Abstract
C22H19BrN2O2, monoclinic, P21/c (no. 14), a = 18.4760(16) Å, b = 4.8400(3) Å, c = 21.6410(18) Å, b = 96.162(1)°, V = 1924.0(3) Å3, Z = 4, Rgt(F) = 0.0542, wRref(F2) = 0.1719, T = 298(2) K.

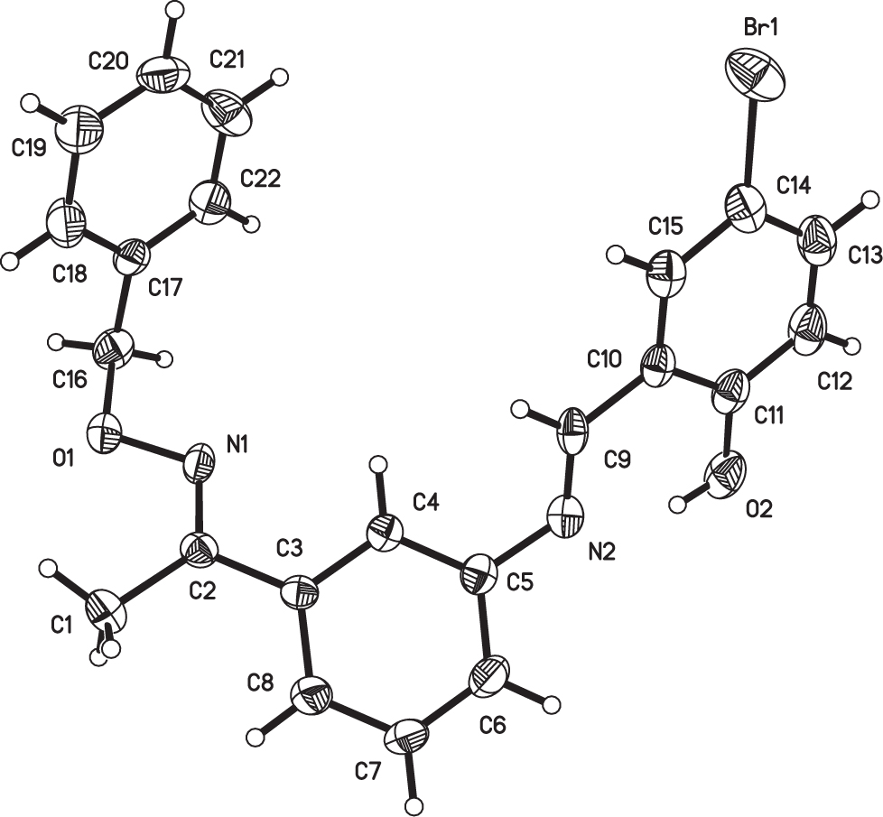
The crystal structure is shown in the figure. Tables 1 and 2 contain details on crystal structure and measurement conditions and a list of the atoms including atomic coordinates and displacement parameters.
Data collection and handling.
| Crystal: | Orange-red prism |
| Size: | 0.45 × 0.16 × 0.14 mm |
| Wavelength: | Mo Kα radiation (0.71073 Å) |
| μ: | 21.6 cm−1 |
| Diffractometer, scan mode: | Bruker SMART, φ and ω |
| 2θmax, completeness: | 50°, >99% |
| N(hkl)measured, N(hkl)unique, Rint: | 9013, 3385, 0.078 |
| Criterion for Iobs, N(hkl)gt: | Iobs > 2 σ(Iobs), 1637 |
| N(param)refined: | 245 |
| Programs: | SHELX [1], Bruker programs [2] |
Fractional atomic coordinates and isotropic or equivalent isotropic displacement parameters (Å2).
| Atom | x | y | z | Uiso*/Ueq |
|---|---|---|---|---|
| N1 | 0.1967(2) | −0.3033(9) | 0.48276(19) | 0.0460(12) |
| N2 | 0.3880(3) | 0.3823(10) | 0.4277(2) | 0.0492(12) |
| O1 | 0.1386(2) | −0.4843(8) | 0.48751(16) | 0.0557(11) |
| O2 | 0.4651(2) | 0.5419(10) | 0.33787(18) | 0.0675(13) |
| H2 | 0.4556 | 0.4535 | 0.3683 | 0.101* |
| Br1 | 0.20930(4) | 1.25505(15) | 0.24170(3) | 0.0826(4) |
| C1 | 0.2174(3) | −0.3982(15) | 0.5955(2) | 0.0679(19) |
| H1A | 0.1675 | −0.4576 | 0.5914 | 0.102* |
| H1B | 0.2251 | −0.2665 | 0.6287 | 0.102* |
| H1C | 0.2486 | −0.5547 | 0.6045 | 0.102* |
| C2 | 0.2342(3) | −0.2663(11) | 0.5359(2) | 0.0423(13) |
| C3 | 0.3001(3) | −0.0926(11) | 0.5346(2) | 0.0395(13) |
| C4 | 0.3099(3) | 0.0779(11) | 0.4837(2) | 0.0414(13) |
| H4 | 0.2722 | 0.0975 | 0.4519 | 0.050* |
| C5 | 0.3751(3) | 0.2180(11) | 0.4801(2) | 0.0455(14) |
| C6 | 0.4307(3) | 0.1904(13) | 0.5278(3) | 0.0625(17) |
| H6 | 0.4751 | 0.2771 | 0.5251 | 0.075* |
| C7 | 0.4203(4) | 0.0350(15) | 0.5793(3) | 0.074(2) |
| H7 | 0.4567 | 0.0277 | 0.6124 | 0.088* |
| C8 | 0.3563(3) | −0.1108(13) | 0.5825(3) | 0.0582(17) |
| H8 | 0.3510 | −0.2214 | 0.6168 | 0.070* |
| C9 | 0.3358(3) | 0.5265(11) | 0.4010(2) | 0.0454(14) |
| H9 | 0.2911 | 0.5215 | 0.4170 | 0.054* |
| C10 | 0.3430(3) | 0.6999(11) | 0.3464(2) | 0.0442(14) |
| C11 | 0.4070(3) | 0.7040(13) | 0.3173(3) | 0.0542(16) |
| C12 | 0.4114(4) | 0.8727(16) | 0.2660(3) | 0.068(2) |
| H12 | 0.4537 | 0.8739 | 0.2462 | 0.081* |
| C13 | 0.3538(4) | 1.0376(14) | 0.2443(3) | 0.0668(19) |
| H13 | 0.3579 | 1.1527 | 0.2104 | 0.080* |
| C14 | 0.2893(4) | 1.0352(13) | 0.2722(2) | 0.0583(17) |
| C15 | 0.2858(3) | 0.8683(13) | 0.3237(2) | 0.0529(16) |
| H15 | 0.2437 | 0.8694 | 0.3437 | 0.063* |
| C16 | 0.1068(3) | −0.5483(13) | 0.4253(3) | 0.0572(16) |
| H16A | 0.0798 | −0.7197 | 0.4264 | 0.069* |
| H16B | 0.1457 | −0.5781 | 0.3993 | 0.069* |
| C17 | 0.0570(3) | −0.3295(11) | 0.3961(3) | 0.0471(15) |
| C18 | −0.0021(3) | −0.2426(13) | 0.4251(3) | 0.0680(18) |
| H18 | −0.0097 | −0.3181 | 0.4634 | 0.082* |
| C19 | −0.0500(4) | −0.0469(15) | 0.3987(3) | 0.074(2) |
| H19 | −0.0900 | 0.0065 | 0.4185 | 0.089* |
| C20 | −0.0379(4) | 0.0687(15) | 0.3426(3) | 0.0695(19) |
| H20 | −0.0696 | 0.2022 | 0.3245 | 0.083* |
| C21 | 0.0203(4) | −0.0121(15) | 0.3135(3) | 0.072(2) |
| H21 | 0.0282 | 0.0654 | 0.2754 | 0.087* |
| C22 | 0.0677(3) | −0.2091(13) | 0.3405(3) | 0.0608(17) |
| H22 | 0.1077 | −0.2612 | 0.3205 | 0.073* |
Source of material
To an ethanol solution (4 mL) of 1-(3-aminophenyl)ethanone O-benzyl oxime (403.7 mg, 1.57 mmol) was added an ethanol solution (4 mL) of 5-bromo-2-hydroxybenzaldehyde (335.0 mg, 1.67 mmol). The mixture was stirred at 55–60 °C for 12 h, the solvent was removed under reduced pressure and the residue was washed successively with ethanol and ethanol/hexane (1:4 v/v), respectively. The product was dried in vacuo, and a yellow crystalline solid was obtained. Yield 79.4%. m.p. 90–91 °C. Anal. Calcd. for C22H19BrN2O2 (%): C, 62.42%; H, 4.52%; N, 6.62%; Found: C, 62.45%; H, 4.49%; N, 6.65%.
Experimental details
Hydrogen atoms were placed in calculated positions and were included in the refinement in the riding model approximation, with Uiso(H) set to 1.2Ueq(C).
Discussion
Some of oxime-type compounds have received long-lasting research interest in forming homo- and heteronuclear metal complexes with interesting properties [3], [4], [5], [6], such as luminescent materials [7], [8], [9], magnetic properties [10, 11] and building blocks for cyclic supramolecular structures [12], [13], [14], [15].
The crystal structure of the title compound is only built up by one molecule, in which all bond lengths are in normal ranges. In the crystal structure, one intramolecular O2-H2⋯N2 hydrogen bond between the hydroxyl group and the N2 atom forms a six-membered ring in each molecule. Weak intramolecular C-H⋯O hydrogen bonds may be present. In addition, the structure of the title compound contains an infinite chain along b via C16-H16A⋯π (C17–C22) and C9-H9⋯N1 hydrogen bond interactions.
References
1 Sheldrick, G. M.: A short history of SHELX. Acta Crystallogr. A64 (2008) 112–122.10.1107/S0108767307043930Search in Google Scholar PubMed
2 Bruker. APEX2, SAINT and SADABS. Brucker AXS Inc., Madison, Wisconsin, USA, (2009).Search in Google Scholar
3 Sun, Y. X.; Xu, L.; Zhao, T. H.; Liu, S. H., Liu, G. H.; Dong, X. T.: Synthesis and crystal structure of a 3D supramolecular copper(II) complex with 1-(3-phenyl)ethanone oxime. Synth. React. Inorg. Metal Org. Nano Met. Chem. 43 (2013) 509–513.10.1080/15533174.2012.740756Search in Google Scholar
4 Dong, W. K.; Feng, J. H.; Yang, X. Q.: Crystal structure of 4,4′-dibromo-2,2′-((1,3-propylene)dioxybis(nitrilomethylidyne))diphenol, C17H16Br2N2O4. Z. Kristallogr. – NCS 221 (2006) 447–448.10.1524/ncrs.2006.0149Search in Google Scholar
5 Dong, W. K.; He, X. N.; Dong, C. M.; Wang, L.; Zhong, J. K.; Chen, X.; Yu, T. Z.: Crystal structure of 2,2′-((1,4-buty lene)dioxybis(nitriloethylidyne)diphenol, C20H24N2O4. Z. Kristallogr. – NCS 222 (2007) 289–290.10.1524/ncrs.2007.0122Search in Google Scholar
6 Dong, W. K.; Duan, J. G.; Guan, Y. H.; Shi, J. Y.; Zhao, C. Y.: Synthesis, crystal structure and spectroscopic behaviors of Co(II) and Cu(II) complexes with Salen-type bisoxime ligands. Inorg. Chim. Acta 362 (2009) 1129–1134.10.1016/j.ica.2008.05.028Search in Google Scholar
7 Song, X. Q.; Peng, Y. Q.; Cheng, G. Q.; Wang, X. R.; Liu, P. P.; Xu, W. Y.: Substituted group-directed assembly of Zn(II) coordination complexes based on two new structural related pyrazolone based Salen ligands: syntheses, structures and fluorescence properties. Inorg. Chim. Acta 427 (2015) 13–21.10.1016/j.ica.2014.12.008Search in Google Scholar
8 Dong, W. K.; Sun, Y. X.; Zhang, Y. P.; Li, L.; He, X. N.; Tang, X. L.: Synthesis, crystal structure, and properties of supramolecular Cu(II), Zn(II), and Cd(II) complexes with Salen-type bisoxime ligands. Inorg. Chim. Acta 362 (2009) 117–124.10.1016/j.ica.2008.03.128Search in Google Scholar
9 Dong, W. K.; Sun, Y. X.; Zhao, C. Y.; Dong, X. Y.; Xu, L.: Synthesis, structure and properties of supramolecular Mn(II), Co(II), Ni(II) and Zn(II) complexes containing Salen-type bisoxime ligands. Polyhedron 29 (2010) 2087–2097.10.1016/j.poly.2010.04.006Search in Google Scholar
10 Dong, W. K.; Ma, J. C.; Zhu, L. C.; Zhang, Y.: Nine self-assembled nickel(II)–lanthanide(III) heterometallic complexes constructed from a Salamo-type bisoxime and bearing a N- or O-donor auxiliary ligand: syntheses, structures and magnetic properties. New J. Chem. 40 (2016) 6998–7010.10.1039/C6NJ00855KSearch in Google Scholar
11 Dong, W. K.; Ma, J. C.; Dong, Y. J.; Zhu, L. C.; Zhang, Y.: Di- and tetranuclear heterometallic 3d-4f cobalt(II)-lanthanide(III) complexes derived from a hexadentate bisoxime: Syntheses, structures and magnetic properties. Polyhedron 115 (2016) 228–235.10.1016/j.poly.2016.05.017Search in Google Scholar
12 Sun, Y. X.; Zhao, Y. Y.; Li, C. Y.; Yu, B.; Guo, J. Q.; Li, J.: Supramolecular cobalt(II) and copper(II) complexes with Schiff base ligand: syntheses, characterizations and crystal structures. Chinese J. Inorg. Chem. 32 (2016) 913–920.Search in Google Scholar
13 Sun, Y. X.; Lu, R. E.; Li, X. R.; Zhao, Y. Y.; Li, C.Y.: A Schiff base ligand containing oxime group and its Cu(II) complex: Syntheses and supramolecular structures. Chinese J. Inorg. Chem. 31 (2015) 1055–1062.Search in Google Scholar
14 Dong, X. Y.; Sun, Y. X.; Wang, L.; Li, L.: Synthesis and structure of a penta- and hexa-coordinated tri-nuclear cobalt(II) complex. J. Chem. Res. 36 (2012) 387–390.10.3184/174751912X13366711594575Search in Google Scholar
15 Dong, W. K.; Zhang, L. S.; Sun, Y. X.; Zhao, M. M.; Li, G.; Dong, X. Y.: Synthesis, crystal structure and spectroscopic properties of a supramolecular zinc(II) complex with N2O2 coordination sphere. Spectrochim. Acta A 121 (2014) 324–329.10.1016/j.saa.2013.10.072Search in Google Scholar PubMed
©2017 Yan-Bin Wang, published by De Gruyter, Berlin/Boston
This work is licensed under the Creative Commons Attribution-NonCommercial-NoDerivatives 3.0 License.
Articles in the same Issue
- Cover and Frontmatter
- Crystal structure of 2,5-diiodo-4-nitro-1H-imidazole hemihydrate, C6H4I4N6O5
- Crystal structure of catena-poly[μ2-2,2′-(1,3-phenylene)diacetato-κ4O,O′:O′′,O′′′)-(μ2-1,6-bis(2-methyl-1H-benzo[d]imidazol-1-yl)hexane-κ2N:N′)cadmium(II)], C32H34CdN4O4
- Crystal structure of poly[aqua-(2,2′-bipyridine-κN,N′)-(μ4-5,5′-(hexane-1,6-diyl)-bis(oxy)diisophthalato κ8O1,O2:O3,O4:O5,O6:O7,O8)manganese(II)], C21H21MnN2O7
- Crystal structure of poly-[(μ2-((1,3-bis(benzimidazol-1-yl)propane-κ2N:N′)(μ2-4-tert-butyl-phthalato-κ2O:O′)cobalt(II)] monohydrate, C29H30CoN4O5
- Crystal structure of 2-amino-4-(3,4,5-trimethoxy-phenyl)-5-(oxo-5,6,7,8-tetrahydro-4H-chromene)-3-carbonitrile – ethanol (1/1), C21H26N2O6
- Crystal structure of ethyl 1-benzyl-5-phenyl-1H-pyrazole-3-carboxylate, C19H18N2O2
- Crystal structure of 2-(1-benzyl-3-phenyl-1H-pyrazol-5-yl)-5-(4-nitrobenzylthio)-1,3,4-oxadiazole, C25H19N5O3S
- Structure and photochromism of 1,2-bis[2-methyl-5-(2-chlorophenyl)-3-thienyl]-3,3,4,4,5,5-hexafluorocyclopent-1-ene, C27H16Cl2F6S2
- The crystal structure of the Schiff base (E)-2,6-diisopropyl-N-(pyridin-4-ylmethylene)aniline, C18H22N2
- Crystal structure of (E)-2,4-dibromo-6-(((4-methyl-2-nitrophenyl)imino) methyl)phenol, C10H14Br2N2O3
- Crystal structure of (bis(2,2′-bipyridine-κ2N,N′))-(3,5-dinitrosalicylato-κ2O,O′)nickel(II), C27H18N6NiO7
- Crystal structure of 1-(diethoxy phosphonomethyl) 2-benzoyl-3-chloro-2-cyclohexen-1-ol, C18H24ClO5P
- Crystal structure of tetraaqua-bis(1,3-benzimidazol-3-ium-1,3-diacetato-κO)copper(II) hemihydrate, C22H27CuN4O12.50
- Crystal structure of 1α,11-dihydroxyeremophil-9-en-8-one, C15H24O3
- Crystal structure of 1-ferrocenylsulfonyl-1H-imidazo[4,5-b]pyridine, C16H13FeN3O2S
- Crystal structure of bis(μ2-azido-κ2N:N)-dichlorido-bis(μ2-2-(pyridin-2-yl)ethan-1-ol-κ2O,N)dicopper(II), C14H18Cl2Cu2N8O2
- Crystal structure of (5,15-cis-bis(2-hydroxy-1-naphthyl)-10-phenyl-20-(4-hydroxyphenyl)-porphyrinato)-(pyridine)-zinc(ii) pyridine solvate, C67H47N7O3Zn
- Crystal structure of (μ2-[2,2′-bis(diphenylphosphino)-1,1′-binaphthalene oxide-κ2O,P])-iodido copper(I), C44H32CuIOP2
- Crystal structure of 6,8-diphenyl-2-(4-fluorophenyl)-2,3-dihydroquinolin-4(3H)-one, C27H20FNO
- Crystal structure of 5,11,17,23-tetra(tert-butyl)-25,26,27,28-tetrahexoxycalix[4]arene, C68H104O4
- Crystal structure of N,N′–bis(pyridin-4-ylmethyl)pyrazine-2,3-dicarboxamide dihydrate, C18H20N6O4
- Crystal structure of a diaqua-bis(3,5-di(1H-imidazol-1-yl)pyridine-κN)-bis(2-(4-carboxy-phenyl)acetato-κO]manganese(II), C40H36MnN10O10
- Crystal structure of 4-(4-hydroxy-3-methoxy-phenyl)-2,7,7-trimethyl-5-oxo-1,4,5,6,7,8-hexahydro-quinoline-3-carboxylic acid methyl ester, C21H25NO5
- Crystal structure of (E)-4,4′-(ethene-1,2-diyl)bis(3-nitrobenzoic acid) 1.5 hydrate, C16H13N2O9.5
- Crystal structure of (E)-2-(5-(4-fluorophenyl)-3-(furan-2-yl)-4,5-dihydro-1H-pyrazol-1-yl)-5-((4-fluorophenyl)diazenyl)-4-methylthiazole, C23H17F2N5OS
- Crystal structure of the co-crystalline adduct 4-((4,4-dimethyl-2,6-dioxocyclohexylidene)methylamino)-N-(4,6-dimethylpyrimidin-2-yl)benzenesulfonamide - acetic acid (1/1), C21H24N4O4S ⋅ C2H4O2
- Synthesis and crystal structure of 2-((5-chlorobenzo[c][1,2,5]thiadiazol-4-yl)amino)-4,5-dihydro-1H-imidazol-3-ium tetraphenylborate, C33H29BClN5S
- Crystal structure of (4-chlorophenyl)(3-ferrocenyl-5-(trifluoromethyl)-1H-pyrazol-1-yl)methanone, C21H14ClF3FeN2O
- Crystal structure of (S)-benzyl 3-(benzylcarba-moyl)-3,4-dihydroisoquinoline-2(1H)-carboxylate, C25H24N2O3
- Crystal structure of 5-acetyl-3-(3-fluoro-4-morpholinophenyl)oxazolidin-2-one, C15H17FN2O4
- Crystal structure of 2-(4-fluorophenyl)-1,3-dimethyl-1H-perimidin-3-ium iodide, C19H16FIN2
- Crystal structure of methyl 1H-indole-2-carboxylate, C10H9NO2
- Crystal structure of 2,3-diphenyl-1-[(dipropylamino)acetyl]-1,3-diazaspiro[4.5]decan-4-one, C28H37N3O2
- Crystal structure of 1-(2H-1,3-benzodioxol-5-yl)-3-(1H-imidazol-1-yl)propan-1-one, C13H12N2O3
- Crystal structure of 2,9-dibromo-1,10-phenanthroline, C12H6Br2N2
- Crystal structure of 3-(adamantan-1-yl)-4-(4-fluorophenyl)-1H-1,2,4-triazole-5(4H)-thione, C18H20FN3S
- Crystal structure of trans-bis((E)-7-oxo-4-(phenyldiazenyl)cyclohepta-1,3,5-trien-1-olato)-κ2O,O′)-bis(pyridine-κN)cobalt(II), C36H28CoN6O4
- Crystal structure of 2-(4-methyl-3-phenylthiazol-2(3H)-ylidene)malononitrile, C13H9N3S
- Crystal structure of (Z)-3-(adamantan-1-yl)-1-(3-chlorophenyl)-S-benzylisothiourea, C24H27ClN2S
- Crystal structure of chlorido{[3-(η5-cyclopenta-dienyl)-2,2,3-trimethyl-1-phenylbutylidene] azanido-κN}[η2(N,O)-N,N-dimethylhydroxylaminato]titanium(IV), C20H27ClN2OTi
- Crystal Structure of 1,1′-dimethyl-[4,4′-bipyridine]-1,1′-diium tetrachloridozincate(II), C12H14Cl4N2Zn
- Crystal structure of 5-nitro-2-(pyrrolidin-1-yl)benzaldehyde, C11H12N2O3
- Crystal structure of 2,3-diphenyl-1-(morpholin-4-ylacetyl)-1,3-diazaspiro[4.5]decan-4-one, C26H31N3O3
- Crystal structure of 3,3-dimethyl-3,4-dihydro-1H-benzo[c]chromene-1,6(2H)-dione, C15H14O3
- Crystal structure of bis(2-(2-hydroxymethyl)pyridine-κ2N,O)-bis(pivalato-κO)nickel(II), C22H32N2NiO6
- Crystal structure of (1,10-phenanthroline-κ2N,N′)-bis(1H-pyrazole-3-carboxylato-κ2N,O)manganese(II) trihydrate, C20H20N6O7Mn
- The crystal structure of 3-aminopropan-1-aminium iodide, C3H11N2I
- Crystal structure of ethyl 1-(4-chlorophenyl)-5-methyl-1H-1,2,3-triazole-4 carboxylate, C12H12ClN3O2
- Crystal structure of 4,4′-((1Z,1′Z)-2,2′-(2,5-diethoxy-1,4-phenylene)bis(ethene-2,1-diyl))dipyridine, C24H24N2O2
- Crystal structure of (16S)-12,16-epoxy-11,14-dihydroxy-17(15/16)-abeo-3a,18-cyclo-8,11,13-abietatrien-7-one, C20H24O4
- Crystal structure of aquadichlorido(2,4,6-tri-2-pyridyl-1,3,5-triazine-κ3N,N′,N′′)nickel(II) monohydrate, C18H16Cl2N6NiO2
- Crystal structure of catena-poly[dichlorido-(μ-ethane-1,2-diyl-bis-(pyridyl-4-carboxylate-κN:N′)mercury(II)], C15H14Cl2HgN2O4
- Crystal structure of methyl 2-acetamido-5-chlorbenzoate, C10H10ClNO3
- Crystal structure of tetrakis(μ2-3,3-dimethylacrylato-κ2O,O′)-bis(2-aminopyrimidine-κN) dicopper(II), C28H38Cu2N6O8
- Crystal structure of 3-amino-8-methoxy-1-phenyl-1H-benzo[f]chromene-2-carbonitrile, C21H16N2O2
- Crystal structure of 4-(2-ammonioethyl)morpholin-4-ium dichloride monohydrate, C6H18Cl2N2O2
- Crystal structure of 1-(3-((5-bromo-2-hydroxybenzylidene)amino)phenyl)ethanone O-benzyl oxime, C22H19BrN2O2
- Crystal structure of 2-(4-(dimethylamino)-2-fluorophenyl)-1,3-bis(1H-1,2,4-triazol-1-yl)propan-2-ol monohydrate, C15H20FN7O2
- Crystal structure of 4-bromo-2-(1H-pyrazol-3-yl)phenol, C9H7BrN2O
- Crystal structure of 1,2,3,4,5-pentamethyl-1,3-cyclopentadiene, C10H16
Articles in the same Issue
- Cover and Frontmatter
- Crystal structure of 2,5-diiodo-4-nitro-1H-imidazole hemihydrate, C6H4I4N6O5
- Crystal structure of catena-poly[μ2-2,2′-(1,3-phenylene)diacetato-κ4O,O′:O′′,O′′′)-(μ2-1,6-bis(2-methyl-1H-benzo[d]imidazol-1-yl)hexane-κ2N:N′)cadmium(II)], C32H34CdN4O4
- Crystal structure of poly[aqua-(2,2′-bipyridine-κN,N′)-(μ4-5,5′-(hexane-1,6-diyl)-bis(oxy)diisophthalato κ8O1,O2:O3,O4:O5,O6:O7,O8)manganese(II)], C21H21MnN2O7
- Crystal structure of poly-[(μ2-((1,3-bis(benzimidazol-1-yl)propane-κ2N:N′)(μ2-4-tert-butyl-phthalato-κ2O:O′)cobalt(II)] monohydrate, C29H30CoN4O5
- Crystal structure of 2-amino-4-(3,4,5-trimethoxy-phenyl)-5-(oxo-5,6,7,8-tetrahydro-4H-chromene)-3-carbonitrile – ethanol (1/1), C21H26N2O6
- Crystal structure of ethyl 1-benzyl-5-phenyl-1H-pyrazole-3-carboxylate, C19H18N2O2
- Crystal structure of 2-(1-benzyl-3-phenyl-1H-pyrazol-5-yl)-5-(4-nitrobenzylthio)-1,3,4-oxadiazole, C25H19N5O3S
- Structure and photochromism of 1,2-bis[2-methyl-5-(2-chlorophenyl)-3-thienyl]-3,3,4,4,5,5-hexafluorocyclopent-1-ene, C27H16Cl2F6S2
- The crystal structure of the Schiff base (E)-2,6-diisopropyl-N-(pyridin-4-ylmethylene)aniline, C18H22N2
- Crystal structure of (E)-2,4-dibromo-6-(((4-methyl-2-nitrophenyl)imino) methyl)phenol, C10H14Br2N2O3
- Crystal structure of (bis(2,2′-bipyridine-κ2N,N′))-(3,5-dinitrosalicylato-κ2O,O′)nickel(II), C27H18N6NiO7
- Crystal structure of 1-(diethoxy phosphonomethyl) 2-benzoyl-3-chloro-2-cyclohexen-1-ol, C18H24ClO5P
- Crystal structure of tetraaqua-bis(1,3-benzimidazol-3-ium-1,3-diacetato-κO)copper(II) hemihydrate, C22H27CuN4O12.50
- Crystal structure of 1α,11-dihydroxyeremophil-9-en-8-one, C15H24O3
- Crystal structure of 1-ferrocenylsulfonyl-1H-imidazo[4,5-b]pyridine, C16H13FeN3O2S
- Crystal structure of bis(μ2-azido-κ2N:N)-dichlorido-bis(μ2-2-(pyridin-2-yl)ethan-1-ol-κ2O,N)dicopper(II), C14H18Cl2Cu2N8O2
- Crystal structure of (5,15-cis-bis(2-hydroxy-1-naphthyl)-10-phenyl-20-(4-hydroxyphenyl)-porphyrinato)-(pyridine)-zinc(ii) pyridine solvate, C67H47N7O3Zn
- Crystal structure of (μ2-[2,2′-bis(diphenylphosphino)-1,1′-binaphthalene oxide-κ2O,P])-iodido copper(I), C44H32CuIOP2
- Crystal structure of 6,8-diphenyl-2-(4-fluorophenyl)-2,3-dihydroquinolin-4(3H)-one, C27H20FNO
- Crystal structure of 5,11,17,23-tetra(tert-butyl)-25,26,27,28-tetrahexoxycalix[4]arene, C68H104O4
- Crystal structure of N,N′–bis(pyridin-4-ylmethyl)pyrazine-2,3-dicarboxamide dihydrate, C18H20N6O4
- Crystal structure of a diaqua-bis(3,5-di(1H-imidazol-1-yl)pyridine-κN)-bis(2-(4-carboxy-phenyl)acetato-κO]manganese(II), C40H36MnN10O10
- Crystal structure of 4-(4-hydroxy-3-methoxy-phenyl)-2,7,7-trimethyl-5-oxo-1,4,5,6,7,8-hexahydro-quinoline-3-carboxylic acid methyl ester, C21H25NO5
- Crystal structure of (E)-4,4′-(ethene-1,2-diyl)bis(3-nitrobenzoic acid) 1.5 hydrate, C16H13N2O9.5
- Crystal structure of (E)-2-(5-(4-fluorophenyl)-3-(furan-2-yl)-4,5-dihydro-1H-pyrazol-1-yl)-5-((4-fluorophenyl)diazenyl)-4-methylthiazole, C23H17F2N5OS
- Crystal structure of the co-crystalline adduct 4-((4,4-dimethyl-2,6-dioxocyclohexylidene)methylamino)-N-(4,6-dimethylpyrimidin-2-yl)benzenesulfonamide - acetic acid (1/1), C21H24N4O4S ⋅ C2H4O2
- Synthesis and crystal structure of 2-((5-chlorobenzo[c][1,2,5]thiadiazol-4-yl)amino)-4,5-dihydro-1H-imidazol-3-ium tetraphenylborate, C33H29BClN5S
- Crystal structure of (4-chlorophenyl)(3-ferrocenyl-5-(trifluoromethyl)-1H-pyrazol-1-yl)methanone, C21H14ClF3FeN2O
- Crystal structure of (S)-benzyl 3-(benzylcarba-moyl)-3,4-dihydroisoquinoline-2(1H)-carboxylate, C25H24N2O3
- Crystal structure of 5-acetyl-3-(3-fluoro-4-morpholinophenyl)oxazolidin-2-one, C15H17FN2O4
- Crystal structure of 2-(4-fluorophenyl)-1,3-dimethyl-1H-perimidin-3-ium iodide, C19H16FIN2
- Crystal structure of methyl 1H-indole-2-carboxylate, C10H9NO2
- Crystal structure of 2,3-diphenyl-1-[(dipropylamino)acetyl]-1,3-diazaspiro[4.5]decan-4-one, C28H37N3O2
- Crystal structure of 1-(2H-1,3-benzodioxol-5-yl)-3-(1H-imidazol-1-yl)propan-1-one, C13H12N2O3
- Crystal structure of 2,9-dibromo-1,10-phenanthroline, C12H6Br2N2
- Crystal structure of 3-(adamantan-1-yl)-4-(4-fluorophenyl)-1H-1,2,4-triazole-5(4H)-thione, C18H20FN3S
- Crystal structure of trans-bis((E)-7-oxo-4-(phenyldiazenyl)cyclohepta-1,3,5-trien-1-olato)-κ2O,O′)-bis(pyridine-κN)cobalt(II), C36H28CoN6O4
- Crystal structure of 2-(4-methyl-3-phenylthiazol-2(3H)-ylidene)malononitrile, C13H9N3S
- Crystal structure of (Z)-3-(adamantan-1-yl)-1-(3-chlorophenyl)-S-benzylisothiourea, C24H27ClN2S
- Crystal structure of chlorido{[3-(η5-cyclopenta-dienyl)-2,2,3-trimethyl-1-phenylbutylidene] azanido-κN}[η2(N,O)-N,N-dimethylhydroxylaminato]titanium(IV), C20H27ClN2OTi
- Crystal Structure of 1,1′-dimethyl-[4,4′-bipyridine]-1,1′-diium tetrachloridozincate(II), C12H14Cl4N2Zn
- Crystal structure of 5-nitro-2-(pyrrolidin-1-yl)benzaldehyde, C11H12N2O3
- Crystal structure of 2,3-diphenyl-1-(morpholin-4-ylacetyl)-1,3-diazaspiro[4.5]decan-4-one, C26H31N3O3
- Crystal structure of 3,3-dimethyl-3,4-dihydro-1H-benzo[c]chromene-1,6(2H)-dione, C15H14O3
- Crystal structure of bis(2-(2-hydroxymethyl)pyridine-κ2N,O)-bis(pivalato-κO)nickel(II), C22H32N2NiO6
- Crystal structure of (1,10-phenanthroline-κ2N,N′)-bis(1H-pyrazole-3-carboxylato-κ2N,O)manganese(II) trihydrate, C20H20N6O7Mn
- The crystal structure of 3-aminopropan-1-aminium iodide, C3H11N2I
- Crystal structure of ethyl 1-(4-chlorophenyl)-5-methyl-1H-1,2,3-triazole-4 carboxylate, C12H12ClN3O2
- Crystal structure of 4,4′-((1Z,1′Z)-2,2′-(2,5-diethoxy-1,4-phenylene)bis(ethene-2,1-diyl))dipyridine, C24H24N2O2
- Crystal structure of (16S)-12,16-epoxy-11,14-dihydroxy-17(15/16)-abeo-3a,18-cyclo-8,11,13-abietatrien-7-one, C20H24O4
- Crystal structure of aquadichlorido(2,4,6-tri-2-pyridyl-1,3,5-triazine-κ3N,N′,N′′)nickel(II) monohydrate, C18H16Cl2N6NiO2
- Crystal structure of catena-poly[dichlorido-(μ-ethane-1,2-diyl-bis-(pyridyl-4-carboxylate-κN:N′)mercury(II)], C15H14Cl2HgN2O4
- Crystal structure of methyl 2-acetamido-5-chlorbenzoate, C10H10ClNO3
- Crystal structure of tetrakis(μ2-3,3-dimethylacrylato-κ2O,O′)-bis(2-aminopyrimidine-κN) dicopper(II), C28H38Cu2N6O8
- Crystal structure of 3-amino-8-methoxy-1-phenyl-1H-benzo[f]chromene-2-carbonitrile, C21H16N2O2
- Crystal structure of 4-(2-ammonioethyl)morpholin-4-ium dichloride monohydrate, C6H18Cl2N2O2
- Crystal structure of 1-(3-((5-bromo-2-hydroxybenzylidene)amino)phenyl)ethanone O-benzyl oxime, C22H19BrN2O2
- Crystal structure of 2-(4-(dimethylamino)-2-fluorophenyl)-1,3-bis(1H-1,2,4-triazol-1-yl)propan-2-ol monohydrate, C15H20FN7O2
- Crystal structure of 4-bromo-2-(1H-pyrazol-3-yl)phenol, C9H7BrN2O
- Crystal structure of 1,2,3,4,5-pentamethyl-1,3-cyclopentadiene, C10H16