Abstract
The dynamics of magnetic flux tubes (MFTs) in the accretion disk of typical Herbig Ae/Be star (HAeBeS) with fossil large-scale magnetic field is modeled taking into account the buoyant and drag forces, radiative heat exchange with the surrounding gas, and the magnetic field of the disk. The structure of the disk is simulated using our magnetohydrodynamic model, taking into account the heating of the surface layers of the disk with the stellar radiation. The simulations show that MFTs periodically rise from the innermost region of the disk with speeds up to 10–12 km
1 Introduction
Accretion disks are commonly observed around young stars. Analysis of contemporary observational data shows that accretion disks of young stars (ADYSs) evolve into protoplanetary disks (PPDs), in which conditions are favorable for planet formation.
Polarization mapping of accretion disks and PPDs shows that they have large-scale magnetic field with complex geometry (Li et al. 2016). Outflows and jets, which are ubiquitous in ADYSs, are indirect signs of the large-scale magnetic field in the system (see review by Frank et al. 2014). Robust measurements of the magnetic field strength in ADYSs are still not possible. There are indications that the magnetic field can be dynamically strong near the inner edge of the disk (Donati et al. 2005). Analysis of the observational constraints on magnetic field strength from measurements of the remnant magnetization of meteorites (Levi 1978) and Zeeman splitting of the CN lines (Vlemmings et al. 2019) shows that the magnetic field strength decreases with distance from the star. The observational data confirm predictions of the theory of fossil magnetic field, according to which the large-scale magnetic field of the ADYSs is the fossil field of the parent protostellar clouds (Dudorov 1995, Dudorov and Khaibrakhmanov 2015).
Magnetohydrodynamic (MHD) modeling of ADYSs has shown that strong toroidal magnetic field is generated in the innermost region of the ADYS, where thermal ionization operates and magnetic field is frozen in gas (Dudorov and Khaibrakhmanov 2014). Runaway generation of the magnetic field in this region can be balanced by magnetic field buoyancy leading to the formation of magnetic flux tubes (MFTs) that float from the disk and carry away excess of its magnetic flux (Khaibrakhmanov and Dudorov 2017). MFTs form in a process of magnetic buoyancy instability (also known as Parker instability, Parker 1979) in the stratified disk with strong planar magnetic field. Formation of MFT has been found both in MHD simulations of solar interior (Vasil and Brummell 2008) and simulations of the accretion disks (Takasao et al. 2018).
Parker instability and rising MFTs can have different manifestations in the accretion disks (see review in Dudorov et al. 2019). Khaibrakhmanov et al. (2018) and Dudorov et al. (2019) have shown that rising MFTs oscillate under certain conditions, and the oscillations can be the source of infrared (IR) variability of accretion disks of T Tauri stars (TTSs). In this work, we further develop approach of Dudorov and Khaibrakhmanov and model the dynamics of the MFT in the accretion disk of typical Herbig Ae/Be star (HAeBeS).
Structure of the article is as follows. In Section 2, we outline the problem statement, describe our model of the dynamics of the MFT as well as the accretion disk model. In Section 3.1, we present results of the simulations of the accretion disk structure. The structure of the disk of the HAeBeS is compared with that of the TTS. Section 3.2 is devoted to the investigation of the dynamics of the MFT in the absence of external magnetic field. Effect of the external magnetic field leading to magnetic oscillations of the MFT is investigated in Section 3.3. We summarize and discuss our results in Section 4.
2 Model
2.1 Problem statement
We consider a toroidal MFT formed inside the accretion disk in the region of effective generation of the magnetic field. The dynamics of unit length MFT is modeled in the slender flux tube approximation. Cylindrical coordinates are adopted,
2.2 Main equations
We follow Dudorov et al. (2019) and use the system of equations describing the MFT dynamics taking into account the buoyant force, turbulent and aerodynamic drag, radiative heat exchange with the external gas, magnetic pressure of the disk,
where
Equations of motion (1) and (2) determine dependences
where
We introduce non-dimensional variables
where
where
Ordinary differential equations (11)–(14) together with the algebraic equations (15) and (16) form closed system of equations describing the dynamics of the MFT. Eqs. (11)–(14) are supplemented by the initial conditions
2.3 Model of the disk
The distributions of the density, temperature, and magnetic field in the disk are calculated using our MHD model of accretion disks (Dudorov and Khaibrakhmanov 2014, Khaibrakhmanov et al. 2017). The disk is considered to be geometrically thin and optically thick with respect to its own radiation. The mass of the disk is small compared to the stellar mass
The model is the generalization of Shakura and Sunyaev (1973) model. In addition to the solution of Shakura and Sunyaev (1973) equations for the low-temperature opacities, we solve the induction equation for magnetic field taking into account Ohmic dissipation, magnetic ambipolar diffusion, magnetic buoyancy, and the Hall effect. The ionization fraction is calculated following Dudorov and Sazonov (1987) taking into account thermal ionization, shock ionization by cosmic rays, X-rays and radionuclides, as well as radiative recombinations and recombinations onto dust grains.
Vertical structure of the disk is determined from the solution of the hydrostatic equilibrium equation (7) for polytropic dependence of the gas pressure on density,
where
is the Keplerian angular velocity.
We consider that there is an optically thin hydrostatic corona above the optically thick disk. The corona’s temperature is determined by heating due to absorption of stellar radiation,
where
The model of the disk has two main parameters: turbulence parameter
2.4 Model parameters and solution method
Ordinary differential equations (11)–(14) of the model are solved with the Runge–Kutta scheme of the fourth order with step size control.
Initially, the MFT is in thermal equilibrium with external gas at
Model parameters: radial distance from the star, initial cross-section radius, and plasma beta of the MFT
| Quantity | Range of values | Fiducial value |
|---|---|---|
| (1) | (2) | (3) |
|
|
0.012–1 au | 0.5 au |
|
|
0.01–0.4 H | 0.1 H |
|
|
0.01–10 | 1 |
We consider the accretion disk of HAeBeS with mass
3 Results
3.1 Radial structure of the disk
First of all, let us consider the structure of the accretion disk of HAeBeS in comparison with the structure of the disk of typical TTS according to our simulations. Detailed discussion of the structure of TTS disks can be found in our previous papers (Dudorov and Khaibrakhmanov 2014, Khaibrakhmanov et al. 2017).
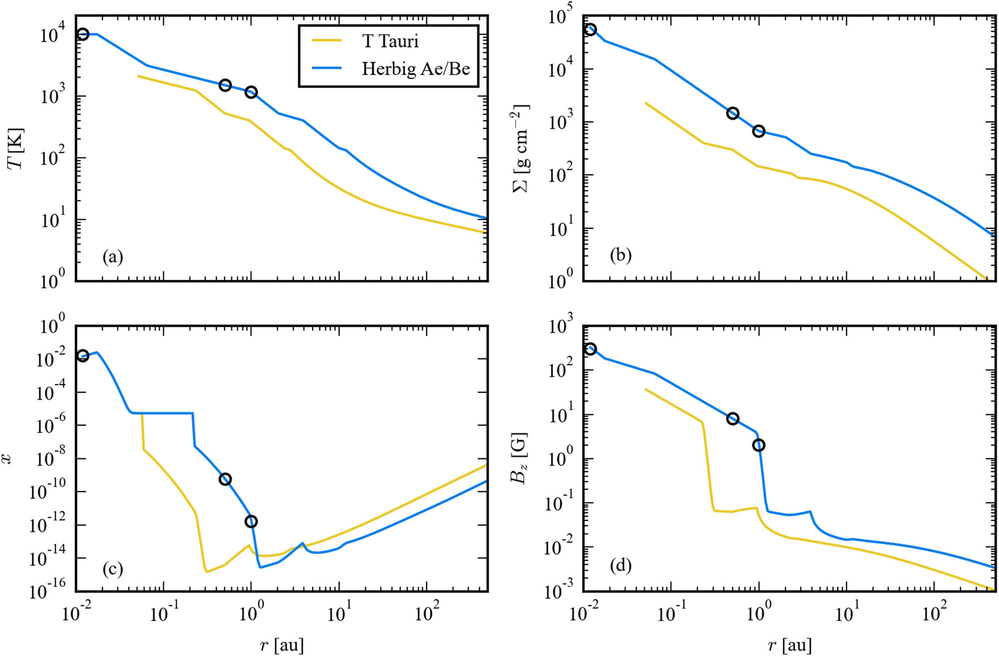
In Figure 1, we plot the radial profiles of midplane temperature

Radial profiles of the midplane temperature (a), surface density (b), midplane ionization fraction (c), and midplane magnetic field strength (d) in the accretion disks of typical TTS (yellow lines) and HAeBeS (blue lines). Empty circle markers show the points at which the modeling of the dynamics of the MFT was performed.
Figure 1 shows that the structures of the accretion disks of HAeBeS and TTS are qualitatively similar.
Temperature and surface density are decreasing functions of distance, which can be represented as piecewise power law profiles. The local slopes of the
The ionization fraction profiles
Intensity of the vertical component of the magnetic field
Comparison of the simulation results for HAeBeS and TTS shows that the accretion disk is hotter and denser in the former case at any given
3.2 MFT dynamics without external magnetic field
In this section, we study the dynamics of the MFT in the disk of HAeBeS in the absence of the magnetic field outside the MFT.
In Figure 2, we plot dependences of the MFT’s speed, density, radius, and temperature on the

Dynamics of the MFTs of various initial cross-section radii
Figure 2(a) shows that thinner MFT,
Upward motion of the MFT is caused by the buoyancy force, which depends on the difference between internal and external densities,
The MFT stays in thermal equilibrium,
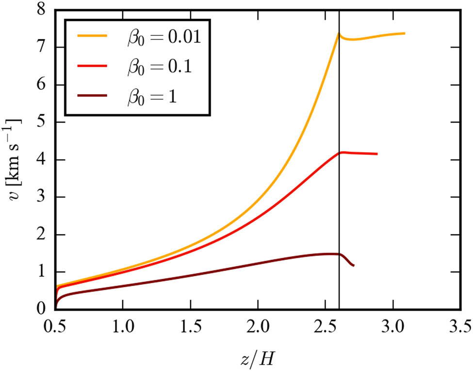
In Figure 3, we plot the dependence of the MFT’s speed on the

Dependence of the MFT’s speed on the
3.3 Magnetic oscillations
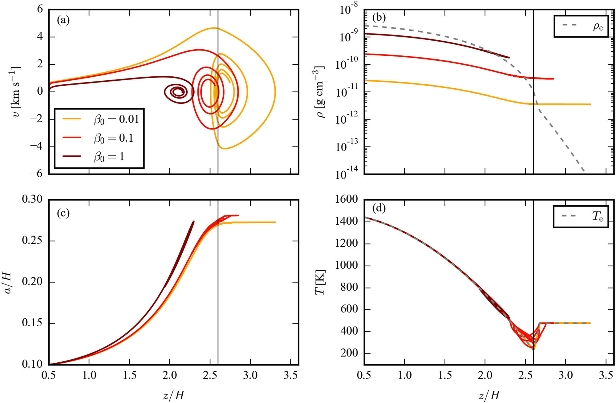
In this section, we investigate how does the magnetic pressure outside the MFT influences its dynamics. In this case, external pressure
In Figure 4, we present simulation results for the MFT at

Dynamics of MFTs with various initial plasma beta
When the MFT starts to oscillate, its expansion stops at some characteristic cross-section radius
Figure 4(b) shows that the point
The beginning of the magnetic oscillations is characterized by violation of the thermal balance,
In Figure 5, we plot the corresponding dependences of MFT’s temperature on time. Figure 5 clearly demonstrates the periodic changes in MFT’s temperature during the magnetic oscillations. The period of oscillations increases with

Dependence of the MFT’s temperature on time for various initial plasma beta
Picture of the MFT’s thermal evolution in the case
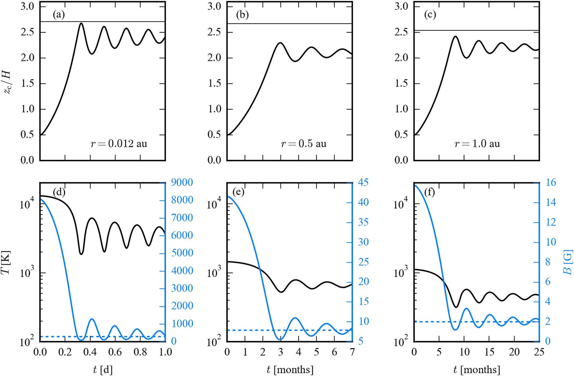
In order to investigate characteristic time scales of this process, we plot the dependence of the

Dynamics of the MFTs at different
Figure 6(a, b, and c) show that the magnetic oscillations take place beneath the surface of the disk, at
According to Figure 6(d, e, and f), the magnetic oscillations are accompanied by the corresponding periodic changes in the MFT’s temperature. The MFT heats up during the period of downward motion and cools down during its upward motion. These changes reflect the
Dependences
4 Conclusions and discussion
We numerically modeled the dynamics of MFTs in the accretion disk of typical HAeBeS. The simulations were carried out in frame of the slender flux tube approximations using the model developed by Dudorov et al. (2019). This model allows us to investigate the motion of the MFT in the direction perpendicular to the disk’s plane taking into account the buoyant and drag forces, radiative heat exchange of the MFT with external gas, and magnetic pressure of the disk.
The structure and characteristics of the accretion disk were calculated using our MHD model of the accretion disks (see Khaibrakhmanov et al. 2017), which is based on the model of Shakura and Sunyaev (1973). The vertical structure of the disk at each radial distance
We adopted the parameters of the star and its accretion disk corresponding to the star MWC 480. This is a typical “isolated” HAeBeS, which was investigated in detail in different spectral ranges (see Sitko et al. 2008, Mendigutía et al. 2013, Tambovtseva et al. 2016, Fernandez et al. 2018).
Our simulations have shown that the accretion disk of the HAeBeS is in general larger, denser, and hotter than the accretion disk of typical TTS. This is because the disk in the former case is characterized by larger accretion rate. As a consequence, the magnetic field in the disk of HAeBeS is stronger than in the disk of TTS. The innermost region of the disk, where temperature is high enough for thermal ionization of alkali metals and hydrogen and where the magnetic field is frozen into gas, is more extended in the case of HAeBeS. This region ranges from 0.012 au up to
We modeled the dynamics of the MFT of various initial cross-section radii,
The pressure of the magnetic field outside the MFT halts upward motion of the MFT near the point, where internal and external magnetic fields are nearly equal. This point of zero buoyancy,
Correspondingly, the temperature of the MFT experiences decaying oscillations around the value of local external temperature at the point
Following original idea of Khaibrakhmanov et al. (2018), we propose that the oscillations of MFTs can be a source of the emission variability as well as variable circumstellar extinction observed in young stars with accretion disks. Such a variability is a widespread feature of the accretion disks of TTS and HAeBeS (see Kóspál et al. 2021, Flaherty et al. 2016), which has also been found for the MWC 480 star considered as a reference in our modeling. Generally speaking, periodically rising and oscillating MFTs could contribute to the variability of the emission in different spectral ranges emanating from the innermost region of the disk, where the magnetic field is frozen in into gas:
In general, our results have shown that the accretion disks of HAeBeS have more extended region of the efficient generation of the magnetic field than in the case of TTS. The temperature of their corona is higher due to more intense stellar radiation. As a consequence, temperature variations in the oscillating MFTs have larger magnitude. Therefore, the IR-variability caused by oscillating MFTs would be more intense in the case of accretion disks of HAeBeS as compared to TTS.
In order to investigate the connection between magnetic oscillations of MFTs and IR-variability of TTS and HAeBeS, we plan to calculate spectral energy distributions of the accretion disks taking into account variations of their structure due to the effect of rising MFTs. Interesting task is to model the synthetic light-curves of the accretion disks taking into account contribution of periodically rising MFTs into the IR flux of the disk.
Acknowledgements
The authors thank anonymous referee for useful comments.
-
Funding information: This work was supported by the Russian Science Foundation (project 19-72-10012)
-
Author contributions: All authors have accepted responsibility for the entire content of this manuscript and approved its submission.
-
Conflict of interest: The authors state no conflict of interest.
References
Akimkin VV, Pavlyuchenkov YN, Launhardt R, Bourke T. 2012. Structure of CB 26 protoplanetary disk derived from millimeter dust continuum maps. Astron Rep. 56(12):915–930. 10.1134/S1063772912120013Search in Google Scholar
Donati J-F, Paletou F, Ferreira J. 2005. Direct detection of a magnetic field in the innermost regions of an accretion disk. Nature. 438:466–469. 10.1038/nature04253Search in Google Scholar PubMed
Donehew B, Brittain S. 2011. Measuring the stellar accretion rates of Herbig Ae/Be Stars. Astron J. 141(2):46. 10.1088/0004-6256/141/2/46Search in Google Scholar
Dudorov AE, Sazonov YV. 1987. Hydrodynamical collapse of interstellar clouds IV. The ionization fraction and ambipolar diffusion. Nauchnye Inform. 63:68–86. Search in Google Scholar
Dudorov AE. 1995. Fossil magnetic fields in T Tauri stars. Astron Rep. 39(6):790–798. Search in Google Scholar
Dudorov AE, Khaibrakhmanov SA. 2014. Fossil magnetic field of accretion disks of young stars. Astrophys Space Sci. 352:103–121. 10.1007/s10509-014-1900-4Search in Google Scholar
Dudorov AE, Khaibrakhmanov SA. 2015. Theory of fossil magnetic field. Adv Space Res. 55:843–850. 10.1016/j.asr.2014.05.034Search in Google Scholar
Dudorov AE, Khaibrakhmanov SA, Sobolev AM. 2019. Dynamics of magnetic flux tubes in accretion discs of T Tauri stars. Mon Not R Astron Soc. 487(4):5388–5404. 10.1093/mnras/stz1654Search in Google Scholar
Fernandez RB, Long ZC, Pikhartova M, Sitko ML, Grady CA, Russel RW, et al. 2018. Variability of disk emission in pre-main-sequence and related stars. IV. Investigating the structural changes in the inner disk region of MWC 480. Astrophys J. 856:103. 10.3847/1538-4357/aaaae7Search in Google Scholar
Flaherty KM, DeMarchi L, Muzerolle J, Balog Z, Herbst W, Thomas S, et al. 2016. Spitzer observations of long-term infrared variability among young Stellar objects in Chamaeleon I. Astrophys J. 833(1):104. 10.3847/1538-4357/833/1/104Search in Google Scholar
Frank A, Ray TP, Cabrit S, Hartigan P, Arce HG, Bacciotti F, et al. 2014. Jets and outflows from star to cloud: observations confront theory. In: Beuther H, Klessen RS, Dullemond CP, Henning Th, Editors. Protostars and Planets VI. Tucson: University of Arizona Press. p. 451–474. 10.2458/azu_uapress_9780816531240-ch020Search in Google Scholar
Hubrig S, Schöller M, Ilyin I, Cowley CR, Mikulášek Z, Stelzer B, et al. 2011. Characterising the magnetic fields of the Herbig Ae/Be stars HD 97048, HD 150193, HD 176386, and MWC 480. Astron Astrophys. 536:A45. 10.1051/0004-6361/201117407Search in Google Scholar
Khaibrakhmanov SA, Dudorov AE, Parfenov SYu, Sobolev AM. 2017. Large-scale magnetic field in the accretion discs of young stars: the influence of magnetic diffusion, buoyancy and Hall effect. Mon Not R Astron Soc. 464:586–598. 10.1093/mnras/stw2349Search in Google Scholar
Khaibrakhmanov SA, Dudorov AE. 2017. Magnetic field buoyancy in accretion disks of young stars. Phys Part Nuclei Lett. 14:882–875. 10.1134/S1547477117060176Search in Google Scholar
Khaibrakhmanov SA, Dudorov AE, Sobolev AM. 2018. Dynamics of magnetic flux tubes and IR-variability of young stellar objects. Res Astron Astrophys. 18:090. 10.1088/1674-4527/18/8/90Search in Google Scholar
Kóspál A, Ábrahám P., Acosta-Pulido JA, Dullemond CP, Henning Th, Kun M. 2021. Mid-infrared spectral variability atlas of young stellar objects. Astrophys J Suppl S. 201:11. 10.1088/0067-0049/201/2/11Search in Google Scholar
Levi EH. 1978. Magnetic field in the primitive solar nebula. Nature. 276:481. 10.1038/276481a0Search in Google Scholar
Li D, Pantin E, Telesco CM, Zhang H, Wright CM, Barnes PJ, et al. 2016. An ordered magnetic field in the protoplanetary disk of AB Aur revealed by mid-infrared polarimetry. Astrophys J. 832:18. 10.3847/0004-637X/832/1/18Search in Google Scholar
Mendigutía I, Brittain S, Eiroa C, Meeus G, Montesinos B, Mora A, et al. 2013. Accretion variability of Herbig Ae/Be stars observed by X-Shooter. HD 31648 and HD 163296. Astrophys J. 776:44. 10.1088/0004-637X/776/1/44Search in Google Scholar
Parker E. 1979. Cosmical magnetic fields: Their origin and their activity. Oxford: Clarendon Press. p. 858. Search in Google Scholar
Semenov D, Henning T, Helling C, Ilgner M, Sedlmayr E. 2003. Rosseland and Planck mean opacities for protoplanetary discs. Astron Astrophys. 410:611–621. 10.1051/0004-6361:20031279Search in Google Scholar
Shakura NI, Sunyaev RA. 1973. Black holes in binary systems. Observational appearance. Astron Astrophys. 24:337–355. 10.1007/978-94-010-2585-0_13Search in Google Scholar
Sitko ML, Carpenter WJ, Kines RL, Wilde JL, Lynch DK, Russel RW, et al. 2008. Variability of disk emission in pre-main sequence and related stars. I. HD 31648 and HD 163296 – isolated Herbig Ae stars driving Herbig-Haro flows. Astrophys J. 678:1070–1087. 10.1086/529003Search in Google Scholar
Takasao S, Tomida K, Iwasaki K, Suzuki TK. 2018. A Three-dimensional simulation of a magnetized accretion disk: fast funnel accretion onto a weakly magnetized star. Astrophys J. 857:4. 10.3847/1538-4357/aab5b3Search in Google Scholar
Tambovtseva LV, Grinin VP. 2008. Dust in the disk winds from young stars as a source of the circumstellar extinction. Astron Lett. 34:231. 10.1134/S1063773708040026Search in Google Scholar
Tambovtseva LV, Grinin VP, Potravnov IS, Mkrtichian DE. 2016. Disk wind and magnetospheric accretion in emission from the Herbig Ae star MWC 480. Astron Lett. 42:583–597. 10.1134/S1063773716080065Search in Google Scholar
Turner NJ, Carballido A, Sano T. 2010. Dust transport in protostellar disks through turbulence and settling. Astrophys J. 708:188. 10.1088/0004-637X/708/1/188Search in Google Scholar
Vasil GM, Brummell NH. 2008. Magnetic Buoyancy instabilities of a shear-generated magnetic layer. Astrophys J. 686:709–730. 10.1086/591144Search in Google Scholar
Vlemmings W, Lankhaar B, Cazzoletti P, Ceccobello C, DallÓlio D, van Dishoek EF, et al. 2019. Stringent limits on the magnetic field strength in the disc of TW Hya. Astron Astrophys. L7:10. 10.1051/0004-6361/201935459Search in Google Scholar
Vorobyov EI, Pavlyuchenkov YN. 2017. Improving the thin-disk models of circumstellar disk evolution. The 2+1-dimensional model. Astron Astrophys. 606:A5. 10.1051/0004-6361/201730516Search in Google Scholar
© 2022 Sergey A. Khaibrakhmanov and Alexander E. Dudorov, published by De Gruyter
This work is licensed under the Creative Commons Attribution 4.0 International License.
Articles in the same Issue
- Research Articles
- Deep learning application for stellar parameters determination: I-constraining the hyperparameters
- Explaining the cuspy dark matter halos by the Landau–Ginzburg theory
- The evolution of time-dependent Λ and G in multi-fluid Bianchi type-I cosmological models
- Observational data and orbits of the comets discovered at the Vilnius Observatory in 1980–2006 and the case of the comet 322P
- Special Issue: Modern Stellar Astronomy
- Determination of the degree of star concentration in globular clusters based on space observation data
- Can local inhomogeneity of the Universe explain the accelerating expansion?
- Processing and visualisation of a series of monochromatic images of regions of the Sun
- 11-year dynamics of coronal hole and sunspot areas
- Investigation of the mechanism of a solar flare by means of MHD simulations above the active region in real scale of time: The choice of parameters and the appearance of a flare situation
- Comparing results of real-scale time MHD modeling with observational data for first flare M 1.9 in AR 10365
- Modeling of large-scale disk perturbation eclipses of UX Ori stars with the puffed-up inner disks
- A numerical approach to model chemistry of complex organic molecules in a protoplanetary disk
- Small-scale sectorial perturbation modes against the background of a pulsating model of disk-like self-gravitating systems
- Hα emission from gaseous structures above galactic discs
- Parameterization of long-period eclipsing binaries
- Chemical composition and ages of four globular clusters in M31 from the analysis of their integrated-light spectra
- Dynamics of magnetic flux tubes in accretion disks of Herbig Ae/Be stars
- Checking the possibility of determining the relative orbits of stars rotating around the center body of the Galaxy
- Photometry and kinematics of extragalactic star-forming complexes
- New triple-mode high-amplitude Delta Scuti variables
- Bubbles and OB associations
- Peculiarities of radio emission from new pulsars at 111 MHz
- Influence of the magnetic field on the formation of protostellar disks
- The specifics of pulsar radio emission
- Wide binary stars with non-coeval components
- Special Issue: The Global Space Exploration Conference (GLEX) 2021
- ANALOG-1 ISS – The first part of an analogue mission to guide ESA’s robotic moon exploration efforts
- Lunar PNT system concept and simulation results
- Special Issue: New Progress in Astrodynamics Applications - Part I
- Message from the Guest Editor of the Special Issue on New Progress in Astrodynamics Applications
- Research on real-time reachability evaluation for reentry vehicles based on fuzzy learning
- Application of cloud computing key technology in aerospace TT&C
- Improvement of orbit prediction accuracy using extreme gradient boosting and principal component analysis
- End-of-discharge prediction for satellite lithium-ion battery based on evidential reasoning rule
- High-altitude satellites range scheduling for urgent request utilizing reinforcement learning
- Performance of dual one-way measurements and precise orbit determination for BDS via inter-satellite link
- Angular acceleration compensation guidance law for passive homing missiles
- Research progress on the effects of microgravity and space radiation on astronauts’ health and nursing measures
- A micro/nano joint satellite design of high maneuverability for space debris removal
- Optimization of satellite resource scheduling under regional target coverage conditions
- Research on fault detection and principal component analysis for spacecraft feature extraction based on kernel methods
- On-board BDS dynamic filtering ballistic determination and precision evaluation
- High-speed inter-satellite link construction technology for navigation constellation oriented to engineering practice
- Integrated design of ranging and DOR signal for China's deep space navigation
- Close-range leader–follower flight control technology for near-circular low-orbit satellites
- Analysis of the equilibrium points and orbits stability for the asteroid 93 Minerva
- Access once encountered TT&C mode based on space–air–ground integration network
- Cooperative capture trajectory optimization of multi-space robots using an improved multi-objective fruit fly algorithm
Articles in the same Issue
- Research Articles
- Deep learning application for stellar parameters determination: I-constraining the hyperparameters
- Explaining the cuspy dark matter halos by the Landau–Ginzburg theory
- The evolution of time-dependent Λ and G in multi-fluid Bianchi type-I cosmological models
- Observational data and orbits of the comets discovered at the Vilnius Observatory in 1980–2006 and the case of the comet 322P
- Special Issue: Modern Stellar Astronomy
- Determination of the degree of star concentration in globular clusters based on space observation data
- Can local inhomogeneity of the Universe explain the accelerating expansion?
- Processing and visualisation of a series of monochromatic images of regions of the Sun
- 11-year dynamics of coronal hole and sunspot areas
- Investigation of the mechanism of a solar flare by means of MHD simulations above the active region in real scale of time: The choice of parameters and the appearance of a flare situation
- Comparing results of real-scale time MHD modeling with observational data for first flare M 1.9 in AR 10365
- Modeling of large-scale disk perturbation eclipses of UX Ori stars with the puffed-up inner disks
- A numerical approach to model chemistry of complex organic molecules in a protoplanetary disk
- Small-scale sectorial perturbation modes against the background of a pulsating model of disk-like self-gravitating systems
- Hα emission from gaseous structures above galactic discs
- Parameterization of long-period eclipsing binaries
- Chemical composition and ages of four globular clusters in M31 from the analysis of their integrated-light spectra
- Dynamics of magnetic flux tubes in accretion disks of Herbig Ae/Be stars
- Checking the possibility of determining the relative orbits of stars rotating around the center body of the Galaxy
- Photometry and kinematics of extragalactic star-forming complexes
- New triple-mode high-amplitude Delta Scuti variables
- Bubbles and OB associations
- Peculiarities of radio emission from new pulsars at 111 MHz
- Influence of the magnetic field on the formation of protostellar disks
- The specifics of pulsar radio emission
- Wide binary stars with non-coeval components
- Special Issue: The Global Space Exploration Conference (GLEX) 2021
- ANALOG-1 ISS – The first part of an analogue mission to guide ESA’s robotic moon exploration efforts
- Lunar PNT system concept and simulation results
- Special Issue: New Progress in Astrodynamics Applications - Part I
- Message from the Guest Editor of the Special Issue on New Progress in Astrodynamics Applications
- Research on real-time reachability evaluation for reentry vehicles based on fuzzy learning
- Application of cloud computing key technology in aerospace TT&C
- Improvement of orbit prediction accuracy using extreme gradient boosting and principal component analysis
- End-of-discharge prediction for satellite lithium-ion battery based on evidential reasoning rule
- High-altitude satellites range scheduling for urgent request utilizing reinforcement learning
- Performance of dual one-way measurements and precise orbit determination for BDS via inter-satellite link
- Angular acceleration compensation guidance law for passive homing missiles
- Research progress on the effects of microgravity and space radiation on astronauts’ health and nursing measures
- A micro/nano joint satellite design of high maneuverability for space debris removal
- Optimization of satellite resource scheduling under regional target coverage conditions
- Research on fault detection and principal component analysis for spacecraft feature extraction based on kernel methods
- On-board BDS dynamic filtering ballistic determination and precision evaluation
- High-speed inter-satellite link construction technology for navigation constellation oriented to engineering practice
- Integrated design of ranging and DOR signal for China's deep space navigation
- Close-range leader–follower flight control technology for near-circular low-orbit satellites
- Analysis of the equilibrium points and orbits stability for the asteroid 93 Minerva
- Access once encountered TT&C mode based on space–air–ground integration network
- Cooperative capture trajectory optimization of multi-space robots using an improved multi-objective fruit fly algorithm