Home Thermal conductivity evaluation of magnetized non-Newtonian nanofluid and dusty particles with thermal radiation
Article Open Access

Thermal conductivity evaluation of magnetized non-Newtonian nanofluid and dusty particles with thermal radiation

  • Syed Modassir Hussain , Umair Khan , Adebowale Martins Obalalu EMAIL logo and Aurang Zaib
Published/Copyright: November 28, 2024

Abstract

The thermal conductivity of nanofluids (NFs) has emerged as a critical area of research due to its potential to enhance heat transfer in various industrial applications. Non-Newtonian NFs, in particular, exhibit unique flow characteristics under the influence of magnetic fields, making them suitable for systems requiring precise control of fluid dynamics, such as cooling systems in electronics and energy sectors. Owing to its usage, this article presents the magneto-Marangoni convective flow for fluid (phase-I), particle (phase-II), and propagation in tangent hyperbolic NF (copper–ethanol) containing maximum cell swimming speed. This study aims to evaluate the thermal conductivity of magnetized non-Newtonian NFs mixed with dusty particles in the presence of thermal radiation, exploring how magnetic fields and particle interactions affect overall thermal performance. The Gegenbauer wavelet collocation-based scheme was utilized to solve the model and investigate physical attributes such as plate friction, Nusselt number, Sherwood number, and mass flux. The results indicate that the species reaction field is increased by activation energy, whereas it is reduced by chemical reaction. Also, increasing values of thermal radiation tend to improve the heat distribution.

1 Introduction

Non-Newtonian fluids are a class of fluids that deviate from the typical behavior of Newtonian fluids, where the viscosity remains constant regardless of applied shear stress. Unlike water or air, which flow uniformly under stress, non-Newtonian fluids exhibit varying viscosities depending on the force or deformation applied. This unique behavior makes them highly relevant in both industrial and biological processes. Examples of non-Newtonian fluids include substances such as toothpaste, blood, and polymer solutions, which can either thicken or thin when subjected to stress. Their flow behavior is typically categorized into several types, including shear thinning (pseudoplastic), shear thickening (dilatant), and viscoplastic fluids. The study of non-Newtonian fluids is essential in fields like biomedical engineering, chemical processing, and materials science, where understanding their complex flow properties can significantly enhance applications like drug delivery, lubrication, and food production [1,2]. Many researchers have formulated and discussed different models of non-Newtonian fluids in the literature because of the inability to compress their properties in one constitutive model. For instance, the micropolar model was investigated by Gasmi et al. [3] and Obalalu et al. [4], the Eyring–Powell model was analyzed by Akram et al. [5] and Aziz et al. [6], the tangent hyperbolic model was evaluated by Ramesh et al. [7] and Obalalu et al. [8], the Williamson model was explored by Nimmy et al. [9] and Shah et al. [10], the Casson fluid model was discussed by Kumar et al. [11] and Alqarni et al. [12], etc. The essential characteristics and usefulness of the tangent hyperbolic fluid have distinguished it from these models. Regarding rheological properties, it represents a shear-thinning type of non-Newtonian fluid in which the viscosity declines as the shear rates increase. The usefulness spans many engineering and manufacturing sectors, like food processing, manufacturing, drugs, paints, cosmetics, and pharmaceuticals. Following its manifold applications, Ullah et al. [13] applied the Lie group analysis and the shooting numerical method to discuss magnetized tangent hyperbolic fluid experiencing heat source and slip effects. The authors showed that the velocity deteriorates with a higher value of the Weissenberg number, magnetic field, and power-law exponent terms. Obalalu et al. [14] studied the stagnation point flow of a tangent hyperbolic fluid induced by a nonlinear expansive sheet with features of magnetic field, non-uniform heat source, chemical reaction, and activation energy. The authors reported an enhanced skin friction coefficient due to amplification in the power-law index and magnetic field terms. Roja et al. [15] presented a theoretical analysis that reveals the flow, heat, and mass transfer of the tangent hyperbolic fluid confined in a moving sheet with bioconvection and nonlinear thermal radiative flux. The study reported an enhanced heat transfer due to the growth in the magnitude of the thermal radiative flux. Ibrahim [16] presented the flow dynamics of this fluid concept with heat transmission over an expanding sheet incorporating the magnetic field effect, thermal radiation, and convective heat at the boundary wall. The numerical evaluation exhibited a depleted skin frictional coefficient due to the escalation of the Weissenberg number but the power-law exponent causes an enlargement in the skin frictional factor. Tanuja et al. [17] recently analyzed the contributions of broad engineering parameters, like Joule heating, chemical reactions, and activation energy, on a Riga plate using a tangent hyperbolic fluid. The study portrayed the velocity profile as a decreasing function of the power-law exponent term, Hartmann and Weissenberg numbers. In real-life situations, however, fluids in their pure form are rare because there are dust particles and impurities contained in them, which are of practical importance in many fields [18].

Dusty fluids, also known as two-phase or particle-laden flows, involve the suspension of dust particles or other solid elements within a fluid medium. These systems are characterized by the interaction between the fluid and the dispersed particles, where both phases influence the overall behavior of the flow. Such interactions are critical in various industrial, environmental, and engineering applications, including air pollution control, chemical processing, and combustion systems. The dynamics of dusty fluids are governed by complex phenomena such as drag, particle inertia, and thermophoretic effects, making their study important for optimizing processes involving particulate matter in fluids [19,20]. Researchers have found that suspended dust particles enhance heat transfer by increasing thermal conductivity. These invaluable uses have encouraged researchers to study their properties in various configurations for various applications. For instance, Santosh et al. [21] investigated the motion and heat distribution of a Carreau fluid, which contains suspended dust particles passing through an exponentially expansive material device subject to non-uniform heat sources, radiation, and slip effects. Jalil et al. [22] showed analytically the flow properties of a magnetized dusty fluid over an expansive sheet without considering the heat transfer aspects. Shankaralingappa et al. [23] analyzed the heat propagation of a tangent hyperbolic fluid consisting of suspended dusty items in a linearly stretched device. Heat distribution in the material device was analyzed using the Cattaneo–Christov function coupled with the Darcy–Forchheimer porosity phenomenon. Mahdy and Hoshoudy [24] established a two-phase mixed convective formulation of a tangent hyperbolic dusty fluid over a nonlinear expansive sheet. Their numerical analysis revealed that the dusty phase's velocity profiles decrease as the dust particles' mass concentration increases.

Marangoni fluid flows, also referred to as surface tension-driven flows, arise from gradients in surface tension along a fluid interface. These gradients can be caused by temperature variations (thermocapillary) or concentration differences (soluto-capillary), leading to fluid motion as the system seeks to equalize the surface tension. Marangoni flows play a critical role in a variety of natural and industrial processes, such as in crystal growth, thin-film formation, and the behavior of liquid droplets. Understanding these flows is essential for optimizing processes where precise control of surface properties and fluid dynamics is required. This phenomenon was extensively discussed in previous studies [25,26,27]. Other usage areas include biomedical engineering, coating engineering and technology, paint emulsion rheology, foams, and microfluidics formation. Rashid et al. [28] analyzed the Marangoni fluid’s flow dynamics and heat transfer processes containing minute nanoparticles (NPs) in a porous device subject to surface mass flux via homotopy analysis. Elbashbeshy et al. [29] analyzed such a phenomenon numerically via the Galerkin–Legendre method over a circular porous material incorporating chemical reaction, heat source, and activation energy in the model equations. Khan et al. [30] discussed Marangoni convective hybrid nanofluid (NF) flow with entropy generation analysis and activation energy. Furthermore, at high operating temperatures, the impact of radiative heat transfer becomes essential for designing useful gadgets applicable to engineering processes for advanced energy conversion purposes. There is a great link between the temperature distribution of the fluid and thermal radiation influence. Thus, it is necessary to incorporate the radiative heat transfer phenomenon in processes like nuclear power plants, heat exchangers, and astrophysical streams. Kumar et al. [31] have reported an enhanced heat distribution due to the higher values of the thermal radiation when studying the flow dynamics of NFs on a vertically extending sheet. Obalalu et al. [32] showed that the surface heat profiles increase due to amplification in the magnitude of thermal radiation coupled with magnetic field and Eckert numbers. Daniel et al. [33] calculated the effects of thermal radiation alongside Joule and viscous heating and chemical reaction on the electro-magneto-hydrodynamic NF flow. The temperature of the nanoliquid and the thermal bounding surface is reported to expand due to a hike in thermal radiation. However, in the items reviewed above on dusty fluids, the researchers have restricted those studies to constant fluid properties without considering variable thermophysical properties of the fluid, which can occur due to temperature variations.

Temperature variation significantly impacts the thermophysical properties of a fluid, influencing its behavior in various applications. Two key properties affected by temperature are viscosity and thermal conductivity. Viscosity, which measures a fluid's resistance to flow, typically decreases as temperature increases, leading to less friction between fluid layers. Conversely, thermal conductivity, the ability of a fluid to transfer heat, often increases with temperature, enhancing heat transport efficiency. Understanding the interplay between temperature and these properties is crucial in fields such as heat exchanger design, industrial cooling, and energy-efficient fluid systems. Postelnicu et al. [34] and Cebeci and Bradshaw [35] reiterated that such an assumption is invalid in many systems. The authors noted a decline of about 240% in water viscosity for a rise in temperature of 80%. In contrast, air viscosity values assumes 0.000006924, 1.3289, 2.286, and 3.625 when the temperature is 1,000, 2,000, 4,000, and 8,000 K, respectively. Akram et al. [5] inspected a boundary layer transport of a magnetized micropolar fluid featuring thermal-dependent fluid characteristics. Akbar et al. [36] employed the shooting procedure, a numerical technique to evaluate the impact of a non-Newtonian fluid's variable fluid properties triggered by a three-dimensional extending sheet. Mottupalle et al. [37] investigated variable thermophysical attributes of a fluid over a moving plate with a dual-diffusive mixed convection type, chemical reaction, Joule, and viscous heating. Taj et al. [38] assessed the impact of thermal radiation on a mixed convective transport of tangent hyperbolic fluid experiencing thermal-dependent viscosity and thermal conductivity featuring Arrhenius chemical reaction over an extending surface. Other relevant works related to variable thermophysical properties of the fluid can be found in previous studies [39,40]. However, none of the aforementioned studies have discussed a two-phase Marangoni convective flow featuring variable viscosity and thermal conductivity despite the numerous engineering applications derivable from such an investigation. Solar radiation assisted with natural convection in a uniform porous medium supported by a vertical flat plate analyzed by Krishna et al. [41]. Natural convective boundary layer flows over a horizontal plate embedded in a porous medium saturated with an NF was analyzed by Gorla and Chamkha [42]. Mixed convective boundary layer flows over a vertical wedge embedded in a porous medium saturated with an NF were analyzed by Gorla et al. [43]. EMHD flow of radiative second-grade NF over a Riga plate due to convective heating: revised Buongiorno’s NF models were examined by Gangadhar et al. [44]. Hydromagnetic three-dimensional free convection on a vertical stretching surface with heat generation or absorption was examined by Chamkha [45]. Hydromagnetic natural convection from an isothermal inclined surface adjacent to a thermally stratified porous medium was studied by Chamkha [46]. Hydromagnetic combined heat and mass transfer by natural convection from a permeable surface embedded in a fluid-saturated porous medium were analyzed by Chamkha and Khaled [47].

1.1 Problem statement

Despite the increased attention on heat transport along a sheet close to a stagnation point, previous researchers have not yet explored the magneto-Marangoni convective flow discussed in this current study. Motivated by the significance of the stagnation point and the benefits of dusty tangent hyperbolic NF flow in enhancing the thermal transport process, the present research aims to investigate the convective flow driven via magneto-Marangoni forces in a dusty NF consisting of copper particles dispersed in ethanol, flowing over a surface. The study includes investigating the influences of Dufour–Soret effects, temperature-dependent heat source, thermophoresis-induced particle deposition, chemical reaction, activation energy, variable thermal conductivity and viscosity, and gyrotactic micro-organisms. This study introduces the innovative use of dusty tangent hyperbolic NF (copper–ethanol) under the influence of the magneto-Marangoni convective mechanism. The combined inclusion of a dusty phase (particle–fluid interaction) and tangent hyperbolic rheological behavior has not been widely explored in existing research. The novelty lies in demonstrating how this combination can enhance heat transfer, momentum distribution, and mass transport for industrial applications. Numerical solutions are obtained using the Gegenbauer wavelets collocation-based scheme and computed numerically using mathematical software, while various tables and figures have been constructed to showcase the relevance of the parameters involved in the flow, heat, and mass transfer. Therefore, given the numerous engineering applications, the current study aims to fill a significant gap in the literature by investigating the dynamics of a two-phase dusty fluid flow, heat propagation, and mass transfer of the Marangoni convective transport mechanism using a magnetized tangent hyperbolic NF containing microorganisms. The broad engineering applications of the magnetized tangent hyperbolic fluid coupled with the Marangoni fluid flows and dusty fluids have inspired this study. This research can potentially revolutionize thermal electronic management, surface coating and printing phenomenon, materials processing, biomedical engineering, and energy systems. Thus, this research has a compelling and novel contribution to the field of thermal engineering.

1.2 Why the use of the Gegenbauer wavelet collocation-based scheme (GWCBS)

The GWCBS was chosen for this study because of its impressive track record in previous research. The numerical method was introduced in the investigation of a problem with a three-dimensional NF bio-convection model by Usman et al. [48]. The first research paper [49] published with the Gegenbauer wavelet collocation-based technique was about speed flow distribution and thermal and mass transport of rotating NFs containing Ag, Cu, Al2O3, TiO2, and CuO in the presence of a magnetic field; subsequently, this technique was capable of implementing the coupled nonlinear ordinary differential equations well and numerically solve relatively more accurate compared to past techniques. The Gegenbauer wavelet collocation-based technique has been applied in numerous studies involving different physics models and geometries, demonstrating superior accuracy in solving the governing equations when compared to alternative methods, as evidenced in previous studies [50,51].

2 Description of the mathematical demonstration

  • Ethanol is considered a base liquid (BL).

  • Thermal radiative flow is the relaxation time of the dust particles.

  • Marangoni convection, chemical reaction, and activation energy.

  • Bioconvection, heat source (temperature dependent).

  • Fluid–particle interaction, thermophoretic, and dust phase (DP).

  • Magnetic field and volume fraction of copper (Cu).

  • Non-Newtonian tangent hyperbolic liquid.

2.1 Physical description

  • Consider the flow of a dusty NF influenced by Marangoni convection over a surface near a stagnation point located at y = 0.

  • The applications of Marangoni and Dufour and Soret numbers, thermophoretic, and chemical reactions are considered.

  • The coordinates x and y are considered perpendicular and vertical to the flow, given that the flow is restricted to the region where y is greater than or equal to zero (y ≥ 0).

  • Moreover, the speed in the free stream is regarded as A e ( x ) = ex , as shown in Figure 1.

  • The fluid contains uniformly dispersed spherical dust particles and contains microorganisms. The nanocomposite consists of copper (Cu) NPs and ethanol-based fluid, as illustrated in Figure 1(b).

  • Adding NPs to sugarcane waste enhances the fermentation process when combined with ethanol, resulting in increased ethanol production due to its base fluid (BF) properties.

  • A magnetic field with a constant strength is applied along the y-axis.

  • The practical applications of nanomaterials and the physical utilization of NF are depicted in Figure 1.

The following equation characterizes the Marangoni convection phenomenon, which holds significant implications for thermal exchanger manufacturing processes [4]:

(1) σ = σ 0 [ 1 γ ϕ ( ϕ ϕ ) γ W ( W W ) ] γ W = σ W ϕ , γ ϕ = σ ϕ W .

Figure 1 
                  (a) Physical view of the flow, and (b) applications and usage of nanomaterials.
Figure 1

(a) Physical view of the flow, and (b) applications and usage of nanomaterials.

Viscosity ( μ * ( ϕ ) ) and thermal conductivity ( K * ( ϕ ) ) dependent on the temperature can be described [34] as follows:

(2) μ * ( ϕ ) = μ nf 1 + λ 1 ϕ ϕ ϕ H ϕ ,

(3) K * ( ϕ ) = k nf 1 + λ ϕ ϕ ϕ H ϕ .

Here, λ is the variable thermal conductivity, λ 1 is the variable viscosity parameter, σ 0 is the surface tension, γ W are the surface tension coefficients for the concentration, and γ ϕ are the surface tension coefficients for the temperature.

2.2 Geometric flow structure

Following the above assumptions, the model governing equations for both the fluid and particle phases are expressed as follows [5,37,52 53 54].

2.2.1 First phase (for fluid)

(4) A x + B y = 0 ,

(5) ρ nf A A x + B A y = y μ * ( T ) ( 1 n ) A y + 2 n Γ A y 2 + A e d A e d x + ρ p τ v ( A p A ) + σ nf B 0 2 ( A e A ) ,

(6) ( ρ c p ) nf A ϕ x + B ϕ y = y K * ( ϕ ) ϕ y y ( q r ) + Q 0 ( ϕ ϕ ) + Q 1 ( ϕ W ϕ ) × e my d v f + ( μ * ( ϕ ) ) ( 1 n ) × + n Γ 2 A y A y 2 + D m k ϕ C m 2 R y 2 + ρ p c m τ t ( ϕ p ϕ ) + ρ p τ v ( A p A ) 2 ,

(7) A R x + B R y = D m 2 R y 2 + ρ p ρ τ C ( R p R ) + D m k ϕ ϕ m 2 ϕ y 2 y k 1 v T ref ϕ y ( R R ) k r 2 ( R R ) ϕ ϕ m exp E a K ϕ ,

(8) A Z x + B Z y = D n 2 Z y 2 b W c ( R W R ) Z y R y + Z 2 R y 2 + ρ p ρ τ m ( Z p Z ) .

2.2.2 Second phase (for dust particles)

(9) A p x + B p y = 0 ,

(10) A p A p x + B p B p y = K m ( A A p ) ,

(11) ρ p W m A p ϕ x + B p ϕ y = ρ p W m τ T ( ϕ ϕ p ) ,

(12) A p R p x + B p R p y = 1 τ c ( R R p ) ,

(13) A p Z p x + B p Z p y = 1 τ m ( Z Z p ) .

The corresponding boundary conditions are given by [14]

μ nf A y = σ x = σ 0 γ ϕ ϕ x + γ c W x , at y = 0 ,

B = 0 , ϕ = ϕ H ,

W = W H , Z = Z H , at y = 0 ,

A A e ( x ) , A p A e ( x ) ,

B p B , at y ,

(14) ϕ ϕ , W p W , Z Z , Z p Z , ϕ p ϕ , W W , at y .

The symbols and descriptions utilized in the above equation are provided in Table 1.

Table 1

Symbols and description in the governing equations

Description Symbols Description Symbols
Solute gradient coefficients a, f Specific heat of the dust particle C m
Specific heat of the fluid ϕ p Particle density ρ p
Dynamic viscosity μ nf
Velocity fields of particle phase A p , B p Microorganism gradient coefficients c, f
Reference temperature ϕ ref Power law index n
Relaxation time of the dust particles τ v Surface tension σ
Temperature gradient coefficients a, e Thermal conductivity k f
Free stream velocity A e Radius of the dust particle r
Maximum cell swimming speed W c Radiative heat flux q r
Kinematic viscosity v f Coefficient of drag Stokes K ρ τ C
Mass diffusivity coefficient D m Thermal relaxation time τ t
Uniform magnetic field B 0 Thermophoretic coefficient k 1
Activation energy coefficient E a Diffusivity of microorganisms D n

2.3 Physical quantities of the NFs and BF

The thermophysical quantities within the momentum and temperature field equations play an important function in determining the heat utilization efficiency and flow properties of NFs. The thermophysical properties are influenced by particular attributes of both dispersed NPs and the surrounding fluid. The diverse characteristics of these features make it impossible to predict them using a universal mathematical expression. Therefore, it is necessary to establish distinct relationships to accurately estimate each of these characteristics. Several theoretical models are put forward in the literature for a single aspect, and these models are confirmed through experimental testing. The focus of this section is to explore fundamental mathematical relationships concerning the spread of single NPs, followed by expanding these relationships to include the NPs. In this present work, ethanol is considered a BL, and copper (Cu) is the NP. However, utilizing copper NPs suspended in ethanol as a fundamental water presents many advantages, remarkably in fields like employing NFs for increasing thermal transport and lubrication purposes of engineering and industrial uses. The physical quantities of the NFs are listed as follows [28]:

Viscosity: μ nf = μ f ( 1 ) 2.5 , μ nf = β 1
Density: ρ nf = ϕ ρ nf ρ f ( 1 ϕ ) ρ nf = β 2
Electrical conductivity: σ nf σ f = ( σ s 1 ( 1 + ( s 1 ) ϕ ) ( s 1 ) σ f ( 1 ϕ ) σ s 1 + ( s 1 ) k f + σ s 1 ( ( s 1 ) + ϕ ) σ nf σ f = β 3
Thermal conductivity: k nf k f = ( k s 1 + ( s 1 ) k f ) ( s 1 ) ( k f k s 1 ) ( k s 1 + ( s 1 ) k f ) + ϕ ( k f k s 1 ) k nf k f = β 4
Heat capacitance: ( ρ c p ) nf ( ρ c p ) f = ϕ ( ρ c p ) s 1 ( ρ c p ) f ( 1 ϕ ) ( ρ c p ) nf ( ρ c p ) f = β 5

In addition, Table 2 displays the thermophysical properties of NPs (copper) and BF (ethanol).

Table 2

Thermophysical characteristics of NPs (copper) and the BF (ethanol)

ρ ( kg· m 3 ) C p ( kg 1 ·K ) k ( mK 1 )
Ethanol
789 4,338 0.17
Copper
8,933 385 400

3 Transformations

The stream function and similarity transformations are as follows [55]:

(15) A p = dx p ( χ ) , v p = ( vd ) 1 5 p ( χ ) ρ p = mN ,

(16) A = dx q ( χ ) , B = ( vd ) 1 5 q ( χ ) , χ = y d v 0.5 ,

(17) ϕ ( x , y = ϕ + ( ϕ H ϕ ) φ ( χ ) , ϕ p ( x , y ) = ϕ + ( ϕ H ϕ ) φ p ( χ ) ,

(18) W ( x , y ) = W + ( W H W ) ϑ ( χ ) , W P ( x , y ) = W + ( W H W ) ϑ p ( χ ) ,

(19) Z ( x , y ) = Z + ( Z H Z ) Ω ( χ ) , Z p ( x , y ) = Z + ( Z H Z ) Ω p ( χ ) .

The aforementioned equations specify the terms used in more detail as follows:

(20) ϕ H = ϕ 0 + I x 2 , Z p ( x , y ) = Z + ( Z H Z ) Ω p ( χ ) .

ϕ H = ϕ 0 + a x 2 , W H = W 0 + b x 2 , Z H = Z 0 + c x 2 ,

(21) ϕ H = ϕ 0 + d x 2 , W H = W 0 + e x 2 , Z H = Z 0 + f x 2 .

3.1 First phase

(22) β 1 ( 1 + λ 1 φ ( χ ) ) q ( χ ) ( ( 1 n ) + n We q ( χ ) ) + ε 2 + β 3 M ( λ q ( χ ) ) + β 2 ( q ( χ ) q ( χ ) ( q ( χ ) ) 2 ) + β v ω ( p ( χ ) q ( χ ) ) + β 1 λ 1 φ ( χ ) ( ( 1 n ) q ( χ ) + n We ( q ( χ ) ) 2 ) = 0 ,

(23) β 4 φ ( χ ) ( 1 + λ φ ( χ ) ) + λ ( φ ( χ ) ) 2 + 4 3 Rd φ ( χ ) + β 5 Pr ( q ( χ ) φ ( ξ ) 2 φ ( χ ) φ ( χ ) ) + Pr γ ω β t [ φ p ( χ ) φ ( χ ) ] + PrEc β v ω ( q ( χ ) q ( χ ) ) 2 + PrEc β 1 ( ( 1 n ) + n Weq ( χ ) ) ( q ( χ ) ) 2 ( 1 + λ 1 φ ( χ ) ) + Pr Q t φ ( χ ) + Pr Q e e ( n χ ) + PrDu ϕ ( χ ) = 0 ,

(24) ϑ ( χ ) + Le ( f ( χ ) ϑ ( χ ) 2 q ( χ ) ϑ ( χ ) ) ϑ ( χ ) + Le ( f ( χ ) ϑ ( χ ) 2 q ( χ ) ϑ ( χ ) ) + Le β c [ ϑ p ( χ ) ϑ ( χ ) ] τ Le ( ϑ ( χ ) φ ( χ ) ) + ϑ ( χ ) φ ( χ ) ) RcLe ( 1 + δ φ ( χ ) ) m exp × E 1 + δ φ ϑ ( χ ) + Sr φ ( χ ) = 0 ,

(25) Ω ( χ ) Pe [ Ω ( χ ) ϑ ( χ ) + ( Ω + Ω ( χ ) ) ϑ ( χ ) ] + Lb ( q ( χ ) Ω ( χ ) 2 f ( χ ) Ω ( χ ) ) + ω β m Lb [ Ω p ( χ ) Ω ( χ ) ] = 0 .

3.2 Second phase

(26) p ( χ ) p ( χ ) p ( χ ) 2 + β v ( q ( χ ) p ( χ ) ) = 0 ,

(27) p ( χ ) φ p ( χ ) 2 p ( χ ) φ p ( χ ) + β t ( φ ( χ ) φ p ( χ ) ) = 0 ,

(28) ( p ( χ ) ϑ p ( χ ) 2 g ( χ ) ϑ p ( χ ) ) + β c ( ϑ ( χ ) ϑ p ( χ ) ) = 0 ,

(29) ( p ( χ ) Ω p ( χ ) 2 p ( χ ) Ω p ( χ ) ) + β m ( Ω ( χ ) Ω p ( χ ) ) = 0 ,

with boundary conditions

(30) β 1 q ( 0 ) = 2 ( 1 + Ma ) , q ( 0 ) = 0 ,

(31) q ( ) = λ , p ( ) = λ , p ( ) = q ( ) = 0 ,

(32) φ ( 0 ) = 1 , φ ( ) = 0 , φ p ( ) = 0 ,

(33) ϑ ( 0 ) = 1 , ϑ ( ) = 0 , ϑ p ( ) = 0

(34) Ω ( 0 ) = 1 , Ω ( ) = 0 , Ω p ( ) = 0 .

3.3 Dimensionless parameters

The nomenclature and symbols that are used in this study are presented in Table 3.

Table 3

Description of the symbols

Fluid–particle interaction parameter for bioconvection β m = 1 d τ m Marangoni ratio Ma = C 0 γ C T 0 γ ϕ
Prandtl number Pr = μ f C p k f Temperature-dependent heat source parameter Q T = Q 0 ( ρ C p )
Chemical reaction parameter Rc = K τ 2 d Dufour number Du = D m K ϕ ( R H R ) C p C S ( ϕ H ϕ )
Microorganisms’ concentration ζ = Z ( Z H Z ) Soret number Sr = D m K T ( ϕ H ϕ ) ϕ W ( R H R )
Activation energy parameter E = Ea K ϕ x Magnetic parameter M = σ f B y 2 d ρ f
Bioconvection Lewis number Lb = a D n Eckert number Ec = u ω 2 C p ( ϕ m ϕ )
Concentration interaction parameter β c = 1 d τ c Exponential-dependent heat source Q e = Q 1 d ( ρ C p ) f
Free stream velocity parameter E = e d Temperature difference δ = ( ϕ H ϕ ) ϕ
Thermophoretic parameter τ = k s ( ϕ H ϕ m ) d v f T ref Lewis number Le = a D m
Dust particles mass concentration parameter ω = Nm ρ f Thermal radiation parameter Rd = 4 σ * ϕ e 3 k * k f
Fluid–particle interaction parameter β v = 1 d τ v Bioconvection Peclet number Pe = b Wc D n
Thermal interaction parameter β t = 1 d τ t Dust particle's relaxation time τ v = m K

4 Physical quantities of engineering interest

The local surfaces drag coefficients, Nusselt numbers, and local Sherwood are expressed as follows:

C fx = τ w ρ f U w 2 , τ w = μ nf 1 + λ 1 ϕ ϕ ϕ W ϕ ( 1 n ) A y + n Γ 2 A y 2

simplified to

(33 C fx ( Re x ) 0.5 = β 1 ( 1 + λ 1 φ ) ( ( 1 n ) q ( 0 ) + 1 2 n We ( q ( 0 ) ) 2 ,

Nu x = x q w k f ( T W T ) , q w = k nf 1 + λ ϕ ϕ ϕ w ϕ + 16 λ 3 σ * 3 k * ϕ y y = 0 ,

simplified to

(34) N u x ( R x ) 0.5 = β 5 ( 1 + λ φ ) + 4 3 Rd φ ( 0 ) ,

Sh x = x q m D m ( W H W ) , q m = D m W y y = 0

simplified to

(35) Sh X ( Re x ) 0.5 = ϑ ( 0 ) ,

Nu x = x q w k f ( ϕ H ϕ ) , q n = D n Z y y = 0 ,

simplified to

(36) Nn x ( Re x ) 0.5 = Ω ( 0 ) .

5 Numerical solution

5.1 Wavelets and Gegenbauer wavelets scheme (WGWS)

Recently, there have been numerous alterations made to methods based on wavelets. The focus of this study is on presenting a novel enhancement to the original WGWS by incorporating the Galerkin scheme. The proposed method offers a fundamental benefit compared to the WGWS by decreasing the amount of computational effort required. The diagram illustrating the algorithm under consideration is shown in Figure 1b. The following steps outline a user-friendly, straightforward, and simple method as proposed.

Step 1 begins by considering equations (20)–(27):

(37) β 1 ( 1 + λ 1 φ ( χ ) ) q ( χ ) ( ( 1 n ) + n We q ( χ ) ) + ε 2 + β 3 M ( λ q ( χ ) ) + β 2 ( q ( χ ) q ( χ ) ( q ( χ ) ) 2 ) + β v ω ( p ( χ ) q ( χ ) ) + β 1 λ 1 φ ( χ ) ( ( 1 n ) q ( χ ) + n We ( q ( χ ) ) 2 ) = 0 ,

(38) p ( χ ) p ( χ ) p ( χ ) 2 + β v ( q ( χ ) p ( χ ) ) = 0 ,

(39) β 4 φ ( χ ) ( 1 + λ φ ( χ ) ) + λ ( φ ( χ ) ) 2 + 4 3 Rd φ ( χ ) + β 5 Pr ( q ( χ ) φ ( ξ ) 2 φ ( χ ) φ ( χ ) ) + Pr γ ω β t [ φ p ( χ ) φ ( χ ) ] + PrEc β v ω ( q ( χ ) q ( χ ) ) 2 + Pr Ec β 1 ( ( 1 n ) + n We q ( χ ) ) ( q ( χ ) ) 2 ( 1 + λ 1 φ ( χ ) ) + Pr Q t φ ( χ ) + Pr Q e e ( n χ ) + PrDu ϕ ( χ ) = 0 ,

(40) p ( χ ) φ p ( χ ) 2 p ( χ ) φ p ( χ ) + β t ( φ ( χ ) φ p ( χ ) ) = 0

(41) ϑ ( χ ) + Le ( f ( χ ) ϑ ( χ ) 2 q ( χ ) ϑ ( χ ) ) + Le β c [ ϑ p ( χ ) ϑ ( χ ) ] τ Le ( ϑ ( χ ) φ ( χ ) + ϑ ( χ ) φ ( χ ) ) RcLe ( 1 + δ φ ( χ ) ) m exp × E 1 + δ φ ϑ ( χ ) + Sr φ ( χ ) = 0 ,

(42) ( p ( χ ) ϑ p ( χ ) 2 g ( χ ) ϑ p ( χ ) ) + β c ( ϑ ( χ ) ϑ p ( χ ) ) = 0

(43) Ω ( χ ) Pe [ Ω ( χ ) ϑ ( χ ) + ( Ω + Ω ( χ ) ) ϑ ( χ ) ] + Lb ( q ( χ ) Ω ( χ ) 2 f ( χ ) Ω ( χ ) ) + ω β m Lb [ Ω p ( χ ) Ω ( χ ) ] = 0 .

(44) ( p ( χ ) Ω p ( χ ) 2 p ( χ ) Ω p ( χ ) ) + β m ( Ω ( χ ) Ω p ( χ ) ) = 0 .

Step 2 involves presenting the trial solutions proposed via the original WGWS [30] for inspecting the numerical solutions of the given problem (37)–(44).

(45) q ( χ ) = r = 1 2 E 1 s = 0 m 1 Ψ r , s 1 Π r , s ( χ ) = N 1 c Π ( χ ) ,

(46) p ( χ ) = r = 1 2 E 1 s = 0 m 1 Ψ r , s 1 Π r , s ( χ ) = N 2 c Π ( χ ) ,

(47) φ ( χ ) = r = 1 2 E 1 s = 0 m 1 Ψ r , s 1 Π r , s ( χ ) = N 3 c Π ( χ ) ,

(48) φ p ( χ ) = r = 1 2 E 1 s = 0 m 1 Ψ r , s 1 Π r , s ( χ ) = N 4 c Π ( χ ) ,

(49) ϑ ( χ ) = r = 1 2 E 1 s = 0 m 1 Ψ r , s 1 Π r , s ( χ ) = N 5 c Π ( χ ) ,

(50) ϑ p ( χ ) = r = 1 2 E 1 s = 0 m 1 Ψ r , s 1 Π r , s ( χ ) = N 6 c Π ( χ ) ,

(51) Ω ( χ ) = r = 1 2 E 1 s = 0 m 1 Ψ r , s 1 Π r , s ( χ ) = N 7 c Π ( χ ) ,

Ω p ( χ ) = r = 1 2 E 1 s = 0 m 1 Ψ r , s 1 Π r , s ( χ ) = N 8 c Π ( χ ) .

The matrices N 1 R , N 2 R , N 3 R , N 4 R , N 5 R , N 6 R , N 7 R , N 8 R in the above equations are given as N i = [ Ψ 1,0 r , Ψ 1,1 r , Ψ 1,2 r ] R , r = 1, 2, 3. The solutions outlined can be modified as follows:

(52) q ( χ ) = E 1 R ς ( η ) , p ( χ ) = E 2 R ς ( η ) , φ ( χ ) = E 3 R ς ( η ) , φ p ( χ ) = E 4 R ς ( η ) , ϑ ( χ ) = E 1 R ς ( η ) , = E 2 R ς ( η ) , Ω ( χ ) = E 3 R ς ( η ) , Ω p ( χ ) = E 4 R ς ( η ) .

The following are the trial solutions outlined above:

(53) q ( χ ) = k = 0 n Ψ k 1 χ k , p ( χ ) = k = 0 n Ψ k 2 χ k , φ ( χ ) = k = 0 n Ψ k 3 χ k , φ p ( χ ) = k = 0 n Ψ k 4 χ k , ϑ ( χ ) = k = 0 n Ψ k 5 χ k , ϑ p ( χ ) = k = 0 n Ψ k 6 χ k , Ω ( χ ) = k = 0 n Ψ k 7 χ k , Ω p ( χ ) = k = 0 n Ψ k 8 χ k ,

Step 3 involves deriving the following expressions by substituting the simplified trial solutions into equations (37)–(44):

(54) β 1 ( 1 + λ 1 φ ( χ ) ) q ( χ ) ( ( 1 n ) + n We q ( χ ) ) + ε 2 + β 3 M ( λ q ( χ ) ) + β 2 ( q ( χ ) q ( χ ) ( q ( χ ) ) 2 ) + β v ω ( p ( χ ) q ( χ ) ) + β 1 λ 1 φ ( χ ) ( ( 1 n ) q ( χ ) + n We ( q ( χ ) ) 2 ) = 0 ,

(55) p ( χ ) p ( χ ) p ( χ ) 2 + β v ( q ( χ ) p ( χ ) ) = 0 ,

(56) β 4 φ ( χ ) ( 1 + λ φ ( χ ) ) + λ ( φ ( χ ) ) 2 + 4 3 Rd φ ( χ ) + β 5 Pr ( q ( χ ) φ ( χ ) 2 φ ( χ ) φ ( χ ) ) + Pr γ ω β t [ φ p ( χ ) φ ( χ ) ] + PrEc β v ω ( q ( χ ) p ( χ ) ) 2 + PrEc β 1 ( ( 1 n ) + n We q ( χ ) ) ( q ( χ ) ) 2 ( 1 + λ 1 φ ( χ ) ) + Pr Q t φ ( χ ) + Pr Q e e ( n χ ) + PrDu ϕ ( χ ) = 0 ,

(57) p ( χ ) φ p ( χ ) 2 p ( χ ) φ p ( χ ) + β t ( φ ( χ ) φ p ( χ ) ) = 0 ,

(58) ϑ ( χ ) + Le ( f ( χ ) ϑ ( χ ) 2 q ( χ ) ϑ ( χ ) ) + Le β c [ ϑ p ( χ ) ϑ ( χ ) ] τ Le ( ϑ ( χ ) φ ( χ ) + ϑ ( χ ) φ ( χ ) ) RcLe ( 1 + δ φ ( χ ) ) m exp × E 1 + δ ϑ ϑ ( χ ) + Sr φ ( χ ) = 0 ,

(59) ( p ( χ ) ϑ p ( χ ) 2 q ( χ ) ϑ p ( χ ) ) + β c ( ϑ ( χ ) ϑ p ( χ ) ) = 0 ,

(60) Ω ( χ ) Pe [ Ω ( χ ) ϑ ( χ ) + ( Ω + Ω ( χ ) ) ϑ ( χ ) ] + Lb ( q ( χ ) Ω ( χ ) 2 f ( χ ) Ω ( χ ) ) + ω β m Lb [ Ω p ( χ ) Ω ( χ ) ] = 0 ,

(61) ( p ( χ ) Ω p ( χ ) 2 p ( χ ) Ω p ( χ ) ) + β m ( Ω ( χ ) Ω p ( χ ) ) = 0 .

To examine the collection of constants Ψ 0 r , Ψ 1 r , Ψ 3 r , r = 1, 2, 3, it is necessary to create a system of algebraic equations. Consequently, we will utilize the specified collocation point to align equations (54)–(61) accordingly:

χ χ = k N 4 χ , k = 1, 2, 3, N−23, χ χ = k N 3 χ , k = 1, 2, 3, N−3, χ χ = k N 2 χ , k = 1, 2, 3, N−3,

(62) χ χ = χ N 2 χ , k = 1 ,   2 ,   3 , N 3 .

The values of Ψ s were determined after solving the system of algebraic equations mentioned above. Substituting the values of Ψ s into equations (20)–(27) gives the corresponding values of Ψ s .

6 Results and discussion

The following section shows graphical results demonstrating the influences of all important parameters. The ranges of the parameters are given as 0.1 M 0.3, 0.2 Ma 0.6, 0.5 Ma 1.5, 0.5 We 1.5, 2 Nr 6, 2 Ec 6, 1.5 Q e 3.0, 1.5 Q t 3.0, 2 D u 6, 1.0 λ 1.5, 2 Rc 6, 3 E 7, and 0.1 Lb 0.3, 0.4 Pe 0.6. The skin friction values ( C fx ) for various values of Ma, β m , We , and L are presented in Table 4. When the values of L increase, the viscosity of the liquid also improves, which leads to an increased C fx . The increase in the β m parameter results in improved interaction between the liquid and particles, causing an increase in the drag force and a greater C fx . As shown in Table 4, both Ma and L increase the rate of heat transfers.

Table 4

Values of skin friction ( C fx ) and Nusselt number ( Nu x ) for various parameters

Skin friction ( C fx ) Nusselt number ( Nu x )
Ma 0.4 1.5257 0.8432
0.5 1.5257 0.8576
0.6 1.5257 0.8637
β m 1.0 1.3766 0.4501
1.5 1.3892 0.4498
2.5 1.3901 0.4401
We 0.1 1.2213 0.5435
0.2 1.2116 0.5609
0.3 1.2016 0.5895
L 0.4 1.4324 0.7128
0.5 1.4588 0.7792
0.6 1.4617 0.8214

Magnetic field (M): The speed flow distribution q ( χ ) is influenced by different magnetic field (M) values, as illustrated by the six curves in Figure 2a. The intensity of the magnetic field increases when the values of the magnetic field are 0.1, 0.2, and 0.3. Therefore, q ( χ ) and P ( χ ) decrease as the M parameter increases for both the fluid phases (FPs) and DPs, as shown in Figure 2a. The Lorentz drag force, induced via a magnetic field, operates against the movement of both FP and DP. q ( χ ) for both FP and DP reduce as M raises due to the opposing force that restricts the movement of the phases. The FP is classically less dense compared to the DP. The inertia of the DP is more significant than that of the FP due to the elevated density of the DP compared to the FP. To modify the speed of the particle, a greater force is needed when the inertia is raised. Therefore, the effect of M on the decelerated heavier DP is less important than its impact on lighter FP. Physically, q ( χ ) of both FP and DP are reduced via the M parameter by the influence of the Lorentz force [41,42]. The FP encounters a substantial reduction in q ( χ ) and P ( χ ) compared to the DP, as the lowered movement of the liquid weakens the drag force that acts on the DP.

Figure 2 
               (a) Speed flow distribution for increasing M, (b) velocity field for improving Ma, (c) influence of W
                  e on the flow rate profile, and (d) influence of W
                  e on the thermal profile.
Figure 2

(a) Speed flow distribution for increasing M, (b) velocity field for improving Ma, (c) influence of W e on the flow rate profile, and (d) influence of W e on the thermal profile.

Marangoni ratio parameter (Ma): The Marangoni ratio parameter (Ma) is generally described as a quantity of dimension that compares the rate of transfer caused via Marangoni flows to the speed of diffusion transfer. Figure 2b reveals how improving the Ma increases q ( χ ) for both FP and DP. By increasing Ma, q ( χ ) and P ( χ ) for both FP and DP increase. This is attributed to the intense surface tension gradients linked with a higher Ma, which in turn drives the movement of the liquid. The FP exhibits a higher velocity profile compared to the DP due to two primary factors. DP is commonly smaller than the FP. Therefore, it possesses superior inertia, making it more challenging to speed up to match the speed of the FP. Physically, the influence of the Marangoni ratio parameter can be employed in oil extraction to boost the effectiveness of recovering heavy oil, thereby strengthening the extraction rates [4345].

Weissenberg number (We): The Weissenberg number, a dimensionless quantity in rheology, indicates the ratio between the time required for elastic relaxation and the distinctive time scale of the flow. However, it signifies how substantial elastic forces are in relation to viscous forces within a fluid system. When We is significantly above 1, it indicates that the liquid demonstrates elastic features. On the other hand, when the We is significantly below 1, it signifies viscous performance in the fluid. Figure 2c shows q ( χ ) and P ( χ ) corresponding to various values of We. When We increases, the p ( χ ) of the FP becomes more uniform. The liquid encounters a decrease in the rate at which shear occurs. The elevated elasticity of the liquid at higher We is the reason behind this occurrence. Liquids that are elastic have a tendency to resist changes in shape when subjected to shear forces, resulting in a more consistent spread of speed throughout the boundary layer flow. The DP of the velocity profile q ( χ ) becomes sharper as We increases. This signifies an elevated shear rate in the DP. Physically, the DP experiences an improved shear rate due to the shear force created via this resistance. Additionally, the power law index has the ability to elucidate two different types of fluids: those that demonstrate pseudoplastic performance (when the index is less than 1) and those that show dilatant features (when the index is greater than 1). The speed flow distribution reduces with increasing values of n connected with shear thinning performance. When the values of the variable We increase, the temperatures of both the NF and DPs also increase (Figure 2d). As the concentration of NPs in a tangent hyperbolic fluid increases, the resistance and fluid temperature also increase [46,47].

Thermal radiation (Nr) and Eckert number (Ec): Thermal radiation refers to the electromagnetic radiation released due to the thermal movement of particles within a substance. Thermal radiation does not influence φ ( χ ) and φ p ( χ ) . The fluid system experiences an increase in temperature ( φ ( χ ) ) due to the occurrence of thermal radiation. The impact of thermal radiation on the profiles φ ( χ ) and ϑ p ( χ ) for both FPs and DPs is depicted in Figure 3a. When the thermal distribution increases, φ ( χ ) also increases. The thermal radiation heat transport becomes dominant over conductive heat transport with increasing values of Nr = 2, 4 ,6. When there is an intensified transmission of heat via thermal radiation, it can indeed result in an improvement of the thermal distribution. In reality, a larger amount of heat emitted through thermal radiation indicates a higher level of radiation in comparison to convection. The increase can be explained by the transformation of heat radiation into electromagnetic energy, resulting in a widening of the spectrum of surface-emitted radiation. Hence, it is significant to consider Nr when investigating the temperature of the fluid within the system. As a result, the FPs exhibit a greater fluid temperature compared to the DPs. The correlation between the kinetic energy and enthalpy of the flow is distinguished via the Ec. The process described involves creating internal energy by exerting pressure on the forces within a fluid system. As a result of the amplified heat dissipation due to viscosity, the thickness of the thermal boundary layer intensified in both DP and FP (Figure 3b).

Figure 3 
               (a) Impact of Nr on the thermal transport field, (b) thermal transport field for diverse Ec, (c) influence of 
                     
                        
                        
                           
                              
                                 Q
                              
                              
                                 e
                              
                           
                        
                        {Q}_{e}
                     
                   on the thermal profile, and (d) the thermal transport field for diverse 
                     
                        
                        
                           
                              
                                 Q
                              
                              
                                 t
                              
                           
                        
                        {Q}_{t}
                     
                  .
Figure 3

(a) Impact of Nr on the thermal transport field, (b) thermal transport field for diverse Ec, (c) influence of Q e on the thermal profile, and (d) the thermal transport field for diverse Q t .

Heat source (temperature-dependent) coefficient and temperature-dependent heat source parameter: Figure 3c and 3d shows the effect of Q e and Q t on the profiles of φ ( χ ) and ϑ p ( χ ) in scenarios involving two phases. The temperature of the FP consistently exceeds that of the DP, as indicated by the curves in Figure 3c. The reason for this effect is that the FP has a larger heat capacity compared to the DP. The Q e parameter causes an increase in thermal distribution for both the DP and dust FP. φ ( χ ) increases as the value of Q t increases. This connection is attributed to the fact that Q t indicates the heat input term in the energy equations that describe thermal transport in both phases. Adding more heat to the system, indicated by an increased heat source term, leads to an increase in the temperature (Figure 3d).

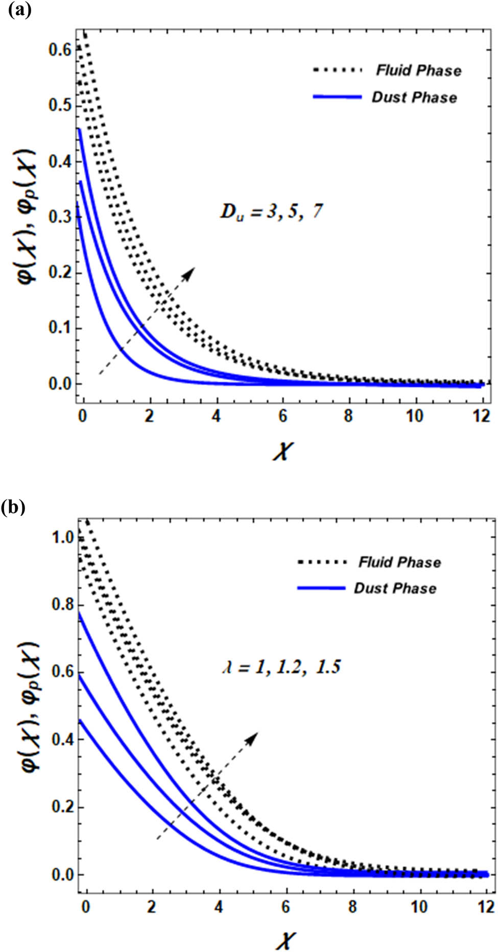
Dufour number ( D u ) and variable thermal conductivity parameter ( λ ): The Dufour number quantifies how concentration gradients influence the thermal energy flow within the fluid motion. Figure 4(a) and (b) illustrate the representation of D u and λ for the fluid and DPs, respectively. The influence of Dufour is the heat flux induced by a difference in concentration. When the influence of Dufour is absent, φ ( χ ) indicates a reduction, while it shows an increase when the influence of Dufour is considered. A high Dufour number indicates that thermal diffusion (the transfer of heat due to temperature gradients) significantly influences mass diffusion (the transfer of species due to concentration gradients). The thickness of the thermal boundary layer substantially increases as the Du arises, leading to an apparent intensification of the boundary layer flow. φ ( χ ) of both the tangent hyperbolic NF and DF increase as the value of D u increases. When the λ of a variable increases, it leads to an increase in the fluid's thermal conductivity. This relationship is seen due to the greater values of λ . This behavior is shown in Figure 2.

Figure 4 
               (a) Effect of 
                     
                        
                        
                           
                              
                                 D
                              
                              
                                 u
                              
                           
                        
                        {D}_{{\rm{u}}}
                     
                   on 
                     
                        
                        
                           φ
                           (
                           χ
                           )
                        
                        \varphi \left(\chi )
                     
                   and 
                     
                        
                        
                           
                              
                                 ϑ
                              
                              
                                 p
                              
                           
                           (
                           χ
                           )
                        
                        {{\rm{\vartheta }}}_{p}\left({\rm{\chi }})
                     
                  . (b) Impact of 
                     
                        
                        
                           λ
                        
                        \lambda 
                     
                   on 
                     
                        
                        
                           φ
                           (
                           χ
                           )
                        
                        \varphi \left(\chi )
                     
                   and 
                     
                        
                        
                           
                              
                                 ϑ
                              
                              
                                 p
                              
                           
                           (
                           χ
                           )
                        
                        {{\rm{\vartheta }}}_{p}\left({\rm{\chi }})
                     
                  .
Figure 4

(a) Effect of D u on φ ( χ ) and ϑ p ( χ ) . (b) Impact of λ on φ ( χ ) and ϑ p ( χ ) .

Chemical reaction (Kr) and activation energy (E): A chemical reaction (Kc) results in changing one group of chemical substances into a different set. When Kc takes place, the atoms experience rearrangement, leading to the formation of new products along with a change in energy. Figure 5(a) and (b) demonstrates how activation energy and chemical reaction affect the profiles mass concentration profile for both the FP and DP, respectively. When Kc increases, ϑ ( χ ) and ϑ p ( χ ) of FP and DP decreases accordingly. This indicates that an improved rate of reaction results in more reactants being used up, causing a reduction in the mass concentration. Physically, a greater concentration of the FP is expected due to the smaller surface area of DP. This effect reveals that the FP steadily maintains a greater concentration than the DP. The activation energy in the Arrhenius model for reaction rates signifies the smallest energy t required by reactants to initiate a Kr. Mathematically, it is expressed as E = Ea K T x . Figure 5(b) illustrates that the concentration increases as activation energy improves. The Arrhenius equation mathematically shows that when a Kr slows down due to a decrease in temperature, the effect on ϑ ( χ ) and ϑ p ( χ ) becomes more pronounced (Table 5).

Figure 5 
               (a) Impact of 
                     
                        
                        
                           
                              
                                 D
                              
                              
                                 u
                              
                           
                        
                        {D}_{u}
                     
                   on the species reaction field. (b) Influence of 
                     
                        
                        
                           E
                        
                        E
                     
                   on the mass transfer profile.
Figure 5

(a) Impact of D u on the species reaction field. (b) Influence of E on the mass transfer profile.

Table 5

Comparison of the computational scheme with existing previous studies [33]

β m 0.1 0.2 0.3
Outcome of Malik et al. [1] 0.103889 0.126251 0.139274
Outcome of Obalalu et al. [2] 0.103886 0.126246 0.139270
Current outcome 0.103889 0.126252 0.139273

Bioconvection Peclet number (Pe) and Lewis number (Lb): The distribution profiles of the microorganism are illustrated in Figure 6a to show the effect of Pe. When the effect of diffusion is more significant than advection, there is a lower value, whereas a higher value indicates that advection plays a more significant role in promoting movement. The investigation of free-flowing microorganisms is primarily induced via the bioconvection Peclet number. The bioconvection Peclet number, a dimensionless parameter, is employed to examine biological convection, specifically in the field of fluid dynamics within living organisms. The ratio between the highest speed at which a cell can move and the rate at which microorganisms diffuse is known as the Peclet number (Pe). It was observed that the distribution profiles of the microorganism for both FP and DP decreased. Furthermore, the outcome for Lewis number (Lb) values for bioconvection is shown by distinct lines in Figure 6b. The Lewis number for bioconvection is a dimensionless quantity that illustrates the connection between the diffusion rate of microorganisms and their motility. As shown in Figure 6b, a reduced bioconvection Lewis number value signifies that the microorganisms possess higher swimming ability compared to their diffusion capabilities. However, the concentration of microorganisms is consistently greater in the FP compared to the DP for all values of the bioconvection Lewis number. The physical reason for this effect is that the FP has a greater density compared to the FP, leading to a tendency for microorganisms to gather in denser phases.

Figure 6 
               (a) Effect of Lb on the species reaction field. (b) Species reaction field for different Lb values.
Figure 6

(a) Effect of Lb on the species reaction field. (b) Species reaction field for different Lb values.

7 Conclusion

This current research studies the influence of thermophoretic particle deposition and variable thermal physical properties on magnetized dusty tangent hyperbolic nanoliquid (copper–ethanol) flow with the co-existence of Soret and Dufour effects. The current article also employed the activation energy and magneto-Marangoni convective model near a stagnation point. The key findings of this study can be outlined as follows:

  • φ ( χ ) and φ p ( χ ) increase with increasing values of Q e and Q t .

  • φ ( χ ) and φ p ( χ ) and energy transfer strength increase with increasing Nr, radiation, and Ec values.

  • Increasing values of W e increases the heat transfer and reduces the speed flow distribution.

  • The increase of Pe and LB reduces the speed of the species' reaction field.

  • Large estimate values of E increase the mass transfer profile, while the Kc parameter has the opposite influence.

  • An increase in M leads to a decrease of q ( χ ) and P ( χ ) for both FP and DP.

  • With a higher value of λ and D u parameters, φ ( χ ) and φ p ( χ ) are increased.

  • The present study is applicable in more realistic conditions, for example, biomedicine, heat exchangers, electrochemical, heating, and cooling.

7.1 Limitations of the study

Our research focuses on the effects of a single type of NP (copper) in the tangent hyperbolic fluid. The behavior of multi-type NP systems, which may have synergistic effects on thermal conductivity and viscosity, has not been explored in this study.

7.2 Future recommendations

Future studies could employ more complex geometrical models and investigate applications in real-world systems, such as industrial processes and bioengineering scenarios. Investigating the effects of non-Newtonian behavior in dusty NFs could provide valuable insights, especially in applications where shear-thinning or shear-thickening properties are significant. Future studies should expand this current research by considering different BFs to conduct an experimental investigation to validate the numerical outcomes, different shape factors of NPs, and melting heat for plaque melting.



Acknowledgments

The authors thank the Deanship of Scientific Research, Islamic University of Madinah, Madinah, Saudi Arabia, for supporting this research work.

  1. Funding information: The authors thank the Deanship of Scientific Research, Islamic University of Madinah, Madinah, Saudi Arabia, for supporting this research work.

  2. Author contributions: A.M.O: conceptualization, methodology, software, formal analysis, validation; and writing – original draft. A.Z: writing – original draft, data curation, investigation, visualization, and validation. U.K: conceptualization, writing – original draft, writing – review & editing, supervision, and resources. S.H.M: validation, investigation, writing – review & editing, formal analysis; software; project administration; and funding acquisition.

  3. Conflict of interest: The authors state no conflict of interest.

  4. Data availability statement: The datasets used and/or analyzed during the current study available from the corresponding author on reasonable request.

References

[1] Malik, M. Y., M. Khan, T. Salahuddin, and I. Khan. Variable viscosity and MHD flow in Casson fluid with Cattaneo–Christov heat flux model: Using Keller box method. Engineering Science and Technology, an International Journal, Vol. 19, No. 4, 2016, pp. 1985–1992.10.1016/j.jestch.2016.06.008Search in Google Scholar

[2] Obalalu, A. M., M. O. Oni, U. Khan, A. Abbas, T. Muhammad, and A. Zaib. Two-phase numerical simulation for the heat and mass transfer evaluation across a vertical deformable sheet with significant impact of solar radiation and heat source/sink. Arabian Journal for Science and Engineering, Vol. 49, No. 8, 2024, pp. 11053–11071.10.1007/s13369-023-08585-zSearch in Google Scholar

[3] Gasmi, H., A. M. Obalalu, A. O. Akindele, S. A. Salaudeen, U. Khan, A. Ishak, et al. Thermal performance of a motile microorganism within the two-phase nanofluid flow for the distinct non-Newtonian models on static and moving surfaces. Case Studies in Thermal Engineering, Vol. 58, 2024, id. 104392.10.1016/j.csite.2024.104392Search in Google Scholar

[4] Obalalu, A. M., W. F. Alfwzan, M. A. Memon, A. Darvesh, P. Adegbite, and A. S. Hendy. Energy optimization of quadratic thermal convection on two-phase boundary layer flow across a moving vertical flat plate. Case Studies in Thermal Engineering, Vol. 55, 2024, id. 104073.10.1016/j.csite.2024.104073Search in Google Scholar

[5] Akram, M., O. Ala'yed, R. Saadeh, A. Qazza, A. M. Obalalu, U. Khan, et al. Exploring the dynamic behavior of the two-phase model in radiative non-Newtonian nanofluid flow with Hall current and ion slip effects. Journal of Radiation Research and Applied Sciences, Vol. 17, No. 4, 2024, id. 101112.10.1016/j.jrras.2024.101112Search in Google Scholar

[6] Aziz, A., W. Jamshed, T. Aziz, H. M. Bahaidarah, and K. Ur Rehman. Entropy analysis of Powell–Eyring hybrid nanofluid including effect of linear thermal radiation and viscous dissipation. Journal of Thermal Analysis and Calorimetry, Vol. 143, No. 2, 2021, pp. 1331–1343.10.1007/s10973-020-10210-2Search in Google Scholar

[7] Ramesh, G. K., R. Saadeh, J. K. Madhukesh, A. Qazza, U. Khan, A. Zaib, et al. Neural network algorithms of a curved riga sensor in a ternary hybrid nanofluid with chemical reaction and Arrhenius kinetics. Journal of Radiation Research and Applied Sciences, Vol. 17, No. 4, 2024, id. 101078.10.1016/j.jrras.2024.101078Search in Google Scholar

[8] Obalalu, A. M., U. Khan, O. A. Olayemi, A. Zaib, A. Ishak, and E. S. M. Sherif. Thermal transport energy performance on tangent hyperbolic hybrid nanofluids and their implementation in concentrated solar aircraft wings. Open Physics, Vol. 22, No. 1, 2024, id. 20230207.10.1515/phys-2023-0207Search in Google Scholar

[9] Nimmy, P., A. M. Obalalu, K. V. Nagaraja, J. K. Madhukesh, U. Khan, A. Ishak, et al. Thermal scrutinization of time-dependent flow of nanoparticles over a rotating sphere with autocatalytic chemical reaction. The European Physical Journal Plus, Vol. 139, No. 3, 2024, pp. 1–15.10.1140/epjp/s13360-024-05081-7Search in Google Scholar

[10] Shah, S. Z. H., S. Khan, R. Saadeh, H. A. Wahab, J. K. Madhukesh, U. Khan, et al. On the thermal performance of a three-dimensional cross-ternary hybrid nanofluid over a wedge using a Bayesian regularization neural network approach. High Temperature Materials and Processes, Vol. 43, No. 1, 2024, id. 20240051.10.1515/htmp-2024-0051Search in Google Scholar

[11] Kumar, T. P., G. Dharmaiah, K. AL-Farhany, A. Abdulkadhim, M. Azeez Alomari, M. H. Abdulsada, et al. Transient conditions effects on electromagnetic Casson fluid flow via stretching surface: System thermal case elaboration. Numerical Heat Transfer, Part B: Fundamentals, Vol. 84, No. 5, 2023, pp. 539–555.10.1080/10407790.2023.2215406Search in Google Scholar

[12] Alqarni, M. M., M. Bilal, R. Allogmany, E. Tag-Eldin, M. E. Ghoneim, and M. F. Yassen. Mathematical analysis of Casson fluid flow with energy and mass transfer under the influence of activation energy from a non-coaxially spinning disc. Frontiers in Energy Research, Vol. 10, 2022, id. 986284.10.3389/fenrg.2022.986284Search in Google Scholar

[13] Ullah, Z., G. Zaman, and A. Ishak. Magnetohydrodynamic tangent hyperbolic fluid flow past a stretching sheet. Chinese Journal of Physics, Vol. 66, 2020, pp. 258–268.10.1016/j.cjph.2020.04.011Search in Google Scholar

[14] Obalalu, A. M., S. H. A. M. Shah, A. Darvesh, U. Khan, A. Ishak, P. Adegbite, et al. Insight into the hamilton and crosser model for ternary hybrid nanofluid flow over a Riga wedge with heterogeneous catalytic reaction. The European Physical Journal Special Topics, 2024, pp. 1–22.10.1140/epjs/s11734-024-01319-8Search in Google Scholar

[15] Roja, A., R. Saadeh, R. Kumar, A. Qazza, U. Khan, A. Ishak, et al. Ramification of Hall effects in a non-Newtonian model past an inclined microchannel with slip and convective boundary conditions. Applied Rheology, Vol. 34, No. 1, 2024, id. 20240010.10.1515/arh-2024-0010Search in Google Scholar

[16] Ibrahim, W. Magnetohydrodynamics (MHD) flow of a tangent hyperbolic fluid with nanoparticles past a stretching sheet with second order slip and convective boundary condition. Results in Physics, Vol. 7, 2017, pp. 3723–3731.10.1016/j.rinp.2017.09.041Search in Google Scholar

[17] Tanuja, T. N., S. Manjunatha, H. S. Migdadi, R. Saadeh, A. Qazza, U. Khan, et al. Leveraging artificial neural networks approach for thermal conductivity evaluation in porous rectangular wetted fins filled with ternary hybrid nanofluid. Journal of Radiation Research and Applied Sciences, Vol. 17, No. 4, 2024, id. 101125.10.1016/j.jrras.2024.101125Search in Google Scholar

[18] Ramesh, G. K. and B. J. Gireesha. Flow over a stretching sheet in a dusty fluid with radiation effect. ASME Journal of Heat Transfer, Vol. 135, No. 10, 2013, id. 102702.10.1115/1.4024587Search in Google Scholar

[19] Abbas, W., O. Khaled, S. Beshir, M. Abdeen, and M. Elshabrawy. Analysis of chemical, ion slip, and thermal radiation effects on an unsteady magnetohydrodynamic dusty fluid flow with heat and mass transfer through a porous media between parallel plates. Bulletin of the National Research Centre, Vol. 47, No. 1, 2023, pp. 1–10.10.1186/s42269-023-01024-xSearch in Google Scholar

[20] Hanafi, H., H. Hanif, and S. Shafie. Unsteady MHD dusty fluid flow over a cone in the vicinity of porous medium: a numerical study. Journal of Taibah University for Science, Vol. 18, No. 1, 2024, id. 2348241.10.1080/16583655.2024.2348241Search in Google Scholar

[21] Santosh, H. B., M. Mahesha, C. S. Raju, and O. D. Makinde. The flow of radiated Carreau dusty fluid over exponentially stretching sheet with partial slip at the wall. Diffusion Foundations, Vol. 16, 2018, pp. 96–108.10.4028/www.scientific.net/DF.16.96Search in Google Scholar

[22] Jalil, M., S. Asghar, and S. Yasmeen. An exact solution of MHD boundary layer flow of dusty fluid over a stretching surface. Mathematical Problems in Engineering, Vol. 2017, 2017, pp. 1–5.10.1155/2017/2307469Search in Google Scholar

[23] Shankaralingappa, B. M., B. J. Gireesha, B. C. Prasannakumara, and B. Nagaraja. Darcy-Forchheimer flow of dusty tangent hyperbolic fluid over a stretching sheet with Cattaneo-Christov heat flux. Waves in Random and Complex Media, Vol. 33, No. 3, 2023, pp. 742–761.10.1080/17455030.2021.1889711Search in Google Scholar

[24] Mahdy, A. and G. A. Hoshoudy. Two-phase mixed convection nanofluid flow of a dusty tangent hyperbolic past a nonlinearly stretching sheet. Journal of the Egyptian Mathematical Society, Vol. 27, 2019, id. 44.10.1186/s42787-019-0050-9Search in Google Scholar

[25] Al-Mudhaf, A. and A. J. Chamkha. Similarity solutions for MHD thermosolutal Marangoni convection over a flat surface in the presence of heat generation or absorption effects. Heat and Mass Transfer, Vol. 42, 2005, pp. 112–121.10.1007/s00231-004-0611-8Search in Google Scholar

[26] Zhang, Y., L. Zheng, and J. Liu. Approximate analytical solutions for marangoni mixed convection boundary layer. In Proceedings of the 4th International Heat Transfer Conference, Washington, DC, USA, Aug 2010, pp. 413–417.10.1115/IHTC14-22330Search in Google Scholar

[27] Abbas, M., N. Khan, M. S. Hashmi, and J. Younis. Numerical analysis of Marangoni convective flow of hybrid nanofluid over an infinite disk with thermophoresis particle deposition. Scientific Reports, Vol. 13, 2023, id. 5036.10.1038/s41598-023-32011-xSearch in Google Scholar PubMed PubMed Central

[28] Rashid, U., D. Baleanu, H. Liang, M. Abbas, A. Iqbal, and J. u Rahman. Marangoni boundary layer flow and heat transfer of graphene–water nanofluid with particle shape effects. Processes, Vol. 8, 2020, id. 1120.10.3390/pr8091120Search in Google Scholar

[29] Elbashbeshy, E. M., M. Fathy, and K. M. Abdelgaber. Effects of chemical reaction and activation energy on marangoni flow, heat and mass transfer over circular porous surface. Arab Journal of Basic and Applied Sciences, Vol. 30, No. 1, 2023, pp. 46–54.10.1080/25765299.2023.2170064Search in Google Scholar

[30] Khan, M. I., S. Qayyum, F. Shah, R. N. Kumar, R. P. Gowda, B. C. Prasannakumara, et al. Marangoni convective flow of hybrid nanofluid (MnZnFe2O4-NiZnFe2O4-H2O) with Darcy Forchheimer medium. Ain Shams Engineering Journal, Vol. 12, No. 4, 2021, pp. 3931–3938.Search in Google Scholar

[31] Kumar, G., B. J. Gireesha, and R. S. R. Gorla. Flow and heat transfer of dusty hyperbolic tangent fluid over a stretching sheet in the presence of thermal radiation and magnetic field. International Journal of Mechanical Engineering, Vol. 13, 2018, id. 2.10.1186/s40712-018-0088-8Search in Google Scholar

[32] Obalalu, A. M., A. Darvesh, A. Abbas, A. Eladeb, R. Alsayegh, W. Rajhi, et al. Improving solar HVAC performance by incorporating sutterby SiO2–Cu/C3H8O2 hybrid nanofluid flow via a collocation based Gegenbauer wavelets technique: Effects of electromagnetic control and Smoluchowksi's temperature slippage. ZAMM‐Journal of Applied Mathematics and Mechanics/Zeitschrift für Angewandte Mathematik und Mechanik, 2024, id. e202400473.10.1002/zamm.202400473Search in Google Scholar

[33] Daniel, Y. S., Z. A. Aziz, and Z. I. F. Salah. Impact of thermal radiation on electrical MHD flow of nanofluid over nonlinear stretching sheet with variable thickness. Alexandria Engineering Journal, Vol. 57, No. 8, 2018, pp. 2187–2197.10.1016/j.aej.2017.07.007Search in Google Scholar

[34] Postelnicu, A., T. Grosan, and I. Pop. Effect of variable viscosity on forced convection flow past a horizontal flat plate in a porous medium with internal heat generation. Mechanics Research Communications, Vol. 28, No. 3, 2001, pp. 331–337.10.1016/S0093-6413(01)00181-1Search in Google Scholar

[35] Cebeci, T. and P. Bradshaw. Physical and computational aspects of convective heat transfer, Springer, New York, NY, USA, 1984.10.1007/978-3-662-02411-9Search in Google Scholar

[36] Akbar, N. S., A. Al-Zubaidi, S. Saleem, and S. A. Alsallami. Variable fluid properties analysis for thermally laminated 3-dimensional magnetohydrodynamic non-Newtonian nanofluid over a stretching sheet. Scientific Reports, Vol. 13, 2023, id. 3231.10.1038/s41598-023-30233-7Search in Google Scholar PubMed PubMed Central

[37] Mottupalle, G. R., D. P. Ashwathnarayana, B. M. Shankarappa, and A. A. Sanjeevamurthy. Effects of variable fluid properties on double-diffusive mixed convection with chemical reaction over an accelerating surface. Biointerface Research in Applied Chemistry, Vol. 12, No. 4, 2022, pp. 5161–5173.10.33263/BRIAC124.51615173Search in Google Scholar

[38] Taj, M., T. Salahuddin, M. Khan, and M. Aslam. Variable thermo-physical properties of fluid flow along with exponential stretching; A chemical reaction study. Case Studies in Thermal Engineering, Vol. 49, 2023, id. 103154.10.1016/j.csite.2023.103154Search in Google Scholar

[39] Vinothkumar, B., R. Saadeh, T. Poornima, A. Qazza, P. Sreenivasulu, A. Subba Rao, et al. 2024. Two-phase numerical simulation of thermal and solutal transport exploration of a non-Newtonian nanomaterial flow past a stretching surface with chemical reaction. Open Physics, Vol. 22, No. 1, id. 20240036.10.1515/phys-2024-0036Search in Google Scholar

[40] Obalalu, A. M., O. A. Ajala, A. Abdulraheem, and A. O. Akindele. The influence of variable electrical conductivity on non-Darcian Casson nanofluid flow with first and second-order slip conditions. Partial Differential Equations in Applied Mathematics, Vol. 4, 2021, id. 10008.10.1016/j.padiff.2021.100084Search in Google Scholar

[41] Krishna, M. V., K. Bharathi, and A. J. Chamkha. Hall effects on MHD peristaltic flow of Jeffrey fluid through porous medium in a vertical stratum. Interfacial Phenomena and Heat Transfer, Vol. 6, No. 3, 2018, pp. 253–268.10.1615/InterfacPhenomHeatTransfer.2019030215Search in Google Scholar

[42] Gorla, R. S. R. and A. Chamkha. Natural convective boundary layer flow over a horizontal plate embedded in a porous medium saturated with a nanofluid. Journal of Modern Physics, Vol. 2, No. 2, 2011, id. 2011.10.1260/1759-3093.2.2-3.167Search in Google Scholar

[43] Gorla, R. S. R., A. Chamkha, and A. M. Rashad. Mixed convective boundary layer flow over a vertical wedge embedded in a porous medium saturated with a nanofluid. In 2010 3rd International Conference on Thermal Issues in Emerging Technologies Theory and Applications, IEEE, 2010 Dec, pp. 445–451.10.1109/THETA.2010.5766429Search in Google Scholar

[44] Gangadhar, K., M. A. Kumari, and A. J. Chamkha. EMHD flow of radiative second-grade nanofluid over a Riga Plate due to convective heating: Revised Buongiorno’s nanofluid model. Arabian Journal for Science and Engineering, Vol. 47, No. 7, 2022, pp. 8093–8103.10.1007/s13369-021-06092-7Search in Google Scholar

[45] Chamkha, A. J. Hydromagnetic three-dimensional free convection on a vertical stretching surface with heat generation or absorption. International Journal of Heat and Fluid Flow, Vol. 20, No. 1, 1999, pp. 84–92.10.1016/S0142-727X(98)10032-2Search in Google Scholar

[46] Chamkha, A. J. Hydromagnetic natural convection from an isothermal inclined surface adjacent to a thermally stratified porous medium. International Journal of Engineering Science, Vol. 35, No. 10–11, 1997, pp. 975–986.10.1016/S0020-7225(96)00122-XSearch in Google Scholar

[47] Chamkha, A. J. and A. R. A. Khaled. Hydromagnetic combined heat and mass transfer by natural convection from a permeable surface embedded in a fluid‐saturated porous medium. International Journal of Numerical Methods for Heat & Fluid Flow, Vol. 10, No. 5, 2000, pp. 455–477.10.1108/09615530010338097Search in Google Scholar

[48] Usman, M., M. Hamid, and M. M. Rashidi. Gegenbauer wavelets collocation-based scheme to explore the solution of free bio-convection of nanofluid in 3D nearby stagnation point. Neural Computing and Applications, Vol. 31, 2019, pp. 8003–8019.10.1007/s00521-018-3625-8Search in Google Scholar

[49] Çelik, İ. Squeezing flow of nanofluids of Cu–water and kerosene between two parallel plates by Gegenbauer Wavelet Collocation method. Engineering with Computers, Vol. 37, No. 1, 2021, pp. 251–264.10.1007/s00366-019-00821-1Search in Google Scholar

[50] Faheem, M. and A. Khan. A wavelet collocation method based on Gegenbauer scaling function for solving fourth-order time-fractional integro-differential equations with a weakly singular kernel. Applied Numerical Mathematics, Vol. 184, 2022, pp. 197–218.10.1016/j.apnum.2022.10.003Search in Google Scholar

[51] Dai, Y., H. Li, H. Cao, Z. Huang, C. Yang, and C. Wang. A novel Gegenbauer wavelet-based approach for stability and surface location error analyses of milling process. Journal of Dynamic Systems, Measurement, and Control, Vol. 144, No. 10, 2022, id. 104502.10.1115/1.4055093Search in Google Scholar

[52] Mamatha, S. U., K. Ramesh Babu, P. Durga Prasad, C. S. Raju, and S. V. Varma. Mass transfer analysis of two-phase flow in a suspension of microorganisms. Archives of Thermodynamics, Vol. 41, 2020, pp. 175–92.Search in Google Scholar

[53] Li, S., K. Ali, S. Algarni, T. Alqahtani, S. Ahmad, F. A. A. ElSeabee, et al. Numerical analysis of thermophoretic particle deposition in a magneto-Marangoni convective dusty tangent hyperbolic nanofluid flow–Thermal and magnetic features. Nanotechnology Reviews, Vol. 13, No. 1, 2024, id. 20230190.10.1515/ntrev-2023-0190Search in Google Scholar

[54] Krishna, M. V. and A. J. Chamkha. Hall effects on MHD squeezing flow of a water-based nanofluid between two parallel disks. Journal of Porous Media, Vol. 22, No. 2, 2019, pp. 209–223.10.1615/JPorMedia.2018028721Search in Google Scholar

[55] Obalalu, A. M., M. A. Memon, O. A. Olayemi, J. Olilima, and A. Fenta. Enhancing heat transfer in solar-powered ships: a study on hybrid nanofluids with carbon nanotubes and their application in parabolic trough solar collectors with electromagnetic controls. Scientific Reports, Vol. 13, No. 1, 2023, id. 9476.10.1038/s41598-023-36716-xSearch in Google Scholar PubMed PubMed Central

Received: 2024-08-06
Revised: 2024-10-16
Accepted: 2024-10-25
Published Online: 2024-11-28

© 2024 the author(s), published by De Gruyter

This work is licensed under the Creative Commons Attribution 4.0 International License.

Articles in the same Issue

  1. Research Articles
  2. De-chlorination of poly(vinyl) chloride using Fe2O3 and the improvement of chlorine fixing ratio in FeCl2 by SiO2 addition
  3. Reductive behavior of nickel and iron metallization in magnesian siliceous nickel laterite ores under the action of sulfur-bearing natural gas
  4. Study on properties of CaF2–CaO–Al2O3–MgO–B2O3 electroslag remelting slag for rack plate steel
  5. The origin of {113}<361> grains and their impact on secondary recrystallization in producing ultra-thin grain-oriented electrical steel
  6. Channel parameter optimization of one-strand slab induction heating tundish with double channels
  7. Effect of rare-earth Ce on the texture of non-oriented silicon steels
  8. Performance optimization of PERC solar cells based on laser ablation forming local contact on the rear
  9. Effect of ladle-lining materials on inclusion evolution in Al-killed steel during LF refining
  10. Analysis of metallurgical defects in enamel steel castings
  11. Effect of cooling rate and Nb synergistic strengthening on microstructure and mechanical properties of high-strength rebar
  12. Effect of grain size on fatigue strength of 304 stainless steel
  13. Analysis and control of surface cracks in a B-bearing continuous casting blooms
  14. Application of laser surface detection technology in blast furnace gas flow control and optimization
  15. Preparation of MoO3 powder by hydrothermal method
  16. The comparative study of Ti-bearing oxides introduced by different methods
  17. Application of MgO/ZrO2 coating on 309 stainless steel to increase resistance to corrosion at high temperatures and oxidation by an electrochemical method
  18. Effect of applying a full oxygen blast furnace on carbon emissions based on a carbon metabolism calculation model
  19. Characterization of low-damage cutting of alfalfa stalks by self-sharpening cutters made of gradient materials
  20. Thermo-mechanical effects and microstructural evolution-coupled numerical simulation on the hot forming processes of superalloy turbine disk
  21. Endpoint prediction of BOF steelmaking based on state-of-the-art machine learning and deep learning algorithms
  22. Effect of calcium treatment on inclusions in 38CrMoAl high aluminum steel
  23. Effect of isothermal transformation temperature on the microstructure, precipitation behavior, and mechanical properties of anti-seismic rebar
  24. Evolution of residual stress and microstructure of 2205 duplex stainless steel welded joints during different post-weld heat treatment
  25. Effect of heating process on the corrosion resistance of zinc iron alloy coatings
  26. BOF steelmaking endpoint carbon content and temperature soft sensor model based on supervised weighted local structure preserving projection
  27. Innovative approaches to enhancing crack repair: Performance optimization of biopolymer-infused CXT
  28. Structural and electrochromic property control of WO3 films through fine-tuning of film-forming parameters
  29. Influence of non-linear thermal radiation on the dynamics of homogeneous and heterogeneous chemical reactions between the cone and the disk
  30. Thermodynamic modeling of stacking fault energy in Fe–Mn–C austenitic steels
  31. Research on the influence of cemented carbide micro-textured structure on tribological properties
  32. Performance evaluation of fly ash-lime-gypsum-quarry dust (FALGQ) bricks for sustainable construction
  33. First-principles study on the interfacial interactions between h-BN and Si3N4
  34. Analysis of carbon emission reduction capacity of hydrogen-rich oxygen blast furnace based on renewable energy hydrogen production
  35. Just-in-time updated DBN BOF steel-making soft sensor model based on dense connectivity of key features
  36. Effect of tempering temperature on the microstructure and mechanical properties of Q125 shale gas casing steel
  37. Review Articles
  38. A review of emerging trends in Laves phase research: Bibliometric analysis and visualization
  39. Effect of bottom stirring on bath mixing and transfer behavior during scrap melting in BOF steelmaking: A review
  40. High-temperature antioxidant silicate coating of low-density Nb–Ti–Al alloy: A review
  41. Communications
  42. Experimental investigation on the deterioration of the physical and mechanical properties of autoclaved aerated concrete at elevated temperatures
  43. Damage evaluation of the austenitic heat-resistance steel subjected to creep by using Kikuchi pattern parameters
  44. Topical Issue on Focus of Hot Deformation of Metaland High Entropy Alloys - Part II
  45. Synthesis of aluminium (Al) and alumina (Al2O3)-based graded material by gravity casting
  46. Experimental investigation into machining performance of magnesium alloy AZ91D under dry, minimum quantity lubrication, and nano minimum quantity lubrication environments
  47. Numerical simulation of temperature distribution and residual stress in TIG welding of stainless-steel single-pass flange butt joint using finite element analysis
  48. Special Issue on A Deep Dive into Machining and Welding Advancements - Part I
  49. Electro-thermal performance evaluation of a prismatic battery pack for an electric vehicle
  50. Experimental analysis and optimization of machining parameters for Nitinol alloy: A Taguchi and multi-attribute decision-making approach
  51. Experimental and numerical analysis of temperature distributions in SA 387 pressure vessel steel during submerged arc welding
  52. Optimization of process parameters in plasma arc cutting of commercial-grade aluminium plate
  53. Multi-response optimization of friction stir welding using fuzzy-grey system
  54. Mechanical and micro-structural studies of pulsed and constant current TIG weldments of super duplex stainless steels and Austenitic stainless steels
  55. Stretch-forming characteristics of austenitic material stainless steel 304 at hot working temperatures
  56. Work hardening and X-ray diffraction studies on ASS 304 at high temperatures
  57. Study of phase equilibrium of refractory high-entropy alloys using the atomic size difference concept for turbine blade applications
  58. A novel intelligent tool wear monitoring system in ball end milling of Ti6Al4V alloy using artificial neural network
  59. A hybrid approach for the machinability analysis of Incoloy 825 using the entropy-MOORA method
  60. Special Issue on Recent Developments in 3D Printed Carbon Materials - Part II
  61. Innovations for sustainable chemical manufacturing and waste minimization through green production practices
  62. Topical Issue on Conference on Materials, Manufacturing Processes and Devices - Part I
  63. Characterization of Co–Ni–TiO2 coatings prepared by combined sol-enhanced and pulse current electrodeposition methods
  64. Hot deformation behaviors and microstructure characteristics of Cr–Mo–Ni–V steel with a banded structure
  65. Effects of normalizing and tempering temperature on the bainite microstructure and properties of low alloy fire-resistant steel bars
  66. Dynamic evolution of residual stress upon manufacturing Al-based diesel engine diaphragm
  67. Study on impact resistance of steel fiber reinforced concrete after exposure to fire
  68. Bonding behaviour between steel fibre and concrete matrix after experiencing elevated temperature at various loading rates
  69. Diffusion law of sulfate ions in coral aggregate seawater concrete in the marine environment
  70. Microstructure evolution and grain refinement mechanism of 316LN steel
  71. Investigation of the interface and physical properties of a Kovar alloy/Cu composite wire processed by multi-pass drawing
  72. The investigation of peritectic solidification of high nitrogen stainless steels by in-situ observation
  73. Microstructure and mechanical properties of submerged arc welded medium-thickness Q690qE high-strength steel plate joints
  74. Experimental study on the effect of the riveting process on the bending resistance of beams composed of galvanized Q235 steel
  75. Density functional theory study of Mg–Ho intermetallic phases
  76. Investigation of electrical properties and PTCR effect in double-donor doping BaTiO3 lead-free ceramics
  77. Special Issue on Thermal Management and Heat Transfer
  78. On the thermal performance of a three-dimensional cross-ternary hybrid nanofluid over a wedge using a Bayesian regularization neural network approach
  79. Time dependent model to analyze the magnetic refrigeration performance of gadolinium near the room temperature
  80. Heat transfer characteristics in a non-Newtonian (Williamson) hybrid nanofluid with Hall and convective boundary effects
  81. Computational role of homogeneous–heterogeneous chemical reactions and a mixed convective ternary hybrid nanofluid in a vertical porous microchannel
  82. Thermal conductivity evaluation of magnetized non-Newtonian nanofluid and dusty particles with thermal radiation
Downloaded on 4.11.2025 from https://www.degruyterbrill.com/document/doi/10.1515/htmp-2024-0063/html
Scroll to top button