Home Toward sustainability: Integrating experimental study and data-driven modeling for eco-friendly paver blocks containing plastic waste
Article Open Access

Toward sustainability: Integrating experimental study and data-driven modeling for eco-friendly paver blocks containing plastic waste

  • Usama Asif EMAIL logo , Muhammad Faisal Javed , Deema Mohammed Alsekait EMAIL logo , Diaa Salama AbdElminaam and Hisham Alabduljabbar
Published/Copyright: August 28, 2024
Become an author with De Gruyter Brill

Abstract

Plastic waste (PW) poses a significant threat as a hazardous material, while the production of cement raises environmental concerns. It is imperative to urgently address and reduce both PW and cement usage in concrete products. Recently, several experimental studies have been performed to incorporate PW into paver blocks (PBs) as a substitute for cement. However, the experimental testing is not enough to optimize the use of waste plastic in pavers due to resource and time limitations. This study proposes an innovative approach, integrating experimental testing with machine learning to optimize PW ratios in PBs efficiently. Initially, experimental investigations are performed to examine the compressive strength (CS) of plastic sand paver blocks (PSPBs). Varied mix proportions of plastic and sand with different sizes of sand are employed. Moreover, to enhance the CS and meet the minimum requirements of ASTM C902-15 for light traffic, basalt fibers, a sustainable industrial material, are also utilized in the manufacturing process of environmentally friendly PSPB. The highest CS of 17.26 MPa is achieved by using the finest-size sand particles with a plastic-to-sand ratio of 30:70. Additionally, the inclusion of 0.5% basalt fiber, measuring 4 mm in length, yields further enhancement in outcome by significantly improving CS by 25.4% (21.65 MPa). Following that, an extensive experimental record is established, and multi-expression programming (MEP) is used to forecast the CS of PSPB. The model’s projected results are confirmed by using various statistical procedures and external validation methods. Furthermore, comprehensive parametric and sensitivity studies are conducted to assess the effectiveness of the MEP-based proposed models. The sensitivity analysis demonstrates that the size of the sand particles and the fiber content are the primary factors contributing to more than 50% of the CS in PSPB. The parametric analysis confirmed the model’s accuracy by demonstrating a comparable pattern to the experimental results. Furthermore, the results indicate that the proposed MEP-based formulation exhibits high precision with an R 2 of 0.89 and possesses a strong ability to predict. The study also provides a graphical user interface to increase the significance of ML in the practical application of handling waste management. The main aim of this research is to enhance the reuse of PW to promote sustainability and economic benefits, particularly in producing green environments with integration of machine learning and experimental investigations.

Graphical abstract

Abbreviations

ANFIS

adaptive neuro-fuzzy inference system

ANN

artificial neural network

ASTM

American Society for Testing and Materials

CS

compressive strength

F

fiber content

GA

genetic algorithm

LDPE

low-density polyethylene

MAE

mean absolute error

MEP

multi-expression programming

ML

machine learning

OF

objective function

PA

parametric analysis

PB

paver block

PI

performance index

PSPB

plastic-sand paver block

PW

plastic waste

R

coefficient of correlation

RMSE

root mean squared error

S

sand

SA

sensitivity analysis

SVM

support vector machine

1 Introduction

Efficiently managing solid waste remains a significant challenge, especially in developing countries. Plastic waste (PW) is a sort of solid waste that is a matter of serious concern at both national and global levels. The issue of PW has been steadily increasing over the past four decades, with only a fraction of it currently being recycled. The widespread use of plastic, because of its adaptability and extended reliability, has resulted in the substantial creation of disposable plastic and the accompanying generation of garbage. The massive increase of PW in the ecosystem poses a significant risk to many aquatic creatures and the long-term viability of the natural world. Water pollution arises when polluted wastewater is discharged into aquatic environments such as oceans and rivers, in which it is exposed to solar radiation and the motions of water and waves [1,2,3]. An estimated 8 million metric tonnes of plastic are being dumped into the ocean, and it is expected that if this trend persists, garbage in the marine environment will exceed the number of fish [4]. Microplastics produced during the degradation of plastic have been linked with health problems in animals as a result of the process of bioaccumulation and biomagnification [5]. Furthermore, PW can hinder the movement of water in sewer systems, leading to overflow and the rapid spread of insect parasites and waterborne diseases [6]. The global consistently expanding trend of PW production from 1950 to 2015 is shown in Figure 1 [7]. Due to its inability to decompose, plastic has exacerbated various ecological challenges while posing additional risks to local communities.

Figure 1 
               Worldwide PW production (1950–2015) [7].
Figure 1

Worldwide PW production (1950–2015) [7].

Among the several approaches to managing PW, the conversion of plastic into a useful item is particularly beneficial. This approach not only decreases the need for new materials but also enhances the economic value of waste. Additionally, studies have indicated that recycling PW by stabilizing it in concrete or creating useful items using supplementary recycling has less detrimental effects on the environment compared to pyrolysis and incineration methods [8]. Paver blocks (PBs) and bricks have also been produced using PW. For many years, cement-based PB has been extensively used in pedestrian walkways, driveways, shipping yards, and roads [9]. However, scientists are worried about the growing production of concrete products and the subsequent release of CO2, which poses a significant environmental risk. To preserve the planet, it is necessary to decrease the utilization of cement. This is because the manufacture of cement-based composites results in substantial releases of CO2. Minimizing cement consumption can significantly decrease CO2 emissions, with around 0.9 tonnes of CO2 produced annually for every 1.0 tonne of cement consumed [10]. The cement sector accounts for nearly 8% of all anthropogenic greenhouse gas emissions [11]. The conventional PB utilizes 210 kg·m−3 cement, resulting in significant CO2 emissions [12]. The need to tackle numerous significant emissions originating from cement factories is crucial. Furthermore, concrete contains small amounts of crystalline silica, a material that can cause skin damage, lung irritation, and environmental pollution. Efforts should be made to find substitutes to decrease the usage of cement-based composites. Employing PW instead of cement as a binder material in concrete products is a viable option that can help reduce the use of cement and decrease the PW, which results in sustainable products [13].

In 2006, Pierre Kamsouloum first used a combination of PW and sand to manufacture pavement blocks. Agyeman et al. [14] stated that recycled PW can be used as a viable alternative to cement in the production of PB. Utilizing PW in construction projects has benefits in improving ecological sustainability [15]. Furthermore, the addition of PW in the PB leads to a 15% decrease in weight compared to a standard concrete block. The financial investigation reported that the plastic sand paver block (PSPB) has a 35.39% lower per unit cost than a typical concrete block [12]. Moreover, the compressive strength (CS) of concrete PB is mainly influenced by the water-to-cement (w/c) ratio, the hydration process, the time of curing, and the properties of the concrete components used [16]. Eliminating cement from PSPB will result in the removal of both the water-to-cement ratio and the curing time, as there is no need for curing in the case of PSPB. It is important to highlight that PW is a thermoplastic substance that is flexible and can assume any required shape when exposed to heat. Nevertheless, as a thermoplastic substance, its strength decreases significantly as the temperature increases. Consequently, this study included basalt fibers as an addition to plastic-bonded sand paver to improve CS at elevated temperatures.

The strength of plastic blocks produced with PW is assessed to determine their performance. This assessment is influenced by various factors, such as the particular type, the composition, the content of plastic, the mix design, and the testing methodologies employed [17]. The PSPB responds in an anomalous manner when various mixed composites with additives like basalt fibers are utilized. In essence, an experimental study must be carried out to understand the relationship between PSPB ingredients and their properties. However, conducting experimental studies could be a time-consuming and expensive process. Therefore, the availability of soft computing, along with experimental investigation, can accurately correlate influencing factors and properties of PSPB, which could be the best alternative to address the issue (of time and cost) and promote the re-utilization of PW for sustainability [18].

Recently, artificial intelligence (AI) approaches, such as multi-expression programming (MEP) [19,20], support vector machine (SVM) [21], gene-expression programming (GEP) [22,23], artificial neural network (ANN) [24], and particle Swarm optimization (PSO), have been extensively used to address issues related to complex construction materials [25,26,27]. Chou et al. [28] employed SVM and ANN to estimate the CS of high-strength concrete. The findings of the study showed that the proposed model had a significant prediction performance. In a different study by Trocoli et al. [29], the ANN was utilized to simulate the CS of recycled aggregate concrete, and they found that ANN models are reliable. Gupta [30] utilized SVM to forecast the 28-day CS of high-strength concrete. They used a total of 371 data points from experimental findings and the literature for model development. The findings confirm the efficacy of SVM-based modeling in forecasting the CS of high-performance concrete with an R 2 of more than 0.8. Amlashi et al. [31] explored the three ML techniques, namely, ANN, SVM, and ANFIS, optimized with PSO to estimate the CS and tensile strength of concrete incorporated with PW. The outcomes indicate that ANN-PSO achieves a higher R 2 of 0.95 than other techniques. Complex engineering problems are simplified due to the pattern recognition capabilities of these techniques [32]. Although these models found strong correlations, no mathematical equation was presented for real implementation due to the complex construction of these models, which is also considered to be one of the main obstacles preventing the method from being widely used [33]. In the majority of neural network-based approaches, a sophisticated mathematical formula is generated to estimate the output depending on the input parameters. Notably, neural networks (NN) may only be used to optimize problems under consideration since these techniques are referred to as black box models (BBMs). Physical events or any data associated with the problem being addressed are not considered in BBM. Moreover, overfitting is another major issue found in ANN techniques [34]. In one of our earlier studies, Iftikhar et al. [35] employed GEP to estimate the CS of PSPB. The prediction was based on a dataset consisting of 135 measurements and 7 input characteristics. The GEP models demonstrated a high degree of agreement with the findings, reaching R 2 values above 0.85. Parametric analysis (PA) and sensitivity analysis (SA) were carried out to assess the validity of the suggested models. However, the GEP approach was limited in that it was unable to combine a few dissimilar datasets for model construction, hence restricting its utility. In order to improve the model’s performance, it is necessary to remove the inconsistent data points from both the training and validation processes. Furthermore, genetic operators contain a single chromosome within their program and are appropriate when the input–output correlation is quite simple.

In recent years, an improved ML approach known as MEP has been created to overcome the aforementioned drawbacks of ANN. MEP, an advanced form of genetic programming (GP), is considered superior to other evolutionary algorithms in its ability to produce accurate results even when the desired level of complexity is unknown [36]. The capacity of MEP to encode numerous chromosomes within a single computer program is a noteworthy indicator. The optimal chromosome is chosen as the definitive representation of the solution [37]. The pre-specification of the final expression form is necessary for other ML techniques [38], while the MEP evolving approach removes mathematical mistakes from the final expression. Compared with other ML techniques, the decoding process evolved in MEP is very simple.

Considering the benefits of MEP and the drawbacks of other ML models, this study employed the MEP technique for estimating the CS of PSPB. To the best of the author’s knowledge, no studies have explored the use of both experimental and ML techniques to evaluate the CS of PSPB with basalt fiber as an additive. In the past, only experimental investigations or simple mathematical models were used, requiring a substantial investment of time and financial resources. Therefore, for the first time, this study integrates the experimental findings with MEP-based models to estimate and provide predictive equations for CS of PSPB. First, experimental examinations were performed to assess the CS of PSPB. Varied mix proportions of plastic and sand with different sizes of sand were employed. Subsequently, an extensive experimental record was established, and the MEP technique was used to forecast the CS of PSPB. Various statistical methods and PA and SA were performed to assess the models’ effectiveness. This study aims to provide a sustainable alternative to cement by experimentally investigating the use of PW instead of cement and providing an MEP-based simplified equation that can be applied in practice for pre-design purposes of PSPB.

2 Experimental analysis

2.1 Materials

2.1.1 Low-density polyethylene (LDPE)

In this study, the plastic type known as LDPE was utilized as a binding material in PSPB. The LDPE was obtained from the municipal authorities in Abbottabad, Pakistan. Following the collection process, the material was initially washed completely, cleaned, and dried to remove any pollutants that could hinder the melting process. In the end, the plastic material was transformed into small fragments using shredding. Table 1 shows the characteristics of LDPE utilized in this investigation.

Table 1

Properties of LDPE

Description Value
Softening temperature 70°C
Modulus of elasticity 0.6–1.4 GPa
Melting temperature 110°C
Density 0.91–0.94 g·cm−3

2.1.2 Natural fine aggregates (sand)

The locally available sand was used as a fine material for the production of PSPB. Initially, two different types of sands were used to examine the impact of particle size on CS of PSPB. The properties of sand were assessed by conducting tests following the ASTM standards, as illustrated in Table 2. Specific gravity and sieve analysis tests were performed to ascertain the fineness modulus (FM) of both sands. A finer form of sand (Sand-1) was utilized for subsequent analysis.

Table 2

Properties of sand

Test type Test results Standards
Sieve analysis Sand-1 Sand-2 ASTM_C136
Water absorption 4.1% 5.3% ASTM_C128
Specific gravity 2.64 2.67 ASTM _D854-02
FM 2.92 3.24 ASTM_C125

2.1.3 Basalt fibers

Basalt fiber is labeled as a green industrial material. Basalt fiber is formally known as the “21st-century non-polluting green material” [39]. Quarried basalt rock, when heated to a temperature of 1,400°C, results in the formation of molten basalt rock. Extrusion of these molten rocks through small holes can be used to form basalt fibers. Due to its property to withstand high temperatures, basalt fiber is generally used in applications like heat-insulated materials, vehicle braking systems, and flame-retardant materials [40]. Basalt can be used as an aggregate, fiber, mesh, and rebar. Being a multi-performance fiber, basalt fiber has several advantages [41]: it has high thermal resistance to heat, it is a waste and renewable material, it is very light in weight, and it increases the flexural and CS of PBs. The present study employed basalt fibers of two different lengths, specifically 4 and 12 mm. Table 3 displays the chemical composition of the basalt fibers.

Table 3

Chemical composition of basalt fiber

Compound Percentage by weight
MgO 1.3–3.7
K2O 0.80–4.50
Fe2O3 4.0–9.5
Cao 5.21–7.80
Al2O3 16.9–18.2
Na2O 2.51–6.4
SiO2 51.6–57.5

2.2 Mix design and sample preparation

The samples were produced by mixing LDPE and sand in a multi-stage procedure, as shown in Figure 2. The LDPE material was initially melted in an exposed container to attain the intended flexibility. After being melted, it was properly blended with appropriate proportions of sand.

Figure 2 
                  Experimental program.
Figure 2

Experimental program.

In the first stage, the impact of varying particle sizes of sand (d < 0.420 mm, 0.420 mm < d < 0.595 mm, and 0.59 mm < d < 1.68 mm) on CS of PSPB was determined by keeping the exact proportions of plastic and sand (25 and 75%). During the second phase, the sand that showed the highest level of strength in the initial phase was mixed with LDPE in various proportions of plastic and sand (15:85, 20:80, 25:75, 30:70, 35:65, and 40:60). In the final stage, the mechanical characteristics of the PSPB were improved by adding basalt fibers of lengths 4 and 12 mm in different amounts (0.1, 0.3, 0.5, 0.7, and 1%) to the optimized specimens.

A total of 114 specimens were carefully produced, with a precise allocation of six specimens for each scenario, as shown in Table 4. A mixture composed of liquefied plastic, fibers, and sand was carefully poured into cubic molds 50 mm in size that had been preheated and coated with lubricant. The molds were coated with lubricating oil to make it easier to demolding and were subjected to a temperature of 100°C to simplify the installation and compression of the specimens. Following 24 h at ambient temperature, the specimens were evaluated for CS. The complete experimental procedure is described in Figure 2.

Table 4

Mix design for PSPB

Description Code Plastic content by weight (%) Sand content by weight (%) Particle size of sand No. of samples
Effect of and grain size S1 25 75 Dia < 0.42 mm 6
S2 25 75 0.59 mm < Dia < 0.42 mm 6
S3 25 75 1.68 mm < Dia < 0.59 mm 6
Varying proportions of plastic-sand P1 15 85 Dia < 0.42 mm 6
P2 20 80 Dia < 0.42 mm 6
P3 25 75 Dia < 0.42 mm 6
P4 30 70 Dia < 0.42 mm 6
P5 35 65 Dia < 0.42 mm 6
P6 40 60 Dia < 0.42 mm 6
Basalt fiber of 4 and 12 mm in length with various proportions of fiber Fi 30 70 Dia < 0.42 mm 60

This experimental study seeks to determine the most suitable sand grain sizes at a constant plastic-to-sand ratio and then investigate the optimum plastic-to-sand ratio using the chosen sand particle size. The plastic-to-sand ratio that yielded the best results was subsequently used in combination with basalt fibers of varied lengths and proportions to evaluate the CS of PSPB.

2.3 CS testing

The CS of PSPB was evaluated using a compressive testing machine (CTM). The test specimens were placed at room temperature for 24 h and then tested following the guidelines provided by ASTM 109. Loading and strain rates of 20 MP/s and 10 mm·min−1 were used, as specified in ASTM standards. The cubic size molds measuring 50 mm × 50 mm × 50 mm were utilized, as depicted in Figure 3. Before testing, the CTM was provided with specific information regarding the area. Therefore, CTM automatically computes the amount of stress experienced by the specimen until it reaches its breaking point.

Figure 3 
                  CS testing.
Figure 3

CS testing.

3 Machine learning analysis

The current study utilized MEP to estimate the CS of PBs made with LDPE PW. The method to develop MEP-based ML models is presented in Figure 4.

Figure 4 
               The sequential MEP-based ML analysis used in the current study.
Figure 4

The sequential MEP-based ML analysis used in the current study.

3.1 MEP

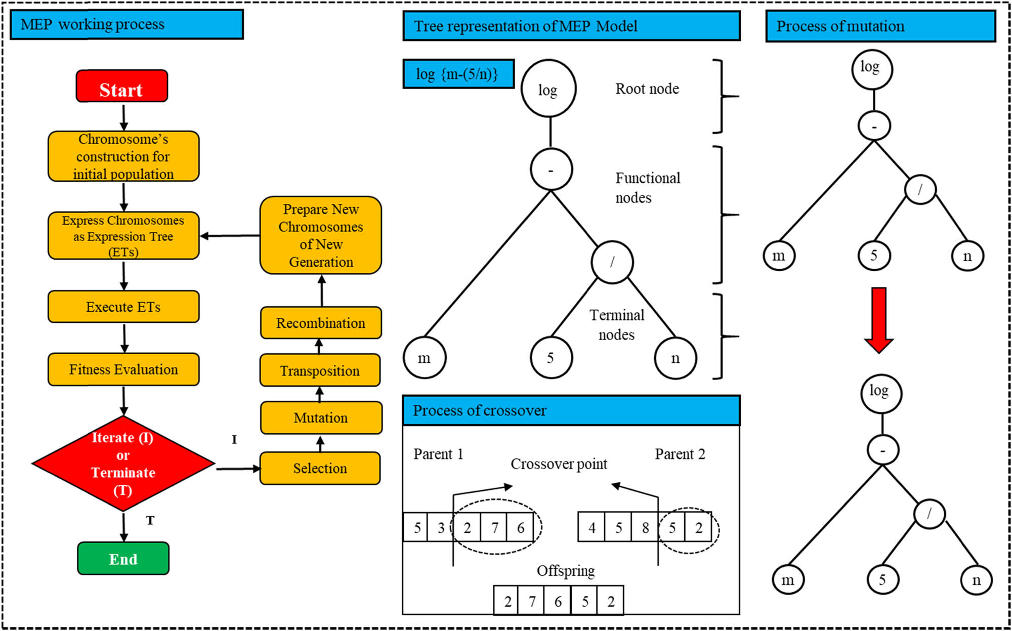
GP-based soft computing techniques aim to provide precise and realistic mathematical equations for predicting outcomes based on preset parameters in the data input. Ferreira Ferreira (2001) initially suggested the genetic algorithm (GA), also known as genetic expressions. This algorithm was motivated by the Darwinian principle. Similarly, Cramer first proposed the idea of GP [42]. Koza and Poli [43] made significant advancements to the concept. The most important distinction between both approaches is that GP uses nonlinear parse trees compared to the fixed-length binary strings used in GA. Several distinct types of evolutionary algorithms have been developed in recent decades, with linearity being one of the most significant variations. Oltean proposed a linear variant of the machine learning evolutionary algorithm called MEP. In MEP, each single entity can be expressed as a variable length [44,45]. The assumption of linearity distinguishes the MEP technique from the GEP method. The MEP employs simplified decoding processes in comparison to the GP methodology and is given special weight when the complexity of the desired gene is unidentified [46]. In Figure 5, various steps of the MEP technique are illustrated. The evaluation process of the MEP method includes creating a population of random chromosomes, selecting two parents using a binary competition procedure and reconfiguring them according to the possibility of crossover, mutating the selected parents to produce two offspring, and then the least effective population member is replaced with the best one [47]. A linear form of string instructions made up of a combination of mathematical operators or terminal variables is used to express the results of MEP-based analysis [48].

Figure 5 
                  Process flow diagram of MEP.
Figure 5

Process flow diagram of MEP.

Numerous studies used the GEP approach and neural network methods to build an empirical model for the evaluation of various properties of structure materials. However, the inclusion of a linear variation feature of MEP makes it simple to distinguish between individual genotypes and phenotypes [45]. MEP is quite useful in material engineering, where the uncertainty of the intended equation is unknown, and a little variation in the concrete design variables may have a significant impact on concrete properties. In MEP, numerous solutions are encoded in a single linear chromosome, enabling the software to predict the result by looking at a larger area [49]. MEP is capable of handling errors like incorrect expressions and division by zero and can convert into any terminal symbol to let the process proceed. This causes a gap in the chromosome’s structure throughout the assessment procedure. The apparent advantages of MEP methods over other evolutionary computations would lead to the development of precise and reliable models for the field of material engineering [50]. The MEP models have been created in this study to formulate the CS of PBs incorporated with PW. Developing a reliable, precise, and effective model will aid in using PW as construction materials. These models could be viable options to resolve the issues related to the disposal of LDPE PW. Additionally, sustainable construction will be prompted, and it would be useful in the savage of natural resources.

3.1.1 Database

A comprehensive data set for CS of PSPB was obtained by performing experimental testing in the laboratory. Raincloud plots with normal distribution curves were used to determine the potential outliers in the database, as shown in Figure 6. As can be seen, only a few points deviated from the normal trend, so those were deleted. The total database comprises 114 data records for CS. All the input variables were considered to ensure the universality and precision of the proposed model. Input variables include sand content, fiber content, plastic content, and size and length of the fiber used. Moreover, CS was considered as output for the development of the model. The performance and generalization capability of any model greatly depend on the distribution of input variables [51]. The frequency distribution histograms of input parameters are shown in Figure 7. It is obvious from contour plots that variables have higher frequencies, and the distribution of the input variables is not uniform. It is important to keep in mind that high variable frequencies are necessary for attaining a better model.

Figure 6 
                     Raincloud plots for outlier detection.
Figure 6

Raincloud plots for outlier detection.

Figure 7 
                     Contour plots representing data distribution.
Figure 7

Contour plots representing data distribution.

Additionally, Table 5 provides a summary of the statistics indicators and ranges of the various variables included in the development of the models for CS, making the data analysis simple. It is clear that sand and plastic contents lie in the range of 1,140–1,615 and 285–760 kg·m−3. Moreover, the values of CS lie in a range of 11–22.43 MPa. A smaller standard deviation indicates that the majority of the values cluster closely around the mean value. Conversely, a greater standard deviation indicates a wider dispersion of data. Skewness refers to the extent to which the probability distribution of a variable differs from being symmetrical around the mean. As stated by Sharma and Ojha [52], the optimal range for kurtosis values is between −10 and +10, which indicates the type of probability distribution. The statistical values of skewness and kurtosis indicate that the MEP-based models are viable for a wide range of input data, hence greatly increasing their potential applications. Furthermore, the entire database was divided into two distinct sections: the training area and the validation section. The predictive validity of the model was evaluated with the help of a validation database, and the overall development of the model was accomplished with the assistance of training data.

Table 5

Statistical description of the developed dataset

Parameters Sand (kg·m−3) Plastic (kg·m−3) Fiber (kg·m−3) Sand size (mm) Fiber length (mm) CS (MPa)
Mean 1360.00 540.00 0.50 1.57 4.21 16.16
Sample variance 9634.51 9634.51 0.08 3.88 24.59 6.26
Median 1330.00 570.00 0.42 0.63 4.00 15.99
Standard error 9.19 9.19 0.03 0.18 0.46 0.23
Mode 1330.00 570.00 0.42 0.00 0.00 15.54
Standard deviation 98.16 98.16 0.29 1.97 4.96 2.50
Kurtosis 1.47 1.47 4.12 −0.43 −1.12 −0.12
Minimum 1140.00 285.00 0.42 0.00 0.00 11.00
Skewness 0.51 −0.51 3.95 0.97 0.75 0.19
Range 475.00 475.00 1.27 5.70 12.00 11.43
Maximum 1615.00 760.00 1.69 5.70 12.00 22.43

3.1.2 MEP model development and assessment

As discussed earlier, to construct a reliable and widely applicable model, a number of MEP modeling parameters must be determined before the modeling process. Considering the prior recommendations, a hit-and-trial method was used in this study to select the best model-fitting parameters [53]. The size of the population determines how many programs will be included in the evolutionary process. If the population size of the model is large, the model will be complicated and precise and may take more time to converge. Overfitting of the model is a potential problem when a particular threshold has been reached. The procedure began with the assumption that there were ten distinct populations. For clarity, the function set considers just the four fundamental mathematical operators (+, −, ×, and /). The accuracy level of the model greatly relies on the number of generations. The statistical mistakes in the algorithm would be reduced by running the program for several generations. The frequency with which offspring experience these genetic changes is measured by the crossover rate and mutation. In general, the crossover rate is between 50 and 95%. Numerous combinations of these parametric settings were tried, and optimum parametric settings were selected based on the prediction performance of the models, as displayed in Table 6. Overfitting of the data is the major issue in ML-based models. To prevent this issue, it is suggested that the models should be trained on unseen data sets [54]. Following this, the whole data set has been separated into two parts, i.e., training and validation. Both of the data sets have been checked to make sure they have the same distribution. This work employed 70 and 30% of the dataset for training and validation, respectively. The proposed models performed well across both data sets. A commercially available software program, MEPX v1.0, was used to apply MEP models.

Table 6

MEP model parameter settings

Genetic operators
Generations 1,000
Code length 50
Sub-population size 240
Arithmetic operations +, −, ×, ÷
Sub-population count 10
Size of tournament 4
Crossover probability 0.9
Fitness parameter RMSE
Probability of mutation 0.01
Training data 70%
Validation data 30%

The first step in the model development is to produce an initial population of viable solutions. The iterative procedure is implemented, and each successive generation converges to the solution. Within the solution population, each generation’s fitness is continuously assessed. The MEP model will continue to develop until the predetermined fitness function, such as root mean squared error (RMSE) or R, no longer shows any indications of alteration. In order to address the problem of overfitting, the study additionally evaluates the objective function (OF). Suppose the findings of the model are not correct for both datasets (training and validation). In that case, the procedure is then rerun by progressively increasing both the number of subpopulations and their overall size. Following that, the model with the lowest OF is chosen as the best one. It is important to remember that the evolving time of the number of generations has an influence on the correctness of the model. Due to the introduction of additional variables in such methods, a model may keep evolving continuously. However, in this study, the model was terminated after 1,000 generations or when the variation in fitness value was smaller than 0.1%. The efficiency of the proposed models is determined by determining various statistical error indices. The metrics used in this analysis are the performance index (PI), the relative squared error (RSE), the relative root mean square error (RRMSE), the mean absolute error (MAE), and RMSE. Similarly, an alternative approach to mitigate overfitting is to select the optimal model by reducing the OF, as recommended by Iqbal et al. [55]. This methodology was chosen to address the problem in this study, and the term fitness function is used for OF. Eqs. (1)–(6) show the mathematical expressions for these statistical indices:

(1) RMSE = i = 1 n ( exp i mod i ) 2 n ,

(2) MAE = i = 1 n | exp i mod i | n ,

(3) RSE = i = 1 n ( mod i exp i ) 2 i = 1 n ( exp ¯ exp i ) 2 ,

(4) RRMSE = 1 | exp ¯ | i = 1 n ( exp i mod i ) 2 n ,

(5) R = i = 1 n ( exp i exp ¯ i ) 2 ( mod i mod ¯ i ) 2 i = 1 n ( exp i exp ¯ i ) 2 i = 1 n ( mod i mod ¯ i ) 2 ,

(6) PI = ρ = RRMSE R ,

(7) OF = n T n v n ρ T + 2 n v n ρ v .

In the given expressions, exp i and mod i indicate the experimental and model anticipated outcomes, mod ¯ i and exp ¯ i signify the average model anticipated and experimental outcomes, respectively, and n represents total occurrences. A model is considered accurate when it has a high R-value and minimal statistical errors. Alabduljabbar et al. [56] and Alyami et al. [57] stated that an R-value of more than 0.8 indicates a strong connection between the anticipated and actual results. Since it is not affected by multiplying or dividing the outcome by a constant, it cannot be used as a solitary criterion for determining the overall effectiveness of the prediction models. RMSE and MAE are indicators that are used to measure the average errors. However, each of these indicators has its importance. RMSE gives greater importance to larger errors since they are squared before a mean is estimated. A high RMSE value shows that the number of estimates with high error is notably larger than anticipated and should be avoided. Meanwhile, MAE gives less importance to larger errors than RMSE. Both PI and OF values range between 0 and infinity. According to Liu et al. [58], the reliability of an ML model can be evaluated based on the values of PI and OF. A lesser value of OF indicates that the overall efficiency of a proposed model is better. As previously explained, several different trial runs were performed, and the model that produced the lowest OF is the one discussed in this study. In addition, external validation of the proposed model was done by using criteria given by various scholars [59].

4 Results and discussion

4.1 Experimental findings

4.1.1 CS

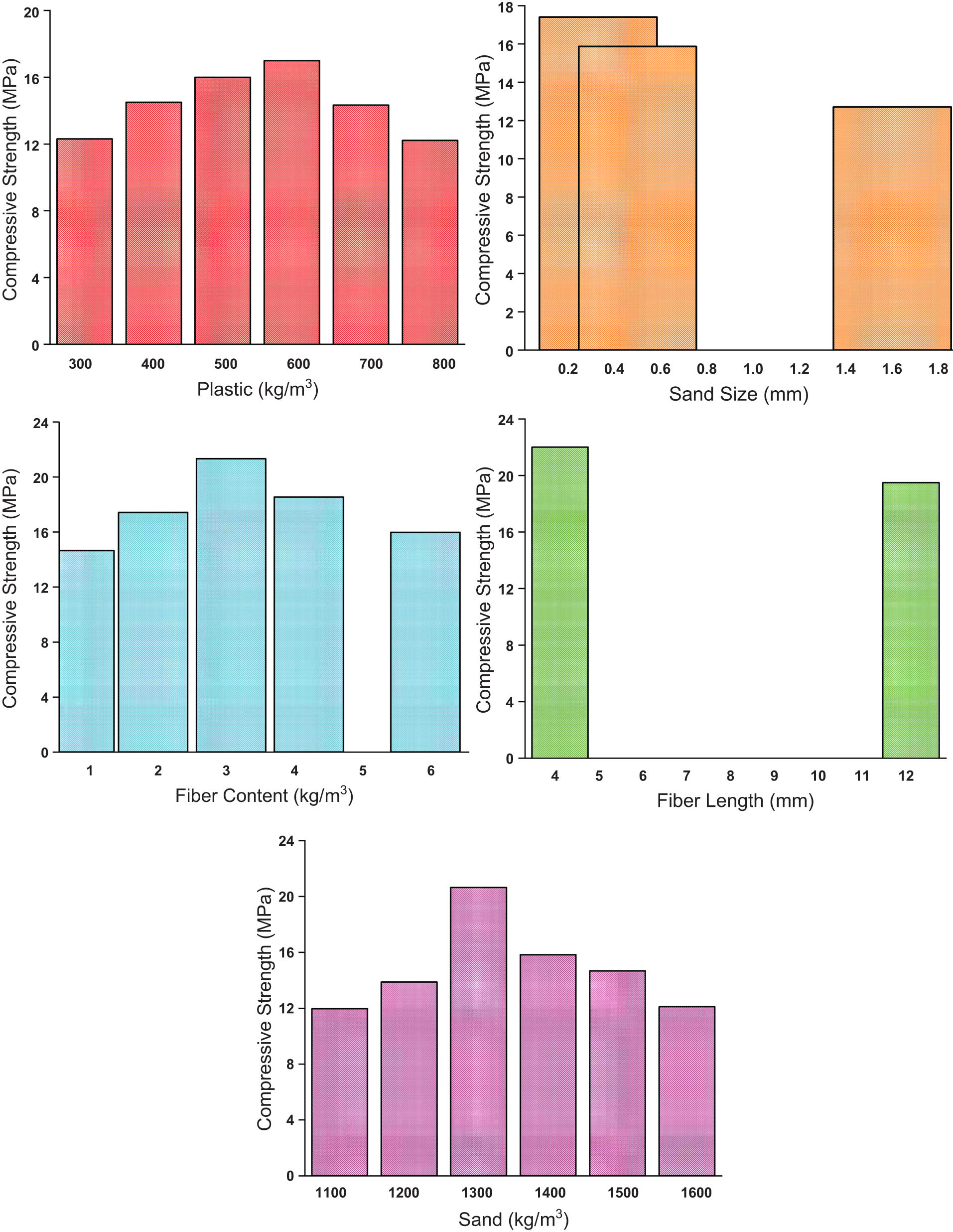
The laboratory-derived CS results of PSPB are depicted in Figure 8. As discussed earlier in the first stage, the effect of sand particle size on CS was determined, as shown in Figure 8(a). It can be seen that there is a reverse correlation between CS and sand particle size, indicating that as particle size increases, the CS decreases. This can be attributed to less cohesion between larger grain sizes due to increased contact area as compared to smaller grain sizes of sand [60]. The maximum CS was 15.93 MPa for the finest sand grain size of d < 0.420 mm at a fixed plastic-to-sand ratio of 25:75.

Figure 8 
                     CS test laboratory results. (a) effect of sand particle size, (b) effect of plastic-sand proportions, (c) effect of basalt fiber (4 mm), and (d) effect of basalt fiber (12 mm).
Figure 8

CS test laboratory results. (a) effect of sand particle size, (b) effect of plastic-sand proportions, (c) effect of basalt fiber (4 mm), and (d) effect of basalt fiber (12 mm).

The influence of varying plastic-to-sand proportions on the CS of PSPB is illustrated in Figure 8(b). An increase in the percentage of plastic content up to 30% results in an increase in CS. This can be explained by the fact that the optimal mixture was achieved with a plastic-to-sand ratio of 30:70. However, a further increase in plastic content results in a decline in CS. This decline in CS can be associated with an increase in the brittleness of the mixture due to the heating of PW. The highest CS was observed as 17.26 MP at a plastic-to-sand ratio of 30:70.

In addition, varying proportions of basalt fiber (0.1, 0.3, 0.5, and 1%) with lengths of 4 and 12 mm were used to further enhance the CS of PSPB, as depicted in Figure 8(c) and (d). The optimum proportions of the plastic-to-sand ratio of 30:70 with a particle size of sand less than 0.42 mm, as achieved in the initial stages, were used to determine the influence of fiber content in PSPB. The findings indicate that the addition of basalt fiber increases CS up to a certain proportion and then decreases. The optimum results of CS with the basalt fiber of 4 mm in length were noted as 19.61 MPa, whereas in the case of 12 mm, the highest CS value was measured as 21.65 MPa at 0.5% fiber content. It can be noted that the use of 4 mm basalt fiber leads to a significant improvement in CS, with an increase of 25.4% as compared to 12 mm, which results in only 13% enhancement in CS. It is due to the fact that there is a restriction on the number of fibers that can be mixed because fibers with a higher aspect ratio and greater lengths reduce workability noticeably, making the mixing process more difficult, which in turn affects their CS [61]. It is worth mentioning that the typical CS of concrete PBs was determined to be 19.8 MPa at 28 days’ curing time [62]. The ASTM standard (ASTM C902-00) specifies that for light vehicular traffic, the CS of pavement bricks must be a minimum of 20.7 MPa (the mean of 5) and 17 MPa (individual). Therefore, plastic, sand, and basalt fibers proposed in this study can be efficiently utilized in low-traffic regions. The addition of basalt fibers with a length of 4 mm at around 0.5% in PSPB yields optimum outcomes.

4.2 Machine learning results

4.2.1 MEP model’s predictive performance

Figure 9 illustrates the comparison of the experimental and anticipated CS values of PSPB obtained from the optimum MEP-based model. The MEP model exhibited exceptional performance, with R 2 values of 0.88 and 0.87 during the training and evaluation stages, respectively. Ideally, the slope of the regression line should approach a value of 1. The slope values of 0.87 and 0.79 for the training and evaluation (testing) phases indicate a significant connection between the predicted and actual values in the established model. Moreover, the values demonstrate a high degree of similarity and closely align with the desired fit throughout both the training and evaluation phases. This suggests that the proposed model received adequate training and possesses a strong predictive capability, performing equally well on unfamiliar data. This also illustrates that the issue of overfitting the model has been much mitigated.

Figure 9 
                     Experimental vs MEP-anticipated outcomes.
Figure 9

Experimental vs MEP-anticipated outcomes.

Additionally, in order to comprehend the statistical analysis for the proposed models, absolute error analysis was performed, as shown in Figure 10. It can be noted that the average error in the anticipated values for CS is 4.5 MPa, with a higher error value that does not exceed 11 MPa. Overall, less than 5% of the total data points have an error value greater than 5 MPa. It is essential to emphasize the fact that the frequency of occurring maximum errors is substantially lower. Based on the above analysis, it can be stated that the developed MEP model for predicting the CS of PSPB can be used in the design process.

Figure 10 
                     Error distribution in MEP-anticipated CS results.
Figure 10

Error distribution in MEP-anticipated CS results.

4.2.2 MEP-based formulations

After performing the statistical examination of various MEP trials, the optimum trial was chosen for additional analysis. The selected MEP model for CS was decoded to develop the empirical equations based on five input parameters. The development of equations used four arithmetic operators, namely subtraction (−), addition (+), multiplication (×), and division (÷), as previously mentioned. The explicit formulations are represented as in Eq. (7). These mathematical formulas can be used to estimate the CS of PSPB:

(8) CS ( MPa ) = F + 42 ( S s ) 16 F 2 6 ( F · S s 2 ) ( 6 + P + 4 · S S s ) F + 4 S s + 8 F · S s 2 ( 1 + 4 · Fl ) ( 4 3 ( 6 + F ) / 4 · S 2 ) .

4.2.3 External validation of the MEP model

The outcomes of statistical criteria employed for the external validation of the proposed models are shown in Table 7. Khan et al. [63] reported that for the proposed models to have a better level of precision, the slope of one of the regression lines (k or k′) that passes through the center should be relatively near to one. For proposed models, these values can be noted as 0.947, which is in the acceptable range. Furthermore, if the values of the evaluation metrics (i.e., m and n) are less than 0.1, then they are regarded as adequate. A number of researchers have suggested that the squared coefficient ( R o 2 ) of experimental and estimated values should also be near 1 [64]. It can be seen that all of the evaluated models lie in the recommended range of outcomes, making it obvious that the recommended models can satisfy the conditions for external verification. This demonstrates the MEP models’ exceptional validity, predictive capability, and independent correlations between the input and output.

Table 7

External validation of the MEP model

S. no. Equation Model Acceptable range
1 R 0.96 R > 0.8
3 R o 2 = 1 i = 1 n ( exp i mod i o ) 2 i = 1 n ( exp i exp i o ) 2 , mod i o = k × exp i 0.961 R o 2 1
2 R o 2 = 1 i = 1 n ( mod i exp i o ) 2 i = 1 n ( mod i mod i o ) 2 , exp i o = k × mod i 0.99 R o 2 1
4 k = i = 1 n ( exp i × mod i ) exp i 2 0.971 0.85 < k < 1.1 5
5 k = i = 1 n ( exp i × mod i ) mo i 2 1.032 0.85 < k < 1.1 5
6 m = ( R 2 R o 2 ) R 2 0.0441 m < 1
7 n = ( R 2 R o 2 ) R 2 0.0535 n < 1

4.2.4 SA and PA

While working with ML-based modeling, it is essential to carry out a wide range of assessments to validate that the indicated models are reliable and work efficiently when applied to a diverse set of data. In this study, SA and PA were done to ensure the validity of the proposed MEP models. First, SA is studied to determine the relative effect of input variables (ingredients) on the outcome (i.e., CS) of the proposed MEP model. The SA is evaluated by using Eqs. (9) and (10) for a given input parameter y i:

(9) X i = f max ( y i ) f min ( y i ) ,

(10) SA = X i n j = 1 X j ,

where f max ( y i ) and f min ( y i ) indicate the largest and minimum of the forecasted outcome, accordingly on the basis of the ith input variable, while the other input variables are kept constant at their mean values. When SA is performed on the entire dataset, it shows how sensitive a constructed model is to a particular change in the defined parameters. The outcomes of the SA are shown in Figure 11. Among the five inputs being analyzed, the size of sand particles (S_S) and fiber content (F) have the greatest impact, contributing 33.02 and 21.56%, respectively, to the anticipated CS of PSPB. Conversely, the sand content (S) and fiber length (F_L) are identified as the least influential factors, contributing just 15.57 and 12.44%, respectively, to the predicted CS. These findings are highly comparable with experimental outcomes, indicating the validity of the models.

Figure 11 
                     SA CS-MEP.
Figure 11

SA CS-MEP.

To further evaluate the validity of the recommended models, PA, also known as monotonicity analysis, has been recommended by various research studies, and thus, it is also implemented in the presented study. In the parametric study, one input variable varied while the values for other input variables were fixed at their mean values. When these input features are combined with the MEP models that have been developed, it is possible to determine the corresponding change in the output parameters, such as CS. The pattern of CS with a corresponding input parameter is presented by fixing all other variables at their average scores across the full range of defined input variables. Figure 12 provides the findings of the PA for the created CS-MEP model. The CS of PSPB is considerably influenced by increasing the plastic concentration up to a certain limit and then decreasing. At first, the CS experiences a rapid increase as a result of the initial mixing of the preheated plastic and sand. Nevertheless, after the addition of 500 kg·m−3 of plastic, this graph approaches a state of near-constancy. The results align with the findings of Iftikhar et al. [60,65], which indicates that an increase in the amount of plastic enhances the bonding between particles, increasing CS. The optimum amount of plastic content was noted as 28%, which is very near to the experimental findings, which was 30%. The inverse relationship between the particle size of sand and the CS of PSPB was observed. It is clear that an increase in sand size results in a decline in CS due to greater contact area and lesser cohesion between particles. The same trend was also found in experimental investigations. Likewise, the fiber content significantly impacts the CS of PSPB. By maintaining all other input components at a similar level, the increase in fiber content up to 0.48% (3 kg·m−3) results in an increase in CS; further addition of fiber leads to a decline in CS. These findings are well aligned with laboratory-derived outcomes. The prior research has already highlighted the identical impact of the fiber content on the CS of PSPB [66]. The sand content and fiber length have a relatively lower influence on the CS of PSPB. It can be noted that a fiber length of 4 mm has shown higher strength than 12 mm. In the case of sand content, the graph remains consistent with little increment in CS by decreasing sand initially and by increasing sand later.

Figure 12 
                     PA of input parameters.
Figure 12

PA of input parameters.

4.2.5 MEP model evolution and comparison with multi-linear regression (MLR)

The size of the database utilized for developing a model substantially affects the credibility of the model. Previous studies recommended that the ratio of recorded data points to the number of input parameters that were used in both the training and evaluation (testing) stages should exceed 5. In this study, this ratio is 23, which is much higher than the recommended values. The efficacy of the suggested model is examined by using statistical measures, as discussed in Section 3.1.2, and the results are also compared with MLR, as shown in Table 8. It can be noted that MEP shows enhanced performance as compared to MLR, as is evidenced by a strong relationship between actual and anticipated values, exhibiting R values of 0.938 and 0.936 for the training and testing set of the CS-MEP as compared to MLR, which has R 2-value 0.861 and 0.825. The high efficiency and generalizability of the proposed MEP models are also indicated by substantially low values of MAE, RMSE, and RRSME across both sets. The RMSE for CS is close to 0.81 and 0.944 MPa, whereas the values for the MLR model are 1.2 and 0.97 MPa for the training and validation stages, respectively. The MAE values are 0.54 and 0.724 MPa for MEP, while the MLR model has values around 0.8 and 0.811 MPa. The values for PI are less than 0.20 for both the training and validation stages of MEP and MLR models. Therefore, the models have higher accuracy and prediction performance. Overall, based on comparison, it can be stated that MEP outperformed MLR with enhanced accuracy in terms of error analysis. The comparison among experimental, MEP, and MLR CS values is visually presented in Figure 13. It is clear that there is a minor difference between the outcomes, which indicates the better efficacy of the proposed models.

Table 8

Statistical summary of MEP and MLR

Model Phase R 2 RRMSE RSE RMSE R MAE PI OF
MEP-CS Training 0.881 0.05 0.157 0.81 0.938 0.554 0.027 0.026
Testing 0.876 0.057 0.084 0.944 0.936 0.724 0.029
MLR-CS Training 0.742 0.075 0.348 1.202 0.861 0.801 0.041 0.04
Testing 0.681 0.055 0.481 0.97 0.825 0.812 0.03
Figure 13 
                     Comparison between MLR and MEP models for CS.
Figure 13

Comparison between MLR and MEP models for CS.

4.2.6 Comparison with the literature

This study employs a data set from experimental investigations performed in the laboratory to create models, as previously stated. Therefore, there are no existing models with similar datasets to compare the effectiveness of the proposed models. Nevertheless, the outcomes of the present investigation are compared with alternative machine learning models that are constructed employing other databases on PSPB, as depicted in Table 9. The outcomes that result from the proposed model demonstrate a significant similarity to the findings reported in the available research for different models. The findings of this study demonstrate that equations derived from the MEP are reliable and useful pre-design predictors for the eco-friendly. The probable use of this innovation can significantly decrease time, expenditure, and allocation of resources, which represents a notable advancement for the corresponding field.

Table 9

Comparison of proposed models with the existing literature

Proposed models Technique Material used R 2 RMSE MAE References
CS MEP PW 0.891 0.94 0.554 This study
CS GEP PW 0.87 1.171 1.001 Iftikhar et al. [67]
CS MEP 0.90 1.115 0.981 Iftikhar et al. [67]
CS GEP PW 0.89 1.10 0.76

4.2.7 Role of AI in sustainable built environments

AI is essential in developing a sustainable environment by providing efficient waste management methods, such as using plastic trash as a construction material in concrete products. Previously, various AI applications have been successfully used to address the problems associated with the environment, such as waste management [68,69]. AI-based models provide cost-effective and time-saving models with accurate estimations [70,71]. Considering the above fact, this study utilized MEP-based ML models to make fast predictions and create mathematical formulas for determining the optimum use of waste plastic in producing PBs. MEP models provide economical methods for tackling difficulties related to reducing PW, which enables their incorporation into practical applications. This novel method not only promotes ecologically sustainable environments but also demonstrates the adaptability of AI in enhancing resource efficiency in handling waste.

The present study utilizes extensive validation approaches such as statistical evaluations, comparison with MLR, and SA to assure the dependability of the MEP models. These approaches evaluate the precision and resilience of the prediction models, offering a thorough assessment of their performance. Utilizing these validation methodologies improves the credibility of the AI-based solutions used for eco-friendly environments. This study also provides a graphical user interface (GUI) based on the data gathered from the training database, which will be a useful tool for estimating the CS of plastic PBs and their desired elemental proportions. Users can utilize GUI to assess the CS of PBs by inputting certain parameters inside the defined data range of the research. The GUI enables easy access for users and encourages more usage of AI-driven waste management solutions for sustainable and effective resource utilization in building applications. The developed GUI is visually depicted in Figure 14.

Figure 14 
                     GUI for estimating CS of PSPB.
Figure 14

GUI for estimating CS of PSPB.

5 Conclusion

This study presents comprehensive experimental testing to assess the viability of using PW as an environmentally friendly alternative in PBs, addressing substantial concerns regarding PW and CO2 emissions associated with cement manufacture. Varied mix ratios of plastic and sand with different particle sizes of sand were employed. Additionally, to enhance the CS and meet the minimum acceptable level of ASTM C902-15 for light traffic, basalt fibers, a sustainable industrial material, were also utilized in the manufacturing process of environmentally friendly PSPB. Furthermore, using experimental findings, an extensive database was created and used to create MEP-based models to estimate the CS of PSPB. The efficacy of MEP models was validated by using various statistical, sensitivity, and parametric evaluations. The following conclusions can be made from this study.

  1. In experimental findings, the impact of sand particle size on the CS of PSBC was initially determined. It was found that there is a negative correlation between the CS and sand particle size.

  2. Second, the influence of varying plastic-to-sand proportions on the CS was determined, and it was identified that an increase in the quantity of plastic content up to 30% results in an increase in CS, whereas a further increase in plastic content results in a decline in CS.

  3. The highest CS was observed as 17.26 MP at a plastic-to-sand ratio of 30:70 using the finest sand particle of d < 0.420 mm.

  4. The inclusion of 0.5% basalt fiber, measuring 4 mm in length, yields further enhancement in outcome by significantly improving CS by 25.4% (21.65 MPa).

  5. The proposed MEP model demonstrates outstanding results in accurately describing the correlations between the input characteristics and CS of PSPB, as indicated by the high R 2 of 0.89.

  6. The SA showed that the size of sand particles and fiber content have the greatest impact, contributing 33.02 and 21.56%, respectively, to the anticipated CS of PSPB. The PA also validated the model performance by showing a similar trend to that found in the experimental findings.

  7. MEP proposed a simplified closed-form mathematical formula and GUI for forecasting the CS of PSPB, which can contribute to sustainable practices by providing a design tool for using PW as a sustainable alternative for cement in PBs.

6 Limitations and future work

Although this study provides valuable insights into the use of plastic in pavers through experimental investigations and machine learning optimization, it has several limitations. The proposed equations and the GUI are restricted to the range of inputs used in this study. This constraint limits the generalizability of our findings to broader applications.

In future work, it is recommended that the database be expanded to include a wider variety of parameters and conditions. This enhancement would allow for more robust modeling and optimization. Additionally, advanced machine learning techniques could be employed to improve predictive accuracy and model performance. Further, SHAP (SHapley Additive exPlanations) analysis can be conducted to gain deeper insights into the contributions of different parameters.

Acknowledgments

The authors would like to acknowledge the support of Princess Nourah bint Abdulrahman University Researchers Supporting Project number (PNURSP2024R435), Princess Nourah bint Abdulrahman University, Riyadh, Saudi Arabia.

  1. Funding information: This research is funded by Princess Nourah bint Abdulrahman University Researchers Supporting Project number (PNURSP2024R435), Princess Nourah bint Abdulrahman University, Riyadh, Saudi Arabia.

  2. Author contributions: Usama Asif: conceptualization, methodology, software, machine learning, data curation, investigation, validation, writing – original draft, writing – review and editing, and visualization. Muhammad Faisal Javed: conceptualization, methodology, validation, investigation, writing – review and editing, and supervision. Deema Mohammed Alsekait: project administration, funding acquisition, and resources. Diaa Salama AbdElminaam: investigation, conceptualization, and resources. Hisham Alabduljabbar: project administration, funding acquisition, and resources. All authors have accepted responsibility for the entire content of this manuscript and approved its submission.

  3. Conflict of interest: The authors state no conflict of interest.

  4. Data availability statement: The datasets generated and/or analyzed during the current study are available from the corresponding author on reasonable request.

References

[1] Kee, J., H. Wong, K. K. Lee, K. Ho, D. Tang, and P.-S. Yap. Microplastics in the freshwater and terrestrial environments: prevalence, fates, impacts and sustainable solutions. The Science of the Total Environment, Vol. 719, 2020, id. 137512.10.1016/j.scitotenv.2020.137512Search in Google Scholar PubMed

[2] Celep, O., G. Aydin, and I. Karakurt. Diamond recovery from waste sawblades: a preliminary investigation. Proceedings of the Institution of Mechanical Engineers, Part B: Journal of Engineering Manufacture, Vol. 227, No. 6, Apr. 2013, pp. 917–921.10.1177/0954405412471524Search in Google Scholar

[3] Aydin, G., S. Kaya, and I. Karakurt. Utilization of solid-cutting waste of granite as an alternative abrasive in abrasive waterjet cutting of marble. Journal of Cleaner Production, Vol. 159, Aug. 2017, pp. 241–247.10.1016/j.jclepro.2017.04.173Search in Google Scholar

[4] Gravis, L. 2017. The New Plastics Economy: Rethinking. - Google Scholar.” Accessed: Dec. 30, 2023. [Online]. Available: https://scholar.google.com/scholar?q=Gravis%2C%20L.%2C%202017.%20The%20New%20Plastics%20Economy%3A%20Rethinking%20the%20Future%20of%20Plastics%20%26%20Catalysing%20Action.%20Ellen%20MacArthur%20Found.%2068.Search in Google Scholar

[5] Aminot, Y., C. Lanctôt, V. Bednarz, W. J. Robson, A. Taylor, C. Ferrier-Pagès, et al. Leaching of flame-retardants from polystyrene debris: bioaccumulation and potential effects on coral. Marine Pollution Bulletin, Vol. 151, 2020, id. 110862.10.1016/j.marpolbul.2019.110862Search in Google Scholar PubMed

[6] Saikia, N. and J. D.e Brito. Use of plastic waste as aggregate in cement mortar and concrete preparation: a review. Construction and Building Materials, Vol. 34, 2012, pp. 385–401.10.1016/j.conbuildmat.2012.02.066Search in Google Scholar

[7] Almeshal, I., B. A. Tayeh, R. Alyousef, H. Alabduljabbar, A. Mustafa Mohamed, and A. Alaskar. Use of recycled plastic as fine aggregate in cementitious composites: a review. Construction and Building Materials, Vol. 253, Aug. 2020, id. 119146.10.1016/j.conbuildmat.2020.119146Search in Google Scholar

[8] Saberian, M., J. Zhang, A. Gajanayake, J. Li, G. Zhang, and M. Boroujeni. Life cycle assessment (LCA) of concrete containing waste materials: comparative studies, Vol. 30, 2022, pp. 637–659.10.1016/B978-0-12-821730-6.00007-3Search in Google Scholar

[9] Sundaramurthy, S., S. Bala, A. K. Sharma, J. Verma, S. Zahmatkesh, S. Arisutha, et al. Performance evaluation of environmentally sustainable precast cement concrete paver blocks using fly ash and polypropylene fibre. Sustainability, Vol. 14, No. 23, 2022, id. 15699.10.3390/su142315699Search in Google Scholar

[10] Sadiqul Islam, G. M., M. H. Rahman, and N. Kazi. Waste glass powder as partial replacement of cement for sustainable concrete practice”. International Journal of Sustainable Built Environment, Vol. 6, 2017, pp. 37–44.10.1016/j.ijsbe.2016.10.005Search in Google Scholar

[11] Amran, Y. H. M., R. Alyousef, H. Alabduljabbar, and M. El-Zeadani. Clean production and properties of geopolymer concrete; a review. Journal of Cleaner Production, Vol. 251, Apr. 2020, id. 119679.10.1016/j.jclepro.2019.119679Search in Google Scholar

[12] Tempa, K., N. Chettri, G. Thapa, Phurba, C. Gyeltshen, D. Norbu, et al. An experimental study and sustainability assessment of plastic waste as a binding material for producing economical cement-less paver blocks. Engineering Science and Technology, an International Journal, Vol. 26, Feb. 2022, id. 101008.10.1016/j.jestch.2021.05.012Search in Google Scholar

[13] Gu, L. and T. Ozbakkaloglu. Use of recycled plastics in concrete: a critical review. Waste Management, Vol. 51, May 2016, pp. 19–42.10.1016/j.wasman.2016.03.005Search in Google Scholar PubMed

[14] Agyeman, S., N. K. Obeng-Ahenkora, S. Assiamah, and G. Twumasi. Exploiting recycled plastic waste as an alternative binder for paving blocks production. Case Studies in Construction Materials, Vol. 11, Dec. 2019, id. e00246.10.1016/j.cscm.2019.e00246Search in Google Scholar

[15] Awoyera, P. O. and A. Adesina. Plastic wastes to construction products: Status, limitations and future perspective. Case Studies in Construction Materials, Vol. 12, Jun. 2020, id. e00330.10.1016/j.cscm.2020.e00330Search in Google Scholar

[16] Ganjian, E., G. Jalull, and H. Sadeghi-Pouya. Reducing cement contents of paving blocks by using mineral waste and by-product materials. Journal of Materials in Civil Engineering, Vol. 27, No. 1, Jan. 2015, id. 04014106.10.1061/(ASCE)MT.1943-5533.0001037Search in Google Scholar

[17] Abdollahzadeh, G. R., E. Jahani, and Z. Kashir. Genetic programming based formulation to predict compressive strength of high strength concrete. Civil Engineering Infrastructures Journal, Vol. 50, No. 2, 2017, pp. 207–219.Search in Google Scholar

[18] Zhang, J., Y. Zhao, and H. Li. Experimental investigation and prediction of compressive strength of ultra-high performance concrete containing supplementary cementitious materials. Advances in Materials Science and Engineering, Vol. 2017, 2017, pp. 1–8.10.1155/2017/4563164Search in Google Scholar

[19] Asif, U., M. F. Javed, M. Alyami, and A. W. Hammad. Performance evaluation of concrete made with plastic waste using multi-expression programming. Materials Today Communications, Vol. 39, Apr. 2024, id. 108789.10.1016/j.mtcomm.2024.108789Search in Google Scholar

[20] Asif, U., M. F. Javed, M. Abuhussain, M. Ali, W. A. Khan, and A. Mohamed. Predicting the mechanical properties of plastic concrete: an optimization method by using genetic programming and ensemble learners. Case Studies in Construction Materials, Vol. 20, Apr. 2024, id. e03135.10.1016/j.cscm.2024.e03135Search in Google Scholar

[21] Sun, J., J. Zhang, Y. Gu, Y. Huang, Y. Sun, and G. Ma. Prediction of permeability and unconfined compressive strength of pervious concrete using evolved support vector regression. Construction and Building Materials, Vol. 207, May 2019, pp. 440–449.10.1016/j.conbuildmat.2019.02.117Search in Google Scholar

[22] Alabduljabbar, H., M. Khan, H. H. Awan, S. M. Eldin, R. Alyousef, and A. M. Mohamed. Predicting ultra-high-performance concrete compressive strength using gene expression programming method. Case Studies in Construction Materials, Vol. 18, Jul. 2023, id. e02074.Search in Google Scholar

[23] Shi, S., D. Han, and M. Cui. A multimodal hybrid parallel network intrusion detection model. Connection Science, Vol. 35, No. 1, 2023, id. 2227780.10.1080/09540091.2023.2227780Search in Google Scholar

[24] Khan, M. and M. F. Javed. Towards sustainable construction: Machine learning based predictive models for strength and durability characteristics of blended cement concrete. Materials Today Communications, Vol. 37, Dec. 2023, id. 107428.10.1016/j.mtcomm.2023.107428Search in Google Scholar

[25] Sun, Z., Y. Li, L. Su, S. Liu, and Z. Chen. Predicting corrosion behaviour of steel reinforcement in eco-friendly coral aggregate concrete based on hybrid machine learning methods. Nondestructive Testing and Evaluation, May 2024, pp. 1–21.10.1080/10589759.2024.2349243Search in Google Scholar

[26] Sun, Z., Y. Li, Y. Li, L. Su, and W. He. Investigation on compressive strength of coral aggregate concrete: hybrid machine learning models and experimental validation. Journal of Building Engineering, Vol. 82, Apr. 2024, id. 108220.10.1016/j.jobe.2023.108220Search in Google Scholar

[27] Sun, Z., Y. Li, L. Su, D. Niu, D. Luo, W. He, et al. Investigation of electrical resistivity for fiber-reinforced coral aggregate concrete. Construction and Building Materials, Vol. 414, Feb. 2024, id. 135011.10.1016/j.conbuildmat.2024.135011Search in Google Scholar

[28] Chou, J.-S., C.-F. Tsai, A.-D. Pham, and Y.-H. Lu. Machine learning in concrete strength simulations: Multi-nation data analytics. Construction and Building Materials, Vol. 73, 2014, pp. 771–780.10.1016/j.conbuildmat.2014.09.054Search in Google Scholar

[29] Trocoli, A., A. Dantas, M. B. Leite, K. De, and J. Nagahama. Prediction of compressive strength of concrete containing construction and demolition waste using artificial neural networks. Construction and Building Materials, Vol. 38, 2012, pp. 717–722.10.1016/j.conbuildmat.2012.09.026Search in Google Scholar

[30] Chen, D. L., J. W. Zhao, and S. R. Qin. SVM strategy and analysis of a three-phase quasi-Z-source inverter with high voltage transmission ratio. Science China Technological Sciences, Vol. 66, 2023, pp. 2996–3010.10.1007/s11431-022-2394-4Search in Google Scholar

[31] Amlashi, A. T., A. R. Ghanizadeh, H. Abbaslou, and P. Alidoust. Developing three hybrid machine learning algorithms for predicting the mechanical properties of plastic concrete samples with different geometries, Vol. 4, No. 1, 2020, pp. 37–54.Search in Google Scholar

[32] Bagheri, M., X. He, N. Oustriere, W. Liu, H. Shi, M. A. Limmer, et al. Investigating plant uptake of organic contaminants through transpiration stream concentration factor and neural network models. Science of the Total Environment, Vol. 751, Jan. 2021, id. 141418.10.1016/j.scitotenv.2020.141418Search in Google Scholar PubMed

[33] Sebaaly, H., S. Varma, and J. W. Maina. Optimizing asphalt mix design process using artificial neural network and genetic algorithm. Construction and Building Materials, Vol. 168, Apr. 2018, pp. 660–670.10.1016/j.conbuildmat.2018.02.118Search in Google Scholar

[34] Khan, M., R. Nassar, A. U. Khan, M. Houda, C. El Hachem, M. Rasheed, et al. Optimizing durability assessment: machine learning models for depth of wear of environmentally-friendly concrete. Results in Engineering, Vol. 20, Dec. 2023, id. 101625.10.1016/j.rineng.2023.101625Search in Google Scholar

[35] Iftikhar, B., S. C. Alih, M. Vafaei, M. F. Javed, M. F. Rehman, S. S. Abdullaev, et al. Predicting compressive strength of eco-friendly plastic sand paver blocks using gene expression and artificial intelligence programming. Scientific Reports, Vol. 13, No. 1, 2023, pp. 1–17.Search in Google Scholar

[36] Chen, L., Z. Wang, A. A. Khan, M. Khan, M. F. Javed, A. Alaskar, et al. Development of predictive models for sustainable concrete via genetic programming-based algorithms. Journal of Materials Research and Technology, Vol. 24, May 2023, pp. 6391–6410.10.1016/j.jmrt.2023.04.180Search in Google Scholar

[37] Fei, R., Y. Guo, J. Li, B. Hu, and L. Yang. An improved BPNN method based on probability density for indoor location. IEICE TRANSACTIONS on Information and Systems, Vol. 106, No. 5, 2023, pp. 773–785.10.1587/transinf.2022DLP0073Search in Google Scholar

[38] Sun, Z., Y. Li, Y. Yang, L. Su, and S. Xie. Splitting tensile strength of basalt fiber reinforced coral aggregate concrete: optimized XGBoost models and experimental validation. Construction and Building Materials, Vol. 416, Feb. 2024, id. 135133.10.1016/j.conbuildmat.2024.135133Search in Google Scholar

[39] Li, M., F. Gong, and Z. Wu. Study on mechanical properties of alkali-resistant basalt fiber reinforced concrete. Construction and Building Materials, Vol. 245, Jun. 2020, id. 118424.10.1016/j.conbuildmat.2020.118424Search in Google Scholar

[40] Ladani, R. B., S. Wu, A. J. Kinloch, K. Ghorbani, A. P. Mouritz, and C. H. Wang. Enhancing fatigue resistance and damage characterisation in adhesively-bonded composite joints by carbon nanofibres. Composites Science and Technology, Vol. 149, Sep. 2017, pp. 116–126.10.1016/j.compscitech.2017.06.018Search in Google Scholar

[41] Il Choi, J. and B. Y. Lee. Bonding properties of basalt fiber and strength reduction according to fiber orientation. Materials, Vol. 8, No. 10, 2015, pp. 6719–6727.10.3390/ma8105335Search in Google Scholar PubMed PubMed Central

[42] Cheng, Z. L., W. H. Zhou, and A. Garg. Genetic programming model for estimating soil suction in shallow soil layers in the vicinity of a tree. Engineering Geology, Vol. 268, Apr. 2020, id. 105506.10.1016/j.enggeo.2020.105506Search in Google Scholar

[43] Koza, J. R. and R. Poli. Genetic programming search methodologies: introductory tutorials in optimization and decision support. Techniques, 2005, pp. 127–164.10.1007/0-387-28356-0_5Search in Google Scholar

[44] Crina, M. O. and G. Gros¸an. A comparison of several linear GP techniques optical computing view project fruit recognition from images using deep learning view project mihai oltean a comparison of several linear genetic programming Techniques, Vol. 16, 2003, www.mep.cs.ubbcluj.ro.Search in Google Scholar

[45] Gandomi, A. H., A. Faramarzifar, P. G. Rezaee, A. Asghari, and S. Talatahari. New design equations for elastic modulus of concrete using multi expression programming. Vilnius Gediminas Technical University, Vol. 21, No. 6, Aug. 2015, pp. 761–774.10.3846/13923730.2014.893910Search in Google Scholar

[46] Oltean, M. and C. Groşan. Evolving evolutionary algorithms using multi expression programming. Lecture Notes in Artificial Intelligence (Subseries of Lecture Notes in Computer Science), Vol. 2801, 2003, pp. 651–658.10.1007/978-3-540-39432-7_70Search in Google Scholar

[47] “ASTM C902-00 - Standard Specification for Pedestrian and Light Traffic Paving Brick.” Accessed: Dec. 28, 2023. [Online]. Available: https://standards.iteh.ai/catalog/standards/astm/652a780b-b130-487d-ab04-6385562281a5/astm-c902-00.Search in Google Scholar

[48] Abdalla, A. and A. S. Mohammed. Hybrid MARS-, MEP-, and ANN-based prediction for modeling the compressive strength of cement mortar with various sand size and clay mineral metakaolin content. Archives of Civil and Mechanical Engineering, Vol. 22, No. 4, Nov. 2022, pp. 1–16.10.1007/s43452-022-00519-0Search in Google Scholar

[49] Ferreira, C. Gene expression programming: a new adaptive algorithm for solving problems, arxiv.orgC FerreiraarXiv Prepr. cs/0102027, 2001•arxiv.org (2001).Search in Google Scholar

[50] Iftikhar Faraz, M., S. Ul Arifeen, M. Nasir Amin, A. Nafees, F. Althoey, and A. Niaz. A comprehensive GEP and MEP analysis of a cement-based concrete containing metakaolin. Structures, Vol. 53, Jul. 2023, pp. 937–948.10.1016/j.istruc.2023.04.050Search in Google Scholar

[51] Gandomi, A. H. and D. A. Roke. Assessment of artificial neural network and genetic programming as predictive tools. Advances in Engineering Software, Vol. 88, Oct. 2015, pp. 63–72.10.1016/j.advengsoft.2015.05.007Search in Google Scholar

[52] Sharma, C. and C. S.P. Ojha. Statistical parameters of hydrometeorological variables: standard deviation, SNR, skewness and kurtosis. Lecture Notes in Civil Engineering, Vol. 39, 2020, pp. 59–70.10.1007/978-981-13-8181-2_5Search in Google Scholar

[53] Mousavi, S. M., P. Aminian, A. H. Gandomi, A. H. Alavi, and H. Bolandi. A new predictive model for compressive strength of HPC using gene expression programming. Advances in Engineering Software, Vol. 45, No. 1, 2012, pp. 105–114.10.1016/j.advengsoft.2011.09.014Search in Google Scholar

[54] Alyousef, R., M. F. Rehman, M. Khan, M. Fawad, A. U. Khan, A. M. Hassan, et al. Machine learning-driven predictive models for compressive strength of steel fiber reinforced concrete subjected to high temperatures. Case Studies in Construction Materials, Vol. 19, Dec. 2023, id. e02418.10.1016/j.cscm.2023.e02418Search in Google Scholar

[55] Iqbal, M. F., Q. F. Liu, I. Azim, X. Zhu, J. Yang, M. F. Javed, et al. Prediction of mechanical properties of green concrete incorporating waste foundry sand based on gene expression programming. Journal of Hazardous Materials, Vol. 384, Feb. 2020, id. 121322.10.1016/j.jhazmat.2019.121322Search in Google Scholar PubMed

[56] Alabduljabbar, H., M. Khan, H. Awan, S. M. Eldin, R. Alyousef, and M. Mohamed. Predicting ultra-high-performance concrete compressive strength using gene expression programming method. Case Studies in Construction Materials, Vol. 18, 2023, id. e02074.10.1016/j.cscm.2023.e02074Search in Google Scholar

[57] Alyami, M., M. Khan, M. Fawad, R. Nawaz, A. Hammad, T. Najeh, et al. Predictive modeling for compressive strength of 3D printed fiber-reinforced concrete using machine learning algorithms. Case Studies in Construction Materials, Vol. 20, Jul. 2024, id. e02728.10.1016/j.cscm.2023.e02728Search in Google Scholar

[58] Liu, Z., Z. Xu, X. Zheng, Y. Zhao, and J. Wang. 3D path planning in threat environment based on fuzzy logic. Journal of Intelligent & Fuzzy Systems, Vol. 46, 2024, pp. 7021–7034.10.3233/JIFS-232076Search in Google Scholar

[59] Iqbal, M. F., M. F. Javed, M. Rauf, I. Azim, M. Ashraf, J. Yang, et al. Sustainable utilization of foundry waste: forecasting mechanical properties of foundry sand based concrete using multi-expression programming. Science of the Total Environment, Vol. 780, Aug. 2021, id. 46524.10.1016/j.scitotenv.2021.146524Search in Google Scholar PubMed

[60] Iftikhar, B., S. C. Alih, M. Vafaei, M. Ali, M. F. Javed, U. Asif, et al. Experimental study on the eco-friendly plastic-sand paver blocks by utilising plastic waste and basalt fibers. Heliyon, Vol. 9, 2023, id. 17107.10.1016/j.heliyon.2023.e17107Search in Google Scholar PubMed PubMed Central

[61] Wille, K., D. J. Kim, and A. E. Naaman. Strain-hardening UHP-FRC with low fiber contents. Materials and Structures, Vol. 3, No. 44, Apr. 2011, pp. 583–598.10.1617/s11527-010-9650-4Search in Google Scholar

[62] Djamaluddin, A. R., M. A. Caronge, M. W. Tjaronge, A. T. Lando, and R. Irmawaty. Evaluation of sustainable concrete paving blocks incorporating processed waste tea ash. Case Studies in Construction Materials, Vol. 12, Jun. 2020, id. e00325.10.1016/j.cscm.2019.e00325Search in Google Scholar

[63] Khan, M., M. Cao, X. Chaopeng, and M. Ali. Experimental and analytical study of hybrid fiber reinforced concrete prepared with basalt fiber under high temperature. Fire Mater, Vol. 46, No. 1, Jan. 2022, pp. 205–226.10.1002/fam.2968Search in Google Scholar

[64] Alavi, A. H., M. Ameri, A. H. Gandomi, and M. R. Mirzahosseini. Formulation of flow number of asphalt mixes using a hybrid computational method. Construction and Building Materials, Vol. 25, No. 3, Mar. 2011, pp. 1338–1355.10.1016/j.conbuildmat.2010.09.010Search in Google Scholar

[65] Iftikhar, B., S. C. Alih, M. Vafaei, M. F. Javed, M. F. Rehman, S. S. Abdullaev, et al. Predicting compressive strength of eco-friendly plastic sand paver blocks using gene expression and artificial intelligence programming. Scientific Reports, Vol. 13, No. 1, Jul. 2023, pp. 1–17.10.1038/s41598-023-39349-2Search in Google Scholar PubMed PubMed Central

[66] Guo, J., Y. Liu, Q. Zou, L. Ye, S. Zhu, and H. Zhang. Study on optimization and combination strategy of multiple daily runoff prediction models coupled with physical mechanism and LSTM. Journal of Hydrology, Vol. 624, 2023, id. 129969.10.1016/j.jhydrol.2023.129969Search in Google Scholar

[67] Iftikhar, B., S. C. Alih, M. Vafaei, M. F. Javed, M. Ali, Y. Gamil, et al. A machine learning-based genetic programming approach for the sustainable production of plastic sand paver blocks. Journal of Materials Research and Technology, Vol. 25, Jul. 2023, pp. 5705–5719.10.1016/j.jmrt.2023.07.034Search in Google Scholar

[68] Hou, Y., Q. Wang, K. Zhou, L. Zhang, and T. Tan. Integrated machine learning methods with oversampling technique for regional suitability prediction of waste-to-energy incineration projects. Waste Management, Vol. 174, Feb. 2024, pp. 251–262.10.1016/j.wasman.2023.12.006Search in Google Scholar PubMed

[69] Ershadi, A., M. Finkel, B. Susset, and P. Grathwohl. Applicability of machine learning models for the assessment of long-term pollutant leaching from solid waste materials. Waste Management, Vol. 171, Nov. 2023, pp. 337–349.10.1016/j.wasman.2023.09.001Search in Google Scholar PubMed

[70] Jiang, Y., J. Huang, W. Luo, K. Chen, W. Yu, W. Zhang, et al. Prediction for odor gas generation from domestic waste based on machine learning. Waste Management, Vol. 156, Feb. 2023, pp. 264–271.10.1016/j.wasman.2022.12.006Search in Google Scholar PubMed

[71] Hasanzadeh, R. and T. Azdast. Machine learning utilization on air gasification of polyethylene terephthalate waste. Waste Management Bulletin, Vol. 2, No. 1, Apr. 2024, pp. 75–82.10.1016/j.wmb.2023.12.011Search in Google Scholar

Received: 2024-04-27
Revised: 2024-07-18
Accepted: 2024-07-30
Published Online: 2024-08-28

© 2024 the author(s), published by De Gruyter

This work is licensed under the Creative Commons Attribution 4.0 International License.

Articles in the same Issue

  1. Review Articles
  2. Effect of superplasticizer in geopolymer and alkali-activated cement mortar/concrete: A review
  3. Experimenting the influence of corncob ash on the mechanical strength of slag-based geopolymer concrete
  4. Powder metallurgy processing of high entropy alloys: Bibliometric analysis and systematic review
  5. Exploring the potential of agricultural waste as an additive in ultra-high-performance concrete for sustainable construction: A comprehensive review
  6. A review on partial substitution of nanosilica in concrete
  7. Foam concrete for lightweight construction applications: A comprehensive review of the research development and material characteristics
  8. Modification of PEEK for implants: Strategies to improve mechanical, antibacterial, and osteogenic properties
  9. Interfacing the IoT in composite manufacturing: An overview
  10. Advances in processing and ablation properties of carbon fiber reinforced ultra-high temperature ceramic composites
  11. Advancing auxetic materials: Emerging development and innovative applications
  12. Revolutionizing energy harvesting: A comprehensive review of thermoelectric devices
  13. Exploring polyetheretherketone in dental implants and abutments: A focus on biomechanics and finite element methods
  14. Smart technologies and textiles and their potential use and application in the care and support of elderly individuals: A systematic review
  15. Reinforcement mechanisms and current research status of silicon carbide whisker-reinforced composites: A comprehensive review
  16. Innovative eco-friendly bio-composites: A comprehensive review of the fabrication, characterization, and applications
  17. Review on geopolymer concrete incorporating Alccofine-1203
  18. Advancements in surface treatments for aluminum alloys in sports equipment
  19. Ionic liquid-modified carbon-based fillers and their polymer composites – A Raman spectroscopy analysis
  20. Emerging boron nitride nanosheets: A review on synthesis, corrosion resistance coatings, and their impacts on the environment and health
  21. Mechanism, models, and influence of heterogeneous factors of the microarc oxidation process: A comprehensive review
  22. Synthesizing sustainable construction paradigms: A comprehensive review and bibliometric analysis of granite waste powder utilization and moisture correction in concrete
  23. 10.1515/rams-2025-0086
  24. Research Articles
  25. Coverage and reliability improvement of copper metallization layer in through hole at BGA area during load board manufacture
  26. Study on dynamic response of cushion layer-reinforced concrete slab under rockfall impact based on smoothed particle hydrodynamics and finite-element method coupling
  27. Study on the mechanical properties and microstructure of recycled brick aggregate concrete with waste fiber
  28. Multiscale characterization of the UV aging resistance and mechanism of light stabilizer-modified asphalt
  29. Characterization of sandwich materials – Nomex-Aramid carbon fiber performances under mechanical loadings: Nonlinear FE and convergence studies
  30. Effect of grain boundary segregation and oxygen vacancy annihilation on aging resistance of cobalt oxide-doped 3Y-TZP ceramics for biomedical applications
  31. Mechanical damage mechanism investigation on CFRP strengthened recycled red brick concrete
  32. Finite element analysis of deterioration of axial compression behavior of corroded steel-reinforced concrete middle-length columns
  33. Grinding force model for ultrasonic assisted grinding of γ-TiAl intermetallic compounds and experimental validation
  34. Enhancement of hardness and wear strength of pure Cu and Cu–TiO2 composites via a friction stir process while maintaining electrical resistivity
  35. Effect of sand–precursor ratio on mechanical properties and durability of geopolymer mortar with manufactured sand
  36. Research on the strength prediction for pervious concrete based on design porosity and water-to-cement ratio
  37. Development of a new damping ratio prediction model for recycled aggregate concrete: Incorporating modified admixtures and carbonation effects
  38. Exploring the viability of AI-aided genetic algorithms in estimating the crack repair rate of self-healing concrete
  39. Modification of methacrylate bone cement with eugenol – A new material with antibacterial properties
  40. Numerical investigations on constitutive model parameters of HRB400 and HTRB600 steel bars based on tensile and fatigue tests
  41. Research progress on Fe3+-activated near-infrared phosphor
  42. Discrete element simulation study on effects of grain preferred orientation on micro-cracking and macro-mechanical behavior of crystalline rocks
  43. Ultrasonic resonance evaluation method for deep interfacial debonding defects of multilayer adhesive bonded materials
  44. Effect of impurity components in titanium gypsum on the setting time and mechanical properties of gypsum-slag cementitious materials
  45. Bending energy absorption performance of composite fender piles with different winding angles
  46. Theoretical study of the effect of orientations and fibre volume on the thermal insulation capability of reinforced polymer composites
  47. Synthesis and characterization of a novel ternary magnetic composite for the enhanced adsorption capacity to remove organic dyes
  48. Couple effects of multi-impact damage and CAI capability on NCF composites
  49. Mechanical testing and engineering applicability analysis of SAP concrete used in buffer layer design for tunnels in active fault zones
  50. Investigating the rheological characteristics of alkali-activated concrete using contemporary artificial intelligence approaches
  51. Integrating micro- and nanowaste glass with waste foundry sand in ultra-high-performance concrete to enhance material performance and sustainability
  52. Effect of water immersion on shear strength of epoxy adhesive filled with graphene nanoplatelets
  53. Impact of carbon content on the phase structure and mechanical properties of TiBCN coatings via direct current magnetron sputtering
  54. Investigating the anti-aging properties of asphalt modified with polyphosphoric acid and tire pyrolysis oil
  55. Biomedical and therapeutic potential of marine-derived Pseudomonas sp. strain AHG22 exopolysaccharide: A novel bioactive microbial metabolite
  56. Effect of basalt fiber length on the behavior of natural hydraulic lime-based mortars
  57. Optimizing the performance of TPCB/SCA composite-modified asphalt using improved response surface methodology
  58. Compressive strength of waste-derived cementitious composites using machine learning
  59. Melting phenomenon of thermally stratified MHD Powell–Eyring nanofluid with variable porosity past a stretching Riga plate
  60. Development and characterization of a coaxial strain-sensing cable integrated steel strand for wide-range stress monitoring
  61. Compressive and tensile strength estimation of sustainable geopolymer concrete using contemporary boosting ensemble techniques
  62. Customized 3D printed porous titanium scaffolds with nanotubes loading antibacterial drugs for bone tissue engineering
  63. Facile design of PTFE-kaolin-based ternary nanocomposite as a hydrophobic and high corrosion-barrier coating
  64. Effects of C and heat treatment on microstructure, mechanical, and tribo-corrosion properties of VAlTiMoSi high-entropy alloy coating
  65. Study on the damage mechanism and evolution model of preloaded sandstone subjected to freezing–thawing action based on the NMR technology
  66. Promoting low carbon construction using alkali-activated materials: A modeling study for strength prediction and feature interaction
  67. Entropy generation analysis of MHD convection flow of hybrid nanofluid in a wavy enclosure with heat generation and thermal radiation
  68. Friction stir welding of dissimilar Al–Mg alloys for aerospace applications: Prospects and future potential
  69. Fe nanoparticle-functionalized ordered mesoporous carbon with tailored mesostructures and their applications in magnetic removal of Ag(i)
  70. Study on physical and mechanical properties of complex-phase conductive fiber cementitious materials
  71. Evaluating the strength loss and the effectiveness of glass and eggshell powder for cement mortar under acidic conditions
  72. Effect of fly ash on properties and hydration of calcium sulphoaluminate cement-based materials with high water content
  73. Analyzing the efficacy of waste marble and glass powder for the compressive strength of self-compacting concrete using machine learning strategies
  74. Experimental study on municipal solid waste incineration ash micro-powder as concrete admixture
  75. Parameter optimization for ultrasonic-assisted grinding of γ-TiAl intermetallics: A gray relational analysis approach with surface integrity evaluation
  76. Producing sustainable binding materials using marble waste blended with fly ash and rice husk ash for building materials
  77. Effect of steam curing system on compressive strength of recycled aggregate concrete
  78. A sawtooth constitutive model describing strain hardening and multiple cracking of ECC under uniaxial tension
  79. Predicting mechanical properties of sustainable green concrete using novel machine learning: Stacking and gene expression programming
  80. Toward sustainability: Integrating experimental study and data-driven modeling for eco-friendly paver blocks containing plastic waste
  81. A numerical analysis of the rotational flow of a hybrid nanofluid past a unidirectional extending surface with velocity and thermal slip conditions
  82. A magnetohydrodynamic flow of a water-based hybrid nanofluid past a convectively heated rotating disk surface: A passive control of nanoparticles
  83. Prediction of flexural strength of concrete with eggshell and glass powders: Advanced cutting-edge approach for sustainable materials
  84. Efficacy of sustainable cementitious materials on concrete porosity for enhancing the durability of building materials
  85. Phase and microstructural characterization of swat soapstone (Mg3Si4O10(OH)2)
  86. Effect of waste crab shell powder on matrix asphalt
  87. Improving effect and mechanism on service performance of asphalt binder modified by PW polymer
  88. Influence of pH on the synthesis of carbon spheres and the application of carbon sphere-based solid catalysts in esterification
  89. Experimenting the compressive performance of low-carbon alkali-activated materials using advanced modeling techniques
  90. Thermogravimetric (TG/DTG) characterization of cold-pressed oil blends and Saccharomyces cerevisiae-based microcapsules obtained with them
  91. Investigation of temperature effect on thermo-mechanical property of carbon fiber/PEEK composites
  92. Computational approaches for structural analysis of wood specimens
  93. Integrated structure–function design of 3D-printed porous polydimethylsiloxane for superhydrophobic engineering
  94. Exploring the impact of seashell powder and nano-silica on ultra-high-performance self-curing concrete: Insights into mechanical strength, durability, and high-temperature resilience
  95. Axial compression damage constitutive model and damage characteristics of fly ash/silica fume modified magnesium phosphate cement after being treated at different temperatures
  96. Integrating testing and modeling methods to examine the feasibility of blended waste materials for the compressive strength of rubberized mortar
  97. Special Issue on 3D and 4D Printing of Advanced Functional Materials - Part II
  98. Energy absorption of gradient triply periodic minimal surface structure manufactured by stereolithography
  99. Marine polymers in tissue bioprinting: Current achievements and challenges
  100. Quick insight into the dynamic dimensions of 4D printing in polymeric composite mechanics
  101. Recent advances in 4D printing of hydrogels
  102. Mechanically sustainable and primary recycled thermo-responsive ABS–PLA polymer composites for 4D printing applications: Fabrication and studies
  103. Special Issue on Materials and Technologies for Low-carbon Biomass Processing and Upgrading
  104. Low-carbon embodied alkali-activated materials for sustainable construction: A comparative study of single and ensemble learners
  105. Study on bending performance of prefabricated glulam-cross laminated timber composite floor
  106. Special Issue on Recent Advancement in Low-carbon Cement-based Materials - Part I
  107. Supplementary cementitious materials-based concrete porosity estimation using modeling approaches: A comparative study of GEP and MEP
  108. Modeling the strength parameters of agro waste-derived geopolymer concrete using advanced machine intelligence techniques
  109. Promoting the sustainable construction: A scientometric review on the utilization of waste glass in concrete
  110. Incorporating geranium plant waste into ultra-high performance concrete prepared with crumb rubber as fine aggregate in the presence of polypropylene fibers
  111. Investigation of nano-basic oxygen furnace slag and nano-banded iron formation on properties of high-performance geopolymer concrete
  112. Effect of incorporating ultrafine palm oil fuel ash on the resistance to corrosion of steel bars embedded in high-strength green concrete
  113. Influence of nanomaterials on properties and durability of ultra-high-performance geopolymer concrete
  114. Influence of palm oil ash and palm oil clinker on the properties of lightweight concrete
Downloaded on 30.11.2025 from https://www.degruyterbrill.com/document/doi/10.1515/rams-2024-0051/html
Scroll to top button