Abstract
C18H16Cl2N6NiO2, monoclinic, P21/n (no. 14), a = 8.5737(6) Å, b = 11.4177(9) Å, c = 20.3031(16) Å, β = 99.309(3)°, V = 1961.3(3) Å3, Z = 4, Rgt(F) = 0.0479, wRref(F2) = 0.0865, T = 293 K.

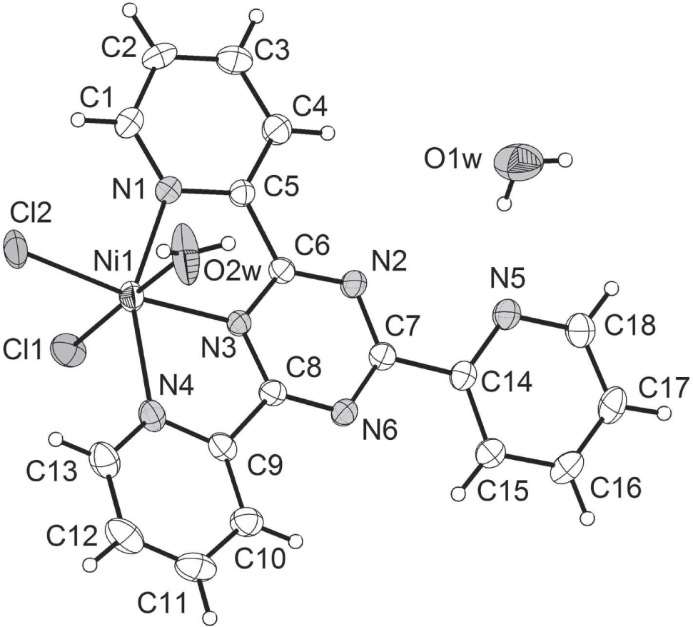
The asymmetric unit of the title crystal structure is shown in the figure. Tables 1 and 2 contain details of the measurement method and a list of the atoms including atomic coordinates and displacement parameters.
Data collection and handling.
| Crystal: | Yellow block |
| Size: | 0.15 × 0.11 × 0.10 mm |
| Wavelength: | Mo Kα radiation (0.71073 Å) |
| μ: | 12.9 cm−1 |
| Diffractometer, scan mode: | Bruker APEX-II, φ and ω |
| 2θmax, completeness: | 57°, >99% |
| N(hkl)measured, N(hkl)unique, Rint: | 46716, 4875, 0.090 |
| Criterion for Iobs, N(hkl)gt: | Iobs > 2 σ(Iobs), 3484 |
| N(param)refined: | 278 |
| Programs: | SHELX [1], Bruker programs [2], enCIFer [3] |
Fractional atomic coordinates and isotropic or equivalent isotropic displacement parameters (Å2).
| Atom | x | y | z | Uiso*/Ueq |
|---|---|---|---|---|
| Ni1 | 0.77445(4) | 0.04329(3) | 0.18674(2) | 0.02493(10) |
| Cl1 | 0.84634(9) | 0.17357(7) | 0.10363(4) | 0.03884(18) |
| Cl2 | 0.81961(10) | 0.17681(6) | 0.27570(4) | 0.03905(19) |
| N1 | 1.0000(2) | −0.04491(19) | 0.20175(11) | 0.0261(5) |
| N2 | 0.8439(2) | −0.25778(19) | 0.07688(10) | 0.0263(5) |
| N3 | 0.7426(2) | −0.08996(18) | 0.12234(11) | 0.0234(5) |
| N4 | 0.5285(3) | 0.05865(19) | 0.14086(12) | 0.0291(5) |
| N5 | 0.7854(3) | −0.4543(2) | 0.00228(11) | 0.0335(5) |
| N6 | 0.5749(2) | −0.19903(19) | 0.04259(11) | 0.0268(5) |
| O1w | 0.9317(3) | −0.5485(3) | 0.12918(13) | 0.0531(7) |
| C9 | 0.4798(3) | −0.0236(2) | 0.09430(13) | 0.0266(6) |
| C7 | 0.6992(3) | −0.2701(2) | 0.04021(13) | 0.0260(6) |
| C5 | 1.0056(3) | −0.1420(2) | 0.16434(13) | 0.0243(6) |
| C10 | 0.3279(3) | −0.0287(3) | 0.05949(15) | 0.0338(7) |
| H10 | 0.298240 | −0.086513 | 0.027639 | 0.041* |
| C13 | 0.4235(3) | 0.1379(3) | 0.15344(16) | 0.0371(7) |
| H13 | 0.455362 | 0.195227 | 0.185335 | 0.045* |
| C1 | 1.1283(3) | −0.0172(2) | 0.24420(14) | 0.0329(7) |
| H1 | 1.126033 | 0.049787 | 0.270095 | 0.040* |
| C8 | 0.6035(3) | −0.1099(2) | 0.08446(13) | 0.0237(6) |
| C6 | 0.8575(3) | −0.1669(2) | 0.11823(12) | 0.0224(5) |
| O2w | 0.7026(4) | −0.0668(2) | 0.25776(14) | 0.0534(7) |
| C14 | 0.6738(3) | −0.3708(2) | −0.00643(13) | 0.0265(6) |
| C12 | 0.2685(4) | 0.1383(3) | 0.12082(17) | 0.0428(8) |
| H12 | 0.197849 | 0.194726 | 0.131072 | 0.051* |
| C4 | 1.1375(3) | −0.2126(3) | 0.16949(15) | 0.0363(7) |
| H4 | 1.137283 | −0.279653 | 0.143441 | 0.044* |
| C11 | 0.2202(3) | 0.0553(3) | 0.07352(16) | 0.0416(8) |
| H11 | 0.116818 | 0.054891 | 0.050957 | 0.050* |
| C3 | 1.2696(3) | −0.1815(3) | 0.21426(17) | 0.0430(8) |
| H3 | 1.360457 | −0.227218 | 0.218685 | 0.052* |
| C17 | 0.6323(4) | −0.5604(3) | −0.08680(14) | 0.0379(7) |
| H17 | 0.620926 | −0.627054 | −0.113517 | 0.045* |
| C16 | 0.5198(4) | −0.4740(3) | −0.09563(14) | 0.0379(7) |
| H16 | 0.431654 | −0.480697 | −0.128777 | 0.045* |
| C18 | 0.7624(4) | −0.5472(3) | −0.03784(15) | 0.0399(7) |
| H18 | 0.838191 | −0.606252 | −0.032487 | 0.048* |
| C15 | 0.5392(3) | −0.3765(2) | −0.05445(13) | 0.0317(6) |
| H15 | 0.464343 | −0.316893 | −0.058875 | 0.038* |
| C2 | 1.2658(3) | −0.0826(3) | 0.25210(16) | 0.0402(7) |
| H2 | 1.353721 | −0.059991 | 0.282457 | 0.048* |
| H2A | 0.702(4) | −0.132(3) | 0.2549(19) | 0.055(12)* |
| H2B | 0.670(5) | −0.043(3) | 0.287(2) | 0.064(14)* |
| H1A | 0.896(5) | −0.507(4) | 0.097(2) | 0.070(14)* |
| H1B | 0.920(7) | −0.615(6) | 0.119(3) | 0.14(3)* |
Source of materials
2,4,6-Tri-(2-pyridyl)-1,3,5-triazine (TPTZ) was purchased from Sigma Aldrich and used without purification. All the solvents, TPTZ and NiCl2 ⋅ 6H2O were obtained from Sigma Aldrich and used without any purification.
A hot EtOH solution of 2,4,6-tri-(2-pyridyl)-1,3,5-triazine (0.312 g; 1.0 mmol) was added to NiCl2 ⋅ 6H2O (0.237 g; 1.0 mmol) in EtOH. The reaction mixture was refluxed for 40 minutes. The yellow crystals of the title complex were grown from the filtrate by slow evaporating at room temperature for six weeks.
Experimental details
Aromatic H atoms were positioned geometrically and allowed to ride on their parent atoms, with Uiso(H) = 1.2Ueq(parent atom) with a C—H distance of 0.93 Å. Hydrogen atoms of water molecules were located from electron density map.
Comment
2,4,6-Tri-(2-pyridyl)-1,3,5-triazine (TPTZ), a well known ligand, has been used as a reagent for various metal ions (such as: AlIII, CuII, AgII, CoII, NiII, MnII). Some physical and biological properties of these complexes have recently been reported [4], [5], [6], [7], [8], [9].
The title compound Ni[C18H12N6⋅H2O]Cl2⋅H2O is isostructural with the manganese complex [9].
The compound is monomeric, with an Ni centre octahedrally coordinated by three N atoms of the TPTZ ligand, one water molecule and two chlorido ligands. Two nitrogen atoms (N1 and N4) of pyridyl rings, one nitrogen atom (N3) of the triazine ring from the TPTZ ligand and one Cl atom (Cl2) form the equatorial base, while the O atom (O2w) of a water molecule and the other Cl atom (Cl1) occupy the axial positions. The bond distances and angles around the NiII ion significantly deviate from 180°: O2w—Ni1—Cl1 (177.61(9)°), N3—Ni1—Cl2 (170.84(7)°), N4—Ni1—N1 (152.22(8)°). As expected, the N–Ni–N chelating angles are with values of N1—Ni1—N3 (76.19(8)°) and N3—Ni1—N4 (76.10(8)°) more acute than the Cl1—Ni1—Cl2 bond angle (96.27(3)°). The Ni—Cl bond lengths are approximately equal (2.4035(8) Å and 2.3473(8) Å). The Ni—Npy bonds (2.158(2) and 2.170(2) Å) are longer than the Ni—Ntriz bond (1.996(2) Å). These results are similar to the related manganese complex [9]. The TPTZ ligands slightly deviate from planarity: the three pyridyl rings are twisted with respect to the central triazine ring by angles of 2.99(17)°, 2.54(17)° and 13.25(15)° with the N5 ring (uncoordinated pyridine ring) displaying the highest degree of twisting. The uncoordinated pyridine ring was reported as 11.8° twisting angle in the manganese analogue [9]. The TPTZ ligand, with the exception of the non-coordinating pyridyl moiety is close to planar with an rms deviation of 0.0468 Å from the best fit plane through all ligand atoms. The ligand plane also lies close to the equatorial plane of the complex defined by the Cl2, N1, N3 and N4 donor atoms with 4.60(7)° and close to the axial plane of the complex defined by the Cl1, Cl2, O2w and N3 donor atoms with 86.52(6)°.
The Ni[C18H12N6⋅H2O]Cl2⋅H2O complex molecules are assembled into a 2D network by OH⋯N, OH⋯O and OH⋯Cl hydrogen bonds. The crystal structure is also stabilized by intermolecular π-π stacking interactions between TPTZ ligands (centroid-centroid distance = 3.814(4) Å).
Acknowledgement
The authors gratefully acknowledge Kırıkkale University Scientific Research Centre for financial support of this work (Grant No. 2013/31) and also Scientific and Technological Research Application and Research Center, Sinop University, Turkey, for the use of the Bruker D8 QUEST diffractometer.
References
1 Sheldrick, G. M.: A Short History of SHELX. Acta Crystallogr. A64 (2008) 112–122.10.1107/S0108767307043930Search in Google Scholar PubMed
2 Bruker. APEX2, SAINT and SADABS. Bruker AXS Inc., Madison, Wisconsin, USA, (2008).Search in Google Scholar
3 Allen, F. H.; Johnson, O.; Shields, G. P.; Smith, B. R.; Towler, M.: CIF applications. XV. enCIFer: a program for viewing, editing and visualizing CIFs. J. Appl. Crystallogr. 37 (2004) 335–338.10.1107/S0021889804003528Search in Google Scholar
4 Azahari, S. J.; Abdel Rhman, M. H.; Mostafa, M. M.: Spectroscopic, analytical and DFT calculation studies of two novel Al3+ complexes derived from 2,4,6-tri-(2-pyridyl)-1,3,5-triazine (TPTZ). Spectrochim. Acta 132 (2014) 165–173.10.1016/j.saa.2014.03.073Search in Google Scholar PubMed
5 Abdi, K.; Hadadzadeh, H.; Salimi, M.; Simpson, J.; Khalaji, A. D.: A mononuclear copper(II) complex based on the polypyridyl ligand 2,4,6-tris(2-pyridyl)-1,3,5-triazine (tptz), [Cu(tptz)2]2+: X-ray crystal structure, DNA binding and in vitro cell cytotoxicity. Polyhedron 44 (2012) 101–112.10.1016/j.poly.2012.06.089Search in Google Scholar
6 Najafpour, M. M.; Hołyńska, M.; Amini, M.; Kazemi, S. H.; Lis, T.; Bagherzadeh, M.: Two new silver(I) complexes with 2,4,6-tris(2-pyridyl)-1,3,5-triazine (tptz): Preparation, characterization, crystal structure and alcohol oxidation activity in the presence of oxone. Polyhedron 29 (2010) 2837–2843.10.1016/j.poly.2010.07.005Search in Google Scholar
7 Das, A.; Marschner, C.; Cano, J.; Baumgartner, J.; Ribas, J.; Salah El Fallah, M.; Mitra, S.: Synthesis, crystal structures and magnetic behaviors of two dicyanamide bridged di- and polynuclear complexes of cobalt(II) derived from 2,4,6-tris(2-pyridyl)1,3,5-triazine and imidazole. Polyhedron 28 (2009) 2436–2442.10.1016/j.poly.2009.04.024Search in Google Scholar
8 Jin, C. H.: Aquaglutarato (2,4,6-tri-2-pyridyl-1,3,5-triazine) nickel(II) trihydrate. Acta Crystallogr. E67 (2011) m393–m401.10.1107/S1600536811006842Search in Google Scholar PubMed PubMed Central
9 Waleed, H. A.; Abdel Moneum, H. E.; Mohsen, M. M.: Structural comparative studies on new MnII, CrIII and RuIII complexes derived from 2,4,6-tri-(2-pyridyl)-1,3,5-triazine (TPTZ). Spectr. Acta A116 (2013) 401–407.10.1016/j.saa.2013.07.086Search in Google Scholar
©2017 Nermin Kahveci Yağci et al., published by De Gruyter, Berlin/Boston
This work is licensed under the Creative Commons Attribution-NonCommercial-NoDerivatives 3.0 License.
Articles in the same Issue
- Cover and Frontmatter
- Crystal structure of 2,5-diiodo-4-nitro-1H-imidazole hemihydrate, C6H4I4N6O5
- Crystal structure of catena-poly[μ2-2,2′-(1,3-phenylene)diacetato-κ4O,O′:O′′,O′′′)-(μ2-1,6-bis(2-methyl-1H-benzo[d]imidazol-1-yl)hexane-κ2N:N′)cadmium(II)], C32H34CdN4O4
- Crystal structure of poly[aqua-(2,2′-bipyridine-κN,N′)-(μ4-5,5′-(hexane-1,6-diyl)-bis(oxy)diisophthalato κ8O1,O2:O3,O4:O5,O6:O7,O8)manganese(II)], C21H21MnN2O7
- Crystal structure of poly-[(μ2-((1,3-bis(benzimidazol-1-yl)propane-κ2N:N′)(μ2-4-tert-butyl-phthalato-κ2O:O′)cobalt(II)] monohydrate, C29H30CoN4O5
- Crystal structure of 2-amino-4-(3,4,5-trimethoxy-phenyl)-5-(oxo-5,6,7,8-tetrahydro-4H-chromene)-3-carbonitrile – ethanol (1/1), C21H26N2O6
- Crystal structure of ethyl 1-benzyl-5-phenyl-1H-pyrazole-3-carboxylate, C19H18N2O2
- Crystal structure of 2-(1-benzyl-3-phenyl-1H-pyrazol-5-yl)-5-(4-nitrobenzylthio)-1,3,4-oxadiazole, C25H19N5O3S
- Structure and photochromism of 1,2-bis[2-methyl-5-(2-chlorophenyl)-3-thienyl]-3,3,4,4,5,5-hexafluorocyclopent-1-ene, C27H16Cl2F6S2
- The crystal structure of the Schiff base (E)-2,6-diisopropyl-N-(pyridin-4-ylmethylene)aniline, C18H22N2
- Crystal structure of (E)-2,4-dibromo-6-(((4-methyl-2-nitrophenyl)imino) methyl)phenol, C10H14Br2N2O3
- Crystal structure of (bis(2,2′-bipyridine-κ2N,N′))-(3,5-dinitrosalicylato-κ2O,O′)nickel(II), C27H18N6NiO7
- Crystal structure of 1-(diethoxy phosphonomethyl) 2-benzoyl-3-chloro-2-cyclohexen-1-ol, C18H24ClO5P
- Crystal structure of tetraaqua-bis(1,3-benzimidazol-3-ium-1,3-diacetato-κO)copper(II) hemihydrate, C22H27CuN4O12.50
- Crystal structure of 1α,11-dihydroxyeremophil-9-en-8-one, C15H24O3
- Crystal structure of 1-ferrocenylsulfonyl-1H-imidazo[4,5-b]pyridine, C16H13FeN3O2S
- Crystal structure of bis(μ2-azido-κ2N:N)-dichlorido-bis(μ2-2-(pyridin-2-yl)ethan-1-ol-κ2O,N)dicopper(II), C14H18Cl2Cu2N8O2
- Crystal structure of (5,15-cis-bis(2-hydroxy-1-naphthyl)-10-phenyl-20-(4-hydroxyphenyl)-porphyrinato)-(pyridine)-zinc(ii) pyridine solvate, C67H47N7O3Zn
- Crystal structure of (μ2-[2,2′-bis(diphenylphosphino)-1,1′-binaphthalene oxide-κ2O,P])-iodido copper(I), C44H32CuIOP2
- Crystal structure of 6,8-diphenyl-2-(4-fluorophenyl)-2,3-dihydroquinolin-4(3H)-one, C27H20FNO
- Crystal structure of 5,11,17,23-tetra(tert-butyl)-25,26,27,28-tetrahexoxycalix[4]arene, C68H104O4
- Crystal structure of N,N′–bis(pyridin-4-ylmethyl)pyrazine-2,3-dicarboxamide dihydrate, C18H20N6O4
- Crystal structure of a diaqua-bis(3,5-di(1H-imidazol-1-yl)pyridine-κN)-bis(2-(4-carboxy-phenyl)acetato-κO]manganese(II), C40H36MnN10O10
- Crystal structure of 4-(4-hydroxy-3-methoxy-phenyl)-2,7,7-trimethyl-5-oxo-1,4,5,6,7,8-hexahydro-quinoline-3-carboxylic acid methyl ester, C21H25NO5
- Crystal structure of (E)-4,4′-(ethene-1,2-diyl)bis(3-nitrobenzoic acid) 1.5 hydrate, C16H13N2O9.5
- Crystal structure of (E)-2-(5-(4-fluorophenyl)-3-(furan-2-yl)-4,5-dihydro-1H-pyrazol-1-yl)-5-((4-fluorophenyl)diazenyl)-4-methylthiazole, C23H17F2N5OS
- Crystal structure of the co-crystalline adduct 4-((4,4-dimethyl-2,6-dioxocyclohexylidene)methylamino)-N-(4,6-dimethylpyrimidin-2-yl)benzenesulfonamide - acetic acid (1/1), C21H24N4O4S ⋅ C2H4O2
- Synthesis and crystal structure of 2-((5-chlorobenzo[c][1,2,5]thiadiazol-4-yl)amino)-4,5-dihydro-1H-imidazol-3-ium tetraphenylborate, C33H29BClN5S
- Crystal structure of (4-chlorophenyl)(3-ferrocenyl-5-(trifluoromethyl)-1H-pyrazol-1-yl)methanone, C21H14ClF3FeN2O
- Crystal structure of (S)-benzyl 3-(benzylcarba-moyl)-3,4-dihydroisoquinoline-2(1H)-carboxylate, C25H24N2O3
- Crystal structure of 5-acetyl-3-(3-fluoro-4-morpholinophenyl)oxazolidin-2-one, C15H17FN2O4
- Crystal structure of 2-(4-fluorophenyl)-1,3-dimethyl-1H-perimidin-3-ium iodide, C19H16FIN2
- Crystal structure of methyl 1H-indole-2-carboxylate, C10H9NO2
- Crystal structure of 2,3-diphenyl-1-[(dipropylamino)acetyl]-1,3-diazaspiro[4.5]decan-4-one, C28H37N3O2
- Crystal structure of 1-(2H-1,3-benzodioxol-5-yl)-3-(1H-imidazol-1-yl)propan-1-one, C13H12N2O3
- Crystal structure of 2,9-dibromo-1,10-phenanthroline, C12H6Br2N2
- Crystal structure of 3-(adamantan-1-yl)-4-(4-fluorophenyl)-1H-1,2,4-triazole-5(4H)-thione, C18H20FN3S
- Crystal structure of trans-bis((E)-7-oxo-4-(phenyldiazenyl)cyclohepta-1,3,5-trien-1-olato)-κ2O,O′)-bis(pyridine-κN)cobalt(II), C36H28CoN6O4
- Crystal structure of 2-(4-methyl-3-phenylthiazol-2(3H)-ylidene)malononitrile, C13H9N3S
- Crystal structure of (Z)-3-(adamantan-1-yl)-1-(3-chlorophenyl)-S-benzylisothiourea, C24H27ClN2S
- Crystal structure of chlorido{[3-(η5-cyclopenta-dienyl)-2,2,3-trimethyl-1-phenylbutylidene] azanido-κN}[η2(N,O)-N,N-dimethylhydroxylaminato]titanium(IV), C20H27ClN2OTi
- Crystal Structure of 1,1′-dimethyl-[4,4′-bipyridine]-1,1′-diium tetrachloridozincate(II), C12H14Cl4N2Zn
- Crystal structure of 5-nitro-2-(pyrrolidin-1-yl)benzaldehyde, C11H12N2O3
- Crystal structure of 2,3-diphenyl-1-(morpholin-4-ylacetyl)-1,3-diazaspiro[4.5]decan-4-one, C26H31N3O3
- Crystal structure of 3,3-dimethyl-3,4-dihydro-1H-benzo[c]chromene-1,6(2H)-dione, C15H14O3
- Crystal structure of bis(2-(2-hydroxymethyl)pyridine-κ2N,O)-bis(pivalato-κO)nickel(II), C22H32N2NiO6
- Crystal structure of (1,10-phenanthroline-κ2N,N′)-bis(1H-pyrazole-3-carboxylato-κ2N,O)manganese(II) trihydrate, C20H20N6O7Mn
- The crystal structure of 3-aminopropan-1-aminium iodide, C3H11N2I
- Crystal structure of ethyl 1-(4-chlorophenyl)-5-methyl-1H-1,2,3-triazole-4 carboxylate, C12H12ClN3O2
- Crystal structure of 4,4′-((1Z,1′Z)-2,2′-(2,5-diethoxy-1,4-phenylene)bis(ethene-2,1-diyl))dipyridine, C24H24N2O2
- Crystal structure of (16S)-12,16-epoxy-11,14-dihydroxy-17(15/16)-abeo-3a,18-cyclo-8,11,13-abietatrien-7-one, C20H24O4
- Crystal structure of aquadichlorido(2,4,6-tri-2-pyridyl-1,3,5-triazine-κ3N,N′,N′′)nickel(II) monohydrate, C18H16Cl2N6NiO2
- Crystal structure of catena-poly[dichlorido-(μ-ethane-1,2-diyl-bis-(pyridyl-4-carboxylate-κN:N′)mercury(II)], C15H14Cl2HgN2O4
- Crystal structure of methyl 2-acetamido-5-chlorbenzoate, C10H10ClNO3
- Crystal structure of tetrakis(μ2-3,3-dimethylacrylato-κ2O,O′)-bis(2-aminopyrimidine-κN) dicopper(II), C28H38Cu2N6O8
- Crystal structure of 3-amino-8-methoxy-1-phenyl-1H-benzo[f]chromene-2-carbonitrile, C21H16N2O2
- Crystal structure of 4-(2-ammonioethyl)morpholin-4-ium dichloride monohydrate, C6H18Cl2N2O2
- Crystal structure of 1-(3-((5-bromo-2-hydroxybenzylidene)amino)phenyl)ethanone O-benzyl oxime, C22H19BrN2O2
- Crystal structure of 2-(4-(dimethylamino)-2-fluorophenyl)-1,3-bis(1H-1,2,4-triazol-1-yl)propan-2-ol monohydrate, C15H20FN7O2
- Crystal structure of 4-bromo-2-(1H-pyrazol-3-yl)phenol, C9H7BrN2O
- Crystal structure of 1,2,3,4,5-pentamethyl-1,3-cyclopentadiene, C10H16
Articles in the same Issue
- Cover and Frontmatter
- Crystal structure of 2,5-diiodo-4-nitro-1H-imidazole hemihydrate, C6H4I4N6O5
- Crystal structure of catena-poly[μ2-2,2′-(1,3-phenylene)diacetato-κ4O,O′:O′′,O′′′)-(μ2-1,6-bis(2-methyl-1H-benzo[d]imidazol-1-yl)hexane-κ2N:N′)cadmium(II)], C32H34CdN4O4
- Crystal structure of poly[aqua-(2,2′-bipyridine-κN,N′)-(μ4-5,5′-(hexane-1,6-diyl)-bis(oxy)diisophthalato κ8O1,O2:O3,O4:O5,O6:O7,O8)manganese(II)], C21H21MnN2O7
- Crystal structure of poly-[(μ2-((1,3-bis(benzimidazol-1-yl)propane-κ2N:N′)(μ2-4-tert-butyl-phthalato-κ2O:O′)cobalt(II)] monohydrate, C29H30CoN4O5
- Crystal structure of 2-amino-4-(3,4,5-trimethoxy-phenyl)-5-(oxo-5,6,7,8-tetrahydro-4H-chromene)-3-carbonitrile – ethanol (1/1), C21H26N2O6
- Crystal structure of ethyl 1-benzyl-5-phenyl-1H-pyrazole-3-carboxylate, C19H18N2O2
- Crystal structure of 2-(1-benzyl-3-phenyl-1H-pyrazol-5-yl)-5-(4-nitrobenzylthio)-1,3,4-oxadiazole, C25H19N5O3S
- Structure and photochromism of 1,2-bis[2-methyl-5-(2-chlorophenyl)-3-thienyl]-3,3,4,4,5,5-hexafluorocyclopent-1-ene, C27H16Cl2F6S2
- The crystal structure of the Schiff base (E)-2,6-diisopropyl-N-(pyridin-4-ylmethylene)aniline, C18H22N2
- Crystal structure of (E)-2,4-dibromo-6-(((4-methyl-2-nitrophenyl)imino) methyl)phenol, C10H14Br2N2O3
- Crystal structure of (bis(2,2′-bipyridine-κ2N,N′))-(3,5-dinitrosalicylato-κ2O,O′)nickel(II), C27H18N6NiO7
- Crystal structure of 1-(diethoxy phosphonomethyl) 2-benzoyl-3-chloro-2-cyclohexen-1-ol, C18H24ClO5P
- Crystal structure of tetraaqua-bis(1,3-benzimidazol-3-ium-1,3-diacetato-κO)copper(II) hemihydrate, C22H27CuN4O12.50
- Crystal structure of 1α,11-dihydroxyeremophil-9-en-8-one, C15H24O3
- Crystal structure of 1-ferrocenylsulfonyl-1H-imidazo[4,5-b]pyridine, C16H13FeN3O2S
- Crystal structure of bis(μ2-azido-κ2N:N)-dichlorido-bis(μ2-2-(pyridin-2-yl)ethan-1-ol-κ2O,N)dicopper(II), C14H18Cl2Cu2N8O2
- Crystal structure of (5,15-cis-bis(2-hydroxy-1-naphthyl)-10-phenyl-20-(4-hydroxyphenyl)-porphyrinato)-(pyridine)-zinc(ii) pyridine solvate, C67H47N7O3Zn
- Crystal structure of (μ2-[2,2′-bis(diphenylphosphino)-1,1′-binaphthalene oxide-κ2O,P])-iodido copper(I), C44H32CuIOP2
- Crystal structure of 6,8-diphenyl-2-(4-fluorophenyl)-2,3-dihydroquinolin-4(3H)-one, C27H20FNO
- Crystal structure of 5,11,17,23-tetra(tert-butyl)-25,26,27,28-tetrahexoxycalix[4]arene, C68H104O4
- Crystal structure of N,N′–bis(pyridin-4-ylmethyl)pyrazine-2,3-dicarboxamide dihydrate, C18H20N6O4
- Crystal structure of a diaqua-bis(3,5-di(1H-imidazol-1-yl)pyridine-κN)-bis(2-(4-carboxy-phenyl)acetato-κO]manganese(II), C40H36MnN10O10
- Crystal structure of 4-(4-hydroxy-3-methoxy-phenyl)-2,7,7-trimethyl-5-oxo-1,4,5,6,7,8-hexahydro-quinoline-3-carboxylic acid methyl ester, C21H25NO5
- Crystal structure of (E)-4,4′-(ethene-1,2-diyl)bis(3-nitrobenzoic acid) 1.5 hydrate, C16H13N2O9.5
- Crystal structure of (E)-2-(5-(4-fluorophenyl)-3-(furan-2-yl)-4,5-dihydro-1H-pyrazol-1-yl)-5-((4-fluorophenyl)diazenyl)-4-methylthiazole, C23H17F2N5OS
- Crystal structure of the co-crystalline adduct 4-((4,4-dimethyl-2,6-dioxocyclohexylidene)methylamino)-N-(4,6-dimethylpyrimidin-2-yl)benzenesulfonamide - acetic acid (1/1), C21H24N4O4S ⋅ C2H4O2
- Synthesis and crystal structure of 2-((5-chlorobenzo[c][1,2,5]thiadiazol-4-yl)amino)-4,5-dihydro-1H-imidazol-3-ium tetraphenylborate, C33H29BClN5S
- Crystal structure of (4-chlorophenyl)(3-ferrocenyl-5-(trifluoromethyl)-1H-pyrazol-1-yl)methanone, C21H14ClF3FeN2O
- Crystal structure of (S)-benzyl 3-(benzylcarba-moyl)-3,4-dihydroisoquinoline-2(1H)-carboxylate, C25H24N2O3
- Crystal structure of 5-acetyl-3-(3-fluoro-4-morpholinophenyl)oxazolidin-2-one, C15H17FN2O4
- Crystal structure of 2-(4-fluorophenyl)-1,3-dimethyl-1H-perimidin-3-ium iodide, C19H16FIN2
- Crystal structure of methyl 1H-indole-2-carboxylate, C10H9NO2
- Crystal structure of 2,3-diphenyl-1-[(dipropylamino)acetyl]-1,3-diazaspiro[4.5]decan-4-one, C28H37N3O2
- Crystal structure of 1-(2H-1,3-benzodioxol-5-yl)-3-(1H-imidazol-1-yl)propan-1-one, C13H12N2O3
- Crystal structure of 2,9-dibromo-1,10-phenanthroline, C12H6Br2N2
- Crystal structure of 3-(adamantan-1-yl)-4-(4-fluorophenyl)-1H-1,2,4-triazole-5(4H)-thione, C18H20FN3S
- Crystal structure of trans-bis((E)-7-oxo-4-(phenyldiazenyl)cyclohepta-1,3,5-trien-1-olato)-κ2O,O′)-bis(pyridine-κN)cobalt(II), C36H28CoN6O4
- Crystal structure of 2-(4-methyl-3-phenylthiazol-2(3H)-ylidene)malononitrile, C13H9N3S
- Crystal structure of (Z)-3-(adamantan-1-yl)-1-(3-chlorophenyl)-S-benzylisothiourea, C24H27ClN2S
- Crystal structure of chlorido{[3-(η5-cyclopenta-dienyl)-2,2,3-trimethyl-1-phenylbutylidene] azanido-κN}[η2(N,O)-N,N-dimethylhydroxylaminato]titanium(IV), C20H27ClN2OTi
- Crystal Structure of 1,1′-dimethyl-[4,4′-bipyridine]-1,1′-diium tetrachloridozincate(II), C12H14Cl4N2Zn
- Crystal structure of 5-nitro-2-(pyrrolidin-1-yl)benzaldehyde, C11H12N2O3
- Crystal structure of 2,3-diphenyl-1-(morpholin-4-ylacetyl)-1,3-diazaspiro[4.5]decan-4-one, C26H31N3O3
- Crystal structure of 3,3-dimethyl-3,4-dihydro-1H-benzo[c]chromene-1,6(2H)-dione, C15H14O3
- Crystal structure of bis(2-(2-hydroxymethyl)pyridine-κ2N,O)-bis(pivalato-κO)nickel(II), C22H32N2NiO6
- Crystal structure of (1,10-phenanthroline-κ2N,N′)-bis(1H-pyrazole-3-carboxylato-κ2N,O)manganese(II) trihydrate, C20H20N6O7Mn
- The crystal structure of 3-aminopropan-1-aminium iodide, C3H11N2I
- Crystal structure of ethyl 1-(4-chlorophenyl)-5-methyl-1H-1,2,3-triazole-4 carboxylate, C12H12ClN3O2
- Crystal structure of 4,4′-((1Z,1′Z)-2,2′-(2,5-diethoxy-1,4-phenylene)bis(ethene-2,1-diyl))dipyridine, C24H24N2O2
- Crystal structure of (16S)-12,16-epoxy-11,14-dihydroxy-17(15/16)-abeo-3a,18-cyclo-8,11,13-abietatrien-7-one, C20H24O4
- Crystal structure of aquadichlorido(2,4,6-tri-2-pyridyl-1,3,5-triazine-κ3N,N′,N′′)nickel(II) monohydrate, C18H16Cl2N6NiO2
- Crystal structure of catena-poly[dichlorido-(μ-ethane-1,2-diyl-bis-(pyridyl-4-carboxylate-κN:N′)mercury(II)], C15H14Cl2HgN2O4
- Crystal structure of methyl 2-acetamido-5-chlorbenzoate, C10H10ClNO3
- Crystal structure of tetrakis(μ2-3,3-dimethylacrylato-κ2O,O′)-bis(2-aminopyrimidine-κN) dicopper(II), C28H38Cu2N6O8
- Crystal structure of 3-amino-8-methoxy-1-phenyl-1H-benzo[f]chromene-2-carbonitrile, C21H16N2O2
- Crystal structure of 4-(2-ammonioethyl)morpholin-4-ium dichloride monohydrate, C6H18Cl2N2O2
- Crystal structure of 1-(3-((5-bromo-2-hydroxybenzylidene)amino)phenyl)ethanone O-benzyl oxime, C22H19BrN2O2
- Crystal structure of 2-(4-(dimethylamino)-2-fluorophenyl)-1,3-bis(1H-1,2,4-triazol-1-yl)propan-2-ol monohydrate, C15H20FN7O2
- Crystal structure of 4-bromo-2-(1H-pyrazol-3-yl)phenol, C9H7BrN2O
- Crystal structure of 1,2,3,4,5-pentamethyl-1,3-cyclopentadiene, C10H16