticles: An update
  95. Application of magnesium and its compounds in biomaterials for nerve injury repair
  96. Micro/nanomotors in biomedicine: Construction and applications
  97. Hydrothermal synthesis of biomass-derived CQDs: Advances and applications
  98. Research progress in 3D bioprinting of skin: Challenges and opportunities
  99. Review on bio-selenium nanoparticles: Synthesis, protocols, and applications in biomedical processes
  100. Gold nanocrystals and nanorods functionalized with protein and polymeric ligands for environmental, energy storage, and diagnostic applications: A review
  101. An in-depth analysis of rotational and non-rotational piezoelectric energy harvesting beams: A comprehensive review
  102. Advancements in perovskite/CIGS tandem solar cells: Material synergies, device configurations, and economic viability for sustainable energy
  103. Deep learning in-depth analysis of crystal graph convolutional neural networks: A new era in materials discovery and its applications
  104. Review of recent nano TiO2 film coating methods, assessment techniques, and key problems for scaleup
  105. Antioxidant quantum dots for spinal cord injuries: A review on advancing neuroprotection and regeneration in neurological disorders
  106. Rise of polycatecholamine ultrathin films: From synthesis to smart applications
  107. Advancing microencapsulation strategies for bioactive compounds: Enhancing stability, bioavailability, and controlled release in food applications
  108. Advances in the design and manipulation of self-assembling peptide and protein nanostructures for biomedical applications
  109. Photocatalytic pervious concrete systems: from classic photocatalysis to luminescent photocatalysis
  110. Beyond science: ethical and societal considerations in the era of biogenic nanoparticles
  111. Corrigendum
  112. Corrigendum to “Synthesis and characterization of smart stimuli-responsive herbal drug-encapsulated nanoniosome particles for efficient treatment of breast cancer”
  113. Special Issue on Advanced Nanomaterials for Carbon Capture, Environment and Utilization for Energy Sustainability - Part III
  114. Efficiency optimization of quantum dot photovoltaic cell by solar thermophotovoltaic system
  115. Exploring the diverse nanomaterials employed in dental prosthesis and implant techniques: An overview
  116. Electrochemical investigation of bismuth-doped anode materials for low‑temperature solid oxide fuel cells with boosted voltage using a DC-DC voltage converter
  117. Synthesis of HfSe2 and CuHfSe2 crystalline materials using the chemical vapor transport method and their applications in supercapacitor energy storage devices
  118. Special Issue on Green Nanotechnology and Nano-materials for Environment Sustainability
  119. Influence of nano-silica and nano-ferrite particles on mechanical and durability of sustainable concrete: A review
  120. Surfaces and interfaces analysis on different carboxymethylation reaction time of anionic cellulose nanoparticles derived from oil palm biomass
  121. Processing and effective utilization of lignocellulosic biomass: Nanocellulose, nanolignin, and nanoxylan for wastewater treatment
  122. Wound healing activities of sulfur nanoparticles of Allium cepa extract embedded in a nanocream formulation: in vitro and in vivo studies
  123. Retraction
  124. Retraction of “Aging assessment of silicone rubber materials under corona discharge accompanied by humidity and UV radiation”
Downloaded on 25.3.2026 from https://www.degruyterbrill.com/document/doi/10.1515/ntrev-2025-0150/html
Scroll to top button