Abstract
C22H27CuN4O12.50, triclinic, P1̅ (no. 2), a = 7.3950(11) Å, b = 9.4574(15) Å, c = 9.6619(15) Å, α = 81.139(2)°, β = 75.457(3)°, γ = 77.974(3)°, V = 636.02(17) Å3, Z = 1, Rgt(F) = 0.0371, wRref(F2) = 0.1020, T = 293 K.

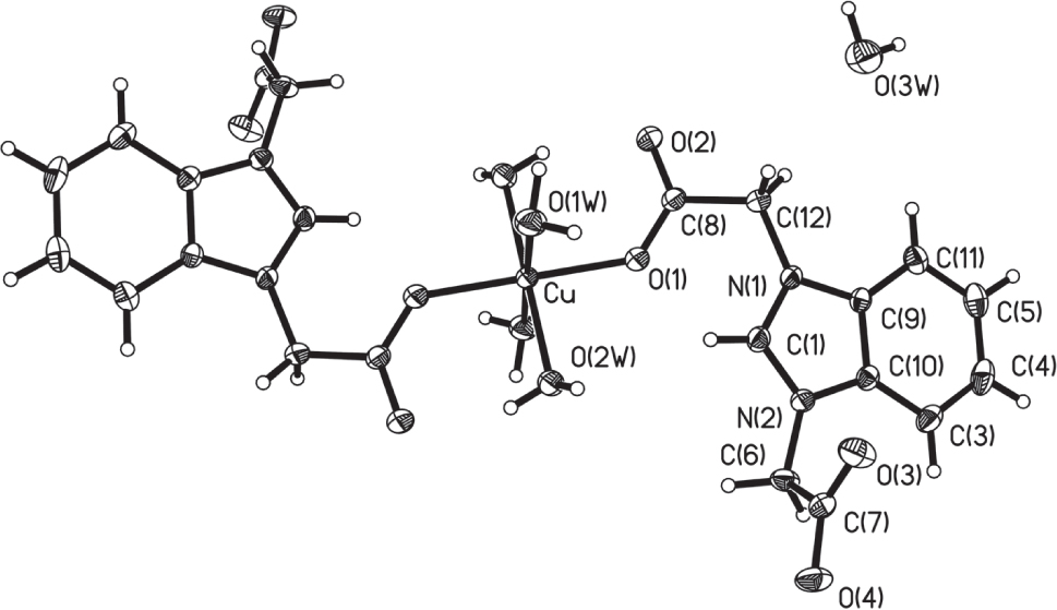
The crystal structure is shown in the figure. Tables 1 and 2 contain details on crystal structure and measurement conditions and a list of the atoms including atomic coordinates and displacement parameters.
Data collection and handling.
| Crystal: | Blue plate |
| Size: | 0.50 × 0.45 × 0.11 mm |
| Wavelength: | Mo Kα radiation (0.71073 Å) |
| μ: | 9.3 cm−1 |
| Diffractometer, scan mode: | Bruker P4, ω−scans |
| 2θmax, completeness: | 51.4°, >98% |
| N(hkl)measured, N(hkl)unique, Rint: | 3397, 2366, 0.014 |
| Criterion for Iobs, N(hkl)gt: | Iobs > 2 σ(Iobs), 2249 |
| N(param)refined: | 192 |
| Programs: | SHELX [17] |
Fractional atomic coordinates and isotropic or equivalent isotropic displacement parameters (Å2).
| Atom | x | y | z | Uiso*/Ueq |
|---|---|---|---|---|
| Cu | 1.0000 | 0.0000 | 1.0000 | 0.02919(16) |
| O1 | 0.9198(3) | 0.09727(19) | 0.8221(2) | 0.0420(4) |
| O2 | 0.9058(3) | −0.0791(2) | 0.6978(2) | 0.0509(5) |
| O3 | 0.4092(3) | 0.6515(2) | 0.8733(3) | 0.0531(5) |
| O4 | 0.5419(3) | 0.7807(2) | 0.9800(2) | 0.0489(5) |
| O1W | 0.6940(3) | −0.0372(2) | 1.0958(2) | 0.0479(5) |
| H1WA | 0.6196 | 0.0309 | 1.0665 | 0.074(13)* |
| H1WB | 0.6661 | −0.1048 | 1.0517 | 0.079(12)* |
| O2W | 0.9419(3) | 0.19533(19) | 1.0746(2) | 0.0374(4) |
| H2WB | 0.9739 | 0.1872 | 1.1512 | 0.067(12)* |
| H2WA | 0.8265 | 0.2424 | 1.0881 | 0.065(11)* |
| N1 | 0.7415(3) | 0.3091(2) | 0.6489(2) | 0.0300(4) |
| N2 | 0.7474(3) | 0.5077(2) | 0.7348(2) | 0.0301(4) |
| C9 | 0.7481(3) | 0.4193(2) | 0.5347(2) | 0.0284(5) |
| C11 | 0.7456(4) | 0.4190(3) | 0.3912(3) | 0.0380(6) |
| H11 | 0.7391 | 0.3354 | 0.3543 | 0.046* |
| C1 | 0.7390(3) | 0.3680(3) | 0.7662(3) | 0.0324(5) |
| H1 | 0.7322 | 0.3177 | 0.8574 | 0.039* |
| C10 | 0.7525(3) | 0.5455(3) | 0.5899(3) | 0.0299(5) |
| C3 | 0.7627(4) | 0.6772(3) | 0.5040(3) | 0.0409(6) |
| H3 | 0.7683 | 0.7611 | 0.5407 | 0.049* |
| C5 | 0.7535(4) | 0.5503(3) | 0.3070(3) | 0.0471(7) |
| H5 | 0.7517 | 0.5551 | 0.2105 | 0.056* |
| C4 | 0.7640(4) | 0.6758(3) | 0.3609(3) | 0.0498(7) |
| H4 | 0.7720 | 0.7610 | 0.2990 | 0.060* |
| C7 | 0.5477(4) | 0.6866(3) | 0.9009(3) | 0.0345(5) |
| C6 | 0.7447(4) | 0.6058(3) | 0.8385(3) | 0.0374(6) |
| H6A | 0.8254 | 0.6762 | 0.7918 | 0.045* |
| H6B | 0.7978 | 0.5500 | 0.9166 | 0.045* |
| C8 | 0.8706(3) | 0.0480(3) | 0.7262(3) | 0.0322(5) |
| C12 | 0.7468(4) | 0.1552(3) | 0.6380(3) | 0.0397(6) |
| H12A | 0.7928 | 0.1378 | 0.5378 | 0.048* |
| H12B | 0.6182 | 0.1356 | 0.6686 | 0.048* |
| O3Wa | 0.6239(16) | 0.0560(11) | 0.3762(10) | 0.066(3) |
| H3WAa | 0.6481 | 0.0699 | 0.2807 | 0.079* |
| H3WBa | 0.5687 | −0.0285 | 0.3963 | 0.079* |
aOccupancy: 0.25.
Source of material
The ligand 1-(carboxymethyl)-1H-benzimidazol-3-ium-3-acetate was prepared according to the reported procedures [1]. Solid sodium carbonate (0.25 mmol) was added to 1-(carboxymethyl)-1H-benzimidazol-3-ium-3-acetate (0.5 mmol) in distilled water (5 mL) while stirring at room temperature. Once the solution became clear, copper(II) nitrate hexahydrate (0.25 mmol) disolved in distilled water (5 mL) was added dropwise. After continuous stirring for 15 min, the resulting blue solution was filtered and placed undisturbed for 2 weeks. During this period blue crystals were obtained.
Experimental details
All the hydrogen atoms except that of water were generated geometrically and refined isotropically using riding models. The Uiso values of the hydrogen atoms were set to 1.2Ueq(C). The hydrogen of water molecules were found directly from different Fourier map.
Discussion
In the recent years, the benzimidazole derivatives and their metal complexes have attracted much attention because of the specific topological frameworks and interesting properties of these compounds [2], [3], [4], [5]. Furthmore, benzimidazole carboxylic acids and their derivatives are widely used due to their biological activites such as antifilarial, antineoplastic, anthelmintic and antiviral activities [6], [7], [8], [9]. Up to now, several complexes have been synthesized using the benzimidazole carboxylic acid [10], [11], [12], [13], [14], [15], [16]. To extend this research, we used 1,3-benzimidazol-3-ium-1,3-diacetato ligand to react with Cu2+ ions and got a new complex.
The asymmetric unit of the title structure consists of one half of a monomer complex (cf. the figure, the asymmetric unit is labeled) and one uncoordinated water molecule with the occupation of 25%. The Cu(II) atom lies on the inversion center and is six-coordinated by four O atoms from four coordinated water molecules and two O atoms from two monodentate coordinating ligands. The Cu(II) atom adopts a slightly distorted octahedral geometry. The axial Cu—O bond distances are in the range of 1.986(2) Å and 2.298(2) Å. The benzimidazolium moiety (C1/N1/C9/C11/C5/C4/C3/C10/N2) is essentially planar, with a mean deviation of 0.0124 Å. The carboxylate groups adopt trans conformations, with the C10—N2—C6—C7 and C9—N1—C12—C8 torsion angles to be 84.26° and 138.48°, respectively. In the crystal structure, the coordinated water molecules are hydrogen-bonded to carboxylate O atoms to generate a two-dimensional network parallel to the ab plane (O2W—H2WB⋯O2′ 2.703(3) Å; O2W—H2WA⋯O3′′, 2.663(3) Å; O1W—H1WA⋯O4, 2.794(3) Å; O1W—H1WB⋯O4′′′, 2.740(3) Å; ′ = 2 − x, −y, 2 − z; ′′ = 1 − x, 1 − y, 2 − z; ′′′ = x, −1 + y, z). The two-dimensional network are further extended into a three-dimensional supramolecular structure along the crystallographic c direction via π–π stacking interactions between benzimidazolium rings from adjacent layers, with a centroid-centroid distance of 3.588 Å.
Acknowledgement
This work was supported by the Foundation of Education Committee of Henan province, China (No. 14 A150035), and the Doctor Foundation of Henan institue of Engineering (No. D2012030).
References
1 Chen, D. B.; Huang, L.: 1-(Carboxymethyl)-1,3-benzimidazol-3- ium-3-acetate. Acta Crystallogr. E62 (2006) o4686–o4688.10.1107/S1600536806038335Search in Google Scholar
2 Wen, Q. Y.; Chen, J. Q.; Fang, H. C.; Chen, L.; Zhou, Z. Y.; Hu, Z. J.; Cai Y. P.: Construction of ZnII-based rac-helical chains containing semi-rigid dipolar ligand 1,4-bis(benzimidazol-1-ylmethyl) benzene. Z. Anorg. Allg. Chem. 635 (2009) 567–571.10.1002/zaac.200801233Search in Google Scholar
3 Lu, H. J.; Fan, Y. T.; Gao, J.; Wang, Q.: 1,4–Bis(1–benzimidazolylmethyl)benzene with Cd(II) and Zn(II) cations: Synthesis and crystal structures of a 2-D coordination polymer and a 3-D supramolecular. Synth. React. Inorg. M. 35 (2005) 305–309.10.1081/SIM-200055247Search in Google Scholar
4 Liu, X. C.; Guo, X. L.; Niu, Y. Y.; Wang, Q. L.; Cui, Q.; Hou, H. W.; Lv, X. R.; Ng, S. K.: Synthesis and structure of a CdI2 coordination polymer with 1,4-bis(benzimidazole-1-yl-methylene)benzene (bbmb). J. Chem. Crystallogr. 39 (2009) 147–150.10.1007/s10870-008-9445-4Search in Google Scholar
5 Su, C. Y.; Cai, Y. P.; Chen, C. L.; Smith, M. D.; Kaim, W.; zur Loye, H. C.: Ligand-directed molecular architectures: Self-assembly of two-dimensional rectangular metallacycles and three-dimensional trigonal or tetragonal prisms. J. Am. Chem. Soc. 125 (2003) 8595–8613.10.1021/ja034267kSearch in Google Scholar
6 Dubey, R.; Abuzar, S.; Sharma, S.; Chatterjee, R. K.; Katiyar, J. C.: Synthesis and anthelmintic activity of 5(6)-[benzimidazole-2-yl)carboxamido]-and (4-substituted piperazin-l-y) benzimidazoles. J. Med. Chem. 28 (1985) 1748–1750.10.1021/jm00149a036Search in Google Scholar
7 Garuti, L.; Roberti, M.; Gentilomi, G.: Synthesis and antiviral assays of some 2-substituted benzimidazole-N-carbamates. Farmaco 55 (2000) 35–39.10.1016/S0014-827X(99)00117-2Search in Google Scholar
8 López-Rodríguez, M. L.; Benhamú, B.; Viso, A.; Morcillo, M. J.; Murcia, M.; Orensanz, L.; Alfaro, M. J.; Martín, M. I.: Synthesis and structure-activity relationships of new benzimidazole-4-carboxamides and carboxylates as potent and selective 5-HT4 Receptor Antagonists. Bioorg. Med. Chem. 7 (1999) 2271–2281.10.1016/S0968-0896(99)00172-8Search in Google Scholar
9 Poeta, M. D.; Schell, W. A.; Dykstra, C. C.; Jones, S.; Tidwell, R. R.; Czarny, A.; Bajic, M.; Kumar, A.; Boykin, D.; Perfect, J. R.: Structure-in vitro activity relationships of pentamidine analogues and dication-substituted bis-benzimidazoles as new antifungal agents. Antimicro. Agents Chemother. 42 (1998) 2495–2502.10.1128/AAC.42.10.2495Search in Google Scholar PubMed PubMed Central
10 Fei, Z.; Geldbach, T. J., Zhao, D.; Scopelliti, R.; Dyson, P. J.: Anearly planar water sheet sandwiched between strontium-imidazolium carboxylate coordination polymers. Inorg. Chem. 44 (2005) 5200–5202.10.1021/ic0504238Search in Google Scholar PubMed
11 Fei, Z.; Zhao, D.; Geldbach, T. J.; Scopelliti, R.; Dyson, P. J.; Antonijevic, S.: A synthetic zwitterionic water channel: characterisation in the solid state by X-ray crystallography and NMR spectroscopy. Angew. Chem. 117 (2005) 5866–5871.10.1002/ange.200500207Search in Google Scholar
12 Huang, L.; Chen, D. B.: Tetraaquabis(1,3-benzimidazol-3-ium-1,3-diacetato)cobalt(II) hemihydrate. Acta Crystallogr. E62 (2006) m3532–m3534.10.1107/S1600536806049920Search in Google Scholar
13 Huang, L.; Chen, D. B.: Tetraaquabis[1-(carboxylatomethyl)-1,3-benzimidazol-3-ium-3-acetato-κO]manganese(II) dihydrate. Acta Crystallogr. E62 (2006) m2872–m2874.10.1107/S1600536806040645Search in Google Scholar
14 Huang, L.; Chen, D. B.: Crystal structure of hexaaquanickel(II) bis[1-(carboxylatomethyl)-1,3-benzimidazol-3-ium-3-acetato] dihydrate. Z. Kristallogr. -NCS 223 (2008) 163–164.Search in Google Scholar
15 Wang, B. L.; Li, J. P.; Li, G.; Zhu, L.; Bao, G. L.: Synthesis, crystal structures and properties of Zn(II) and Cd(II) Complexes constructed from benzimidazolyl carboxylic acid. Synth. React. Inorg. M. 38 (2008) 750–757.10.1080/15533170802525837Search in Google Scholar
16 Huang, L.; Zhong, A. G.; Chen, D. B.; Qiu, D.; Liang, H. D.: Synthesis, structure, spectroscopic properties, and theoretical studies of alkaline earth metal complexes of 1,3-bis(carboxymethyl) benzimidazolium. J. Mol. Struct. 984 (2010) 39–50.10.1016/j.molstruc.2010.09.005Search in Google Scholar
17 Sheldrick, G. M.: A short history of SHELX. Acta Crystallogr. A64 (2008) 112–122.10.1107/S0108767307043930Search in Google Scholar PubMed
©2017 Qian Zhang et al., published by De Gruyter, Berlin/Boston
This work is licensed under the Creative Commons Attribution-NonCommercial-NoDerivatives 3.0 License.
Articles in the same Issue
- Cover and Frontmatter
- Crystal structure of 2,5-diiodo-4-nitro-1H-imidazole hemihydrate, C6H4I4N6O5
- Crystal structure of catena-poly[μ2-2,2′-(1,3-phenylene)diacetato-κ4O,O′:O′′,O′′′)-(μ2-1,6-bis(2-methyl-1H-benzo[d]imidazol-1-yl)hexane-κ2N:N′)cadmium(II)], C32H34CdN4O4
- Crystal structure of poly[aqua-(2,2′-bipyridine-κN,N′)-(μ4-5,5′-(hexane-1,6-diyl)-bis(oxy)diisophthalato κ8O1,O2:O3,O4:O5,O6:O7,O8)manganese(II)], C21H21MnN2O7
- Crystal structure of poly-[(μ2-((1,3-bis(benzimidazol-1-yl)propane-κ2N:N′)(μ2-4-tert-butyl-phthalato-κ2O:O′)cobalt(II)] monohydrate, C29H30CoN4O5
- Crystal structure of 2-amino-4-(3,4,5-trimethoxy-phenyl)-5-(oxo-5,6,7,8-tetrahydro-4H-chromene)-3-carbonitrile – ethanol (1/1), C21H26N2O6
- Crystal structure of ethyl 1-benzyl-5-phenyl-1H-pyrazole-3-carboxylate, C19H18N2O2
- Crystal structure of 2-(1-benzyl-3-phenyl-1H-pyrazol-5-yl)-5-(4-nitrobenzylthio)-1,3,4-oxadiazole, C25H19N5O3S
- Structure and photochromism of 1,2-bis[2-methyl-5-(2-chlorophenyl)-3-thienyl]-3,3,4,4,5,5-hexafluorocyclopent-1-ene, C27H16Cl2F6S2
- The crystal structure of the Schiff base (E)-2,6-diisopropyl-N-(pyridin-4-ylmethylene)aniline, C18H22N2
- Crystal structure of (E)-2,4-dibromo-6-(((4-methyl-2-nitrophenyl)imino) methyl)phenol, C10H14Br2N2O3
- Crystal structure of (bis(2,2′-bipyridine-κ2N,N′))-(3,5-dinitrosalicylato-κ2O,O′)nickel(II), C27H18N6NiO7
- Crystal structure of 1-(diethoxy phosphonomethyl) 2-benzoyl-3-chloro-2-cyclohexen-1-ol, C18H24ClO5P
- Crystal structure of tetraaqua-bis(1,3-benzimidazol-3-ium-1,3-diacetato-κO)copper(II) hemihydrate, C22H27CuN4O12.50
- Crystal structure of 1α,11-dihydroxyeremophil-9-en-8-one, C15H24O3
- Crystal structure of 1-ferrocenylsulfonyl-1H-imidazo[4,5-b]pyridine, C16H13FeN3O2S
- Crystal structure of bis(μ2-azido-κ2N:N)-dichlorido-bis(μ2-2-(pyridin-2-yl)ethan-1-ol-κ2O,N)dicopper(II), C14H18Cl2Cu2N8O2
- Crystal structure of (5,15-cis-bis(2-hydroxy-1-naphthyl)-10-phenyl-20-(4-hydroxyphenyl)-porphyrinato)-(pyridine)-zinc(ii) pyridine solvate, C67H47N7O3Zn
- Crystal structure of (μ2-[2,2′-bis(diphenylphosphino)-1,1′-binaphthalene oxide-κ2O,P])-iodido copper(I), C44H32CuIOP2
- Crystal structure of 6,8-diphenyl-2-(4-fluorophenyl)-2,3-dihydroquinolin-4(3H)-one, C27H20FNO
- Crystal structure of 5,11,17,23-tetra(tert-butyl)-25,26,27,28-tetrahexoxycalix[4]arene, C68H104O4
- Crystal structure of N,N′–bis(pyridin-4-ylmethyl)pyrazine-2,3-dicarboxamide dihydrate, C18H20N6O4
- Crystal structure of a diaqua-bis(3,5-di(1H-imidazol-1-yl)pyridine-κN)-bis(2-(4-carboxy-phenyl)acetato-κO]manganese(II), C40H36MnN10O10
- Crystal structure of 4-(4-hydroxy-3-methoxy-phenyl)-2,7,7-trimethyl-5-oxo-1,4,5,6,7,8-hexahydro-quinoline-3-carboxylic acid methyl ester, C21H25NO5
- Crystal structure of (E)-4,4′-(ethene-1,2-diyl)bis(3-nitrobenzoic acid) 1.5 hydrate, C16H13N2O9.5
- Crystal structure of (E)-2-(5-(4-fluorophenyl)-3-(furan-2-yl)-4,5-dihydro-1H-pyrazol-1-yl)-5-((4-fluorophenyl)diazenyl)-4-methylthiazole, C23H17F2N5OS
- Crystal structure of the co-crystalline adduct 4-((4,4-dimethyl-2,6-dioxocyclohexylidene)methylamino)-N-(4,6-dimethylpyrimidin-2-yl)benzenesulfonamide - acetic acid (1/1), C21H24N4O4S ⋅ C2H4O2
- Synthesis and crystal structure of 2-((5-chlorobenzo[c][1,2,5]thiadiazol-4-yl)amino)-4,5-dihydro-1H-imidazol-3-ium tetraphenylborate, C33H29BClN5S
- Crystal structure of (4-chlorophenyl)(3-ferrocenyl-5-(trifluoromethyl)-1H-pyrazol-1-yl)methanone, C21H14ClF3FeN2O
- Crystal structure of (S)-benzyl 3-(benzylcarba-moyl)-3,4-dihydroisoquinoline-2(1H)-carboxylate, C25H24N2O3
- Crystal structure of 5-acetyl-3-(3-fluoro-4-morpholinophenyl)oxazolidin-2-one, C15H17FN2O4
- Crystal structure of 2-(4-fluorophenyl)-1,3-dimethyl-1H-perimidin-3-ium iodide, C19H16FIN2
- Crystal structure of methyl 1H-indole-2-carboxylate, C10H9NO2
- Crystal structure of 2,3-diphenyl-1-[(dipropylamino)acetyl]-1,3-diazaspiro[4.5]decan-4-one, C28H37N3O2
- Crystal structure of 1-(2H-1,3-benzodioxol-5-yl)-3-(1H-imidazol-1-yl)propan-1-one, C13H12N2O3
- Crystal structure of 2,9-dibromo-1,10-phenanthroline, C12H6Br2N2
- Crystal structure of 3-(adamantan-1-yl)-4-(4-fluorophenyl)-1H-1,2,4-triazole-5(4H)-thione, C18H20FN3S
- Crystal structure of trans-bis((E)-7-oxo-4-(phenyldiazenyl)cyclohepta-1,3,5-trien-1-olato)-κ2O,O′)-bis(pyridine-κN)cobalt(II), C36H28CoN6O4
- Crystal structure of 2-(4-methyl-3-phenylthiazol-2(3H)-ylidene)malononitrile, C13H9N3S
- Crystal structure of (Z)-3-(adamantan-1-yl)-1-(3-chlorophenyl)-S-benzylisothiourea, C24H27ClN2S
- Crystal structure of chlorido{[3-(η5-cyclopenta-dienyl)-2,2,3-trimethyl-1-phenylbutylidene] azanido-κN}[η2(N,O)-N,N-dimethylhydroxylaminato]titanium(IV), C20H27ClN2OTi
- Crystal Structure of 1,1′-dimethyl-[4,4′-bipyridine]-1,1′-diium tetrachloridozincate(II), C12H14Cl4N2Zn
- Crystal structure of 5-nitro-2-(pyrrolidin-1-yl)benzaldehyde, C11H12N2O3
- Crystal structure of 2,3-diphenyl-1-(morpholin-4-ylacetyl)-1,3-diazaspiro[4.5]decan-4-one, C26H31N3O3
- Crystal structure of 3,3-dimethyl-3,4-dihydro-1H-benzo[c]chromene-1,6(2H)-dione, C15H14O3
- Crystal structure of bis(2-(2-hydroxymethyl)pyridine-κ2N,O)-bis(pivalato-κO)nickel(II), C22H32N2NiO6
- Crystal structure of (1,10-phenanthroline-κ2N,N′)-bis(1H-pyrazole-3-carboxylato-κ2N,O)manganese(II) trihydrate, C20H20N6O7Mn
- The crystal structure of 3-aminopropan-1-aminium iodide, C3H11N2I
- Crystal structure of ethyl 1-(4-chlorophenyl)-5-methyl-1H-1,2,3-triazole-4 carboxylate, C12H12ClN3O2
- Crystal structure of 4,4′-((1Z,1′Z)-2,2′-(2,5-diethoxy-1,4-phenylene)bis(ethene-2,1-diyl))dipyridine, C24H24N2O2
- Crystal structure of (16S)-12,16-epoxy-11,14-dihydroxy-17(15/16)-abeo-3a,18-cyclo-8,11,13-abietatrien-7-one, C20H24O4
- Crystal structure of aquadichlorido(2,4,6-tri-2-pyridyl-1,3,5-triazine-κ3N,N′,N′′)nickel(II) monohydrate, C18H16Cl2N6NiO2
- Crystal structure of catena-poly[dichlorido-(μ-ethane-1,2-diyl-bis-(pyridyl-4-carboxylate-κN:N′)mercury(II)], C15H14Cl2HgN2O4
- Crystal structure of methyl 2-acetamido-5-chlorbenzoate, C10H10ClNO3
- Crystal structure of tetrakis(μ2-3,3-dimethylacrylato-κ2O,O′)-bis(2-aminopyrimidine-κN) dicopper(II), C28H38Cu2N6O8
- Crystal structure of 3-amino-8-methoxy-1-phenyl-1H-benzo[f]chromene-2-carbonitrile, C21H16N2O2
- Crystal structure of 4-(2-ammonioethyl)morpholin-4-ium dichloride monohydrate, C6H18Cl2N2O2
- Crystal structure of 1-(3-((5-bromo-2-hydroxybenzylidene)amino)phenyl)ethanone O-benzyl oxime, C22H19BrN2O2
- Crystal structure of 2-(4-(dimethylamino)-2-fluorophenyl)-1,3-bis(1H-1,2,4-triazol-1-yl)propan-2-ol monohydrate, C15H20FN7O2
- Crystal structure of 4-bromo-2-(1H-pyrazol-3-yl)phenol, C9H7BrN2O
- Crystal structure of 1,2,3,4,5-pentamethyl-1,3-cyclopentadiene, C10H16
Articles in the same Issue
- Cover and Frontmatter
- Crystal structure of 2,5-diiodo-4-nitro-1H-imidazole hemihydrate, C6H4I4N6O5
- Crystal structure of catena-poly[μ2-2,2′-(1,3-phenylene)diacetato-κ4O,O′:O′′,O′′′)-(μ2-1,6-bis(2-methyl-1H-benzo[d]imidazol-1-yl)hexane-κ2N:N′)cadmium(II)], C32H34CdN4O4
- Crystal structure of poly[aqua-(2,2′-bipyridine-κN,N′)-(μ4-5,5′-(hexane-1,6-diyl)-bis(oxy)diisophthalato κ8O1,O2:O3,O4:O5,O6:O7,O8)manganese(II)], C21H21MnN2O7
- Crystal structure of poly-[(μ2-((1,3-bis(benzimidazol-1-yl)propane-κ2N:N′)(μ2-4-tert-butyl-phthalato-κ2O:O′)cobalt(II)] monohydrate, C29H30CoN4O5
- Crystal structure of 2-amino-4-(3,4,5-trimethoxy-phenyl)-5-(oxo-5,6,7,8-tetrahydro-4H-chromene)-3-carbonitrile – ethanol (1/1), C21H26N2O6
- Crystal structure of ethyl 1-benzyl-5-phenyl-1H-pyrazole-3-carboxylate, C19H18N2O2
- Crystal structure of 2-(1-benzyl-3-phenyl-1H-pyrazol-5-yl)-5-(4-nitrobenzylthio)-1,3,4-oxadiazole, C25H19N5O3S
- Structure and photochromism of 1,2-bis[2-methyl-5-(2-chlorophenyl)-3-thienyl]-3,3,4,4,5,5-hexafluorocyclopent-1-ene, C27H16Cl2F6S2
- The crystal structure of the Schiff base (E)-2,6-diisopropyl-N-(pyridin-4-ylmethylene)aniline, C18H22N2
- Crystal structure of (E)-2,4-dibromo-6-(((4-methyl-2-nitrophenyl)imino) methyl)phenol, C10H14Br2N2O3
- Crystal structure of (bis(2,2′-bipyridine-κ2N,N′))-(3,5-dinitrosalicylato-κ2O,O′)nickel(II), C27H18N6NiO7
- Crystal structure of 1-(diethoxy phosphonomethyl) 2-benzoyl-3-chloro-2-cyclohexen-1-ol, C18H24ClO5P
- Crystal structure of tetraaqua-bis(1,3-benzimidazol-3-ium-1,3-diacetato-κO)copper(II) hemihydrate, C22H27CuN4O12.50
- Crystal structure of 1α,11-dihydroxyeremophil-9-en-8-one, C15H24O3
- Crystal structure of 1-ferrocenylsulfonyl-1H-imidazo[4,5-b]pyridine, C16H13FeN3O2S
- Crystal structure of bis(μ2-azido-κ2N:N)-dichlorido-bis(μ2-2-(pyridin-2-yl)ethan-1-ol-κ2O,N)dicopper(II), C14H18Cl2Cu2N8O2
- Crystal structure of (5,15-cis-bis(2-hydroxy-1-naphthyl)-10-phenyl-20-(4-hydroxyphenyl)-porphyrinato)-(pyridine)-zinc(ii) pyridine solvate, C67H47N7O3Zn
- Crystal structure of (μ2-[2,2′-bis(diphenylphosphino)-1,1′-binaphthalene oxide-κ2O,P])-iodido copper(I), C44H32CuIOP2
- Crystal structure of 6,8-diphenyl-2-(4-fluorophenyl)-2,3-dihydroquinolin-4(3H)-one, C27H20FNO
- Crystal structure of 5,11,17,23-tetra(tert-butyl)-25,26,27,28-tetrahexoxycalix[4]arene, C68H104O4
- Crystal structure of N,N′–bis(pyridin-4-ylmethyl)pyrazine-2,3-dicarboxamide dihydrate, C18H20N6O4
- Crystal structure of a diaqua-bis(3,5-di(1H-imidazol-1-yl)pyridine-κN)-bis(2-(4-carboxy-phenyl)acetato-κO]manganese(II), C40H36MnN10O10
- Crystal structure of 4-(4-hydroxy-3-methoxy-phenyl)-2,7,7-trimethyl-5-oxo-1,4,5,6,7,8-hexahydro-quinoline-3-carboxylic acid methyl ester, C21H25NO5
- Crystal structure of (E)-4,4′-(ethene-1,2-diyl)bis(3-nitrobenzoic acid) 1.5 hydrate, C16H13N2O9.5
- Crystal structure of (E)-2-(5-(4-fluorophenyl)-3-(furan-2-yl)-4,5-dihydro-1H-pyrazol-1-yl)-5-((4-fluorophenyl)diazenyl)-4-methylthiazole, C23H17F2N5OS
- Crystal structure of the co-crystalline adduct 4-((4,4-dimethyl-2,6-dioxocyclohexylidene)methylamino)-N-(4,6-dimethylpyrimidin-2-yl)benzenesulfonamide - acetic acid (1/1), C21H24N4O4S ⋅ C2H4O2
- Synthesis and crystal structure of 2-((5-chlorobenzo[c][1,2,5]thiadiazol-4-yl)amino)-4,5-dihydro-1H-imidazol-3-ium tetraphenylborate, C33H29BClN5S
- Crystal structure of (4-chlorophenyl)(3-ferrocenyl-5-(trifluoromethyl)-1H-pyrazol-1-yl)methanone, C21H14ClF3FeN2O
- Crystal structure of (S)-benzyl 3-(benzylcarba-moyl)-3,4-dihydroisoquinoline-2(1H)-carboxylate, C25H24N2O3
- Crystal structure of 5-acetyl-3-(3-fluoro-4-morpholinophenyl)oxazolidin-2-one, C15H17FN2O4
- Crystal structure of 2-(4-fluorophenyl)-1,3-dimethyl-1H-perimidin-3-ium iodide, C19H16FIN2
- Crystal structure of methyl 1H-indole-2-carboxylate, C10H9NO2
- Crystal structure of 2,3-diphenyl-1-[(dipropylamino)acetyl]-1,3-diazaspiro[4.5]decan-4-one, C28H37N3O2
- Crystal structure of 1-(2H-1,3-benzodioxol-5-yl)-3-(1H-imidazol-1-yl)propan-1-one, C13H12N2O3
- Crystal structure of 2,9-dibromo-1,10-phenanthroline, C12H6Br2N2
- Crystal structure of 3-(adamantan-1-yl)-4-(4-fluorophenyl)-1H-1,2,4-triazole-5(4H)-thione, C18H20FN3S
- Crystal structure of trans-bis((E)-7-oxo-4-(phenyldiazenyl)cyclohepta-1,3,5-trien-1-olato)-κ2O,O′)-bis(pyridine-κN)cobalt(II), C36H28CoN6O4
- Crystal structure of 2-(4-methyl-3-phenylthiazol-2(3H)-ylidene)malononitrile, C13H9N3S
- Crystal structure of (Z)-3-(adamantan-1-yl)-1-(3-chlorophenyl)-S-benzylisothiourea, C24H27ClN2S
- Crystal structure of chlorido{[3-(η5-cyclopenta-dienyl)-2,2,3-trimethyl-1-phenylbutylidene] azanido-κN}[η2(N,O)-N,N-dimethylhydroxylaminato]titanium(IV), C20H27ClN2OTi
- Crystal Structure of 1,1′-dimethyl-[4,4′-bipyridine]-1,1′-diium tetrachloridozincate(II), C12H14Cl4N2Zn
- Crystal structure of 5-nitro-2-(pyrrolidin-1-yl)benzaldehyde, C11H12N2O3
- Crystal structure of 2,3-diphenyl-1-(morpholin-4-ylacetyl)-1,3-diazaspiro[4.5]decan-4-one, C26H31N3O3
- Crystal structure of 3,3-dimethyl-3,4-dihydro-1H-benzo[c]chromene-1,6(2H)-dione, C15H14O3
- Crystal structure of bis(2-(2-hydroxymethyl)pyridine-κ2N,O)-bis(pivalato-κO)nickel(II), C22H32N2NiO6
- Crystal structure of (1,10-phenanthroline-κ2N,N′)-bis(1H-pyrazole-3-carboxylato-κ2N,O)manganese(II) trihydrate, C20H20N6O7Mn
- The crystal structure of 3-aminopropan-1-aminium iodide, C3H11N2I
- Crystal structure of ethyl 1-(4-chlorophenyl)-5-methyl-1H-1,2,3-triazole-4 carboxylate, C12H12ClN3O2
- Crystal structure of 4,4′-((1Z,1′Z)-2,2′-(2,5-diethoxy-1,4-phenylene)bis(ethene-2,1-diyl))dipyridine, C24H24N2O2
- Crystal structure of (16S)-12,16-epoxy-11,14-dihydroxy-17(15/16)-abeo-3a,18-cyclo-8,11,13-abietatrien-7-one, C20H24O4
- Crystal structure of aquadichlorido(2,4,6-tri-2-pyridyl-1,3,5-triazine-κ3N,N′,N′′)nickel(II) monohydrate, C18H16Cl2N6NiO2
- Crystal structure of catena-poly[dichlorido-(μ-ethane-1,2-diyl-bis-(pyridyl-4-carboxylate-κN:N′)mercury(II)], C15H14Cl2HgN2O4
- Crystal structure of methyl 2-acetamido-5-chlorbenzoate, C10H10ClNO3
- Crystal structure of tetrakis(μ2-3,3-dimethylacrylato-κ2O,O′)-bis(2-aminopyrimidine-κN) dicopper(II), C28H38Cu2N6O8
- Crystal structure of 3-amino-8-methoxy-1-phenyl-1H-benzo[f]chromene-2-carbonitrile, C21H16N2O2
- Crystal structure of 4-(2-ammonioethyl)morpholin-4-ium dichloride monohydrate, C6H18Cl2N2O2
- Crystal structure of 1-(3-((5-bromo-2-hydroxybenzylidene)amino)phenyl)ethanone O-benzyl oxime, C22H19BrN2O2
- Crystal structure of 2-(4-(dimethylamino)-2-fluorophenyl)-1,3-bis(1H-1,2,4-triazol-1-yl)propan-2-ol monohydrate, C15H20FN7O2
- Crystal structure of 4-bromo-2-(1H-pyrazol-3-yl)phenol, C9H7BrN2O
- Crystal structure of 1,2,3,4,5-pentamethyl-1,3-cyclopentadiene, C10H16