Home Physical Sciences Crystal structure of biphenyl-2,3′,5,5′-tetracarboxylic acid – 4,4′-biphenyl-4,4′-diyldipyridine (3/2), C49H34N3O8
Article Open Access

Crystal structure of biphenyl-2,3′,5,5′-tetracarboxylic acid – 4,4′-biphenyl-4,4′-diyldipyridine (3/2), C49H34N3O8

  • Chang Xin-Hong EMAIL logo , Li Shi-Hui and Du De-Guang
Published/Copyright: April 28, 2016

Abstract

C49H34N3O8, triclinic, P1̅ (no. 2), a = 10.0660(3) Å, b = 14.0604(2) Å, c = 14.8204(3) Å, α = 106.697(1)°, β = 100.308(1)°, γ = 102.378(1)°, V = 1896.46(7) Å3, Z = 2, Rgt(F) = 0.0541, wRref(F2) = 0.1258, T = 296(2) K.

CCDC no.:: 1472352

Tables 13 contain details of the measurement method and a list of the atoms including atomic coordinates and displacement parameters.

Table 1:

Data collection and handling.

Crystal:colourless, block, size 0.29×0.38×0.41 mm
Wavelength:Mo Kα radiation (0.71073 Å)
μ:0.95 cm−1
Diffractometer, scan mode:CCD area detector, φ and ω scans
2θmax:51°
N(hkl)measured, N(hkl)unique:28129, 7050
Criterion for Iobs, N(hkl)gt:Iobs > 2 σ(Iobs), 5130
N(param)refined:545
Programs:Bruker programs [15], SHELX [16]
Table 2:

Fractional atomic coordinates and isotropic or equivalent isotropic displacement parameters (Å2).

AtomSitexyzUiso
H(1D)2i0.73791.08520.11800.112
H(3)2i1.02600.91320.64120.079
H(5)2i0.30600.53480.53350.083
H(7)2i0.54740.47720.18910.080
H(1)2i0.3743−0.32860.74520.080
H(2)2i0.4733−0.16060.76140.078
H(4)2i0.8409−0.17940.89520.073
H(5A)2i0.7301−0.34750.87960.075
H(7A)2i0.55640.00120.82320.080
H(8)2i0.65190.16660.83000.080
H(10)2i1.03150.12290.8670.075
H(11)2i0.9359−0.04290.85970.077
H(13)2i0.73640.29560.79260.081
H(14)2i0.82740.46250.80200.075
H(16)2i1.20680.45690.93120.065
H(17)2i1.11390.28990.92140.068
H(19)2i0.92990.59070.76720.057
H(20)2i1.02410.75710.77550.060
H(21)2i1.35190.78880.97780.069
H(22)2i1.26540.62340.97520.061
H(25)2i0.42970.64070.30510.045
H(27)2i0.80890.84590.43040.041
H(29)2i0.61980.68900.58220.046
H(32)2i0.54290.66470.02250.047
H(33)2i0.63190.83320.03280.047
H(35)2i0.71230.92100.32360.042
H(39)2i−0.20540.54840.32290.059
H(40)2i−0.01560.67500.32910.058
H(42)2i0.12990.71300.60900.057
H(43)2i−0.06510.58570.59510.060
H(45)2i0.10970.84730.37870.089
H(46)2i0.29980.97960.39310.093
H(48)2i0.52710.90930.59920.067
H(49)2i0.33680.77860.58560.066
Table 3:

Fractional coordinates and atomic displacement parameters (Å2).

AtomSitexyzU11U22U33U12U13U23
N(1)2i−0.1544(2)0.5550(1)0.4581(2)0.037(1)0.039(1)0.059(1)0.0020(9)0.015(1)0.021(1)
N(2)2i0.5419(3)−0.3531(2)0.8124(2)0.080(2)0.035(1)0.060(1)0.009(1)0.021(1)0.021(1)
N(3)2i1.1957(2)0.7886(2)0.8778(2)0.055(1)0.037(1)0.055(1)0.002(1)0.006(1)0.025(1)
O(1)2i0.7053(2)1.0235(1)0.1084(1)0.104(2)0.038(1)0.061(1)−0.014(1)−0.012(1)0.0314(9)
O(2)2i0.8117(2)1.0707(1)0.2641(1)0.062(1)0.0351(9)0.054(1)−0.0075(8)−0.0073(9)0.0186(8)
O(3)2i0.9554(2)0.8969(1)0.5964(1)0.044(1)0.049(1)0.051(1)−0.0101(8)−0.0061(8)0.0226(8)
O(4)2i0.8615(2)0.8023(1)0.6791(1)0.048(1)0.073(1)0.0385(9)0.0038(9)0.0061(8)0.0260(9)
O(5)2i0.3803(2)0.5737(1)0.5349(1)0.047(1)0.060(1)0.052(1)−0.0135(9)0.0131(8)0.0277(9)
O(6)2i0.2860(2)0.5235(2)0.3751(1)0.051(1)0.077(1)0.054(1)−0.024(1)−0.0022(9)0.031(1)
O(7)2i0.5906(2)0.5369(1)0.1980(1)0.057(1)0.0311(8)0.065(1)0.0033(8)−0.0014(9)0.0244(8)
O(8)2i0.4008(2)0.5284(1)0.0908(1)0.053(1)0.0369(9)0.073(1)−0.0085(8)−0.013(1)0.0180(9)
C(1)2i0.4691(3)−0.2980(2)0.7771(2)0.072(2)0.041(2)0.077(2)0.000(1)0.005(2)0.025(1)
C(2)2i0.5287(3)−0.1970(2)0.7861(2)0.076(2)0.038(1)0.077(2)0.003(1)0.009(2)0.028(1)
C(3)2i0.6685(3)−0.1495(2)0.8307(2)0.062(2)0.035(1)0.049(1)0.010(1)0.024(1)0.018(1)
C(4)2i0.7451(3)−0.2076(2)0.8653(2)0.064(2)0.043(1)0.085(2)0.012(1)0.032(2)0.031(1)
C(5)2i0.6777(3)−0.3091(2)0.8553(2)0.075(2)0.043(2)0.082(2)0.019(2)0.033(2)0.031(1)
C(6)2i0.7346(3)−0.0403(2)0.8399(2)0.060(2)0.032(1)0.060(2)0.008(1)0.023(1)0.019(1)
C(7)2i0.6530(3)0.0250(2)0.8319(2)0.048(2)0.042(2)0.119(3)0.008(1)0.030(2)0.037(2)
C(8)2i0.7108(3)0.1249(2)0.8364(2)0.048(2)0.040(1)0.126(3)0.012(1)0.028(2)0.043(2)
C(9)2i0.8534(3)0.1648(2)0.8502(2)0.044(1)0.035(1)0.064(2)0.008(1)0.017(1)0.022(1)
C(10)2i0.9349(3)0.0992(2)0.8582(2)0.045(2)0.039(1)0.108(2)0.009(1)0.020(2)0.032(2)
C(11)2i0.8772(3)−0.0010(2)0.8535(2)0.056(2)0.036(1)0.108(2)0.014(1)0.020(2)0.034(2)
C(12)2i0.9140(2)0.2727(2)0.8557(2)0.040(1)0.034(1)0.062(2)0.006(1)0.014(1)0.022(1)
C(13)2i0.8320(3)0.3276(2)0.8208(2)0.033(1)0.047(2)0.123(3)0.001(1)0.004(2)0.047(2)
C(14)2i0.8866(3)0.4281(2)0.8262(2)0.039(2)0.044(1)0.108(2)0.007(1)0.006(2)0.042(2)
C(15)2i1.0276(2)0.4786(2)0.8668(2)0.037(1)0.032(1)0.046(1)0.003(1)0.009(1)0.018(1)
C(16)2i1.1113(3)0.4248(2)0.9027(2)0.038(1)0.041(1)0.080(2)0.001(1)−0.001(1)0.033(1)
C(17)2i1.0549(3)0.3243(2)0.8968(2)0.044(2)0.042(1)0.085(2)0.007(1)0.002(1)0.036(1)
C(18)2i1.0866(2)0.5866(2)0.8706(2)0.040(1)0.033(1)0.041(1)0.006(1)0.009(1)0.017(1)
C(19)2i1.0161(3)0.6296(2)0.8110(2)0.046(2)0.040(1)0.051(1)0.001(1)0.001(1)0.022(1)
C(20)2i1.0731(3)0.7297(2)0.8163(2)0.053(2)0.044(1)0.058(2)0.009(1)0.007(1)0.031(1)
C(21)2i1.2654(3)0.7483(2)0.9352(2)0.054(2)0.042(1)0.065(2)−0.005(1)−0.005(1)0.028(1)
C(22)2i1.2141(3)0.6488(2)0.9336(2)0.048(2)0.041(1)0.062(2)0.004(1)0.001(1)0.030(1)
C(23)2i0.3792(3)0.5762(2)0.4469(2)0.040(1)0.045(1)0.049(2)−0.002(1)0.010(1)0.024(1)
C(24)2i0.5056(2)0.6530(2)0.4441(2)0.034(1)0.037(1)0.043(1)0.002(1)0.010(1)0.019(1)
C(25)2i0.5069(2)0.6745(2)0.3588(2)0.032(1)0.036(1)0.040(1)−0.000(1)0.004(1)0.016(1)
C(26)2i0.6203(2)0.7454(2)0.3511(2)0.032(1)0.027(1)0.038(1)0.0038(9)0.0078(9)0.0151(9)
C(27)2i0.7327(2)0.7969(2)0.4333(2)0.032(1)0.028(1)0.040(1)0.0008(9)0.008(1)0.0150(9)
C(28)2i0.7329(2)0.7763(2)0.5195(2)0.032(1)0.033(1)0.038(1)0.0058(9)0.0082(9)0.0131(9)
C(29)2i0.6194(2)0.7036(2)0.5249(2)0.038(1)0.040(1)0.040(1)0.006(1)0.011(1)0.020(1)
C(30)2i0.6237(2)0.7670(2)0.2586(2)0.027(1)0.030(1)0.038(1)0.0027(9)0.0046(9)0.0163(9)
C(31)2i0.5734(2)0.6897(2)0.1661(2)0.029(1)0.028(1)0.043(1)0.0027(9)0.006(1)0.0158(9)
C(32)2i0.5771(2)0.7162(2)0.0834(2)0.044(1)0.032(1)0.036(1)0.004(1)0.006(1)0.0114(9)
C(33)2i0.6303(2)0.8171(2)0.0893(2)0.044(1)0.038(1)0.038(1)0.006(1)0.008(1)0.021(1)
C(34)2i0.6817(2)0.8946(2)0.1799(2)0.027(1)0.031(1)0.044(1)0.0034(9)0.0066(9)0.019(1)
C(35)2i0.6778(2)0.8689(2)0.2631(2)0.033(1)0.030(1)0.037(1)0.0017(9)0.0047(9)0.0124(9)
C(36)2i0.7392(2)1.0052(2)0.1878(2)0.034(1)0.033(1)0.047(1)0.002(1)0.006(1)0.020(1)
C(37)2i0.5131(2)0.5767(2)0.1488(2)0.039(1)0.031(1)0.041(1)0.003(1)0.007(1)0.014(1)
C(38)2i0.8548(2)0.8259(2)0.6068(2)0.035(1)0.038(1)0.040(1)0.007(1)0.009(1)0.015(1)
C(39)2i−0.1371(3)0.5824(2)0.3816(2)0.039(1)0.047(1)0.052(2)−0.003(1)0.005(1)0.018(1)
C(40)2i−0.0231(3)0.6587(2)0.3849(2)0.044(2)0.049(1)0.049(1)−0.003(1)0.013(1)0.020(1)
C(41)2i0.0801(2)0.7110(2)0.4707(2)0.033(1)0.034(1)0.051(1)0.004(1)0.016(1)0.014(1)
C(42)2i0.0625(3)0.6812(2)0.5496(2)0.037(1)0.047(1)0.052(2)−0.004(1)0.009(1)0.018(1)
C(43)2i−0.0551(3)0.6041(2)0.5407(2)0.046(2)0.049(1)0.056(2)0.002(1)0.016(1)0.025(1)
C(44)2i0.2032(2)0.7963(2)0.4794(2)0.034(1)0.036(1)0.049(1)0.001(1)0.014(1)0.013(1)
C(45)2i0.1944(3)0.8588(2)0.4231(2)0.046(2)0.078(2)0.089(2)−0.016(2)−0.004(2)0.051(2)
C(46)2i0.3092(3)0.9383(2)0.4315(2)0.052(2)0.077(2)0.098(2)−0.017(2)−0.002(2)0.060(2)
C(47)2i0.4377(2)0.9577(2)0.4959(2)0.036(1)0.036(1)0.058(2)0.002(1)0.017(1)0.015(1)
C(48)2i0.4435(3)0.8970(2)0.5534(2)0.035(1)0.055(2)0.075(2)−0.003(1)0.007(1)0.033(1)
C(49)2i0.3285(3)0.8180(2)0.5452(2)0.041(2)0.053(2)0.071(2)−0.001(1)0.009(1)0.035(1)

Source of material

2,3′,5,5′-Biphenyltetracarboxylic acid (0.07 g, 0.2 mmol) and 4,4′-bis(pyrid-4-yl)biphenyl (0.06 g, 0.2 mmol) were added to water (10 mL) in a Teflon-lined stainless steel reactor. The mixture was heated at 393 K for 3 d, and then slowly cooled down to room temperature. Colorless block crystals of the title compound were obtained.

Experimental details

The hydrogen atoms were placed at calculated positions with the SHELX program (AFIX options: 43 and 147) [16].

Discussion

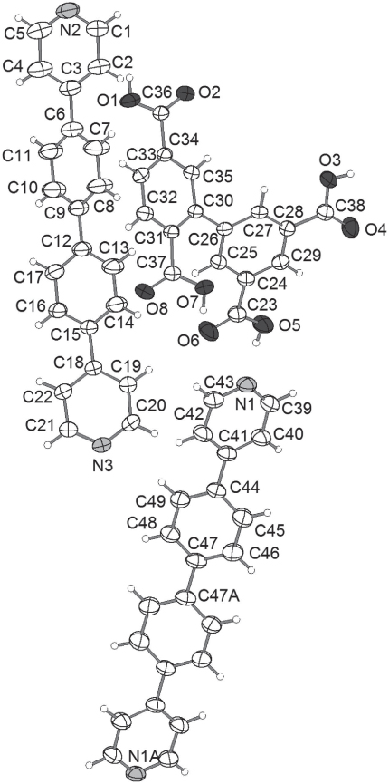
The synthetic development of coordination polymers (CPs) continues to attract much attention because of their intriguing structural topologies and potential applications in gas storage, separation, sensing and heterogeneous catalysis [18]. In the construction of CPs, multidentate organic ligands play a vital role since the structural integrity of these ligands in most cases remains unaltered throughout the The mixed-ligands strategy incorporating N-donor co-linkers with different lengths and rigidness/flexibility has been proved successful to create various CPs. With the assembly process, which helps to realize predesigned structural topology. Different factors such as coordination geometry of the metal atom, flexibility of the ligand, solvent system, pH value, temperature, template, ligand-to-metal ratios and counter ions can potentially influence the construction of the coordination networks. Subtle modification to any of these parameters can significantly alter the structure of the complexes produced, generating, for example, classical monomeric mononuclear species, linear chain polymers or extended three-dimensional networks. In particular, different conformations of the ligand often play an important role in the self-assembly processes to form metal-organic coordination polymers with different structures. The organic carboxylate ligands have been proven to be good candidates for the construction of CPs [911]. For example, polycarboxylates present versatile coordination modes, can yield predetermined networks and have been widely utilized to construct coordination polymers [1214]. Mixed multicarboxylate and nitrogen donor linkers have been widely utilized to construct CPs. aim of preparing new materials with interesting structural topologies and physicochemical properties, we chose 2,3′,5,5′-biphenyltetracarboxylic acid and 4,4′-bis(pyrid-4-yl)biphenyl to construct a new compound. In the course of this study the pure organic title compound was surprisingly obtained.

The crystal structure of the title compound comprises one 2,3′,5,5′-biphenyltetracarboxylic acid (bita) ligand and one and a half 4,4′-bis(pyrid-4-yl)biphenyl (bpp) ligand per asymmetric unit (cf. the figure). All of the carboxylate groups of the acid remain protonated. Hydrogen bonding and intermolecular weak interactions play an important role in the structure of the title compound. A short intermolecular distance between the adjacent bita O atoms with an O1—N3B distance of 2.551(2) Å, O3—O2B distance of 2.692(2) Å, O5—N1C distance of 2.624(2) Å and O7—N2D distance of 2.590(3) Å are found, corresponding to a strong intermolecular hydrogen bond. Bita and bpp molecules are assembled by hydrogen bonds to give a three-dimensional supramolecular structure.

Acknowledgements:

This work was supported financially by Henan Province basic and frontier technology research projects of Henan Provincial Department of Science and Technology (No. 142300410083). The authors thank the responsible editor for supplying the figure.

References

1. Zhao, Y.; Deng, D. S.; Ma, L. F.; Ji, B. M.; Wang, L. Y.: A new copper-based metal-organic framework as a promising heterogeneous catalyst for chemo- and regio-selective enamination of β-ketoesters. Chem. Commun. 49 (2013) 10299–10301.10.1039/c3cc45310cSearch in Google Scholar PubMed

2. Fu, H.-R.; Kang, Y.; Zhang, J.: Highly selective sorption of small hydrocarbons and photocatalytic properties of three metal-organic frameworks based on tris(4-(1H-imidazol-1-yl)phenyl)amine ligand. Inorg. Chem. 53 (2014) 4209–4214.10.1021/ic5003226Search in Google Scholar PubMed

3. Huang, S.-L.; Lin, Y.-J.; Hor, T. S. A.; Jin, G.-X.: Cp*Rh-based heterometallic metallarectangles: size-dependent borromean link structures and catalytic acyl transfer. J. Am. Chem. Soc. 135 (2013) 8125–8128.10.1021/ja402630gSearch in Google Scholar PubMed

4. Zhang, M.; Ma, W. J.; He, C. T.; Jiang, L.; Lu, T. B.: Highly selective recognition and fluorescence imaging of adenosine polyphosphates in aqueous solution. Inorg. Chem. 52 (2013) 4873–4879.10.1021/ic302435gSearch in Google Scholar PubMed

5. Betard, A.; Wannapaiboon, S.; Fischer, R. A.: Assessing the adsorption selectivity of linker functionalized, moisture-stable metal-organic framework thin films by means of an environment-controlled quartz crystal microbalance. Chem. Commun. 48 (2012) 10493–10495.10.1039/c2cc34608gSearch in Google Scholar PubMed

6. Liu, D.; Liu, Y.; Xu, G.; Li, G.; Yu, Y.; Wang, C.: Two 3D supramolecular isomeric mixed-ligand Co(II) frameworks – guest-induced structural variation, magnetism, and selective gas adsorption. Eur. J. Inorg. Chem. (2012) 4413–4417..10.1002/ejic.201200851Search in Google Scholar

7. Wen, L. L.; Zhou, L.; Zhang, B. G.; Meng, X. G.; Qu, H.; Li, D. F.: Multifunctional amino-decorated metal-organic frameworks: nonlinear-optic, ferroelectric, fluorescence sensing and photocatalytic properties. J. Mater. Chem. 22 (2012) 22603–22609.10.1039/c2jm34349eSearch in Google Scholar

8. Zhao, H.; Jin, Z.; Su, H.; Zhang, J.; Yao, X.; Zhao, H.; Zhu, G.: Target synthesis of a novel porous aromatic framework and its highly selective separation of CO2/CH4. Chem. Commun. 49 (2013) 2780–2782.10.1039/c3cc38474hSearch in Google Scholar PubMed

9. Zheng, B.; Luo, J. H.; Wang, F.; Peng, Y.; Li, G. H.; Huo, Q. S.; Liu, Y. L.: Construction of six coordination polymers based on a 5,5′-(1,2-ethynyl)bis-1,3-benzenedicarboxylic ligand: synthesis, structure, gas sorption, and magnetic properties. Cryst. Growth Des. 13 (2013) 1033–1044.10.1021/cg301224zSearch in Google Scholar

10. Zhang, Z. H.; Chen, S. C.; He, M. Y.; Chen, Q.; Du, M.: Coordination assembly of Zn(II)/Cd(II) terephthalate with bis-pyridinecarboxamide tectons: establishing net entanglements from [3 + 3] interpenetration to high-connected self-penetration. Cryst. Growth Des. 13 (2013) 996–1001.10.1021/cg4000445Search in Google Scholar

11. Zhang, X.; Hou, L.; Liu, B.; Cui, L.; Wang, Y. Y.; Wu, B.: Syntheses, structures, and luminescent properties of six new zinc(II) coordination polymers constructed by flexible tetracarboxylate and various pyridine ligands. Cryst. Growth Des. 13 (2013) 3177–3187.10.1021/cg400579wSearch in Google Scholar

12. Han, M.-L.; Wang, J.-G.; Ma, L.-F.; Guo, H.; Wang, L.-Y.: Construction of Cd(II) coordination polymers based on R-isophthalate (R = –CH3 or –OCH3) and flexible N-donor co-ligands: syntheses, structures and photoluminescence. CrystEngComm 14 (2012) 2691–2701.10.1039/c2ce06511hSearch in Google Scholar

13. Jiang, K.; Ma, L. F.; Sun, X. Y.; Wang, L. Y.: Syntheses, structures and luminescent properties of zinc(II) coordination polymers based on bis(imidazole) and dicarboxylate. CrystEngComm 13 (2011) 330–338.10.1039/C0CE00190BSearch in Google Scholar

14. Ma, L.-F.; Li, B.; Sun, X.-Y.; Wang, L.-Y.; Fan, Y.-T.: Hydrothermal syntheses and characterizations of three Zn(II) coordination polymers tuned by pH value and base. Z. Anorg. Allg. Chem. 636 (2010) 1606–1611.10.1002/zaac.200900516Search in Google Scholar

15. Bruker: SAINT-Plus, SHELXTL and SADABS. Bruker AXS Inc., Madison, Wisconsin, USA, 2004.Search in Google Scholar

16. Sheldrick, G.M.: SHELXL97: Programs for structure solution and refinement. University of Göttingen, Germany, (1997.Search in Google Scholar

Received: 2016-3-22
Accepted: 2016-4-5
Published Online: 2016-4-28
Published in Print: 2016-9-1

©2016 Chang Xin-Hong et al., published by De Gruyter.

This work is licensed under the Creative Commons Attribution-NonCommercial-NoDerivatives 3.0 License.

Articles in the same Issue

  1. Frontmatter
  2. Crystal structure of poly[aqua(μ2-2,5-bis(4-pyridyl)-1,3,4-oxadiazole-κ2N,N)(μ2-1,3-phenylenediacetato-κ3O,O′:O′′)cobalt(II)], C22H18CoN4O6
  3. Crystal structure of 2-amino-7,7-dimethyl-5-oxo-4-(3-phenoxy-phenyl)-5,6,7,8-tetrahydro-4H-chromene-3-carbonitrile
  4. Crystal structure of (E)-4,4′-(diazene-1,2-diyl)bis(1-nitro-1H-1,2,4-triazol-5(4H)-one)—acetonitrile (1:1), C6H5N11O6
  5. Crystal structure of potassium (E)-5-oxo-4-((5-oxo-1H-1,2,4-triazol-4(5H)-yl)diazenyl)-4,5-dihydro-1,2,4-triazol-1-ide – (E)-4,4-diazene-1,2-diylbis(2,4-dihydro-3H-1,2,4-triazol-3-one) – methanol (1/1/1), C9H11N16KO5
  6. Crystal structure of (N,N′-bis(2-(((2,6-diisopropylphenyl)imino)methyl)phenyl)benzene-1,2-diamido-κ4O,O′,O′′,O′′′)oxidovanadium(IV), C44H48N4OV
  7. Crystal structure of 5,5-bis(4-iodophenyl)-5H-cyclopenta[2,1-b:3,4-b′]dipyridine, C23H14I2N2
  8. Crystal structure of aquadichloridobis(1-((2-methyl-1H-imidazol-1-yl)methyl)-1H-benotriazole-κN)mercury(II), C22H24Cl2HgN10O
  9. Crystal structure of 2-[4-(1H-imidazol-1-yl)phenyl]-1H-benzimidazol-3-ium [2-(carboxymethyl)phenyl]acetate monohydrate, C26H24N4O5
  10. Crystal structure of 4,4′-bipiperidinium dichloride 0.12 hydrate, C10H22N2Cl2 · 0.12 H2O
  11. Crystal structure of catena-poly[tetraaqua(μ2-4,4′(E)-ethene-1,2-diyldipyridine-κ2N:N′)nickel(II)] bis(6-methyl-2-oxo-1,2-dihydro-pyridine-4-carboxylate) pentahydrate, C26H42N4O15Ni
  12. Crystal structure of ethyl-5-amino-1-(2,4-dinitrophenyl)-1H-pyrazole-4-carboxylate, C12H11N5O6
  13. Crystal structure of dicarbonyl(pyridin-2-olate-1-oxido-κ2O,O′)rhodium(I), C7H4NO4Rh
  14. Crystal structure of 1-(adamantan-1-yl)-3-(4-chlorophenyl)thiourea, C17H21ClN2S
  15. Crystal structure of 2-((2-chloropyridin-3-ylamino)methylene)malononitrile, C9H5ClN4
  16. Crystal structure of tetraaquabis(μ2-4-chlorobenzoato-κ2O:O,O′)bis(4-chlorobenzoato-κO)bis(1,10-phenanthroline-κ2N,N′)distrontium(II), C52H40Cl4N4O12Sr2
  17. Crystal structure of 3-hydroxy-3-phenyl-1,3-dihydro-2H-indol-2-one, C14H11NO2
  18. Crystal structures of bis(1,10-phenanthrolin-1-ium) aquapentakis(nitrato-κ2O,O′)neodym(III) monohydrate, C24H22N9NdO17
  19. Crystal structure of 2-ethyl-1-tert-butyl 3-oxo-2-[phenyl(tert-butoxycarbonylamino)methyl]-1,2-pyrrolidinedicarboxylate, C24H34N2O7
  20. Crystal structure of poly[diaquabis(μ4-benzene-1,3,5-tricarboxylato-κO1O2O3O4O5O6)-bis(μ2-4,4′-benzene-1,3-diylbis(4H-1,2,4-triazole-κ2N:N′)tricadmium(II)] tetrahydrate, C38H34Cd3N12O18
  21. Crystal structure of trans-dichlorido[1,3-bis(9-methyl-9H-fluoren-9-yl) benzimidazol-2-ylidene](pyridine)palladium(II) – a compound with anagostic CH–Pd interactions, C40H31Cl2N3Pd
  22. Crystal structure of catena-poly[(μ3-5-(4-(tetrazol-1-id-5-yl)phenoxy)benzene-1,3-dicarboxyato-κ3O:O′:N)(4-(3-(pyridin-4-yl)propyl)pyridinium-κN)zinc(II)], C28H22ZnN6O5
  23. Crystal structure of 3,6-di-2-pyridinyl-4-pyridazine carbonitrile, C15H9N5
  24. Crystal structure of 5,5,9,13-tetramethyltetracyclo[10·2·1·01,10·04,9]pentadecane-3,7,14-triol, C20H34O4
  25. Crystal structure of 2-amino-7-methyl-5-oxo-4-phenyl-4H,5H-pyrano[4,3-b]pyran-3-carbonitrile, C16H12N2O3
  26. Crystal structure of the poly[(1,10-phenanthroline-κ2N,N′)(μ3-carboxylatophenoxyacetato-κ4O,O′:O′′;O′′′)lead(II)] monohydrate, C21H16N2O6Pb
  27. Crystal structure of the poly[(μ4-biphenyl-4,4′-dicarboxylato-κ4O:O′:O′′:O′′′) bis(μ3-8-(11-(oxysulfonyl)-4-silbenyl)-2-(oxysulfonyl)stilbene-κ4O:O′:O′′,O′′′) bis(1,10-phenanthroline-k2N,N′) dipraseodymium(III)], C94H64N4O16Pr2S4
  28. Crystal structure of 3-iodo-5-methoxy-7-(methoxymethoxy)-4-(3-methoxyphenoxy)-2H-chromen-2-one, C19H17IO7
  29. Crystal structure of poly[(5-carboxy-2,6-dimethylpyridinium-3-carboxylato-κO)tris(μ2-2,6-dimethylpyridinium-3,5-dicarboxylato-κ3O,O′:O′′)erbium(III)], C36H33ErN4O16
  30. This molecule targets at type 2 diabetes - a single crystal study on (2R,3S,5R)-2-(2,5-difluorophenyl)-5-[2-(methylsulfonyl)-2,6-dihydropyrrolo[3,4-c]pyrazol-5(4H)-yl] tetrahydro-2H-pyran-3-amine (Omarigliptin), C17H20F2N4O3S
  31. Crystal structure of poly[(μ2-2,2′-benzene-1,2-diyldiacetato-κ2O:O′), (μ2-1-(4-(1H-imidazol-1-yl)benzyl)-1H-1,2,4-triazole-κ2N:N′)zinc(II)], C22H19N5O4Zn
  32. Crystal structure of tetraaqua(μ2-3-(3,5-dicarboxyphenoxy)benzene-1,2-dicarboxylato-κ2O:O′)manganese(II) dihydrate, C16H20O15Mn
  33. Crystal structure of 4,4′-sulfonyldipyridine, C10H8N2O2S
  34. Crystal structure of 4-[(E)-(2-chloro-6-fluorobenzylidene)amino]-1,2-dihydro-2,3-dimethyl-1-phenylpyrazol-5-one, C18H15ClFN3O
  35. Crystal structure of carbonyl(2-oxopyridin-1(2H)-olato-κ2O, O′)(triphenylphosphine-κP)rhodium(I), C24H19NO3PRh
  36. Crystal structure of diaquabis(2-(3-bromophenyl)-5-carboxy-1H-imidazol-4-carboxylato-κ2O,N) cobalt(II) trihydrate, C22H22Br2CoN4O13
  37. Crystal structure of 4-(pyridin-4-ylmethylsulfonyl)pyridine, C11H10N2O2S
  38. Crystal structure of poly[(μ4-1-methyl-1H-tetrazole-5-thiolato-κ3S:S:N:N′)copper(I)], C2H3CuN4S
  39. Crystal structure of poly[diaquabis(μ2-4,4′-sulfinyldipyridine-κ2N,N′)zinc(II)] diperchlorate dihydrate, C20H24N4O14S2Cl2Zn
  40. Crystal structure of (1-((1-benzylpyrrolidin-2-yl-κN)methyl)-3-isopropyl-1H-imidazol-2(3H)-ylidene–κC)dibromidopalladium(II), C18H25Br2N3Pd
  41. Crystal structure of pentacalcium tetranitridovanadate(V) mononitride based on a powder diffraction study, Ca5[VN4]N
  42. Crystal structure of ((1-((1-benzylpyrrolidin-2-yl)methyl)-3-ethyl-1H-imidazol-2(3H)-ylidene)-κ2C,N)dichloridopalladium(II), C17H23Cl2N3Pd
  43. Crystal structure of 9-allyl-4,5-dichloro-12-cyano-9,10-dihydro-9,10-ethanoanthracen-12-yl acetate, C22H17Cl2NO2
  44. Crystal structure of 4-bromo-2-(8-(3-ethoxy-2-hydroxyphenyl)-3,6-dioxa-2,7-diazaocta-1,7-dien-1-yl)phenol, C18H19BrN2O5
  45. Crystal structure of 3-tert-butyl-3-hydroxy-1,3-dihydro-2H-pyrrolo[3,2-c]pyridin-2-one, C11H14N2O2
  46. Crystal structure of diaquabis(3-(3,5-dibromophenyl)-5-(pyridin-2-yl)-1,2,4-triazol-4-ido-κ2N,N′)nickel(II) mono hydrate, C26H20Br4N8NiO3
  47. Crystal structure of 5-(adamantan-1-yl)-3-[(2-trifluoromethylanilino)methyl]-2,3-dihydro-1,3,4-oxadiazole-2-thione, C20H22F3N3OS
  48. Crystal structure of 2-ethyl-1-tert-butyl-2-((4-fluorophenyl)(tert-butoxycarbonylamino)methyl)-3-oxo-pyrrolidine-1,2-dicarboxylate, C24H33FN2O7
  49. Crystal structure of bis(μ2-2-fluorobenzoato-κ2O:O:O′) bis(μ2-2-fluorobenzoato-κ2O:O′)dinitrato-κ2O,O′ bis(1,10-phenathroline-κ2N,N′)diterbium(III), C52H32F4N6O14Tb2
  50. Crystal structure of tetrabutylammonium 4-aminobenzenesulfonate 2/3 hydrate, C22H42N2O3S · 2/3 H2O
  51. Crystal structure of tetraethylammonium 4-aminobenzenesulfonate, C14H26N2O3S
  52. Crystal structure of bis(guanidinium) 3,3′-oxybis(6-carboxybenzoate), C18H20N6O9
  53. Crystal structure of N′-(4-methoxybenzylidene)-5-phenyl-1H-pyrazole-3-carbohydrazide, C18H16N4O2
  54. Crystal structure of N′-(4-nitrobenzylidene)-5-phenyl-1H-pyrazole-3-carbohydrazide, C17H13N5O3
  55. Crystal structure of 5-((4-bromophenyl)(2-hydroxy-6-oxocyclohex-1-en-1-yl)methyl)-6-hydroxy-1,3-dimethylpyrimidine-2,4(1H,3H)-dione, C19H19BrN2O5
  56. Crystal structure of 3-(((cyclohexyl(phenyl)methylidene)amino)oxy)-2-hydroxy-N-(propan-2-yl)propan-1-aminium chloride, C19H31ClN2O2
  57. Crystal structure of 6-hydroxy-5-((2-hydroxy-6-oxocyclohex-1-en-1-yl)(phenyl)methyl)-1,3-dimethylpyrimidine-2,4(1H,3H)-dione, C19H20N2O5
  58. Crystal structure of 2-(4-(4-bromophenyl)thiazol-2-yl)isoindoline-1,3-dione, C17H9BrN2O2S
  59. Crystal structure of 2-(4-methylbenzoyl)pyrene, C24H16O
  60. Crystal structure of N-(5-bromo-4-(p-tolyl)thiazol-2-yl)-4-chlorobutanamide, C14H14BrClN2OS
  61. Crystal structure of 4,5-diphenylthiazol-2-amine, C15H12N2S
  62. Crystal structure of poly[bis(μ2-4-(3-(pyridin-3-yl)-1H-1,2,4-triazol-5-yl)benzoato-κ3N:O,O′)-lead(II)], C28H18O4N8Pb
  63. Crystal structure of (Z)-4-(4-oxopent-2-en-2-ylamino)benzenesulfonamide, C11H14N2O3S
  64. Crystal structure of poly[(μ2-2-methyl-1-(4-(2-methyl-2H-benzo[d] imidazol-1(7aH)-yl)butyl)-1H-benzo[d]imidazole-κ2N:N′)bis(μ3-5-tert-butylbenzene-1,3-dicarboxylato-κ4O:O,O′:O′′,O′′′)dicadmium(II)] tetrahydrate, C44H54Cd2N4O12
  65. Crystal structure of catena-poly-[aqua(μ2-4,4′-bipyridine-κ2N:N′)bis(3′,5,5′-tricarboxybiphenyl-2-carboxylato-κ2O,O′)cadmium(II)], C42H28N2O17Cd
  66. Crystal structure of (2RS,3RS)-1-(4-chlorophenyl)-4,4-dimethyl-2-(1H-1,2,4-triazol-1-yl)pentan-3-ol, C15H20ClN3O
  67. Crystal structure of N′-(4-(dimethylamino)benzylidene)-5-phenyl-1H-pyrazole-3-carbohydrazide, C19H19N5O
  68. Crystal structure of 3-(benzofuran-2-yl)-5-(4-fluorophenyl)-4,5-dihydro-1Hpyrazole-1-carbothioamide, C18H14FN3OS
  69. Crystal structure of ent-1β-acetoxy-7α,14α-di-hydroxy-7β,20-epoxykaur-16-en-15-one, C22H30O6
  70. Crystal structure of 1α,7β-dihydroxy-11β-acetoxy-ent-7β,20-epoxykaur-16-en-15-one, C22H30O6
  71. Crystal structure of 7β,14β,15β-trihydroxy-1α-acetoxy-7α,20-epoxy-ent-kaurane, C22H32O6
  72. Crystal structure of ent-1β,7α,11α-trihydroxy-7β,20-epoxykaur-16-en-15-one, C20H28O5
  73. Crystal structure of poly-[tetraaquabis(μ8-benzene-1,2,4,5-tetracarboxylato-1κ3O4:O6:O8:2κ4O2:O2:O5:O5:3κ4O1:O3:O5:O7)(di-μ3-hydroxido)-pentazinc(II)] decahydrate, C20H34O32Zn5
  74. Crystal structure of 1-(4-methylthiazol-2-yl)-3-propylthiourea, C8H13N3S2
  75. Crystal structure of 2-((dimethylamino)methylene)-5,5-Dimethylcyclohexane-1,3-dione, C11H17NO2
  76. Crystal structure of poly[1,4-bis(2-methylbenzimidazol)butane-κ2N:N′)bis(4,4′-oxybis(benzoato-κ4O,O′:O′′,O′′′)dicadmium] monohydrate, C48H38Cd2N4O10
  77. Crystal structure of 2-(3-(benzofuran-2-yl)-5-(4-fluorophenyl)-4,5-dihydro-1H-pyrazol-1-yl)-4-(4-chlorophenyl)thiazole, C26H17ClFN3OS
  78. Crystal structure of bis(μ3-isophthalato-κ3O:O′:O′′)(μ2-1,4-\ bis((2-propyl-1H-benzo[d]imidazol-1-yl)methyl)benzene-κ2N:N′)dizinc(II), C22H19N2O4Zn
  79. Crystal structure of poly[bis(adipate-κ4O,O′:O′′, O′′′)(1,4-bis(2-methyl-1H-benzo[d]imidazol-1-yl)benzene-κ2N:N′)dizinc(II), C36H38N4O8Zn2
  80. Crystal structure of N-(2-(2-oxoindolin-4-yl)ethyl)-N-propylpropan-1-aminium tetraphenylborate, C40H45BN2O
  81. Crystal structure of 1-(2,3-dihydro-4-methyl-3-phenyl-2-thioxothiazol-5-yl)-1-ethanone, C12H11NOS2
  82. Crystal structure of 3-(adamantan-1-yl)-1-[(4-benzylpiperazin-1-yl)methyl]-4-[(E)-(2,6-difluorobenzylidene)amino]-1H-1,2,4-triazole-5(4H)-thione, C31H36F2N6S
  83. Crystal structure of 6-(4-chlorophenyl)-3-(thiophen-2-yl)-[1,2,4]triazolo[3,4-b][1,3,4]-thiadiazole, C13H7ClN4S2
  84. Crystal structure of bis(ethanaminium) poly[bis(hexaselenido-κ2Se1,Se6)palladate(II)], C4H16N2PdSe12
  85. Crystal structure of 2-(3-(benzofuran-2-yl)-5-phenyl-4,5-dihydro-1H-pyrazol-1-yl)-4-phenylthiazole, C26H19N3OS
  86. Crystal structure of poly-[bis(μ3-5-hydroxyisophtalato-κ3O:O′:O′′)(μ2-1,4-bis(2-ethylbenzimidazol-1-ylmethyl)benzene-κ2N:N′)dizinc(II)], C40H30N4O5Zn2
  87. Crystal structure of poly-[(μ-1,4-bis(2-ethylbenzimidazol-1-ylmethyl)benzene-κ2N:N′)-bis(μ4-2,2′-(1,3-phenylene)diacetate-κ4O:O′:O′′:O′′′)dizinc(II)], C44H38N4O8Zn2
  88. Crystal structure of 5,17-bis-cyano-25,26,27,28-tetrapropyloxy-calix[4]arene, C42H46N2O4
  89. Crystal structure of poly-[μ-1,4-bis(2-ethylbenzimidazol-1-ylmethyl)benzene-κ2N:N′)-bis(μ3-5-hydroxyisophthalate(2–)-κ3O,O′:O′′)dicadmium(II)] monohydrate, C64H54N8O11Cd2
  90. Crystal structure of poly-[μ-1,4-bis(2-ethylbenzimidazol-1-ylmethyl)benzene-κ2N:N′)-bis(μ4-4,4′-sulfonyldibenzoato-κ4O:O′:O′′:O′′′)dicadmium(II)] monohydrate, C52H42N4O14Cd2
  91. Crystal structure of poly-[bis(μ4-adipato-κ4O:O′:O′′:O′′′)(μ2-1,4-bis((2-ethyl-1H-benzo[d]imidazol-1-yl)methyl)benzene-κ2N:N′)dizinc(II)], C38H42N4O8Zn2
  92. Crystal structure of (2-(2-chlorophenyl)-5-methyl-1,3-dioxan-5-yl)methanol, C12H15ClO3
  93. Crystal structure of 2-(4-Bromophenyl)-5-ethyl-1,3-dioxane-5-carboxylic acid, C13H15BrO4
  94. Crystal structure of (2-(4-bromophenyl)-5-ethyl-1,3-dioxan-5-yl)methanol, C13H17BrO3
  95. Crystal structure of 3-((1,3,5,7-tetraoxo-6-(pyridin-3-ylmethyl)-3,3a,4,4a,5,6,7,7a,8,8a-decahydro-4,8-ethenopyrrolo[3,4-f]isoindol-2(1H)-yl)methyl)pyridin-1-ium-κN-trichloridocobalt(II) hemihydrate, C24H22Cl3CoN4O4.5
  96. Crystal structure of 4-chloro-4′,6′-dichloro-2,2′-[propane-1,3-diyldioxybis(nitrilomethylidyne)]-diphenol, C17H14Cl3N2O4
  97. Crystal structure of 2-amino-4-(3-trifluoromethylphenyl)-5-oxo-5,6,7,8-tetrahydro-4H-chromene-3-carbonitrile, C17H13F3N2O2
  98. Crystal structure of bis(benzoato-κO)bis(4,4′-((1H-1,2,4-triazol-1-yl)methylene)dibenzonitrile-κN)zinc(II), C48H32N10O4Zn
  99. Crystal structure of 3-methyl-2H-chromen-2-one, C10H8O2
  100. Crystal structure of catena-poly-[aqua-(2-carboxy-5-(3-carboxy-5-carboxylatophenoxy)benzoato-κO)(μ2-4,4′-di(1H-imidazol-1-yl)-1,1′-biphenyl-κ2N:N′)cobalt(II)], C34H24N4O10Co
  101. Crystal structure of 4,4′-di(1H-imidazol-1-yl)-1,1′-biphenyl, C36H28N8
  102. Crystal structure of 1-(3-chloropropyl)piperidin-1-ium tetraphenylborate, C32H37BClN
  103. Crystal structure of dimethyl 5-(benzylamino)isophthalate, C17H17NO4
  104. Crystal structure of dimethyl 5-(dibenzylamino)isophthalate, C24H23NO4
  105. Crystal structure of N-(adamantan-1-yl)-4-phenylpiperazine-1-carbothioamide, C21H29N3S
  106. Crystal structure of (2,2′(cyclohexane-1,2-diylbis(nitrilo(E)methylylidene))diphenolato-κ4O,O′,N,N′)dimethanolmanganese(III) bromide, C22H28BrMnN2O4
  107. Crystal structure of 3,5,7-tris(morpholinomethyl)tropolone·0.67 hydrate, C22H33N3O5·0.67H2O
  108. Crystal structure of biphenyl-2,3′,5,5′-tetracarboxylic acid – 4,4′-biphenyl-4,4′-diyldipyridine (3/2), C49H34N3O8
Downloaded on 20.1.2026 from https://www.degruyterbrill.com/document/doi/10.1515/ncrs-2016-0088/html
Scroll to top button