Home Physical Sciences Synergistic impacts of Thompson–Troian slip, Stefan blowing, and nonuniform heat generation on Casson nanofluid dynamics through a porous medium
Article Open Access

Synergistic impacts of Thompson–Troian slip, Stefan blowing, and nonuniform heat generation on Casson nanofluid dynamics through a porous medium

  • Mohammed Alrehili EMAIL logo
Published/Copyright: November 1, 2025
Become an author with De Gruyter Brill

Abstract

A cornerstone of classical fluid dynamics, the no-slip boundary condition posits that fluid particles adjacent to a solid boundary share the velocity of that surface. While this principle is foundational to Navier-Stokes theory, its validity breaks down under certain physical conditions. The present work investigates the hydrodynamic implications of wall slip, characterized by the Thompson–Troian model, on the behavior of a non-Newtonian Casson nanofluid over a stretching surface. In addition, the Stefan blowing effect is incorporated as a key practical consideration. The research also evaluates how variable heat generation interacts with the Cattaneo–Christov heat flux model. The fluid motion in this system is driven by the linear stretching of an elastic sheet embedded in a porous medium, with an applied magnetic field influencing the flow. By applying a suitable mathematical transformation, the governing partial differential equations are converted into ordinary differential equations, which are then solved numerically using the shooting technique. Graphical representations illustrate the behavior of the Casson nanofluid, including velocity profiles, thermal distribution, concentration patterns, and overall flow characteristics. A significant observation from this study is that, compared to the no-slip condition, the presence of slip enhances temperature distribution while reducing nanofluid velocity. The numerical results align well with prior studies, showing strong quantitative agreement. The findings reveal intriguing fluid dynamics phenomena, suggesting potential applications and avenues for future research in this domain.

MSC 2020: 202A; 201A

Nomenclature

k 0

permeability of the porous medium ( m 2 )

a

positive constant ( s 1 )

C

mass concentration of dispersed nanoparticles ( mol L 1 )

u , v

velocity components in x - and y -direction; respectively ( m s 1 )

D B

Brownian motion coefficient ( m 2 s 1 )

C w

factor influencing the rate of nanoparticle aggregation on the sheet ( mol L 1 )

M

magnetic parameter

B 0

strength of the imposed magnetic field ( T )

B t

thermophoresis parameter

q

volumetric heat generation rate ( W m 3 )

B r

Brownian motion parameter

f

dimensionless stream representation

Ec

Eckert number

Pr

Prandtl number

u w

velocity of stretching ( m s 1 )

T w

heat intensity adjacent to the sheet (K)

c p

thermal capacity ( J kg 1 K 1 )

T

temperature nanofluid (K)

Le

Lewis number

T

thermal level away the sheet (K)

C

factor regulating asymptotic nanoparticle presence ( mol L 1 )

Greek symbols

θ

dimensionless temperature

μ

nanofluid viscosity ( kg m 1 s 1 )

ϕ

dimensionless concentration

Γ

Casson parameter

Γ 2

temperature coefficient of heat generation

Ω T

Cattaneo–Christov coefficient ( K s 2 )

κ

thermal conductivity ( W m 1 K 1 )

λ 1

hydraulic slip factor (m)

Γ 1

spatial coefficient of heat generation

λ

slip velocity parameter

ρ

density ( kg m 3 )

σ

electric conductivity ( S m 1 )

β

thermal relaxation parameter

δ

porous parameter

ξ

Stefan blowing parameter

ζ

critical shear parameter

ψ

stream function ( m 2 s 1 )

η

similarity variable

ν

kinematic viscosity ( m 2 s 1 )

1 Introduction

Nanofluids represent a class of engineered colloidal suspensions where nanoparticles are uniformly dispersed within a conventional base fluid. These advanced heat transfer media have attracted significant research interest owing to their superior thermal properties and demonstrated potential to substantially improve thermal management efficiency. Consequently, replacing traditional fluids with nanofluids offers considerable advantages in a wide range of cooling and energy systems. Their novel enhanced thermal properties have become a major focus of main applicable researches. Choi [1] pioneered the topic of nanofluids and their researches, and this novel work has spurred considerable interest across different manufacturing and engineering fields. These unique and exceptional properties of nanofluids have prompted many researchers to explore their integration into fundamental manufacturing processes. Further, investigation into nanofluids topics, particularly focusing on heat transfer mechanisms and enhancement through different applicable branches, is a vibrant and active field, especially relevant given the rise of novel technologies and industrial applications. Therefore, nanofluids have include diverse and significant applications across numerous engineering fields, as detailed in the literature [28]. These examples, spanning various industries, demonstrate the considerable importance of nanofluids for improving heat and mass transfer mechanism.

Nowadays, within various contemporary industry, optimizing a lot of biomedical processes depends basically on considering slip phenomenon in the flow of fluids that containing nanoparticles. In medical field, especially through designing heart valves, this condition is crucial for accurately managing the flow of blood fluid within it based on the patient’s cardiac state. Incorporating nanoparticles within base fluid can present enhanced control to the flow mechanism, leading to decreased friction and enhanced efficiency in artificial heart valve design. Navier [9] was the leader to establish the original study and the cornerstone for the slip phenomenon in fluid mechanics. He also proposed that this phenomenon is basically depends linearly on the shear stress. Based on Navier’s foundational work, Maxwell [10] derived a separate relation that can describe gas slip phenomenon at a solid boundary. Because the topic of nanofluids are so important in different applications, it is crucial to use the appropriate model when considering the slip velocity phenomenon. Researches have proved that the Thompson and Troian [11] model is the best and precise model for studying nanofluids when slip velocity is taken into consideration. Numerous studies [1216] have demonstrated the versatility the significance of Thompson and Troian model in various nanofluid applications and models.

The blowing impact is caused by the movement of some tiny particles, including nanoparticles, from one location to another. This important process plays a crucial role in various physical phenomena such as evaporation, combustion, material synthesis, and distillation. While injection refers to introduce another fluid into a system or base fluid, often under pressure, to control its flow and placement. Stefan blowing [17] describes the mass transfer process or the fluid flow that occurs due to evaporation at a sheet surface. This phenomenon is driven by concentration or temperature gradients, which cause molecules to move either away from or toward the surface. Stefan blowing has a considerable impact on several industrial processes, notably lubrication [18]. Additional noteworthy applications of nanofluids coupled with the Stefan blowing phenomenon are extensively detailed in references [1921].

This research examines the combined effects of Stefan blowing and the Thompson–Troian slip condition on a Casson nanofluid flowing over a porous stretching sheet, considering variable heat generation and Cattaneo–Christov thermal and mass flux boundary conditions. To the authors’ knowledge, no prior study has simultaneously analyzed this comprehensive model, which integrates viscous dissipation, induced magnetism, Ohmic heating, slip mechanisms, blowing effects, and nonuniform thermal generation. By exploring this unique combination of phenomena, the study addresses a significant gap in the literature and underscores its original contribution to the field.

2 Flow analysis

This study investigates the characteristics of a Casson nanofluid characterized by the Casson parameter Γ in a two-dimensional, steady, and incompressible flow regime, specifically when it is subjected to a stretching sheet. It is well known that Stefan blowing/suction at the sheet can modify the mass transfer rate, leading to changes in the boundary layer thickness and overall heat and mass transfer mechanism. Hence, this serves as a main assumption in this study. Further, the nanofluid velocity flow is assumed to have two components with u representing the x -direction component and v representing the y -direction component (Figure 1).

Figure 1 
               The coordinate flow geometry system.
Figure 1

The coordinate flow geometry system.

The stretching process for the elastic sheet occurs through the x -axis, while the y -axis represents the vertical track. A zero net mass flux within the sheet surface is also assumed here, implying an exactly balance between thermophoretic mass flux (caused by temperature gradients) and the mass diffusion (driven by concentration gradients). This balance prevents any net mass transfer through the sheet surface. In addition, the subsequent assumptions are itemized below:

  • The model is assumed to impacted by Cattaneo–Christov heat flux model, which is a modified version of Fourier’s law of heat conduction.

  • Thompson, Troian slip condition is also assumed to impact the model as well as the shear stress at the sheet surface, influencing the overall flow behavior and heat transfer mechanism.

  • The model also considers the effect of variable heat generation/absorption, as it affects how effectively heat is transferred.

  • Mass flux at the sheet surface also assumed to affect the nanofluid velocity, through the Stefan blowing/suction model.

  • Both the concentration C and temperature T are considered to be constants and unchanging at a distance away from the sheet’s surface.

  • The whole model is assumed to be incorporated within a Darcy porous medium.

  • The velocity components ( u , v ) describe the motion of the nanofluid flow through two dimension at any location ( x , y ) within the boundary region.

  • Viscous dissipation is considered in the model, and a magnetic field with a strength of B 0 is employed in the y -direction.

Having outlined the previous model’s underlying assumptions, we will now delve into a more detailed investigation of each, including their mathematical representations. We start with a discussion of the Cattaneo–Christov Ω T phenomenon [22], which can be described as follows [23,24]:

(1) Ω T = u u x T x + v x T y + 2 u v 2 T x y + v v y T y + v u y T x + u 2 2 T x 2 + v 2 2 T y 2 .

This phenomenon refines the traditional Fourier law of heat conduction by accounting for a time-relaxation factor. This modification allows for a more realistic description of heat and mass transfer processes that are not instantaneous. A main benefit of this technique is its ability to model and explain heat and mass transfer mechanism under noninstantaneous conditions. Next, we proceed to discuss the details of variable heat generation phenomenon q and its mathematical formulation, which takes the following form [25]:

(2) q = a κ ν Γ 1 ( T w T ) e y a ν + Γ 2 ( T T ) .

Clearly this relation (2) describes the internal heat generation through the nanofluid motion, which varies with both spatial distribution along the sheet with the coefficient Γ 1 and the temperature gradients with the coefficient Γ 2 . Here, ν is the kinematic viscosity, κ is the thermal conductivity and positive values for both Γ 1 , Γ 2 means heat generation within the nanofluid flow, while negative values represents heat absorption mechanism. Based on the previously detailed stated assumptions, the following system of equations describe the model for steady, incompressible Casson nanofluid flow [26]:

(3) v y + u x = 0 ,

(4) u σ B 0 2 ρ + μ ρ k 0 1 + 1 Γ + v u y + u u x = ν 1 + 1 Γ 2 u y 2 ,

(5) δ T Ω T + v T y + u T x = κ ρ c p 2 T y 2 + τ D T T T y + D B C y T y + σ B 0 2 ρ c p u 2 + q ρ c p + ν c p 1 + 1 Γ u y 2 ,

(6) v C y + u C x D B 2 C y 2 D T T 2 T y 2 = 0 .

Now, we begin by defining the physical quantities appearing in the studied model, including the density coefficient, ρ , electric conductivity coefficient σ , permeability of the porous medium k 0 , Christov–Cattaneo heat flux coefficient δ T , thermophoresis diffusion factor D T , specific heat coefficient c p , and Brownian motion coefficient D B . Further, this framework of our model incorporates the synergistic effects of Ohmic heating [27] and viscous dissipation phenomenon [28], acknowledging their substantial impact on modifying the thermal boundary layer structure and augmenting heat transfer processes in electrically conductive fluids. After that, we will describe the boundary conditions, which include a slip velocity that follows the Thompson–Troian slip condition model [29]. This model is highly suitable for studying the flow of nanofluids under various conditions. This model is advantageous due to its nonlinear relationship with shear stress, which provides greater accuracy compared to another simpler models. This feature makes it particularly suitable for nanofluids, where surface forces and molecular interactions are significant. Another important assumption here is the study of the Stefan blowing/suction model [30]. This model, which represent details description for blowing and suction effects, is crucial for understanding mass transfer mechanism during phase change processes such as evaporation and condensation. The following conditions complete our model:

(7) u = u w + λ 1 1 + 1 Γ u y 1 ζ 0 1 + 1 Γ u y , v = D B C w 1 C y at y = 0 ,

(8) T = T w , D B C y = D T T T y , at y = 0 ,

(9) u 0 , C C , T T , as y ,

where ζ 0 is the critical shear rate, u w = a x is the velocity of the sheet surface, and λ 1 is the coefficient of slip velocity. Moreover, as the critical shear rate vanishes ( ζ 0 = 0 ), the Thompson–Troian relation converges toward the classical slip formulation, which is better suited for conventional (nonnanofluid) flows. The subsequent step is to define the following dimensionless variables in terms of θ , f , and ϕ as follows [31]:

(10) η = a ν 1 2 y , ϕ ( η ) = C C C C w , θ ( η ) = T T T T w .

Further, we select the stream function ψ ( x , y ) with the following definition:

(11) ψ = ( a ν ) 1 2 x f ( η ) , u = ψ y , v = ψ x .

Applying dimensionless variables (10) and (11), Eqs. (3)–(6) becomes:

(12) 1 + 1 Γ d 3 f d η 3 + f d 2 f d η 2 = δ 1 + 1 Γ + M d f d η + d f d η 2 ,

(13) d 2 θ d η 2 + Pr B r d θ d η d ϕ d η + B t d θ d η 2 + Γ 1 e η Pr β f d f d η d θ d η + f 2 d 2 θ d η 2 + Pr f d θ d η + Γ 2 θ + Pr M Ec d f d η 2 + Ec 1 + 1 Γ d 2 f d η 2 2 = 0 ,

(14) B r d 2 ϕ d η 2 + B t d 2 θ d η 2 + B r Le Pr f d ϕ d η = 0 ,

with the following boundary conditions imposed:

(15) f = ξ L e ϕ , θ = 1 , ϕ = B t B r θ , f = 1 + λ 1 + 1 Γ f 1 ζ 1 + 1 Γ f at η = 0 ,

(16) f 0 , ϕ 0 , θ 0 as η .

At this step, we conclude this section by defining the following nondimensional governing factors as follows:

M = σ B 0 2 ρ a Magnetic field parameter, δ = μ ρ a k 0 Porous parameter, B r = τ D B ( C w C ) ν Brownian motion parameter, Pr = μ c p κ Prandtl number, λ = λ 1 a ν Velocity slip parameter, Le = ν D B Lewis number, B t = τ D T ( T w T ) T ν Thermophoresis parameter, β = δ T a Thermal relaxation time constant, ζ = u w a ν ζ 0 Critical shear rate, ξ = C w C 1 C w Stefan blowing, Ec = u w c p ( T w T ) Eckert number .

Finally, a thorough analysis of the model requires an investigation into how its key parameters influence heat and mass transfer rates Re x 1 2 and Re x 1 2 , along with the surface friction coefficient Cf x Re x 1 2 . These quantities takes the forms:

(17) Cf x Re x 1 2 = 1 + 1 Γ f ( 0 ) , Sh x Re x 1 2 = ϕ ( 0 ) , Nu x Re x 1 2 = θ ( 0 ) .

3 Validation of the method’s precision

The shooting approach was employed through creating the numerical findings. In this section, we intend to evaluate these numerical findings through a comparison with the previously presented data at the same condition as clear from Table 1. We compare our results with the findings reported by Akbar et al. [32] under some special values for the parameters δ = λ = ξ = 0 that convert our model to a Newtonian model. The examination take into consideration the magnetic field parameter M to perform this comparative analysis. Clearly that, the presented numerical results through the tabular form are closely align with the present findings, supporting their reliability and accuracy.

Table 1

Comparison of f ( 0 ) with special values of M when δ = λ = ξ = 0 and Γ

M Akbar et al. [32] Present work
0.0 1.00000 1.0000000000
0.25 1.11803 1.1180295840
1.0 1.41421 1.4141987402

4 Numerical methodology

For enhanced clarity, Figure 2 presents a schematic overview of the implemented numerical method. This diagram delineates the computational algorithm regarding the shooting method, beginning with the conversion of the governing partial differential equations into a system of ordinary differential equations. Subsequent steps include imposing the relevant boundary conditions, making iterative estimates for missing initial values, performing numerical integration via the Runge–Kutta scheme, and conducting successive verification of convergence until the predefined tolerance is met.

Figure 2 
               Flowchart of the computational approach.
Figure 2

Flowchart of the computational approach.

5 Findings and interpretation

In this section, a comprehensive numerical examination, based on the shooting technique, was conducted via a range of factor values that govern the model to clarify the physical problem. The findings data are introduced graphically in Figures 3–11 and presented in Table 2. Figure 3 shows how a dimensionless slip velocity parameter λ affects the flow characteristics including velocity f ( η ) , temperature θ ( η ) , and concentration ϕ ( η ) . It is noted from the analysis that an increase in the slip parameter λ can significantly reduce the flow velocity f ( η ) , which aligns with the expected physical concept of the surface slip phenomenon. Physically, the slip phenomenon always reduces the friction force that already exist between the sheet surface and the nanofluid, resulting in a reduce for the flow velocity in the near-the sheet surface. Also, the effect of the same factor on temperature θ ( η ) is evident in Figure 3(c) through the increase behavior in temperature with increasing it, indicating that heat transfer becomes more efficient as the slip factor effect intensifies. In addition, the presence of slip phenomenon clearly affects the distribution of nanoparticles in the boundary layer region. Clearly that, the nanofluid’s concentration ϕ ( η ) exhibits an observable decline behavior close to the sheet surface, dipping into negative values. It then steadily enhances before experiencing a sharp reduce, ultimately reaching zero at the ambient.

Figure 3 
               (a) 
                     
                        
                        
                           f
                           ′
                           
                              (
                              
                                 η
                              
                              )
                           
                        
                        f^{\prime} \left(\eta )
                     
                   via varying 
                     
                        
                        
                           λ
                        
                        \lambda 
                     
                  , (b) 
                     
                        
                        
                           ϕ
                           
                              (
                              
                                 η
                              
                              )
                           
                        
                        \phi \left(\eta )
                     
                   via varying 
                     
                        
                        
                           λ
                        
                        \lambda 
                     
                  , and (c) 
                     
                        
                        
                           θ
                           
                              (
                              
                                 η
                              
                              )
                           
                        
                        \theta \left(\eta )
                     
                   via varying 
                     
                        
                        
                           λ
                        
                        \lambda 
                     
                  .
Figure 3

(a) f ( η ) via varying λ , (b) ϕ ( η ) via varying λ , and (c) θ ( η ) via varying λ .

Table 2

Values of Sh x Re x 1 2 , Cf x Re x , and Nu x Re x 1 2 for different values of the controlling parameters with ξ = 0.5 , Le = 1.0 , ζ = 0.1 , β = 0.2 , Γ = 0.8 , and Pr = 3.0

λ M δ Γ 1 , Γ 2 B t B r Cf x Re x Nu x Re x 1 2 Sh x Re x 1 2
0.0 0.5 0.2 0.2 0.1 0.8 2.08362 0.351757 0.039327
0.2 0.5 0.2 0.2 0.1 0.8 1.42029 0.390025 0.040457
0.4 0.5 0.2 0.2 0.1 0.8 1.08602 0.356028 0.042554
0.2 0.0 0.2 0.2 0.1 0.8 1.25022 0.549157 0.046585
0.2 0.5 0.2 0.2 0.1 0.8 1.42029 0.390025 0.040457
0.2 1.0 0.2 0.2 0.1 0.8 1.55925 0.263494 0.035459
0.2 0.5 0.0 0.2 0.1 0.8 1.27024 0.462919 0.043889
0.2 0.5 0.5 0.2 0.1 0.8 1.60148 0.295784 0.035694
0.2 0.5 1.0 0.2 0.1 0.8 1.83355 0.164477 0.028593
0.2 0.5 0.5 0.0 0.1 0.8 1.59771 0.546514 0.044552
0.2 0.5 0.5 0.2 0.1 0.8 1.60148 0.295784 0.035694
0.2 0.5 0.5 0.4 0.1 0.8 1.60597 0.002464 0.025868
0.2 0.5 0.5 0.2 0.1 0.8 1.60148 0.295784 0.035694
0.2 0.5 0.5 0.2 0.2 0.8 1.59888 0.234519 0.068613
0.2 0.5 0.5 0.2 0.5 0.8 1.59813 0.103780 0.142317
0.2 0.5 0.5 0.2 0.1 0.5 1.59925 0.277852 0.057671
0.2 0.5 0.5 0.2 0.1 0.8 1.60148 0.295784 0.035694
0.2 0.5 0.5 0.2 0.1 1.5 1.60343 0.311687 0.018883

As a further examination of the Casson nanofluid flow behavior with and without slip velocity parameter ( λ = 0.4 , λ = 0.0 ), Figure 4 is presented to further compare the distribution and the shape of streamlines ψ ( x , y ) in both cases. In spite of it is expected that the slip velocity phenomenon at a surface slows down the overall flow velocity, it simultaneously decreases the restrictive impact of the boundary layer region, allowing the fluid to move more freely and enhancing the density of streamlines.

Figure 4 
               (a) Stream function with 
                     
                        
                        
                           λ
                           =
                           0.0
                        
                        \lambda =0.0
                     
                   and (b) stream function with 
                     
                        
                        
                           λ
                           =
                           0.4
                        
                        \lambda =0.4
                     
                  .
Figure 4

(a) Stream function with λ = 0.0 and (b) stream function with λ = 0.4 .

One of the important phenomena in this study, which cannot be overlooked, is the investigation of the effect of the magnetic field as a function of magnetic number M and how it controls the nanofluid properties through its velocity f ( η ) , temperature θ ( η ) , and concentration ϕ ( η ) , as illustrated in Figure 5. It is noteworthy that near the surface ( 0 η 1.2 ) of the elastic sheet, the fluid concentration ϕ ( η ) is initially lower than zero ϕ ( η ) < 0 , then rises, passing through a zero concentration point, and continues to rise. Immediately after that, the concentration reduces until it reaches zero at a point farther from the elastic sheet surface. It is also important to note the impact of the magnetic field and its strength on both the velocity and temperature fields of the Casson nanofluid. It is clearly noticeable that the magnetic field acts as a stimulating factor for temperature distribution in an organized manner. Physically, the presence of the magnetic field suppresses the field of nanofluid velocity due to the presence of the Lorentz force, which is responsible for this phenomenon, whether in terms of velocity reduction or enhanced temperature distribution. Further, the practical importance of analyzing magnetic field effects, which are fundamental to a wide range of applications, is explored in greater depth in references [3335].

Figure 5 
               (a) 
                     
                        
                        
                           f
                           ′
                           
                              (
                              
                                 η
                              
                              )
                           
                        
                        f^{\prime} \left(\eta )
                     
                   via varying 
                     
                        
                        
                           M
                        
                        M
                     
                   and (b) 
                     
                        
                        
                           ϕ
                           
                              (
                              
                                 η
                              
                              )
                           
                        
                        \phi \left(\eta )
                     
                   via varying 
                     
                        
                        
                           M
                        
                        M
                     
                  , and (c) 
                     
                        
                        
                           θ
                           
                              (
                              
                                 η
                              
                              )
                           
                        
                        \theta \left(\eta )
                     
                   via varying 
                     
                        
                        
                           M
                        
                        M
                     
                  .
Figure 5

(a) f ( η ) via varying M and (b) ϕ ( η ) via varying M , and (c) θ ( η ) via varying M .

In the following graph, the streamlines ψ ( x , y ) for two distinct cases ( M = 0.0 , M = 1.0 ) are examined, as it is clear from Figure 6. Clearly that the Casson nanofluid flow is restricted by the presence of magnetic field, which directly results in decreasing the number of observed streamlines ψ ( x , y ) compared to the case of absence of a magnetic field, where the fluid flow is more uninhibited and widespread.

Figure 6 
               (a) Stream function with 
                     
                        
                        
                           M
                           =
                           0.0
                        
                        M=0.0
                     
                   and (b) stream function with 
                     
                        
                        
                           M
                           =
                           1.0
                        
                        M=1.0
                     
                  .
Figure 6

(a) Stream function with M = 0.0 and (b) stream function with M = 1.0 .

Another critical aspect of this work is the investigation of how the porous medium in terms of porous parameter δ impacts the Casson nanofluid behavior. Specifically, we analyzed its effect on velocity f ( η ) , temperature θ ( η ) , and concentration ϕ ( η ) , as depicted in Figure 7. The fluid concentration exhibits a novel pattern along the elastic sheet: it starting the concentration below zero, it transitions through a zero concentration point, enhances, and then reduces, eventually reaching to zero concentration again but in this case at a point further away the elastic sheet surface. Also, it is essential to examine how the flow within a porous medium can be impacted by the presence of this pores, especially on the fluid’s velocity and temperature. Physically, the porous medium, through its intricate network of pores, facilitates a more regulated transfer of thermal energy. However, the solid protrusions within the medium introduce additional drag and resistance, which in turn reduce the nanofluid velocity and compress the boundary layer thickness.

Figure 7 
               (a) 
                     
                        
                        
                           θ
                           
                              (
                              
                                 η
                              
                              )
                           
                        
                        \theta \left(\eta )
                     
                   and 
                     
                        
                        
                           f
                           ′
                           
                              (
                              
                                 η
                              
                              )
                           
                        
                        f^{\prime} \left(\eta )
                     
                   via varying 
                     
                        
                        
                           δ
                        
                        \delta 
                     
                  , (b) 
                     
                        
                        
                           ϕ
                           
                              (
                              
                                 η
                              
                              )
                           
                        
                        \phi \left(\eta )
                     
                   via varying 
                     
                        
                        
                           δ
                        
                        \delta 
                     
                  , (c) 
                     
                        
                        
                           θ
                           
                              (
                              
                                 η
                              
                              )
                           
                        
                        \theta \left(\eta )
                     
                   via varying 
                     
                        
                        
                           δ
                        
                        \delta 
                     
                  .
Figure 7

(a) θ ( η ) and f ( η ) via varying δ , (b) ϕ ( η ) via varying δ , (c) θ ( η ) via varying δ .

Further, to visually compare flow patterns within a momentum boundary layer, streamline curves ψ ( x , y ) are introduced through Figure 8 for two different cases, porous ( δ = 1.0 ) and nonporous ( δ = 0.0 ) media. As expected, the presence of the pores of the porous medium can create a force in the form of additional resistance, which results in reducing the flow velocity and the corresponding boundary thickness. As a result, a smaller number of streamlines are noted compared to a case in nonporous medium, where the flow becomes greater freedom and has no or fewer restrictions.

Figure 8 
               (a) Stream function with 
                     
                        
                        
                           δ
                           =
                           0.0
                        
                        \delta =0.0
                     
                   and (b) stream function with 
                     
                        
                        
                           δ
                           =
                           1.0
                        
                        \delta =1.0
                     
                  .
Figure 8

(a) Stream function with δ = 0.0 and (b) stream function with δ = 1.0 .

The following figure examines the influence of the heat generation parameters Γ 1 , Γ 2 , one dependent on distance Γ 1 and the other on the temperature difference Γ 2 , as shown in Figure 9. It is clear from these curves that both parameters Γ 1 , Γ 2 can regulate the temperature distribution θ ( η ) of the nanofluid as well as enhance this distribution within a limited region ( 0.0 η 4.0 ) inside the boundary layer. Physically, elevated values of the heat generation parameters Γ 1 , Γ 2 intensify internal heating, which amplifies temperature levels, improves thermal diffusion, and causes the thermal boundary layer to grow in thickness. Similarly, these parameters Γ 1 , Γ 2 can significantly impact the fluid concentration ϕ ( η ) by enhancing it within a specific region ( 1.5 η 4.3 ) of the boundary layer. After that, the nanofluid concentration collapses until it reaches to zero concentration at a point farther from the sheet surface. Here, it is important to note the crucial role of these parameters in delaying the attainment of zero concentration degree or, in other words, in expanding the region of fluid concentration.

Figure 9 
               (a) 
                     
                        
                        
                           θ
                           
                              (
                              
                                 η
                              
                              )
                           
                        
                        \theta \left(\eta )
                     
                   via varying 
                     
                        
                        
                           
                              
                                 Γ
                              
                              
                                 1
                              
                           
                           ,
                           
                              
                                 Γ
                              
                              
                                 2
                              
                           
                        
                        {\Gamma }_{1},{\Gamma }_{2}
                     
                   and (b) 
                     
                        
                        
                           ϕ
                           
                              (
                              
                                 η
                              
                              )
                           
                        
                        \phi \left(\eta )
                     
                   via varying 
                     
                        
                        
                           
                              
                                 Γ
                              
                              
                                 1
                              
                           
                           ,
                           
                              
                                 Γ
                              
                              
                                 2
                              
                           
                        
                        {\Gamma }_{1},{\Gamma }_{2}
                     
                  .
Figure 9

(a) θ ( η ) via varying Γ 1 , Γ 2 and (b) ϕ ( η ) via varying Γ 1 , Γ 2 .

After that, the relationship between the thermophoresis parameter B t and the resulting temperature θ ( η ) and concentration ϕ ( η ) distributions is visualized in Figure 10. As clearly from the curve, the temperature profile of the Casson nanofluid is significantly controlled by the thermophoresis parameter, which results in a rise behavior in the field of temperature within a specific region of the boundary layer, especially after η = 1.0 , as demonstrated by the curves. Physically, the thermophoretic force, intensified by an increased parameter, propels nanoparticles along thermal gradients from warmer to cooler zones. This phenomenon amplifies thermal energy concentration, facilitates heat redistribution, and leads to a broadening of the thermal diffusion region and a consequent increase in thermal boundary layer thickness. In addition, the same parameter B t impacts the field of nanofluid concentration by increasing it within a specific region of the boundary layer, away from the sheet surface. However, in close proximity to the surface of elastic sheet, the nanofluid concentration exhibits a notable reversal, experiencing a sharp decline that results in negative concentration values for the Casson nanofluid.

Figure 10 
               (a) 
                     
                        
                        
                           θ
                           
                              (
                              
                                 η
                              
                              )
                           
                        
                        \theta \left(\eta )
                     
                   via varying 
                     
                        
                        
                           
                              
                                 B
                              
                              
                                 t
                              
                           
                        
                        {B}_{t}
                     
                   and (b) 
                     
                        
                        
                           ϕ
                           
                              (
                              
                                 η
                              
                              )
                           
                        
                        \phi \left(\eta )
                     
                   via varying 
                     
                        
                        
                           
                              
                                 B
                              
                              
                                 t
                              
                           
                        
                        {B}_{t}
                     
                  .
Figure 10

(a) θ ( η ) via varying B t and (b) ϕ ( η ) via varying B t .

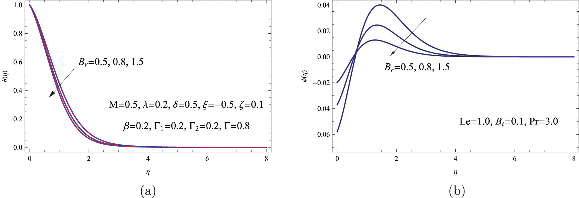
As illustrated in the following curve (Figure 11), the Brownian parameter B r has a negative effect on the temperature distribution θ ( η ) . This effect is observed within a limited region of the boundary layer ( 0 η 3.0 ), after which the alteration stabilizes until the temperature reaches zero ( θ ( η ) 0 ) at a far distance from the stretching sheet ( η ). Regarding the fluid concentration ϕ ( η ) , it shows a notable rise close to the stretching surface ( 0 η 0.8 ) as Brownian parameter intensifies. But, this trend is not sustained; beyond a certain distance ( η 0.8 ), heightened Brownian parameter values causes the nanofluid concentration to diminish until reaching to stabilizes at ( η ). After that, we must turn to the relationship that should not be overlooked through Table 2, which combines between the governing parameters of the physical model and their impact on the surface friction coefficient Cf x Re x as well as the heat and mass transfer coefficients Nu x Re x 1 2 and Sh x Re x 1 2 . It is clearly evident from the recorded results that the surface friction coefficient increases due to the magnetic number, Brownian motion parameter, porous parameter, and heat generation parameters. However, the effect is reversed negatively due to the slip velocity parameter and the thermophoresis parameter. It is also evident that the relationship between the heat and mass transfer coefficients and the magnetic parameter, porous parameter, and heat generation parameters is an inverse relationship. However, their relationship with the slip velocity parameter is a direct relationship.

Figure 11 
               (a) 
                     
                        
                        
                           θ
                           
                              (
                              
                                 η
                              
                              )
                           
                        
                        \theta \left(\eta )
                     
                   via varying 
                     
                        
                        
                           
                              
                                 B
                              
                              
                                 r
                              
                           
                        
                        {B}_{r}
                     
                   and (b) 
                     
                        
                        
                           ϕ
                           
                              (
                              
                                 η
                              
                              )
                           
                        
                        \phi \left(\eta )
                     
                   via varying 
                     
                        
                        
                           
                              
                                 B
                              
                              
                                 r
                              
                           
                        
                        {B}_{r}
                     
                  .
Figure 11

(a) θ ( η ) via varying B r and (b) ϕ ( η ) via varying B r .

6 Concluding remarks

Employing the Thompson–Troian framework, this study analyzes the flow characteristics of a Casson nanofluid, integrating the effects of Stefan blowing, viscous dissipation, nonuniform heat generation, and Cattaneo–Christov thermal flux under slip boundary conditions. Numerical analysis were performed via the shooting method. This study highlight the valuable insights into nanofluid behavior through porous media with magnetic field conditions. Based on the entire study conducted. the following key findings were made as follows:

  1. Elevating the slip parameter diminishes skin friction by 48% and augments mass transfer by 8%. Conversely, intensifying the magnetic field increases skin friction by 25% while inhibiting heat transfer by 52%.

  2. Brownian, magnetic, porous, and heat generation factors raise friction, while slip and thermophoresis factors lower it.

  3. Less number of streamlines are observed in the porous medium and the case of presence of magnetic field, whereas the nonporous medium or the absence of magnetic field allows freer flow with minimum restrictions that create more streamlines.

  4. Heat and mass transfer rates inversely relates to magnetic, porous, heat generation factors; but directly to slip.

  5. Porous parameter slows flow motion, shrinks the boundary layer thickness, and reduces streamlines compared to unrestricted flow with porous medium.

  6. At a distance from a sheet surface, nanofluid concentration drops to zero; magnetic field affects Casson nanofluid’s speed and its corresponding heat.

  1. Funding information: The author states no funding involved.

  2. Author contributions: The author confirms the sole responsibility for the conception of the study, presented results and manuscript preparation.

  3. Conflict of interest: The author states no conflict of interest.

  4. Data availability statement: All data generated or analysed during this study are included in this published article.

References

[1] Choi SUS. Enhancing thermal conductivity of fluid with nanoparticles, developments and applications of non-Newtonian flow. ASME FED. 1995;231:99–105. 10.1115/IMECE1995-0926Search in Google Scholar

[2] Noor NAM, Shafie S, Admon MA. Slip effects on MHD squeezing flow of Jeffrey nanofluid in horizontal channel with chemical reaction. Mathematics. 2021;9:1215. 10.3390/math9111215Search in Google Scholar

[3] Al Rashdi SA, Ghoneim NI, Amer AM, Megahed AM. Investigation of magnetohydrodynamic slip flow for Maxwell nanofluid over a vertical surface with Cattaneo-Christov heat flux in a saturated porous medium. Results Eng. 2023;19:101293. 10.1016/j.rineng.2023.101293Search in Google Scholar

[4] Sankari MS, Rao EM, Khan W, Alshehri MH, Eldin SM, Iqbal S. Analytical analysis of the double stratification on Casson nanofluid over an exponential stretching sheet. Case Stud Therm Eng. 2023;50:103492. 10.1016/j.csite.2023.103492Search in Google Scholar

[5] Ilango MS, Lakshminarayana P. Effects of double diffusion and induced magnetic field on convective flow of a Casson nanofluid over a stretching surface. Heliyon. 2024;10:e31040. 10.1016/j.heliyon.2024.e31040Search in Google Scholar PubMed PubMed Central

[6] Reddy MV, Vajravelu K, Ajithkumar M, Sucharitha G, Lakshminarayana P. Numerical treatment of entropy generation in convective MHD Williamson nanofluid flow with Cattaneo-Christov heat flux and suction/injection. Int J Model Simulat. 2024;1–18. https://doi.org/10.1080/02286203.2024.2405714. Search in Google Scholar

[7] Goher S, Abbas Z, Rafiq MY. Shear flow of two immiscible non-Newtonian nanofluids considering motion of motile microorganisms. Int J Thermofluids. 2025;27:101282. 10.1016/j.ijft.2025.101282Search in Google Scholar

[8] Abbas Z, Rafiq MY, Fayyaz A. Peristaltic flow of carbon nanotube-based hybrid nanofluid in the annular region of eccentric cylinders with a modified thermal conductivity model. Multiscale Multidiscip Model Exp Des. 2025;8:250. 10.1007/s41939-025-00835-xSearch in Google Scholar

[9] Navier CLMH. Sur les lois du mouvement des fluides. Mem Acad R Sci Inst Fr. 1827;6:389–440. Search in Google Scholar

[10] Maxwell JC. On stresses in rarified gases arising from inequalities in temperature. In: The scientific papers of James Clerk Maxwell. Niven WD, editors. Vol II. Cambridge: Cambridge University Press; 1890. p. 681–712. Search in Google Scholar

[11] Thompson PA, Troian SM. A general boundary condition for liquid flow at solid surfaces. Nature. 1997;389:360–2. 10.1038/38686Search in Google Scholar

[12] Ahmad S, Nadeem S. Flow analysis by Cattaneo-Christov heat flux in the presence of Thompson and Troian slip condition. Appl Nanosci. 2020;10:1–15. 10.1007/s13204-020-01267-4Search in Google Scholar

[13] Nadeem S, Ahmad S, Khan MN. Mixed convection flow of hybrid nanoparticle along a Riga surface with Thompson and Troian slip condition. J Therm Anal Calorimetry. 2021;143:2099–109. 10.1007/s10973-020-09747-zSearch in Google Scholar

[14] Gangadhar K, Seshakumari PM, Rao MVS, Chamkha AJ. MHD flow analysis of a Williamson nanofluid due to Thompson and Troian slip condition. Int J Appl Comput Math. 2022;8:6. 10.1007/s40819-021-01204-1Search in Google Scholar

[15] Dey S, Mukhopadhyay S, Mandal MS. Influence of Thompson and Troian slip on the nanofluid flow past a permeable plate in porous medium. Pramana J Phys. 2023;97:66. 10.1007/s12043-023-02539-8Search in Google Scholar

[16] Alrehili M. Stagnation flow of a nanofluid with rough surface and energy dissipation: A tangent hyperbolic model with practical engineering uses. Results Eng. 2025;26:104825. 10.1016/j.rineng.2025.104825Search in Google Scholar

[17] Fang T, Jing W. Flow, heat and species transfer over a stretching plate considering coupled Stefan blowing effect from species transfer. Commun Non-linear Sci Numer Simul. 2014;9:3086–97. 10.1016/j.cnsns.2014.02.009Search in Google Scholar

[18] Konai S, Maiti H, Mukhopadhyay S. Influences of Stefan blowing on unsteady flow of Casson nanofluid past a stretching surface. Forces Mechanics. 2023;12:100227. 10.1016/j.finmec.2023.100227Search in Google Scholar

[19] Saleem M, Hussain M. Impression of nonlinear radiation and Stefan blowing on the magneto cross nano-Williamson fluid above exponentially stretching sheet. Results Eng. 2023;17:100864. 10.1016/j.rineng.2022.100864Search in Google Scholar

[20] Dey S, Mukhopadhyay S. Stefan flow of nano liquid passing a plate surface with changeable fluid properties. Partial Differ Equ Appl Math. 2024;9:100632. 10.1016/j.padiff.2024.100632Search in Google Scholar

[21] Challa KK, Rao ME, Jawad M, Saidani T, Abdallah SAO, Thenmozhi D. Enhanced heat transfer and flow dynamics of Powell-Eyring nanofluid: unsteady stretched surface and with Stefan blowing/suction. Case Studies Thermal Eng. 2025;65:105664. 10.1016/j.csite.2024.105664Search in Google Scholar

[22] Khan SU, Tlili I, Waqas H, Imran M. Effects of nonlinear thermal radiation and activation energy on modified second-grade nanofluid with Cattaneo-Christov expressions. J Therm Anal Calorim. 2021;143:1175–86. 10.1007/s10973-020-09392-6Search in Google Scholar

[23] Abbas W, Megahed AM, Morsy OM, Ibrahim MA, Ahmed AM. Said dissipative Williamson fluid flow with double diffusive Cattaneo-Christov model due to a slippery stretching sheet embedded in a porous medium. AIMS Math. 2022;7:20781–96. 10.3934/math.20221139Search in Google Scholar

[24] Alrehili M. Exploring Sutterby fluid flow over a stretched surface in porous media with non-Newtonian dissipation and Cattaneo-Christov heat/mass flux models. Canad J Phys. 2025;103:901–11. 10.1139/cjp-2024-0152Search in Google Scholar

[25] Khader MM, Megahed AM, Eid A. Numerical treatment of the radiated and dissipative power-law nanofluid flow past a nonlinear stretched sheet with non-uniform heat generation. Sci Rep. 2023;13:22691. 10.1038/s41598-023-49547-7Search in Google Scholar PubMed PubMed Central

[26] Alali E, Megahed AM. MHD dissipative Casson nanofluid liquid film flow due to an unsteady stretching sheet with radiation influence and slip velocity phenomenon. Nanotech Rev. 2022;11:463–72. 10.1515/ntrev-2022-0031Search in Google Scholar

[27] Rafiq MY, Mustafa G, Abbas Z. Dynamics of the ohmic heating and chemically reactive time-dependent flow of magnetized Casson fluid inside a rectangular pipe. Numer Heat Transfer Part A Appl. 2024;1–24. https://doi.org/10.1080/10407782.2024.2361468. Search in Google Scholar

[28] Abbas Z, Rafiq MY, Asghar H, Khaliq S. Exploration of the dynamics of non-Newtonian Casson fluid subject to viscous dissipation and Joule heating between parallel walls due to buoyancy forces and pressure. Proc IMechE Part E J Process Mech Eng. 2024;238:912–21. 10.1177/09544089221148294Search in Google Scholar

[29] Abbas Z, Sheikh M, Hasnain J, Ayaz H, Nadeem A. Numerical aspects of Thompson and Troian boundary condition in Tiwari Dasnanofluid model with homogeneous-heterogeneous reactions. Phys Scr. 2019;94:11. 10.1088/1402-4896/ab27f0Search in Google Scholar

[30] Zhang R, Zaydan M, Alshehri M, Raju CSK, Wakif A, Shah NA. Further insights into mixed convective boundary layer flows of internally heated Jeffery nanofluids: stefan’s blowing case study with convective heating and thermal radiation impressions. Case Stud Therm Eng. 2024;55:104121. 10.1016/j.csite.2024.104121Search in Google Scholar

[31] Amer AM, Al Rashdi SAS, Ghoneim NI, Megahed AM. Tangent hyperbolic nanofluid flowing over a stretching sheet through a porous medium with the inclusion of magnetohydrodynamic and slip impact. Results Eng. 2023;19:101370. 10.1016/j.rineng.2023.101370Search in Google Scholar

[32] Akbar NS, Ebaid A, Khan ZH. Numerical analysis of magnetic field effects on Eyring-Powell fluid flow towards a stretching sheet. J Magn Magn Mater. 2015;382:355–8. 10.1016/j.jmmm.2015.01.088Search in Google Scholar

[33] Meenakumari R, Lakshminarayana P, Vajravelu K. Influence of induced magnetic field and slip conditions on convective Prandtl fluid flow over a stretching surface with homogeneous and heterogeneous reactions. Multidiscip Model Materials Struct. 2020;24:127–47. 10.1108/MMMS-02-2020-0040Search in Google Scholar

[34] Mujahid M, Abbas Z, Rafiq MY. A study on the pressure-driven flow of magnetized non-Newtonian Casson fluid between two corrugated curved walls of an arbitrary phase difference. Heat Transfer. 2024;53:4510–27. 10.1002/htj.23146Search in Google Scholar

[35] Meenakumari R, Rani PY, Sucharitha G, Vajravelu K, Lakshminarayana P. Thermal inspection on MHD Prandtl fluid flow past a stretching sheet in the presence of heat generation/absorption and suction/injection. Phys Scr. 2025;100:025237. 10.1088/1402-4896/ada500Search in Google Scholar

Received: 2025-06-09
Revised: 2025-09-06
Accepted: 2025-09-28
Published Online: 2025-11-01

© 2025 the author(s), published by De Gruyter

This work is licensed under the Creative Commons Attribution 4.0 International License.

Articles in the same Issue

  1. Research Articles
  2. MHD radiative mixed convective flow of a sodium alginate-based hybrid nanofluid over a convectively heated extending sheet with Joule heating
  3. Experimental study of mortar incorporating nano-magnetite on engineering performance and radiation shielding
  4. Multicriteria-based optimization and multi-variable non-linear regression analysis of concrete containing blends of nano date palm ash and eggshell powder as cementitious materials
  5. A promising Ag2S/poly-2-amino-1-mercaptobenzene open-top spherical core–shell nanocomposite for optoelectronic devices: A one-pot technique
  6. Biogenic synthesized selenium nanoparticles combined chitosan nanoparticles controlled lung cancer growth via ROS generation and mitochondrial damage pathway
  7. Fabrication of PDMS nano-mold by deposition casting method
  8. Stimulus-responsive gradient hydrogel micro-actuators fabricated by two-photon polymerization-based 4D printing
  9. Physical aspects of radiative Carreau nanofluid flow with motile microorganisms movement under yield stress via oblique penetrable wedge
  10. Effect of polar functional groups on the hydrophobicity of carbon nanotubes-bacterial cellulose nanocomposite
  11. Review in green synthesis mechanisms, application, and future prospects for Garcinia mangostana L. (mangosteen)-derived nanoparticles
  12. Entropy generation and heat transfer in nonlinear Buoyancy–driven Darcy–Forchheimer hybrid nanofluids with activation energy
  13. Green synthesis of silver nanoparticles using Ginkgo biloba seed extract: Evaluation of antioxidant, anticancer, antifungal, and antibacterial activities
  14. A numerical analysis of heat and mass transfer in water-based hybrid nanofluid flow containing copper and alumina nanoparticles over an extending sheet
  15. Investigating the behaviour of electro-magneto-hydrodynamic Carreau nanofluid flow with slip effects over a stretching cylinder
  16. Electrospun thermoplastic polyurethane/nano-Ag-coated clear aligners for the inhibition of Streptococcus mutans and oral biofilm
  17. Investigation of the optoelectronic properties of a novel polypyrrole-multi-well carbon nanotubes/titanium oxide/aluminum oxide/p-silicon heterojunction
  18. Novel photothermal magnetic Janus membranes suitable for solar water desalination
  19. Green synthesis of silver nanoparticles using Ageratum conyzoides for activated carbon compositing to prepare antimicrobial cotton fabric
  20. Activation energy and Coriolis force impact on three-dimensional dusty nanofluid flow containing gyrotactic microorganisms: Machine learning and numerical approach
  21. Machine learning analysis of thermo-bioconvection in a micropolar hybrid nanofluid-filled square cavity with oxytactic microorganisms
  22. Research and improvement of mechanical properties of cement nanocomposites for well cementing
  23. Thermal and stability analysis of silver–water nanofluid flow over unsteady stretching sheet under the influence of heat generation/absorption at the boundary
  24. Cobalt iron oxide-infused silicone nanocomposites: Magnetoactive materials for remote actuation and sensing
  25. Magnesium-reinforced PMMA composite scaffolds: Synthesis, characterization, and 3D printing via stereolithography
  26. Bayesian inference-based physics-informed neural network for performance study of hybrid nanofluids
  27. Numerical simulation of non-Newtonian hybrid nanofluid flow subject to a heterogeneous/homogeneous chemical reaction over a Riga surface
  28. Enhancing the superhydrophobicity, UV-resistance, and antifungal properties of natural wood surfaces via in situ formation of ZnO, TiO2, and SiO2 particles
  29. Synthesis and electrochemical characterization of iron oxide/poly(2-methylaniline) nanohybrids for supercapacitor application
  30. Impacts of double stratification on thermally radiative third-grade nanofluid flow on elongating cylinder with homogeneous/heterogeneous reactions by implementing machine learning approach
  31. Synthesis of Cu4O3 nanoparticles using pumpkin seed extract: Optimization, antimicrobial, and cytotoxicity studies
  32. Cationic charge influence on the magnetic response of the Fe3O4–[Me2+ 1−y Me3+ y (OH2)] y+(Co3 2−) y/2·mH2O hydrotalcite system
  33. Pressure sensing intelligent martial arts short soldier combat protection system based on conjugated polymer nanocomposite materials
  34. Magnetohydrodynamics heat transfer rate under inclined buoyancy force for nano and dusty fluids: Response surface optimization for the thermal transport
  35. Fly ash and nano-graphene enhanced stabilization of engine oil-contaminated soils
  36. Enhancing natural fiber-reinforced biopolymer composites with graphene nanoplatelets: Mechanical, morphological, and thermal properties
  37. Performance evaluation of dual-scale strengthened co-bonded single-lap joints using carbon nanotubes and Z-pins with ANN
  38. Computational works of blood flow with dust particles and partially ionized containing tiny particles on a moving wedge: Applications of nanotechnology
  39. Hybridization of biocomposites with oil palm cellulose nanofibrils/graphene nanoplatelets reinforcement in green epoxy: A study of physical, thermal, mechanical, and morphological properties
  40. Design and preparation of micro-nano dual-scale particle-reinforced Cu–Al–V alloy: Research on the aluminothermic reduction process
  41. Spectral quasi-linearization and response optimization on magnetohydrodynamic flow via stenosed artery with hybrid and ternary solid nanoparticles: Support vector machine learning
  42. Ferrite/curcumin hybrid nanocomposite formulation: Physicochemical characterization, anticancer activity, and apoptotic and cell cycle analyses in skin cancer cells
  43. Enhanced therapeutic efficacy of Tamoxifen against breast cancer using extra virgin olive oil-based nanoemulsion delivery system
  44. A titanium oxide- and silver-based hybrid nanofluid flow between two Riga walls that converge and diverge through a machine-learning approach
  45. Enhancing convective heat transfer mechanisms through the rheological analysis of Casson nanofluid flow towards a stagnation point over an electro-magnetized surface
  46. Intrinsic self-sensing cementitious composites with hybrid nanofillers exhibiting excellent piezoresistivity
  47. Research on mechanical properties and sulfate erosion resistance of nano-reinforced coal gangue based geopolymer concrete
  48. Impact of surface and configurational features of chemically synthesized chains of Ni nanostars on the magnetization reversal process
  49. Porous sponge-like AsOI/poly(2-aminobenzene-1-thiol) nanocomposite photocathode for hydrogen production from artificial and natural seawater
  50. Multifaceted insights into WO3 nanoparticle-coupled antibiotics to modulate resistance in enteric pathogens of Houbara bustard birds
  51. Synthesis of sericin-coated silver nanoparticles and their applications for the anti-bacterial finishing of cotton fabric
  52. Enhancing chloride resistance of freeze–thaw affected concrete through innovative nanomaterial–polymer hybrid cementitious coating
  53. Development and performance evaluation of green aluminium metal matrix composites reinforced with graphene nanopowder and marble dust
  54. Morphological, physical, thermal, and mechanical properties of carbon nanotubes reinforced arrowroot starch composites
  55. Influence of the graphene oxide nanosheet on tensile behavior and failure characteristics of the cement composites after high-temperature treatment
  56. Central composite design modeling in optimizing heat transfer rate in the dissipative and reactive dynamics of viscoplastic nanomaterials deploying Joule and heat generation aspects
  57. Double diffusion of nano-enhanced phase change materials in connected porous channels: A hybrid ISPH-XGBoost approach
  58. Synergistic impacts of Thompson–Troian slip, Stefan blowing, and nonuniform heat generation on Casson nanofluid dynamics through a porous medium
  59. Optimization of abrasive water jet machining parameters for basalt fiber/SiO2 nanofiller reinforced composites
  60. Enhancing aesthetic durability of Zisha teapots via TiO2 nanoparticle surface modification: A study on self-cleaning, antimicrobial, and mechanical properties
  61. Nanocellulose solution based on iron(iii) sodium tartrate complexes
  62. Combating multidrug-resistant infections: Gold nanoparticles–chitosan–papain-integrated dual-action nanoplatform for enhanced antibacterial activity
  63. Novel royal jelly-mediated green synthesis of selenium nanoparticles and their multifunctional biological activities
  64. Direct bandgap transition for emission in GeSn nanowires
  65. Synthesis of ZnO nanoparticles with different morphologies using a microwave-based method and their antimicrobial activity
  66. Numerical investigation of convective heat and mass transfer in a trapezoidal cavity filled with ternary hybrid nanofluid and a central obstacle
  67. Halloysite nanotube enhanced polyurethane nanocomposites for advanced electroinsulating applications
  68. Low molar mass ionic liquid’s modified carbon nanotubes and its role in PVDF crystalline stress generation
  69. Green synthesis of polydopamine-functionalized silver nanoparticles conjugated with Ceftazidime: in silico and experimental approach for combating antibiotic-resistant bacteria and reducing toxicity
  70. Evaluating the influence of graphene nano powder inclusion on mechanical, vibrational and water absorption behaviour of ramie/abaca hybrid composites
  71. Dynamic-behavior of Casson-type hybrid nanofluids due to a stretching sheet under the coupled impacts of boundary slip and reaction-diffusion processes
  72. Influence of polyvinyl alcohol on the physicochemical and self-sensing properties of nano carbon black reinforced cement mortar
  73. Advanced machine learning approaches for predicting compressive and flexural strength of carbon nanotube–reinforced cement composites: a comparative study and model interpretability analysis
  74. Review Articles
  75. A comprehensive review on hybrid plasmonic waveguides: Structures, applications, challenges, and future perspectives
  76. Nanoparticles in low-temperature preservation of biological systems of animal origin
  77. Fluorescent sulfur quantum dots for environmental monitoring
  78. Nanoscience systematic review methodology standardization
  79. Nanotechnology revolutionizing osteosarcoma treatment: Advances in targeted kinase inhibitors
  80. AFM: An important enabling technology for 2D materials and devices
  81. Carbon and 2D nanomaterial smart hydrogels for therapeutic applications
  82. Principles, applications and future prospects in photodegradation systems
  83. Do gold nanoparticles consistently benefit crop plants under both non-stressed and abiotic stress conditions?
  84. An updated overview of nanoparticle-induced cardiovascular toxicity
  85. Arginine as a promising amino acid for functionalized nanosystems: Innovations, challenges, and future directions
  86. Advancements in the use of cancer nanovaccines: Comprehensive insights with focus on lung and colon cancer
  87. Membrane-based biomimetic delivery systems for glioblastoma multiforme therapy
  88. The drug delivery systems based on nanoparticles for spinal cord injury repair
  89. Green synthesis, biomedical effects, and future trends of Ag/ZnO bimetallic nanoparticles: An update
  90. Application of magnesium and its compounds in biomaterials for nerve injury repair
  91. Micro/nanomotors in biomedicine: Construction and applications
  92. Hydrothermal synthesis of biomass-derived CQDs: Advances and applications
  93. Research progress in 3D bioprinting of skin: Challenges and opportunities
  94. Review on bio-selenium nanoparticles: Synthesis, protocols, and applications in biomedical processes
  95. Gold nanocrystals and nanorods functionalized with protein and polymeric ligands for environmental, energy storage, and diagnostic applications: A review
  96. An in-depth analysis of rotational and non-rotational piezoelectric energy harvesting beams: A comprehensive review
  97. Advancements in perovskite/CIGS tandem solar cells: Material synergies, device configurations, and economic viability for sustainable energy
  98. Deep learning in-depth analysis of crystal graph convolutional neural networks: A new era in materials discovery and its applications
  99. Review of recent nano TiO2 film coating methods, assessment techniques, and key problems for scaleup
  100. Antioxidant quantum dots for spinal cord injuries: A review on advancing neuroprotection and regeneration in neurological disorders
  101. Rise of polycatecholamine ultrathin films: From synthesis to smart applications
  102. Advancing microencapsulation strategies for bioactive compounds: Enhancing stability, bioavailability, and controlled release in food applications
  103. Advances in the design and manipulation of self-assembling peptide and protein nanostructures for biomedical applications
  104. Photocatalytic pervious concrete systems: from classic photocatalysis to luminescent photocatalysis
  105. Corrigendum
  106. Corrigendum to “Synthesis and characterization of smart stimuli-responsive herbal drug-encapsulated nanoniosome particles for efficient treatment of breast cancer”
  107. Special Issue on Advanced Nanomaterials for Carbon Capture, Environment and Utilization for Energy Sustainability - Part III
  108. Efficiency optimization of quantum dot photovoltaic cell by solar thermophotovoltaic system
  109. Exploring the diverse nanomaterials employed in dental prosthesis and implant techniques: An overview
  110. Electrochemical investigation of bismuth-doped anode materials for low‑temperature solid oxide fuel cells with boosted voltage using a DC-DC voltage converter
  111. Synthesis of HfSe2 and CuHfSe2 crystalline materials using the chemical vapor transport method and their applications in supercapacitor energy storage devices
  112. Special Issue on Green Nanotechnology and Nano-materials for Environment Sustainability
  113. Influence of nano-silica and nano-ferrite particles on mechanical and durability of sustainable concrete: A review
  114. Surfaces and interfaces analysis on different carboxymethylation reaction time of anionic cellulose nanoparticles derived from oil palm biomass
  115. Processing and effective utilization of lignocellulosic biomass: Nanocellulose, nanolignin, and nanoxylan for wastewater treatment
  116. Retraction
  117. Retraction of “Aging assessment of silicone rubber materials under corona discharge accompanied by humidity and UV radiation”
Downloaded on 25.12.2025 from https://www.degruyterbrill.com/document/doi/10.1515/ntrev-2025-0230/html
Scroll to top button