Home Physical Sciences Central composite design modeling in optimizing heat transfer rate in the dissipative and reactive dynamics of viscoplastic nanomaterials deploying Joule and heat generation aspects
Article Open Access

Central composite design modeling in optimizing heat transfer rate in the dissipative and reactive dynamics of viscoplastic nanomaterials deploying Joule and heat generation aspects

  • ORCID logo , ORCID logo , ORCID logo , ORCID logo , EMAIL logo and
Published/Copyright: October 27, 2025
Become an author with De Gruyter Brill

Abstract

The objective of the proposed study is to investigate the magnetohydrodynamic flow characteristics of a Casson nanofluid transport on a nonlinear oblique extending absorbent surface, considering the role of heat generation and Ohmic heating. The incorporation of Ohmic heating in a viscoplastic nanofluid plays a crucial role in enhancing the uniqueness of this work. This Ohmic heating significantly affects heat transport properties and nanofluid flow behavior in more effective energy transfer frameworks. Also, the Buongiorno model is a widely used and precise technique for the modeling of fluid flow problems utilized in solar systems. Similarity conversions are utilized to minimize the leading equations into a set of coupled ordinary differential equations (ODEs) from controlling partial differential equations. These coupled ODEs governing the momentum, heat, and mass are numerically solved. The Runge–Kutta fourth order method combined with the shooting technique for the non-dimensional governing ODEs is employed to analyze the features of key aspects incorporated in the flow regime. A comprehensive scrutiny of controlling parameters is carried out, and numerical outcomes are depicted as graphical illustrations and in tabular format. In addition to this, the practical applications of engineering quantities on the Nusselt number are visualized and discussed via statistical analysis. The obtained outcomes are compared with results that have already been published, and a good match is found. The improvement of the Hartmann number, mass Grashof number (Gr), Casson parameter, and inclination angle reduces the fluid velocity, while increasing the thermal Gr exhibits an opposite behavior. Augmenting the thermal radiation parameter, Eckert number, thermophoresis, and Brownian motion parameter (Nb) enhances the fluid temperature distribution. The fluid temperature rises upon accelerating the thermophoresis parameter, while the contrary result is obtained upon improving the Lewis number and Nb. The drag friction coefficient is improved by enhancing the thermal Gr and Casson parameter.

Nomenclature

u , v

velocity components ( m s 1 )

x , y

Cartesian coordinates ( m )

α

Casson parameter

Ha

magnetic parameter

Gm

solutal buoyancy

Gr

thermal Grashof number

Nr

radiation parameter

Pr

Prandtl number

Nt

thermophoresis parameter

Nb

Brownian motion parameter

J H

Joule heating parameter

Q 0

heat source parameter

Ec

Eckert number

Pr

Prandtl number

Le

Lewis number

Kc

chemical reaction parameter

S

suction parameter

q w

heat flux

q m

mass flux

D T

thermal diffusion

D B

Brownian diffusion

Re x

local Reynolds number

q r

radiative heat flux ( kg s 3 )

γ

thermal diffusivity

σ s

Stefan–Boltzmann constant ( W m 2 K 4 )

A c

mean absorption coefficient ( m 1 )

T

temperature ( K )

T

ambient temperature ( K )

μ B

dynamic viscosity ( kg m 1 s 1 )

c p

specific heat capacity

σ

electrical conductivity

1 Introduction

Due to practical significance in the investigation of combined thermal and solutal transport in hydro-magnetic incompressible fluid across extending/dwindling sheets, numerous researchers have been attracted to investigating the flows through stretching and shrinking sheets. These kinds of flows find applications in the broad context of science and technology, including polymer processing, blood flow problems, glass fiber manufacturing, paper and condensation processes, hot rolling, cooling, etc. The boundary layer flow in elongating sheet investigations was pioneered by Sakiadis [1] who considered the continuous cylindrical surface. Later, Crane [2] scrutinized the fluid transport over a propelling elongating plate. Mabood performed a heat transmission analysis on the hydromagnetic boundary layer nanofluid transport past a nonlinear widening surface, where the flow solutions were obtained numerically. Rama Devi and Reddy [3] discussed the radiative and reactive efforts on hydro-magnetic nanofluid movement via an extending sheet. Consequently, studies of Rama Devi and Reddy, Khan et al., Sadighi et al., and Adel et al. [4,5,6,7] present fascinating findings that showcase the distinct behavior of various physical flow parameters of nanofluids past extending surfaces.

The effects of Ohmic heating and energy dissipation are highly critical in domains of large current density and high-velocity or high-viscosity flows, respectively. Joule heating enhances thermal energy generation and impacts heat transfer structures where thermal transportation is vital for protection, effectiveness, or physical performance. This effect is very important in mechanisms where overheating may result in device failure, inadequacy, or deprivation of materials. Joule heating is significant in industrial metallurgy and material processing, nuclear reactors, biomedical applications, conserving structures and thermal transport, and astrophysical space exploration. Viscous dissipation is more important as internal friction generates significant heat, especially in high-shear regions. Dissipation effects find applications in technology and engineering, for instance, aerospace systems, jet mechanical structures, space dynamics, car engines, etc. With such imperative significance, Swain et al. [8] explained the combined effects of energy dissipation and Ohmic on hydro-magnetic movement and past a continuous surface entrenched in a permeable membrane. Mishra and Kumar [9,10] analyzed the heat efficiency of reactive and dissipative magnetohydrodynamic (MHD) nanofluid transmit past a continuous sheet due to Joule heating. Tarakaramu et al. [11] inspected the effects of dissipative and Ohmic heating and on MHD nanofluid motion over a two-way extending sheet. Some additional related papers on energy dissipation and Joule heating are those of Wahid et al., Jayanthi and Niranjan, Rasool et al., Lund et al., and Ouyang et al. [12,13,14,15,16].

Radiative thermal propagation and heat generation/absorption are crucial phenomena in fluid flow analysis, especially in high-temperature environments where they significantly impact heat transfer. These mechanisms are essential in various industrial applications, including power generation, aerospace engineering, automotive industry, electronics cooling, and chemical processing. Effective thermal management by controlling radiative heat transfer and absorption enhances system durability, energy efficiency, and operational reliability in these fields. Suresh Kumar et al. [17] performed an examination of a radiative MHD Casson nanofluid transport considering heat generation, the Hall effect, and activation energy via numerical solutions. The results of radiative mechanisms and higher-order reactive species on non-Darcy-assorted buoyance-driven MHD nanofluid transport with a variable heat source/sink were presented by Sarkar et al. [18]. Alharbi et al. [19] numerically scrutinized the effects of the radiative process on a bioconvective Maxwell-nanofluid transport in a widening sheet with thermal radiation considering exponential heat source/consumption. Explorations of Swain et al., Prakash et al., Khan et al., and Sekhar et al. [20,21,22,23,24] provided a detailed inquiry on the radiative and heat-generating impact on hydro-magnetic nanofluid transport.

Chemical reaction effects on hydromagnetic nanofluid movement are of astonishing practical implication in engineering and technology fields. Plausible uses of this flow can come across in plentiful industrial procedures, for example, the power systems and chemical mechanisms. The study of reactive effects on MHD nanofluid flow via different shapes has been inspected using various arithmetical techniques. Sademaki et al. [25,26] included the effects of reactive species on hydromagnetic fluid transport and various physical flow parameters employing the finite difference method to find the solutions. Reddy et al. [27] discussed the effects of reactive species on radiative MHD Brinkman-type motion across a wavering permeable plate with a diffusion-thermo effect. Shamshuddin et al. [28] explored the outcomes of reactive species on radiative hydro-magnetic micropolar nanofluid transport incorporating activation energy and the Hall effect past an absorbent extending surface numerically. The studies of Shamshuddin et al., Patil et al., Hussain et al., and Khan et al. [29,30,31,32] are worth mentioning due to their inclusion of reactive processes in the MHD nanofluid transport regime with diverse stream geometries. The thermal and solutal flow study in Casson fluids has significant industrial applications. Shamshuddin et al. [33] studied Casson fluid’s thermal and reactive properties at stagnation point movement past a radiative, reactive sheet. Similarly, Ibrahim et al. [34] discussed how species interactions and thermal sources affected the dissipative magnetized flow of Casson nanofluids over a nonlinear permeable surface. Brewster [35] deliberated thermal radiative characteristics, while Liao [36] scrutinized the “Homotopy Analysis Method” for solving nonlinear system of equations. Nadeem et al. [37] researched the MHD Casson nanofluid movement along convective circumstances.

“Response Surface Methodology (RSM)” is a statistical and arithmetical technique for modeling and analyzing models in which numerous variables influence the response of interest. It optimizes procedures by analyzing the correlations amid input variables and intended output, making it excellent for situations in which multiple factors influence the response. This methodology is very useful for determining optimal conditions and enhancing system performance, making it extensively relevant in engineering, manufacturing, and product design. Mishra et al. [38] presented the sensitivity of improved heat movement in Eyring Powell nanofluid transport, specifically across a convective radiating Riga plate with irregular heat sources and flux constraints. Similarly, Pattnaik et al. [39] used RSM to optimize the heat transfer rate in micro-structured fluid flow via a permeable contracting surface, addressing free convection processes. Ontela et al. [40] expanded the research by exploring thermal flow optimization and sensitivity study in hybridized fluid movement across a radiative sheet, highlighting possible implications in solar-powered charging stations. Farooq et al. [41] and Waqas et al. [42] highlighted enhanced heat transfer capabilities of silver-based hybrid nanofluids in industrial and biomedical applications. Alqawasmi et al. [43] and Mishra [44] investigated flow behavior under nonlinear heat sources and radiative influences, while Mishra et al. [45] employed neural networks to model heat transfer across various geometries. Mishra and Kumar [10] further analyzed MHD nanofluid flow incorporating slip conditions and Joule heating effects.

1.1 Research gap analysis

Based on the aforementioned literature assessment following key features that fill the gap of the existing research work:

  • Existing literature on Casson nanofluids has not focused on the joint impact of Ohmic heating and heat generation; therefore, the present study analyzes the aforementioned factors in the hydromagnetic transport of Casson nanofluids past a nonlinear oblique absorbent surface.

  • The impact of Ohmic heating on viscoplastic nanofluids, particularly in conjunction with MHD and heat transfer, has not been explored in the existing literature; therefore, the energy transfer efficiency in thermal systems enhances the incorporation of Ohmic heating.

  • To address the gap in the analysis of Grashof number (Gr), Casson parameter ( α ), and Brownian motion parameter (Nb) and thermophoresis which are not discussed earlier, are presented in the flow phenomena for the enhanced flow properties.

1.2 Novelty

Few of the following aspects lead to the work’s novelty:

  • It introduces the vast analysis of MHD Casson nanofluid flow over a permeable expanding surface, explored in prior viscoplastic nanofluid studies.

  • The integration of Joule heating within the Casson-type non-Newtonian nanofluid that significantly impacts the thermal characteristics and the present model from the existing Newtonian or power-law nanofluid.

  • The two-phase model equipped with both Nb and thermophoresis, which are essential for accurate modeling of nanoparticle dispersion in solar-based energy conversion.

2 Model description

This exploration extends electrically conducting viscous-incompressible MHD 2D steady state Casson nanofluid assorted convective movement via an angle elevated nonlinear penetrable elongating sheet positioned at the x-axis. The velocity U w = p x n 1 2 ( p > 0 ) of the surface deviates from the track of the x-axis and along the y -axis with the velocity of v = v w . Moreover, the present transport regime is positive ( y > 0 ) . Additionally, this sheet is regularly executed with the equivalence B ( x ) = B 0 x n 1 2 by a magnetic strength, which is in the pathway of y -axis, as shown in Figure 1. The matching magnetic field persuades the electrically conducting fluid. It ought to be specified that the persuaded magnetic field approaches zero if the Reynolds number is enormously slight. To extend the wall so that the base remains fixed, whereas two undistinguishable and opposite forces are included along the x-axis path. In this, T w and C w are the measured temperature and concentration of nanoparticles, respectively, and as , the temperature and nanoparticle volume fraction ambient values are T and C , respectively. Along with the impacts of heat generation and Joule heating, the analysis also takes dissipation and suction into account. Assuming the rheological equation of non-Newtonian Casson fluid as [33]

τ = τ 0 + μ α *

or

τ ij = 2 μ B + p y 2 π e ij , π > π c 2 μ B + p y 2 π c e ij , π < π c .

Figure 1 
               Geometrical model of the considered flow.
Figure 1

Geometrical model of the considered flow.

In the above equation, μ B is the dynamic viscosity of the Casson fluid, p y is the fluid yield stress, π is the product of deformation rate components, expressed as π = e ij e ij , where e ij is the ( i , j ) th components of the deformation rate, and π c is the critical value of π .

e ij = 1 2 v i x j + v j y i .

The equations that govern the previously indicated flow system near the oblique stretching surface are expressed as [34]:

(1) u x + v y = 0 ,

(2) u u x + v u y = υ 1 + 1 α 2 u y 2 σ B 2 ( x ) ρ f u + ( g β T ( T T ) + g β C ( C C ) ) cos β ,

(3) u T x + v T y = γ 2 T y 2 + ( ρ c ) p ( ρ c ) f D T T T y 2 + D B C y T y + υ c p 1 + 1 α u y 2 + σ B 2 ( x ) ( ρ c ) f u 2 1 ( ρ c ) f q r y + 1 ( ρ c ) f Q s ( T T ) ,

(4) u C x + v C y = D B 2 C y 2 + D T T 2 T y 2 k r ( C C ) .

They are connected to the following initial and boundary conditions:

(5) u = U w = p x n 1 2 , T = T w , v = v w , C = C w at y = 0 v 0 , T T , u 0 , C C as y ,

where B ( x ) = B 0 x n 1 2 is an inconstant magnetic field.

The radiative thermal flux q r with the Rosseland approximation was deduced by Brewster [35], expressed as

(6) q r = 4 σ s 3 A c T 4 y ,

where σ s and A c denote, respectively, the Stefan–Boltzmann constant and mean absorption coefficient. Letting a slight temperature change between the fluid temperature T and free stream temperature T is expanded as a linear function about a free transport temperature T after ignoring the second and higher-order terms in ( T T ) produces as a result of the form;

(7) T 4 4 T 3 T 3 T 4 .

Using equations (6) and (7), equation (3) yields

(8) u T x + v T y = γ 2 T y 2 + ( ρ c ) p ( ρ c ) f D T T T y 2 + D B C y T y + υ c p 1 + 1 α u y 2 + σ B 2 ( x ) ( ρ c ) f u 2 + 1 ( ρ c ) f 16 σ s 3 A c y T 3 T y + 1 ( ρ c ) f Q s ( T T ) .

To transmute the set of partial differential equations (PDEs) (equations (3)–(6)), we apply the following similarity parameters following Ibraham et al. [34]

(9) η = y n + 1 2 v x n 1 2 , ψ = 2 pv n + 1 x n 1 2 f ( η ) , v = pv ( n 1 ) 2 x n 1 2 f ( η ) + n 1 n + 1 n f ( η ) u = p x ( n 1 ) 2 f ( η ) , ϕ ( η ) = C C C w C , θ = T T T w T ,

where ψ , η , f ( η ) , θ ( η ) , and ϕ ( η ) are the stream function, local similarity variable, non-dimensional stream function, non-dimensional temperature, and non-dimensional concentration, respectively, Standard equations of the stream function ψ are defined as u = ψ y and v = ψ x .

By the use of equation (9), the PDEs are transformed into the following ordinary differential equations (ODEs):

(10) 1 + 1 α f + f f Ha f 2 n n + 1 f 2 2 n + 1 ( Gm ϕ Gr θ ) cos β = 0 ,

(11) 3 + 4 Nr 3 θ + Pr f θ + Nt θ 2 + Nb θ ϕ + J H f 2 + Q 0 θ + 1 + 1 α Ec f 2 = 0 ,

(12) ϕ + Nt Nb θ + Le Pr ( f ϕ Kc ϕ ) = 0 .

The transformed initial and borderline settings are given by

(13) f ( η ) = S , f ( η ) = 1 , θ ( η ) = 1 , ϕ ( η ) = 1 at η = 0 f ( η ) = 0 , θ ( η ) = 0 , ϕ ( η ) = 0 as η 0 ,

where prime denotes d d η ,

(14) Gr = g β T ( T w T ) p 2 x ( 2 n 1 ) , Gm = g β C ( C w C ) p 2 x ( 2 n 1 ) , Ha = 2 σ B 0 2 p ρ f ( n + 1 ) , Nt = ( ρ c ) p D T ( T w T ) v ( ρ c ) f , Pr = v γ , γ = k ( ρ c ) f , Ec = U w 2 ( T w T ) c p , Nb = ( ρ c ) p D B ( C w C ) v ( ρ c ) f , J H = Ec Ha = 2 σ B 0 2 U w p ρ f ( T w T ) c p ( n + 1 ) , S = v w p ( n + 1 ) v 2 x n 1 2 , Kc = 2 x k r ( n + 1 ) U w , Q 0 = 2 x Q s ( ρ c ) f ( n + 1 ) U w , Nr = 4 σ s T 3 A c k , Le = γ D B . .

The dimensional engineering curiosity connected to the problem is as follows:

Local wall friction coefficient S f = μ B ρ U w 2 1 + 1 α u y y = 0

Rate of heat transport NU x = x q w k ( T w T )

Rate of mass transport Sh x = x q m D B ( C w C ) ,where q w is the heat flux given by q w = k + 16 σ s T 3 3 A c T y y = 0 and q m is the mass flux given by q m = D m C y y = 0 .

Utilizing the similarity parameters in equation (9), the dimensionless engineering quantities can be reduced as:

(15) Re x 1 2 Sf x = 2 n + 1 1 + 1 α f ( 0 ) , Re x 1 2 Nu x = 2 n + 1 3 + 4 Nr 3 θ ( 0 ) , Re x 1 2 Sh x = 2 n + 1 ϕ ( 0 ) ,

where the local Reynolds number is expressed as Re x = U w x υ .

3 Numerical method of solution

Equations (10)–(13) used to simulate this inherently non-linear Casson nano-fluid flow across a nonlinear inclined stretched sheet employing the boundary value problem. Normally, getting closed-form outcomes is rather challenging. To find the right consequences, a numerical procedure that applies the Runge–Kutta technique and the shooting approach is utilized. The Runge–Kutta technique is a well-known family of iterative methods for approximating ODE solutions. Now, the BVP is converted to IVP by converting into first-order ODEs, as described below, along with a flow chart procedure (Figure 2)

(16) f = J 1 , f = J 2 , f = J 3 , f = J 3 , θ = J 4 , θ = J 5 , θ = J 5 , ϕ = J 6 , ϕ = J 7 , ϕ = J 7 .

Figure 2 
               Numerical methodology flow chart.
Figure 2

Numerical methodology flow chart.

Incorporating equation (16) in equations (10)–(12) leads to first-order ODEs as follows:

(17) J 3 = 1 1 + 1 α Ha J 2 + 2 n ( n + 1 ) J 2 2 + 2 ( n + 1 ) ( Gm J 6 Gr J 4 ) cos β J 1 J 3 ,

(18) J 5 = Pr 3 + 4 Nr 3 J 1 J 5 + Nt J 5 2 + Nb J 5 J 7 + J H J 2 2 + Q 0 J 4 + 1 + 1 α Ec J 3 2 } ,

(19) J 7 = Nt Nb Pr 3 + 4 Nr 3 J 1 J 5 + Nt J 5 2 + Nb J 5 J 7 + J H J 2 2 + Q 0 J 4 + 1 + 1 α Ec J 3 2 Le Pr ( J 1 J 7 Kc J 6 ) .

Leading boundary conditions

(20) J 1 ( η ) = S , J 2 ( η ) = 1 , J 4 ( η ) = 1 , J 6 ( η ) = 1 , at η = 0 , J 2 ( η ) 0 , J 4 ( η ) 0 , J 6 ( η ) 0 , as η 0 . .

The appropriate guesstimate values are selected, and integration is then carried out. Thus, the appropriate step size Δ η = 0.001 is selected.

3.1 Method validation

A comparison of the studied outcomes with previously published work is provided in Table 1. This resemblance indicates that the current results align very well with the investigations of Liao [36] and Nadeem et al. [37] for θ ( 0 ) and ϕ ( 0 ) , demonstrating the exactness and consistency of the considered computational technique to solve governing equations. The slight deviations observed are attributed to differences in numerical methods.

Table 1

Comparison of θ ( 0 ) and ϕ ( 0 ) for different values of n and Nt

n Nt Liao [36] Nadeem et al. [37] Present
θ ( 0 ) ϕ ( 0 ) θ ( 0 ) ϕ ( 0 ) θ ( 0 ) ϕ ( 0 )
0.2 0.3 0.4533 0.8395 0.452 0.8402 0.45235 0.84025
0.5 0.3999 0.8048 0.3987 0.8059 0.39874 0.80535
0.3 0.3 0.4282 0.7785 0.4271 0.7791 0.42711 0.77913
0.5 0.3786 0.8323 0.3775 0.739 0.3776 0.73987
10 0.3 0.4277 0.7654 0.4216 0.766 0.42164 0.76615
0.5 0.3739 0.7238 0.3728 0.7248 0.37286 0.72487

4 Discussion and outcomes

To comprehend the physical insight of the modeled problem, the effects of various pertinent parameters fused in the problem on the nanofluid momentum, temperature, and concentration are delineated graphically. Shear stress, Nusselt number, and Sherwood number are computationally solved and exhibited in tabular format. The arithmetical computations have been done by considering the constant values of various incorporated parameters in the flow structure that are well displayed in the graphs.

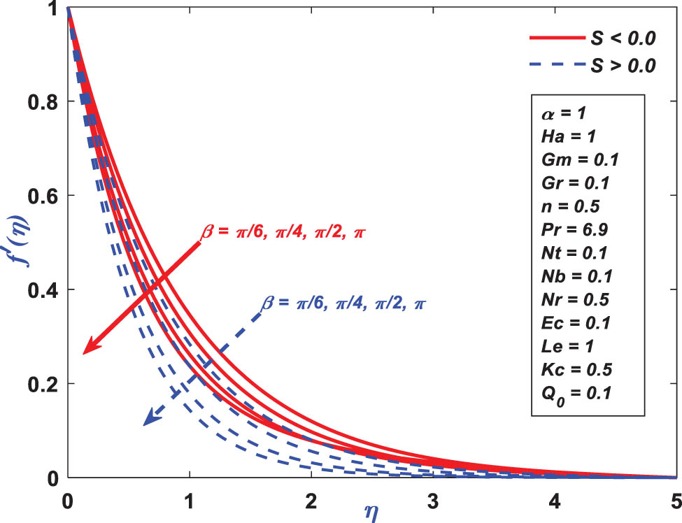
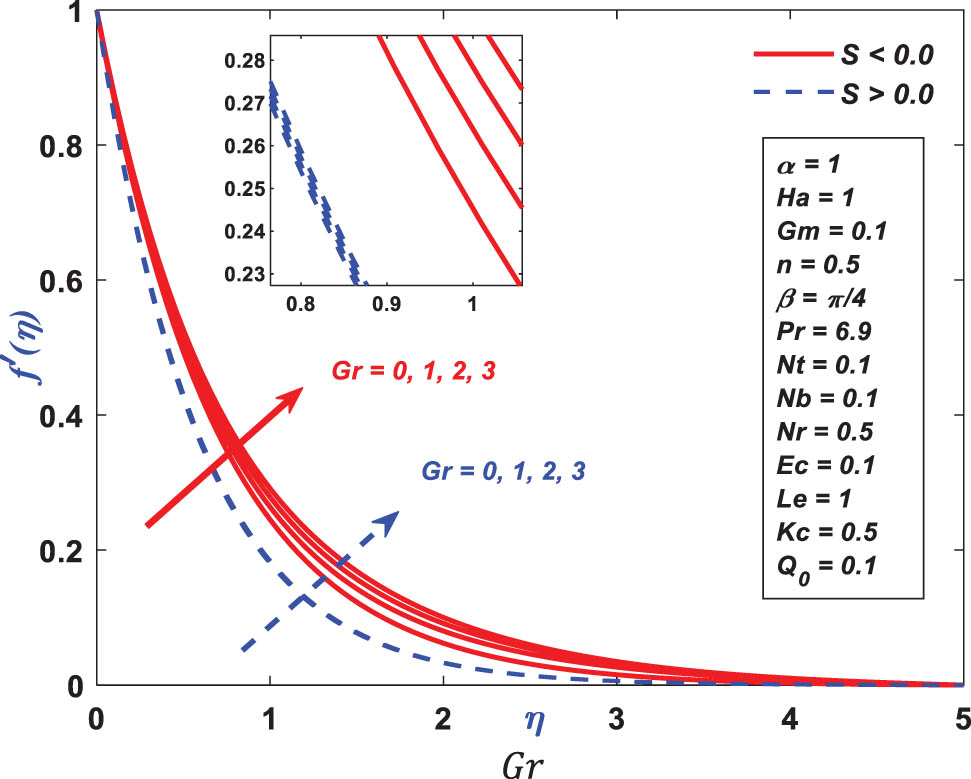
Figure 3 exhibits the effects of Hartmann number Ha on the fluid velocity. The variation of the factor Ha within the flow domain is presented for the consideration of the standard range described as 0 Ha 3 . In general, the numerically assigned value of Ha , Ha = 0 , depicts the non-occurrence of the magnetization on the flow profile, while the nonzero variation portrays the characteristic of the magnetization on the fluid velocity. It is stated that enhancing Ha diminishes fluid velocity. The reason behind this circumstance is the Ha lessens the fluid velocity by strengthening the magnetic damping properties (Lorentz force), which work as an added drag on the fluid regime. The occurrence of the resistivity generated from the Lorentz force is due to the inclusion of applied magnetization in the momentum distribution. This results in lower velocities near the walls presenting a thinner bounding surface thickness leading to shrink nanofluid velocity. This behavior is exhibited in two distinct folds, such as S > 0 leading the case of suction and S < 0 showing the behavior of injection. The comparative analysis displays that suction is more pronounced to attenuate the fluid velocity. Figure 4 displays the influence of a non-linear stretching parameter n on fluid velocity where the behavior is depicted for the particular range of n as 0.5 n 2 . It is detected that improving n decelerates the fluid pace. Physically, the nonlinear stretching parameter drops the fluid velocity by snowballing the viscid drag and deepening the boundary stratum, which mutually produce superior opposition to fluid movement near the elongating surface. The outcome inclusively lessens the fluid velocity in the borderline layer domain. Figure 5 showcases the distinction of the Casson parameter α on fluid velocity and to show the characteristic, the numerical variation of the factor is presented as 1 α 4 . It noticed that mounting α depresses the fluid velocity. This is because α rises the fluid’s yield stress, which brings resistance toward the flow regime. As α upsurges, the fluid needs a strong force to begin moving, inspissation of the boundary layer, and dipping of the shear rate, hence the velocity drop occurs. The influence of thermal Grashof number ( Gr ) on fluid velocity is showcased in Figure 6, in which the variation of Gr is reported within the standard range of 0 Gr 3 . The assignment Gr = 0 clarifies the absence of buoyancy, whereas the effect of buoyancy is deployed for its nonzero variation. Physically, the buoyancy occurs for the density variation between the layers of the fluid, which leads to pressure variation. The observation reveals that the pressure at the bottom layer is dominated by the pressure at the top which shows buoyancy. Here, the positive variation of Gr indicates the cooling of the surface since the temperature transfers from the surface toward the ambient state of low temperature region. It is seen that mounting Gr escalates the fluid momentum. The cause behind this is Gr enumerates the supremacy of buoyancy forces over viscidness in free convective motions. As the Gr upsurges, the buoyancy forces become tougher, generating more dynamic convective currents, hence improving the fluid pace. Figure 7 illustrates the impact of Gm on fluid velocity with a significant variation of the factor as 0.5 Gm 2 . In this case, the variation is presented due to the concentration difference, and the positive variation of the factor shows the concentration at the surface is higher than that of the ambient state. It is noted that the fluid speed decreases when Gm is elevated. This is because Gm shrinks the fluid speed when the mass buoyancy forces engendered by concentration gradients resist the heat buoyancy forces, forming an opposition to the fluid stream. In this situation, the interface amid solutal and heat buoyancy effects can diminish the complete generative force for fluid transport, causing high fluid pace. Figure 8 displays the variation of fluid velocity when adjusting the inclination angle β , which is reported as π / 6 β π . Mathematically, the cosine value retards with the increase in the inclined angle, and it is observed that increasing β values reduce the fluid momentum. The physics behind is the fact that the inclined angle of a surface disturbs the fluid velocity by fluctuating the gravitational forces, escalating the frictional resistance, and plummeting the buoyancy-driven convection, hence it tends to reduce the fluid pace.

Figure 3 
               Velocity profile performance toward the magnetic field 
                     
                        
                        
                           (
                           M
                           )
                        
                        \left(M)
                     
                  .
Figure 3

Velocity profile performance toward the magnetic field ( M ) .

Figure 4 
               Velocity profile performance toward 
                     
                        
                        
                           n
                        
                        n
                     
                  .
Figure 4

Velocity profile performance toward n .

Figure 5 
               Velocity profile performance toward 
                     
                        
                        
                           α
                        
                        \alpha 
                     
                  .
Figure 5

Velocity profile performance toward α .

Figure 6 
               Velocity profile performance toward 
                     
                        
                        
                           Gr
                        
                        {\rm{Gr}}
                     
                  .
Figure 6

Velocity profile performance toward Gr .

Figure 7 
               Velocity profile performance toward 
                     
                        
                        
                           Gm
                        
                        {\rm{Gm}}
                     
                  .
Figure 7

Velocity profile performance toward Gm .

Figure 8 
               Velocity profile performance toward 
                     
                        
                        
                           β
                        
                        \beta 
                     
                  .
Figure 8

Velocity profile performance toward β .

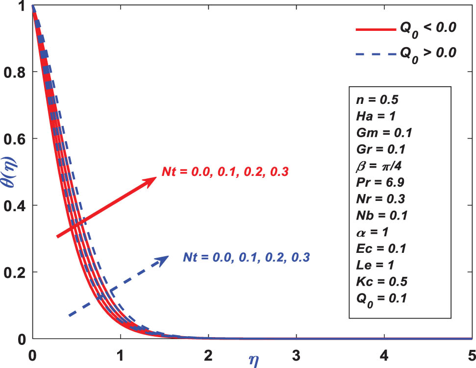
Figure 9 presents the effect of radiation Nr on the fluid temperature, where the behavior is projected within the range of 0 Nr 3 . Particularly, Nr = 0 signifies the behavior of fluid temperature without the occurrence of radiative heat and the nonzero variation portrays the characteristic of thermal radiation. It realized those mounting values of Nr progresses the magnitude of thermal boundary layers by adding radiant energy to the fluid, which gives a snowballing effect on the fluid temperature. Figures 10 and 11 depict the influence of thermophoresis Nt and Brownian motion parameter Nb on the fluid temperature, respectively. The factor Nt is distributed within the certain range of 0 Nt 3 , and Nb is presented as 0.1 Nb 0.4 . It is noticed that in both cases the temperature of the fluid increased. This is because both Nt and Nb increase the fluid temperature by enabling the re-dispersion of heat via thermophoresis and augmenting heat transport via Brownian movement. The collective outcomes yield more effective energy distribution, hence improving the fluid temperature. The random motion of the Brownian motion and the thermal gradient impact enhance the heat transport properties which encourage the thermal properties. Figure 12 illustrates the temperature demeanor for the response of Ec , where the factor is reported as 0 Ec 0.3 . In general, the numerical consideration of Ec = 0 shows the absence of dissipative heat on the energy transport phenomena, and the nonzero variation indicates the role of dissipative heat affecting the fluid temperature. An increasing Ec boosts the energy of material particles due to high energy input stowed in the boundary stratum as an outcome enhances the temperature of the fluid.

Figure 9 
               Temperature profile performance toward 
                     
                        
                        
                           Nr
                        
                        {\rm{Nr}}
                     
                  .
Figure 9

Temperature profile performance toward Nr .

Figure 10 
               Temperature profile performance toward 
                     
                        
                        
                           Nt
                        
                        {\rm{Nt}}
                     
                  .
Figure 10

Temperature profile performance toward Nt .

Figure 11 
               Temperature profile performance toward 
                     
                        
                        
                           Nb
                        
                        {\rm{Nb}}
                     
                  .
Figure 11

Temperature profile performance toward Nb .

Figure 12 
               Temperature profile performance toward 
                     
                        
                        
                           Ec
                        
                        {\rm{Ec}}
                     
                  .
Figure 12

Temperature profile performance toward Ec .

Figure 13 demonstrates the influence of Schmidt number Le on the concentration profile, and the factor Le is projected within the standard range of 1 Le 1.3 . Physically, the factor Le described as the relationship between the thermal diffusivity and the Brownian diffusivity and the increasing order of Le shows a significant retardation in the Brownian diffusion. It is spotted that fluid concentration decreases as Le increases. Physically, the expansion of Le conveys higher thermal conductivity compared to mass diffusivity. In this case, the solutes in the fluid diffuse at a very low pace, leading to minimal effectiveness in solute transmission, sharper concentration gradients, and ultimately declining the fluid concentration. Figure 14 shows the variation of Brownian motion parameter Nb in fluid concentration. It is perceived that enhancing the Nb diminishes the fluid concentration. This is because boosting the Nb drops the fluid concentration as it augments the random motion of particles, resulting in superior dispersion and distribution all around the fluid. This condenses the gathering of particles and compresses concentration gradients, subsequently reducing the fluid concentration. Figure 15 displays the variation of thermophoresis on fluid concentration. It is perceived that enhancing the Nt improves the fluid concentration. The physics behind this is, higher Nt heightens the fluid concentration by triggering elements to move from warmer to cooler points, resulting in accretion in cooler points. This effect leads to a deepening boundary stratum and high varying particle dispersion within the fluid, hence increasing the fluid concentration.

Figure 13 
               Concentration profile performance toward 
                     
                        
                        
                           Le
                        
                        {\rm{Le}}
                     
                  .
Figure 13

Concentration profile performance toward Le .

Figure 14 
               Concentration profile performance toward 
                     
                        
                        
                           Nb
                        
                        {\rm{Nb}}
                     
                  .
Figure 14

Concentration profile performance toward Nb .

Figure 15 
               Concentration profile performance toward 
                     
                        
                        
                           Nt
                        
                        {\rm{Nt}}
                     
                  .
Figure 15

Concentration profile performance toward Nt .

4.1 Drag friction coefficient, thermal flow rate, and solutal flow rate

The variation of the drag friction coefficient of Casson nanofluid with various parameters is exhibited in Table 2. It is professed from this table that the wall friction rises with the intensification in Gr and α , but it lessens with Ha , β , S , Gm , and φ . The rate of thermal transport rate variation with different parameters is shown in Table 3. It is acknowledged from this table that the Nusselt number upsurges with an increase in Nr , but a contrary trend is perceived with an escalation of Ec , Nb , Nt , and Q . The deviation of the Sherwood number is accessible in Table 4 for a diversity of parameters. The Sherwood number grows by expanding Le , Nb , Nt , and Kc .

Table 2

Numerical values for drag friction coefficient with various parameter values

Ha S Gm Gr α β Sf x
1 −2.0914
2 −2.4984
3 −2.8423
1 0.1 −2.6248
0.2 −2.6781
0.3 −2.7322
0.1 0.1 −2.8423
0.2 −2.8642
0.3 −2.8861
0.1 0.1 −2.8423
0.2 −2.8187
0.3 −2.7952
0.1 1 −3.0874
2 −2.7106
3 −2.5714
1 π / 4 −2.8423
π / 2 −2.8441
π −2.8465
Table 3

Numerical values for heat transfer rate with various parameter values

Nr Q Nb Nt Ec Nu x
1 1.3162
2 1.4641
3 1.5849
1 0.1 1.201
0.2 1.0758
0.3 0.9392
0.1 0.1 1.0758
0.2 0.8521
0.3 0.6593
0.1 0.1 1.0758
0.2 0.9353
0.3 0.8083
0.1 0.1 1.6426
0.2 1.0758
0.3 0.5055
Table 4

Numerical values for mass transfer rate with various parameter values

Le Nb Nt Kc Sh x
1 2.1991
1.1 2.4114
1.2 2.6186
1 0.1 2.1991
0.2 2.5176
0.3 2.6146
0.1 0.1 2.1991
0.2 1.9614
0.3 1.9039
0.1 0.1 1.6543
0.2 1.8074
0.3 1.9479

4.2 RSM

An enhanced and effective design is proposed for analyzing the thermal transport rate, a sophisticated statistical technique, which is presented in this section. To prepare a predictive model, RSM is utilized for the response employing several characterizing factors. In particular, RSM is the assortment of both the arithmetical and statistical methods. Moreover, the major goal of the proposed discussion is to optimize the response which is characterized by several factors considered within their proper range. The proposed technique is employed in describing the role of three distinct factors such as Nb, Nt, and Nr for the response of thermal flow rate, i.e. Nusselt number. The machine simulation process is supported for the ranges of these factors as Nb [ 0.1 , 0.3 ] , Nt [ 0.1 , 0.3 ] , and Nr [ 01 , 0.5 ] , respectively. The main goal of this technique is to find the effective role of the considered three factors that maximize or minimize Nu. Particularly, machine design is developed by utilizing “Central Composite Design” (CCD) and BoxBehnken Design (BBD) in RSM, but for the proposed problem CCD is adopted for the robustness and efficiency. As per the design of the model, three different levels for each of the factors are considered, and these are generally low, medium, and high, where each are coded as −1, 0, and 1, respectively. The range of each of the factor and their levels are presented in Table 5.

Table 5

Range and their levels of factors for Nusselt number

Parameters Level
Low (−1) Medium (0) High (1)
Nb 0.1 0.2 0.3
Nt 0.1 0.2 0.3
Nr 0.1 0.3 0.5

Table 6 based on the experimental set up for the methodology and then CCD is used to predict a design which contains a total of 20 experimental runts such as factorial, axial, and central points. For each combination of factors presented in Table 6, the response of Nusselt number is recorded. The variation of the parametric values is presented based upon these 20 runs for which the calculation of the Nusselt number is obtained, which is called the observed values of the Nusselt number.

Table 6

Experimental design for heat transfer rate

Runs Real values Response Predicted fits Predicted standard error fits Percentile error
Nb Nt Nr Nusselt number
1 0.1 0.1 0.1 1.0758 1.07274 0.0020217 0.284038
2 0.3 0.1 0.1 0.6593 0.66087 0.0020217 −0.238786
3 0.1 0.3 0.1 0.8083 0.81002 0.0020217 −0.213327
4 0.3 0.3 0.1 0.4654 0.46300 0.0020217 0.514758
5 0.1 0.1 0.5 1.2041 1.20646 0.0020217 −0.196356
6 0.3 0.1 0.5 0.8266 0.82484 0.0020217 0.212398
7 0.1 0.3 0.5 0.9609 0.95929 0.0020217 0.167102
8 0.3 0.3 0.5 0.6395 0.64252 0.0020217 −0.472919
9 0.1 0.2 0.3 1.0123 1.01287 0.0015905 −0.056577
10 0.3 0.2 0.3 0.6490 0.64855 0.0015905 0.068917
11 0.2 0.1 0.3 0.9341 0.93497 0.0015905 −0.093430
12 0.2 0.3 0.3 0.7132 0.71245 0.0015905 0.104777
13 0.2 0.2 0.1 0.7320 0.73415 0.0015905 −0.294088
14 0.2 0.2 0.5 0.8928 0.89077 0.0015905 0.227069
15 0.2 0.2 0.3 0.8185 0.81846 0.0007804 0.005109
16 0.2 0.2 0.3 0.8185 0.81846 0.0007804 0.005109
17 0.2 0.2 0.3 0.8185 0.81846 0.0007804 0.005109
18 0.2 0.2 0.3 0.8185 0.81846 0.0007804 0.005109
19 0.2 0.2 0.3 0.8185 0.81846 0.0007804 0.005109
20 0.2 0.2 0.3 0.8185 0.81846 0.0007804 0.005109

A statistical methodology, in particular analysis of variance (ANOVA) is used to determine the significance of factors involved in RSM. The procedure is conducted for the suitability of the machine criteria of a suitable choice of confidence interval of 95% or the significant level of 5%. For the proposed factors, the quadratic response surface model fit to the data collected from the experiment is expressed as

Nusselt number = 0.818458 0.182160 Nb 0.111260 Nt + 0.078310 Nr + 0.01225 Nb*Nb + 0.00525 Nt*Nt 0.00600 Nr*Nr + 0.016212 Nb*Nt + 0.007563 Nb*Nr + 0.003888 Nt*Nr .

The simulated F-values, F = MS Regression /MS Residual , were obtained and compared with the critical F-value at a significant level of 0.05 (Table 7). Here, the low p-values ( p < 0.05 ) recommend that the model is significant. It reveals that the design of Nusselt number is dependent upon all the factors involved in it. The adjusted R 2 values in Table 7 indicate a well-fitted model to the data for which the quadratic model is suggested.

Table 7

ANOVA for heat transfer rate

Source Degree of freedom Adjusted sum of square Adjusted mean of square F-value P-value Coefficients
Model 9 0.520441 0.057827 11222.39 0.000 0.818458
Linear 3 0.516935 0.172312 33440.36 0.000
Nb 1 0.331823 0.331823 64396.49 0.000 −0.182160
Nt 1 0.123788 0.123788 24023.39 0.000 −0.111260
Nr 1 0.061325 0.061325 11901.20 0.000 0.078310
Square 3 0.000825 0.000275 53.38 0.000
Nb * Nb 1 0.000413 0.000413 80.15 0.000 0.01225
Nt * Nt 1 0.000076 0.000076 14.74 0.003 0.00525
Nr * Nr 1 0.000099 0.000099 19.18 0.001 −0.00600
Two-way interaction 3 0.002681 0.000894 173.45 0.000
Nb * Nt 1 0.002103 0.002103 408.08 0.000 0.016212
Nb * Nr 1 0.000458 0.000458 88.79 0.000 0.007563
Nt * Nr 1 0.000121 0.000121 23.46 0.001 0.003888
Error 10 0.000052 0.000005
Lack-of-fit 5 0.000052 0.000010
Pure error 5 0.000000 0.000000
Total 19 0.520493

R 2 = 99.99 % ; a djusted R 2 = 99.98 % ; p redicted R 2 = 99.81 % .

Figure 16 shows a contour profile representing the percentile error between the actual versus predicted values. The plot analyses the difference between the actual and predicted values considered in various ranges, using level curves to display the relationship between them. Percentile error quantifies the deviation within the actual and predicted values at particular levels. In the figure, the darker regions indicate higher errors, while lighter regions represent lower errors. The diagonal line signifies perfect predictions. Deviations from this diagonal are referred to as bias, the spread of points around it represents variance, and points far from the diagonal are considered outliers.

Figure 16 
                  Contour profile for percentile error.
Figure 16

Contour profile for percentile error.

In general, residual plots are valuable tools for assessing the goodness of fit in a regression model. It represents the differences between predicted and actual values, and these variations are analyzed through residual plots. Figure 17 shows residual plots in four different levels. The normal probability plot is presented to evaluate whether the residuals follow a normal distribution for the fitted data. Since the residuals are approximately normally distributed, most data points lie close to a straight line, indicating the model’s validity. The residual versus fitted value plot is employed to detect potential issues such as nonlinearity or unequal error variances. The histogram of residuals illustrates their distribution and checks for normality, showing a bell-shaped curve, which further confirms that the residuals are normally distributed. Finally, the plot of residuals against the observation order is used to check for any patterns, ensuring the independence of observations.

Figure 17 
                  Residual profiles for Nusselt number.
Figure 17

Residual profiles for Nusselt number.

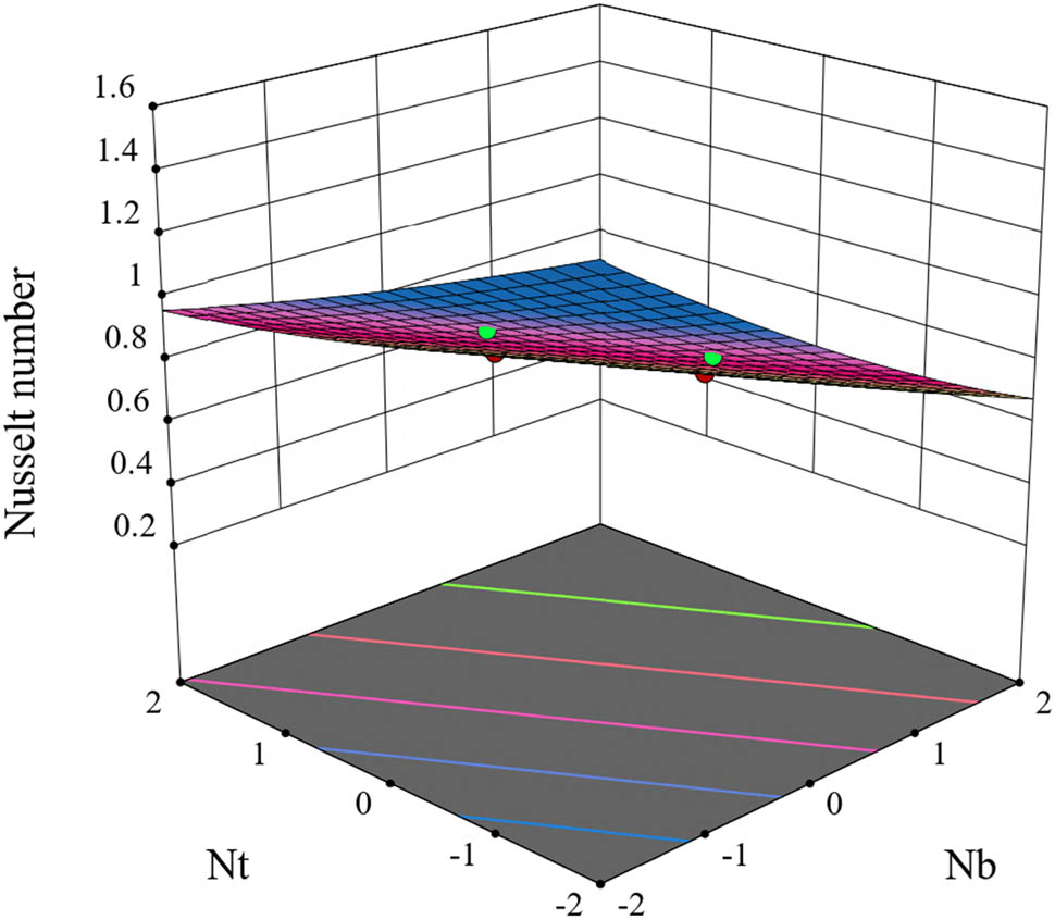
Figures 18–23 show the graphical illustration for the Nusselt number utilizing the factors considering the values of these parameters. For each of the factors, the behavior of Nusselt number is depicted through contour and surface maps. These illustrate the Nusselt number and their prediction. In Figures 18 and 19, the effects of the factors Nt and Nt on the heat transfer rate considering the factor Rd at a central level are shown. It is shown that the response of Nusselt number retards the variations of both Nb and Nt. The factor in Figures 20 and 21 shows the role of Nb and Nr in the contour as well as surface plots for the Nusselt number, keeping Nt constant at a central value. There is a significant hike in the heat transfer rate, as depicted with increasing values of thermal radiation, but the Nb retards. In Figures 22 and 23, the contour vis-à-vis surface plots for the heat transfer rate are deployed, considering the variation of Nt and Nr. The factor Nt favors in decelerating the profile, whereas the reverse impact is rendered for the variation of Nr.

Figure 18 
                  Contour plot of Nusselt number for 
                        
                           
                           
                              Nb
                           
                           {\rm{Nb}}
                        
                      and 
                        
                           
                           
                              Nt
                           
                           {\rm{Nt}}
                        
                     .
Figure 18

Contour plot of Nusselt number for Nb and Nt .

Figure 19 
                  Surface plot of Nusselt number for 
                        
                           
                           
                              Nb
                           
                           {\rm{Nb}}
                        
                      and 
                        
                           
                           
                              Nt
                           
                           {\rm{Nt}}
                        
                     .
Figure 19

Surface plot of Nusselt number for Nb and Nt .

Figure 20 
                  Contour plot of Nusselt number for 
                        
                           
                           
                              Nb
                           
                           {\rm{Nb}}
                        
                      and 
                        
                           
                           
                              Nr
                           
                           {\rm{Nr}}
                        
                     .
Figure 20

Contour plot of Nusselt number for Nb and Nr .

Figure 21 
                  Surface plot of Nusselt number for 
                        
                           
                           
                              Nb
                           
                           {\rm{Nb}}
                        
                      and 
                        
                           
                           
                              Nr
                           
                           {\rm{Nr}}
                        
                     .
Figure 21

Surface plot of Nusselt number for Nb and Nr .

Figure 22 
                  Contour plot of Nusselt number for 
                        
                           
                           
                              Nr
                           
                           {\rm{Nr}}
                        
                      and 
                        
                           
                           
                              Nt
                           
                           {\rm{Nt}}
                        
                     .
Figure 22

Contour plot of Nusselt number for Nr and Nt .

Figure 23 
                  Surface plot of Nusselt number for 
                        
                           
                           
                              Nr
                           
                           {\rm{Nr}}
                        
                      and 
                        
                           
                           
                              Nt
                           
                           {\rm{Nt}}
                        
                     .
Figure 23

Surface plot of Nusselt number for Nr and Nt .

5 Conclusion

The current study intended to examine the Joule heating effects on steady reactive and dissipative MHD Casson nanofluid transport past a nonlinear inclined elongating absorbent sheet with heat generation. The model’s leading highly coupled non-linear PDEs have been converted into ODEs using apposite similarity variables and then cracked numerically by the RungeKutta shooting technique. The results are abridged as follows:

  • The velocity profile is escalated with expansion of Gr , while a converse trend is detected in enhancing Ha , n , Gm , α , and β .

  • The fluid temperature exhibited an upsurge with growing values of Nr , Nt , Ec , and Nb .

  • The concentration trend of nanofluid upsurged with an increment in Nt , while Le and Nb exhibited the opposite outcome.

  • The wall friction mounts with the growth in Gr and α , but it lessens with Ha , β , S , Gm , and φ .

  • The Nusselt number expands with an augmentation in Nr but a converse tendency is detected with an escalation of Ec , Nb , Nt , and Q .

  • The Sherwood number escalates on expanding Le , Nb , Nt , and Kc .

The flow model that we have examined is a simple case of geometry. Therefore, it would be interesting to perform in a 3D modeling of the problem, where the assumptions of parabolic shapes are not applicable. However, since this involves a simultaneous solution of a nonlinear system consisting of several PDEs, it requires a large and expensive computation time. Thus, it would be advantageous to develop computer programs based on COMSOL, as they provide fast and reliable solving approaches for such complex configurations.



  1. Funding information: The authors state no funding involved.

  2. Author contributions: All authors have accepted responsibility for the entire content of this manuscript and approved its submission.

  3. Conflict of interest: The authors state no conflict of interest.

  4. Data availability statement: The datasets generated and/or analyzed during the current study are available from the corresponding author on reasonable request.

References

[1] Sakiadis BC. Boundary‐layer behavior on continuous solid surfaces: I. Boundary‐layer equations for two‐dimensional and axisymmetric flow. AIChE J. 1961;7(1):26–8.10.1002/aic.690070108Search in Google Scholar

[2] Crane LJ. Flow past a stretching plate. Z für Angew Math Phys (ZAMP). 1970;21:645–7.10.1007/BF01587695Search in Google Scholar

[3] Rama Devi SVV, Reddy MG. Parametric analysis of MHD flow of nanofluid in stretching sheet under chemical sensitivity and thermal radiation. Heat Transf. 2022;51(1):948–75. 10.1002/htj.22337.Search in Google Scholar

[4] Mabood F, Khan WA, Ismail AIM. MHD boundary layer flow and heat transfer of nanofluids over a nonlinear stretching sheet: A numerical study. J Magn Magn Mat. 2015;374:569–76.10.1016/j.jmmm.2014.09.013Search in Google Scholar

[5] Khan KA, Javed MF, Ullah MA, Riaz MB. Heat and Mass transport analysis for Williamson MHD nanofluid flow over a stretched sheet. Res Phys. 2023;53:106873. 10.1016/j.rinp.2023.106873.Search in Google Scholar

[6] Sadighi S, Afshar H, Jabbari M, Ashtiani HAD. Heat and mass transfer for MHD nanofluid flow on a porous stretching sheet with prescribed boundary conditions. Case Stud Therm Eng. 2023;49:103345. 10.1016/j.csite.2023.103345.Search in Google Scholar

[7] Adel M, Khader MM, Ahmad H. MHD nanofluid flow and heat transfer caused by a stretching sheet that is heated convectively: An approximate solution using ADM. Case Stud Therm Eng. 2024;60:104683. 10.1016/j.csite.2024.104683.Search in Google Scholar

[8] Swain BK, Parida BC, Kar S, Senapati N. Viscous dissipation and Joule heating effect on MHD flow and heat transfer past a stretching sheet embedded in a porous medium. Heliyon. 2020;6(10):e05338. 10.1016/j.heliyon.2020.e05338.Search in Google Scholar PubMed PubMed Central

[9] Mishra A, Kumar M. Thermal performance of MHD nanofluid flow over a stretching sheet due to viscous dissipation, Joule heating and thermal radiation. Int J Appl Comput Math. 2020;6(4):123. 10.1007/s40819-020-00869-4.Search in Google Scholar

[10] Mishra A, Kumar M. Velocity and thermal slip effects on MHD nanofluid flow past a stretching cylinder with viscous dissipation and Joule heating. SN Appl Sci. 2020;2(8):1350. 10.1007/s42452-020-3156-7.Search in Google Scholar

[11] Tarakaramu N, Satya Narayana PV, Babu DH, Sarojamma G, Makinde OD. Joule heating and dissipation effects on magnetohydrodynamic couple stress nanofluid flow over a bidirectional stretching surface. Int J Heat Technol. 2021;39(1):205–12.10.18280/ijht.390122Search in Google Scholar

[12] Wahid NS, Arifin NM, Pop I, Bachok N, Hafidzuddin MEH. MHD stagnation-point flow of nanofluid due to a shrinking sheet with melting, viscous dissipation and Joule heating effects. Alex Eng J. 2022;61(12):12661–72.10.1016/j.aej.2022.06.041Search in Google Scholar

[13] Jayanthi S, Niranjan H. Effects of Joule heating, viscous dissipation, and activation energy on nanofluid flow induced by MHD on a vertical surface. Symmetry. 2023;15(2):314. 10.3390/sym15020314.Search in Google Scholar

[14] Rasool G, Wang X, Yashkun U, Lund LA, Shahzad H. Numerical treatment of hybrid water based nanofluid flow with effect of dissipation and Joule heating over a shrinking surface: Stability analysis. J Magn Magn Mat. 2023;571:170587. 10.1016/j.jmmm.2023.170587.Search in Google Scholar

[15] Lund LA, Yashkun U, Shah NA. Multiple solutions of unsteady Darcy–Forchheimer porous medium flow of Cu–Al2O3/water-based hybrid nanofluid with joule heating and viscous dissipation effect. J Therm Anal Calorim. 2024;149(5):2303–15.10.1007/s10973-023-12819-5Search in Google Scholar

[16] Ouyang Y, Basir MFM, Naganthran K, Pop I. Unsteady magnetohydrodynamic tri-hybrid nanofluid flow past a moving wedge with viscous dissipation and Joule heating. Phys Fluids. 2024;36(6):062009. 10.1063/5.0208608.Search in Google Scholar

[17] Suresh Kumar Y, Hussain S, Raghunath K, Ali F, Guedri K, Eldin SM, et al. Numerical analysis of magnetohydrodynamics Casson nanofluid flow with activation energy, Hall current and thermal radiation. Sci Rep. 2023;13(1):4021. 10.1038/s41598-023-28379-5.Search in Google Scholar PubMed PubMed Central

[18] Sarkar A, Mondal H, Nandkeolyar R. Effect of thermal radiation and nth order chemical reaction on non-Darcian mixed convective MHD nanofluid flow with non-uniform heat source/sink. Int J Ambient Energy. 2023;44(1):1931–47.10.1080/01430750.2023.2198534Search in Google Scholar

[19] Alharbi KAM, Farooq U, Waqas H, Imran M, Nooreen S, Akgul A, et al. Numerical solution of Maxwell-Sutterby nanofluid flow inside a stretching sheet with thermal radiation, exponential heat source/sink, and bioconvection. Int J Thermofluids. 2023;18:100339. 10.1016/j.ijft.2023.100339.Search in Google Scholar

[20] Swain K, Ibrahim SM, Dharmaiah G, Noeiaghdam S. Numerical study of nanoparticles aggregation on radiative 3D flow of maxwell fluid over a permeable stretching surface with thermal radiation and heat source/sink. Res Eng. 2023;19:101208. 10.1016/j.rineng.2023.101208.Search in Google Scholar

[21] Prakash O, Rao PS, Sharma RP, Mishra SR. Hybrid nanofluid MHD motion towards an exponentially stretching/shrinking sheet with the effect of thermal radiation, heat source and viscous dissipation. Pramana. 2023;97(2):64. 10.1007/s12043-023-02533-0.Search in Google Scholar

[22] Khan ZH, Swain K, Ibrahim SM, Khan WA, Huang Z. Transient flow and heat transfer characteristics of single-phase nanofluid past a stretching sheet under the influence of thermal radiation and heat source. Alex Eng J. 2024;108:122–34.10.1016/j.aej.2024.07.071Search in Google Scholar

[23] Khan ZH, Khan WA, Ibrahim SM, Swain K, Huang Z. Impact of multiple slips and thermal radiation on heat and mass transfer in MHD Maxwell hybrid nanofluid flow over porous stretching sheet. Case Stud Therm Eng. 2024;61:104906. 10.1016/j.csite.2024.104906.Search in Google Scholar

[24] Sekhar PR, Sreedhar S, Ibrahim SM, Kumar PV, Omprakash B. Numerical investigation of heat radiation on MHD viscoelastic nanofluid flow over a stretching sheet with heat source and slip conditions. Int J Interact Des Manuf. 2024;8(5):2991–3000.10.1007/s12008-023-01407-4Search in Google Scholar

[25] Sademaki LJ, Shamshuddin MD, Salawu SO, Reddy BP. Unsteady dynamical analysis of convective hydromagnetic thermal migration of chemically reacting tiny species with dissipation and radiation in an inclined porous plate. Int J Mod Phys B. 2024;38(32):2450442. 10.1142/S0217979224504423.Search in Google Scholar

[26] Sademaki LJ, Shamshuddin MD, Reddy BP, Salawu SO. Unsteady Casson hydromagnetic convective porous media flow with reacting species and heat source: Thermo-diffusion and diffusion-thermo of tiny particles. Partial Differ Equ Appl Math. 2024;11:100867. 10.1016/j.padiff.2024.100867.Search in Google Scholar

[27] Reddy BP, Shamshuddin MD, Salawu SO, Sademaki LJ. Computational analysis of transient thermal diffusion and propagation of chemically reactive magneto-nanofluid, Brinkman-type flow past an oscillating absorbent plate. Partial Differ Equ Appl Math. 2024;11:100761. 10.1016/j.padiff.2024.100761.Search in Google Scholar

[28] Shamshuddin MD, Gamar F, Ram MS, Salawu SO. Numerical treatment of MHD micropolar nanofluid flow with activation energy, thermal radiation, and Hall current past a porous stretching sheet. Int J Mod Simult. 2024;1–13. 10.1080/02286203.2024.2378764.Search in Google Scholar

[29] Shamshuddin MD, Asogwa KK, Ferdows M. Thermo-solutal migrating heat producing and radiative Casson nanofluid flow via bidirectional stretching surface in the presence of bilateral reactions. Numer Heat Transf Part A: Applic. 2024;85(5):719–38.10.1080/10407782.2023.2191873Search in Google Scholar

[30] Patil AB, Patil VS, Humane PP, Shamshuddin MD, Rajput GR. MHD-driven chemically active and thermally radiative Prandtl hybrid nanofluid flow on stretching device with Ohmic heating, dissipation, and diffusion effects. Numer Heat Transf Part A: Appl. 2024;85(13):2165–82.10.1080/10407782.2023.2219832Search in Google Scholar

[31] Hussain SM, Mishra MR, Seth GS, Chamkha AJ. Dynamics of heat absorbing and radiative hydromagnetic nanofluids through a stretching surface with chemical reaction and viscous dissipation. Proc Instit Mech Eng Part E: J Proc Mech Eng. 2024;238(1):101–11.10.1177/09544089221096103Search in Google Scholar

[32] Khan SA, Hayat T, Alsaedi A. Chemically reactive flow beyond constant thermophysical characteristics. Case Stud Therm Eng. 2024;61:104980. 10.1016/j.csite.2024.104980.Search in Google Scholar

[33] Shamshuddin MD, Ram MS, Ashok N, Salawu SO. Exploring thermal and solutal features in stagnation point flow of Casson fluid over an exponentially radiative and reactive vertical sheet. Numer Heat Transf Part B: Fund. 2024;86(9):1–16. 10.1080/10407790.2024.2355561.Search in Google Scholar

[34] Ibrahim SM, Lorenzini G, Kumar PV, Raju CSK. Influence of chemical reaction and heat source on dissipative MHD mixed convection flow of a Casson nanofluid over a nonlinear permeable stretching sheet. Int J Heat Mass Transf. 2017;111:346–55.10.1016/j.ijheatmasstransfer.2017.03.097Search in Google Scholar

[35] Brewster MQ. Thermal radiative transfer and properties. New York: John Wiley & Sons; 1992.Search in Google Scholar

[36] Liao SJ. Homotopy analysis method in non-linear differential equations. Berlin, Heidelberg: Springer; 2012. 10.1007/978-3-642-25132-0.Search in Google Scholar

[37] Nadeem S, Haq RU, Akbar NS. MHD three-dimensional boundary layer flow of Casson nanofluid past a linearly stretching sheet with convective boundary condition. IEEE Trans Nanotechnol. 2013;13(1):109–15.10.1109/TNANO.2013.2293735Search in Google Scholar

[38] Mishra SR, Baag S, PK, Pattnaik PK, Panda S. Sensitivity analysis on enhanced thermal transport in Eyring–Powell nanofluid flow: investigating over a radiating convective Riga plate with non-uniform heat source/sink under flux conditions. J Therm Anal Calorim. 2024;149(2):711–28.10.1007/s10973-023-12719-8Search in Google Scholar

[39] Pattnaik PK, Mishra SR, Panda S. Response surface methodology on optimizing heat transfer rate for the free convection of micro-structured fluid through permeable shrinking surface. Euro Phys J Plus. 2024;139(3):221. 10.1140/epjp/s13360-024-05001-9.Search in Google Scholar

[40] Ontela S, Pattnaik PK, Panda S, Mishra SR. Optimizing heat transfer rate and sensitivity analysis of hybrid nanofluid flow over a radiating sheet: Applications in solar-powered charging stations. Numer Heat Transf Part B: Fund. 2024;1–21. 10.1080/10407790.2024.2341439.Search in Google Scholar

[41] Farooq U, Imran M, Fatima N, Noreen S, Alhushaybari A, Akgül A, et al. Analysis of Kerosene oil conveying silver and manganese zinc ferrite nanoparticles with hybrid nanofluid: effects of increasing the Lorentz force, suction, and volume fraction. Ain Shams Eng J. 2024;15(1):102326. 10.1016/j.asej.2023.102326.Search in Google Scholar

[42] Waqas H, Farooq U, Hassan A, Liu D, Noreen S, Makki R, et al. Numerical and Computational simulation of blood flow on hybrid nanofluid with heat transfer through a stenotic artery: Silver and gold nanoparticles. Res Phys. 2023;44:106152. 10.1016/j.rinp.2022.106152.Search in Google Scholar

[43] Alqawasmi K, Alharbi KAM, Farooq U, Noreen S, Imran M, Akgül A, et al. Numerical approach toward ternary hybrid nanofluid flow with nonlinear heat source-sink and Fourier heat flux model passing through a disk. Int J Thermofluids. 2023;18:100367. 10.1016/j.ijft.2023.100367.Search in Google Scholar

[44] Mishra A. Analysis of waste discharge concentration in radiative hybrid nanofluid flow over a stretching/shrinking sheet with chemical reaction. Mech Time-Depend Mat. 2025;29(1):7. 10.1007/s11043-024-09752-x.Search in Google Scholar

[45] Mishra A, Rawat SK, Yaseen M, Pant M. Development of machine learning algorithm for assessment of heat transfer of ternary hybrid nanofluid flow towards three different geometries: Case of artificial neural network. Heliyon. 2023;9(11):e21453. 10.1016/j.heliyon.2023.e21453.Search in Google Scholar PubMed PubMed Central

Received: 2025-04-08
Revised: 2025-07-24
Accepted: 2025-09-27
Published Online: 2025-10-27

© 2025 the author(s), published by De Gruyter

This work is licensed under the Creative Commons Attribution 4.0 International License.

Articles in the same Issue

  1. Research Articles
  2. MHD radiative mixed convective flow of a sodium alginate-based hybrid nanofluid over a convectively heated extending sheet with Joule heating
  3. Experimental study of mortar incorporating nano-magnetite on engineering performance and radiation shielding
  4. Multicriteria-based optimization and multi-variable non-linear regression analysis of concrete containing blends of nano date palm ash and eggshell powder as cementitious materials
  5. A promising Ag2S/poly-2-amino-1-mercaptobenzene open-top spherical core–shell nanocomposite for optoelectronic devices: A one-pot technique
  6. Biogenic synthesized selenium nanoparticles combined chitosan nanoparticles controlled lung cancer growth via ROS generation and mitochondrial damage pathway
  7. Fabrication of PDMS nano-mold by deposition casting method
  8. Stimulus-responsive gradient hydrogel micro-actuators fabricated by two-photon polymerization-based 4D printing
  9. Physical aspects of radiative Carreau nanofluid flow with motile microorganisms movement under yield stress via oblique penetrable wedge
  10. Effect of polar functional groups on the hydrophobicity of carbon nanotubes-bacterial cellulose nanocomposite
  11. Review in green synthesis mechanisms, application, and future prospects for Garcinia mangostana L. (mangosteen)-derived nanoparticles
  12. Entropy generation and heat transfer in nonlinear Buoyancy–driven Darcy–Forchheimer hybrid nanofluids with activation energy
  13. Green synthesis of silver nanoparticles using Ginkgo biloba seed extract: Evaluation of antioxidant, anticancer, antifungal, and antibacterial activities
  14. A numerical analysis of heat and mass transfer in water-based hybrid nanofluid flow containing copper and alumina nanoparticles over an extending sheet
  15. Investigating the behaviour of electro-magneto-hydrodynamic Carreau nanofluid flow with slip effects over a stretching cylinder
  16. Electrospun thermoplastic polyurethane/nano-Ag-coated clear aligners for the inhibition of Streptococcus mutans and oral biofilm
  17. Investigation of the optoelectronic properties of a novel polypyrrole-multi-well carbon nanotubes/titanium oxide/aluminum oxide/p-silicon heterojunction
  18. Novel photothermal magnetic Janus membranes suitable for solar water desalination
  19. Green synthesis of silver nanoparticles using Ageratum conyzoides for activated carbon compositing to prepare antimicrobial cotton fabric
  20. Activation energy and Coriolis force impact on three-dimensional dusty nanofluid flow containing gyrotactic microorganisms: Machine learning and numerical approach
  21. Machine learning analysis of thermo-bioconvection in a micropolar hybrid nanofluid-filled square cavity with oxytactic microorganisms
  22. Research and improvement of mechanical properties of cement nanocomposites for well cementing
  23. Thermal and stability analysis of silver–water nanofluid flow over unsteady stretching sheet under the influence of heat generation/absorption at the boundary
  24. Cobalt iron oxide-infused silicone nanocomposites: Magnetoactive materials for remote actuation and sensing
  25. Magnesium-reinforced PMMA composite scaffolds: Synthesis, characterization, and 3D printing via stereolithography
  26. Bayesian inference-based physics-informed neural network for performance study of hybrid nanofluids
  27. Numerical simulation of non-Newtonian hybrid nanofluid flow subject to a heterogeneous/homogeneous chemical reaction over a Riga surface
  28. Enhancing the superhydrophobicity, UV-resistance, and antifungal properties of natural wood surfaces via in situ formation of ZnO, TiO2, and SiO2 particles
  29. Synthesis and electrochemical characterization of iron oxide/poly(2-methylaniline) nanohybrids for supercapacitor application
  30. Impacts of double stratification on thermally radiative third-grade nanofluid flow on elongating cylinder with homogeneous/heterogeneous reactions by implementing machine learning approach
  31. Synthesis of Cu4O3 nanoparticles using pumpkin seed extract: Optimization, antimicrobial, and cytotoxicity studies
  32. Cationic charge influence on the magnetic response of the Fe3O4–[Me2+ 1−y Me3+ y (OH2)] y+(Co3 2−) y/2·mH2O hydrotalcite system
  33. Pressure sensing intelligent martial arts short soldier combat protection system based on conjugated polymer nanocomposite materials
  34. Magnetohydrodynamics heat transfer rate under inclined buoyancy force for nano and dusty fluids: Response surface optimization for the thermal transport
  35. Fly ash and nano-graphene enhanced stabilization of engine oil-contaminated soils
  36. Enhancing natural fiber-reinforced biopolymer composites with graphene nanoplatelets: Mechanical, morphological, and thermal properties
  37. Performance evaluation of dual-scale strengthened co-bonded single-lap joints using carbon nanotubes and Z-pins with ANN
  38. Computational works of blood flow with dust particles and partially ionized containing tiny particles on a moving wedge: Applications of nanotechnology
  39. Hybridization of biocomposites with oil palm cellulose nanofibrils/graphene nanoplatelets reinforcement in green epoxy: A study of physical, thermal, mechanical, and morphological properties
  40. Design and preparation of micro-nano dual-scale particle-reinforced Cu–Al–V alloy: Research on the aluminothermic reduction process
  41. Spectral quasi-linearization and response optimization on magnetohydrodynamic flow via stenosed artery with hybrid and ternary solid nanoparticles: Support vector machine learning
  42. Ferrite/curcumin hybrid nanocomposite formulation: Physicochemical characterization, anticancer activity, and apoptotic and cell cycle analyses in skin cancer cells
  43. Enhanced therapeutic efficacy of Tamoxifen against breast cancer using extra virgin olive oil-based nanoemulsion delivery system
  44. A titanium oxide- and silver-based hybrid nanofluid flow between two Riga walls that converge and diverge through a machine-learning approach
  45. Enhancing convective heat transfer mechanisms through the rheological analysis of Casson nanofluid flow towards a stagnation point over an electro-magnetized surface
  46. Intrinsic self-sensing cementitious composites with hybrid nanofillers exhibiting excellent piezoresistivity
  47. Research on mechanical properties and sulfate erosion resistance of nano-reinforced coal gangue based geopolymer concrete
  48. Impact of surface and configurational features of chemically synthesized chains of Ni nanostars on the magnetization reversal process
  49. Porous sponge-like AsOI/poly(2-aminobenzene-1-thiol) nanocomposite photocathode for hydrogen production from artificial and natural seawater
  50. Multifaceted insights into WO3 nanoparticle-coupled antibiotics to modulate resistance in enteric pathogens of Houbara bustard birds
  51. Synthesis of sericin-coated silver nanoparticles and their applications for the anti-bacterial finishing of cotton fabric
  52. Enhancing chloride resistance of freeze–thaw affected concrete through innovative nanomaterial–polymer hybrid cementitious coating
  53. Development and performance evaluation of green aluminium metal matrix composites reinforced with graphene nanopowder and marble dust
  54. Morphological, physical, thermal, and mechanical properties of carbon nanotubes reinforced arrowroot starch composites
  55. Influence of the graphene oxide nanosheet on tensile behavior and failure characteristics of the cement composites after high-temperature treatment
  56. Central composite design modeling in optimizing heat transfer rate in the dissipative and reactive dynamics of viscoplastic nanomaterials deploying Joule and heat generation aspects
  57. Double diffusion of nano-enhanced phase change materials in connected porous channels: A hybrid ISPH-XGBoost approach
  58. Synergistic impacts of Thompson–Troian slip, Stefan blowing, and nonuniform heat generation on Casson nanofluid dynamics through a porous medium
  59. Optimization of abrasive water jet machining parameters for basalt fiber/SiO2 nanofiller reinforced composites
  60. Enhancing aesthetic durability of Zisha teapots via TiO2 nanoparticle surface modification: A study on self-cleaning, antimicrobial, and mechanical properties
  61. Nanocellulose solution based on iron(iii) sodium tartrate complexes
  62. Combating multidrug-resistant infections: Gold nanoparticles–chitosan–papain-integrated dual-action nanoplatform for enhanced antibacterial activity
  63. Novel royal jelly-mediated green synthesis of selenium nanoparticles and their multifunctional biological activities
  64. Direct bandgap transition for emission in GeSn nanowires
  65. Synthesis of ZnO nanoparticles with different morphologies using a microwave-based method and their antimicrobial activity
  66. Numerical investigation of convective heat and mass transfer in a trapezoidal cavity filled with ternary hybrid nanofluid and a central obstacle
  67. Halloysite nanotube enhanced polyurethane nanocomposites for advanced electroinsulating applications
  68. Low molar mass ionic liquid’s modified carbon nanotubes and its role in PVDF crystalline stress generation
  69. Green synthesis of polydopamine-functionalized silver nanoparticles conjugated with Ceftazidime: in silico and experimental approach for combating antibiotic-resistant bacteria and reducing toxicity
  70. Evaluating the influence of graphene nano powder inclusion on mechanical, vibrational and water absorption behaviour of ramie/abaca hybrid composites
  71. Dynamic-behavior of Casson-type hybrid nanofluids due to a stretching sheet under the coupled impacts of boundary slip and reaction-diffusion processes
  72. Influence of polyvinyl alcohol on the physicochemical and self-sensing properties of nano carbon black reinforced cement mortar
  73. Advanced machine learning approaches for predicting compressive and flexural strength of carbon nanotube–reinforced cement composites: a comparative study and model interpretability analysis
  74. Artificial neural network-driven insights into nanoparticle-enhanced phase change materials melting for heat storage optimization
  75. Optical, structural, and morphological characterization of hydrothermally synthesized zinc oxide nanorods: exploring their potential for environmental applications
  76. Structural, optical, and gas sensing properties of Ce, Nd, and Pr doped ZnS nanostructured thin films prepared by nebulizer spray pyrolysis method
  77. The influence of nano-size La2O3 and HfC on the microstructure and mechanical properties of tungsten alloys by microwave sintering
  78. 10.1515/ntrev-2025-0187
  79. Review Articles
  80. A comprehensive review on hybrid plasmonic waveguides: Structures, applications, challenges, and future perspectives
  81. Nanoparticles in low-temperature preservation of biological systems of animal origin
  82. Fluorescent sulfur quantum dots for environmental monitoring
  83. Nanoscience systematic review methodology standardization
  84. Nanotechnology revolutionizing osteosarcoma treatment: Advances in targeted kinase inhibitors
  85. AFM: An important enabling technology for 2D materials and devices
  86. Carbon and 2D nanomaterial smart hydrogels for therapeutic applications
  87. Principles, applications and future prospects in photodegradation systems
  88. Do gold nanoparticles consistently benefit crop plants under both non-stressed and abiotic stress conditions?
  89. An updated overview of nanoparticle-induced cardiovascular toxicity
  90. Arginine as a promising amino acid for functionalized nanosystems: Innovations, challenges, and future directions
  91. Advancements in the use of cancer nanovaccines: Comprehensive insights with focus on lung and colon cancer
  92. Membrane-based biomimetic delivery systems for glioblastoma multiforme therapy
  93. The drug delivery systems based on nanoparticles for spinal cord injury repair
  94. Green synthesis, biomedical effects, and future trends of Ag/ZnO bimetallic nanoparticles: An update
  95. Application of magnesium and its compounds in biomaterials for nerve injury repair
  96. Micro/nanomotors in biomedicine: Construction and applications
  97. Hydrothermal synthesis of biomass-derived CQDs: Advances and applications
  98. Research progress in 3D bioprinting of skin: Challenges and opportunities
  99. Review on bio-selenium nanoparticles: Synthesis, protocols, and applications in biomedical processes
  100. Gold nanocrystals and nanorods functionalized with protein and polymeric ligands for environmental, energy storage, and diagnostic applications: A review
  101. An in-depth analysis of rotational and non-rotational piezoelectric energy harvesting beams: A comprehensive review
  102. Advancements in perovskite/CIGS tandem solar cells: Material synergies, device configurations, and economic viability for sustainable energy
  103. Deep learning in-depth analysis of crystal graph convolutional neural networks: A new era in materials discovery and its applications
  104. Review of recent nano TiO2 film coating methods, assessment techniques, and key problems for scaleup
  105. Antioxidant quantum dots for spinal cord injuries: A review on advancing neuroprotection and regeneration in neurological disorders
  106. Rise of polycatecholamine ultrathin films: From synthesis to smart applications
  107. Advancing microencapsulation strategies for bioactive compounds: Enhancing stability, bioavailability, and controlled release in food applications
  108. Advances in the design and manipulation of self-assembling peptide and protein nanostructures for biomedical applications
  109. Photocatalytic pervious concrete systems: from classic photocatalysis to luminescent photocatalysis
  110. Beyond science: ethical and societal considerations in the era of biogenic nanoparticles
  111. Corrigendum
  112. Corrigendum to “Synthesis and characterization of smart stimuli-responsive herbal drug-encapsulated nanoniosome particles for efficient treatment of breast cancer”
  113. Special Issue on Advanced Nanomaterials for Carbon Capture, Environment and Utilization for Energy Sustainability - Part III
  114. Efficiency optimization of quantum dot photovoltaic cell by solar thermophotovoltaic system
  115. Exploring the diverse nanomaterials employed in dental prosthesis and implant techniques: An overview
  116. Electrochemical investigation of bismuth-doped anode materials for low‑temperature solid oxide fuel cells with boosted voltage using a DC-DC voltage converter
  117. Synthesis of HfSe2 and CuHfSe2 crystalline materials using the chemical vapor transport method and their applications in supercapacitor energy storage devices
  118. Special Issue on Green Nanotechnology and Nano-materials for Environment Sustainability
  119. Influence of nano-silica and nano-ferrite particles on mechanical and durability of sustainable concrete: A review
  120. Surfaces and interfaces analysis on different carboxymethylation reaction time of anionic cellulose nanoparticles derived from oil palm biomass
  121. Processing and effective utilization of lignocellulosic biomass: Nanocellulose, nanolignin, and nanoxylan for wastewater treatment
  122. Wound healing activities of sulfur nanoparticles of Allium cepa extract embedded in a nanocream formulation: in vitro and in vivo studies
  123. Retraction
  124. Retraction of “Aging assessment of silicone rubber materials under corona discharge accompanied by humidity and UV radiation”
Downloaded on 25.3.2026 from https://www.degruyterbrill.com/document/doi/10.1515/ntrev-2025-0228/html
Scroll to top button