Abstract
C10H9BrN2, orthorhombic, P212121 (no. 19), a = 5.9070(3) Å, b = 9.2731(7) Å, c = 17.5641(14) Å, V = 962.09(12) Å3, Z = 4, Rgt(F) = 0.0504, wRref(F2) = 0.0947, T = 293(2) K.
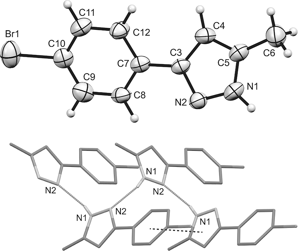
The molecular structure is shown in the figure. Table 1 contains crystallographic data and Table 2 contains the list of the atoms including atomic coordinates and displacement parameters.

Data collection and handling.
Crystal: | Pink prism |
Size: | 0.30 × 0.20 × 0.15 mm |
Wavelength: | Mo Kα radiation (0.71073 Å) |
μ: | 4.22 mm−1 |
Diffractometer, scan mode: | Xcalibur, ω |
θmax, completeness: | 29.2°, >99 % |
N(hkl)measured, N(hkl)unique, Rint: | 4442, 2196, 0.039 |
Criterion for Iobs, N(hkl)gt: | Iobs > 2 σ(Iobs), 1346 |
N(param)refined: | 119 |
Programs: | CrysAlisPro [1], Shelx [2], Mercury [3], Platon [4], WinGX/Ortep [5, 6] |
Fractional atomic coordinates and isotropic or equivalent isotropic displacement parameters (Å2).
Atom | x | y | z | Uiso*/Ueq |
---|---|---|---|---|
Br1 | 1.09722 (11) | 0.42935 (9) | 0.13546 (5) | 0.0661 (3) |
C3 | 0.3789 (9) | 0.4409 (7) | 0.3881 (3) | 0.0370 (15) |
C4 | 0.2283 (10) | 0.5528 (8) | 0.4041 (4) | 0.0446 (17) |
H2 | 0.2242 | 0.6436 | 0.3817 | 0.054* |
C5 | 0.0874 (12) | 0.5008 (8) | 0.4598 (4) | 0.0436 (17) |
C6 | −0.1065 (11) | 0.5682 (8) | 0.5008 (4) | 0.0617 (19) |
H6A | −0.2125 | 0.4947 | 0.5155 | 0.093* |
H6B | −0.1801 | 0.6363 | 0.468 | 0.093* |
H6C | −0.0519 | 0.6168 | 0.5454 | 0.093* |
C7 | 0.5569 (9) | 0.4369 (8) | 0.3295 (4) | 0.0366 (15) |
C8 | 0.7295 (11) | 0.3349 (7) | 0.3291 (4) | 0.0436 (17) |
H8 | 0.737 | 0.2668 | 0.3679 | 0.052* |
C9 | 0.8887 (11) | 0.3331 (7) | 0.2724 (4) | 0.0515 (19) |
H9 | 1.0037 | 0.2646 | 0.2729 | 0.062* |
C10 | 0.8780 (9) | 0.4331 (8) | 0.2145 (4) | 0.0426 (16) |
C11 | 0.7109 (11) | 0.5352 (8) | 0.2132 (4) | 0.048 (2) |
H11 | 0.7037 | 0.6021 | 0.1737 | 0.057* |
C12 | 0.5535 (10) | 0.5377 (8) | 0.2710 (4) | 0.0465 (18) |
H12 | 0.4423 | 0.6087 | 0.2709 | 0.056* |
N1 | 0.1578 (9) | 0.3659 (6) | 0.4756 (3) | 0.0472 (16) |
H1 | 0.0966 | 0.3116 | 0.5095 | 0.057* |
N2 | 0.3359 (8) | 0.3253 (6) | 0.4319 (3) | 0.0416 (14) |
1 Source of materials
3-(4-bromophenyl)-5-methyl-1H-pyrazole (L) was purchased from Sigma–Aldrich. 0.05 g L was dissolved in 5 ml of ethanol, slowly heated and left to crystallize. After 24 h clear light pink single crystals of the title compound were filtered and washed with ethanol.
2 Experimental details
The H atoms bonded to pyrazole and phenyl ring were placed at calculated positions and refined as riding atoms with Uiso(H) set to 1.2Ueq of the parent atom. The H atoms of the methyl group were positioned geometrically and allowed to rotate around the C–C bond to best fit the experimental electron density (HFIX 137 in the Shelx program suite [2]), with Uiso(H) set to 1.5Ueq(C).
3 Comment
Pyrazole and its derivatives have important pharmacological properties [7]. They bonds to metal atoms as monodentate or bridging bidentate ligands [8]. Strong affinity towards metals may lead to the formation of metal-organic frameworks [9]. N–H⃛N hydrogen bonding is prevalent interaction in the assembly of pyrazolyl molecules [10]. Their hydrogen bonding capacity may lead to the formation of extended molecular networks [11]. Substituents at the pyrazole ring give more possibilities for supramolecular arrangements. Between phenyl-pyrazole molecules stacking interactions are possible [12]. Addition of bromine to phenyl ring may lead to the halogen bonding [13]. Their variability in coordination modes extends their coordinative properties [14]. Phenol-pyrazole ligands influence the structural and magnetic properties of transition metal complexes [15, 16]. Brominated phenyl pyrazoles serve as ligands in the synthesis of molecular magnets [17, 18]. Steric effects of the phenol-pyrazoles, are important for the structural variability of the coordination compounds [19]. As a continuation of our work in the structural and supramolecular properties of the phenyl pyrazole molecules [20, 21], we are reporting the crystal and molecular structure of the 3-(4-bromophenyl)-5-methyl-1H-pyrazole. Bond lengths in the title molecule follow the pattern like in related bromophenyl-1H-pyrazole derivatives [22], [23], [24]. As in the crystal structure of [22], in the title molecule there are no Br⃛Br interactions. But, in the crystal structures of [23, 24] the Br⃛Br interaction of type I [25] is present, θ1 = θ2 = 163° in Ref. [23] and θ1 = θ2 = 156° in Ref. [24]. Molecules of the title compound are connected through the N1–H1⃛N2 i (the H⃛N distance is 2.24 Å, the N–H⃛N bond angle is 160°), (i = −1/2 + x, 1/2 − y, 1 − z). View along the c axis (lower part of the Figure) shows assembly of molecules into zigzag chain. Dotted black line depicts the closest phenole-pyrazole intermolecular distance. Centroids of the phenol and pyrazole rings from neighboring molecules are at a distance of 4.158(4) Å. Angle between the mean planes of the neighboring rings is 18.0(3)°. Such an arrangement of two cycles creates an opportunity for stacking interaction between their π-systems. Molecular chains are directed along the axis a. There are no significant inter-chain contacts. Br atom is not involved in significant intermolecular interactions.
-
Author contributions: All the authors have accepted responsibility for the entire content of this submitted manuscript and approved submission.
-
Research funding: None declared.
-
Conflict of interest statement: The authors declare no conflicts of interest regarding this article.
References
1. Rigaku Oxford Diffraction. CrysAlisPro. Version 1.171.42.49; Rigaku Oxford Diffraction: Yarnton, England, 2022.Search in Google Scholar
2. Sheldrick, G. M. Crystal structure refinement with Shelxl. Acta Crystallogr. 2015, C71, 3–8; https://doi.org/10.1107/s2053229614024218.Search in Google Scholar
3. Macrae, C. F., Edgington, P. R., McCabe, P., Pidcock, E., Shields, G. P., Taylor, R., van der Streek, T. Mercury 4.0: from visualization to analysis, design and prediction. J. Appl. Crystallogr. 2020, 39, 453–457; https://doi.org/10.1107/s002188980600731x.Search in Google Scholar
4. Spek, A. L. Single-crystal structure validation with the program Platon. J. Appl. Crystallogr. 2003, 36, 7–13; https://doi.org/10.1107/s0021889802022112.Search in Google Scholar
5. Farrugia, L. J. WinGX suite for small-molecule single-crystal crystallography. J. Appl. Crystallogr. 1999, 32, 837–838; https://doi.org/10.1107/s0021889899006020.Search in Google Scholar
6. Farrugia, L. J. WinGX and Ortep for Windows: an update. J. Appl. Crystallogr. 2012, 45, 849–854; https://doi.org/10.1107/s0021889812029111.Search in Google Scholar
7. Isloor, A. M., Kalluraya, B., Shetty, P. Regioselective reaction: synthesis, characterization and pharmacological studies of some new Mannich bases derived from 1,2,4-triazoles. Eur. J. Med. Chem. 2009, 44, 3784–3787; https://doi.org/10.1016/j.ejmech.2009.04.038.Search in Google Scholar PubMed
8. Viciano-Chumillas, M., Tanase, S., Jongh, L. J., Reedijk, J. Coordination versatility of pyrazole-based ligands towards high-nuclearity transition-metal and rare-earth clusters. Eur. J. Inorg. Chem. 2010, 2010, 3403–3418; https://doi.org/10.1002/ejic.201000412.Search in Google Scholar
9. Pettinari, C., Tabacaru, A., Galli, S. Coordination polymers and metal-organic frameworks based on poly(pyrazole)-containing ligands. Coord. Chem. Rev. 2016, 307, 1–31; https://doi.org/10.1016/j.ccr.2015.08.005.Search in Google Scholar
10. Dunitz, J. D., Gavezzotti, A. Supramolecular synthons: validation and ranking of intermolecular interaction energies. Cryst. Growth Des. 2012, 12, 5873–5877; https://doi.org/10.1021/cg301293r.Search in Google Scholar
11. Basu, T., Sparkes, H. A., Mondal, R. Construction of extended molecular networks with heterosynthons in cocrystals of pyrazole and acids. Cryst. Growth Des. 2009, 9, 5164–5175; https://doi.org/10.1021/cg900559q.Search in Google Scholar
12. Gajda, R., Tchon, D. M., Makal, A. Hierarchy of intermolecular interactions in highly luminescent pyrenyl-pyrazole-aldehyde. Cryst. Growth Des. 2023, 23, 862–872; https://doi.org/10.1021/acs.cgd.2c01106.Search in Google Scholar
13. Aakeroy, C. B., Spartz, C. L., Dembowski, S., Dwyrea, S., Desper, J. A systematic structural study of halogen bonding versus hydrogen bonding within competitive supramolecular systems. IUCrJ 2015, 2, 498–510; https://doi.org/10.1107/s2052252515010854.Search in Google Scholar PubMed PubMed Central
14. Jaćimović, Ž. K., Radović, A., Leovac, V. M., Tomić, Z. D., Radosavljević, E. I. Crystal structure of bis(2-thiocyanato)tetrakis(3,5-dimethyl-1-(thiocarbamoyl)pyrazole)dinickel(II) dichloride ethanol disolvate, [Ni(NCS)2(C6H6N3S)4] [Cl]2 … 2C2H5OH]. Z. Kristallogr. N. Cryst. Struct. 2007, 222, 430–432; https://doi.org/10.1524/ncrs.2007.0182.Search in Google Scholar
15. Bai, Y.-L., Bao, X., Zhu, S., Fanga, J., Tao, J. Ligand field effect tuned magnetic behaviors of two chain compounds based on MnIII units: from slow magnetic relaxation to metamagnetism. Dalton Trans. 2013, 42, 1033–1038; https://doi.org/10.1039/c2dt31944f.Search in Google Scholar PubMed
16. Viciano-Chumillas, M., Tanase, S., Mutikainen, I., Turpeinen, U., Jongh, L. J. D., Reedijk, J. Manganese(III) compounds with phenol-pyrazole based-ligands: impact of the coligand and the carboxylate ligand on the trinuclear core [Mn3(μ3–O)(phpzR)3(O2CR′)n]1 − n. Dalton Trans. 2009, 38, 7445–7453; https://doi.org/10.1039/b905396d.Search in Google Scholar PubMed
17. Liu, C.-M., Zhang, D.-Q., Zhu, D.-B. Solvatomagnetic effect and spin-glass behavior in a 1D coordination polymer constructed from EE-azido bridged MnIII3O units. Chem. Commun. 2008, 44, 368–370; https://doi.org/10.1039/b715080f.Search in Google Scholar PubMed
18. Liu, C.-M., Zhang, D.-Q., Zhu, D.-B. 1D coordination polymers constructed from anti-anti carboxylato-bridged MnIIIO(Brppz)3 units: from long-range magnetic ordering to single-chain magnet behaviors. Inorg. Chem. 2009, 48, 4980–4987; https://doi.org/10.1021/ic900345s.Search in Google Scholar PubMed
19. Tao, J., Zhang, Y. Z., Bai, Y.-L., Sato, O. One-dimensional ferromagnetic complexes built with MnIII3O units. Inorg. Chem. 2006, 45, 4877–4879; https://doi.org/10.1021/ic061029s.Search in Google Scholar
20. Jaćimović, Ž. K., Tomić, Z. D., Giester, G., Libowitzky, E., Ajanović’, A., Kosović’, M. The crystal structure of bis [4-bromo-2-(1H-pyrazol-3-yl) phenolato]-κ2N,O] copper(II), C18H12Br2CuN4O2. Z. Kristallogr. N. Cryst. Struct. 2021, 236, 1003–1005; https://doi.org/10.1515/ncrs-2021-0191.Search in Google Scholar
21. Jaćimović, Ž. K., Kosović, M., Novaković, S. B., Bogdanović, G. A., Giester, G., Kastratović, V. Crystal structure of 4-bromo-2-(1H-pyrazol-3-yl) phenol, C9H7BrN2O. Z. Kristallogr. N. Cryst. Struct. 2017, 232, 507–509; https://doi.org/10.1515/ncrs-2016-0392.Search in Google Scholar
22. Mede, R., Glaser, S., Suchland, B., Schowtka, B., Mandel, M., Gorls, H., Krieck, S., Schiller, A., Westerhause, M. Manganese(I)-based CORMs with 5-substituted 3-(2-pyridyl)pyrazole ligands. Inorganics 2017, 5, 8; https://doi.org/10.3390/inorganics5010008.Search in Google Scholar
23. Puello, J. Q., Obando, B. I., Foces-Foces, C., Infantes, L., Claramunt, R. M., Cabildo, P., Jimenez, J. A., Elguero, J. Structure and tautomerism of 3(5)-amino-5(3)-arylpyrazoles in the solid state and in solution: an X-ray and NMR study. Tetrahedron 1997, 53, 10783–10802; https://doi.org/10.1016/s0040-4020(97)00678-9.Search in Google Scholar
24. Sun, J., Lv, P.-C., Yin, Y., Yuan, R.-J., Ma, J., Zhu, H.-L. Synthesis, structure and antibacterial activity of potent DNA gyrase inhibitors: N′-benzoyl-3-(4-bromophenyl)-1H-pyrazole-5-carbohydrazide derivatives. PLoS One 2013, 8, e69751; https://doi.org/10.1371/journal.pone.0069751.Search in Google Scholar PubMed PubMed Central
25. Desiraju, G. R., Parthasarathy, R. The nature of halogen-halogen interactions: are short halogen contacts due to specific attractive forces or due to close packing of nonspherical atoms? J. Am. Chem. Soc. 1989, 111, 8725–8726; https://doi.org/10.1021/ja00205a027.Search in Google Scholar
© 2023 the author(s), published by De Gruyter, Berlin/Boston
This work is licensed under the Creative Commons Attribution 4.0 International License.
Articles in the same Issue
- Frontmatter
- New Crystal Structures
- The crystal structure of (N-([1,1′:4′,1″-terphenyl]-4,4′-diethyl)-2-(bis(pyridin-2-ylmethyl)amino)acetamide-κ4N,N,N″, O)tri(nitrato-kO, O′) samarium(III) - methanol - acetonitrile (1/1/1), C40H39SmN8O14
- The crystal structure of 6,6′-(((2-(dimethylamino)ethyl)azanediyl)bis(methylene))bis(2-chloro-4-methyl phenolate-κ4N,N′,O,O′)-(pyridine-2,6-dicarboxylato-N,O,O′)-titanium(IV), C27H27Cl2N3O6Ti
- N′-[(1E)-(4–Fluorophenyl)methylidene]adamantane-1-carbohydrazide, C18H21FN2O
- Crystal structure of 4-bromo-3-nitro-1H-pyrazole-5-carboxylic acid monohydrate, C4H2N3BrO4·H2O
- Crystal structure of dipyridine-k1N-tris(2,2,6,6-tetramethyl-5-oxohept-3-en-3-olato-k2O,O′)dysprosium(III), DyC43H67O6N2
- Crystal structure of cyclo[tetraiodido-bis{μ2-1-[(benzotriazol-1-yl)methyl]-1-H-1,3-(2-isopropyl-imidazol)-k2N:N}dicadmiun(II)], C26H30N10Cd2I4
- The crystal structure of tert-butyl (E)-3-(2-(benzylideneamino)phenyl)-1H-indole-1-carboxylate, C26H24N2O2
- The crystal structure of 4-(3-carboxy-1-cyclopropyl-6-fluoro-8-methoxy-4-oxo-1,4- dihydroquinolin-7-yl)-2-methylpiperazin-1-ium 2,5-dihydroxybenzoate methanol solvate, C27H32FN3O9
- Crystal structure of (μ2-1-(4,4′-bipyridine-κ2N:N′)-bis[diaqua-(4-iodopyridine-2,6-dicarboxylato-κ3O,N,O′)–cobalt(II)], C24H20Co2I2N4O12
- The crystal structure of dimethyl 4,4′-(10,20-diphenylporphyrin-5,15-diyl)dibenzoate dichloromethane solvate, C49H36N4O4Cl2
- (E)-2-((E)-4-(2,6,6-trimethylcyclohex-1-en-1-yl)but-3-en-2-ylidene)hydrazine-1-carbothioamide C14H23N3S1
- The crystal structure of [1-(4-(trifluoromethyl)phenyl)-3,4-dihydroquinolin-2(1H)-one], C16H12F3NO
- Crystal structure of (E)-2-amino-N′-((3-hydroxy-5-(hydroxymethyl)-2-methylpyridin-4-yl)methylene)benzohydrazide – dimethylformamide – water (1/1/2), C15H16N4O3·C3H7NO·2H2O
- Crystal structure of 3-(4-bromophenyl)-5-methyl-1H-pyrazole, C10H9BrN2
- Crystal structure of 1,10-phenanthrolinium bromide dihydrate, C12H9N2Br
- Crystal structure of N-(4′-chloro-[1,1′-biphenyl]-2-yl)formamide, C13H10ClNO
- The crystal structure of nitroterephthalic acid, C8H5NO6
- Crystal structure of (2-((4-bromo-2,6-dichlorophenyl)amino)phenyl) (morpholino)methanone, C17H15BrCl2N2O2
- Crystal structure of tetraaqua-bis(ethanol-κO)-tetrakis(μ2-trifluoroacetate-κ2O:O′)-bis(trifluoroacetate-κ2O)digadolinium(III) Gd2C16H20O18F18
- The crystal structure of dimethyl 4,4′-[10,20-bis(2,6-difluorophenyl)porphyrin-5,15-diyl]dibenzoate chloroform solvate, C50H32Cl6F4N4O4
- The crystal structure of N,N′-((nitroazanediyl)bis(methylene))diacetamide, C6H12O4N4
- The crystal structure of [bis(2,2′-bipyridine-6-carboxylato-κ3N,N,O)magnesium(II)]dihydrate, C22H18N4O6Mg
- Crystal structure of poly[diaqua-(bis(μ2-1,4-bis(imidazol-1-ylmethyl)benzene)-κ2N,N′] cobalt(II)-tetraqua-bis(1,4-bis(imidazol-1-ylmethyl)benzene)-κ1N)-cobalt(II) di(2,5-thiophenedicarboxylate) dihydrate, C68H76Co2N16O16S2
- Crystal structure of poly[chlorido-μ2-chlorido-(μ2-1-[(2-ethyl-4-methyl-1H-imidazol-1-yl)methyl]-1H-benzotriazole-κN:N’)cadmium(II)], C13H15CdN5Cl2
- The crystal structure of (4-hydroxybenzenesulfonate)-k1O-6,6′-((1E,1′E)- (ethane-1,2-diylbis(azaneylylidene))bis(methaneylylidene)) bis(2-methoxyphenol)-κ2N,N,μ2O,O,κ2O, O)-(methanol)-cobalt(II) sodium(I), C25H27CoN2NaO9S
- Crystal structure of (1-methyl-3-(trifluoromethyl)-1H-pyrazol-4-yl)(4-((2-methyl-6-(trifluoromethyl)pyrimidin-4-yl)amino)piperidin-1-yl)methanone, C17H18F6N6O
- Crystal structure of bis{[(cyclohexylimino)(phenylimino)-l5-(methyl)diethylazane-κ2N:N′]-(ethyl)-zinc(II)]}, C38H62N6Zn2
- Crystal structure of 2-[(4-bromobenzyl)thio]-5-(5-bromothiophen-2-yl)-1,3,4-oxadiazole, C13H8Br2N2OS2
- Crystal structure of 10-methoxy-7,11b,12,13-tetrahydro-6H-pyrazino [2′,3′:5,6]pyrazino[2,1-a]isoquinoline, C15H16N4O
- The crystal structure of 1-propyl-2-nitro-imidazole oxide, C6H9N3O3
- The crystal structure of 3-nitrobenzene-1,2-dicarboxylic acid–2-ethoxybenzamide (1/1), C17H16N2O8
- The structure of RUB-1, (C8H16N)6[B6Si48O108], a boron containing levyne-type zeolite, occluding N-methyl-quinuclidinium in the cage-like pores
- The crystal structure of diaqua-(naphthalene-4,5-dicarboxylate-1,8-dicarboxylic anhydride-κ1O)-(4′-(4-(1H-benzimidazolyl-1-yl)phenyl)-2,2′:6′,2″-terpyridine-κ3N,N′,N″)–manganese(II) dihydrate, C42H27MnN5O9·2H2O
- Crystal structure of 6,6′-((1E,1′E)-hydrazine-1,2-diylidenebis(methanylylidene))bis (3-(3-bromopropoxy)phenol), C20H22Br2N2O4
- The crystal structure of 3-(2-hydroxyphenyl)-4-phenyl-6-(p-tolyl)-2H-pyran-2-one, C24H18O3
- Crystal structure of bis(μ2-2-(1,5-dimethyl–3-oxo-2-phenyl-2,3-dihydro-1H-pyrazol-4-yl)imino)methyl)phenolato-κ4O:O,N,O′)-(nitrato-κ2O,O′)dicobalt(II), C36H32Co2N8O4
- Synthesis and crystal structure of (3E,5S,10S,13S,14S,17Z)-17-ethylidene-10,13-dimethylhexadecahydro-3H-cyclopenta[α] phenanthren-3-one O-(4-fluorobenzoyl) oxime, C28H36FNO2
- The crystal structure of 4-aminiumbiphenyl benzenesulfonate, C18H17NO3S
- Synthesis and crystal structure of 1-(7-hydroxy-3-(4-hydroxy-3-nitrophenyl)-4-oxo-4H-chromen-8-yl)-N,N-dimethylmethanaminiumnitrate, C18H17N3O9
- Crystal structure of N-(Ar)-N′-(Ar′)-formamidine, C14H12Br2N2O
- The crystal structure of 4-(2,4-dichlorophenyl)-2-(4-fluorophenyl)-5-methyl-1H-imidazole, C16H11Cl2FN2
- Crystal structure of 1-(4–chlorophenyl)-4-benzoyl-3-methyl-1H-pyrazol-5-ol, C17H13ClN2O2
- The crystal structure of 5-amino-1-methyl-4-nitroimidazole, C4H6O2N4
- Crystal structure of 1,3-diisopropyl-4,5-dimethylimidazol-2-ylidene-N,N′-bis(1,3-bis(2,6-diisopropylphenyl)-1,3-dihydro-2H-1,3,2-diazaborol-2-yl)-l2-germenediamine, C63H94B2GeN8
- The crystal structure of (bromido, chlorido)-tricarbonyl-(5,5′-dimethyl-2,2′-bipyridine)-rhenium(I), C15H12Br0.2Cl0.8N2O3Re1
- Crystal structure of [N(E),N′(E)]-N,N′-(1,4-phenylenedimethylidyne)bis-3,5-bis(propan-2-yl)-1H-pyrazol-4-amine, C26H36N6
- The crystal structure of poly[2-(4-carboxypyridin-3-yl)terephthalpoly[diaqua-(μ4-2-(6-carboxylatopyridin-3-yl)terephthalato-κ5O,N:O′:O″,O‴)]) cadmium(II)] dihydrate, C28H20Cd3N2O16
- Crystal structure of [tetraaqua-bis((3-carboxy-5-(pyridin-4-yl)benzoate-κ1N)cobalt(II)] tetrahydrate, C26H32CoN2O16
- Crystal structure of bis(μ2-azido-κ2N:N)-tetrakis(azido-κ1N)-tetrakis(1,10-phenanthroline-κ2N,N′)dibismuth(III), C48H32N26Bi2
- Crystal structure of (Z)-N-(4-(4-(4-((4,5,6-trimethoxy-3-oxobenzofuran-2(3H)-ylidene)methyl)phenoxy)butoxy)phenyl)acetamide, C30H31NO8
- Crystal structure of poly[diaqua-(μ2-1,3-di(1H-imidazol-1-yl)propane-κ2N:N′)-bis(μ2-5-carboxybenzene-1,3-dicarboxylato-O,O′:O″)-aqua-di-zinc dihydrate solvate], C27H28N4O16Zn2
- Crystal structure of 2-(3,5,5-trimethylcyclohex-2-en-1-ylidene)malononitrile, C12H14N2
- Crystal structure of chlorido-(5-nitro-2-phenylpyridine-κ2N,C)-[(methylsulfinyl)methane-κ1S]platinum(II), C13H13ClN2O3PtS
- The crystal structure of the co-crystal 1,4-dioxane–4,6-bis(nitroimino)-1,3,5-triazinan-2-one(2/1), C11H19N7O9
- Crystal structure of [N(E),N′(E)]-N,N′-(1,4-phenylenedimethylidyne)bis-3,5-dimethyl-1H-pyrazol-4-amine di-methanol solvate, C18H20N6·2(CH3OH)
- Crystal structure of catena-poly[bis(μ2-azido-k2N:N′)-(nitrato-K2N:N′)-bis(1,10-phenanthroline-K2N:N′)samarium(III)], C24H16N11O3Sm
- Crystal structure of (Z)-2-(4-((5-bromopentyl)oxy)benzylidene)-4,5,6-trimethoxybenzofuran-3(2H)-one, C23H25BrO6
- Crystal structure of bis(3,5-dimethyl-1H-pyrazol-4-ammonium) tetrafluoroterephthate, 2[C5H10N3][C8F4O4]
- Crystal structure of 2-amino-4-(2-fluoro-4-(trifluoromethyl)phenyl)-9-methoxy-1,4,5,6-tetrahydrobenzo[h]quinazolin-3-ium chloride, C20H18ClF4N3O
- Crystal structure of 6-(pyridin-3-yl)-1,3,5-triazine-2,4-diamine-sebacic acid (2/1), C13H17N6O2
Articles in the same Issue
- Frontmatter
- New Crystal Structures
- The crystal structure of (N-([1,1′:4′,1″-terphenyl]-4,4′-diethyl)-2-(bis(pyridin-2-ylmethyl)amino)acetamide-κ4N,N,N″, O)tri(nitrato-kO, O′) samarium(III) - methanol - acetonitrile (1/1/1), C40H39SmN8O14
- The crystal structure of 6,6′-(((2-(dimethylamino)ethyl)azanediyl)bis(methylene))bis(2-chloro-4-methyl phenolate-κ4N,N′,O,O′)-(pyridine-2,6-dicarboxylato-N,O,O′)-titanium(IV), C27H27Cl2N3O6Ti
- N′-[(1E)-(4–Fluorophenyl)methylidene]adamantane-1-carbohydrazide, C18H21FN2O
- Crystal structure of 4-bromo-3-nitro-1H-pyrazole-5-carboxylic acid monohydrate, C4H2N3BrO4·H2O
- Crystal structure of dipyridine-k1N-tris(2,2,6,6-tetramethyl-5-oxohept-3-en-3-olato-k2O,O′)dysprosium(III), DyC43H67O6N2
- Crystal structure of cyclo[tetraiodido-bis{μ2-1-[(benzotriazol-1-yl)methyl]-1-H-1,3-(2-isopropyl-imidazol)-k2N:N}dicadmiun(II)], C26H30N10Cd2I4
- The crystal structure of tert-butyl (E)-3-(2-(benzylideneamino)phenyl)-1H-indole-1-carboxylate, C26H24N2O2
- The crystal structure of 4-(3-carboxy-1-cyclopropyl-6-fluoro-8-methoxy-4-oxo-1,4- dihydroquinolin-7-yl)-2-methylpiperazin-1-ium 2,5-dihydroxybenzoate methanol solvate, C27H32FN3O9
- Crystal structure of (μ2-1-(4,4′-bipyridine-κ2N:N′)-bis[diaqua-(4-iodopyridine-2,6-dicarboxylato-κ3O,N,O′)–cobalt(II)], C24H20Co2I2N4O12
- The crystal structure of dimethyl 4,4′-(10,20-diphenylporphyrin-5,15-diyl)dibenzoate dichloromethane solvate, C49H36N4O4Cl2
- (E)-2-((E)-4-(2,6,6-trimethylcyclohex-1-en-1-yl)but-3-en-2-ylidene)hydrazine-1-carbothioamide C14H23N3S1
- The crystal structure of [1-(4-(trifluoromethyl)phenyl)-3,4-dihydroquinolin-2(1H)-one], C16H12F3NO
- Crystal structure of (E)-2-amino-N′-((3-hydroxy-5-(hydroxymethyl)-2-methylpyridin-4-yl)methylene)benzohydrazide – dimethylformamide – water (1/1/2), C15H16N4O3·C3H7NO·2H2O
- Crystal structure of 3-(4-bromophenyl)-5-methyl-1H-pyrazole, C10H9BrN2
- Crystal structure of 1,10-phenanthrolinium bromide dihydrate, C12H9N2Br
- Crystal structure of N-(4′-chloro-[1,1′-biphenyl]-2-yl)formamide, C13H10ClNO
- The crystal structure of nitroterephthalic acid, C8H5NO6
- Crystal structure of (2-((4-bromo-2,6-dichlorophenyl)amino)phenyl) (morpholino)methanone, C17H15BrCl2N2O2
- Crystal structure of tetraaqua-bis(ethanol-κO)-tetrakis(μ2-trifluoroacetate-κ2O:O′)-bis(trifluoroacetate-κ2O)digadolinium(III) Gd2C16H20O18F18
- The crystal structure of dimethyl 4,4′-[10,20-bis(2,6-difluorophenyl)porphyrin-5,15-diyl]dibenzoate chloroform solvate, C50H32Cl6F4N4O4
- The crystal structure of N,N′-((nitroazanediyl)bis(methylene))diacetamide, C6H12O4N4
- The crystal structure of [bis(2,2′-bipyridine-6-carboxylato-κ3N,N,O)magnesium(II)]dihydrate, C22H18N4O6Mg
- Crystal structure of poly[diaqua-(bis(μ2-1,4-bis(imidazol-1-ylmethyl)benzene)-κ2N,N′] cobalt(II)-tetraqua-bis(1,4-bis(imidazol-1-ylmethyl)benzene)-κ1N)-cobalt(II) di(2,5-thiophenedicarboxylate) dihydrate, C68H76Co2N16O16S2
- Crystal structure of poly[chlorido-μ2-chlorido-(μ2-1-[(2-ethyl-4-methyl-1H-imidazol-1-yl)methyl]-1H-benzotriazole-κN:N’)cadmium(II)], C13H15CdN5Cl2
- The crystal structure of (4-hydroxybenzenesulfonate)-k1O-6,6′-((1E,1′E)- (ethane-1,2-diylbis(azaneylylidene))bis(methaneylylidene)) bis(2-methoxyphenol)-κ2N,N,μ2O,O,κ2O, O)-(methanol)-cobalt(II) sodium(I), C25H27CoN2NaO9S
- Crystal structure of (1-methyl-3-(trifluoromethyl)-1H-pyrazol-4-yl)(4-((2-methyl-6-(trifluoromethyl)pyrimidin-4-yl)amino)piperidin-1-yl)methanone, C17H18F6N6O
- Crystal structure of bis{[(cyclohexylimino)(phenylimino)-l5-(methyl)diethylazane-κ2N:N′]-(ethyl)-zinc(II)]}, C38H62N6Zn2
- Crystal structure of 2-[(4-bromobenzyl)thio]-5-(5-bromothiophen-2-yl)-1,3,4-oxadiazole, C13H8Br2N2OS2
- Crystal structure of 10-methoxy-7,11b,12,13-tetrahydro-6H-pyrazino [2′,3′:5,6]pyrazino[2,1-a]isoquinoline, C15H16N4O
- The crystal structure of 1-propyl-2-nitro-imidazole oxide, C6H9N3O3
- The crystal structure of 3-nitrobenzene-1,2-dicarboxylic acid–2-ethoxybenzamide (1/1), C17H16N2O8
- The structure of RUB-1, (C8H16N)6[B6Si48O108], a boron containing levyne-type zeolite, occluding N-methyl-quinuclidinium in the cage-like pores
- The crystal structure of diaqua-(naphthalene-4,5-dicarboxylate-1,8-dicarboxylic anhydride-κ1O)-(4′-(4-(1H-benzimidazolyl-1-yl)phenyl)-2,2′:6′,2″-terpyridine-κ3N,N′,N″)–manganese(II) dihydrate, C42H27MnN5O9·2H2O
- Crystal structure of 6,6′-((1E,1′E)-hydrazine-1,2-diylidenebis(methanylylidene))bis (3-(3-bromopropoxy)phenol), C20H22Br2N2O4
- The crystal structure of 3-(2-hydroxyphenyl)-4-phenyl-6-(p-tolyl)-2H-pyran-2-one, C24H18O3
- Crystal structure of bis(μ2-2-(1,5-dimethyl–3-oxo-2-phenyl-2,3-dihydro-1H-pyrazol-4-yl)imino)methyl)phenolato-κ4O:O,N,O′)-(nitrato-κ2O,O′)dicobalt(II), C36H32Co2N8O4
- Synthesis and crystal structure of (3E,5S,10S,13S,14S,17Z)-17-ethylidene-10,13-dimethylhexadecahydro-3H-cyclopenta[α] phenanthren-3-one O-(4-fluorobenzoyl) oxime, C28H36FNO2
- The crystal structure of 4-aminiumbiphenyl benzenesulfonate, C18H17NO3S
- Synthesis and crystal structure of 1-(7-hydroxy-3-(4-hydroxy-3-nitrophenyl)-4-oxo-4H-chromen-8-yl)-N,N-dimethylmethanaminiumnitrate, C18H17N3O9
- Crystal structure of N-(Ar)-N′-(Ar′)-formamidine, C14H12Br2N2O
- The crystal structure of 4-(2,4-dichlorophenyl)-2-(4-fluorophenyl)-5-methyl-1H-imidazole, C16H11Cl2FN2
- Crystal structure of 1-(4–chlorophenyl)-4-benzoyl-3-methyl-1H-pyrazol-5-ol, C17H13ClN2O2
- The crystal structure of 5-amino-1-methyl-4-nitroimidazole, C4H6O2N4
- Crystal structure of 1,3-diisopropyl-4,5-dimethylimidazol-2-ylidene-N,N′-bis(1,3-bis(2,6-diisopropylphenyl)-1,3-dihydro-2H-1,3,2-diazaborol-2-yl)-l2-germenediamine, C63H94B2GeN8
- The crystal structure of (bromido, chlorido)-tricarbonyl-(5,5′-dimethyl-2,2′-bipyridine)-rhenium(I), C15H12Br0.2Cl0.8N2O3Re1
- Crystal structure of [N(E),N′(E)]-N,N′-(1,4-phenylenedimethylidyne)bis-3,5-bis(propan-2-yl)-1H-pyrazol-4-amine, C26H36N6
- The crystal structure of poly[2-(4-carboxypyridin-3-yl)terephthalpoly[diaqua-(μ4-2-(6-carboxylatopyridin-3-yl)terephthalato-κ5O,N:O′:O″,O‴)]) cadmium(II)] dihydrate, C28H20Cd3N2O16
- Crystal structure of [tetraaqua-bis((3-carboxy-5-(pyridin-4-yl)benzoate-κ1N)cobalt(II)] tetrahydrate, C26H32CoN2O16
- Crystal structure of bis(μ2-azido-κ2N:N)-tetrakis(azido-κ1N)-tetrakis(1,10-phenanthroline-κ2N,N′)dibismuth(III), C48H32N26Bi2
- Crystal structure of (Z)-N-(4-(4-(4-((4,5,6-trimethoxy-3-oxobenzofuran-2(3H)-ylidene)methyl)phenoxy)butoxy)phenyl)acetamide, C30H31NO8
- Crystal structure of poly[diaqua-(μ2-1,3-di(1H-imidazol-1-yl)propane-κ2N:N′)-bis(μ2-5-carboxybenzene-1,3-dicarboxylato-O,O′:O″)-aqua-di-zinc dihydrate solvate], C27H28N4O16Zn2
- Crystal structure of 2-(3,5,5-trimethylcyclohex-2-en-1-ylidene)malononitrile, C12H14N2
- Crystal structure of chlorido-(5-nitro-2-phenylpyridine-κ2N,C)-[(methylsulfinyl)methane-κ1S]platinum(II), C13H13ClN2O3PtS
- The crystal structure of the co-crystal 1,4-dioxane–4,6-bis(nitroimino)-1,3,5-triazinan-2-one(2/1), C11H19N7O9
- Crystal structure of [N(E),N′(E)]-N,N′-(1,4-phenylenedimethylidyne)bis-3,5-dimethyl-1H-pyrazol-4-amine di-methanol solvate, C18H20N6·2(CH3OH)
- Crystal structure of catena-poly[bis(μ2-azido-k2N:N′)-(nitrato-K2N:N′)-bis(1,10-phenanthroline-K2N:N′)samarium(III)], C24H16N11O3Sm
- Crystal structure of (Z)-2-(4-((5-bromopentyl)oxy)benzylidene)-4,5,6-trimethoxybenzofuran-3(2H)-one, C23H25BrO6
- Crystal structure of bis(3,5-dimethyl-1H-pyrazol-4-ammonium) tetrafluoroterephthate, 2[C5H10N3][C8F4O4]
- Crystal structure of 2-amino-4-(2-fluoro-4-(trifluoromethyl)phenyl)-9-methoxy-1,4,5,6-tetrahydrobenzo[h]quinazolin-3-ium chloride, C20H18ClF4N3O
- Crystal structure of 6-(pyridin-3-yl)-1,3,5-triazine-2,4-diamine-sebacic acid (2/1), C13H17N6O2