Green synthesized silver and copper nanoparticles induced changes in biomass parameters, secondary metabolites production, and antioxidant activity in callus cultures of Artemisia absinthium L.
Abstract
Artemisia absinthium L. is a highly medicinal plant with a broad range of biomedical applications. A. absinthium callus cultures were established in response to bio-fabricated single NPs (Ag and Cu) or a combination of both NPs (Ag and Cu) in different ratios (1:2, 2:1, 1:3, and 3:1) along with thidiazuron (TDZ) (4 mg/L) to elicit the biomass accumulation, production of non-enzymatic compounds, antioxidative enzymes, and antioxidant activity. Silver and copper nanoparticles (Ag and Cu NPs) were synthesized using the leaves of Moringa oleifera as reducing and capping agent and further characterized through UV-Visible spectroscopy and SEM. The 30 µg/L suspension of Ag and Cu NPs (1:2, 2:1) and 4 mg/L TDZ showed 100% biomass accumulation as compared to control (86%). TDZ in combination with Ag NPs enhanced biomass in the log phases of growth kinetics. The Cu NPs alone enhanced the superoxide dismutase activity (0.56 nM/min/mg FW) and peroxidase activity (0.31 nM/min/mg FW) in callus cultures. However, the combination of Ag and Cu NPs with TDZ induced significant total phenolic (7.31 µg/g DW) and flavonoid contents (9.27 µg/g DW). Furthermore, the antioxidant activity was highest (86%) in the Ag and Cu NPs (3:1) augmented media. The present study provides the first evidence of bio-fabricated single NPs (Ag and Cu) or a combination of both NPs (Ag and Cu) in different ratios (1:2, 2:1, 1:3, and 3:1) along with TDZ (4 mg/L) on the development of callus culture, production of endogenous enzymes, non-enzymatic components, and further antioxidant activity in callus cultures of A. absinthium.
1 Introduction
Artemisia absinthium is commonly known as “wormwood” belonging to the family Asteraceae and used as herbal medicine in Asia, North Africa, Europe, and Middle East [1]. Traditionally, A. absinthium was used because of its diuretic and antispasmodic properties [2], vermifuge, trematocidal [3], bitter, insecticidal properties [4], and against diarrhoea, cough, and common cold [5]. Recently, aerial parts of wormwood are renowned to possess anti-snake venom activity [6]. A. absinthium possess a broad range of biological properties including antitumor, neurotoxic, neuroprotective, hepatoprotective, antimalarial, anthelmintic, and antiprotozoal [7]. Currently, the production of A. absinthium in natural repositories is less as compared to its requirements as pharmacological implications. However, fewer studies have been reported on in vitro production of A. absinthium. In vitro callus culture techniques will reduce the time required for the mericlones development and production of antioxidative enzymes, non-enzymatic compounds, and antioxidant activity, which are either problematic to synthesize under laboratory conditions or produced in less quantity in parental plants [8].
Reactive oxygen species (ROS) are produced under stress to tackle new environments; however, they also interact with biological molecules to inhibit growth and differentiation. However, in such environments, plant cells use either non-enzymatic components such as flavonoids and phenolics or enzymatic components such as superoxide dismutase (SOD), peroxidase (POD), catalase (CAT), and ascorbate peroxidase (APX) that nullify the damaging effects of ROS [9]. Endogenous enzymes play an important role in the conversion of oxygen radicals to H2O2, mericlones development, direct, and indirect organogenesis [10,11]. Similarly, non-enzymatic components contribute to apoptosis induction, enzyme activation, quenching of toxic-free radicals, and expression of gene immune system stimulation and interaction with cell cycle arrest [12]. Secondary metabolites are the main source of antioxidant activity in plant cells and tissues. This antioxidant activity is associated with flavonoids and phenolics [13].
Nanotechnology is famed as twenty-first-century science, and its applications have been extended in different fields of biology, physics, and chemistry. The science deals with the production of minute particles having dimension between 1 and 100 nm [14]. Nanoparticles (NPs) have been applied in various areas of biotechnology because of their exceptional characteristics. However, in medicinal plant biotechnology, the utilization of NPs is a new area of interest and requires more comprehensive research. The recent studies focused on the role of NPs in seed germination, root/shoot length, seedling vigour index (SVI), and biochemical profiling in different medicinally important plants [15,16,17]. The enhanced production of enzymatic components (SOD, POD, and CAT) and non-enzymatic components (total phenolic content [TPC] and total flavonoid content [TFC]) was observed in A. absinthium plantlets exposed to different NPs [18]. Ag NPs boosted in vitro seed germination and growth of seedlings, and enhanced production of antioxidant enzymes [19]. In contrast, zinc oxide NPs suppressed the seed germination in various plants [20].
The mechanism of NPs in regulating the plants growth and development demands more comprehensive research works. The prime objective of the present research work is to check the effect of bio-fabricated silver (Ag) and copper (Cu) NPs with or without application of thidiazuron (TDZ) on the morphogenic variations in callus cultures, proliferation and production of secondary metabolites including TPC, TFC, SOD, POD, and 2,2-diphenyl-1-picryl hydrazyl (DPPH) radical scavenging assay (RSA). Very few studies have been conducted for the applications of chemically synthesized NPs in callus cultures of some plant species. According to our knowledge, this study provides the first evidence on the application of various ratios and combinations of bio-fabricated NPs with or without the application of TDZ on callus cultures development and to explore the probable effects on the secondary metabolites production and antioxidant activity in callus cultures of A. absinthium.
2 Materials and methods
2.1 Synthesis of Ag and Cu NPs
Ag and Cu NPs were synthesized by following the protocol described by Hussain et al. [21]. The extract of Moringa oleifera leaves was used for the reduction and further capping of corresponding salts. The AgNO3 (0.17 g) and CuSO4‧5H2O (0.25 g) were dissolved, respectively, in 1 L of distilled water to make 1 mM solution of both salts. The solutions were then reduced stepwise by adding the extract of M. oleifera with continuous boiling until the solution colour turned to brown and light green for Ag and Cu NPs, respectively. The reaction mixtures were then added in 15 mL falcon tubes and centrifuged for 15 min at 10,000 rpm. The resultant pellets were taken and centrifuged again in double-distilled water. This process continued for three times to get the purity of NPs. The resultant Ag and Cu NPs were used for characterization as well as for accessing the biomass accumulation and secondary metabolite productions in callus cultures of A. absinthium.
2.2 Characterization of Ag and Cu NPs
2.2.1 UV-Visible spectroscopy
The green synthesized Ag and Cu NPs were suspended directly in distilled water by sonication. The biosynthesis of Ag and Cu NPs was observed by recording the UV-Visible (UV-Vis) spectra using spectrophotometer.
2.2.2 Scanning electron microscopy (SEM)
The structural analysis of bio-fabricated Ag and Cu NPs was performed using SIGMA model of SEM. For SEM, the samples of bio-fabricated Ag and Cu NPs were prepared by simply dropping a minor amount of samples on Cu grid coated with carbon. The films were then air-dried, and SEM micrographs were taken at different magnifications.
2.3 Surface sterilization of explants
The seeds of A. absinthium were surface sterilized in 70% ethanol for 60 s followed by immersion in 0.1% (w/v) mercuric chloride (HgCl2) solution for 1 min. The seeds were then rinsed with sterilized distilled water and dried on sterilized filter papers [22].
2.4 Callus culture development
To explore the effect of bio-fabricated Ag and Cu NPs and TDZ on callus culture, approximately 1.5 cm leaf sections of in vitro derived plantlets were added on MS medium supplemented with various treatments of NPs and TDZ. To explore the effect of bio-fabricated Ag and Cu NPs, NPs were added in the MS medium under sterilized conditions. Cultures were kept at 27 ± 1°C under a photoperiod of 16 h light and 8 h dark. Callus formation frequency, texture, and proliferation were recorded after 4 weeks of incubation period. The growth curve for biomass accumulation was developed for the rapidly growing friable callus. Analysis of biomass accumulation was performed for 42 days with an interval of 7 days.
2.5 Determination of antioxidative enzymes
For the analysis of antioxidative enzymes, callus cultures were harvested according to the method described by Nayyar and Gupta [23]. About 10 g of fresh sample was extracted in 10 mL of the extraction buffer. The homogenize was centrifuged at 14,000 rpm at 4°C for 30 min. The supernatant was collected and used for antioxidative enzyme assays. SOD activity was analysed by following the protocol of Ahmad et al. [24], and POD activity was analysed by following the protocol of Lagrimini [25].
2.6 Analyses of non-enzymatic compounds
For the analyses of non-enzymatic compounds, the extraction of calli was performed using the protocol described by Giri et al. [26] with minor modifications. About 100 mg dried samples were crushed in 10 mL of 80% (v/v) methanol. The mixture was sonicated three times and centrifuged at 10,000 rpm for 10 min, and supernatant was stored at 4°C.
2.6.1 Total phenolic content
For the analyses of TPC, Folin–Ciocalteu reagent was used according to the protocol described by Velioglu et al. [27]. The mixture of Folin–Ciocalteu reagent (0.75 mL) and enzyme extract (100 µL) was kept at 22°C for 5 min followed by the addition of 0.75 mL Na2CO3 solution and kept at 22°C for 90 min. The absorbance of the sample was recorded at 725 nm using UV/Vis-DAD spectrophotometer.
2.6.2 Total flavonoid content
The TFC assay was performed using colorimetric method described by Chang et al. [28]. About 10 mg quercetin was added in 80% ethanol and then further dilutions were made. Each standard diluted solution was mixed with 1.5 mL ethanol, 0.1 mL Al2Cl3, 0.1 mL of 1M CH3CO2K, and 2.8 mL of distilled water and incubated for 30 min at 25°C. The absorbance of the sample was recorded at 415 nm using UV/Vis-DAD spectrophotometer.
2.7 Antioxidant activity
For determining the antioxidant activity, DPPH was used by following the protocol described by Abbasi et al. [29]. About 10 mg dried plant material was mixed in 4 mL methanol followed by subsequent mixing in 0.5 mL of 1 mM DPPH solution. The mixture was then vortexed for 15 s and kept at 25°C for 30 min. The absorbance of the sample was then recorded at 517 nm using UV/Vis-DAD spectrophotometer. The antioxidant activity was determined by following the formula:
where A s – reaction mixture absorbance after the addition of extract, A b – control samples absorbance.
2.8 Statistical analysis
The experiment was repeated two times consisting of three replicates. The mean value of all treatments was analysed through ANOVA, and for mean standard deviation, the statistical 8.1 software was used.
3 Results
3.1 Synthesis and characterization of Ag and Cu NPs
The change in colour of reaction mixtures to brown and light green after mixing corresponding salts and plant extract is a general characteristic of Ag and Cu NPs’ biosynthesis, respectively. The extract of M. oleifera leaves acts as a main reducing and capping/stabilizing agent. Hussain et al. [30] reported that plant flavonoids are actually involved in the reduction and capping of the bio-fabricated NPs (Figure 1).

Flow chart for the possible synthesis of silver and copper NPs.
Different techniques can be used for the characterization of NPs. Characterization of NPs requires a combination of various techniques because a single technique is unable to fully characterize colloidal NPs. The synthesis of NPs was observed by recording UV-Vis spectra on UV-Vis spectroscopy. To study the initial synthesis of NPs, the product produced by the reaction of plant extract and corresponding salts is monitored by UV-Vis spectroscopy. The mixture of plant extract with corresponding salt showed surface plasmon resonance at 423–425 nm for Ag NPs and 545–554 nm for Cu NPs. Figure 2 illustrates the UV-Vis spectra of Ag NPs (Figure 2a) and Cu NPs (Figure 2b), respectively. The structural analysis of the bio-fabricated NPs was performed using SIGMA model through scanning electron microscopy. SEM elucidated that Ag NPs were rectangular in shape, whereas Cu NPs were spherical in shape (Figure 3).

UV-Visible spectra of: (a) Ag NPs, (b) Cu NPs.

Scanning electron microscopy (SEM) micrographs of: (a) Ag NPs, (b) Cu NPs.
3.2 Nanoparticles mediated proliferation in callus cultures
The different combinations of Ag NPs and Cu NPs alone and in combination with TDZ were used to check their response on callus proliferation percentage (Table 1). Proliferation of callus was observed in almost all the applied treatments. However, callus proliferation was found maximum (100%) in the MS medium supplemented with 30 µg/L suspension of Ag and Cu NPs (1:2) and Ag and Cu NPs (2:1) in combination with TDZ. Callus proliferation was 45% (Ag NPs), 57% (Cu NPs), and 86% (TDZ) when used alone (Figures 4 and 5). Furthermore, Ag and Cu NPs (1:2) and Ag and Cu NPs (1:3)-augmented media showed optimal callogenic frequency. The results for callus proliferation percentage in response to 4 mg/L TDZ and various combinations of NPs are presented in Table 2.
Treatment layout
| Treatments | NPs (30 µg/L) + TDZ (mg/L) |
|---|---|
| T1 | Murashige and Skoog media (MS) + Ag NPs |
| T2 | MS + Cu NPs |
| T3 | MS + Ag NPs + TDZ (4.0) |
| T4 | MS + Cu NPs + TDZ (4.0) |
| T5 | MS + 1:2 (Ag and Cu NPs) |
| T6 | MS + 1:2 (Ag and Cu NPs) + TDZ (4.0) |
| T7 | MS + 1:3 (Ag and Cu NPs) |
| T8 | MS + 1:3 (Ag and Cu NPs) + TDZ (4.0) |
| T9 | MS + 2:1 (Ag and Cu NPs) |
| T10 | MS + 2:1 (Ag and Cu NPs) + TDZ (4.0) |
| T11 | MS + 3:1 (Ag and Cu NPs) |
| T12 | MS + 3:1 (Ag and Cu NPs) + TDZ (4.0) |
| T13 | TDZ (4.0) |

Effect of different treatments on callus proliferation in A. absinthium.

Maximum proliferation in callus cultures of A. absinthium in: (a) Ag and Cu NPs (1:2) + TDZ, (b) Ag and Cu NPs (2:1) + TDZ.
Impact of different ratios of Ag NPs and Cu NPs alone or in combination with TDZ on callus proliferation and texture in A. absinthium
| Tr. | Callus induction (day) | Callus proliferation (%) | Callus texture |
|---|---|---|---|
| T1 | 25 | 57 | F |
| T2 | 25 | 45 | F |
| T3 | 20 | 82 | C |
| T4 | 20 | 78 | C |
| T5 | 22 | 65 | C |
| T6 | 18 | 100 | C |
| T7 | 22 | 62 | C |
| T8 | 18 | 75 | C |
| T9 | 22 | 60 | C |
| T10 | 18 | 100 | C |
| T11 | 22 | 66 | C |
| T12 | 18 | 82 | C |
| T13 | 18 | 86 | C |
C – compact; F – friable.
3.3 Effect of NPs on biomass accumulation in callus cultures
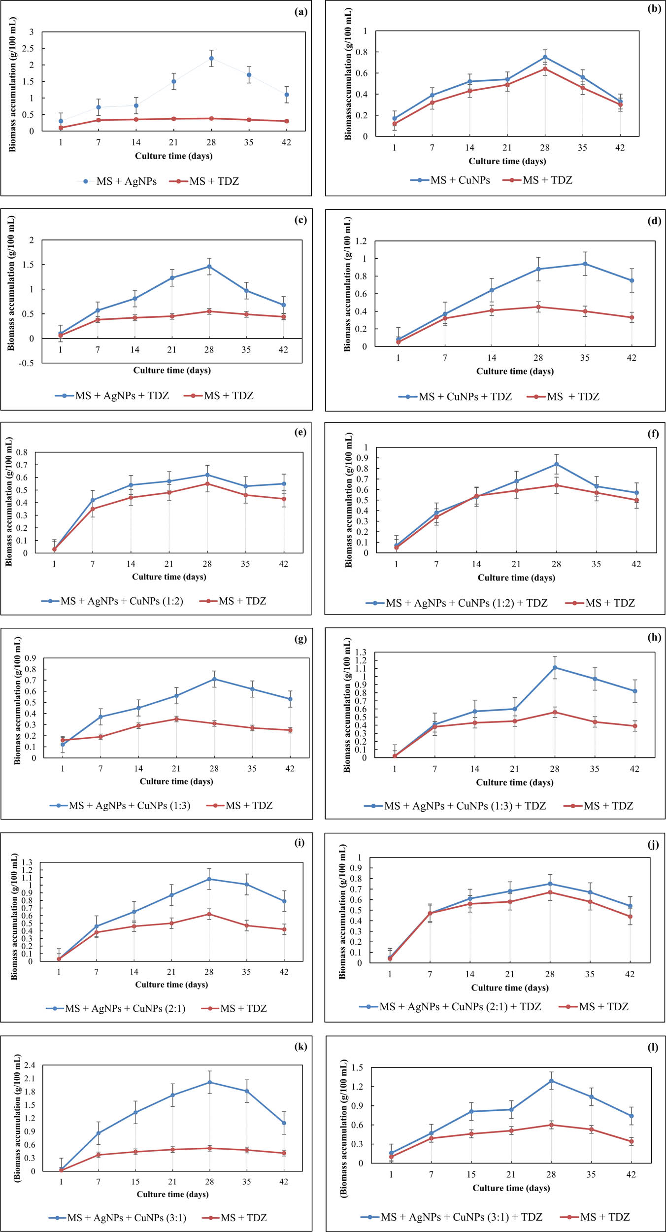
The effect of various combinations of NPs and TDZ on the growth rate of the calli was examined with 7-day intervals for a maximum period of 42 days (Figure 6). Various profiles of biomass accumulation were observed in the lag, log, and decline phases in response to NPs alone or in combination with TDZ. Comparatively, lag and log phases did not change in all the treatments started from 7 to 28 days. However, biomass accumulation in the decline phase was observed for all treatments after 28 days and reached a period of 42 days (Figure 6).

Effect of Ag NPs and Cu NPs alone and in different combinations with TDZ on biomass accumulation at different day intervals.
To check the response of NPs on biomass accumulation, Ag and Cu NPs were supplemented on MS medium, growth of callus was determined for a period of 42 days, and data were collected after every week, in comparison with the TDZ supplemented media. The maximum growth rate (2.2 g) was recorded in response to Ag NPs in the log phase as compared to the TDZ supplemented media (0.38 g) (Figure 6a). However, Cu NPs supplemented media showed twofold less biomass accumulation as compared to Ag NPs, where maximum biomass accumulation (0.75 g) was recorded on 28 days (Figure 6b). Similarly, TDZ in combination with Ag and Cu NPs were also explored for the accumulation of biomass. MS media supplemented with TDZ and Ag NPs, and the total biomass was moderate in the lag as well as in the decline phases. The maximum growth rate (1.46 g) of callus was recorded on the 28th day of the culture (Figure 6c). Maximum biomass (0.98 g) was observed after 35 days, when MS media was supplemented with Cu NPs in combination with TDZ, which is lesser as compared to combination of Ag NPs and TDZ (Figure 6d). Moreover, various ratios of Ag and Cu NPs alone or with the addition of TDZ were also observed for biomass accumulations. The Ag and Cu NPs (1:2) supplemented media elucidated the maximum growth rate (0.62 g) of callus on the log phase of the growth kinetics (Figure 6e) which is less as compared to media supplemented with Ag and Cu NPs in combination with TDZ (0.84 g) after 28 days of the culture (Figure 6f). Similarly, Ag and Cu NPs in (1:3) ratio showed maximum biomass (0.71 g) on the 28th day of the culture (Figure 6g) which is less as compared to media supplemented with Ag and Cu NPs (1:3) in combination with TDZ on the 28th day of culture (Figure 6h). However, Ag and Cu NPs (2:1)-supplemented media exhibited prolonged lag phase of 28 days (Figure 6i). Maximum biomass (1.08 g) was recorded on the 28th day of the lag phase than control (0.62 g). However, onefold reduction (0.75 g) in biomass accumulation was recorded when MS media was supplemented with Ag and Cu NPs (2:1) in combination with TDZ (Figure 6j). Similarly, significant results were obtained in the media augmented with Ag and Cu NPs (3:1) without the application of TDZ (Figure 6k). However, the addition of TDZ to the same ratio of Ag and Cu NPs showed antagonistic effects on biomass accumulation (Figure 6l). The results revealed that the addition of single NPs (Ag and Cu) or combination of both nanoparticles (Ag and Cu) along with TDZ was found to be very effective for biomass accumulation as compared to the control.
3.4 SOD and POD activities
The SOD and POD activities were investigated in response to single NPs (Ag and Cu) or combination of both NPs (Ag and Cu) in different ratios (1:2, 2:1, 1:3, and 3:1) along with TDZ (4 mg/L). The highest POD activity (0.31 nM/min/mg FW) and SOD activity (0.56 nM/min/mg FW) was recorded in MS medium supplemented with 30 µg/L suspension of Cu NPs. Similarly, significant results for antioxidative enzymes (0.33 and 0.26 nM/min/mg FW) were also observed with Ag and Cu NPs in combination with TDZ for SOD and POD, respectively (Figure 7). It shows that NPs applied alone or in combination with TDZ increased the production of antioxidative enzymes in callus cultures. It was found that production of SOD and POD was not associated with the type of NPs, rather it shows independent behaviour. The increase in the production of SOD leads to a decrease in the POD production and in this way helps in plant production and growth of plants.

Effect of different treatments of NPs alone or in combination with TDZ on SOD and POD activity in callus cultures of A. absinthium.
3.5 TPC and TFC
Total phenolic and flavonoid contents of non-enzymatic defence system were investigated in callus cultures in response to NPs alone or in combination with different ratios of NPs along with TDZ (Figure 8). Maximum TPC (7.31 GAE-µg/mg DW) was recorded in MS medium supplemented with Ag and Cu NPs (3:1) in combination with TDZ. However, TPC production (6.88 GAE-µg/mg DW) was not changed with Ag and Cu NPs (3:1)-supplemented medium without TDZ. TPC production was moderate when NPs were supplemented alone. Moreover, TFC showed positive correlation with TPC in callus cultures. Maximum production of TFC (9.27 RE-µg/mg DW) was recorded with Ag and Cu NPs (1:3) in combination with TDZ incorporated media. Furthermore, low quantities of TFC (5.68 RE-µg/mg DW) and TPC (5.09 GAE-µg/mg DW) were recorded under control conditions. The results of the present study propose that NPs have potential to improve the morphological and biochemical fluctuations in callus cultures of A. absinthium. It means that combinations of NPs and TDZ have synergistic effects on TPC and TFC.

Effect of different treatments of NPs alone or in combination with TDZ on total phenolic content and total flavonoid contents in callus cultures of A. absinthium.
3.6 Antioxidant activity
The antioxidant activity was also explored in response to all the applied treatments. It was found that NPs alone or with the addition of TDZ to different ratios of NPs also affected the antioxidant activity in callus cultures. The highest antioxidant activity (86%) was observed when medium was supplemented with the Ag and Cu NPs (3:1). However, the MS medium supplemented with 4 mg/L TDZ showed higher antioxidant activity in comparison with most of the applied treatments (Figure 9). The combinations of NPs and TDZ have synergistic effects on antioxidant activity.

Effect of different treatments of NPs alone or in combination with TDZ on antioxidant activity in callus cultures of A. absinthium.
4 Discussion
The effect of different ratios and combinations of bio-fabricated Ag and Cu NPs applied alone or with the addition of TDZ was explored for biomass accumulation and further quantification of anti-oxidative enzymes and non-enzymatic compounds. Ag and Cu NPs were synthesized using the leaves of M. oleifera as a reducing and capping agent. The bio-fabricated Ag and Cu NPs were characterized through UV-Vis spectroscopy and SEM. UV-Vis spectroscopy confirmed the synthesis of the Ag and Cu NPs. The surface plasmon resonances in the range of 410–480 nm are the indicator for the synthesis of Ag NPs [31,32,33]. However, variation in the wavelengths may attribute to different sizes and shapes of the synthesized Ag NPs [34]. SEM elucidated that the bio-fabricated Ag NPs were rectangular segments fused together in structure, whereas Cu NPs were spherical in shape.
MS media supplemented with the suspension of individual NPs or combination of both NPs significantly induced biomass accumulation in different phases. In the present study, callus proliferation was reported from leaf explants of A. absinthium which were grown under in vitro conditions. Tariq et al. [22] have also reported the biochemical variations in callus cultures from leaf explants of A. absinthium under controlled conditions. The understanding of how NPs control the callus growth and further secondary metabolites production in response to NPs application alone or in combination with TDZ is still to be explored.
There are various conflicting reports on the absorption, translocation, and accumulation of NPs in different plants [35]. The effect of different NPs on the germination parameters depends on physiological state, age, type of tissues, and plant species [36,37]. Previous reports have shown that different NPs showed different responses to the germination parameters in Eruca sativa and A. absinthium [17,18]. The present study has reported that different ratios and combinations of bio-fabricated NPs applied alone or with TDZ have stimulatory effects on callus biomass and secondary metabolism. MS media supplemented with suspension of Ag and Cu NPs (1:2) and Ag and Cu NPs (2:1) along with TDZ (4 mg/L) showed 100% callus proliferation as compared to the medium supplemented with TDZ alone (86%). The 30 µg/L suspensions of bio-fabricated Ag and Cu NPs (1:2; and 2:1) along with TDZ (4 mg/L) have stimulatory effect on callus proliferation in A. absinthium when we compare it with TDZ alone or chemically synthesized NPs because bio-fabricated NPs are less toxic and more stimulatory effect on callus induction frequency as compared to their chemically synthesized counterparts. Similarly, biomass accumulation was significantly high in the lag and log phases of the cultures.
During callus formation and morphogenesis, both biotic and abiotic stresses delay differentiation and dedifferentiation because of ROS production that damages the cells directly through the synthesis of toxic metabolites [38]. To combat such unfavourable conditions, various enzymes are produced during the process of cell division [39]. A complex system is formed by the production of these endogenous enzymes which are involved in scavenging both non-radical oxygen species and toxic-free radicals [37]. The applications of bio-fabricated Ag and Cu NPs significantly enhanced the endogenous enzymes production in comparison with control treatment because ROS are produced in response to the application of NPs. However, antioxidative enzymes did not show linear correlation with each other. An analogous pattern of variations in endogenous enzymes production system is extensively reported in Solanum, Prunus, and Prunella [40,41,42]. Moreover, Martin et al. [43] reported comparatively lesser SOD production during callus differentiation. The antioxidative role of various enzymes (SOD and POD) is extensively reported in different medicinal plants [10,44].
During unfavourable conditions, toxic-free radicals and radical oxygen species are produced in sufficient quantities that initiate series of reactions that ultimately leading to cell or tissue death [45]. To cope up with the unusual conditions, various plants release active class of natural antioxidants such as polyphenols [46]. Hence, plant-based antioxidants are supposed to be scavenger for both the radical oxygen species and toxic-free radicals [47]. Utilization of in vitro techniques with fluctuated media additives such as NPs, light, and temperature is potentially beneficial for the enhanced production of non-enzymatic components. There is still no report on the application of bio-fabricated NPs in callus culture to enhance the non-enzymatic compounds in A. absinthium. The applications of bio-fabricated individual NPs (Ag and Cu) or combination of both NPs (Ag and Cu) in different ratios (1:2, 2:1, 1:3, and 3:1) along with TDZ (4 mg/L) were found to be effective for the enhanced production of non-enzymatic components because radical oxygen species and toxic-free radicals are produced. Antioxidant efficacy of natural antioxidants is mainly because of the non-enzymatic components of defence system. TPC and TFC have also been reported in the callus cultures of some other medicinal plants [42,48] in response to NPs; however, there are still no reports available on the in vitro production of TPC and TFC in A. absinthium. The elicitors and PGHs not only affected the organogenesis but also the production and translocation of various metabolites [49,50]. Higher quantity of TPC was also reported in callus cultures as compared to other tissues [51]. The results of the present study propose that NPs have potential to improve the morphological and biochemical fluctuations in callus cultures of A. absinthium. Different treatments of NPs and TDZ have synergistic effects on the production of non-enzymatic components in callus cultures.
Different ratios and combinations of NPs alone or with the addition of TDZ resulted in differential profiles of DPPH RSA. Among the different methods used for antioxidants determination, DPPH RSA is the simplest, rapid, inexpensive, and efficient method for the determination of DPPH RSA in plant cell cultures [52]. Here, we observed higher DPPH radical scavenging activity in the callus cultures of A. absinthium after the application of different ratios and combinations of NPs and TDZ because NPs ameliorate the accumulation of MDA content by induction of plant antioxidant systems. Our findings are in agreement with Güllüce et al. [53] who reported similar findings in the callus cultures of Satureja hortensis.
5 Conclusion
From the present study, it is concluded that the applications of different ratios and combination of NPs along with TDZ have positive influence on the growth kinetics in callus cultures of A. absinthium. NPs may be involved in optimizing the different growth parameters in callus cultures to elicit the production of antioxidative enzymes and non-enzymatic compounds especially in the field of plant biotechnology under controlled conditions. However, both enzymatic and non-enzymatic defence components contribute to the growth kinetics of callus cultures in A. absinthium up to some extent but the regulating mechanism is yet to be explored. So far, few studies have been conducted regarding nanomaterials as elicitors of endogenous enzymes, non-enzymatic components, and antioxidant activity in callus cultures of A. absinthium. These preliminary findings pave the way for a more comprehensive study in understanding the mechanism at the molecular level that would provide basis to recognize their chemistry for future challenges.
-
Research funding: The authors state that no funding involved.
-
Author contributions: Yujie Fu devised the study. Khizar Hayat performed experiments and wrote the first draft. Shahid Ali and Saif Ullah assisted in characterization of nanoparticles. Mubashir Hussain edited, reviewed, and revised the manuscript. All the authors reviewed and endorsed the final version of the manuscript for submission.
-
Conflict of interest: The authors state no conflict of interest.
References
[1] Sharopov FS, Sulaimonova VA, Setzer WN. Composition of the essential oil of Artemisia absinthium from Tajikistan. Rec Nat Prod. 2012;6:127–34.10.1177/1934578X1100600128Search in Google Scholar
[2] Mohamed AH, El-Sayed MA, Hegazy ME, Helaly SE, Esmail AM, Mohamed NS. Chemical constituents and biological activities of Artemisia herbaalba. Rec Nat Prod. 2010;4:1–25.Search in Google Scholar
[3] Ferreira JF, Peaden P, Keiser J. In vitro trematocidal effects of crude alcoholic extracts of Artemisia annua, A. absinthium, Asiminatriloba, and Fumaria officinalis. Parasitol Res. 2011;109:1585–92.10.1007/s00436-011-2418-0Search in Google Scholar PubMed
[4] Smith AE, Secoy DM. Plants used for agriculture pest control in Western Europe before 1850. Chem Ind. 1981;3:12–5.Search in Google Scholar
[5] Hayat MQ, Khan MA, Ashraf M, Jabeen S. Ethnobotany of the genus Artemisia L. (Asteraceae) in Pakistan. Ethnobot Res Appl. 2009;7:1–6.10.17348/era.7.0.147-162Search in Google Scholar
[6] Nalbantsoy A, Erel ŞB, Köksal Ç, Göçmen B, Yıldız MZ, Karabay Yavaşoğlu NÜ. Viper venom induced inflammation with Montivipera xanthine (Gray, 1849) and the anti-snake venom activities of Artemisia absinthium L. in rat. Toxicon. 2013;65:34–40.10.1016/j.toxicon.2012.12.017Search in Google Scholar PubMed
[7] Hussain M, Raja NI, Akram A, Iftikhar A, Ashfaq D, Yasmeen F, et al. A status review on the pharmacological implications of Artemisia absinthium: a critically endangered plant. Asian Pac J Trop Dis. 2017;7:185–92.10.12980/apjtd.7.2017D6-385Search in Google Scholar
[8] Ali M, Abbasi BH, Ihsan-ul-haq. Production of commercially important secondary metabolites and antioxidant activity in cell suspension cultures of Artemisia absinthium L. Ind Crop Prod. 2013;49:400–6.10.1016/j.indcrop.2013.05.033Search in Google Scholar
[9] Valko M, Leibfritz D, Moncol J, Cronin MTD, Mazur M, Telser J. Free radicals and antioxidants in normal physiological functions and human disease. Int J Biochem Cell Biol. 2006;7:45–78.10.1016/j.biocel.2006.07.001Search in Google Scholar PubMed
[10] Gupta SD, Datta S. Antioxidant enzyme activities during in vitro morphogenesis of gladiolus and the effect of application of antioxidant on plant regeneration. Bio Plant. 2003;47:179–83.10.1023/B:BIOP.0000022248.62869.c7Search in Google Scholar
[11] Manohari JSSD, Indra M, Muthuchelian K. Enzymatic activities of mother plant and tissue cultured plants of Cassia siamea (Fabaceae). J Biosci Res. 2011;2:183–8.Search in Google Scholar
[12] Joo SS, Kim Y, Lee DI. Antimicrobial and antioxidant properties of secondary metabolites from white rose flower. Plant Pathol J. 2010;26:57–62.10.5423/PPJ.2010.26.1.057Search in Google Scholar
[13] Amid A, Johan NN, Jamal P, Zain WNWM. Observation of antioxidant activity of leaves, callus and suspension culture of Justicia gendarusa. African. J Biotech. 2011;10:18653–6.10.5897/AJB11.2734Search in Google Scholar
[14] Sun T, Zhang YS, Pang B, Hyun DC, Yang M, Xia Y. Engineered nanoparticles for drug delivery in cancer therapy. Angew Chem Int Ed. 2014;53:12320–64.10.1201/9780429027819-2Search in Google Scholar
[15] Larue C, Laurette J, Herlin-Boime N, Khodja H, Fayard B, Flank AM, et al. Accumulation, translocation and impact of TiO2 nanoparticles in wheat (Triticum aestivum spp.): influence of diameter and crystal phase. Sci Total Env. 2012;431:197–208.10.1016/j.scitotenv.2012.04.073Search in Google Scholar PubMed
[16] Yasmeen F, Raja NI, Razzaq A, Komatsu S. Gel-free/label-free proteomic analysis of wheat shoot in stress tolerant varieties under iron nanoparticles exposure. Biochim Biophys Acta. 2016;1864:1586–98.10.1016/j.bbapap.2016.08.009Search in Google Scholar PubMed
[17] Zaka M, Abbasi BH, Rahman L, Shah A, Zia M. Synthesis and characterisation of metal nanoparticles and their effects on seed germination and seedling growth in commercially important Eruca sativa. IET Nanobiotechnol. 2016;10:1–7.10.1049/iet-nbt.2015.0039Search in Google Scholar PubMed PubMed Central
[18] Hussain M, Raja NI, Mashwani ZR, Iqbal M, Sabir S, Yasmeen F. In vitro seed germination and biochemical profiling of Artemisia absinthium exposed to various metallic nanoparticles. 3 Biotech. 2017;7:1–8.10.1007/s13205-017-0741-6Search in Google Scholar PubMed PubMed Central
[19] Sharma P, Bhatt D, Zaidi MGH, Saradhi PP, Khanna PK, Arora S. Silver nanoparticle-mediated enhancement in growth and antioxidant status of Brassica juncea. Appl Biochem Biotech. 2012;167:2225–33.10.1007/s12010-012-9759-8Search in Google Scholar PubMed
[20] Lin D, Xing B. Phytotoxicity of nanoparticles: inhibition of seed germination and root growth. Environ Pollut. 2007;150:243–50.10.1016/j.envpol.2007.01.016Search in Google Scholar PubMed
[21] Hussain M, Raja NI, Mashwani ZUR, Iqbal M, Ejaz M, Yasmeen F, et al. In vitro germination and biochemical profiling of Citrus reticulata in response to green synthesized zinc and copper nanoparticles. IET Nanobiotechnol. 2017;11:790–6.10.1049/iet-nbt.2016.0256Search in Google Scholar
[22] Tariq U, Ali M, Abbasi BH. Morphogenic and biochemical variations under different spectral lights in callus cultures of Artemisia absinthium L. J Photochem Photobiol B Biol. 2014;130:264–71.10.1016/j.jphotobiol.2013.11.026Search in Google Scholar PubMed
[23] Nayyar H, Gupta D. Differential sensitivity of C3 and C4 plants to water deficit stress: association with oxidative stress and antioxidants. Env Exp Bot. 2006;58:106–13.10.1016/j.envexpbot.2005.06.021Search in Google Scholar
[24] Ahmad N, Abbasi BH, Fazal H, Khan MA, Afridi MS. Effects of reverse photoperiod on in vitro regeneration and piperine production in Piper nigrum. Comptes Rendus Biol. 2014;337:19–28.10.1016/j.crvi.2013.10.011Search in Google Scholar PubMed
[25] Lagrimini LM. Wound-induced deposition of polyphenols in transgenic plants over expressing peroxidase. Plant Physiol. 1991;96:577–83.10.1104/pp.96.2.577Search in Google Scholar PubMed PubMed Central
[26] Giri L, Dhyani P, Rawat S, Bhatt ID, Nandi SK, Rawal RS, et al. In vitro production of phenolic compounds and antioxidant activity in callus suspension cultures of Habenaria edgeworthii: a rare Himalayan medicinal orchid. Ind Crop Prod. 2012;39:1–6.10.1016/j.indcrop.2012.01.024Search in Google Scholar
[27] Velioglu YS, Mazza G, Gao L, Oomach BD. Antioxidant activity and total phenolics in selected fruits, vegetables and grains products. J Agri Food Chem. 1998;46:4113–7.10.1021/jf9801973Search in Google Scholar
[28] Chang C, Yang M, Wen H, Chern J. Estimation of total flavonoid content in propolis by two complimentary colorimetric method. J Food Drug Anal. 2002;10:178–82.10.38212/2224-6614.2748Search in Google Scholar
[29] Abbasi BH, Khan MA, Mahmood T, Ahmad M, Chaudhary MF, Khan MA. Shoot regeneration and free radical scavenging activity in Silybum marianum L. Plant Cell Tiss Org Cult. 2010;101:371–6.10.1007/s11240-010-9692-xSearch in Google Scholar
[30] Hussain M, Raja NI, Iqbal M, Aslam S. Applications of plant flavonoids in the green synthesis of colloidal silver nanoparticles and impacts on human health. Iran J Sci Technol Trans Sci. 2019;43(3):1381–92.10.1007/s40995-017-0431-6Search in Google Scholar
[31] Nazeruddin G, Prasad N, Waghmare SR, Garadkar KM, Mulla IS. Extracellular biosynthesis of silver nanoparticle using Azadirachta indica leaf extract and its anti-microbial activity. J Alloy Comp. 2014;583:272–7.10.1016/j.jallcom.2013.07.111Search in Google Scholar
[32] Yasmin S, Nouren S, Bhatti HN, Iqbal DN, Iftikhar S, Majeed J, et al. Green synthesis, characterization and photocatalytic applications of silver nanoparticles using Diospyros lotus. Green Process Synth. 2020;9:87–96.10.1515/gps-2020-0010Search in Google Scholar
[33] Riaz M, Ismail M, Ahmad B, Zahid N, Jabbour G, Khan MS, et al. Characterizations and analysis of the antioxidant, antimicrobial, and dye reduction ability of green synthesized silver nanoparticles. Green Process Synth. 2020;9(693):705.10.1515/gps-2020-0064Search in Google Scholar
[34] Iravani S. Green synthesis of metal nanoparticles using plants. Green Chem. 2011;13:2638–50.10.1039/c1gc15386bSearch in Google Scholar
[35] Ma X, Geiser-Lee J, Deng Y, Kolmakov A. Interactions between engineered nanoparticles (ENPs) and plants: phytotoxicity, uptake and accumulation. Sci Total Env. 2010;408:3053–61.10.1016/j.scitotenv.2010.03.031Search in Google Scholar PubMed
[36] Vannini C, Domingo G, Onelli E, Prinsi B, Marsoni M, Espen L, et al. Morphological and proteomic responses of Eruca sativa exposed to silver nanoparticles or silver nitrate. PLoS One. 2013;8:68752–58.10.1371/journal.pone.0068752Search in Google Scholar PubMed PubMed Central
[37] Ikram M, Raja NI, Javed B, Mashwani ZR, Hussain M, Hussain M, et al. Foliar application of bio-fabricated selenium nanoparticles to improve the growth of wheat plants under drought stress. Green Process Synth. 2020;9:706–14.10.1515/gps-2020-0067Search in Google Scholar
[38] Abbasi BH, Khan M, Guo B, Bokhari SA, Khan MA. Efficient regeneration and antioxidative enzyme activities in Brassica rapa var. turnip. Plant Cell Tiss Org Cult. 2011;105:337–44.10.1007/s11240-010-9872-8Search in Google Scholar
[39] Abbasi BH, Saxena PK, Murch SJ, Liu CZ. Echinacea biotechnology: challenges and opportunities. Vitro Cell Dev Biol-Plant. 2007;43:481–92.10.1007/s11627-007-9057-2Search in Google Scholar
[40] Kumar GNM, Knowles NR. Changes in lipid peroxidation and lipolytic and free radical scavenging enzyme activities during aging and sprouting of potato (Solanum tuberosum) seed-tubers. Plant Physiol. 1993;102:105–24.10.1104/pp.102.1.115Search in Google Scholar PubMed PubMed Central
[41] Franck T, Kevers C, Gasper T. Protective enzymatic systems against activated oxygen species compared in normal and hyperhydric shoots of Prunus avium L. raised in vitro. Plant Growth Reg. 1995;16:253–57.10.1007/BF00024782Search in Google Scholar
[42] Fazal H, Abbasi BH, Ahmad N, Ali M. Elicitation of medicinally important antioxidant secondary metabolites with silver and gold nanoparticles in callus cultures of Prunella vulgaris L. Appl Biochem Biotechnol. 2016;180:1076–92.10.1007/s12010-016-2153-1Search in Google Scholar PubMed
[43] Martin AA, Gaffari SM, Nikram V. In vitro organogenesis and antioxidant enzymes activity in Acanthophyllum sordidum. Biol Plant. 2009;53:5–10.10.1007/s10535-009-0002-6Search in Google Scholar
[44] Zavaleta-Mancera HA, Lopez-Delgado H, Loza-Tavera H, Mora-Herrera M, Trevilla-Garcia C. Cytokinin promotes catalase and ascorbate peroxidases activities and preserves the chloroplast integrity during dark-senescence. J Plant Physiol. 2007;164:1572–82.10.1016/j.jplph.2007.02.003Search in Google Scholar PubMed
[45] Sreelatha S, Padma PR. Antioxidant activity and total phenolic content of Moringa oleifera leaves in two stages of maturity. Plant Food Hum Nut. 2009;64:303–11.10.1007/s11130-009-0141-0Search in Google Scholar PubMed
[46] Hong Y, Lin S, Jiang Y, Ashraf M. Variation in contents of total phenolics and flavonoids and antioxidant activities in the leaves of Eriobotrya species. Plant Food Hum Nut. 2008;63:200–4.10.1007/s11130-008-0088-6Search in Google Scholar PubMed
[47] Kosar M, Goger F, Baser KHC. In vitro antioxidant properties and phenolic composition of Salvia halophila Hedge from Turkey. Food Chem. 2011;129:374–9.10.1016/j.foodchem.2011.04.086Search in Google Scholar
[48] Costa P, Gonçalves S, Valentão P, Andrade PB, Coelho N, Romano A. Thymus lotocephalus wild plants and in vitro cultures produce different profiles of phenolic compounds with antioxidant activity. Food Chem. 2012;135:1253–60.10.1016/j.foodchem.2012.05.072Search in Google Scholar
[49] Liu CZ, Guo C, Wang YC, Ouyang F. Effect of light irradiation on hairy root growth and artemisinin biosynthesis of Artemisia annua. Process Biochem. 2002;38:581–5.10.1016/S0032-9592(02)00165-6Search in Google Scholar
[50] Hemm MR, Rider SD, Ogas J, Murry DJ, Chapple C. Light induces phenylpropanoid metabolism in arabidopsis roots. Plant J. 2004;38:765–78.10.1111/j.1365-313X.2004.02089.xSearch in Google Scholar PubMed
[51] Naz S, Ali A, Iqbal J. Phenolic content in vitro cultures of chick pea (Cicer arietinum L.) during callogenesis. Pak J Bot. 2008;40:2525–39.Search in Google Scholar
[52] Abouzid SF, El-Bassuon AA, Nasib A, Khan S, Qureshi J, Choudhary MI. Withaferin a production by root cultures of Withania coagulans. Int Appl Res Nat Prod. 2010;3:23–7.Search in Google Scholar
[53] Güllüce M, Sökmen M, Daferera D, Aǧar G, Özkan H, Kartal N, et al. In vitro antibacterial, antifungal, and antioxidant activities of the essential oil and methanol extracts of herbal parts and callus cultures of Satureja hortensis L. J Agri Food Chem. 2003;51:3959–65.10.1021/jf0340308Search in Google Scholar PubMed
© 2021 Khizar Hayat et al., published by De Gruyter
This work is licensed under the Creative Commons Attribution 4.0 International License.
Articles in the same Issue
- Research Articles
- MW irradiation and ionic liquids as green tools in hydrolyses and alcoholyses
- Effect of CaO on catalytic combustion of semi-coke
- Studies of Penicillium species associated with blue mold disease of grapes and management through plant essential oils as non-hazardous botanical fungicides
- Development of leftover rice/gelatin interpenetrating polymer network films for food packaging
- Potent antibacterial action of phycosynthesized selenium nanoparticles using Spirulina platensis extract
- Green synthesized silver and copper nanoparticles induced changes in biomass parameters, secondary metabolites production, and antioxidant activity in callus cultures of Artemisia absinthium L.
- Gold nanoparticles from Celastrus hindsii and HAuCl4: Green synthesis, characteristics, and their cytotoxic effects on HeLa cells
- Green synthesis of silver nanoparticles using Tropaeolum majus: Phytochemical screening and antibacterial studies
- One-step preparation of metal-free phthalocyanine with controllable crystal form
- In vitro and in vivo applications of Euphorbia wallichii shoot extract-mediated gold nanospheres
- Fabrication of green ZnO nanoparticles using walnut leaf extract to develop an antibacterial film based on polyethylene–starch–ZnO NPs
- Preparation of Zn-MOFs by microwave-assisted ball milling for removal of tetracycline hydrochloride and Congo red from wastewater
- Feasibility of fly ash as fluxing agent in mid- and low-grade phosphate rock carbothermal reduction and its reaction kinetics
- Three combined pretreatments for reactive gasification feedstock from wet coffee grounds waste
- Biosynthesis and antioxidation of nano-selenium using lemon juice as a reducing agent
- Combustion and gasification characteristics of low-temperature pyrolytic semi-coke prepared through atmosphere rich in CH4 and H2
- Microwave-assisted reactions: Efficient and versatile one-step synthesis of 8-substituted xanthines and substituted pyrimidopteridine-2,4,6,8-tetraones under controlled microwave heating
- New approach in process intensification based on subcritical water, as green solvent, in propolis oil in water nanoemulsion preparation
- Continuous sulfonation of hexadecylbenzene in a microreactor
- Synthesis, characterization, biological activities, and catalytic applications of alcoholic extract of saffron (Crocus sativus) flower stigma-based gold nanoparticles
- Foliar applications of plant-based titanium dioxide nanoparticles to improve agronomic and physiological attributes of wheat (Triticum aestivum L.) plants under salinity stress
- Simultaneous leaching of rare earth elements and phosphorus from a Chinese phosphate ore using H3PO4
- Silica extraction from bauxite reaction residue and synthesis water glass
- Metal–organic framework-derived nanoporous titanium dioxide–heteropoly acid composites and its application in esterification
- Highly Cr(vi)-tolerant Staphylococcus simulans assisting chromate evacuation from tannery effluent
- A green method for the preparation of phoxim based on high-boiling nitrite
- Silver nanoparticles elicited physiological, biochemical, and antioxidant modifications in rice plants to control Aspergillus flavus
- Mixed gel electrolytes: Synthesis, characterization, and gas release on PbSb electrode
- Supported on mesoporous silica nanospheres, molecularly imprinted polymer for selective adsorption of dichlorophen
- Synthesis of zeolite from fly ash and its adsorption of phosphorus in wastewater
- Development of a continuous PET depolymerization process as a basis for a back-to-monomer recycling method
- Green synthesis of ZnS nanoparticles and fabrication of ZnS–chitosan nanocomposites for the removal of Cr(vi) ion from wastewater
- Synthesis, surface modification, and characterization of Fe3O4@SiO2 core@shell nanostructure
- Antioxidant potential of bulk and nanoparticles of naringenin against cadmium-induced oxidative stress in Nile tilapia, Oreochromis niloticus
- Variability and improvement of optical and antimicrobial performances for CQDs/mesoporous SiO2/Ag NPs composites via in situ synthesis
- Green synthesis of silver nanoparticles: Characterization and its potential biomedical applications
- Green synthesis, characterization, and antimicrobial activity of silver nanoparticles prepared using Trigonella foenum-graecum L. leaves grown in Saudi Arabia
- Intensification process in thyme essential oil nanoemulsion preparation based on subcritical water as green solvent and six different emulsifiers
- Synthesis and biological activities of alcohol extract of black cumin seeds (Bunium persicum)-based gold nanoparticles and their catalytic applications
- Digera muricata (L.) Mart. mediated synthesis of antimicrobial and enzymatic inhibitory zinc oxide bionanoparticles
- Aqueous synthesis of Nb-modified SnO2 quantum dots for efficient photocatalytic degradation of polyethylene for in situ agricultural waste treatment
- Study on the effect of microwave roasting pretreatment on nickel extraction from nickel-containing residue using sulfuric acid
- Green nanotechnology synthesized silver nanoparticles: Characterization and testing its antibacterial activity
- Phyto-fabrication of selenium nanorods using extract of pomegranate rind wastes and their potentialities for inhibiting fish-borne pathogens
- Hydrophilic modification of PVDF membranes by in situ synthesis of nano-Ag with nano-ZrO2
- Paracrine study of adipose tissue-derived mesenchymal stem cells (ADMSCs) in a self-assembling nano-polypeptide hydrogel environment
- Study of the corrosion-inhibiting activity of the green materials of the Posidonia oceanica leaves’ ethanolic extract based on PVP in corrosive media (1 M of HCl)
- Callus-mediated biosynthesis of Ag and ZnO nanoparticles using aqueous callus extract of Cannabis sativa: Their cytotoxic potential and clinical potential against human pathogenic bacteria and fungi
- Ionic liquids as capping agents of silver nanoparticles. Part II: Antimicrobial and cytotoxic study
- CO2 hydrogenation to dimethyl ether over In2O3 catalysts supported on aluminosilicate halloysite nanotubes
- Corylus avellana leaf extract-mediated green synthesis of antifungal silver nanoparticles using microwave irradiation and assessment of their properties
- Novel design and combination strategy of minocycline and OECs-loaded CeO2 nanoparticles with SF for the treatment of spinal cord injury: In vitro and in vivo evaluations
- Fe3+ and Ce3+ modified nano-TiO2 for degradation of exhaust gas in tunnels
- Analysis of enzyme activity and microbial community structure changes in the anaerobic digestion process of cattle manure at sub-mesophilic temperatures
- Synthesis of greener silver nanoparticle-based chitosan nanocomposites and their potential antimicrobial activity against oral pathogens
- Baeyer–Villiger co-oxidation of cyclohexanone with Fe–Sn–O catalysts in an O2/benzaldehyde system
- Increased flexibility to improve the catalytic performance of carbon-based solid acid catalysts
- Study on titanium dioxide nanoparticles as MALDI MS matrix for the determination of lipids in the brain
- Green-synthesized silver nanoparticles with aqueous extract of green algae Chaetomorpha ligustica and its anticancer potential
- Curcumin-removed turmeric oleoresin nano-emulsion as a novel botanical fungicide to control anthracnose (Colletotrichum gloeosporioides) in litchi
- Antibacterial greener silver nanoparticles synthesized using Marsilea quadrifolia extract and their eco-friendly evaluation against Zika virus vector, Aedes aegypti
- Optimization for simultaneous removal of NH3-N and COD from coking wastewater via a three-dimensional electrode system with coal-based electrode materials by RSM method
- Effect of Cu doping on the optical property of green synthesised l-cystein-capped CdSe quantum dots
- Anticandidal potentiality of biosynthesized and decorated nanometals with fucoidan
- Biosynthesis of silver nanoparticles using leaves of Mentha pulegium, their characterization, and antifungal properties
- A study on the coordination of cyclohexanocucurbit[6]uril with copper, zinc, and magnesium ions
- Ultrasound-assisted l-cysteine whole-cell bioconversion by recombinant Escherichia coli with tryptophan synthase
- Green synthesis of silver nanoparticles using aqueous extract of Citrus sinensis peels and evaluation of their antibacterial efficacy
- Preparation and characterization of sodium alginate/acrylic acid composite hydrogels conjugated to silver nanoparticles as an antibiotic delivery system
- Synthesis of tert-amylbenzene for side-chain alkylation of cumene catalyzed by a solid superbase
- Punica granatum peel extracts mediated the green synthesis of gold nanoparticles and their detailed in vivo biological activities
- Simulation and improvement of the separation process of synthesizing vinyl acetate by acetylene gas-phase method
- Review Articles
- Carbon dots: Discovery, structure, fluorescent properties, and applications
- Potential applications of biogenic selenium nanoparticles in alleviating biotic and abiotic stresses in plants: A comprehensive insight on the mechanistic approach and future perspectives
- Review on functionalized magnetic nanoparticles for the pretreatment of organophosphorus pesticides
- Extraction and modification of hemicellulose from lignocellulosic biomass: A review
- Topical Issue: Recent advances in deep eutectic solvents: Fundamentals and applications (Guest Editors: Santiago Aparicio and Mert Atilhan)
- Delignification of unbleached pulp by ternary deep eutectic solvents
- Removal of thiophene from model oil by polyethylene glycol via forming deep eutectic solvents
- Valorization of birch bark using a low transition temperature mixture composed of choline chloride and lactic acid
- Topical Issue: Flow chemistry and microreaction technologies for circular processes (Guest Editor: Gianvito Vilé)
- Stille, Heck, and Sonogashira coupling and hydrogenation catalyzed by porous-silica-gel-supported palladium in batch and flow
- In-flow enantioselective homogeneous organic synthesis
Articles in the same Issue
- Research Articles
- MW irradiation and ionic liquids as green tools in hydrolyses and alcoholyses
- Effect of CaO on catalytic combustion of semi-coke
- Studies of Penicillium species associated with blue mold disease of grapes and management through plant essential oils as non-hazardous botanical fungicides
- Development of leftover rice/gelatin interpenetrating polymer network films for food packaging
- Potent antibacterial action of phycosynthesized selenium nanoparticles using Spirulina platensis extract
- Green synthesized silver and copper nanoparticles induced changes in biomass parameters, secondary metabolites production, and antioxidant activity in callus cultures of Artemisia absinthium L.
- Gold nanoparticles from Celastrus hindsii and HAuCl4: Green synthesis, characteristics, and their cytotoxic effects on HeLa cells
- Green synthesis of silver nanoparticles using Tropaeolum majus: Phytochemical screening and antibacterial studies
- One-step preparation of metal-free phthalocyanine with controllable crystal form
- In vitro and in vivo applications of Euphorbia wallichii shoot extract-mediated gold nanospheres
- Fabrication of green ZnO nanoparticles using walnut leaf extract to develop an antibacterial film based on polyethylene–starch–ZnO NPs
- Preparation of Zn-MOFs by microwave-assisted ball milling for removal of tetracycline hydrochloride and Congo red from wastewater
- Feasibility of fly ash as fluxing agent in mid- and low-grade phosphate rock carbothermal reduction and its reaction kinetics
- Three combined pretreatments for reactive gasification feedstock from wet coffee grounds waste
- Biosynthesis and antioxidation of nano-selenium using lemon juice as a reducing agent
- Combustion and gasification characteristics of low-temperature pyrolytic semi-coke prepared through atmosphere rich in CH4 and H2
- Microwave-assisted reactions: Efficient and versatile one-step synthesis of 8-substituted xanthines and substituted pyrimidopteridine-2,4,6,8-tetraones under controlled microwave heating
- New approach in process intensification based on subcritical water, as green solvent, in propolis oil in water nanoemulsion preparation
- Continuous sulfonation of hexadecylbenzene in a microreactor
- Synthesis, characterization, biological activities, and catalytic applications of alcoholic extract of saffron (Crocus sativus) flower stigma-based gold nanoparticles
- Foliar applications of plant-based titanium dioxide nanoparticles to improve agronomic and physiological attributes of wheat (Triticum aestivum L.) plants under salinity stress
- Simultaneous leaching of rare earth elements and phosphorus from a Chinese phosphate ore using H3PO4
- Silica extraction from bauxite reaction residue and synthesis water glass
- Metal–organic framework-derived nanoporous titanium dioxide–heteropoly acid composites and its application in esterification
- Highly Cr(vi)-tolerant Staphylococcus simulans assisting chromate evacuation from tannery effluent
- A green method for the preparation of phoxim based on high-boiling nitrite
- Silver nanoparticles elicited physiological, biochemical, and antioxidant modifications in rice plants to control Aspergillus flavus
- Mixed gel electrolytes: Synthesis, characterization, and gas release on PbSb electrode
- Supported on mesoporous silica nanospheres, molecularly imprinted polymer for selective adsorption of dichlorophen
- Synthesis of zeolite from fly ash and its adsorption of phosphorus in wastewater
- Development of a continuous PET depolymerization process as a basis for a back-to-monomer recycling method
- Green synthesis of ZnS nanoparticles and fabrication of ZnS–chitosan nanocomposites for the removal of Cr(vi) ion from wastewater
- Synthesis, surface modification, and characterization of Fe3O4@SiO2 core@shell nanostructure
- Antioxidant potential of bulk and nanoparticles of naringenin against cadmium-induced oxidative stress in Nile tilapia, Oreochromis niloticus
- Variability and improvement of optical and antimicrobial performances for CQDs/mesoporous SiO2/Ag NPs composites via in situ synthesis
- Green synthesis of silver nanoparticles: Characterization and its potential biomedical applications
- Green synthesis, characterization, and antimicrobial activity of silver nanoparticles prepared using Trigonella foenum-graecum L. leaves grown in Saudi Arabia
- Intensification process in thyme essential oil nanoemulsion preparation based on subcritical water as green solvent and six different emulsifiers
- Synthesis and biological activities of alcohol extract of black cumin seeds (Bunium persicum)-based gold nanoparticles and their catalytic applications
- Digera muricata (L.) Mart. mediated synthesis of antimicrobial and enzymatic inhibitory zinc oxide bionanoparticles
- Aqueous synthesis of Nb-modified SnO2 quantum dots for efficient photocatalytic degradation of polyethylene for in situ agricultural waste treatment
- Study on the effect of microwave roasting pretreatment on nickel extraction from nickel-containing residue using sulfuric acid
- Green nanotechnology synthesized silver nanoparticles: Characterization and testing its antibacterial activity
- Phyto-fabrication of selenium nanorods using extract of pomegranate rind wastes and their potentialities for inhibiting fish-borne pathogens
- Hydrophilic modification of PVDF membranes by in situ synthesis of nano-Ag with nano-ZrO2
- Paracrine study of adipose tissue-derived mesenchymal stem cells (ADMSCs) in a self-assembling nano-polypeptide hydrogel environment
- Study of the corrosion-inhibiting activity of the green materials of the Posidonia oceanica leaves’ ethanolic extract based on PVP in corrosive media (1 M of HCl)
- Callus-mediated biosynthesis of Ag and ZnO nanoparticles using aqueous callus extract of Cannabis sativa: Their cytotoxic potential and clinical potential against human pathogenic bacteria and fungi
- Ionic liquids as capping agents of silver nanoparticles. Part II: Antimicrobial and cytotoxic study
- CO2 hydrogenation to dimethyl ether over In2O3 catalysts supported on aluminosilicate halloysite nanotubes
- Corylus avellana leaf extract-mediated green synthesis of antifungal silver nanoparticles using microwave irradiation and assessment of their properties
- Novel design and combination strategy of minocycline and OECs-loaded CeO2 nanoparticles with SF for the treatment of spinal cord injury: In vitro and in vivo evaluations
- Fe3+ and Ce3+ modified nano-TiO2 for degradation of exhaust gas in tunnels
- Analysis of enzyme activity and microbial community structure changes in the anaerobic digestion process of cattle manure at sub-mesophilic temperatures
- Synthesis of greener silver nanoparticle-based chitosan nanocomposites and their potential antimicrobial activity against oral pathogens
- Baeyer–Villiger co-oxidation of cyclohexanone with Fe–Sn–O catalysts in an O2/benzaldehyde system
- Increased flexibility to improve the catalytic performance of carbon-based solid acid catalysts
- Study on titanium dioxide nanoparticles as MALDI MS matrix for the determination of lipids in the brain
- Green-synthesized silver nanoparticles with aqueous extract of green algae Chaetomorpha ligustica and its anticancer potential
- Curcumin-removed turmeric oleoresin nano-emulsion as a novel botanical fungicide to control anthracnose (Colletotrichum gloeosporioides) in litchi
- Antibacterial greener silver nanoparticles synthesized using Marsilea quadrifolia extract and their eco-friendly evaluation against Zika virus vector, Aedes aegypti
- Optimization for simultaneous removal of NH3-N and COD from coking wastewater via a three-dimensional electrode system with coal-based electrode materials by RSM method
- Effect of Cu doping on the optical property of green synthesised l-cystein-capped CdSe quantum dots
- Anticandidal potentiality of biosynthesized and decorated nanometals with fucoidan
- Biosynthesis of silver nanoparticles using leaves of Mentha pulegium, their characterization, and antifungal properties
- A study on the coordination of cyclohexanocucurbit[6]uril with copper, zinc, and magnesium ions
- Ultrasound-assisted l-cysteine whole-cell bioconversion by recombinant Escherichia coli with tryptophan synthase
- Green synthesis of silver nanoparticles using aqueous extract of Citrus sinensis peels and evaluation of their antibacterial efficacy
- Preparation and characterization of sodium alginate/acrylic acid composite hydrogels conjugated to silver nanoparticles as an antibiotic delivery system
- Synthesis of tert-amylbenzene for side-chain alkylation of cumene catalyzed by a solid superbase
- Punica granatum peel extracts mediated the green synthesis of gold nanoparticles and their detailed in vivo biological activities
- Simulation and improvement of the separation process of synthesizing vinyl acetate by acetylene gas-phase method
- Review Articles
- Carbon dots: Discovery, structure, fluorescent properties, and applications
- Potential applications of biogenic selenium nanoparticles in alleviating biotic and abiotic stresses in plants: A comprehensive insight on the mechanistic approach and future perspectives
- Review on functionalized magnetic nanoparticles for the pretreatment of organophosphorus pesticides
- Extraction and modification of hemicellulose from lignocellulosic biomass: A review
- Topical Issue: Recent advances in deep eutectic solvents: Fundamentals and applications (Guest Editors: Santiago Aparicio and Mert Atilhan)
- Delignification of unbleached pulp by ternary deep eutectic solvents
- Removal of thiophene from model oil by polyethylene glycol via forming deep eutectic solvents
- Valorization of birch bark using a low transition temperature mixture composed of choline chloride and lactic acid
- Topical Issue: Flow chemistry and microreaction technologies for circular processes (Guest Editor: Gianvito Vilé)
- Stille, Heck, and Sonogashira coupling and hydrogenation catalyzed by porous-silica-gel-supported palladium in batch and flow
- In-flow enantioselective homogeneous organic synthesis