Home Technology An iterative approach using Sawi transform for fractional telegraph equation in diversified dimensions
Article Open Access

An iterative approach using Sawi transform for fractional telegraph equation in diversified dimensions

  • Mamta Kapoor EMAIL logo and Samanyu Khosla
Published/Copyright: April 5, 2023
Become an author with De Gruyter Brill

Abstract

In the present study, 1D, 2D, and 3D fractional hyperbolic telegraph equations in Caputo sense have been solved using an iterative method using Sawi transform. These equations serve as a model for signal analysis of electrical impulse transmission and propagation. Along with a table of Sawi transform of some popular functions, some helpful results on Sawi transform are provided. To demonstrate the effectiveness of the suggested method, five examples in 1D, one example in 2D, and one example in 3D are solved using the proposed scheme. Error analysis comparing approximate and exact solutions using graphs and tables has been provided. The proposed scheme is robust, effective, and easy to implement and can be implemented on variety of fractional partial differential equations to obtain precise series approximations.

1 Introduction

Fractional calculus deals with derivatives of fractional orders, and the concept can be dated back to a letter from Leibnitz to L’Hospital discussing the possibility of fractional order derivatives [1]. In the present day, multiple different fractional derivatives exist, for example Caputo derivative, Riemann–Liouville derivative [2], Atangana–Baleanu Caputo derivative [3], etc. There exists a wide variety of fractional partial differential equations (FPDEs), one such type of equation being the fractional hyperbolic telegraph equation, which is used as a model in signal analyses of transmission and propagation of electrical impulses and other fields [4]. Many methods have been developed and used to solve FPDEs, such as iterative Laplace transform method [5], homotopy analysis method [6], finite difference method [7], Adomian decomposition method and variational iteration method [8], computational model based on hybrid B-spline collocation method [9], etc.

In the 1880s, Oliver Heaviside developed the telegraph equation to describe the time and distance on an electric transmission line with current and voltage [10]. As fractional hyperbolic telegraph equations (FHTEs) are a kind of FPDE, it is difficult to solve them by the usual means. Therefore, multiple techniques have been developed and applied to solve FHTEs, such as Chebyshev Tau method [11], Sinc Legendre collocation method [12], He’s variational iteration Method [13], fractional skewed grid Crank–Nicolson scheme [14], meshless method using radial basis function [15], hybrid meshless method by combining GFDM in space domain and Houbolt method in temporal dimension [16], shifted Jacobi collocation scheme [17], finite difference scheme based on extended cubic-B spline method [18], least square homotopy perturbation technique [19], etc.

Definition 1

One, two, and three dimensional (1D, 2D, and 3D) FHTEs are given as follows [20]:

(1) D t ω δ + β δ ( ε , t ) + α δ t = δ ε ε + g ( ε , t ) ,

(2) D t 2 ω δ + 2 ω D t ω δ + β 2 δ = δ ε ε + δ σ σ + g ( ε , σ , t ) ,

(3) D t 2 ω δ + 2 ω D t ω δ + β 2 δ = δ ε ε + δ σ σ + δ τ τ + g ( ε , σ , τ , t ) ,

where β and α are arbitrary constants and δ is an unknown function, ω is the fractional order of the equation, t is the time variable, ε , σ , and τ are the x , y , and z dimensions, respectively. D t ω is the fractional order derivative of order ω in Caputo sense. Alternatively, δ t ω can be used as the fractional order derivative of order ω in Caputo sense of the function δ . When dealing with space fractional telegraph equations, x would be used to refer to the x dimension. δ ( ε , σ , 0 ) = g 1 ( ε , σ ) , δ t ( ε , σ , 0 ) = g 2 ( ε , σ ) , δ ( ε , σ , τ , 0 ) = g 1 ( ε , σ , τ ) and δ t ( ε , σ , τ , 0 ) = g 2 ( ε , σ , τ ) . For the sake of consistency, t , ω , ε , σ , and τ will have the same meaning as stated above throughout the manuscript.

Different transforms like Natural transform [21], Sumudu transform [22], Mohand transform [23] etc., can be applied on pre-existing techniques to solve FPDEs, for example, Natural transform has been used with Adomian decomposition method, also known as Natural transform decomposition method to solve FHTEs [24], Shehu Transform is used in an analytical approach to solve time-fractional Schrödinger equations [25], differential transform method has been used to solve FPDEs like Bagley–Torvik equation and composite fractional oscillation equation [26], a method developed by combining time discretization and Laplace transform method has been used to numerically solve fractional differential equations via quadrature rule [27], Sumudu transform has been combined with homotopy perturbation method to solve non-linear fractional differential equations [28], inverse fractional Shehu transform method has been used to solve fractional differential equations [29] etc. In the present study, Sawi transform is used in an iterative approach, which is based on an analytical approach using Shehu transform to solve FHTEs [20], to obtain a series solution to FHTEs in 1D, 2D, and 3D.

Definition 2

Sawi transform of a function δ ( t ) is as follows [30]:

(4) S [ δ ( t ) ] = 1 μ 2 0 e t μ δ ( t ) d t = δ ̅ ( μ ) , t 0 , μ > 0 ,

where μ is the transformed variable. μ will be the default transformed variable for the entire manuscript.

Definition 3

Linearity property of Sawi transform is as follows [30]:

(5) S [ a δ 1 ( t ) + b δ 2 ( t ) ] = 1 μ 2 0 e t μ ( a δ 1 ( t ) + b δ 2 ( t ) ) d t = a 1 μ 2 0 e t μ δ 1 ( t ) d t + b 1 μ 2 0 e t μ δ 2 ( t ) d t = aS [ δ 1 ( t ) ] + bS [ δ 2 ( t ) ] .

Definition 4

Scaling property of Sawi transform is as follows [30]:

S [ δ ( t ) ] = 1 μ 2 0 e t μ δ ( t ) d t = δ ̅ ( μ ) , t 0 , μ > 0

Then,

S [ δ ( at ) ] = 1 μ 2 0 e t μ δ ( at ) d t .

Let at = p , then d p = a d t

(6) S [ δ ( at ) ] = 1 a μ 2 0 e p a μ δ ( p ) d p = a ( a μ ) 2 0 e p a μ δ ( p ) d p = a δ ̅ ( a μ ) .

Definition 5

Translation property of Sawi transform is as follows [30]:

S [ δ ( t ) ] = 1 μ 2 0 e t μ δ ( t ) d t = δ ̅ ( μ ) , t 0 , μ > 0

Then,

(7) S [ e kt δ ( t ) ] = 1 ( 1 k μ ) 2 δ ̅ μ 1 k μ .

Definition 6

Caputo derivative of a function δ ( t ) is as follows [31]:

(8) D ω 0 C δ ( t ) = 1 Γ ( m ω ) 0 t ( t θ ) m ω 1 δ ( m ) ( θ ) d θ ,

where m 1 < ω m , m N , ε > 0 .

Definition 7

Sawi transform of Caputo derivative of a function δ ( t ) is as follows [32]:

(9) S [ D t ω δ ( t ) ] = 1 μ ω S [ δ ( t ) ] k = 0 m 1 1 μ ω ( k 1 ) δ ( k ) ( 0 ) .

2 Outline of the study

Outline of the study has been provided below.

  • In Section 3, general formula for the 1 D FHTEs is developed. For the 2 D and 3 D FHTEs, Appendixes A and B have been referenced.

  • In Section 4, a total of seven examples have been solved to illustrate the efficacy of the proposed method. Examples 1, 4, and 5 involve 1 D time FHTEs, Examples 6 and 7 involve 1 D space FHTEs, Example 2 involves 2 D time FHTE and Example 3 involves 3 D time FHTE. A series solution is developed for each example using the proposed method.

  • In Section 5, graphs and tables for Examples 1, 2, 4, 5, 6, and 7 have been provided to perform error analysis.

  • In Section 6, the conclusion has been provided.

3 Development of the formula

The form of 1 D time telegraph equation is as follows [20]:

D t ω δ ( ε , t ) + L [ δ ( ε , t ) ] + N [ δ ( ε , t ) ] = q ( ε , t ) ,

where L refers to the linear operator and N refers to the nonlinear operator. D t ω δ ( ε , t ) is the Caputo derivative of δ ( ε , t ) . Applying Sawi transform on equation

S [ D t ω δ ( ε , t ) ] + S [ L [ δ ( ε , t ) ] + N [ δ ( ε , t ) ] ] = S [ q ( ε , t ) ] ,

1 μ ω S [ δ ( ε , t ) ] k = 0 m 1 1 μ ω ( k 1 ) δ ( k ) ( 0 ) = S [ q ( ε , t ) ] S [ L [ δ ( ε , t ) ] ] S [ N [ δ ( ε , t ) ] ] ,

δ ( ε , t ) = S 1 μ ω k = 0 m 1 1 μ ω ( k 1 ) δ ( k ) ( 0 ) + S [ q ( ε , t ) ] S 1 [ μ ω ( S [ L [ δ ( ε , t ) ] ] + S [ N [ δ ( ε , t ) ] ] ) ] .

Now, linear and nonlinear operators can be decomposed in the following manner:

L [ δ ] = L r = 0 δ r ( ε , t ) = L [ δ 0 ( ε , t ) ] + r = 1 L i = 0 r δ i ( ε , t ) L i = 0 r 1 δ i ( ε , t ) .

N [ δ ] = N r = 0 δ r ( ε , t ) = N [ δ 0 ( ε , t ) ] + r = 1 N i = 0 r δ i ( ε , t ) N i = 0 r 1 δ i ( ε , t ) ,

k = 0 δ k ( ε , t ) = S 1 μ ω k = 0 m 1 1 μ ω ( k 1 ) δ ( k ) ( 0 ) + S [ q ( ε , t ) ] S 1 [ μ ω S ( L [ δ 0 ( ε , t ) ] + N [ δ 0 ( ε , t ) ] ) ]

S 1 μ ω S r = 1 L [ δ r ( ε , t ) ] + r = 1 N i = 0 r δ i ( ε , t ) N i = 0 r 1 δ i ( ε , t ) ,

δ 0 ( ε , t ) = S 1 μ ω k = 0 m 1 1 μ ω ( k 1 ) δ ( k ) ( 0 ) + S [ q ( ε , t ) ] ,

δ 1 ( ε , t ) = S 1 [ μ ω S ( L [ δ 0 ( ε , t ) ] + N [ δ 0 ( ε , t ) ] ) ] ,

δ r + 1 ( ε , t ) = S 1 μ ω S r = 1 L [ δ r ( ε , t ) ] + r = 1 N i = 0 r δ i ( ε , t ) N i = 0 r 1 δ i ( ε , t ) ,

r = 1 , 2 , 3 , 4 , 5 , .

The general formulae for 2D and 3D can also be derived in a similar manner. Their proofs have been provided in Appendixes A and B, respectively. It can be observed that the first term δ 0 depends on the initial conditions.

4 Examples and calculations

Each example has a series solution calculated at a specific ω and the exact solution is also provided. Examples 1, 4, and 5 contain 1 D time FHTEs, Examples 6 and 7 contain 1D space FHTEs, Example 2 contains 2 D time FHTE and Example 3 contains 3 D time FHTE.

Example 1

Consider the following 1D time FHTE [20]:

(10) D t ω δ = δ 2 δ t δ ε ε ,

where δ ( ε , 0 ) = e ε and δ t ( ε , 0 ) = 2 e ε , 0 < ω 2 are the initial conditions.

δ 0 ( ε , t ) = δ ( ε , 0 ) + t δ t ( ε , 0 ) = e ε t ( 2 e ε ) = e ε ( 1 2 t ) .

Applying Sawi transform on Eq. (10)

S [ D t ω δ ( ε , t ) ] = S [ δ 2 δ t δ ε ε ] ,

δ = S 1 μ ω k = 0 m 1 1 μ ω ( k 1 ) δ ( k ) ( 0 ) + S 1 [ μ ω S [ R ( δ ) ] ] ,

(11) δ 0 = S 1 μ ω k = 0 m 1 1 μ ω ( k 1 ) δ ( k ) ( 0 ) ,

(12) δ r + 1 = S 1 [ μ ω S [ R ( δ r ) ] ] .

Considering m = 1 in Eq. (11),

δ 0 = S 1 1 μ δ ( 0 ) = δ ( 0 ) = e ε ( 1 2 t ) ,

R [ δ 0 ] = δ 0 2 ( δ 0 ) t ( δ 0 ) ε ε = 4 e ε .

Using Eq. (12)

δ 1 = S 1 [ μ ω ( S [ 4 e ε ] ) ] δ 1 = 4 e ε S 1 [ μ ω 1 ] δ 1 ( ε , t ) = 4 e ε t ω Γ ( ω + 1 ) ,

R [ δ 1 ] = δ 1 2 ( δ 1 ) t ( δ 1 ) ε ε = 8 e ε ω t ω 1 Γ ( ω + 1 ) .

Using Eq. (12)

δ 2 = S 1 μ ω S 8 e ε ω t ω 1 Γ ( ω + 1 ) δ 2 = 8 e ε ω Γ ( ω + 1 ) S 1 [ Γ ( ω ) μ 2 ω 2 ] δ 2 ( ε , t ) = 8 e ε ω Γ ( ω ) t 2 ω 1 Γ ( ω + 1 ) Γ ( 2 ω ) ,

R [ δ 2 ] = δ 2 2 ( δ 2 ) t ( δ 2 ) ε ε = 16 e ε ω ( 2 ω 1 ) Γ ( ω ) t 2 ω 2 Γ ( ω + 1 ) Γ ( 2 ω ) .

Using Eq. (12)

δ 3 = S 1 μ ω S 16 e ε ω ( 2 ω 1 ) Γ ( ω ) t 2 ω 2 Γ ( ω + 1 ) Γ ( 2 ω ) δ 2 = 16 e ε ω ( 2 ω 1 ) Γ ( ω ) Γ ( ω + 1 ) Γ ( 2 ω ) S 1 [ Γ ( 2 ω 1 ) μ 3 ω 3 ] δ 3 ( ε , t ) = 16 e ε ω ( 2 ω 1 ) Γ ( ω ) Γ ( 2 ω 1 ) t 3 ω 2 Γ ( ω + 1 ) Γ ( 2 ω ) Γ ( 3 ω 1 ) ,

δ ( ε , t ) = δ 0 ( ε , t ) + δ 1 ( ε , t ) + δ 2 ( ε , t ) + δ 3 ( ε , t ) +

δ ( ε , t ) = e ε ( 1 2 t ) + 4 e ε t ω Γ ( ω + 1 ) 8 e ε ω Γ ( ω ) t 2 ω 1 Γ ( ω + 1 ) Γ ( 2 ω ) + 16 e ε ω ( 2 ω 1 ) Γ ( ω ) Γ ( 2 ω 1 ) t 3 ω 2 Γ ( ω + 1 ) Γ ( 2 ω ) Γ ( 3 ω 1 )

Putting ω = 2 , the series solution is as follows:

δ ( ε , t ) = e ε 1 2 t 1 ! + ( 2 t ) 2 2 ! ( 2 t ) 3 3 ! + ( 2 t ) 4 4 ! .

Also, the fractional equation becomes,

δ tt = δ 2 δ t δ ε ε .

Given the same initial conditions, the exact solution of this differential equation is δ ( ε , t ) = e ε 2 t [20], and it agrees with the series solution obtained by the iterative scheme.

Example 2

Consider the following 2D time FHTE [20]:

(13) D t 2 ω δ + 3 D t ω δ + 2 δ = δ ε ε + δ σ σ ,

where δ ( ε , σ , 0 ) = e ε + σ and δ t ( ε , σ , 0 ) = 3 e ε + σ are the initial conditions.

δ 0 ( ε , σ , t ) = δ ( ε , σ , 0 ) + t δ t ( ε , σ , 0 ) = e ε + σ 3 t ( e ε + σ ) = e ε + σ ( 1 3 t ) .

Applying Sawi transform on Eq. (13)

S [ D t 2 ω δ + 3 D t ω δ + 2 δ ] = S [ δ ε ε + δ σ σ ] ,

δ ( ε , σ , t ) = S 1 μ 2 ω k = 0 m 1 1 μ 2 ω ( k 1 ) δ ( k ) ( 0 ) + S 1 [ μ 2 ω ( S [ R [ δ ] 3 D t ω δ ] ) ] ,

(14) δ 0 = S 1 μ 2 ω k = 0 m 1 1 μ 2 ω ( k 1 ) δ ( k ) ( 0 ) ,

(15) δ r + 1 = S 1 [ μ 2 ω ( S [ R [ δ ] 3 D t ω δ ] ) ] .

r = 0 , 1 , 2 , 3 ,

Considering m = 1 in Eq. (14),

δ 0 = S 1 1 μ δ ( 0 ) = δ ( 0 ) = e ε + σ ( 1 3 t ) ,

R [ δ 0 ] = ( δ 0 ) ε ε + ( δ 0 ) σ σ 2 δ 0 = 0 .

Using Eq. (15)

δ 1 = S 1 [ μ 2 ω ( 3 S [ D t ω δ 0 ] ) ] = 3 S 1 [ μ 2 ω ( S [ D t ω δ 0 ] ) ] ,

S [ D t ω δ 0 ] = 1 μ ω S [ δ 0 ] 1 μ ω + 1 δ 0 ( 0 ) S [ D t ω δ 0 ] = 3 e ε + σ μ ω

δ 1 = 3 S 1 μ 2 ω 3 e ε + σ μ ω δ 1 = 9 e ε + σ t ω + 1 Γ ( ω + 2 ) ,

R [ δ 1 ] = ( δ 1 ) ε ε + ( δ 1 ) σ σ 2 δ 1 = 0 .

Using Eq. (15)

δ 2 = S 1 [ μ 2 ω ( 3 S [ D t ω δ 1 ] ) ] = 3 S 1 [ μ 2 ω ( S [ D t ω δ 1 ] ) ] ,

S [ D t ω δ 1 ] = 1 μ ω S [ δ 1 ] 1 μ ω + 1 δ 1 ( 0 ) S [ D t ω δ 1 ] = 9 e ε + σ ,

δ 1 = 3 S 1 [ μ 2 ω ( 9 e ε + σ ) ] δ 1 = 27 e ε + σ t 2 ω + 1 Γ ( 2 ω + 2 ) ,

R [ δ 2 ] = ( δ 2 ) ε ε + ( δ 2 ) σ σ 2 δ 1 = 0 .

Using Eq. (15)

δ 3 = S 1 [ μ 2 ω ( 3 S [ D t ω δ 2 ] ) ] = 3 S 1 [ μ 2 ω ( S [ D t ω δ 2 ] ) ] ,

S [ D t ω δ 2 ] = 1 μ ω S [ δ 2 ] 1 μ ω + 1 δ 2 ( 0 ) S [ D t ω δ 2 ] = 27 e ε + σ μ ω ,

δ 3 = 3 S 1 [ μ 2 ω ( 27 e ε + σ μ ω ) ] δ 3 = 81 e ε + σ t 3 ω + 1 Γ ( 3 ω + 2 ) ,

δ ( ε , σ , t ) = δ 0 ( ε , σ , t ) + δ 1 ( ε , σ , t ) + δ 2 ( ε , σ , t ) + δ 3 ( ε , σ , t ) + ,

δ ( ε , σ , t ) = e ε + σ ( 1 2 t ) + 9 e ε + σ t ω + 1 Γ ( ω + 2 ) 27 e ε + σ t 2 ω + 1 Γ ( 2 ω + 2 ) + 81 e ε + σ t 3 ω + 1 Γ ( 3 ω + 2 ) .

Putting ω = 1 , the series solution is as follows:

δ ( ε , σ , t ) = e ε + σ 1 3 t 1 ! + ( 3 t ) 2 2 ! ( 3 t ) 3 3 ! + ( 3 t ) 4 4 ! .

Also, the fractional equation becomes

δ tt + 3 δ t + 2 δ = δ ε ε + δ σ σ .

Given the same initial conditions, the exact solution of this differential equation is δ ( ε , σ , t ) = e ε + σ 3 t [20], and it agrees with the series solution obtained by the iterative scheme.

Example 3

Consider the following 3D time FHTE [20]

(16) D t 2 ω δ + 2 D t ω δ + 3 δ = δ ε ε + δ σ σ + δ τ τ ,

where δ ( ε , σ , τ , 0 ) = sinh ε sinh σ sinh τ and δ t ( ε , σ , τ , 0 ) = sinh ε sinh σ sinh τ , 0 < ω 1 are the initial conditions.

δ 0 ( ε , σ , t ) = δ ( ε , σ , τ , 0 ) + t δ t ( ε , σ , τ , 0 ) = sinh ε sinh σ sinh τ t ( sinh ε sinh σ sinh τ ) = sinh ε sinh σ sinh τ ( 1 t ) .

Applying Sawi transform on Eq. (16)

S [ D t 2 ω δ + 2 D t ω δ + 3 δ ] = S [ δ ε ε + δ σ σ + δ τ τ ] ,

δ ( ε , σ , τ , t ) = S 1 μ 2 ω k = 0 m 1 1 μ 2 ω ( k 1 ) δ ( k ) ( 0 ) + S 1 [ μ 2 ω ( S [ R [ δ ] 2 D t ω δ ] ) ] ,

(17) δ 0 ( ε , σ , τ , t ) = S 1 μ 2 ω k = 0 m 1 1 μ 2 ω ( k 1 ) δ ( k ) ( 0 ) ,

(18) δ r + 1 ( ε , σ , τ , t ) = S 1 [ μ 2 ω ( S [ R [ δ ] 2 D t ω δ ] ) ] ,

r = 0 , 1 , 2 , 3 ,

Considering m = 1 in Eq. (17),

δ 0 = S 1 1 μ δ ( 0 ) = δ ( 0 ) = sinh ε sinh σ sinh τ ( 1 t ) ,

R [ δ 0 ] = ( δ 0 ) ε ε + ( δ 0 ) σ σ + ( δ 0 ) τ τ 3 δ 0 = 0 .

Using Eq. (18)

δ 1 = S 1 [ μ 2 ω ( 2 S [ D t ω δ 0 ] ) ] = 2 S 1 [ μ 2 ω ( S [ D t ω δ 0 ] ) ] ,

S [ D t ω δ 0 ] = 1 μ ω S [ δ 0 ] 1 μ ω + 1 δ 0 ( 0 ) S [ D t ω δ 0 ] = sinh ε sinh σ sinh τ μ ω ,

δ 1 = 2 S 1 μ 2 ω sinh ε sinh σ sinh τ μ ω δ 1 = 2 sinh ε sinh σ sinh τ t ω + 1 Γ ( ω + 2 ) ,

R [ δ 1 ] = ( δ 1 ) ε ε + ( δ 1 ) σ σ + ( δ 1 ) τ τ 3 δ 1 = 0 .

Using Eq. (18)

δ 2 = S 1 [ μ 2 ω ( 2 S [ D t ω δ 1 ] ) ] = 2 S 1 [ μ 2 ω ( S [ D t ω δ 1 ] ) ] ,

S [ D t ω δ 1 ] = 1 μ ω S [ δ 1 ] 1 μ ω + 1 δ 1 ( 0 ) S [ D t ω δ 1 ] = 2 sinh ε sinh σ sinh τ ,

δ 1 = 2 S 1 [ μ 2 ω ( 2 sinh ε sinh σ sinh τ ) ] δ 1 = 4 sinh ε sinh σ sinh τ t 2 ω + 1 Γ ( 2 ω + 2 ) ,

R [ δ 2 ] = ( δ 2 ) ε ε + ( δ 2 ) σ σ + ( δ 2 ) τ τ 3 δ 2 = 0 .

Using Eq. (18)

δ 3 = S 1 [ μ 2 ω ( 2 S [ D t ω δ 2 ] ) ] = 2 S 1 [ μ 2 ω ( S [ D t ω δ 2 ] ) ] ,

S [ D t ω δ 2 ] = 1 μ ω S [ δ 2 ] 1 μ ω + 1 δ 2 ( 0 ) S [ D t ω δ 2 ] = 4 sinh ε sinh σ sinh τ μ ω ,

δ 3 = 2 S 1 [ μ 2 ω ( 4 sinh ε sinh σ sinh τ μ ω ) ] δ 3 = 8 sinh ε sinh σ sinh τ t 3 ω + 1 Γ ( 3 ω + 2 ) ,

δ ( ε , σ , τ , t ) = δ 0 ( ε , σ , τ , t ) + δ 1 ( ε , σ , τ , t ) + δ 2 ( ε , σ , τ , t ) + δ 3 ( ε , σ , τ , t ) + ,

δ ( ε , σ , τ , t ) = sinh ε sinh σ sinh τ ( 1 t ) + 2 sinh ε sinh σ sinh τ t ω + 1 Γ ( ω + 2 ) 4 sinh ε sinh σ sinh τ t 2 ω + 1 Γ ( 2 ω + 2 ) + 8 sinh ε sinh σ sinh τ t 3 ω + 1 Γ ( 3 ω + 2 ) .

Putting ω = 1 , the series solution is as follows:

δ ( ε , σ , τ , t ) = sinh ε sinh σ sinh τ 1 t 1 ! + 2 t 2 2 ! 4 t 3 3 ! + 8 t 4 4 ! .

Example 4

Consider the following FHTE [31]:

(19) D t 2 ω δ + 2 D t ω δ + δ = δ ε ε ,

where δ ( ε , 0 ) = sinh ε and δ t ( ε , 0 ) = 2 sinh ε , 0 < ω 2 are the initial conditions.

δ 0 ( ε , t ) = δ ( ε , 0 ) + t δ t ( ε , 0 ) = sinh ε t ( 2 sinh ε ) = sinh ε ( 1 2 t ) .

Applying Sawi transform on Eq. (19)

S [ D t 2 ω δ + 2 D t ω δ + δ ] = S [ δ ε ε ] ,

S [ D t 2 ω δ ] = S [ δ ε ε δ 2 D t ω δ ] ,

δ ( ε , t ) = S 1 μ 2 ω k = 0 m 1 1 μ 2 ω ( k 1 ) δ ( k ) ( 0 ) + S 1 [ μ 2 ω ( S [ R [ δ ] 2 D t ω δ ] ) ] ,

(20) δ 0 = S 1 μ 2 ω k = 0 m 1 1 μ 2 ω ( k 1 ) δ ( k ) ( 0 ) ,

(21) δ r + 1 = S 1 [ μ 2 ω ( S [ R [ δ ] 2 D t ω δ ] ) ] ,

r = 0 , 1 , 2 , 3 ,

Considering m = 1 in Eq. (20),

δ 0 = S 1 1 μ δ ( 0 ) = δ ( 0 ) = sinh ε ( 1 2 t ) ,

R [ δ 0 ] = ( δ 0 ) ε ε δ 0 = 0 ,

Using Eq. (21)

δ 1 = S 1 [ μ 2 ω ( 2 S [ D t ω δ 0 ] ) ] = 2 S 1 [ μ 2 ω ( S [ D t ω δ 0 ] ) ] ,

S [ D t ω δ 0 ] = 1 μ ω S [ δ 0 ] 1 μ ω + 1 δ 0 ( 0 ) S [ D t ω δ 0 ] = 2 sinh ε μ ω ,

δ 1 = 2 S 1 μ 2 ω 2 sinh ε μ ω δ 1 = 4 sinh ε t ω + 1 Γ ( ω + 2 ) ,

R [ δ 1 ] = ( δ 1 ) ε ε δ 1 = 0 .

Using Eq. (21)

δ 2 = S 1 [ μ 2 ω ( 2 S [ D t ω δ 1 ] ) ] = 2 S 1 [ μ 2 ω ( S [ D t ω δ 1 ] ) ] ,

S [ D t ω δ 1 ] = 1 μ ω S [ δ 1 ] 1 μ ω + 1 δ 1 ( 0 ) S [ D t ω δ 1 ] = 4 sinh ε ,

δ 1 = 2 S 1 [ μ 2 ω ( 4 sinh ε ) ] δ 1 = 8 sinh ε t 2 ω + 1 Γ ( 2 ω + 2 ) ,

R [ δ 2 ] = ( δ 2 ) ε ε δ 2 = 0 .

Using Eq. (21)

δ 3 = S 1 [ μ 2 ω ( 2 S [ D t ω δ 2 ] ) ] = 2 S 1 [ μ 2 ω ( S [ D t ω δ 2 ] ) ] ,

S [ D t ω δ 2 ] = 1 μ ω S [ δ 2 ] 1 μ ω + 1 δ 2 ( 0 ) S [ D t ω δ 2 ] = 8 sinh ε μ ω ,

δ 3 = 2 S 1 [ μ 2 ω ( 8 sinh ε μ ω ) ] δ 3 = 16 sinh ε t 3 ω + 1 Γ ( 3 ω + 2 ) ,

δ ( ε , t ) = δ 0 ( ε , t ) + δ 1 ( ε , t ) + δ 2 ( ε , t ) + δ 3 ( ε , t ) + ,

δ ( ε , t ) = sinh ε ( 1 2 t ) + 4 sinh ε t ω + 1 Γ ( ω + 2 ) 8 sinh ε t 2 ω + 1 Γ ( 2 ω + 2 ) + 16 sinh ε t 3 ω + 1 Γ ( 3 ω + 2 ) .

Putting ω = 1 , the series solution is as follows:

δ ( ε , t ) = sinh ε 1 2 t 1 ! + ( 2 t ) 2 2 ! ( 2 t ) 3 3 ! + ( 2 t ) 4 4 ! .

Also, the fractional equation becomes

δ tt + 2 δ t + δ = δ ε ε .

Given the same initial conditions, the exact solution of this differential equation is δ ( ε , t ) = sinh ε e 2 t [31], and it agrees with the series solution obtained by the iterative scheme.

Example 5

Consider the following 1D time FHTE [20],

(22) D t ω δ = δ δ t δ ε ε ,

where δ ( ε , 0 ) = e ε and δ t ( ε , 0 ) = e ε , 0 < ω 2 are the initial conditions.

δ 0 ( ε , t ) = δ ( ε , 0 ) + t δ t ( ε , 0 ) = e ε t ( 2 e ε ) = e ε ( 1 t ) .

Applying Sawi transform on Eq. (22)

S [ D t ω δ ( ε , t ) ] = S [ δ δ t δ ε ε ] , δ = S 1 μ ω k = 0 m 1 1 μ ω ( k 1 ) δ ( k ) ( 0 ) + S 1 [ μ ω S [ R ( δ ) ] ] ,

(23) δ 0 = S 1 μ ω k = 0 m 1 1 μ ω ( k 1 ) δ ( k ) ( 0 ) ,

(24) δ r + 1 = S 1 [ μ ω S [ R ( δ r ) ] ] .

Considering m = 1 in Eq. (23),

δ 0 = S 1 1 μ δ ( 0 ) = δ ( 0 ) = e ε ( 1 t ) .

R [ δ 0 ] = δ 0 ( δ 0 ) t ( δ 0 ) ε ε = e ε .

Using Eq. (24)

δ 1 = S 1 [ μ ω ( S [ e ε ] ) ] δ 1 = e ε S 1 [ μ ω 1 ] δ 1 ( ε , t ) = e ε t ω Γ ( ω + 1 ) ,

R [ δ 1 ] = δ 1 2 ( δ 1 ) t ( δ 1 ) ε ε = e ε ω t ω 1 Γ ( ω + 1 ) .

Using Eq. (24)

δ 2 = S 1 μ ω S e ε ω t ω 1 Γ ( ω + 1 ) δ 2 = e ε ω Γ ( ω + 1 ) S 1 [ Γ ( ω ) μ 2 ω 2 ] δ 2 ( ε , t ) = e ε ω Γ ( ω ) t 2 ω 1 Γ ( ω + 1 ) Γ ( 2 ω ) ,

R [ δ 2 ] = δ 2 2 ( δ 2 ) t ( δ 2 ) ε ε = e ε ω ( 2 ω 1 ) Γ ( ω ) t 2 ω 2 Γ ( ω + 1 ) Γ ( 2 ω ) .

Using Eq. (24)

δ 3 = S 1 μ ω S e ε ω ( 2 ω 1 ) Γ ( ω ) t 2 ω 2 Γ ( ω + 1 ) Γ ( 2 ω ) δ 2 = e ε ω ( 2 ω 1 ) Γ ( ω ) Γ ( ω + 1 ) Γ ( 2 ω ) S 1 [ Γ ( 2 ω 1 ) μ 3 ω 3 ] δ 3 ( ε , t ) = e ε ω ( 2 ω 1 ) Γ ( ω ) Γ ( 2 ω 1 ) t 3 ω 2 Γ ( ω + 1 ) Γ ( 2 ω ) Γ ( 3 ω 1 ) .

δ ( ε , t ) = δ 0 ( ε , t ) + δ 1 ( ε , t ) + δ 2 ( ε , t ) + δ 3 ( ε , t ) +

δ ( ε , t ) = e ε ( 1 t ) + e ε t ω Γ ( ω + 1 ) e ε ω Γ ( ω ) t 2 ω 1 Γ ( ω + 1 ) Γ ( 2 ω ) + e ε ω ( 2 ω 1 ) Γ ( ω ) Γ ( 2 ω 1 ) t 3 ω 2 Γ ( ω + 1 ) Γ ( 2 ω ) Γ ( 3 ω 1 )

Putting ω = 2 , the series solution is as follows:

δ ( ε , t ) = e ε 1 t 1 ! + t 2 2 ! t 3 3 ! + t 4 4 !

Also, the fractional equation becomes

δ tt = δ δ t δ ε ε .

Given the same initial conditions, the exact solution of this differential equation is δ ( ε , t ) = e ε t [20], and it agrees with the series solution obtained by the iterative scheme.

Example 6

Consider the following 1D space FHTE [34]:

(25) δ x 2 ω = δ tt + 4 δ t + 4 δ ,

where δ ( 0 , t ) = 1 + e 2 t , δ ( x , 0 ) = 1 + e 2 x , δ x ( 0 , t ) = 2 , δ t ( x , 0 ) = 2 , t 0 , 0 < ω < 1 are the initial conditions.

δ 0 ( x , t ) = δ ( 0 , t ) + x δ x ( 0 , t ) = 1 + e 2 t + x ( 2 ) = 1 + 2 x + e 2 t .

Applying Sawi transform on Eq. (25)

S [ δ x 2 ω ] = S [ δ tt + 4 δ t + 4 δ ] ,

δ = S 1 μ 2 ω k = 0 m 1 1 μ 2 ω ( k 1 ) δ ( k ) ( 0 ) + S 1 [ μ 2 ω S [ R ( δ ) ] ] ,

(26) δ 0 = S 1 μ 2 ω k = 0 m 1 1 μ 2 ω ( k 1 ) δ ( k ) ( 0 ) ,

(27) δ r + 1 = S 1 [ μ 2 ω S [ R ( δ r ) ] ] .

Considering m = 1 in Eq. (26)

δ 0 = S 1 1 μ δ ( 0 ) = δ ( 0 ) = 1 + 2 x + e 2 t ,

R [ δ 0 ] = ( δ 0 ) tt + 4 ( δ 0 ) t + 4 δ 0 = 4 + 8 x .

Using Eq. (27)

δ 1 = S 1 [ μ 2 ω ( S [ 4 + 8 x ] ) ] δ 1 = S 1 [ 4 μ 2 ω 1 + 8 μ 2 ω ] δ 1 ( x , t ) = 4 x 2 ω Γ ( 2 ω + 1 ) + 8 x 2 ω + 1 Γ ( 2 ω + 2 ) ,

R [ δ 1 ] = ( δ 1 ) tt + 4 ( δ 1 ) t + 4 δ 1 = 16 x 2 ω Γ ( 2 ω + 1 ) + 32 x 2 ω + 1 Γ ( 2 ω + 2 ) .

Using Eq. (27)

δ 2 = S 1 μ 2 ω S 16 x 2 ω Γ ( 2 ω + 1 ) + 32 x 2 ω + 1 Γ ( 2 ω + 2 ) δ 2 = S 1 [ 16 μ 4 ω 1 + 32 μ 4 ω ] δ 2 ( x , t ) = 16 x 4 ω Γ ( 4 ω + 1 ) + 32 x 4 ω + 1 Γ ( 4 ω + 2 ) ,

R [ δ 2 ] = ( δ 2 ) tt + 4 ( δ 2 ) t + 4 δ 2 = 64 x 4 ω Γ ( 4 ω + 1 ) + 128 x 4 ω + 1 Γ ( 4 ω + 2 ) .

Using Eq. (27)

δ 3 = S 1 μ 2 ω S 64 x 4 ω Γ ( 4 ω + 1 ) + 128 x 4 ω + 1 Γ ( 4 ω + 2 ) δ 3 = S 1 [ 64 μ 6 ω 1 + 128 μ 6 ω ] , δ 3 ( x , t ) = 64 x 6 ω Γ ( 6 ω + 1 ) + 128 x 6 ω + 1 Γ ( 6 ω + 2 ) .

δ ( x , t ) = δ 0 ( x , t ) + δ 1 ( x , t ) + δ 2 ( x , t ) + δ 3 ( x , t ) +

δ ( x , t ) = ( 1 + 2 x + e 2 t ) + 4 x 2 ω Γ ( 2 ω + 1 ) + 8 x 2 ω + 1 Γ ( 2 ω + 2 ) + 16 x 4 ω Γ ( 4 ω + 1 ) + 32 x 4 ω + 1 Γ ( 4 ω + 2 ) + 64 x 6 ω Γ ( 6 ω + 1 ) + 128 x 6 ω + 1 Γ ( 6 ω + 2 ) +

Putting ω = 1 , the series solution is as follows:

δ ( x , t ) = e 2 t + 1 + 2 x 1 ! + ( 2 x ) 2 2 ! + ( 2 x ) 3 3 ! + ( 2 x ) 4 4 ! + ( 2 x ) 5 5 ! + ( 2 x ) 6 6 ! + ( 2 x ) 7 7 ! +

Also, the fractional equation becomes

δ xx = δ tt + 4 δ t + 4 δ .

Given the same initial conditions, the exact solution of this differential equation is δ ( x , t ) = e 2 t + e 2 x [34], and it agrees with the series solution obtained by the iterative scheme.

Example 7

Consider the following 1D space FHTE [35]:

(28) δ x 2 ω = δ tt + δ t + δ t + 1 x 2 ,

where δ ( 0 , t ) = t , δ ( x , 0 ) = x 2 , δ x ( 0 , t ) = 0 , t 0 , 0 < ω < 1 are the initial conditions.

δ 0 ( x , t ) = δ ( 0 , t ) + x δ x ( 0 , t ) = t + x ( 0 ) = t .

Applying Sawi transform on Eq. (28)

S [ δ x 2 ω ] = S [ δ tt + δ t + δ t + 1 x 2 ] ,

δ = S 1 μ 2 ω k = 0 m 1 1 μ 2 ω ( k 1 ) δ ( k ) ( 0 ) + S 1 [ μ 2 ω S [ R ( δ ) t + 1 x 2 ] ] ,

(29) δ 0 = S 1 μ 2 ω k = 0 m 1 1 μ 2 ω ( k 1 ) δ ( k ) ( 0 ) ,

(30) δ 1 = S 1 [ μ 2 ω S [ R ( δ 1 ) t + 1 x 2 ] ] ,

(31) δ r + 1 = S 1 [ μ 2 ω S [ R ( δ r ) ] ] .

Considering m = 1 in Eq. (29)

δ 0 = S 1 1 μ δ ( 0 ) = δ ( 0 ) = t ,

R [ δ 0 ] = ( δ 0 ) tt + ( δ 0 ) t + δ 0 = 1 + t .

Using Eq. (30)

δ 1 = S 1 [ μ 2 ω ( S [ 1 + t t + 1 x 2 ] ) ] δ 1 = S 1 [ 2 μ 2 ω 1 2 μ 2 ω + 1 ] δ 1 ( x , t ) = 2 x 2 ω Γ ( 2 ω + 1 ) 2 x 2 ω + 2 Γ ( 2 ω + 3 ) .

R [ δ 1 ] = ( δ 1 ) tt + ( δ 1 ) t + δ 1 = 2 x 2 ω Γ ( 2 ω + 1 ) 2 x 2 ω + 2 Γ ( 2 ω + 3 ) .

Using Eq. (31)

δ 2 = S 1 μ 2 ω S 2 x 2 ω Γ ( 2 ω + 1 ) 2 x 2 ω + 2 Γ ( 2 ω + 3 ) δ 2 = S 1 [ 2 μ 4 ω 1 2 μ 4 ω + 1 ] δ 2 ( x , t ) = 2 x 4 ω Γ ( 4 ω + 1 ) 2 x 4 ω + 2 Γ ( 4 ω + 3 ) ,

R [ δ 2 ] = ( δ 2 ) tt + ( δ 2 ) t + δ 2 = 2 x 4 ω Γ ( 4 ω + 1 ) 2 x 4 ω + 2 Γ ( 4 ω + 3 ) .

Using Eq. (31)

δ 3 = S 1 μ 2 ω S 2 x 4 ω Γ ( 4 ω + 1 ) 2 x 4 ω + 2 Γ ( 4 ω + 3 ) δ 3 = S 1 [ 2 μ 6 ω 1 2 μ 6 ω + 1 ] δ 3 ( x , t ) = 2 x 6 ω Γ ( 6 ω + 1 ) 2 x 6 ω + 2 Γ ( 6 ω + 3 ) .

δ ( x , t ) = δ 0 ( x , t ) + δ 1 ( x , t ) + δ 2 ( x , t ) + δ 3 ( x , t ) +

δ ( x , t ) = ( t ) + 2 x 2 ω Γ ( 2 ω + 1 ) 2 x 2 ω + 2 Γ ( 2 ω + 3 ) + 2 x 4 ω Γ ( 4 ω + 1 ) 2 x 4 ω + 2 Γ ( 4 ω + 3 ) + 2 x 6 ω Γ ( 6 ω + 1 ) 2 x 6 ω + 2 Γ ( 6 ω + 3 ) +

Putting ω = 1 , the series solution is as follows:

δ ( x , t ) = t + 2 x 2 2 ! x 4 4 ! + x 4 4 ! x 6 6 ! + x 6 6 ! x 8 8 ! + .

Also, the fractional equation becomes

δ xx = δ tt + δ t + δ t + 1 x 2 .

Given the same initial conditions, the exact solution of this differential equation is δ ( x , t ) = t + x 2 [35], and it agrees with the series solution obtained by the iterative scheme.

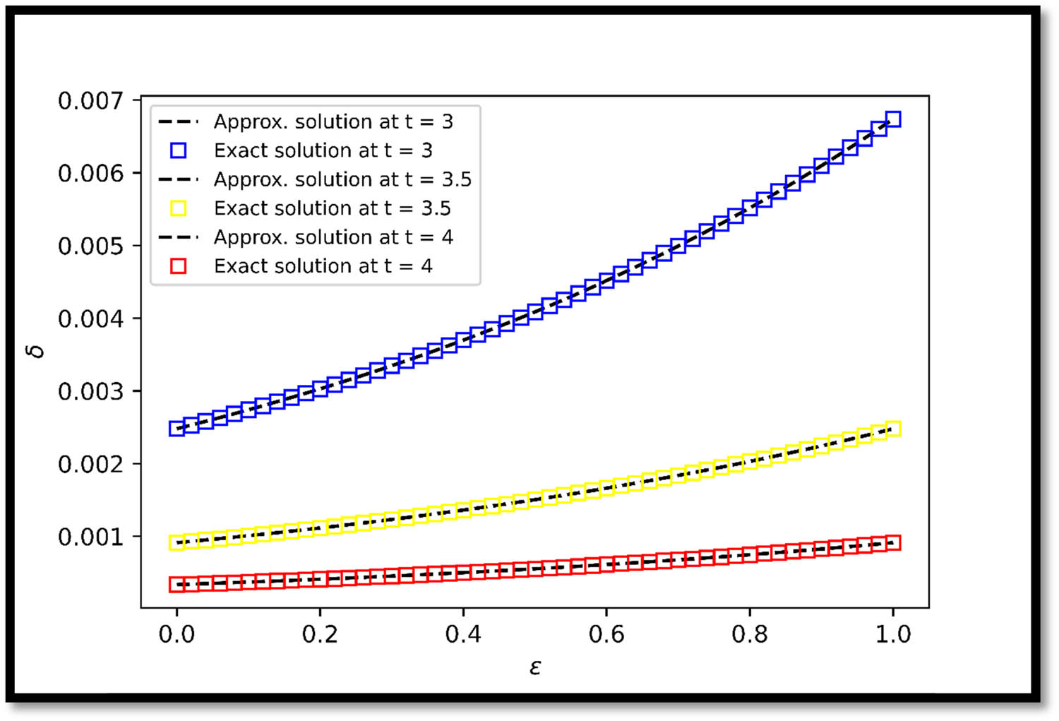
Exact and approximate solutions of Examples 1, 4 and 5 are compared for t = 3 , 3.5 and 4 in Figures 13. Contour graphs comparing exact and approximate solutions of Example 2 at t = 2.5 and absolute error graph are provided in Figure 4. Contour graphs comparing exact and approximate solutions of Example 2 at t = 3 and absolute error graph are provided in Figure 5. Contour graphs comparing exact and approximate solutions of Example 2 at t = 3.5 and absolute error graph are provided in Figure 6. Exact and approximate solutions of Example 6 are compared for t = 0 , 0.8 , and 1.6 . Figure 8 provides the exact and approximate solutions of Example 7 at t = 1 , 2 , and 3 . Each figure considers the value of ω used in its respective example for comparing the exact solution for the same ω . Each figure takes N = 35 for approximate solutions, where N is the number of terms in approximate solutions, i.e. the parameter for convergence. The aim of using multiple values of N is to demonstrate numerical convergence of the approximate solution to the exact solution. The graphs in Figures 13 are plotted with 51 equally spaced ε values, the graphs in Figures 7 and 8 are plotted with 51 equally spaced x values and the contour graphs in Figures 46 are plotted with 61 equally spaced ε and σ values. Using the graphs, we can conclude that the proposed method provides good compatibility between approximate and exact solutions of FPDEs over wide variety of time scales (Tables 1 and 2).

Figure 1 
               Comparing exact and approximate solutions of Example 1 at 
                     
                        
                        
                           t
                           =
                           3, 3.5
                        
                        t=\mathrm{3,\; 3.5}
                     
                  , and 
                     
                        
                        
                           4
                        
                        4
                     
                  .
Figure 1

Comparing exact and approximate solutions of Example 1 at t = 3, 3.5 , and 4 .

Figure 2 
               Comparing exact and approximate solutions of Example 4 at 
                     
                        
                        
                           t
                           =
                           3, 3.5
                           ,
                        
                        t=\mathrm{3,\; 3.5},
                     
                   and 
                     
                        
                        
                           4
                        
                        4
                     
                  .
Figure 2

Comparing exact and approximate solutions of Example 4 at t = 3, 3.5 , and 4 .

Figure 3 
               Comparing exact and approximate solutions of Example 5 at 
                     
                        
                        
                           t
                           =
                           3, 3.5
                        
                        t=\mathrm{3,\; 3.5}
                     
                  , and 
                     
                        
                        
                           4
                        
                        4
                     
                  .
Figure 3

Comparing exact and approximate solutions of Example 5 at t = 3, 3.5 , and 4 .

Figure 4 
               Comparing exact and approximate solutions of Example 2 at 
                     
                        
                        
                           t
                           =
                           2.5
                        
                        t=2.5
                     
                  .
Figure 4

Comparing exact and approximate solutions of Example 2 at t = 2.5 .

Figure 5 
               Comparing exact and approximate solutions of Example 2 at 
                     
                        
                        
                           t
                           =
                           3
                        
                        t=3
                     
                  .
Figure 5

Comparing exact and approximate solutions of Example 2 at t = 3 .

Figure 6 
               Comparing exact and approximate solutions of Example 2 at 
                     
                        
                        
                           t
                           =
                           3.5
                           .
                        
                        t=3.5.
Figure 6

Comparing exact and approximate solutions of Example 2 at t = 3.5 .

Figure 7 
               Comparing exact and approximate solutions of Example 6 at 
                     
                        
                        
                           t
                           =
                           0, 0.8
                           ,
                        
                        t=\mathrm{0,\; 0.8},
                     
                   and 
                     
                        
                        
                           1.6
                        
                        1.6
                     
                  .
Figure 7

Comparing exact and approximate solutions of Example 6 at t = 0, 0.8 , and 1.6 .

Figure 8 
               Comparing exact and approximate solutions of Example 7 at 
                     
                        
                        
                           t
                           =
                           1, 2
                        
                        t=\mathrm{1,\; 2}
                     
                  , and 
                     
                        
                        
                           3
                        
                        3
                     
                  .
Figure 8

Comparing exact and approximate solutions of Example 7 at t = 1, 2 , and 3 .

Table 1

Sawi transform of common functions [33]

f ( t ) S [ f ( t ) ] = q ( μ )
1 1 1 μ
2 t 1
3 t n Γ ( n + 1 ) μ n 1
4 sin at a 1 + ( a μ ) 2
5 cos at a μ ( 1 + ( a μ ) 2 )
6 sinh at a 1 ( a μ ) 2
7 cosh at a μ ( 1 ( a μ ) 2 )
8 e at 1 μ ( 1 a μ )
Table 2

Inverse Sawi transform of common functions [33]

q ( μ ) S 1 [ Q ( μ ) ] = f ( t )
1 1 μ 1
2 1 t
3 μ n t n + 1 Γ ( n + 2 )
4 a 1 + ( a μ ) 2 sin at
5 a μ ( 1 + ( a μ ) 2 ) cos at
6 a 1 ( a μ ) 2 sinh at
7 a μ ( 1 ( a μ ) 2 ) cosh at
8 1 μ ( 1 a μ ) e at

For consistency, the number of equally spaced values for L error in the tables is the same as their respective graphs of the examples. For the same reason, the range at which L error is considered is also the same as the respective graphs of the examples. The columns containing the exact and approximate values at any given t are taken at the point where the error is maximum, i.e. the L error. In Table 3, the exact, approximate, and L error values for Example 1 have been provided at t = 1 , 2 , and 3 , and as N increases to 30, the error reduces up to 10 15 . For Example 2, Table 4 provides the exact, approximate, and L error values at t = 1 , 2 , and 3 , and as N increases to 20, the error reduces up to 10 11 . In Table 5, the exact, approximate, and L error values for Example 4 have been provided at t = 1 , 2 , and 3 , and as N increases to 30, the error reduces up to 10 16 . For Example 5, Table 6 provides the exact, approximate, and L error values at t = 1 , 2 , and 3 , and as N increases to 30, the error reduces up to 10 16 . In Table 7, the exact, approximate, and L error values for Example 6 have been provided at t = 1 , 2 , and 3 , and as N increases to 10, the error reduces up to 10 16 . For Example 7, Table 8 provides the exact, approximate, and L error values at t = 1 , 2 , and 3 , and as N increases to 10, the error reduces up to 10 13 . From these tables, we can thus conclude that as the parameter of convergence increases, the series solutions approximate the exact solutions with increasing accuracy, thus illustrating the efficacy of the proposed method.

Table 3

Error analysis for Example 1

N Exact value at t = 1 Approx. value at t = 1 L err. at t = 1 Exact value at t = 2 Approx. value at t = 2 L err. at t = 2 Exact value at t = 3 Approx. value at t = 3 L err. at t = 3
10 0.367879 0.367999 0.000119 0.049787 0.262911 0.213124 0.006738 16.32522 16.31849
20 0.367879 0.367879 1.02 × 10−13 0.049787 0.049787 1.98 × 10−7 0.006738 0.007653 0.000915
30 0.29523 0.29523 1.28 × 10−15 0.033373 0.033373 4.55 × 10−15 0.006738 0.006738 3.69 × 10−10
↓ Up to 10 15 ↓ Up to 10 15 ↓ Up to 10 10
Table 4

Error analysis for Example 2

N Exact value at t = 0.4 Approx. value at t = 0.4 L err. at t = 0.4 Exact value at t = 0.5 Approx. value at t = 0.5 L err. at t = 0.5 Exact value at t = 0.6 Approx. value at t = 0.6 L err. at t = 0.6
10 49020.8 49020.83 0.027523 36315.5 36315.82 0.313187 26903.19 26905.46 2.275563
15 49020.8 49020.8 1.34 × 10−7 36315.5 36315.5 4.69 × 10−6 26903.19 26903.19 8.54 × 10−5
20 49020.8 49020.8 6.55 × 10−11 12088.38 12088.38 2.91 × 10−11 26903.19 26903.19 7.13 × 10−10
↓ Up to 10 11 ↓ Up to 10 11 ↓ Up to 10 10
Table 5

Error analysis for Example 4

N Exact value at t = 1 Approx. value at t = 1 L err. at t = 1 Exact value at t = 2 Approx. value at t = 2 L err. at t = 2 Exact value at t = 3 Approx. value at t = 3 L err. at t = 3
10 0.159046 0.159098 5.16 × 10−5 0.021525 0.113665 0.09214 0.002913 7.057923 7.05501
20 0.159046 0.159046 4.41 × 10−14 0.021525 0.021525 8.55 × 10−8 0.002913 0.003309 0.000396
30 0.146795 0.146795 8.05 × 10−16 0.017259 0.017259 1.6 × 10−15 0.002913 0.002913 1.6 × 10−10
↓ Up to 10 16 ↓ Up to 10 15 ↓ Up to 10 10
Table 6

Error analysis for Example 5

N Exact value at t = 1 Approx. value at t = 1 L err. at t = 1 Exact value at t = 2 Approx. value at t = 2 L err. at t = 2 Exact value at t = 3 Approx. value at t = 3 L err. at t = 3
10 1 1 6.28 × 10−8 0.367879 0.367999 0.000119 0.135335 0.144955 0.00962
20 0.398519 0.398519 2.22 × 10−16 0.367879 0.367879 1.02 × 10−13 0.135335 0.135335 4.89 × 10−10
30 0.398519 0.398519 2.22 × 10−16 0.29523 0.29523 1.28 × 10−15 0.132655 0.132655 4.44 × 10−15
↓ Up to 10 16 ↓ Up to 10 15 ↓ Up to 10 15
Table 7

Error analysis for Example 6

N Exact value at t = 1 Approx. value at t = 1 L err. at t = 1 Exact value at t = 2 Approx. value at t = 2 L err. at t = 2 Exact value at t = 3 Approx. value at t = 3 L err. at t = 3
4 2.853617 2.853589 2.79 × 10−5 2.736597 2.73657 2.79 × 10−5 2.720761 2.720733 2.79 × 10−5
7 2.853617 2.853617 1.23 × 10−11 2.736597 2.736597 1.23 × 10−11 2.720761 2.720761 1.23 × 10−11
10 1.957454 1.957454 4.44 × 10−16 2.527606 2.527606 4.44 × 10−16 2.098414 2.098414 4.44 × 10−16
↓ Up to 10 16 ↓ Up to 10 16 ↓ Up to 10 16
Table 8

Error Analysis for Example 7

N Exact value at t = 1 Approx. value at t = 1 L err. at t = 1 Exact value at t = 2 Approx value at t = 2 L err. at t = 2 Exact value at t = 3 Approx. value at t = 3 L err. at t = 3
4 5 4.987302 0.012698 6 5.987302 0.012698 7 6.987302 0.012698
7 5 5 3.76 × 10−7 6 6 3.76 × 10−7 7 7 3.76 × 10−7
10 5 5 8.62 × 10−13 6 6 8.62 × 10−13 7 7 8.62 × 10−13
↓ Up to 10 13 ↓ Up to 10 13 ↓ Up to 10 13

5 Conclusion

In the present study, an iterative scheme was proposed involving the Sawi transform for solving FHTEs. A general formula for the proposed method was developed for 1 D , 2 D , and 3 D FHTEs. Seven Examples in total was solved using the proposed method, Examples 1, 4, and 5 of which were for 1 D time FHTEs, Examples 6 and 7 for 1 D space FHTEs, Example 2 for 2 D time FHTE, and Example 3 for 3 D time FHTE. Graphs for Examples 1, 2, 4, 5, 6, and 7 were created and the approximate and exact solutions were compared using them. It was found that the approximate and exact solutions were showing good compatibility across wide variety of time scales. Tables for the same examples as the graphs were created and contained the exact, approximate, and L error values. For each table, it was observed that as the parameter of convergence increased, the L error reduced, thus illustrating that the series generated by the proposed scheme approximates the exact solution with acceptable level of accuracy. Thus, it can be concluded that the proposed method is a simple and efficient method for obtaining solutions to 1 D , 2 D , and 3 D time and space FHTEs.

  1. Funding information: Not available.

  2. Author contributions: Conceptualization: M.K.; programming: S.K.; drafting: S.K.; calculation: M.K. and S.K.

  3. Conflict of interest: Not applicable.

Appendix A

The form of 2 D time telegraph equation is as follows [20]:

D t ω δ ( ε , σ , t ) + L [ δ ( ε , σ , t ) ] + N [ δ ( ε , σ , t ) ] = q ( ε , σ , t ) ,

where L refers to the linear operator and N refers to the nonlinear operator. D t ω δ ( ε , t ) is the Caputo derivative of δ ( ε , t ) . Applying Sawi transform on equation

S [ D t ω δ ( ε , t ) ] + S [ L [ δ ( ε , t ) ] + N [ δ ( ε , t ) ] ] = S [ q ( ε , t ) ] ,

1 μ ω S [ δ ( ε , t ) ] k = 0 m 1 1 μ ω ( k 1 ) δ ( k ) ( 0 ) = S [ q ( ε , t ) ] S [ L [ δ ( ε , t ) ] ] S [ N [ δ ( ε , t ) ] ]

δ ( ε , t ) = S 1 μ ω k = 0 m 1 1 μ ω ( k 1 ) δ ( k ) ( 0 ) + S [ q ( ε , t ) ] S 1 [ μ ω ( S [ L [ δ ( ε , σ , t ) ] ] + S [ N [ δ ( ε , σ , t ) ] ] ) ] .

Now,

L [ δ ] = L r = 0 δ r ( ε , σ , t ) = L [ δ 0 ( ε , σ , t ) ] + r = 1 L i = 0 r δ i ( ε , σ , t ) L i = 0 r 1 δ i ( ε , σ , t ) ,

N [ δ ] = N r = 0 δ r ( ε , σ , t ) = N [ δ 0 ( ε , σ , t ) ] + r = 1 N i = 0 r δ i ( ε , σ , t ) N i = 0 r 1 δ i ( ε , σ , t ) ,

k = 0 δ k ( ε , σ , t ) = S 1 μ ω k = 0 m 1 1 μ ω ( k 1 ) δ ( k ) ( 0 ) + S [ q ( ε , σ , t ) ] S 1 [ μ ω S ( L [ δ 0 ( ε , σ , t ) ] + N [ δ 0 ( ε , σ , t ) ] ) ] S 1 μ ω S r = 1 L [ δ r ( ε , σ , t ) ] + r = 1 N i = 0 r δ i ( ε , σ , t ) N i = 0 r 1 δ i ( ε , σ , t ) ,

δ 0 ( ε , σ , t ) = S 1 μ ω k = 0 m 1 1 μ ω ( k 1 ) δ ( k ) ( 0 ) + S [ q ( ε , σ , t ) ] ,

δ 1 ( ε , σ , t ) = S 1 [ μ ω S ( L [ δ 0 ( ε , σ , t ) ] + N [ δ 0 ( ε , σ , t ) ] ) ]

δ r + 1 ( ε , σ , t ) = S 1 μ ω S r = 1 L [ δ r ( ε , σ , t ) ] + r = 1 N i = 0 r δ i ( ε , σ , t ) N i = 0 r 1 δ i ( ε , σ , t ) ,

r = 1 , 2 , 3 , 4 , 5 ,

Appendix B

The form of 3 D time telegraph equation is as follows [20]:

D t ω δ ( ε , σ , τ , t ) + L [ δ ( ε , σ , τ , t ) ] + N [ δ ( ε , σ , τ , t ) ] = q ( ε , σ , τ , t ) ,

where L refers to the linear operator and N refers to the nonlinear operator. D t ω δ ( ε , t ) is the Caputo derivative of δ ( ε , t ) . Applying Sawi transform on equation

S [ D t ω δ ( ε , t ) ] + S [ L [ δ ( ε , t ) ] + N [ δ ( ε , t ) ] ] = S [ q ( ε , t ) ] ,

1 μ ω S [ δ ( ε , t ) ] k = 0 m 1 1 μ ω ( k 1 ) δ ( k ) ( 0 ) = S [ q ( ε , t ) ] S [ L [ δ ( ε , t ) ] ] S [ N [ δ ( ε , t ) ] ] ,

δ ( ε , t ) = S 1 μ ω k = 0 m 1 1 μ ω ( k 1 ) δ ( k ) ( 0 ) + S [ q ( ε , t ) ] S 1 [ μ ω ( S [ L [ δ ( ε , σ , τ , t ) ] ] + S [ N [ δ ( ε , σ , τ , t ) ] ] ) ] .

Now,

L [ δ ] = L r = 0 δ r ( ε , σ , τ , t ) = L [ δ 0 ( ε , σ , τ , t ) ] + r = 1 L i = 0 r δ i ( ε , σ , τ , t ) L i = 0 r 1 δ i ( ε , σ , τ , t ) ,

N [ δ ] = N r = 0 δ r ( ε , σ , τ , t ) = N [ δ 0 ( ε , σ , τ , t ) ] + r = 1 N i = 0 r δ i ( ε , σ , τ , t ) N i = 0 r 1 δ i ( ε , σ , τ , t ) ,

k = 0 δ k ( ε , σ , τ , t ) = S 1 μ ω k = 0 m 1 1 μ ω ( k 1 ) δ ( k ) ( 0 ) + S [ q ( ε , σ , τ , t ) ] S 1 [ μ ω S ( L [ δ 0 ( ε , σ , τ , t ) ] + N [ δ 0 ( ε , σ , τ , t ) ] ) ] S 1 μ ω S r = 1 L [ δ r ( ε , σ , τ , t ) ] + r = 1 N i = 0 r δ i ( ε , σ , τ , t ) N i = 0 r 1 δ i ( ε , σ , τ , t ) ,

δ 0 ( ε , σ , τ , t ) = S 1 μ ω k = 0 m 1 1 μ ω ( k 1 ) δ ( k ) ( 0 ) + S [ q ( ε , σ , τ , t ) ] ,

δ 1 ( ε , σ , τ , t ) = S 1 [ μ ω S ( L [ δ 0 ( ε , σ , τ , t ) ] + N [ δ 0 ( ε , σ , τ , t ) ] ) ] ,

δ r + 1 ( ε , σ , τ , t ) = S 1 μ ω S r = 1 L [ δ r ( ε , σ , τ , t ) ] + r = 1 N i = 0 r δ i ( ε , σ , τ , t ) N i = 0 r 1 δ i ( ε , σ , τ , t ) ,

r = 1 , 2 , 3 , 4 , 5 ,

References

[1] Leibniz GW. Letter from Hanover, Germany, September 30, 1695 to G.F.A L’Hospital. Mathematische Schriften. 1849;2:301–2.Search in Google Scholar

[2] Li C, Qian D, Chen Y. On Riemann-Liouville and Caputo derivatives. Discret Dyn Nat Soc. 2011;2011.10.1155/2011/562494Search in Google Scholar

[3] Yadav S, Pandey RK, Shukla AK. Numerical approximations of Atangana–Baleanu Caputo derivative and its application. Chaos Solitons Fractals. 2019;118:58–64.10.1016/j.chaos.2018.11.009Search in Google Scholar

[4] Okubo A. Application of the telegraph equation to oceanic diffusion: Another mathematic model. Technical Report 69. Chesapeake Bay Institute, The Johns Hopkins University; 1971.Search in Google Scholar

[5] Jafari H, Nazari M, Baleanu D, Khalique CM. A new approach for solving a system of fractional partial differential equations. Comput Math Appl. 2013;66(5):838–43.10.1016/j.camwa.2012.11.014Search in Google Scholar

[6] Dehghan M, Manafian J, Saadatmandi A. Solving nonlinear fractional partial differential equations using the homotopy analysis method. Numer Methods Partial Differ Equ An Int J. 2010;26(2):448–79.10.1002/num.20460Search in Google Scholar

[7] Zhang Y. A finite difference method for fractional partial differential equation. Appl Math Comput. 2009;215(2):524–9.10.1016/j.amc.2009.05.018Search in Google Scholar

[8] Momani S, Odibat Z. Analytical approach to linear fractional partial differential equations arising in fluid mechanics. Phys Lett A. 2006;355(4–5):271–9.10.1016/j.physleta.2006.02.048Search in Google Scholar

[9] Singh J, Kumar D, Purohit SD, Mishra AM, Bohra M. An efficient numerical approach for fractional multidimensional diffusion equations with exponential memory. Numer Methods Partial Differ Equ. 2021;37(2):1631–51.10.1002/num.22601Search in Google Scholar

[10] Khan H, Shah R, Kumam P, Baleanu D, Arif M. An efficient analytical technique, for the solution of fractional-order telegraph equations. Mathematics. 2019;7(5):426.10.3390/math7050426Search in Google Scholar

[11] Saadatmandi A, Dehghan M. Numerical solution of hyperbolic telegraph equation using the Chebyshev Tau method. Numer Methods Partial Differ Equ An Int J. 2010;26(1):239–52.10.1002/num.20442Search in Google Scholar

[12] Sweilam NH, Nagy AM, El-Sayed AA. Solving time-fractional order telegraph equation via Sinc–Legendre collocation method. Mediterr J Math. 2016;13:5119–33.10.1007/s00009-016-0796-3Search in Google Scholar

[13] Sevimlican A. An approximation to solution of space and time fractional telegraph equations by He’s variational iteration method. Math Probl Eng. 2010;2010:290631.10.1155/2010/290631Search in Google Scholar

[14] Ali A, Ali NH. On skewed grid point iterative method for solving 2D hyperbolic telegraph fractional differential equation. Adv Differ Equ. 2019;2019(1):1–29.10.1186/s13662-019-2238-6Search in Google Scholar

[15] Hosseini VR, Chen W, Avazzadeh Z. Numerical solution of fractional telegraph equation by using radial basis functions. Eng Anal Bound Elem. 2014;38:31–9.10.1016/j.enganabound.2013.10.009Search in Google Scholar

[16] Zhou Y, Qu W, Gu Y, Gao H. A hybrid meshless method for the solution of the second order hyperbolic telegraph equation in two space dimensions. Eng Anal Bound Elem. 2020;115:21–7.10.1016/j.enganabound.2020.02.015Search in Google Scholar

[17] Hafez RM, Youssri YH. Shifted Jacobi collocation scheme for multidimensional time-fractional order telegraph equation. Iran J Numer Anal Optim. 2020;10(1):195–223.Search in Google Scholar

[18] Akram T, Abbas M, Ismail AI, Ali NH, Baleanu D. Extended cubic B-splines in the numerical solution of time fractional telegraph equation. Adv Differ Equ. 2019;2019(1):1–20.10.1186/s13662-019-2296-9Search in Google Scholar

[19] Kumar R, Koundal R, Shehzad SA. Least square homotopy solution to hyperbolic telegraph equations: Multi-dimension analysis. Int J Appl Comput Math. 2020;6:1–9.10.1007/s40819-019-0763-3Search in Google Scholar

[20] Kapoor M, Shah NA, Saleem S, Weera W. An analytical approach for fractional hyperbolic telegraph equation using Shehu transform in one, two and three dimensions. Mathematics. 2022;10(12):1961.10.3390/math10121961Search in Google Scholar

[21] Khan ZH, Khan WA. N-transform-properties and applications. NUST J Eng Sci. 2008;1(1):127–33.Search in Google Scholar

[22] Watugala G. Sumudu transform: A new integral transform to solve differential equations and control engineering problems. Integr Educ. 1993;24(1):35–43.10.1080/0020739930240105Search in Google Scholar

[23] Qureshi S, Yusuf A, Aziz S. On the use of Mohand integral transform for solving fractional-order classical Caputo differential equations. J Appl Math Comput Mech. 2020;19(3):99–109.10.17512/jamcm.2020.3.08Search in Google Scholar

[24] Khan H, Shah R, Baleanu D, Kumam P, Arif M. Analytical solution of fractional-order hyperbolic telegraph equation, using natural transform decomposition method. Electronics. 2019;8(9):1015.10.3390/electronics8091015Search in Google Scholar

[25] Kapoor M. Shehu transform on time-fractional Schrödinger equations–an analytical approach. Int J Nonlinear Sci Numer Simul. 2022.10.1515/ijnsns-2021-0423Search in Google Scholar

[26] Arikoglu A, Ozkol I. Solution of fractional differential equations by using differential transform method. Chaos Solitons Fractals. 2007;34(5):1473–81.10.1016/j.chaos.2006.09.004Search in Google Scholar

[27] Soradi-Zeid S, Mesrizadeh M, Cattani C. Numerical solutions of fractional differential equations by using Laplace transformation method and quadrature rule. Fractal Fract. 2021;5(3):111.10.3390/fractalfract5030111Search in Google Scholar

[28] Yousif EA, Hamed SH. Solution of nonlinear fractional differential equations using the homotopy perturbation Sumudu transform method. Appl Math Sci. 2014;8(44):2195–210.10.12988/ams.2014.4285Search in Google Scholar

[29] Khalouta A, Kadem A. A new method to solve fractional differential equations: Inverse fractional Shehu transform method. Appl Appl Math Int J (AAM). 2019;14(2):19.10.17512/jamcm.2020.3.04Search in Google Scholar

[30] Higazy M, Aggarwal S. Sawi transformation for system of ordinary differential equations with application. Ain Shams Eng J. 2021;12(3):3173–82.10.1016/j.asej.2021.01.027Search in Google Scholar

[31] Srivastava VK, Awasthi MK, Tamsir M. RDTM solution of Caputo time fractional-order hyperbolic telegraph equation. AIP Adv. 2013;3(3):032142.10.1063/1.4799548Search in Google Scholar

[32] Hussein MA. A review on integral transforms of fractional integral and derivative. Int Acad J Sci Eng. 2022;9:52–6.10.9756/IAJSE/V9I2/IAJSE0914Search in Google Scholar

[33] Aggarwal S, Gupta AR. Dualities between some useful integral transforms and Sawi transform. Int J Recent Technol Eng. 2019;8(3):5978–82.10.35940/ijrte.C5870.098319Search in Google Scholar

[34] Prakash A. Analytical method for space-fractional telegraph equation by homotopy perturbation transform method. Nonlinear Eng. 2016;5(2):123–8.10.1515/nleng-2016-0008Search in Google Scholar

[35] Prakash A, Kumar M. Numerical method for space-and time-fractional telegraph equation with generalized Lagrange multipliers. Prog Fract Differ Appl. 2019;5(2):111–23.10.18576/pfda/050203Search in Google Scholar

Received: 2023-01-03
Revised: 2023-02-20
Accepted: 2023-02-25
Published Online: 2023-04-05

© 2023 the author(s), published by De Gruyter

This work is licensed under the Creative Commons Attribution 4.0 International License.

Articles in the same Issue

  1. Research Articles
  2. The regularization of spectral methods for hyperbolic Volterra integrodifferential equations with fractional power elliptic operator
  3. Analytical and numerical study for the generalized q-deformed sinh-Gordon equation
  4. Dynamics and attitude control of space-based synthetic aperture radar
  5. A new optimal multistep optimal homotopy asymptotic method to solve nonlinear system of two biological species
  6. Dynamical aspects of transient electro-osmotic flow of Burgers' fluid with zeta potential in cylindrical tube
  7. Self-optimization examination system based on improved particle swarm optimization
  8. Overlapping grid SQLM for third-grade modified nanofluid flow deformed by porous stretchable/shrinkable Riga plate
  9. Research on indoor localization algorithm based on time unsynchronization
  10. Performance evaluation and optimization of fixture adapter for oil drilling top drives
  11. Nonlinear adaptive sliding mode control with application to quadcopters
  12. Numerical simulation of Burgers’ equations via quartic HB-spline DQM
  13. Bond performance between recycled concrete and steel bar after high temperature
  14. Deformable Laplace transform and its applications
  15. A comparative study for the numerical approximation of 1D and 2D hyperbolic telegraph equations with UAT and UAH tension B-spline DQM
  16. Numerical approximations of CNLS equations via UAH tension B-spline DQM
  17. Nonlinear numerical simulation of bond performance between recycled concrete and corroded steel bars
  18. An iterative approach using Sawi transform for fractional telegraph equation in diversified dimensions
  19. Investigation of magnetized convection for second-grade nanofluids via Prabhakar differentiation
  20. Influence of the blade size on the dynamic characteristic damage identification of wind turbine blades
  21. Cilia and electroosmosis induced double diffusive transport of hybrid nanofluids through microchannel and entropy analysis
  22. Semi-analytical approximation of time-fractional telegraph equation via natural transform in Caputo derivative
  23. Analytical solutions of fractional couple stress fluid flow for an engineering problem
  24. Simulations of fractional time-derivative against proportional time-delay for solving and investigating the generalized perturbed-KdV equation
  25. Pricing weather derivatives in an uncertain environment
  26. Variational principles for a double Rayleigh beam system undergoing vibrations and connected by a nonlinear Winkler–Pasternak elastic layer
  27. Novel soliton structures of truncated M-fractional (4+1)-dim Fokas wave model
  28. Safety decision analysis of collapse accident based on “accident tree–analytic hierarchy process”
  29. Derivation of septic B-spline function in n-dimensional to solve n-dimensional partial differential equations
  30. Development of a gray box system identification model to estimate the parameters affecting traffic accidents
  31. Homotopy analysis method for discrete quasi-reversibility mollification method of nonhomogeneous backward heat conduction problem
  32. New kink-periodic and convex–concave-periodic solutions to the modified regularized long wave equation by means of modified rational trigonometric–hyperbolic functions
  33. Explicit Chebyshev Petrov–Galerkin scheme for time-fractional fourth-order uniform Euler–Bernoulli pinned–pinned beam equation
  34. NASA DART mission: A preliminary mathematical dynamical model and its nonlinear circuit emulation
  35. Nonlinear dynamic responses of ballasted railway tracks using concrete sleepers incorporated with reinforced fibres and pre-treated crumb rubber
  36. Two-component excitation governance of giant wave clusters with the partially nonlocal nonlinearity
  37. Bifurcation analysis and control of the valve-controlled hydraulic cylinder system
  38. Engineering fault intelligent monitoring system based on Internet of Things and GIS
  39. Traveling wave solutions of the generalized scale-invariant analog of the KdV equation by tanh–coth method
  40. Electric vehicle wireless charging system for the foreign object detection with the inducted coil with magnetic field variation
  41. Dynamical structures of wave front to the fractional generalized equal width-Burgers model via two analytic schemes: Effects of parameters and fractionality
  42. Theoretical and numerical analysis of nonlinear Boussinesq equation under fractal fractional derivative
  43. Research on the artificial control method of the gas nuclei spectrum in the small-scale experimental pool under atmospheric pressure
  44. Mathematical analysis of the transmission dynamics of viral infection with effective control policies via fractional derivative
  45. On duality principles and related convex dual formulations suitable for local and global non-convex variational optimization
  46. Study on the breaking characteristics of glass-like brittle materials
  47. The construction and development of economic education model in universities based on the spatial Durbin model
  48. Homoclinic breather, periodic wave, lump solution, and M-shaped rational solutions for cold bosonic atoms in a zig-zag optical lattice
  49. Fractional insights into Zika virus transmission: Exploring preventive measures from a dynamical perspective
  50. Rapid Communication
  51. Influence of joint flexibility on buckling analysis of free–free beams
  52. Special Issue: Recent trends and emergence of technology in nonlinear engineering and its applications - Part II
  53. Research on optimization of crane fault predictive control system based on data mining
  54. Nonlinear computer image scene and target information extraction based on big data technology
  55. Nonlinear analysis and processing of software development data under Internet of things monitoring system
  56. Nonlinear remote monitoring system of manipulator based on network communication technology
  57. Nonlinear bridge deflection monitoring and prediction system based on network communication
  58. Cross-modal multi-label image classification modeling and recognition based on nonlinear
  59. Application of nonlinear clustering optimization algorithm in web data mining of cloud computing
  60. Optimization of information acquisition security of broadband carrier communication based on linear equation
  61. A review of tiger conservation studies using nonlinear trajectory: A telemetry data approach
  62. Multiwireless sensors for electrical measurement based on nonlinear improved data fusion algorithm
  63. Realization of optimization design of electromechanical integration PLC program system based on 3D model
  64. Research on nonlinear tracking and evaluation of sports 3D vision action
  65. Analysis of bridge vibration response for identification of bridge damage using BP neural network
  66. Numerical analysis of vibration response of elastic tube bundle of heat exchanger based on fluid structure coupling analysis
  67. Establishment of nonlinear network security situational awareness model based on random forest under the background of big data
  68. Research and implementation of non-linear management and monitoring system for classified information network
  69. Study of time-fractional delayed differential equations via new integral transform-based variation iteration technique
  70. Exhaustive study on post effect processing of 3D image based on nonlinear digital watermarking algorithm
  71. A versatile dynamic noise control framework based on computer simulation and modeling
  72. A novel hybrid ensemble convolutional neural network for face recognition by optimizing hyperparameters
  73. Numerical analysis of uneven settlement of highway subgrade based on nonlinear algorithm
  74. Experimental design and data analysis and optimization of mechanical condition diagnosis for transformer sets
  75. Special Issue: Reliable and Robust Fuzzy Logic Control System for Industry 4.0
  76. Framework for identifying network attacks through packet inspection using machine learning
  77. Convolutional neural network for UAV image processing and navigation in tree plantations based on deep learning
  78. Analysis of multimedia technology and mobile learning in English teaching in colleges and universities
  79. A deep learning-based mathematical modeling strategy for classifying musical genres in musical industry
  80. An effective framework to improve the managerial activities in global software development
  81. Simulation of three-dimensional temperature field in high-frequency welding based on nonlinear finite element method
  82. Multi-objective optimization model of transmission error of nonlinear dynamic load of double helical gears
  83. Fault diagnosis of electrical equipment based on virtual simulation technology
  84. Application of fractional-order nonlinear equations in coordinated control of multi-agent systems
  85. Research on railroad locomotive driving safety assistance technology based on electromechanical coupling analysis
  86. Risk assessment of computer network information using a proposed approach: Fuzzy hierarchical reasoning model based on scientific inversion parallel programming
  87. Special Issue: Dynamic Engineering and Control Methods for the Nonlinear Systems - Part I
  88. The application of iterative hard threshold algorithm based on nonlinear optimal compression sensing and electronic information technology in the field of automatic control
  89. Equilibrium stability of dynamic duopoly Cournot game under heterogeneous strategies, asymmetric information, and one-way R&D spillovers
  90. Mathematical prediction model construction of network packet loss rate and nonlinear mapping user experience under the Internet of Things
  91. Target recognition and detection system based on sensor and nonlinear machine vision fusion
  92. Risk analysis of bridge ship collision based on AIS data model and nonlinear finite element
  93. Video face target detection and tracking algorithm based on nonlinear sequence Monte Carlo filtering technique
  94. Adaptive fuzzy extended state observer for a class of nonlinear systems with output constraint
Downloaded on 31.12.2025 from https://www.degruyterbrill.com/document/doi/10.1515/nleng-2022-0285/html
Scroll to top button