Abstract
C42H40Cl2MnN6O10S2, monoclinic, C2/c (no. 15), a = 16.822(14) Å, b = 11.552(9) Å, c = 22.021(17) Å, β = 91.920(13)°, V = 4277(6) Å3, Z = 4, Rgt(F) = 0.0641, wRref(F2) = 0.1654, T = 296 K.

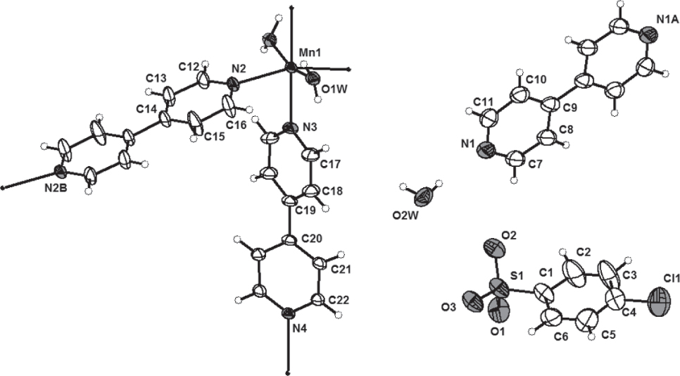
A part of the crystal structure is shown in the figure. Tables 1 and 2 contain details on crystal structure and measurement conditions and a list of the atoms including atomic coordinates and displacement parameters.
Data collection and handling.
| Crystal: | Yellow block |
| Size: | 0.32 × 0.27 × 0.21 mm |
| Wavelength: | Mo Kα radiation (0.71073 Å) |
| μ: | 6.0 cm−1 |
| Diffractometer, scan mode: | Bruker APEX-II, φ and ω |
| 2θmax, completeness: | 50°, >99% |
| N(hkl)measured, N(hkl)unique, Rint: | 9887, 3726, 0.048 |
| Criterion for Iobs, N(hkl)gt: | Iobs > 2 σ(Iobs), 2810 |
| N(param)refined: | 303 |
| Programs: | Bruker programs [14], SHELX [15] |
Fractional atomic coordinates and isotropic or equivalent isotropic displacement parameters (Å2).
| Atom | x | y | z | Uiso*/Ueq |
|---|---|---|---|---|
| Mn1 | 1.0000 | 0.36146(6) | 0.7500 | 0.0313(3) |
| S1 | 0.21296(10) | 0.84187(13) | 0.12537(6) | 0.0728(5) |
| O1W | 0.87184(18) | 0.3339(2) | 0.74847(12) | 0.0425(7) |
| O1 | 0.2602(3) | 0.9398(4) | 0.1121(2) | 0.0987(15) |
| O2W | 0.2534(3) | 0.5356(4) | 0.24724(19) | 0.0832(12) |
| H2WB | 0.229(4) | 0.485(5) | 0.227(3) | 0.100* |
| H2WA | 0.287(3) | 0.513(6) | 0.273(2) | 0.100* |
| O2 | 0.2561(3) | 0.7347(4) | 0.1220(2) | 0.0975(14) |
| O3 | 0.1730(3) | 0.8528(3) | 0.18218(17) | 0.0823(12) |
| Cl1 | −0.04826(14) | 0.8062(3) | −0.07870(11) | 0.1330(9) |
| N1 | 0.2647(3) | 0.4126(5) | 0.1359(3) | 0.0863(16) |
| N2 | 1.0006(2) | 0.3926(3) | 0.85050(13) | 0.0411(8) |
| N3 | 1.0000 | 0.5593(4) | 0.7500 | 0.0513(14) |
| N4 | 1.0000 | 1.1665(3) | 0.7500 | 0.0355(11) |
| C1 | 0.1375(4) | 0.8354(5) | 0.0687(2) | 0.0717(16) |
| C2 | 0.1520(6) | 0.7909(10) | 0.0124(4) | 0.135(3) |
| H2A | 0.175(6) | 0.729(5) | 0.026(4) | 0.161* |
| C3 | 0.0955(5) | 0.7800(9) | −0.0317(4) | 0.133(4) |
| H3A | 0.1074 | 0.7457 | −0.0685 | 0.160* |
| C4 | 0.0229(4) | 0.8184(6) | −0.0225(3) | 0.0834(18) |
| C5 | 0.0058(5) | 0.8659(7) | 0.0313(4) | 0.112(3) |
| H5A | −0.0453 | 0.8933 | 0.0377 | 0.135* |
| C6 | 0.0629(4) | 0.8741(6) | 0.0766(3) | 0.088(2) |
| H6A | 0.0502 | 0.9070 | 0.1136 | 0.106* |
| C7 | 0.2756(4) | 0.4593(5) | 0.0818(3) | 0.0856(19) |
| H7A | 0.2870 | 0.5380 | 0.0802 | 0.103* |
| C8 | 0.2712(4) | 0.4004(5) | 0.0285(3) | 0.0767(16) |
| H8A | 0.2803 | 0.4386 | −0.0078 | 0.092* |
| C9 | 0.2534(3) | 0.2837(5) | 0.0282(3) | 0.0647(14) |
| C10 | 0.2441(3) | 0.2343(5) | 0.0842(3) | 0.0749(16) |
| H10A | 0.2342 | 0.1553 | 0.0872 | 0.090* |
| C11 | 0.2493(4) | 0.3006(6) | 0.1357(3) | 0.0810(17) |
| H11A | 0.2415 | 0.2645 | 0.1727 | 0.097* |
| C12 | 1.0652(3) | 0.4025(5) | 0.88406(18) | 0.0601(14) |
| H12A | 1.1127 | 0.3797 | 0.8673 | 0.072* |
| C13 | 1.0686(3) | 0.4440(5) | 0.94241(19) | 0.0620(14) |
| H13A | 1.1170 | 0.4492 | 0.9638 | 0.074* |
| C14 | 1.0003(3) | 0.4775(4) | 0.96853(16) | 0.0459(11) |
| C15 | 0.9342(3) | 0.4676(6) | 0.9344(2) | 0.086(2) |
| H15A | 0.8860 | 0.4897 | 0.9504 | 0.104* |
| C16 | 0.9352(3) | 0.4254(6) | 0.8761(2) | 0.0724(17) |
| H16A | 0.8874 | 0.4199 | 0.8539 | 0.087* |
| C17 | 0.9368(3) | 0.6193(4) | 0.7324(2) | 0.0593(13) |
| H17A | 0.8916 | 0.5787 | 0.7194 | 0.071* |
| C18 | 0.9334(3) | 0.7373(4) | 0.7320(2) | 0.0538(12) |
| H18A | 0.8868 | 0.7754 | 0.7199 | 0.065* |
| C19 | 1.0000 | 0.7988(4) | 0.7500 | 0.0432(14) |
| C20 | 1.0000 | 0.9269(4) | 0.7500 | 0.0369(13) |
| C21 | 1.0486(3) | 0.9885(3) | 0.78934(18) | 0.0455(10) |
| H21A | 1.0825 | 0.9503 | 0.8169 | 0.055* |
| C22 | 1.0467(3) | 1.1067(3) | 0.78749(17) | 0.0409(10) |
| H22A | 1.0803 | 1.1472 | 0.8143 | 0.049* |
| H1WB | 0.858(3) | 0.276(3) | 0.7682(18) | 0.049* |
| H1WA | 0.836(2) | 0.384(3) | 0.750(2) | 0.049* |
Source of material
A mixture of Mn(CH3COO)2⋅4H2O (122.5 mg, 0.5 mmol) and 4-chlorobenzenesulfonic acid (Hcbs) (96.4 mg, 0.5 mmol) and 4,4′-bipyridine (4,4′-bipy) (78.1 mg, 0.5 mmol), was stirred into 20 mL of 50% methanolic solution at room temperature, and refluxed for 20 min. The pH was adjusted to ca. 7 with a 2 mol/L NaOH aqueous solution. The reaction mixture was heated in a 25 mL Teflon-lined reaction vessel for 12 h at 80 °C and then filtered. The yellow block-shaped crystals were separated from the mother liquor by slow evaporation at room temperature after one week.
Experimental details
H atoms bonded to N and O atoms were located in a difference electron density map and refined with distance restraints of O—H = 0.84(2) and N—H = 0.87(2) Å, and with Uiso(H) = 1.2Ueq(N,O). Other H atoms were positioned geometrically and refined using a riding model, with C—H = 0.95–0.99 Å and Uiso(H) = 1.2Ueq(C).
Discussion
At the interface between synthetic chemistry and materials science, research on coordination polymers provides an excellent means for studying structure-property relationships in the solid state.
In recent years, metal organic frameworks (MOFs) which are formed by organic ligands and metal ions through self-assembly process, have gained great attention due to the wealth of intriguing architectures and topologies [1], [2], [3], [4], [5], [6], [7], [8] and their potential applications in magnetism, electric conductivity, molecular adsorption, heterogeneous catalysis, and fluorescent materials [7], [8], [9], [10], [11], [12], [13]. Ligands are mainly composed of organic anions containing carboxylate groups, or of neutral N-heterocycles. The metal ions are mainly based on transition metal ions and lanthanide metal ions. Several reserach efforts are being directed at obtaining predictable frameworks with desired properties by choosing versatile organic ligands and functional metal ions. In this paper, we report the synthesis and the crystal structure of a new manganese (II) complex with 4,4′-bipyridine (4,4′-bipy) and 4-chlorobenzenesulfonate (cbs). The crystallographically unique Mn2+ ion of the title complex {[{Mn(H2O)2}(μ-4,4′-bipy)2] 2(cbs) (4,4′-bipy) 2H2O}n is six-coordinated by two symmetry-equivalent water O atoms and four N atoms from 4,4′-bipy group (Mn1—O, 2.178(4) Å, Mn1—N, 2.242(3) 2̃.286(5) Å), giving rise to a octahedral geometry. Manganese centers are interconnected by neutral 4,4′-bipy ligands giving rise to a uniform two-dimensional cationic distorted square-grid layer. The layers are stacked along the crystallographic a axis with lamellar separation of 8.4063 Å. The intralayer space is occupied by uncoordinated cbs anions and 4,4′-bipy. Furthermore, the two-dimensional layers form an extended three-dimensional supramolecular network through intermolecular hydrogen bonds between cbs with coordinated uncoordinated water molecules.
Acknowledgement
The project was supported by Joint Funds of Science and Technology Department of Guizhou Province with People’s Government of Anshun City and Anshun University (LH[2014]7499), Key Project of Guizhou Provincial Education Department (KY[2015]385 and KY[2016]273) and Platform Project of Anshun University (2015PT03).
References
Wen, L.; Li, Y.; Lu, Z.; Lin, J.; Duan, C.; Meng, Q.: Syntheses and structures of four d10 metal-organic frameworks assembled with aromatic polycarboxylate and bix [bix = 1,4-bis(imidazol-1-ylmethyl)benzene]. Cryst. Growth Des. 6 (2006) 530–537.10.1021/cg050458iSearch in Google Scholar
Hill, R. J.; Long, D.; Champness, N. R.; Hubberstey, P.; Schröder, M.: New approaches to the analysis of high connectivity materials: design frameworks based upon 4(4)- and 6(3)-subnet tectons. Accounts Chem. Res. 38 (2005) 335–348.10.1021/ar040174bSearch in Google Scholar PubMed
Rosi, N. L.; Kim, J.; Eddaoudi, M.; Chen, B.; O’Keeffe, M.; Yaghi, O. M.: Rod packings and metal-organic frameworks constructed from rod-shaped secondary building units. J. Am. Chem. Soc. 127 (2005) 1504–1518.10.1021/ja045123oSearch in Google Scholar PubMed
Senchyk, G. A.; Lysenko, A. B.; Krautscheid, H.; Rusanov, E. B.; Chernega, A. N.; Krämer, K. W.; Liu, S.; Decurtins, S.; Domasevitch, K. V.: Functionalized adamantane tectons used in the design of mixed-ligand copper(II) 1,2,4-triazolylcarboxylate metal-organic frameworks. Inorg. Chem. 52 (2013) 863–872.10.1021/ic3020157Search in Google Scholar PubMed
Cheng, M. Q.; Chen, X. M.; Liu, Z. J.; Feng, C. Q.: Syntheses, structures, and thermal properties of two new Mn(II) and Ni(II) complexes of 3-nitrobenzenesulfonyl-glycine acid and 4-chlorobenzenesulfonyl-glycine acid ligands. Synth. React. Inorg. M. 44 (2013) 27–32.10.1080/15533174.2013.763278Search in Google Scholar
Liu, Z. J.; Chen, X. M.; Hao, S. Y.; Cheng, M. Q.: Syntheses, crystal structures, and thermal properties of two transition metal complexes with 4-chlorobenzenesulfonyl-glycine acid ligand. Synth. React. Inorg. M. 46 (2015) 529–533.10.1080/15533174.2014.988810Search in Google Scholar
Cheng, M. Q.; Chen, X. M.; Liu, Z. J.; Li, Y. J.: Crystal structure of ((4-acetamidophenyl)sulfonyl)(carboxylatomethyl) amide-κ2N,O)bis(1,10-phenantroline-κ2N,N′)nickel(II) heptahydrate, [Ni(abgly)(phen)2]⋅7H2O, C34H40N6NiO12S. Z. Kristallogr. − NCS 228 (2013) 491–493.10.1515/ncrs.2013.0228Search in Google Scholar
Chen, X. M.; Liu, Z. J.; Cheng, M. Q.; Hao, S. Y.; Li, Y. J.: Crystal structure of diaquabis(benzoato-κO)(1,10-phenanthroline-κ2N,N’)-manganese(II) 1.5 hydrate, C26H25MnN2O 7.5 . Z. Kristallogr. − NCS 229 (2014) 184–186.10.1515/ncrs-2014-0076Search in Google Scholar
Matsuda, R.; Kitaura, R.; Kitagawa, S.; Kubota, Y.; Belosludov, R. V.; Kobayashi, T. C.; Sakamoto, H.; Chiba, T.; Takata, M.; Kawazoe, Y.; Mita, Y.: Highly controlled acetylene accommodation in a metal-organic microporous material. Nature 436 (2005) 238–241.10.1038/nature03852Search in Google Scholar PubMed
Chen, B.; Ma, S.; Zapata, F.; Fronczek, F. R.; Lobkovsky, E. B.; Zhou, H.: Rationally designed micropores within a metal-organic framework for selective sorption of gas molecules. Inorg. Chem. 46 (2007) 1233–1236.10.1021/ic0616434Search in Google Scholar PubMed
Du, L.; Lu, Z.; Zheng, K.; Wang, J.; Zheng, X.; Pan, Y.; You, X.; Bai, J.: Fine-tuning pore size by shifting coordination sites of ligands and surface polarization of metal-organic frameworks to sharply enhance the selectivity for CO2. J. Am. Chem. Soc. 135 (2012) 562–565.10.1021/ja309992aSearch in Google Scholar PubMed
Manna, P.; Tripuramallu, B. K.; Das, S. K.: Synthesis, structural characterization, and magnetic properties of a new series of coordination polymers: importance of steric hindrance at the coordination sphere. Cryst. Growth Des. 12 (2012) 4607–4623.10.1021/cg300800hSearch in Google Scholar
Sava, D. F.; Rohwer, L. E. S.; Rodriguez, M. A.; Nenoff, T. M.: Intrinsic broad-band white-light emission by a tuned, corrugated metal-organic framework. J. Am. Chem. Soc. 134 (2012) 3983–3986.10.1021/ja211230pSearch in Google Scholar PubMed
Bruker. APEX2, SAINT and SADABS. Brucker AXS Inc., Madison, Wisconsin, USA, 2009.Search in Google Scholar
Sheldrick, G. M.: A short history of SHELX. Acta Crystallogr. A64 (2008) 112–122.10.1107/S0108767307043930Search in Google Scholar PubMed
Sheldrick, G. M.: Crystal structure refinement with SHELXL. Acta Crystallogr. C71 (2015) 3–8.10.1107/S2053229614024218Search in Google Scholar PubMed PubMed Central
©2017 Xiao-Miao Chen et al., published by De Gruyter, Berlin/Boston
This work is licensed under the Creative Commons Attribution-NonCommercial-NoDerivatives 3.0 License.
Articles in the same Issue
- Cover and Frontmatter
- Crystal structure of poly[diaqua-(μ2-4,4′-bipyridine-κ2N:N′)manganese(II)] bis(4-chlorobenzenesulfonate) – 4,4′-bipyridine – water (1/1/2) C42H40Cl2MnN6O10S2
- The crystal structure of 1,2-bis[2-methyl-5-(3-cyanophenyl)-3-thienyl]-3,3,4,4,5,5-hexafluoro-cyclopent-1-ene, C29H16F6N2S2
- Crystal structure of the first characterized polymeric copper and sodium complex diaqua-(tris-acetato-κO,O′)(μ2-acetato-κO′′)dinatrium copper(II) monohydrate, C8H18CuNa2O11
- The crystal structure of the Schiff base (E)-2,6-diisopropyl-N-(pyridin-3-yl-methylene)aniline, C18H22N2
- Crystal structure of methyl 2,7,7-trimethyl-4-(4-nitrophenyl)-5-oxo-1,4,5,6,7,8-hexahydro-quinoline-3-carboxylate, C20H22N2O5
- Crystal structure of bis(1,3-bis(diphenylphosphino)propane-κ2P,P′)silver(I) trifluorosulfonate–methanol (1:0.5), [Ag(C27H26P2)]SO3CF3⋅0.5CH3OH
- Crystal structure of μ-1,4-bis(diphenylphosphine)butane-2,9-dimethyl-1,10-phenanthroline-κ2N:N′-bis(cyano-κC)dicopper(I)]-water, C58H56Cu2N6O2P2
- Crystal structure of N2,N6-bis(1-hydrazinyl-2-methyl-1-oxopropan-2-yl) pyridine-2,6-dicarboxamide, C15H23N7O4
- Crystal structure of 1,3-dimethyl-2-phenyl-1H-perimidin-3-ium iodide, C19H17IN2
- Crystal structure of diaqua-(2,2′-(butane-1,4-diyl)-bis(5-carboxy-1H-imidazole-4-carboxylato)-κ4O,O′,N,N′)cadmium(II) monohydrate, C14H18O11N4Cd
- Crystal structure of ethyl (E)-3-(cyclopropylamino)-2-(2,4-dichloro-5-fluorobenzoyl) acrylate, C15H14Cl2FNO3
- Crystal structure of bis-(1-(4-chlorophenyl)-3-phenyl-4-thenoyl-1H-pyrazol-5-ol-κ2O,O′)-(N,N-dimethylformamide)zinc(II), C43H31Cl2N5O5S2Zn
- Crystal structure of tetrakis(μ3-2-(N-(2-hydroxyethyl)amino)ethoxo)-tetrachloro-tetra-cobalt(II) methanol solvate, C17H44Cl4Co4N4O9
- Crystal structure of 3-amino-1-(4-bromophenyl)-9-methoxy-1H-benzo[f]chromene-2-carbonitrile, C21H15BrN2O2
- Crystal structure of 2-amino-4-(4-isopropyl-phenyl)-3-cyano-5-oxo-4H,5H-pyrano[3,2-c]chromene, C22H18N2O3
- Crystal structure of 3-amino-8-methoxy-1-(4-methoxy phenyl)-1H-benzo[f]chromene-2-carbonitrile, C22H18N2O3
- Crystal structure of monoaqua-[6,6′-((1E,1′E)-(1,2-phenylene bis(azanylylidene))bis(methanylylidene))bis(4-bromo-2-nitrophenolato-κ4N,N′,O,O′)]zinc(II), C20H12Br2N4O7Zn
- Crystal structure of 11-(4-(dimethylamino)phenyl)-17-hydroxy-13-methyl-17-(prop-1-yn-1-yl)-1,2,6,7,8,11,12,13,14,15,16,17-dodecahydro-3H-cyclopenta[a]phenanthren-3-one – acetonitril (1/2), C33H41N3O2
- Crystal structure of tert-butyl (phenylsulfinyl)carbamate, C11H15NO3S
- Crystal structure of catena-poly{diaqua-bis(3-(1H-1,2,4-triazol-1-yl)benzoato-κ2O:N)copper(II)} monohydrate, C18H18CuN6O7
- Crystal structure of tetraaqua-bis(3-(4H-1,2,4-triazol-4-yl)benzoato-κN)cobalt(II), C18H20CoN6O8
- The crystal structure of 4-bromo-N-cyclopropyl-2,5-difluorobenzenesulfonamide, C9H8BrF2NO2S
- Crystal structure of ([3,3′-bipyridine]-6,6′-dicarboxylato-κ2O:O′)-bis(1,2-bis(4-pyridyl)ethane-κ2N:N′)disilver(I) dihydrate, C37H35Ag2N5O6
- The crystal structure of (4-(1H-1,2,4-triazol-1-yl)benzoato-κN)-[4-(1H-1,2,4-triazol-1-yl)benzoic acid-κN]silver(I), C18H13AgN6O4
- Crystal structure of 3-(4-methoxyphenyl)-1-(4-methylphenyl)prop-2-en-1-one, C17H16O2
- Crystal structure of bis(2-((E)-((4-((E)-1-(ethoxyimino)ethyl)phenyl)imino)methyl)-5-methoxyphenolato-κ2O,N)copper(II), C36H38CuN4O6
- Crystal structure of poly[1,2-bis(1,2,4-triazol-4-yl)ethane-κ2N:N′]silver(I) bromate monohydrate]silver(I), C6H10AgBrN6O4
- The crystal structure of 2,3,5-triphenyl-2,3-dihydro-1H-tetrazol-1-ium 2,3-dioxoindoline-5-sulfonate, C27H19N5O5S
- Crystal structure of 3-(2-amino-1,3-selenazol-4-yl)-2H-chromen-2-one – dimethylformamide (1/1), C15H15N3O3Se
- Crystal structure of diethyl 3,3′-(diazene-1,2-diyl)(E)-dibenzoate, C18H18N2O4
- Crystal structure of cis-bis((1H-benzimidazol-2-yl)methanol-κN,O)-bis(isothiocyanato-κN)nickel(II), C18H16N6NiO2S2
- Crystal structure of bis(2-(2′-hydroxy-5′-methoxyphenyl)-1H-benzimidazole)boron – tetrahydrofuran (1/1), C36H37N4O6B
- Crystal structure of poly[aqua-bis(nitrato-κ2O,O′)-(μ3-1,3-benzimidazol-3-ium-1,3-diacetato-κ4O,O′:O′′:O′′′)dysprosium(III)], C11H11DyN4O11
- Crystal structure of n-butyl-tris(dicyclo-hexylamido)hafnium(IV), C40H75HfN3
- Crystal structure of (E)-1-[1-(3-chloro-4-fluoro-phenyl)ethylidene]-2-(2,4-dinitrophenyl)hydrazine, C28H20Cl2F2N8O8
- The crystal structure of ethyl 4-((2-hydroxybenzyl)amino)benzoate, a Schiff base, C16H17NO3
- Crystal structure of 3-(2-(4-isobutylphenyl)propanoyl)-1-methylimidazolidine-2,4-dione, C17H22N2O3
- Crystal structure of poly[(μ3-2-(pyrazin-2-ylthio)acetato-κ3N:O:S)silver(I)], C6H5AgN2O2S
- Crystal structure of (E)-1-(3-((E)-((2-hydroxynaphthalen-1-yl)methylene)amino)phenyl)ethanone O-benzyl oxime, C26H22N2O2
- Crystal structure of (E)-2,3-dihydroxybenzaldehyde O-(2-((((E)-1-(2,5-dihydroxyphenyl)ethylidene)amino)oxy)ethyl) oxime monohydrate, C17H20N2O7
- Crystal structure of 4-(chloromethyl)-3-nitrobenzoic acid, C8H6ClNO4
- Crystal stucture of 4-((10H-phenothiazin-10-yl)methyl)-2,6-di-tert-butylphenol, C27H31NOS
- The crystal structure of ethyl 1-(4-nitrophenyl)-5-(trifluoromethyl)-1H-pyrazole-4-carboxylate, C13H10F3N3O4
- Crystal structure of catena-poly[di-(μ3-oxido-κ3O:O:O)-tetraoxido-(μ2-5′-(pyrazin-2-yl)-1H,2′H-3,3′-bi(1,2,4-triazole)-κ2N:N′)dimolybdenum(VI)], C8H6Mo2N8O6
- Crystal structure of (3,6-dioxocyclohexa-1,4-diene-1,4-bis(olato)-κ4O,O′:O′′,O′′′)-bis(tris(2-pyridylmethyl)amine-κ4N,N′,N′′,N′′′))-dizinc(II) bis(hexafluorophosphate(V)), C42H38F12N8O4P2Zn2
- Crystal structure of catena-poly[hexakis(μ2-2-acetylphenolato-κ3O:O,O′)trimanganese(II)], C48H42Mn3O12
- The crystal structure of 2,2-difluoro-4-(trifluoromethyl)-2,5-dihydro-[1,3,2]dioxaborinino[5,4-c]chromen-3-ium-2-uide, C11H6BF5O3
- Crystal structure of methyl (E)-2-(4-(diethylamino)-2-hydroxybenzylidene)hydrazine-1-carboxylate, C13H19N3O3
- The crystal structure of tert-butyl 2,6-dihydropyrrolo[3,4-c]pyrazole-5(4H)-carboxylate, C10H15N3O2
- Crystal structure of 1,1-bis(η5-adamantylcyclopentadienyl)-3-phenyl-2-trimethylsilyl-2,3-dihydroisotitanazole, C42H55NSiTi
- Crystal structure of 2-(4-(2-(4-benzylpiperazin-1-yl)ethyl)benzyl)isoindoline-1,3-dione, C28H29N3O2
- Important impurity of Flupirtine – a single crystal study on ethyl (6-amino-5-((ethoxycarbonyl)amino)pyridin-2-yl)(4-fluorobenzyl)carbamate, C18H21FN4O4
- Crystal structure of ethyl 3-(4-methoxyphenyl)-1-(2-(4-methoxyphenyl)-2-oxoethyl)-1H-pyrazole-5-carboxylate, C22H22N2O5
- Crystal structure of 2,3,9,10-tetramethoxy-5,6-dihydroisoquinolino[2,1-b]isoquinolin-7-ium 5-hydroxy-3-(4-hydroxyphenyl)-4-oxo-4H-chromen-7-olate methanol solvate, C37H35N1O10
- The crystal structure of the inner salt of 2-[(aminoiminomethyl)amino]ethylcarbamic acid [systematic name: (2-((diaminomethylene)ammonio)ethyl)carbamate], C4H10N4O2
- Crystal structure of (8-hydroxy-5-nitroquinolinium) perchlorate – 8-hydroxy-5-nitroquinoline (1/1), C18H13ClN4O10
- The crystal structure of (5-methyl-1,2,4-oxadiazol-3-yl)ferrocene, C13H12FeN2O
- Crystal structure of methyl 1-(2-(fluorosulfonyl)ethyl)-2-oxocyclopentanecarboxylate, C9H13FO5S
- Crystal structure of the triclinic modification of 1-methyl-4-nitroimidzole, C4H5N3O2
- Corrigendum
- Crystal structure of 4-bromo-2-(1H-pyrazol-3-yl)phenol, C9H7BrN2O
Articles in the same Issue
- Cover and Frontmatter
- Crystal structure of poly[diaqua-(μ2-4,4′-bipyridine-κ2N:N′)manganese(II)] bis(4-chlorobenzenesulfonate) – 4,4′-bipyridine – water (1/1/2) C42H40Cl2MnN6O10S2
- The crystal structure of 1,2-bis[2-methyl-5-(3-cyanophenyl)-3-thienyl]-3,3,4,4,5,5-hexafluoro-cyclopent-1-ene, C29H16F6N2S2
- Crystal structure of the first characterized polymeric copper and sodium complex diaqua-(tris-acetato-κO,O′)(μ2-acetato-κO′′)dinatrium copper(II) monohydrate, C8H18CuNa2O11
- The crystal structure of the Schiff base (E)-2,6-diisopropyl-N-(pyridin-3-yl-methylene)aniline, C18H22N2
- Crystal structure of methyl 2,7,7-trimethyl-4-(4-nitrophenyl)-5-oxo-1,4,5,6,7,8-hexahydro-quinoline-3-carboxylate, C20H22N2O5
- Crystal structure of bis(1,3-bis(diphenylphosphino)propane-κ2P,P′)silver(I) trifluorosulfonate–methanol (1:0.5), [Ag(C27H26P2)]SO3CF3⋅0.5CH3OH
- Crystal structure of μ-1,4-bis(diphenylphosphine)butane-2,9-dimethyl-1,10-phenanthroline-κ2N:N′-bis(cyano-κC)dicopper(I)]-water, C58H56Cu2N6O2P2
- Crystal structure of N2,N6-bis(1-hydrazinyl-2-methyl-1-oxopropan-2-yl) pyridine-2,6-dicarboxamide, C15H23N7O4
- Crystal structure of 1,3-dimethyl-2-phenyl-1H-perimidin-3-ium iodide, C19H17IN2
- Crystal structure of diaqua-(2,2′-(butane-1,4-diyl)-bis(5-carboxy-1H-imidazole-4-carboxylato)-κ4O,O′,N,N′)cadmium(II) monohydrate, C14H18O11N4Cd
- Crystal structure of ethyl (E)-3-(cyclopropylamino)-2-(2,4-dichloro-5-fluorobenzoyl) acrylate, C15H14Cl2FNO3
- Crystal structure of bis-(1-(4-chlorophenyl)-3-phenyl-4-thenoyl-1H-pyrazol-5-ol-κ2O,O′)-(N,N-dimethylformamide)zinc(II), C43H31Cl2N5O5S2Zn
- Crystal structure of tetrakis(μ3-2-(N-(2-hydroxyethyl)amino)ethoxo)-tetrachloro-tetra-cobalt(II) methanol solvate, C17H44Cl4Co4N4O9
- Crystal structure of 3-amino-1-(4-bromophenyl)-9-methoxy-1H-benzo[f]chromene-2-carbonitrile, C21H15BrN2O2
- Crystal structure of 2-amino-4-(4-isopropyl-phenyl)-3-cyano-5-oxo-4H,5H-pyrano[3,2-c]chromene, C22H18N2O3
- Crystal structure of 3-amino-8-methoxy-1-(4-methoxy phenyl)-1H-benzo[f]chromene-2-carbonitrile, C22H18N2O3
- Crystal structure of monoaqua-[6,6′-((1E,1′E)-(1,2-phenylene bis(azanylylidene))bis(methanylylidene))bis(4-bromo-2-nitrophenolato-κ4N,N′,O,O′)]zinc(II), C20H12Br2N4O7Zn
- Crystal structure of 11-(4-(dimethylamino)phenyl)-17-hydroxy-13-methyl-17-(prop-1-yn-1-yl)-1,2,6,7,8,11,12,13,14,15,16,17-dodecahydro-3H-cyclopenta[a]phenanthren-3-one – acetonitril (1/2), C33H41N3O2
- Crystal structure of tert-butyl (phenylsulfinyl)carbamate, C11H15NO3S
- Crystal structure of catena-poly{diaqua-bis(3-(1H-1,2,4-triazol-1-yl)benzoato-κ2O:N)copper(II)} monohydrate, C18H18CuN6O7
- Crystal structure of tetraaqua-bis(3-(4H-1,2,4-triazol-4-yl)benzoato-κN)cobalt(II), C18H20CoN6O8
- The crystal structure of 4-bromo-N-cyclopropyl-2,5-difluorobenzenesulfonamide, C9H8BrF2NO2S
- Crystal structure of ([3,3′-bipyridine]-6,6′-dicarboxylato-κ2O:O′)-bis(1,2-bis(4-pyridyl)ethane-κ2N:N′)disilver(I) dihydrate, C37H35Ag2N5O6
- The crystal structure of (4-(1H-1,2,4-triazol-1-yl)benzoato-κN)-[4-(1H-1,2,4-triazol-1-yl)benzoic acid-κN]silver(I), C18H13AgN6O4
- Crystal structure of 3-(4-methoxyphenyl)-1-(4-methylphenyl)prop-2-en-1-one, C17H16O2
- Crystal structure of bis(2-((E)-((4-((E)-1-(ethoxyimino)ethyl)phenyl)imino)methyl)-5-methoxyphenolato-κ2O,N)copper(II), C36H38CuN4O6
- Crystal structure of poly[1,2-bis(1,2,4-triazol-4-yl)ethane-κ2N:N′]silver(I) bromate monohydrate]silver(I), C6H10AgBrN6O4
- The crystal structure of 2,3,5-triphenyl-2,3-dihydro-1H-tetrazol-1-ium 2,3-dioxoindoline-5-sulfonate, C27H19N5O5S
- Crystal structure of 3-(2-amino-1,3-selenazol-4-yl)-2H-chromen-2-one – dimethylformamide (1/1), C15H15N3O3Se
- Crystal structure of diethyl 3,3′-(diazene-1,2-diyl)(E)-dibenzoate, C18H18N2O4
- Crystal structure of cis-bis((1H-benzimidazol-2-yl)methanol-κN,O)-bis(isothiocyanato-κN)nickel(II), C18H16N6NiO2S2
- Crystal structure of bis(2-(2′-hydroxy-5′-methoxyphenyl)-1H-benzimidazole)boron – tetrahydrofuran (1/1), C36H37N4O6B
- Crystal structure of poly[aqua-bis(nitrato-κ2O,O′)-(μ3-1,3-benzimidazol-3-ium-1,3-diacetato-κ4O,O′:O′′:O′′′)dysprosium(III)], C11H11DyN4O11
- Crystal structure of n-butyl-tris(dicyclo-hexylamido)hafnium(IV), C40H75HfN3
- Crystal structure of (E)-1-[1-(3-chloro-4-fluoro-phenyl)ethylidene]-2-(2,4-dinitrophenyl)hydrazine, C28H20Cl2F2N8O8
- The crystal structure of ethyl 4-((2-hydroxybenzyl)amino)benzoate, a Schiff base, C16H17NO3
- Crystal structure of 3-(2-(4-isobutylphenyl)propanoyl)-1-methylimidazolidine-2,4-dione, C17H22N2O3
- Crystal structure of poly[(μ3-2-(pyrazin-2-ylthio)acetato-κ3N:O:S)silver(I)], C6H5AgN2O2S
- Crystal structure of (E)-1-(3-((E)-((2-hydroxynaphthalen-1-yl)methylene)amino)phenyl)ethanone O-benzyl oxime, C26H22N2O2
- Crystal structure of (E)-2,3-dihydroxybenzaldehyde O-(2-((((E)-1-(2,5-dihydroxyphenyl)ethylidene)amino)oxy)ethyl) oxime monohydrate, C17H20N2O7
- Crystal structure of 4-(chloromethyl)-3-nitrobenzoic acid, C8H6ClNO4
- Crystal stucture of 4-((10H-phenothiazin-10-yl)methyl)-2,6-di-tert-butylphenol, C27H31NOS
- The crystal structure of ethyl 1-(4-nitrophenyl)-5-(trifluoromethyl)-1H-pyrazole-4-carboxylate, C13H10F3N3O4
- Crystal structure of catena-poly[di-(μ3-oxido-κ3O:O:O)-tetraoxido-(μ2-5′-(pyrazin-2-yl)-1H,2′H-3,3′-bi(1,2,4-triazole)-κ2N:N′)dimolybdenum(VI)], C8H6Mo2N8O6
- Crystal structure of (3,6-dioxocyclohexa-1,4-diene-1,4-bis(olato)-κ4O,O′:O′′,O′′′)-bis(tris(2-pyridylmethyl)amine-κ4N,N′,N′′,N′′′))-dizinc(II) bis(hexafluorophosphate(V)), C42H38F12N8O4P2Zn2
- Crystal structure of catena-poly[hexakis(μ2-2-acetylphenolato-κ3O:O,O′)trimanganese(II)], C48H42Mn3O12
- The crystal structure of 2,2-difluoro-4-(trifluoromethyl)-2,5-dihydro-[1,3,2]dioxaborinino[5,4-c]chromen-3-ium-2-uide, C11H6BF5O3
- Crystal structure of methyl (E)-2-(4-(diethylamino)-2-hydroxybenzylidene)hydrazine-1-carboxylate, C13H19N3O3
- The crystal structure of tert-butyl 2,6-dihydropyrrolo[3,4-c]pyrazole-5(4H)-carboxylate, C10H15N3O2
- Crystal structure of 1,1-bis(η5-adamantylcyclopentadienyl)-3-phenyl-2-trimethylsilyl-2,3-dihydroisotitanazole, C42H55NSiTi
- Crystal structure of 2-(4-(2-(4-benzylpiperazin-1-yl)ethyl)benzyl)isoindoline-1,3-dione, C28H29N3O2
- Important impurity of Flupirtine – a single crystal study on ethyl (6-amino-5-((ethoxycarbonyl)amino)pyridin-2-yl)(4-fluorobenzyl)carbamate, C18H21FN4O4
- Crystal structure of ethyl 3-(4-methoxyphenyl)-1-(2-(4-methoxyphenyl)-2-oxoethyl)-1H-pyrazole-5-carboxylate, C22H22N2O5
- Crystal structure of 2,3,9,10-tetramethoxy-5,6-dihydroisoquinolino[2,1-b]isoquinolin-7-ium 5-hydroxy-3-(4-hydroxyphenyl)-4-oxo-4H-chromen-7-olate methanol solvate, C37H35N1O10
- The crystal structure of the inner salt of 2-[(aminoiminomethyl)amino]ethylcarbamic acid [systematic name: (2-((diaminomethylene)ammonio)ethyl)carbamate], C4H10N4O2
- Crystal structure of (8-hydroxy-5-nitroquinolinium) perchlorate – 8-hydroxy-5-nitroquinoline (1/1), C18H13ClN4O10
- The crystal structure of (5-methyl-1,2,4-oxadiazol-3-yl)ferrocene, C13H12FeN2O
- Crystal structure of methyl 1-(2-(fluorosulfonyl)ethyl)-2-oxocyclopentanecarboxylate, C9H13FO5S
- Crystal structure of the triclinic modification of 1-methyl-4-nitroimidzole, C4H5N3O2
- Corrigendum
- Crystal structure of 4-bromo-2-(1H-pyrazol-3-yl)phenol, C9H7BrN2O