Abstract
To explore the characteristics of nanopores in organic-rich shale, the shale of the Upper Yangtze area under different maturity are studied. Scanning electron microscopy (SEM), low temperature nitrogen experiment (LP-N2-GA) and the Frenkel-Halsey-Hill (FHH) fractal model were used. Results show that the intergranular pores and organic pores are most developed, and the pore size is distributed from a few nanometers to several tens of micrometers. The SEM gray scale images make the pore development characteristics of shale be observed more intuitively. Based on the results of low temperature nitrogen adsorption test and FHH fractal model, the results show the fractal dimension of shale is positively correlated with TOC and quartz, but negatively related to clay minerals and feldspar. There is a good relation between maturity and pore volume.With releasing of pressure, the pore evolution gradually returns to the normal compaction trend, and the pore volume of the shale decrease.

Graphical abstract: There are many nano-scale pores in the shale, and the pore characteristics determine the characteristics of shale reservoirs. At the initial stage of sedimentary burial, when Ro is less than 0.7%, the pore volume and specific surface area of the initial shale are large. At the medium maturity stage (0.7%<Ro<1.3%), the pore volume and pores caused by mechanical compaction to some extent. As the degree of thermal evolution deepens to the high maturity stage (1.3% <Ro < 2.6%), the shale is generating large amount of gas. The shale belongs to the low-porosity and low-permeability reservoirs, and the generated oil and gas cannot be effectively transported in a short period of time. The overpressure of the reservoir and the inter-mineral pore characteristics caused by the organic pores and organic acids formed by the hydrocarbon generation are more complicated. When shale is in the stage of over-maturation (Ro>2.6%), as the increase of buried depth, the end of hydrocarbon generation process and long-term pressure release, the under-compacting effect gradually disappear. Porosity evolution gradually returns to normal compaction trend in the shale.
1 Introduction
Nanopores in shale are important spaces for oil and gas storage and are key factors determining the gas-bearing properties of shale reservoirs [1, 2, 3]. Shale pore structure is complex, generally dominated by nanopores [4, 5, 6, 7]. The nanopores in the shale develop, the porosity is low, and the transmission mechanism of shale gas in the microscopic
pores is complex. At the same time, the shale gas has a complex coupling effect with the internal fluid during the development process, and this dynamic process becomes an influence. An important cause of shale gas production [8, 9, 10]. The pore fracture structure characteristics of shale reservoirs determine the mechanical properties of shale and the migration of fluids in its internal pores [11, 12].
At present, there are three main methods for characterizing nanopores in shale: (1) image analysis technology based on micro-area analysis; (2) fluid injection methods based on mercury intrusion, carbon dioxciod, nitrogen isothermal adsorption; (3) computer imaging techniques represented by nuclear magnetic resonance and medium Sub-small angle scattering [13, 14, 15, 16, 17, 18]. The results of microporous characterization of shale indicate that the microporous heterogeneity is high, and quantitative analysis of its pore structure will help to understand the characteristics of shale gas adsorption and storage [19, 21]. Besides, studies have shown that fractal dimension can be used to indicate the roughness of solid surface or pore wall. It has been applied to the quantitative characterization of coal, tight sandstone and shale pore structure in different regions. This proves the effectiveness of quantitative characterization of nanometer by fractal dimension [22, 23, 24, 25].
Based on focused particle beam electron scanning electron microscopy, Crutis et al. [1] studied the pores of shale samples in the Woodford. They found that there is no secondary pore formation in samples with a Ro value below 0.90%, and secondary pores only exist in shale with higher maturity. The pores observed by some scholars in the mature shale using scanning electron microscopy are basically intergranular pores, and the secondary pores in the thermal evolution process cannot be effectively preserved [26, 27, 28, 29, 30, 31, 32].
Based on above research, the author selects the marine shale with different maturity in the area of Upper Yangtze in southern China. With results of scanning electron microscopy and low temperature liquid nitrogen test, the FHH fractal model is used to systematically study the characteristics of different maturity shale pores. Simultaneously, factors controlling the development of shale pores during maturity evolution is analyzed.
2 Experiments
2.1 Samples
The shale samples are fresh outcrop samples. The samples are distributed in different shale field in the Upper Yangtze area. The rock stratum is the Early Silurian Long-maxi Formation and the sampling area are shown in Figure 1. The distribution of shale samples Ro used in this time ranged from 2.10% to 3.48%. According to the shale maturity division standard [7, 32], they were all in the high maturity or over-mature stage because the TOC distribution ranged from 0.06% to 15.02%. Ultima IV X-ray diffractometry showed that the mineral components in the sample were mainly quartz, plagioclase, potash feldspar, calcite, pyrite, and clay minerals. The total relative content of brittle quartz, clay and plagioclase exceeds 70%. Further quantitative analysis of clay minerals in shale using X-ray is shown in Figure 2. The clay minerals are mainly illite, kaolinite, chlorite and yam mixed layer, but the kaolinite and chlorite content are low. The relative content of kaolinite and chlorite content does not exceed 10% (Table 1).

Distribution of sampling points of organic-rich shale.

Quantitative analysis results of clay minerals in shale.
List of mineral composition of organic-rich shale samples.
| Sample-No | R∘/% | TOC/% | Quartz /% | Feldspar /% | Carbonatite/% | Pyrite /% | Clay/% | Age |
|---|---|---|---|---|---|---|---|---|
| F-1 | 2.10 | 0.06 | 50 | 17 | n.d | 2 | 31 | S1l |
| F-2 | 2.35 | 2.84 | 50 | 9 | 17 | 2 | 22 | S1l |
| F-3 | 2.35 | 1.37 | 42 | 22 | 19 | 3 | 14 | S1l |
| F-4 | 2.51 | 1.93 | 46 | 30 | n.d | 1 | 23 | S1l |
| F-5 | 2.52 | 3.58 | 53 | 11 | n.d | 8 | 28 | S1l |
| F-6 | 2.75 | 1.63 | 39 | 24 | 15 | 3 | 19 | S1l |
| F-7 | 2.87 | 0.60 | 51 | 15 | n.d | n.d | 34 | S1l |
| F-8 | 3.41 | 8.00 | 50 | 18 | 5 | 8 | 19 | S1l |
| F-9 | 3.48 | 15.02 | 64 | 16 | n.d | n.d | 20 | S1l |
Note: n.d is undetected; TOC, quartz, feldspar, carbonate, pyrite, and clay are all mass fractions.
2.2 Experimental methods
2.2.1 Low temperature liquid nitrogen adsorption experiment
The adsorption capacity of nitrogen on shale samples was measured by Autosorb-1 physical adsorption instrument manufactured by Quantachrome, USA, and the pore characteristics and mesoporous pore characteristics of the sampleswere characterized.Before the analysis, the shale samplewas first selected as a powder sample with 40-60 mesh. Then it will be degassed under vacuum at −110∘ C for 14 h to remove adsorbed moisture and other volatile substances. Subsequently, the degassed sample was weighed 1-2 g, and a series of measurement experiments of different gas adsorption amounts were carried out under a nitrogen (−196 ∘C) atmosphere to obtain sample pore volume, BET specific area and pore size distribution characteristic data. The relative equilibrium pressure (P/p0) in the experiment is generally selected from 0.050 to 0.995.
2.2.2 Scanning Electron Microscopy (SEM)
The scanning electron microscope experiment was carried out at China University of Petroleum (Beijing). The model used was FEI Quanta 200. The sample was observed by argon ion polishing before the observation. In the experiment, the energy type of the shale was combined with the energy spectrometer to determine the pore type in the shale. The resolution is 2 nm.
2.3 Shale fractal dimension calculation results
Fractal dimensions are often used to quantitatively characterize the geometry of a porous solid surface, with values ranging from2 to 3. It is generally believed that 2 represents a smooth surface and 3 represents a rough surface [21]. At present, there are many model methods for calculating the fractal dimension of porous solids by gas adsorption-desorption. There are mainly BET fractal model, Langmiur fractal model, Henry’s law fractal model, Freundlich formula fractal model and Frenkel-Halsey-Hill (FHH) fractal model [5, 33, 34]. Among them, the FHH model is simple and easy to use, adaptable, and the most widely used.
The FHH model is a method proposed by Pfeifer P et al. [35] to calculate the fractal dimension using the adsorption data obtained from cryogenic liquid nitrogen. Its expression is:
Where: V is the amount of adsorbed gas under equilibrium pressure P; Vm is the single layer covering volume; c is the characteristic constant; R is the general gas constant; T is the absolute temperature; the index s depends on the fractal dimension and the gas adsorption mechanism.
Equation (1) takes the logarithm at the same time and can be transformed into the following form:
According to the fractal FHH theory, the regression line slope s of LnV and
The fractal dimension of shale samples was calculated by Frenkel-Halsey-Hill (FHH) model to quantitatively characterize shale pore heterogeneity.
3 Results and analysis
3.1 Results of low temperature liquid nitrogen adsorption experiment
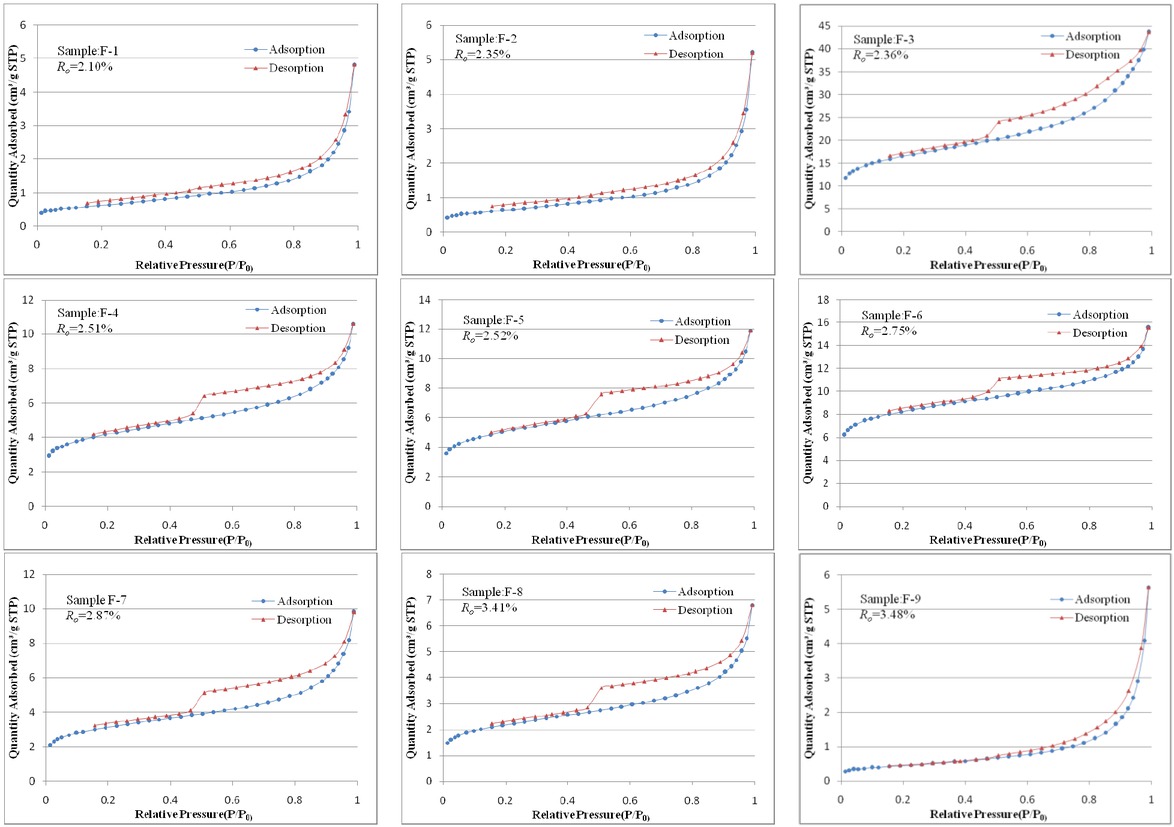
The pore size of shale was measured by nitrogen adsorption experiments to study the pore structure and characteristics of shale. From the nitrogen adsorption-desorption results (Figure 3), we can find that the adsorption curves of shale with different maturity are similar and when the relative pressure (P/Po) is <0.5, the N2 adsorption curve is slightly concave. During this stage, gas monolayer adsorption happens. When the relative pressure is equal to 0.5, the nitrogen adsorption curve has an inflection point, which is the boundary point between gas monolayer adsorption and multi-layer adsorption. During this stage, the gas adsorption amount begins to increase. When P/Po is larger than 0.5, the nitrogen adsorption curve is slightly convex and it means that both mesopores and macropores exists. The shale exhibits a multi-layer adsorption process, and the gas adsorption amount increases rapidly. In addition, the end curve of the adsorption curve rises rapidly, and the adsorption does not reach equilibrium, indicating that large pores exists in shale.

Low-temperature liquid nitrogen adsorption results of organic-rich shale.
The difference between the desorption curve and the adsorption curve is small when the maturity is less than 2.35%. The desorption curve increases slightly only when the relative pressure is greater than 0.5, indicating that small slit holes are dominant in the shale. When the maturity is more than 2.35%, the desorption curve and the adsorption curve have obvious hysteresis loops. The desorption curve drops sharply when the relative pressure is equal to 0.50 and it shows that there is void space inside the shale, such as large ink bottle-like pores [24]. When the relative pressure is less than 0.45, the difference from the adsorption curve is small, and gradually becomes coincident as the relative pressure decreases.
3.2 Results of shale fractal dimension calculation
As a porous solid, the FHH regression of the pore development is statistically significant for the shale. Take samples F-4 and F-7 as examples (Figure 4), the nitrogen isotherm adsorption data and Eq. (3) are used for fractal dimension calculation. According to Eq. (2), the fractal fitting curve is applied, and the curve is fitted by the principle of least squares. There is a linear relationship between LnV and Ln(Ln(P0/P)). The correlation coefficient is above 96% and the degree of integration is very good. The fractal dimension of the FHH model is shown in Table 2. The fractal dimension is between 2.499 and 2.860, with an average of 2.713. The average fractal dimension of the shale is large and this indicates that the surface of the shale hole wall is rough. This makes the pores in the shale strong heterogeneity.

Fractal dimension fitting results of organic-rich shale FHH model.
FHH model to calculate shale pore fractal dimension.
| Sample | s | D=s+3 | R2 | Sample | s | D=s+3 | R2 |
|---|---|---|---|---|---|---|---|
| F-1 | −0.414 | 2.586 | 0.999 | F-6 | −0.247 | 2.753 | 0.989 |
| F-2 | −0.210 | 2.790 | 0.981 | F-7 | −0.413 | 2.587 | 0.999 |
| F-3 | −0.237 | 2.763 | 0.984 | F-8 | −0.140 | 2.860 | 0.960 |
| F-4 | −0.501 | 2.499 | 0.997 | F-9 | −0.225 | 2.775 | 0.980 |
| F-5 | −0.196 | 2.804 | 0.975 |
Note:D means fractal dimension in shale.
3.3 Results of Scanning Electron Microscopy (SEM)
3.3.1 Nano-porous characteristics of organic-rich shale
Results of scanning electron microscopy (SEM) showed that there were many different types of micro-nano pores in the Longmaxi Formation shale samples of the Upper Yangtze area. The microporous pore types mainly included intragranular pores and grains, interstitial pores, inter-crystalline pores, organic pores, etc. The intergranular pores and organic pores are most developed, providing the main reservoir space for shale gas occurrence.
The intragranular pores develop in the interior of the granules, most of which are formed by diagenesis. They are characterized by development in the interior of the granules, plentiful, and are honeycomb or dispersed (Figure 5c, d). The organic pores are mainly organic matter during thermal evolution, when shrinkage and gas generation occurs. The distribution of kerogen is the material basis for such pore development. Organic pores are usually honeycomb-shaped, elliptical in cross section, and have different pore sizes. They are distributed from tens of nanometers to several micrometers (Figure 5b, f). A large number of honeycomb pores may have local connectivity, forming a few micrometers. The narrow pore channel has a large contribution to the enrichment of methane in shale. Loucks [30] pointed out that the organic pores are irregular, foamy and elliptical in cross section, and the pore size is generally between 5 and 750 nm. Compared with the organic pores of the Barnett shale in North America, the pore size distribution of the organic matter in the shale of the Upper Yangtze region is wider. Intergranular pores are pore types that develop between mineral particles during sedimentary diagenesis, including clay mineral interlayer pores (Figure 5a, e), mineral intercrystalline pores (Figure 5d) and mineral cast pores. The intercrystalline pores of pyrite are often found in the regional shale of the upper Yangtze region. The pores between the pyrite microcrystals are mostly filled with organic matter or clay, and the pore diameter is mostly in the range of tens to hundreds of nanometers.

Pore distribution of different types of nanoscale organic matter in shale (a: intragranular pores developed in strawberry-like pyrite and clay minerals, F-1, Ro = 2.10%; b: honeycomb organic pores, F-2, Ro = 2.35%; c: intragranular pores and microcracks, F-3, Ro = 2.51%; d: intergranular pores and intragranular pores, F-4, Ro = 2.51%; e: clay mineral grains Inter-hole, F-8, Ro = 3.41%; f: micro-crack and organic pore, F-9, Ro = 3.48%).
Although the SEM image can reflect the pore development characteristics in shale to a certain extent, the image obtained by SEM is grayscale image. The human eye has weaker resolution for grayscale image, and the SEM grayscale image largely interfere the classification and observation of pore types. Therefore, the author uses the pseudo-color digital image processing technology of Matlab program to process the obtained SEM image, enhance the visual resolution of the human eye for SEM images, and highlight the characteristic regions in shale [32]. Figure 6 is a partial image after pseudo color enhancement.

Pseudo-color pore feature enhancement characterization results
Comparing the SEM gray image (Figure 5) with the pseudo color enhancement map (Figure 6), it was found that the reservoir pores are in the blue region of the SEM pseudo color enhancement map, and the minerals were mainly in the red region. The enhanced image shows the diversity of pores, and the connectivity between some pores is good,which is conducive to the occurrence and accumulation of oil and gas. After the SEM image processing by pseudo-color enhancement, the pore and mineral distribution are observed in a better way. The boundary value between these two components (pore and mineral) in the SEM image was further determined by Matlab program. It was found that the pores were in the interval of 0-30, the minerals located in the interval of 225-256, and the organic matter is located between the two (30-255). After determining the threshold, the Matlab program can be used to calculate the face rate and connectivity characteristics of the obtained SEM image. The corresponding parameters can be seen from Table 3. Generally, the higher the thermal maturity of the shale, the higher the calculated face rate, but the correlation between these two values is not that clear. This may be related to the face rate and kerogen type, mineral composition and overlying layer thickness in the shale [36].
Shale organic matter face rate calculation value.
| Sample | Ro | Organic face rate distribution interval (Φ/%) | Calculate image base |
|---|---|---|---|
| Average organic face rate (Φ/%) | |||
| F-1 | 2.10 | 20 | |
| F-2 | 2.35 | 20 | |
| F-3 | 2.35 | 20 | |
| F-4 | 2.51 | 20 | |
| F-5 | 2.52 | 20 | |
| F-6 | 2.75 | 20 | |
| F-7 | 2.87 | 20 | |
| F-8 | 3.41 | 20 | |
| F-9 | 3.48 | 20 | |
| ML1-32* | 0.80 | 2.5 | - |
| Bai406* | 0.92 | 3 | - |
| YD2-45* | 1.80 | 11 | - |
| ZJJ-1* | 2.60 | 20 | - |
Note: Sample data of * is cited from Guo Qiulin and others, 2013 [36].
3.3.2 Correlation between nano-scale pores and TOC and mineral composition
The shale has a strong heterogeneous nanopores [26, 37], and nano-porosity characterization can be calculated from its fractal dimension. The study of shale fractal dimension can contribute to the understanding of the shale pore characteristics, analyzing the relationship between fractal dimension and TOC and shale minerals, and effectively clarifying the influencing factors of shale irregular shape and roughness. The high fractal dimension indicates that if the shale pore surface is rougher, the area and point of methane adsorption will be relatively more, and the adsorption capacity is correspondingly stronger.
The mesoporous and microporous pore volume and specific surface area have a significant positive correlation with TOC (Figure 7). As the TOC content in the shale increases, the nanopore pore volume and specific surface area increase. Based on the fractal dimension of shale pores calculated by FHH model method, the results show that the fractal dimension of FHH is related to the TOC, Ro and inorganic mineral composition of shale (Figure 7 and Figure 8). The fractal dimension decreases with the increase of clay and feldspar mineral content, and gradually increases with the increase of TOC and quartz content. This is similar to the results of Yang [37] and Chen [38]. Our results show that fractal dimension and shale TOC content

Correlation between FHH pore fractal dimension and TOC and mineral composition.
![Figure 8 FHH pore fractal dimension with maturity of 0.35-1.41 (Chen et al. [38]).](/document/doi/10.1515/ntrev-2019-0015/asset/graphic/j_ntrev-2019-0015_fig_009.jpg)
FHH pore fractal dimension with maturity of 0.35-1.41 (Chen et al. [38]).
are not a simple linear correlation (Figure 7). When the TOC is less than 1.0%, the fractal dimension increases rapidly with the increase of TOC. When the TOC is greater than 1.0%, the fractal dimension increases slowly with the increase of TOC. Yang et al. [25] found that the fractal dimension and TOC has a linear positive correlation, which is different from this study. The analysis may be due to the narrow range of TOC mass fraction of shale samples used by Yang, which is 0.16 %~9.15%. Fractal dimension and quartz have a monotonous linear growth trend, but the variation range is between the two trend lines. The fitting results of clay minerals and feldspars in the samples indicate that there is a monotonous linear decrease between the two factors, which may be affected by the diversity of clay minerals and feldspars.
3.3.3 Evolution of pore structure with maturity
In order to better characterize the whole process of pore evolution during shale sedimentation and burial, the immature-low mature shale (Ro between 0.35 to 1.41) fractal dimension referred from Chen et al. (2015) [38] was used for a comprehensive analysis. The variation of nanopore characteristics at different maturity stages during sedimentation is plotted in Figure 8. The fitting results show that with the increase of thermal maturity, the fractal dimension is firstly reduced, and then the multi-stage trend tends to be stable. When Ro less than 0.8%, the fractal dimension decreases with the increase of thermal maturity. When Ro between 0.8 to 3.0%, the fractal dimension increases with the increase of thermal maturity. When Ro bigger than 3.0%, the fractal dimension remained stable with the increase in thermal maturity. Further research has found that the fractal characteristics of shale pore fractal dimension are controlled by petrophysical and geochemical reactions at various stages. At the initial stage of sedimentation, mechanical compaction preferentially reduces the pore volume and large pore volume of shale samples, reducing the unevenness of pores qualitatively, narrowing the shale pore size distribution, and leading to a decrease in fractal dimension. After entering the oil generation stage, shale begins to form hydrocarbons, kerogen is evoluted and new pore formation is generated. All of these increase the nano-scale pore distribution in shale complexity, causing the increase of the fractal dimension.
At the same time, other physical and chemical structural changes accompanying diagenesis, such as temperature increase, water dispersion loss and complication of organic aromatic structure, will also increase pore heterogeneity [39]. In the mature stage, the hydrocarbon evolution in the shale is basically over, and the pore type transformation process is mainly the transformation of the tectonic movement, and its fractal dimension changes little.
Combined with the results of Chen [38] on the pore size and specific surface area of nanopore in immature-low mature shale, it is concluded that for the shale from the initial stage of sedimentary diagenesis to the high-over-mature stage, the pore volume and specific surface area show similar trends. Both reflect the scale of change in multiple periods (Figure 9). At the initial stage of sedimentary burial, when Ro is less than 0.7%, it is in the immature stage, and the pore volume and specific surface area of the initial shale are large. Mastalerz et al. (2013) [26] show that the mechanical compaction caused by the increase of buried depth makes the mesoporous pore volume and the specific surface area decreases rapidly. At the medium maturity stage (0.7%<Ro < 1.3%), the kerogen evolution occurs after the shale enters the oil window, and the hydrocarbon material production complements the pore volume and pores caused by mechanical compaction to some extent. The reduction of specific surface area, the total pore volume and specific surface area of the shale remain basically unchanged at this stage. As the degree of thermal evolution deepens to the high maturity stage (1.3% <Ro < 2.6%), the shale is generating large amount of gas. The shale belongs to the low-porosity and low-permeability reservoirs, and
![Figure 9 Characteristics of pore volume and specific surface area with maturity evolution (Ro, %) (Organic maturity 0.35-1.41 is quoted from Chen et al. [38]).](/document/doi/10.1515/ntrev-2019-0015/asset/graphic/j_ntrev-2019-0015_fig_010.jpg)
Characteristics of pore volume and specific surface area with maturity evolution (Ro, %) (Organic maturity 0.35-1.41 is quoted from Chen et al. [38]).
the generated oil and gas cannot be effectively transported in a short period of time. The overpressure of the reservoir and the inter-mineral pore characteristics caused by the organic pores and organic acids formed by the hydrocarbon generation are more complicated. Multi-factors lead to shale pore volume and specific surface area increase in a short period of time. When shale is in the stage of over-maturation (Ro>2.6%), as the increase of buried depth, the end of hydrocarbon generation process and long-term pressure release, the under-compacting effect gradually disappear. Porosity evolution gradually returns to normal compaction trend in the shale. The specific surface area and pore volume have been decreased, but only limited reduction. The fitting of pore volume and specific surface area in different maturity shales is not well fitted, showing that the characteristics of nanopores in shale are influenced by a combination of factors including sedimentary environment, organic matter type, high-temperature and high-pressure environment, and later tectonic effects.
4 Conclusions
Through scanning electron microscopy experiments, this paper directly shows the nanopore development characteristics of shale in the Upper Yangtze region. Based on the low temperature N2 adsorption experiment and FHH model, the relationship between pore characteristics and RO, TOC and inorganic minerals is discussed. The following conclusions were obtained:
The nanopores of shale in the Upper Yangtze area mainly include intragranular pores, intergranular pores, intercrystalline pores, organic pores, etc. Among them, intergranular pores and organic pores are most developed, providing the main reservoir space for shale gas occurrence. The pore size is distributed from a few nanometers to several tens of micrometers, and the distribution range is large.
Based on the nitrogen adsorption experiment results and the FHH fractal model, we calculated the fractal dimension of nanopores in shale. Results show that the fractal dimension D is between 2.499 and 2.860, with an average of 2.713. The surface of the shale hole wall is rough and not smooth, which makes the shale have strong heterogeneity.
The fractal dimension of shale is affected by many factors such as TOC, clay mineral, quartz and feldspar. With the increase of TOC content, the fractal dimension of nanopores increases rapidly and then stabilizes. The relative content and fraction of quartz and the fracture dimension shows a monotonic linear positive correlation. The feldspar and clay minerals and the fractal dimension show a monotonic linear negative correlation.
The complete evolutionary stage of shale from immature to mature indicates that the pore volume and specific surface area evolution in shale are controlled by multiple factors such as sedimentary environment, compaction settlement velocity, organic matter type, temperature and pressure environment and later tectonic action.
Acknowledgement
This work was financially supported by the National Natural Science Foundation of China (No. 51674211, No. 51534006). The authors would like to thank the Editors and the anonymous reviewers for their helpful and constructive comments.
Author Contributions
Methodology, Weiming Yu and Hongming Tang; Conceptualization, Hongming Tang; Investigation, Weiming Yu; Validation, Weiming Yu.
Conflict of Interest
Conflict of Interests: The authors declare no conflicts of interest.
References
[1] Curtis J.B., Fractured shale-gas systems. AAPG bulletin, 2002, 86(11), 1921-1938.10.1306/61EEDDBE-173E-11D7-8645000102C1865DSuche in Google Scholar
[2] Bustin R.M., Bustin A.M.M., Cui A. et al., Impact of shale properties on pore structure and storage characteristics, 2008, SPE shale gas production conference, Soc. Petrol. Eng.10.2118/119892-MSSuche in Google Scholar
[3] Jiao K., Yao S.,Wu H. et al., Research progress on characterization methods of shale gas reservoir pore system, Geolog. J. China Univ., 2014, (01), 151-161.Suche in Google Scholar
[4] Zhou S., Yan G., Xue H. et al., 2D and 3D nanopore characterization of gas shale in Longmaxi formation based on FIB-SEM, Marine Petrol. Geology, 2016, 73, 174-180.10.1016/j.marpetgeo.2016.02.033Suche in Google Scholar
[5] Dung Le T, Murad M A. A new multiscale model for methane flow in shale gas reservoirs including adsorption in organic nanopores and on clay surfaces, 2015, Int. Symp. Energy Geotechnics, Barcelona, Universitat Politècnica de Catalunya, Departament d’Enginyeria del Terreny, Cartogràfica i GeofísicaSuche in Google Scholar
[6] Wei M., Zhang L., Xiong Y. et al., Nanopore structure characterization for organic-rich shale using the non-local-density functional theory by a combination of N 2 and CO 2 adsorption, Microporous Mesoporous Mater., 2016, 227, 88-94.10.1016/j.micromeso.2016.02.050Suche in Google Scholar
[7] Misch D., Mendez-Martin F., Hawranek G. et al., SEM and FIB-SEM investigations on potential gas shales in the Dniepr-Donets Basin (Ukraine): pore space evolution in organic matter during thermal maturation, IOP Conference Series: Mater. Sci. Eng., IOP Publ., 2016, 109(1), 012010.10.1088/1757-899X/109/1/012010Suche in Google Scholar
[8] Ju B., Wu D., Experimental study on the pore characteristics of shale rocks in Zhanhua depression, J. Petrol. Sci. Eng., 2016, 146, 121-128.10.1016/j.petrol.2016.04.022Suche in Google Scholar
[9] Yang S.,Wang J., Liu G., Li H., Horizontal well of shale gas complex fracturing casing failure mechanism, 2019, 944, 898-902.10.4028/www.scientific.net/MSF.944.898Suche in Google Scholar
[10] Xiong J., Liu X., Liang L., Experimental study on the pore structure characteristics of the Upper Ordovician Wufeng Formation shale in the southwest portion of the Sichuan Basin, China, J. Nat. Gas Sci. Eng., 2015, 22, 530-539.10.1016/j.jngse.2015.01.004Suche in Google Scholar
[11] Leng A., Liu Z., Xing G. et al., China’s Investment Incentive Strategy for Shale Gas Development, Emer. Markets Finance Trade, 2019, (6), 1-14.10.1080/1540496X.2018.1534681Suche in Google Scholar
[12] Guo X.L., Li J., Zeng Y.J. et al., Analytical Method to Evaluate Casing Stress during Multi-Fracturing for Shale Gas Wells, Mater. Sci. Forum, 2019, 944, 1050-1060.10.4028/www.scientific.net/MSF.944.1050Suche in Google Scholar
[13] Wang M., Yang J., Wang Z. et al., Nanometer-Scale Pore Characteristics of Lacustrine Shale, Songliao Basin, NE China, PloS one, 2015, 10(8), e0135252.10.1371/journal.pone.0135252Suche in Google Scholar PubMed PubMed Central
[14] Wan Y., Pan Z., Tang S. et al., An experimental investigation of diffusivity and porosity anisotropy of a Chinese gas shale, J. Nat. Gas Sci. Eng., 2015, 23, 70-79.10.1016/j.jngse.2015.01.024Suche in Google Scholar
[15] Curtis M.E., Cardott B.J., Sondergeld C.H. et al., Development of organic porosity in the Woodford Shale with increasing thermal maturity, Int. J. Coal Geology, 2012, 103, 26-31.10.1016/j.coal.2012.08.004Suche in Google Scholar
[16] Fishman N.S., Hackley P.C., Lowers H.A. et al., The nature of porosity in organic-rich mudstones of the Upper Jurassic Kimmeridge Clay Formation, North Sea, offshore United Kingdom, Int. J. Coal Geology, 2012, 103, 32-50.10.1016/j.coal.2012.07.012Suche in Google Scholar
[17] Lowell S., Shields J.E., Thomas M.A. et al., Characterization of porous solids and powders: surface area, pore size and density, 2012, Springer Science & Business Media.Suche in Google Scholar
[18] Clarkson C.R., Solano N., Bustin R.M. et al., Pore structure characterization of North American shale gas reservoirs using US-ANS/SANS, gas adsorption, and mercury intrusion, Fuel, 2013, 103, 606-616.10.1016/j.fuel.2012.06.119Suche in Google Scholar
[19] Hu J., Tang S., Zhang S., Investigation of pore structure and fractal characteristics of the Lower Silurian Longmaxi shales in western Hunan and Hubei Provinces in China, J. Nat. Gas Sci. Eng., 2016, 28, 522-535.10.1016/j.jngse.2015.12.024Suche in Google Scholar
[20] Meng M., Qiu Z.S., Experiment study of mechanical properties and microstructures of bituminous coals influenced by supercritical carbon dioxide, Fuel, 2018, 219, 223-238.10.1016/j.fuel.2018.01.115Suche in Google Scholar
[21] Meng M., Qiu Z.S., Zhong R., Liu Z.G., Liu Y.F., Chen P., Adsorption Characteristics of Supercritical CO2/CH4 on Different Types of Coal and a Machine Learning Approach, Chem. Eng. J., 2019, 368C, 847-864.10.1016/j.cej.2019.03.008Suche in Google Scholar
[22] Shanley K.W., Cluff R.M., The evolution of pore-scale fluid-saturation in low-permeability sandstone reservoirs, AAPG Bulletin, 2015, 99(10), 1957-1990.10.1306/03041411168Suche in Google Scholar
[23] Sattler F.R., Lithologic Properties of the Upper Ordovician Utica Formation, Michigan Basin, USA: A Geological Characterization and Assessment of Carbon Dioxide Confinement Potential, 2015, 608.Suche in Google Scholar
[24] Wang Y., Controlling Factors on Condensate Production from the Eagle Ford Shale, 2015, University of Calgary.Suche in Google Scholar
[25] Yang F., Ning Z.F., Hu C.P. et al., Characterization of microporous pore structures in shale reservoirs, Acta Petrolei Sinica, 2013, 34(2), 301-311.Suche in Google Scholar
[26] Mastalerz M., Schimmelmann A., Drobniak A. et al., Porosity of Devonian and Mississippian New Albany Shale across a maturation gradient: Insights from organic petrology, gas adsorption, and mercury intrusion, AAPG bulletin, 2013, 97(10), 1621-1643.10.1306/04011312194Suche in Google Scholar
[27] Furmann A.,Mastalerz M., Schimmelmann A. et al., Relationships between porosity, organic matter, and mineral matter in mature organic-rich marine mudstones of the Belle Fourche and Second White Specks formations in Alberta, Canada, Marine Petrol. Geology, 2014, 54, 65-81.10.1016/j.marpetgeo.2014.02.020Suche in Google Scholar
[28] Röβler M., Odler I., Investigations on the relationship between porosity, structure and strength of hydrated portland cement pastes I. Effect of porosity, Cement Concrete Res., 1985, 15(2), 320-330.10.1016/0008-8846(85)90044-4Suche in Google Scholar
[29] Modica C.J., Lapierre S.G., Estimation of kerogen porosity in source rocks as a function of thermal transformation: Example from the Mowry Shale in the Powder River Basin of Wyoming, AAPG bulletin, 2012, 96(1), 87-108.10.1306/04111110201Suche in Google Scholar
[30] Loucks R.G., Reed R.M., Ruppel S.C. et al., Morphology, genesis, and distribution of nanometer-scale pores in siliceous mud-stones of the Mississippian Barnett Shale, J. Sedimentary Res., 2009, 79(12), 848-861.10.2110/jsr.2009.092Suche in Google Scholar
[31] Loucks R.G., Reed R.M., Ruppel S.C. et al., Spectrum of pore types and networks in mudrocks and a descriptive classification for matrix-related mudrock pores, AAPG bulletin, 2012, 96(6), 1071-1098.10.1306/08171111061Suche in Google Scholar
[32] Liu Y.F., Qiu Z.S., Zhong H.Y., Nie Z., Li J., Huang W, Zhao X. Bitumen Recovery from Crude Bitumen Samples from Halfaya Oilfield by Single and Composite Solvents-Process, Parameters, and Mechanism, Materials, 2019, 12(17), 2656.10.3390/ma12172656Suche in Google Scholar PubMed PubMed Central
[33] Wang S., Song Z., Cao T. et al., The methane sorption capacity of Paleozoic shales from the Sichuan Basin, China, Marine Petrol. Geology, 2013, 44, 112-119.10.1016/j.marpetgeo.2013.03.007Suche in Google Scholar
[34] Chalmers G.R., Bustin R.M., Power I.M., Characterization of gas shale pore systems by porosimetry, pycnometry, surface area, and field emission scanning electron microscopy/transmission electron microscopy image analyses: Examples from the Barnett, Woodford, Haynesville, Marcellus, and Doig units, AAPG bulletin, 2012, 96(6), 1099-1119.10.1306/10171111052Suche in Google Scholar
[35] Hua T., Shuichang Z., Shaobo L. et al., Determination of organicrich shale pore features by mercury injection and gas adsorption methods, Acta Petrolei Sinica, 2012, 33(3), 419-427.Suche in Google Scholar
[36] Guo Q.L., Chen X.M., Song H.Q. et al., Evolution and models of shale porosity during burial process, Natur. Gas Geo Sci., 2013,24(3), 439-449.Suche in Google Scholar
[37] Yang F., Ning Z., Liu H., Fractal characteristics of shales from a shale gas reservoir in the Sichuan Basin, China, Fuel, 2014, 115, 378-384.10.1016/j.fuel.2013.07.040Suche in Google Scholar
[38] Chen Y.Y., Zhou C.N., Maria M. et al., Porosity and Fractal Characteristics of Shale across a Maturation Gradient, Natur. Gas Geo Sci., 2015, 09, 1646-1656.Suche in Google Scholar
[39] Wang H., Marongiu-Porcu M., Impact of Shale Gas Apparent Permeability on Production: Combined Effects of Non-Darcy Flow/Gas Slippage, Desorption, and Geomechanics, SPE Reservoir Eval. Eng., 2015, 18(4), 495-507.10.2118/173196-PASuche in Google Scholar
© 2019 W. Yu et al., published by De Gruyter
This work is licensed under the Creative Commons Attribution 4.0 Public License.
Artikel in diesem Heft
- Research Articles
- Investigation of rare earth upconversion fluorescent nanoparticles in biomedical field
- Carbon Nanotubes Coated Paper as Current Collectors for Secondary Li-ion Batteries
- Insight into the working wavelength of hotspot effects generated by popular nanostructures
- Novel Lead-free biocompatible piezoelectric Hydroxyapatite (HA) – BCZT (Ba0.85Ca0.15Zr0.1Ti0.9O3) nanocrystal composites for bone regeneration
- Effect of defects on the motion of carbon nanotube thermal actuator
- Dynamic mechanical behavior of nano-ZnO reinforced dental composite
- Fabrication of Ag Np-coated wetlace nonwoven fabric based on amino-terminated hyperbranched polymer
- Fractal analysis of pore structures in graphene oxide-carbon nanotube based cementitious pastes under different ultrasonication
- Effect of PVA fiber on durability of cementitious composite containing nano-SiO2
- Cr effects on the electrical contact properties of the Al2O3-Cu/15W composites
- Experimental evaluation of self-expandable metallic tracheobronchial stents
- Experimental study on the existence of nano-scale pores and the evolution of organic matter in organic-rich shale
- Mechanical characterizations of braided composite stents made of helical polyethylene terephthalate strips and NiTi wires
- Mechanical properties of boron nitride sheet with randomly distributed vacancy defects
- Fabrication, mechanical properties and failure mechanism of random and aligned nanofiber membrane with different parameters
- Micro- structure and rheological properties of graphene oxide rubber asphalt
- First-principles calculations of mechanical and thermodynamic properties of tungsten-based alloy
- Adsorption performance of hydrophobic/hydrophilic silica aerogel for low concentration organic pollutant in aqueous solution
- Preparation of spherical aminopropyl-functionalized MCM-41 and its application in removal of Pb(II) ion from aqueous solution
- Electrical conductivity anisotropy of copper matrix composites reinforced with SiC whiskers
- Miniature on-fiber extrinsic Fabry-Perot interferometric vibration sensors based on micro-cantilever beam
- Electric-field assisted growth and mechanical bactericidal performance of ZnO nanoarrays with gradient morphologies
- Flexural behavior and mechanical model of aluminum alloy mortise-and-tenon T-joints for electric vehicle
- Synthesis of nano zirconium oxide and its application in dentistry
- Surface modification of nano-sized carbon black for reinforcement of rubber
- Temperature-dependent negative Poisson’s ratio of monolayer graphene: Prediction from molecular dynamics simulations
- Finite element nonlinear transient modelling of carbon nanotubes reinforced fiber/polymer composite spherical shells with a cutout
- Preparation of low-permittivity K2O–B2O3–SiO2–Al2O3 composites without the addition of glass
- Large amplitude vibration of doubly curved FG-GRC laminated panels in thermal environments
- Enhanced flexural properties of aramid fiber/epoxy composites by graphene oxide
- Correlation between electrochemical performance degradation and catalyst structural parameters on polymer electrolyte membrane fuel cell
- Materials characterization of advanced fillers for composites engineering applications
- Humic acid assisted stabilization of dispersed single-walled carbon nanotubes in cementitious composites
- Test on axial compression performance of nano-silica concrete-filled angle steel reinforced GFRP tubular column
- Multi-scale modeling of the lamellar unit of arterial media
- The multiscale enhancement of mechanical properties of 3D MWK composites via poly(oxypropylene) diamines and GO nanoparticles
- Mechanical properties of circular nano-silica concrete filled stainless steel tube stub columns after being exposed to freezing and thawing
- Arc erosion behavior of TiB2/Cu composites with single-scale and dual-scale TiB2 particles
- Yb3+-containing chitosan hydrogels induce B-16 melanoma cell anoikis via a Fak-dependent pathway
- Template-free synthesis of Se-nanorods-rGO nanocomposite for application in supercapacitors
- Effect of graphene oxide on chloride penetration resistance of recycled concrete
- Bending resistance of PVA fiber reinforced cementitious composites containing nano-SiO2
- Review Articles
- Recent development of Supercapacitor Electrode Based on Carbon Materials
- Mechanical contribution of vascular smooth muscle cells in the tunica media of artery
- Applications of polymer-based nanoparticles in vaccine field
- Toxicity of metallic nanoparticles in the central nervous system
- Parameter control and concentration analysis of graphene colloids prepared by electric spark discharge method
- A critique on multi-jet electrospinning: State of the art and future outlook
- Electrospun cellulose acetate nanofibers and Au@AgNPs for antimicrobial activity - A mini review
- Recent progress in supercapacitors based on the advanced carbon electrodes
- Recent progress in shape memory polymer composites: methods, properties, applications and prospects
- In situ capabilities of Small Angle X-ray Scattering
- Review of nano-phase effects in high strength and conductivity copper alloys
- Progress and challenges in p-type oxide-based thin film transistors
- Advanced materials for flexible solar cell applications
- Phenylboronic acid-decorated polymeric nanomaterials for advanced bio-application
- The effect of nano-SiO2 on concrete properties: a review
- A brief review for fluorinated carbon: synthesis, properties and applications
- A review on the mechanical properties for thin film and block structure characterised by using nanoscratch test
- Cotton fibres functionalized with plasmonic nanoparticles to promote the destruction of harmful molecules: an overview
Artikel in diesem Heft
- Research Articles
- Investigation of rare earth upconversion fluorescent nanoparticles in biomedical field
- Carbon Nanotubes Coated Paper as Current Collectors for Secondary Li-ion Batteries
- Insight into the working wavelength of hotspot effects generated by popular nanostructures
- Novel Lead-free biocompatible piezoelectric Hydroxyapatite (HA) – BCZT (Ba0.85Ca0.15Zr0.1Ti0.9O3) nanocrystal composites for bone regeneration
- Effect of defects on the motion of carbon nanotube thermal actuator
- Dynamic mechanical behavior of nano-ZnO reinforced dental composite
- Fabrication of Ag Np-coated wetlace nonwoven fabric based on amino-terminated hyperbranched polymer
- Fractal analysis of pore structures in graphene oxide-carbon nanotube based cementitious pastes under different ultrasonication
- Effect of PVA fiber on durability of cementitious composite containing nano-SiO2
- Cr effects on the electrical contact properties of the Al2O3-Cu/15W composites
- Experimental evaluation of self-expandable metallic tracheobronchial stents
- Experimental study on the existence of nano-scale pores and the evolution of organic matter in organic-rich shale
- Mechanical characterizations of braided composite stents made of helical polyethylene terephthalate strips and NiTi wires
- Mechanical properties of boron nitride sheet with randomly distributed vacancy defects
- Fabrication, mechanical properties and failure mechanism of random and aligned nanofiber membrane with different parameters
- Micro- structure and rheological properties of graphene oxide rubber asphalt
- First-principles calculations of mechanical and thermodynamic properties of tungsten-based alloy
- Adsorption performance of hydrophobic/hydrophilic silica aerogel for low concentration organic pollutant in aqueous solution
- Preparation of spherical aminopropyl-functionalized MCM-41 and its application in removal of Pb(II) ion from aqueous solution
- Electrical conductivity anisotropy of copper matrix composites reinforced with SiC whiskers
- Miniature on-fiber extrinsic Fabry-Perot interferometric vibration sensors based on micro-cantilever beam
- Electric-field assisted growth and mechanical bactericidal performance of ZnO nanoarrays with gradient morphologies
- Flexural behavior and mechanical model of aluminum alloy mortise-and-tenon T-joints for electric vehicle
- Synthesis of nano zirconium oxide and its application in dentistry
- Surface modification of nano-sized carbon black for reinforcement of rubber
- Temperature-dependent negative Poisson’s ratio of monolayer graphene: Prediction from molecular dynamics simulations
- Finite element nonlinear transient modelling of carbon nanotubes reinforced fiber/polymer composite spherical shells with a cutout
- Preparation of low-permittivity K2O–B2O3–SiO2–Al2O3 composites without the addition of glass
- Large amplitude vibration of doubly curved FG-GRC laminated panels in thermal environments
- Enhanced flexural properties of aramid fiber/epoxy composites by graphene oxide
- Correlation between electrochemical performance degradation and catalyst structural parameters on polymer electrolyte membrane fuel cell
- Materials characterization of advanced fillers for composites engineering applications
- Humic acid assisted stabilization of dispersed single-walled carbon nanotubes in cementitious composites
- Test on axial compression performance of nano-silica concrete-filled angle steel reinforced GFRP tubular column
- Multi-scale modeling of the lamellar unit of arterial media
- The multiscale enhancement of mechanical properties of 3D MWK composites via poly(oxypropylene) diamines and GO nanoparticles
- Mechanical properties of circular nano-silica concrete filled stainless steel tube stub columns after being exposed to freezing and thawing
- Arc erosion behavior of TiB2/Cu composites with single-scale and dual-scale TiB2 particles
- Yb3+-containing chitosan hydrogels induce B-16 melanoma cell anoikis via a Fak-dependent pathway
- Template-free synthesis of Se-nanorods-rGO nanocomposite for application in supercapacitors
- Effect of graphene oxide on chloride penetration resistance of recycled concrete
- Bending resistance of PVA fiber reinforced cementitious composites containing nano-SiO2
- Review Articles
- Recent development of Supercapacitor Electrode Based on Carbon Materials
- Mechanical contribution of vascular smooth muscle cells in the tunica media of artery
- Applications of polymer-based nanoparticles in vaccine field
- Toxicity of metallic nanoparticles in the central nervous system
- Parameter control and concentration analysis of graphene colloids prepared by electric spark discharge method
- A critique on multi-jet electrospinning: State of the art and future outlook
- Electrospun cellulose acetate nanofibers and Au@AgNPs for antimicrobial activity - A mini review
- Recent progress in supercapacitors based on the advanced carbon electrodes
- Recent progress in shape memory polymer composites: methods, properties, applications and prospects
- In situ capabilities of Small Angle X-ray Scattering
- Review of nano-phase effects in high strength and conductivity copper alloys
- Progress and challenges in p-type oxide-based thin film transistors
- Advanced materials for flexible solar cell applications
- Phenylboronic acid-decorated polymeric nanomaterials for advanced bio-application
- The effect of nano-SiO2 on concrete properties: a review
- A brief review for fluorinated carbon: synthesis, properties and applications
- A review on the mechanical properties for thin film and block structure characterised by using nanoscratch test
- Cotton fibres functionalized with plasmonic nanoparticles to promote the destruction of harmful molecules: an overview