Home Physical Sciences Crystal structure of 4-(4-hydroxy-3-methoxy-phenyl)-2,7,7-trimethyl-5-oxo-1,4,5,6,7,8-hexahydro-quinoline-3-carboxylic acid methyl ester, C21H25NO5
Article Open Access

Crystal structure of 4-(4-hydroxy-3-methoxy-phenyl)-2,7,7-trimethyl-5-oxo-1,4,5,6,7,8-hexahydro-quinoline-3-carboxylic acid methyl ester, C21H25NO5

  • Wen-Jing Hao EMAIL logo , Xiao-Yan Xu , Dai-Zun Zhang and Rui Han
Published/Copyright: April 1, 2017

Abstract

C21H25NO5, monoclinic, P21/n (no. 14) a = 10.4501(19) Å, b = 15.750(3) Å, c = 12.043(2) Å, β = 102.625(3)°, V = 1934.3(6) Å3, Z = 4, Rgt(F) = 0.0406, wRref(F2) = 0.1177, T = 296(2) K.

CCDC no.:: 1538499

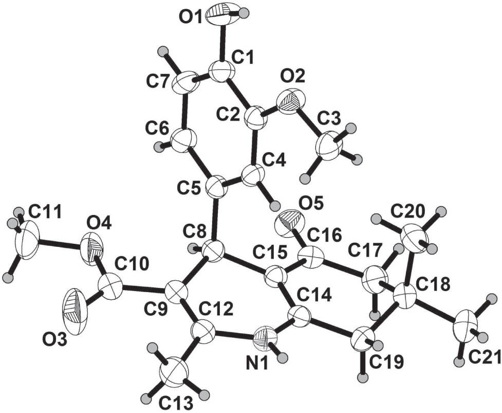
The crystal structure is shown in the figure. Tables 1 and 2 contain details on crystal structure and measurement conditions and a list of the atoms including atomic coordinates and displacement parameters.

Table 1

Data collection and handling.

Crystal:Yellow block
Size:0.39 × 0.35 × 0.27 mm
Wavelength:Mo Kα radiation (0.71073 Å)
μ:8.70.9 cm−1
Diffractometer, scan mode:Bruker APEX-II, φ and ω
2θmax, completeness:50°, >99%
N(hkl)measured, N(hkl)unique, Rint:9762, 3406, 0.019
Criterion for Iobs, N(hkl)gt:Iobs > 2 σ(Iobs), 2764
N(param)refined:249
Programs:Bruker programs [6], SHELX [7]
Table 2

Fractional atomic coordinates and isotropic or equivalent isotropic displacement parameters (Å2).

AtomxyzUiso*/Ueq
C10.60107(15)0.17023(10)0.86364(14)0.0370(4)
C20.71576(15)0.20068(9)0.93346(12)0.0328(3)
C30.81016(17)0.27566(12)1.10414(15)0.0463(4)
H3A0.78480.30041.16900.069*
H3B0.87470.23241.12910.069*
H3C0.84640.31881.06380.069*
C40.83370(14)0.19122(9)0.90157(13)0.0328(3)
H4A0.91020.21100.94920.039*
C50.84017(14)0.15249(9)0.79909(13)0.0315(3)
C60.72555(15)0.12342(10)0.73030(13)0.0382(4)
H6A0.72790.09770.66130.046*
C70.60700(15)0.13201(11)0.76252(14)0.0420(4)
H7A0.53060.11170.71520.050*
C80.97209(14)0.14147(9)0.76621(13)0.0319(3)
H8A0.95550.12490.68590.038*
C91.05293(15)0.07186(9)0.83628(13)0.0354(4)
C101.01773(17)−0.01669(11)0.80771(17)0.0468(4)
C110.8835(3)−0.10788(14)0.6768(3)0.0973(10)
H11A0.8176−0.10530.60750.146*
H11B0.9570−0.14020.66440.146*
H11C0.8478−0.13460.73500.146*
C121.15156(15)0.09033(10)0.92517(14)0.0370(4)
C131.23373(19)0.03010(12)1.00703(18)0.0573(5)
H13A1.29660.06151.06170.086*
H13B1.1785−0.00201.04560.086*
H13C1.2788−0.00790.96630.086*
C141.14633(14)0.23790(9)0.87189(12)0.0309(3)
C151.04808(14)0.22405(9)0.77986(12)0.0304(3)
C161.01231(14)0.28970(10)0.69647(13)0.0340(4)
C171.08227(17)0.37406(10)0.71625(14)0.0422(4)
H17A1.02230.41840.68170.051*
H17B1.15510.37360.67820.051*
C181.13435(16)0.39564(10)0.84131(14)0.0390(4)
C191.21672(15)0.32064(10)0.89541(14)0.0386(4)
H19A1.29650.31840.86670.046*
H19B1.24150.32930.97700.046*
C201.02024(19)0.41084(12)0.89935(17)0.0518(5)
H20A0.96930.45830.86430.078*
H20B0.96590.36110.89170.078*
H20C1.05380.42270.97860.078*
C211.2197(2)0.47474(11)0.85252(19)0.0583(5)
H21A1.16780.52210.81840.088*
H21B1.25470.48640.93160.088*
H21C1.29040.46570.81470.088*
H10.492(2)0.1972(16)0.962(2)0.086(8)*
N11.18819(12)0.17428(8)0.94737(11)0.0366(3)
H1A1.23940.18661.01150.044*
O10.48243(11)0.17834(9)0.89232(12)0.0548(4)
O20.69880(10)0.23930(8)1.03121(9)0.0440(3)
O31.06367(19)−0.07877(9)0.85780(15)0.0899(6)
O40.92575(14)−0.02315(8)0.71204(14)0.0700(5)
O50.92788(11)0.27803(8)0.60840(9)0.0458(3)

Source of material

The title compound was synthesized according to a reported procedure [5]. A mixture of 5,5-dimethyl-cyclohexane-1,3-dione (10 mmol), 3-methoxy-4-hydroxy-benzaldehyde (10 mmol), and 3-amino-2-butenoic acid methyl ester (10 mmol) in ethanol (100 mL) was refluxed for 2–3 h and then cooled to room temperature. After filtering the precipitates, they were sequentially washed with ice-cooled water and ethanol and then dried under a vacuum.

Experimental details

Hydrogen atoms were placed in calculated positions and were included in the refinement in the riding model approximation, with Uiso(H) set to 1.2Ueq(C, N) and 1.5Ueq for methyl groups.

Discussion

Several derivatives of 4-arylpolyhydroquinoline are endowed with different types of biological activities [1]. It has been reported that some 4-arylpolyhydroquinoline derivatives exhibit antimicrobial activity, growth stimulating effects, antifungal and plant growth regulation effects, antitumor activity, central nervous system (CNS) activity and hypotensive effect [2, 3] . Moreover, some 4-arylpolyhydroquinoline derivatives are well known for antihistaminic activity, platelet anti-aggregating activity and local anaesthetic activity, antiallergenic effect, antidepressant effect and as antiproliferation agents [4].

In the crystal structure of the title compound, the six-membered ring containing nitrogen atom shows a folding angle of 21.5° between the planes intersecting C9-C12-N1-C14-C15 and C12 -N1C14. The folding of the adjacent hexenone moiety shows a folding angle of 47° between the enone moiety (C17-C16-C15-C14-C19) and the aliphatic part (C19-C18-C17) of the ring (cf. see the figure). All geometric parameters are in the expected ranges.

References

1 Razavipour, S. T.; Behnammorshedi, M.; Razavipour, R.; Ajdary, M.: The toxic effect of nickel nanoparticles on oxidative stress and inflammatory markers. Biomed. Res. 26 (2015) 370–374.Search in Google Scholar

2 Wang, Y.; Ba, Y.: Studies on the chemical constituents of Radix astragali and their inhibitory effect on HepG2 proliferation. Biomed. Res. 26 (2015) 393–398.Search in Google Scholar

3 Wang, X.K.; Li, P.-W.; Yan, B.; Wang, B.-J.: 1,4-Dihydropyridine derivatives: synthesis and anti-hepatoma cancer activity. Lat. Am. J. Pharm. 35 (2016) 1692–1695.10.15199/62.2017.4.34Search in Google Scholar

4 Gündüz, M. G.; Celebi, S.; Kaygisiz, B.; Sim sek, R.; Erol, K.; Safak, C.: 7-Substituted hexahydroquinoline derivatives and their calcium channel modulator effects. Lat. Am. J. Pharm. 28 (2009) 922–926.Search in Google Scholar

5 Kahsai, A. W.; Cui, J.; Kaniskan, H.Ü.; Garner, P. P.; Fenteany, G.: Analogs of tetrahydroisoquinoline natural products that inhibit cell migration and target galectin-3 outside of its carbohydrate-binding site. J. Biol. Chem. 283 (2008) 24534–24545.10.1074/jbc.M800006200Search in Google Scholar PubMed PubMed Central

6 Bruker. APEX2, SAINT and SADABS. Brucker AXS Inc., Madison, Wisconsin, USA, (2009).Search in Google Scholar

7 Sheldrick, G. M.: A short history of SHELX. Acta Crystallogr. A64 (2008) 112–122.10.1107/S0108767307043930Search in Google Scholar PubMed

Received: 2016-10-2
Accepted: 2017-3-16
Published Online: 2017-4-1
Published in Print: 2017-5-24

©2017 Wen-Jing Hao et al., published by De Gruyter, Berlin/Boston

This work is licensed under the Creative Commons Attribution-NonCommercial-NoDerivatives 3.0 License.

Articles in the same Issue

  1. Cover and Frontmatter
  2. Crystal structure of 2,5-diiodo-4-nitro-1H-imidazole hemihydrate, C6H4I4N6O5
  3. Crystal structure of catena-poly[μ2-2,2′-(1,3-phenylene)diacetato-κ4O,O′:O′′,O′′′)-(μ2-1,6-bis(2-methyl-1H-benzo[d]imidazol-1-yl)hexane-κ2N:N′)cadmium(II)], C32H34CdN4O4
  4. Crystal structure of poly[aqua-(2,2′-bipyridine-κN,N′)-(μ4-5,5′-(hexane-1,6-diyl)-bis(oxy)diisophthalato κ8O1,O2:O3,O4:O5,O6:O7,O8)manganese(II)], C21H21MnN2O7
  5. Crystal structure of poly-[(μ2-((1,3-bis(benzimidazol-1-yl)propane-κ2N:N′)(μ2-4-tert-butyl-phthalato-κ2O:O′)cobalt(II)] monohydrate, C29H30CoN4O5
  6. Crystal structure of 2-amino-4-(3,4,5-trimethoxy-phenyl)-5-(oxo-5,6,7,8-tetrahydro-4H-chromene)-3-carbonitrile – ethanol (1/1), C21H26N2O6
  7. Crystal structure of ethyl 1-benzyl-5-phenyl-1H-pyrazole-3-carboxylate, C19H18N2O2
  8. Crystal structure of 2-(1-benzyl-3-phenyl-1H-pyrazol-5-yl)-5-(4-nitrobenzylthio)-1,3,4-oxadiazole, C25H19N5O3S
  9. Structure and photochromism of 1,2-bis[2-methyl-5-(2-chlorophenyl)-3-thienyl]-3,3,4,4,5,5-hexafluorocyclopent-1-ene, C27H16Cl2F6S2
  10. The crystal structure of the Schiff base (E)-2,6-diisopropyl-N-(pyridin-4-ylmethylene)aniline, C18H22N2
  11. Crystal structure of (E)-2,4-dibromo-6-(((4-methyl-2-nitrophenyl)imino) methyl)phenol, C10H14Br2N2O3
  12. Crystal structure of (bis(2,2′-bipyridine-κ2N,N′))-(3,5-dinitrosalicylato-κ2O,O′)nickel(II), C27H18N6NiO7
  13. Crystal structure of 1-(diethoxy phosphonomethyl) 2-benzoyl-3-chloro-2-cyclohexen-1-ol, C18H24ClO5P
  14. Crystal structure of tetraaqua-bis(1,3-benzimidazol-3-ium-1,3-diacetato-κO)copper(II) hemihydrate, C22H27CuN4O12.50
  15. Crystal structure of 1α,11-dihydroxyeremophil-9-en-8-one, C15H24O3
  16. Crystal structure of 1-ferrocenylsulfonyl-1H-imidazo[4,5-b]pyridine, C16H13FeN3O2S
  17. Crystal structure of bis(μ2-azido-κ2N:N)-dichlorido-bis(μ2-2-(pyridin-2-yl)ethan-1-ol-κ2O,N)dicopper(II), C14H18Cl2Cu2N8O2
  18. Crystal structure of (5,15-cis-bis(2-hydroxy-1-naphthyl)-10-phenyl-20-(4-hydroxyphenyl)-porphyrinato)-(pyridine)-zinc(ii) pyridine solvate, C67H47N7O3Zn
  19. Crystal structure of (μ2-[2,2′-bis(diphenylphosphino)-1,1′-binaphthalene oxide-κ2O,P])-iodido copper(I), C44H32CuIOP2
  20. Crystal structure of 6,8-diphenyl-2-(4-fluorophenyl)-2,3-dihydroquinolin-4(3H)-one, C27H20FNO
  21. Crystal structure of 5,11,17,23-tetra(tert-butyl)-25,26,27,28-tetrahexoxycalix[4]arene, C68H104O4
  22. Crystal structure of N,N′–bis(pyridin-4-ylmethyl)pyrazine-2,3-dicarboxamide dihydrate, C18H20N6O4
  23. Crystal structure of a diaqua-bis(3,5-di(1H-imidazol-1-yl)pyridine-κN)-bis(2-(4-carboxy-phenyl)acetato-κO]manganese(II), C40H36MnN10O10
  24. Crystal structure of 4-(4-hydroxy-3-methoxy-phenyl)-2,7,7-trimethyl-5-oxo-1,4,5,6,7,8-hexahydro-quinoline-3-carboxylic acid methyl ester, C21H25NO5
  25. Crystal structure of (E)-4,4′-(ethene-1,2-diyl)bis(3-nitrobenzoic acid) 1.5 hydrate, C16H13N2O9.5
  26. Crystal structure of (E)-2-(5-(4-fluorophenyl)-3-(furan-2-yl)-4,5-dihydro-1H-pyrazol-1-yl)-5-((4-fluorophenyl)diazenyl)-4-methylthiazole, C23H17F2N5OS
  27. Crystal structure of the co-crystalline adduct 4-((4,4-dimethyl-2,6-dioxocyclohexylidene)methylamino)-N-(4,6-dimethylpyrimidin-2-yl)benzenesulfonamide - acetic acid (1/1), C21H24N4O4S ⋅ C2H4O2
  28. Synthesis and crystal structure of 2-((5-chlorobenzo[c][1,2,5]thiadiazol-4-yl)amino)-4,5-dihydro-1H-imidazol-3-ium tetraphenylborate, C33H29BClN5S
  29. Crystal structure of (4-chlorophenyl)(3-ferrocenyl-5-(trifluoromethyl)-1H-pyrazol-1-yl)methanone, C21H14ClF3FeN2O
  30. Crystal structure of (S)-benzyl 3-(benzylcarba-moyl)-3,4-dihydroisoquinoline-2(1H)-carboxylate, C25H24N2O3
  31. Crystal structure of 5-acetyl-3-(3-fluoro-4-morpholinophenyl)oxazolidin-2-one, C15H17FN2O4
  32. Crystal structure of 2-(4-fluorophenyl)-1,3-dimethyl-1H-perimidin-3-ium iodide, C19H16FIN2
  33. Crystal structure of methyl 1H-indole-2-carboxylate, C10H9NO2
  34. Crystal structure of 2,3-diphenyl-1-[(dipropylamino)acetyl]-1,3-diazaspiro[4.5]decan-4-one, C28H37N3O2
  35. Crystal structure of 1-(2H-1,3-benzodioxol-5-yl)-3-(1H-imidazol-1-yl)propan-1-one, C13H12N2O3
  36. Crystal structure of 2,9-dibromo-1,10-phenanthroline, C12H6Br2N2
  37. Crystal structure of 3-(adamantan-1-yl)-4-(4-fluorophenyl)-1H-1,2,4-triazole-5(4H)-thione, C18H20FN3S
  38. Crystal structure of trans-bis((E)-7-oxo-4-(phenyldiazenyl)cyclohepta-1,3,5-trien-1-olato)-κ2O,O′)-bis(pyridine-κN)cobalt(II), C36H28CoN6O4
  39. Crystal structure of 2-(4-methyl-3-phenylthiazol-2(3H)-ylidene)malononitrile, C13H9N3S
  40. Crystal structure of (Z)-3-(adamantan-1-yl)-1-(3-chlorophenyl)-S-benzylisothiourea, C24H27ClN2S
  41. Crystal structure of chlorido{[3-(η5-cyclopenta-dienyl)-2,2,3-trimethyl-1-phenylbutylidene] azanido-κN}[η2(N,O)-N,N-dimethylhydroxylaminato]titanium(IV), C20H27ClN2OTi
  42. Crystal Structure of 1,1′-dimethyl-[4,4′-bipyridine]-1,1′-diium tetrachloridozincate(II), C12H14Cl4N2Zn
  43. Crystal structure of 5-nitro-2-(pyrrolidin-1-yl)benzaldehyde, C11H12N2O3
  44. Crystal structure of 2,3-diphenyl-1-(morpholin-4-ylacetyl)-1,3-diazaspiro[4.5]decan-4-one, C26H31N3O3
  45. Crystal structure of 3,3-dimethyl-3,4-dihydro-1H-benzo[c]chromene-1,6(2H)-dione, C15H14O3
  46. Crystal structure of bis(2-(2-hydroxymethyl)pyridine-κ2N,O)-bis(pivalato-κO)nickel(II), C22H32N2NiO6
  47. Crystal structure of (1,10-phenanthroline-κ2N,N′)-bis(1H-pyrazole-3-carboxylato-κ2N,O)manganese(II) trihydrate, C20H20N6O7Mn
  48. The crystal structure of 3-aminopropan-1-aminium iodide, C3H11N2I
  49. Crystal structure of ethyl 1-(4-chlorophenyl)-5-methyl-1H-1,2,3-triazole-4 carboxylate, C12H12ClN3O2
  50. Crystal structure of 4,4′-((1Z,1′Z)-2,2′-(2,5-diethoxy-1,4-phenylene)bis(ethene-2,1-diyl))dipyridine, C24H24N2O2
  51. Crystal structure of (16S)-12,16-epoxy-11,14-dihydroxy-17(15/16)-abeo-3a,18-cyclo-8,11,13-abietatrien-7-one, C20H24O4
  52. Crystal structure of aquadichlorido(2,4,6-tri-2-pyridyl-1,3,5-triazine-κ3N,N′,N′′)nickel(II) monohydrate, C18H16Cl2N6NiO2
  53. Crystal structure of catena-poly[dichlorido-(μ-ethane-1,2-diyl-bis-(pyridyl-4-carboxylate-κN:N′)mercury(II)], C15H14Cl2HgN2O4
  54. Crystal structure of methyl 2-acetamido-5-chlorbenzoate, C10H10ClNO3
  55. Crystal structure of tetrakis(μ2-3,3-dimethylacrylato-κ2O,O′)-bis(2-aminopyrimidine-κN) dicopper(II), C28H38Cu2N6O8
  56. Crystal structure of 3-amino-8-methoxy-1-phenyl-1H-benzo[f]chromene-2-carbonitrile, C21H16N2O2
  57. Crystal structure of 4-(2-ammonioethyl)morpholin-4-ium dichloride monohydrate, C6H18Cl2N2O2
  58. Crystal structure of 1-(3-((5-bromo-2-hydroxybenzylidene)amino)phenyl)ethanone O-benzyl oxime, C22H19BrN2O2
  59. Crystal structure of 2-(4-(dimethylamino)-2-fluorophenyl)-1,3-bis(1H-1,2,4-triazol-1-yl)propan-2-ol monohydrate, C15H20FN7O2
  60. Crystal structure of 4-bromo-2-(1H-pyrazol-3-yl)phenol, C9H7BrN2O
  61. Crystal structure of 1,2,3,4,5-pentamethyl-1,3-cyclopentadiene, C10H16
Downloaded on 18.1.2026 from https://www.degruyterbrill.com/document/doi/10.1515/ncrs-2016-0291/html
Scroll to top button