Startseite Crystal structure of 4-bromo-2-(8-(3-ethoxy-2-hydroxyphenyl)-3,6-dioxa-2,7-diazaocta-1,7-dien-1-yl)phenol, C18H19BrN2O5
Artikel Open Access

Crystal structure of 4-bromo-2-(8-(3-ethoxy-2-hydroxyphenyl)-3,6-dioxa-2,7-diazaocta-1,7-dien-1-yl)phenol, C18H19BrN2O5

  • Xiu-Yan Dong und Jia-Cheng Liu EMAIL logo
Veröffentlicht/Copyright: 23. März 2016

Abstract

C18H19BrN2O5, triclinic, P1̅ (no. 2), a = 9.0429(7) Å, b = 9.5752(11) Å, c = 11.8422(15) Å, α = 70.954(11)°, β = 72.691(8)°, γ = 84.794(8)°, V = 925.33(18) Å3, Z = 2, Rgt(F) = 0.0511, wRref(F2) = 0.0876, T = 173 K.

CCDC no.:: 1457554

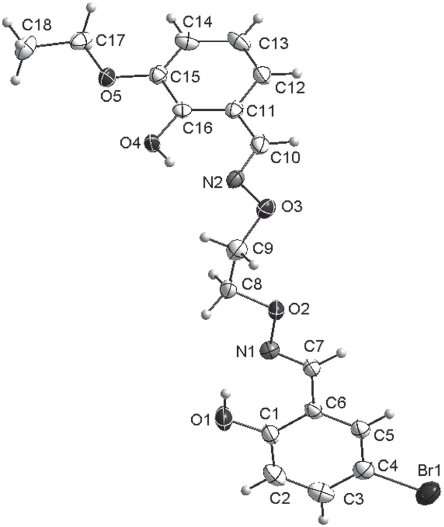
The asymmetric unit of the title crystal structure is shown in the figure. Tables 13 contain details of the measurement method and a list of the atoms including atomic coordinates and displacement parameters.

Table 1:

Data collection and handling.

Crystal:Primary yellow, block, size 0.25×0.27×0.31 mm
Wavelength:Mo Kα radiation (0.71073 Å)
μ:22.52 cm−1
Diffractometer, scan mode:SuperNova, Eos, ω scans
2θmax:52.04°
N(hkl)measured, N(hkl)unique:6052, 3646
Criterion for Iobs, N(hkl)gt:Iobs > 2 σ(Iobs), 2478
N(param)refined:238
Programs:SHELX [11], , CrysAlisPRO [12]
Table 2:

Fractional atomic coordinates and isotropic or equivalent isotropic displacement parameters (Å2).

AtomSitexyzUiso
H(1)2i0.24280.90830.46630.064
H(4)2i−0.38021.31450.14600.044
H(2)2i0.54530.60730.56520.048
H(3)2i0.79600.59080.50200.046
H(5)2i0.65891.02460.28180.031
H(7)2i0.38971.17650.26580.034
H(8A)2i−0.04251.23440.41500.040
H(8B)2i−0.06471.19690.29870.040
H(9A)2i−0.23041.43890.30070.041
H(9B)2i−0.08421.49460.30120.041
H(10)2i−0.14541.4864−0.05160.036
H(12)2i−0.21421.4387−0.22760.038
H(13)2i−0.35671.3443−0.32010.041
H(14)2i−0.54321.2317−0.21420.039
H(17A)2i−0.66091.0575−0.06850.038
H(17B)2i−0.76861.2283−0.10970.038
H(18A)2i−0.90951.07080.01380.067
H(18B)2i−0.88831.18270.07850.067
H(18C)2i−0.78481.01110.11530.067
Table 3:

Fractional coordinates and atomic displacement parameters (Å2).

AtomSitexyzU11U22U33U12U13U23
Br(1)2i0.95792(4)0.79616(5)0.33302(4)0.0298(2)0.0565(3)0.0516(3)−0.0067(2)−0.0003(2)−0.0218(2)
O(1)2i0.3037(3)0.8253(3)0.5012(2)0.034(2)0.044(2)0.043(2)−0.017(1)0.010(1)−0.004(2)
O(2)2i0.1276(2)1.2585(3)0.2973(2)0.025(1)0.036(2)0.033(2)−0.012(1)0.003(1)−0.001(1)
O(3)2i−0.1227(2)1.4768(3)0.1457(2)0.029(1)0.035(2)0.036(2)−0.014(1)−0.004(1)−0.010(1)
O(4)2i−0.4391(3)1.2809(3)0.1206(2)0.032(2)0.039(2)0.021(2)−0.021(1)0.000(1)−0.005(1)
O(5)2i−0.6146(2)1.1898(3)0.0146(2)0.030(1)0.036(2)0.029(2)−0.018(1)−0.001(1)−0.008(1)
N(1)2i0.2222(3)1.1098(3)0.3557(3)0.025(2)0.030(2)0.028(2)−0.007(1)−0.002(1)−0.007(2)
N(2)2i−0.2193(3)1.4100(3)0.1071(3)0.022(2)0.028(2)0.033(2)−0.010(1)−0.002(1)−0.009(2)
C(1)2i0.4494(4)0.8247(4)0.4613(3)0.035(2)0.032(2)0.024(2)−0.016(2)0.004(2)−0.007(2)
C(2)2i0.5677(4)0.6914(4)0.5079(4)0.051(3)0.034(3)0.032(3)−0.015(2)0.001(2)−0.003(2)
C(3)2i0.7176(5)0.6815(5)0.4708(4)0.049(3)0.034(3)0.029(3)−0.006(2)−0.007(2)−0.008(2)
C(4)2i0.7516(4)0.8065(4)0.3869(3)0.031(2)0.041(3)0.027(2)−0.009(2)0.001(2)−0.017(2)
C(5)2i0.6351(4)0.9411(4)0.3388(3)0.030(2)0.028(2)0.023(2)−0.011(2)0.001(2)−0.010(2)
C(6)2i0.4818(4)0.9520(4)0.3754(3)0.030(2)0.028(2)0.017(2)−0.010(2)−0.000(2)−0.006(2)
C(7)2i0.3631(4)1.0950(4)0.3233(3)0.030(2)0.033(2)0.022(2)−0.015(2)−0.000(2)−0.004(2)
C(8)2i−0.0309(4)1.2653(4)0.3288(3)0.025(2)0.052(3)0.026(2)−0.018(2)0.003(2)−0.011(2)
C(9)2i−0.1242(4)1.4278(4)0.2738(3)0.030(2)0.045(3)0.033(3)−0.012(2)0.003(2)−0.020(2)
C(10)2i−0.2115(4)1.4322(4)−0.0055(4)0.024(2)0.028(2)0.034(3)−0.007(2)0.003(2)−0.005(2)
C(11)2i−0.3046(4)1.3737(4)−0.0620(3)0.021(2)0.021(2)0.029(2)−0.004(2)−0.001(2)−0.006(2)
C(12)2i−0.2860(4)1.3902(4)−0.1839(3)0.033(2)0.030(2)0.028(2)−0.009(2)0.004(2)−0.003(2)
C(13)2i−0.3724(4)1.3357(4)−0.2397(3)0.044(2)0.033(3)0.020(2)−0.006(2)0.004(2)−0.007(2)
C(14)2i−0.4839(4)1.2673(4)−0.1758(3)0.039(2)0.030(2)0.028(2)−0.006(2)−0.006(2)−0.010(2)
C(15)2i−0.5068(4)1.2521(4)−0.0564(3)0.024(2)0.025(2)0.028(2)−0.006(2)−0.001(2)−0.008(2)
C(16)2i−0.4152(4)1.3033(4)0.0020(3)0.021(2)0.018(2)0.025(2)−0.001(1)−0.003(2)−0.003(2)
C(17)2i−0.7179(4)1.1437(4)−0.0413(3)0.031(2)0.024(2)0.041(3)−0.010(2)−0.011(2)−0.006(2)
C(18)2i−0.8357(4)1.0979(5)0.0498(4)0.033(2)0.053(3)0.054(3)−0.023(2)0.000(2)−0.017(2)

Source of material

To a hot ethanol solution (15 mL) of 5-bromo-2-hydroxybenzaldehyde (299.9 mg, 1.50 mmol) was added an ethanol (15 mL) solution of 2-[O-(1-ethyloxyamide)]oxime-6-ethoxyphenol (383.0 mg, 1.50 mmol) [1]. After stirring the mixture at 55–60°C for 5 h, the solvent was removed under reduced pressure and the residue was washed successively with ethanol and ethanol/hexane (1:4 v/v), respectively. The product was dried in vacuo, and white crystalline solid was obtained. Yield: 58%. m.p. 145–146°C. Anal. Calcd. for C18H19BrN2O5: C, 51.08%; H, 4.52%; N, 6.62%; Found: C, 51.19%; H, 4.47%; N, 6.48%.

Experimental details

The hydrogen atoms were idealized and refined using a riding model with the help of the SHELX program (AFIX 23, 43 or 147 option) [11].

Discussion

Oxime-type chelating compounds have drawn much\allowbreak attention in the last decades because these compounds can\allowbreak accommodate one, two or more metal centers and form homo- and heteronuclear metal complexes with interesting properies [25], such as excellent catalytic activity for epoxidation and aziridination [6]. In addition, they can also be used to obtain non-linear optical materials [7], models of biological systems [8], magnetic properties [9], and building blocks for cyclic supramolecular structures [10].

The crystal structure of the title compound was\allowbreak determined by X-ray crystallography (see the figure). The crystal structure of the title compound is only built up by the C18H19BrN2O5 molecule, in which all bond lengths are in normal ranges. The two benzene rings form a dihedral angles of 78.3°. In addition, there are two intramolecular hydrogen bonds (O1—H1⋯N1, O4—H4⋯N2; cf. figure) and much weaker intermolecular hydrogen bonds (C7—H7⋯O4′; ′ = x, y, 1+z). Because of the intermolecular hydrogen bonds, the title compound forms a infinite 1D supramolecular structure along a axis.


Corresponding author: Jia-Cheng Liu, Northwest Normal University, College of Chemistry and Chemical Engineering, Lanzhou 730070, P. R. China, e-mail:

Acknowledgements:

This work was supported by the National Natural Science Foundation of China (Nos. 21461023 and 21361023), which is gratefully acknowledged. The authors thank the responsible editor for supplying the figure.

References

1. Dong, W. K.; Zhang, X. Y.; Sun, Y. X.; Dong, X. Y.; Li, G.; Wang, J.: A 2D supramolecular copper(II) complex with an asymmetric Salamo-type ligand: synthesis, crystal structure and fluorescent property. Synth. React. Inorg. Met.-Org. Nano-Met. Chem. 45 (2015) 956–962.10.1080/15533174.2013.862814Suche in Google Scholar

2. Dong, W. K.; Sun, Y. X.; Zhang, Y. P.; Li, L.; He, X. N.; Tang, X. L.: Synthesis, crystal structure, and properties of supramolecular Cu(II), Zn(II), and Cd(II) complexes with Salen-type bisoxime ligands. Inorg. Chim. Acta 362 (2009) 117–124.10.1016/j.ica.2008.03.128Suche in Google Scholar

3. Dong, W. K.; Sun, Y. X.; Zhao, C. Y.; Dong, X. Y.; Xu, L.: Synthesis, structure and properties of supramolecular Mn(II), Co(II), Ni(II) and Zn(II) complexes containing Salen-type bisoxime ligands. Polyhedron 29 (2010) 2087–2097.10.1016/j.poly.2010.04.006Suche in Google Scholar

4. Dong, W. K.; He, X. N.; Yan, H. B.; Lv, Z. W.; Chen, X.; Zhao, C. Y.; Tang, X. L.: Synthesis, structural characterization and solvent effect of copper(II) complexes with a variational multidentate Salen-type ligand with bisoxime groups. Polyhedron 28 (2009) 1419–1428.10.1016/j.poly.2009.03.017Suche in Google Scholar

5. Dong, W. K.; Duan, J. G.; Guan, Y. H.; Shi, J. Y.; Zhao, C. Y.: Synthesis, crystal structure and spectroscopic behaviors of Co(II) and Cu(II) complexes with Salen-type bisoxime ligands. Inorg. Chim. Acta 362 (2009) 1129–1134.10.1016/j.ica.2008.05.028Suche in Google Scholar

6. Venkataramanan, N. S.; Kuppuraj, G.; Rajagopal, S.: Metal-salen complexes as efficient catalysts for the oxygen ation of heteroatom containing organic compounds-synthetic and mechanistic aspects. Coord. Chem. Rev. 249 (2005) 1249–1268..10.1016/j.ccr.2005.01.023Suche in Google Scholar

7. Miyasaka, H.; Matsumoto, N.; Okawa, H.; Re, N.; Gallo, E.; Floriani, C.: Complexes derived from the reaction of manganese(III) Schiff base complexes and hexacyanoferrate: Syntheses, multidimensional network structures and magnetic properties. J. Am. Chem. Soc. 118 (1996) 981–994.10.1021/ja952706cSuche in Google Scholar

8. Lacroix, P. G.: Second-order optical nonlinearities in coordination chemistry: the case of bis(salicylaldiminato)metal Schiff base complexes. Eur. J. Inorg. Chem. 2001 (2001) 339–348.10.1002/1099-0682(200102)2001:2<339::AID-EJIC339>3.0.CO;2-ZSuche in Google Scholar

9. Ronson, T. K.; Adams, H.; Ward, M. D.: Bis-bidentate bridging ligands containing two N,O-chelating pyrazolyl-phenolate units; double helical complexes with Co(II), Cu(II) and Zn(II). Inorg. Chim. Acta 358 (2005) 1943–1954.10.1016/j.ica.2004.12.009Suche in Google Scholar

10. Sharma, A. K.; Lloret, F.; Mukherjee, R.: Phenolate- and acetate (both μ2-1,1 and μ2-1,3 mode)-bridged face-shared trioctahedral linear NiII3, NiII2MII (M = Mn, Co) complexes: ferro and anti ferromagnetic coupling. Inorg. Chem. 46 (2007) 5128–5130.10.1021/ic0623157Suche in Google Scholar

11. Sheldrick, G. M.: A short history of SHELX. Acta Cryst. A64 (2008) 112–122.10.1107/S0108767307043930Suche in Google Scholar PubMed

12. CrysAlisPro, Agilent Technologies, Version 1.171.36.28.Suche in Google Scholar

Received: 2015-11-29
Accepted: 2016-3-3
Published Online: 2016-3-23
Published in Print: 2016-9-1

©2016 Xiu-Yan Dong et al., published by De Gruyter.

This work is licensed under the Creative Commons Attribution-NonCommercial-NoDerivatives 3.0 License.

Artikel in diesem Heft

  1. Frontmatter
  2. Crystal structure of poly[aqua(μ2-2,5-bis(4-pyridyl)-1,3,4-oxadiazole-κ2N,N)(μ2-1,3-phenylenediacetato-κ3O,O′:O′′)cobalt(II)], C22H18CoN4O6
  3. Crystal structure of 2-amino-7,7-dimethyl-5-oxo-4-(3-phenoxy-phenyl)-5,6,7,8-tetrahydro-4H-chromene-3-carbonitrile
  4. Crystal structure of (E)-4,4′-(diazene-1,2-diyl)bis(1-nitro-1H-1,2,4-triazol-5(4H)-one)—acetonitrile (1:1), C6H5N11O6
  5. Crystal structure of potassium (E)-5-oxo-4-((5-oxo-1H-1,2,4-triazol-4(5H)-yl)diazenyl)-4,5-dihydro-1,2,4-triazol-1-ide – (E)-4,4-diazene-1,2-diylbis(2,4-dihydro-3H-1,2,4-triazol-3-one) – methanol (1/1/1), C9H11N16KO5
  6. Crystal structure of (N,N′-bis(2-(((2,6-diisopropylphenyl)imino)methyl)phenyl)benzene-1,2-diamido-κ4O,O′,O′′,O′′′)oxidovanadium(IV), C44H48N4OV
  7. Crystal structure of 5,5-bis(4-iodophenyl)-5H-cyclopenta[2,1-b:3,4-b′]dipyridine, C23H14I2N2
  8. Crystal structure of aquadichloridobis(1-((2-methyl-1H-imidazol-1-yl)methyl)-1H-benotriazole-κN)mercury(II), C22H24Cl2HgN10O
  9. Crystal structure of 2-[4-(1H-imidazol-1-yl)phenyl]-1H-benzimidazol-3-ium [2-(carboxymethyl)phenyl]acetate monohydrate, C26H24N4O5
  10. Crystal structure of 4,4′-bipiperidinium dichloride 0.12 hydrate, C10H22N2Cl2 · 0.12 H2O
  11. Crystal structure of catena-poly[tetraaqua(μ2-4,4′(E)-ethene-1,2-diyldipyridine-κ2N:N′)nickel(II)] bis(6-methyl-2-oxo-1,2-dihydro-pyridine-4-carboxylate) pentahydrate, C26H42N4O15Ni
  12. Crystal structure of ethyl-5-amino-1-(2,4-dinitrophenyl)-1H-pyrazole-4-carboxylate, C12H11N5O6
  13. Crystal structure of dicarbonyl(pyridin-2-olate-1-oxido-κ2O,O′)rhodium(I), C7H4NO4Rh
  14. Crystal structure of 1-(adamantan-1-yl)-3-(4-chlorophenyl)thiourea, C17H21ClN2S
  15. Crystal structure of 2-((2-chloropyridin-3-ylamino)methylene)malononitrile, C9H5ClN4
  16. Crystal structure of tetraaquabis(μ2-4-chlorobenzoato-κ2O:O,O′)bis(4-chlorobenzoato-κO)bis(1,10-phenanthroline-κ2N,N′)distrontium(II), C52H40Cl4N4O12Sr2
  17. Crystal structure of 3-hydroxy-3-phenyl-1,3-dihydro-2H-indol-2-one, C14H11NO2
  18. Crystal structures of bis(1,10-phenanthrolin-1-ium) aquapentakis(nitrato-κ2O,O′)neodym(III) monohydrate, C24H22N9NdO17
  19. Crystal structure of 2-ethyl-1-tert-butyl 3-oxo-2-[phenyl(tert-butoxycarbonylamino)methyl]-1,2-pyrrolidinedicarboxylate, C24H34N2O7
  20. Crystal structure of poly[diaquabis(μ4-benzene-1,3,5-tricarboxylato-κO1O2O3O4O5O6)-bis(μ2-4,4′-benzene-1,3-diylbis(4H-1,2,4-triazole-κ2N:N′)tricadmium(II)] tetrahydrate, C38H34Cd3N12O18
  21. Crystal structure of trans-dichlorido[1,3-bis(9-methyl-9H-fluoren-9-yl) benzimidazol-2-ylidene](pyridine)palladium(II) – a compound with anagostic CH–Pd interactions, C40H31Cl2N3Pd
  22. Crystal structure of catena-poly[(μ3-5-(4-(tetrazol-1-id-5-yl)phenoxy)benzene-1,3-dicarboxyato-κ3O:O′:N)(4-(3-(pyridin-4-yl)propyl)pyridinium-κN)zinc(II)], C28H22ZnN6O5
  23. Crystal structure of 3,6-di-2-pyridinyl-4-pyridazine carbonitrile, C15H9N5
  24. Crystal structure of 5,5,9,13-tetramethyltetracyclo[10·2·1·01,10·04,9]pentadecane-3,7,14-triol, C20H34O4
  25. Crystal structure of 2-amino-7-methyl-5-oxo-4-phenyl-4H,5H-pyrano[4,3-b]pyran-3-carbonitrile, C16H12N2O3
  26. Crystal structure of the poly[(1,10-phenanthroline-κ2N,N′)(μ3-carboxylatophenoxyacetato-κ4O,O′:O′′;O′′′)lead(II)] monohydrate, C21H16N2O6Pb
  27. Crystal structure of the poly[(μ4-biphenyl-4,4′-dicarboxylato-κ4O:O′:O′′:O′′′) bis(μ3-8-(11-(oxysulfonyl)-4-silbenyl)-2-(oxysulfonyl)stilbene-κ4O:O′:O′′,O′′′) bis(1,10-phenanthroline-k2N,N′) dipraseodymium(III)], C94H64N4O16Pr2S4
  28. Crystal structure of 3-iodo-5-methoxy-7-(methoxymethoxy)-4-(3-methoxyphenoxy)-2H-chromen-2-one, C19H17IO7
  29. Crystal structure of poly[(5-carboxy-2,6-dimethylpyridinium-3-carboxylato-κO)tris(μ2-2,6-dimethylpyridinium-3,5-dicarboxylato-κ3O,O′:O′′)erbium(III)], C36H33ErN4O16
  30. This molecule targets at type 2 diabetes - a single crystal study on (2R,3S,5R)-2-(2,5-difluorophenyl)-5-[2-(methylsulfonyl)-2,6-dihydropyrrolo[3,4-c]pyrazol-5(4H)-yl] tetrahydro-2H-pyran-3-amine (Omarigliptin), C17H20F2N4O3S
  31. Crystal structure of poly[(μ2-2,2′-benzene-1,2-diyldiacetato-κ2O:O′), (μ2-1-(4-(1H-imidazol-1-yl)benzyl)-1H-1,2,4-triazole-κ2N:N′)zinc(II)], C22H19N5O4Zn
  32. Crystal structure of tetraaqua(μ2-3-(3,5-dicarboxyphenoxy)benzene-1,2-dicarboxylato-κ2O:O′)manganese(II) dihydrate, C16H20O15Mn
  33. Crystal structure of 4,4′-sulfonyldipyridine, C10H8N2O2S
  34. Crystal structure of 4-[(E)-(2-chloro-6-fluorobenzylidene)amino]-1,2-dihydro-2,3-dimethyl-1-phenylpyrazol-5-one, C18H15ClFN3O
  35. Crystal structure of carbonyl(2-oxopyridin-1(2H)-olato-κ2O, O′)(triphenylphosphine-κP)rhodium(I), C24H19NO3PRh
  36. Crystal structure of diaquabis(2-(3-bromophenyl)-5-carboxy-1H-imidazol-4-carboxylato-κ2O,N) cobalt(II) trihydrate, C22H22Br2CoN4O13
  37. Crystal structure of 4-(pyridin-4-ylmethylsulfonyl)pyridine, C11H10N2O2S
  38. Crystal structure of poly[(μ4-1-methyl-1H-tetrazole-5-thiolato-κ3S:S:N:N′)copper(I)], C2H3CuN4S
  39. Crystal structure of poly[diaquabis(μ2-4,4′-sulfinyldipyridine-κ2N,N′)zinc(II)] diperchlorate dihydrate, C20H24N4O14S2Cl2Zn
  40. Crystal structure of (1-((1-benzylpyrrolidin-2-yl-κN)methyl)-3-isopropyl-1H-imidazol-2(3H)-ylidene–κC)dibromidopalladium(II), C18H25Br2N3Pd
  41. Crystal structure of pentacalcium tetranitridovanadate(V) mononitride based on a powder diffraction study, Ca5[VN4]N
  42. Crystal structure of ((1-((1-benzylpyrrolidin-2-yl)methyl)-3-ethyl-1H-imidazol-2(3H)-ylidene)-κ2C,N)dichloridopalladium(II), C17H23Cl2N3Pd
  43. Crystal structure of 9-allyl-4,5-dichloro-12-cyano-9,10-dihydro-9,10-ethanoanthracen-12-yl acetate, C22H17Cl2NO2
  44. Crystal structure of 4-bromo-2-(8-(3-ethoxy-2-hydroxyphenyl)-3,6-dioxa-2,7-diazaocta-1,7-dien-1-yl)phenol, C18H19BrN2O5
  45. Crystal structure of 3-tert-butyl-3-hydroxy-1,3-dihydro-2H-pyrrolo[3,2-c]pyridin-2-one, C11H14N2O2
  46. Crystal structure of diaquabis(3-(3,5-dibromophenyl)-5-(pyridin-2-yl)-1,2,4-triazol-4-ido-κ2N,N′)nickel(II) mono hydrate, C26H20Br4N8NiO3
  47. Crystal structure of 5-(adamantan-1-yl)-3-[(2-trifluoromethylanilino)methyl]-2,3-dihydro-1,3,4-oxadiazole-2-thione, C20H22F3N3OS
  48. Crystal structure of 2-ethyl-1-tert-butyl-2-((4-fluorophenyl)(tert-butoxycarbonylamino)methyl)-3-oxo-pyrrolidine-1,2-dicarboxylate, C24H33FN2O7
  49. Crystal structure of bis(μ2-2-fluorobenzoato-κ2O:O:O′) bis(μ2-2-fluorobenzoato-κ2O:O′)dinitrato-κ2O,O′ bis(1,10-phenathroline-κ2N,N′)diterbium(III), C52H32F4N6O14Tb2
  50. Crystal structure of tetrabutylammonium 4-aminobenzenesulfonate 2/3 hydrate, C22H42N2O3S · 2/3 H2O
  51. Crystal structure of tetraethylammonium 4-aminobenzenesulfonate, C14H26N2O3S
  52. Crystal structure of bis(guanidinium) 3,3′-oxybis(6-carboxybenzoate), C18H20N6O9
  53. Crystal structure of N′-(4-methoxybenzylidene)-5-phenyl-1H-pyrazole-3-carbohydrazide, C18H16N4O2
  54. Crystal structure of N′-(4-nitrobenzylidene)-5-phenyl-1H-pyrazole-3-carbohydrazide, C17H13N5O3
  55. Crystal structure of 5-((4-bromophenyl)(2-hydroxy-6-oxocyclohex-1-en-1-yl)methyl)-6-hydroxy-1,3-dimethylpyrimidine-2,4(1H,3H)-dione, C19H19BrN2O5
  56. Crystal structure of 3-(((cyclohexyl(phenyl)methylidene)amino)oxy)-2-hydroxy-N-(propan-2-yl)propan-1-aminium chloride, C19H31ClN2O2
  57. Crystal structure of 6-hydroxy-5-((2-hydroxy-6-oxocyclohex-1-en-1-yl)(phenyl)methyl)-1,3-dimethylpyrimidine-2,4(1H,3H)-dione, C19H20N2O5
  58. Crystal structure of 2-(4-(4-bromophenyl)thiazol-2-yl)isoindoline-1,3-dione, C17H9BrN2O2S
  59. Crystal structure of 2-(4-methylbenzoyl)pyrene, C24H16O
  60. Crystal structure of N-(5-bromo-4-(p-tolyl)thiazol-2-yl)-4-chlorobutanamide, C14H14BrClN2OS
  61. Crystal structure of 4,5-diphenylthiazol-2-amine, C15H12N2S
  62. Crystal structure of poly[bis(μ2-4-(3-(pyridin-3-yl)-1H-1,2,4-triazol-5-yl)benzoato-κ3N:O,O′)-lead(II)], C28H18O4N8Pb
  63. Crystal structure of (Z)-4-(4-oxopent-2-en-2-ylamino)benzenesulfonamide, C11H14N2O3S
  64. Crystal structure of poly[(μ2-2-methyl-1-(4-(2-methyl-2H-benzo[d] imidazol-1(7aH)-yl)butyl)-1H-benzo[d]imidazole-κ2N:N′)bis(μ3-5-tert-butylbenzene-1,3-dicarboxylato-κ4O:O,O′:O′′,O′′′)dicadmium(II)] tetrahydrate, C44H54Cd2N4O12
  65. Crystal structure of catena-poly-[aqua(μ2-4,4′-bipyridine-κ2N:N′)bis(3′,5,5′-tricarboxybiphenyl-2-carboxylato-κ2O,O′)cadmium(II)], C42H28N2O17Cd
  66. Crystal structure of (2RS,3RS)-1-(4-chlorophenyl)-4,4-dimethyl-2-(1H-1,2,4-triazol-1-yl)pentan-3-ol, C15H20ClN3O
  67. Crystal structure of N′-(4-(dimethylamino)benzylidene)-5-phenyl-1H-pyrazole-3-carbohydrazide, C19H19N5O
  68. Crystal structure of 3-(benzofuran-2-yl)-5-(4-fluorophenyl)-4,5-dihydro-1Hpyrazole-1-carbothioamide, C18H14FN3OS
  69. Crystal structure of ent-1β-acetoxy-7α,14α-di-hydroxy-7β,20-epoxykaur-16-en-15-one, C22H30O6
  70. Crystal structure of 1α,7β-dihydroxy-11β-acetoxy-ent-7β,20-epoxykaur-16-en-15-one, C22H30O6
  71. Crystal structure of 7β,14β,15β-trihydroxy-1α-acetoxy-7α,20-epoxy-ent-kaurane, C22H32O6
  72. Crystal structure of ent-1β,7α,11α-trihydroxy-7β,20-epoxykaur-16-en-15-one, C20H28O5
  73. Crystal structure of poly-[tetraaquabis(μ8-benzene-1,2,4,5-tetracarboxylato-1κ3O4:O6:O8:2κ4O2:O2:O5:O5:3κ4O1:O3:O5:O7)(di-μ3-hydroxido)-pentazinc(II)] decahydrate, C20H34O32Zn5
  74. Crystal structure of 1-(4-methylthiazol-2-yl)-3-propylthiourea, C8H13N3S2
  75. Crystal structure of 2-((dimethylamino)methylene)-5,5-Dimethylcyclohexane-1,3-dione, C11H17NO2
  76. Crystal structure of poly[1,4-bis(2-methylbenzimidazol)butane-κ2N:N′)bis(4,4′-oxybis(benzoato-κ4O,O′:O′′,O′′′)dicadmium] monohydrate, C48H38Cd2N4O10
  77. Crystal structure of 2-(3-(benzofuran-2-yl)-5-(4-fluorophenyl)-4,5-dihydro-1H-pyrazol-1-yl)-4-(4-chlorophenyl)thiazole, C26H17ClFN3OS
  78. Crystal structure of bis(μ3-isophthalato-κ3O:O′:O′′)(μ2-1,4-\ bis((2-propyl-1H-benzo[d]imidazol-1-yl)methyl)benzene-κ2N:N′)dizinc(II), C22H19N2O4Zn
  79. Crystal structure of poly[bis(adipate-κ4O,O′:O′′, O′′′)(1,4-bis(2-methyl-1H-benzo[d]imidazol-1-yl)benzene-κ2N:N′)dizinc(II), C36H38N4O8Zn2
  80. Crystal structure of N-(2-(2-oxoindolin-4-yl)ethyl)-N-propylpropan-1-aminium tetraphenylborate, C40H45BN2O
  81. Crystal structure of 1-(2,3-dihydro-4-methyl-3-phenyl-2-thioxothiazol-5-yl)-1-ethanone, C12H11NOS2
  82. Crystal structure of 3-(adamantan-1-yl)-1-[(4-benzylpiperazin-1-yl)methyl]-4-[(E)-(2,6-difluorobenzylidene)amino]-1H-1,2,4-triazole-5(4H)-thione, C31H36F2N6S
  83. Crystal structure of 6-(4-chlorophenyl)-3-(thiophen-2-yl)-[1,2,4]triazolo[3,4-b][1,3,4]-thiadiazole, C13H7ClN4S2
  84. Crystal structure of bis(ethanaminium) poly[bis(hexaselenido-κ2Se1,Se6)palladate(II)], C4H16N2PdSe12
  85. Crystal structure of 2-(3-(benzofuran-2-yl)-5-phenyl-4,5-dihydro-1H-pyrazol-1-yl)-4-phenylthiazole, C26H19N3OS
  86. Crystal structure of poly-[bis(μ3-5-hydroxyisophtalato-κ3O:O′:O′′)(μ2-1,4-bis(2-ethylbenzimidazol-1-ylmethyl)benzene-κ2N:N′)dizinc(II)], C40H30N4O5Zn2
  87. Crystal structure of poly-[(μ-1,4-bis(2-ethylbenzimidazol-1-ylmethyl)benzene-κ2N:N′)-bis(μ4-2,2′-(1,3-phenylene)diacetate-κ4O:O′:O′′:O′′′)dizinc(II)], C44H38N4O8Zn2
  88. Crystal structure of 5,17-bis-cyano-25,26,27,28-tetrapropyloxy-calix[4]arene, C42H46N2O4
  89. Crystal structure of poly-[μ-1,4-bis(2-ethylbenzimidazol-1-ylmethyl)benzene-κ2N:N′)-bis(μ3-5-hydroxyisophthalate(2–)-κ3O,O′:O′′)dicadmium(II)] monohydrate, C64H54N8O11Cd2
  90. Crystal structure of poly-[μ-1,4-bis(2-ethylbenzimidazol-1-ylmethyl)benzene-κ2N:N′)-bis(μ4-4,4′-sulfonyldibenzoato-κ4O:O′:O′′:O′′′)dicadmium(II)] monohydrate, C52H42N4O14Cd2
  91. Crystal structure of poly-[bis(μ4-adipato-κ4O:O′:O′′:O′′′)(μ2-1,4-bis((2-ethyl-1H-benzo[d]imidazol-1-yl)methyl)benzene-κ2N:N′)dizinc(II)], C38H42N4O8Zn2
  92. Crystal structure of (2-(2-chlorophenyl)-5-methyl-1,3-dioxan-5-yl)methanol, C12H15ClO3
  93. Crystal structure of 2-(4-Bromophenyl)-5-ethyl-1,3-dioxane-5-carboxylic acid, C13H15BrO4
  94. Crystal structure of (2-(4-bromophenyl)-5-ethyl-1,3-dioxan-5-yl)methanol, C13H17BrO3
  95. Crystal structure of 3-((1,3,5,7-tetraoxo-6-(pyridin-3-ylmethyl)-3,3a,4,4a,5,6,7,7a,8,8a-decahydro-4,8-ethenopyrrolo[3,4-f]isoindol-2(1H)-yl)methyl)pyridin-1-ium-κN-trichloridocobalt(II) hemihydrate, C24H22Cl3CoN4O4.5
  96. Crystal structure of 4-chloro-4′,6′-dichloro-2,2′-[propane-1,3-diyldioxybis(nitrilomethylidyne)]-diphenol, C17H14Cl3N2O4
  97. Crystal structure of 2-amino-4-(3-trifluoromethylphenyl)-5-oxo-5,6,7,8-tetrahydro-4H-chromene-3-carbonitrile, C17H13F3N2O2
  98. Crystal structure of bis(benzoato-κO)bis(4,4′-((1H-1,2,4-triazol-1-yl)methylene)dibenzonitrile-κN)zinc(II), C48H32N10O4Zn
  99. Crystal structure of 3-methyl-2H-chromen-2-one, C10H8O2
  100. Crystal structure of catena-poly-[aqua-(2-carboxy-5-(3-carboxy-5-carboxylatophenoxy)benzoato-κO)(μ2-4,4′-di(1H-imidazol-1-yl)-1,1′-biphenyl-κ2N:N′)cobalt(II)], C34H24N4O10Co
  101. Crystal structure of 4,4′-di(1H-imidazol-1-yl)-1,1′-biphenyl, C36H28N8
  102. Crystal structure of 1-(3-chloropropyl)piperidin-1-ium tetraphenylborate, C32H37BClN
  103. Crystal structure of dimethyl 5-(benzylamino)isophthalate, C17H17NO4
  104. Crystal structure of dimethyl 5-(dibenzylamino)isophthalate, C24H23NO4
  105. Crystal structure of N-(adamantan-1-yl)-4-phenylpiperazine-1-carbothioamide, C21H29N3S
  106. Crystal structure of (2,2′(cyclohexane-1,2-diylbis(nitrilo(E)methylylidene))diphenolato-κ4O,O′,N,N′)dimethanolmanganese(III) bromide, C22H28BrMnN2O4
  107. Crystal structure of 3,5,7-tris(morpholinomethyl)tropolone·0.67 hydrate, C22H33N3O5·0.67H2O
  108. Crystal structure of biphenyl-2,3′,5,5′-tetracarboxylic acid – 4,4′-biphenyl-4,4′-diyldipyridine (3/2), C49H34N3O8
Heruntergeladen am 30.11.2025 von https://www.degruyterbrill.com/document/doi/10.1515/ncrs-2015-0275/html
Button zum nach oben scrollen