Home A new view of relationship between atomic posets and complete (algebraic) lattices
Article Open Access

A new view of relationship between atomic posets and complete (algebraic) lattices

  • Bin Yu , Qingguo Li EMAIL logo and Huanrong Wu
Published/Copyright: March 19, 2017

Abstract

In the context of the atomic poset, we propose several new methods of constructing the complete lattice and the algebraic lattice, and the mutual decision of relationship between atomic posets and complete lattices (algebraic lattices) is studied.

MSC 2010: 20N20; 20N25; 03E72

1 Introduction

Order theory can formally be seen as a subject between lattice theory [2325, 34, 48] and graph theory [6, 22, 36]. Indeed, one can say with good reason that lattices are special types of ordered sets, which are in turn special types of directed graphs. Yet this would be much too simplistic an approach. In each theory the distinct strengths and weaknesses of the given structure can be explored. This leads to general as well as discipline specific questions and results. Of the three research areas mentioned, order theory undoubtedly is the youngest. In recent years, as order and partial ordered set theory were widely applied in the combinatorics [1, 9, 13, 37, 43], fuzzy mathematics [7, 32, 40, 42, 44], computer science [2, 39], and even in the social science [14, 15] etc.

A poset consists of a set together with a binary relation that indicates that, for certain pairs of elements in the set, one of the elements precedes the other. Such a relation is called a partial order to reflect the fact that not every pair of elements needs to be related: for some pairs, it may be that neither element precedes the other in the poset. Thus, partial orders generalize the more familiar total orders, in which every pair is related. A finite poset can be visualized through its Hasse diagram (discrete graphs), which depicts the ordering relation [35]. This area of order theory was investigated in a series of papers by Erné [16, 18] and independently by Chajda, Halaš, Larmerová, Rachånek, Niederle [8, 2629, 31], and later by Joshi, Kharat, Mokbel, Mundlik, Waphare [33, 45, 46] and many others. In [19], they are mainly interested in ideal-theoretic properties and various degrees of (finite or infinite) distributivity in atomic posets. However, we are more interested in atoms of atomic posets. And it is conceivable that the role of the atomic elements is very important (each element in the boolean lattice can be expressed by atomic elements i.e. a = ⋁{x ∈ 𝒜(B)|xa}) in the Boolean lattice [11]. Similarly, atoms in atomic posets also deserve a keen attention.

In this paper, we stress the importance of the two kinds of operators (C-operator and D-operator) in the study of the theoretical aspect of atomic posets. Specifically, we first define two relation operators (C-operator and D-operator) between the non-atomic element and the atomic element, and get series of related properties. Almost immediately, two kinds of operators above are combined to construct complete (algebraic) lattices, and used to study the relation between atomic posets and complete (algebraic) lattices.

The work of this paper is organized as follows. We shall first briefly introduce poset and related concepts. In Section 3, two kinds of operators above are combined to construct complete lattices, and used to study the relation between atomic posets and complete lattices. In Section 4, two kinds of operators above are combined to construct algebraic lattices, and used to study the relation between atomic posets and algebraic lattices.

2 Preliminaries

By a partial order on set P we mean a binary relation ≤ on P which is reflexive, antisymmetric and transitive, and by a partially ordered set we mean a non-empty set P together with a partial ≤ on P. Less familiar is the symbol ∥ used to denote non-comparability: we write xy if xy and yx. We say P has a bottom element if there exist 0 ∈ P (called bottom) with the property that 0 ≤ x for all xP. An element xP is an upper bound of S if sx for all sL. A lower bound is defined dually. The set of all upper bounds of L is denoted by Su (read as “L upper”) and the set of all lower bounds by Ll (read as “L lower”).

Throughout this article, 0 denotes the least element in a poset.

Definition 2.1 ([11])

Let P be an ordered set and x, yP. We say x is covered by y (y covers x), and write xy or yx, if x < y and xz < y implies z = x. The latter condition is demanding that there is no element z of P with x < z < y.

Observe that if P is finite, x < y if and only if there exist a finite sequence of covering relations x = x0x1 ≺ … ≺ xn = y. Thus, in the finite case, the order relation determines, and is determined by the covering relation.

Definition 2.2 ([25])

A subset D of a poset P is directed provided it is nonempty and every finite subset of D has an upper bound in D.

Definition 2.3 ([4, 11])

Let P be a non-empty ordered set.

  1. If xy and xy exist for all x, yP, then P is called a lattice;

  2. IfS andS exist for all SP, then P is called a complete lattice.

Definition 2.4 ([24])

Let P and Q be ordered sets. A map φ : PQ is said to be

  1. order-preserving if if xy in P implies φ(x) ≤, φ(y) in Q;

  2. order-embedding (and we write φ : PQ) if xy in P if and only if φ(x) ≤ φ(y) in Q;

  3. order-isomorphism if φ is onto and xy in P if and only if φ(x) ≤ φ(y) in Q.

Definition 2.5 ([24])

Let L and K be lattices. A map f : LK is said to be a lattice homomorphism if f is join-preserving and meet-preserving, that is, for all a, bL,

f(ab)=f(a)f(b)andf(ab)=f(a)f(b).

A bijective lattice homomorphism is a lattice isomorphism.

Proposition 2.6 ([11])

Let L and K be lattices and f : LK is a map. f is a lattice isomorphism if and only if it is an order-isomorphism.

Lemma 2.7 ([11])

Let X be a set andbe a family of subsets of X, ordered by inclusion, such that

  1. iIL for every non-empty family {Ai}iI ⊆ ℒ, and

  2. X ∈ ℒ.

    That is to say thatis a topped intersection structure on X. Thenis a complete lattice in which

    iIAi=iIAi,iIAi={BL|iIAiB}.

Lemma 2.8 ([11])

Let P and Q be ordered sets and φ : PQ be an order-isomorphism map. Then φ preserves all existing joins and meets.

Definition 2.9 ([11])

Let L be a complete lattice and let kL.

  1. k is called finite (in L), for every directed set D in L,

    kDkdforsomedD.

    The set of finite elements of L is denoted F(L)

  2. k is said to be compact if, for every subset S of L,

    kSkTforsomefinitesubsetTofS.

    The set of compact elements of L is denoted K(L).

Lemma 2.10 ([11])

Let L be a complete lattice. Then F(L) = K(L)

Definition 2.11 ([11])

A complete lattice L is said to be algebraic if, for each aL,

a={kK(L)|ka}.

Definition 2.12 ([20])

A poset is said to be directed complete if every directed subset has a sup. A directed complete algebraic poset L is called an algebraic domain.

Definition 2.13 ([19])

Let P be a poset. If P has a least element 0, then xP is called an atom if 0 ≺ x. If P has no least element, then xP is called an atom when x is a minimal element in P.

All finite posets are atomic. The set of atoms of P is denoted by 𝒜(P) and let 𝒜0(P) = 𝒜(P) ∪ {0} and P0 = P\𝒜0(P). The poset P is called atomic if, given a(≠ 0) in P, there exists x ∈ 𝒜(P) such that xa.

In atomic posets, according to the relationship between the non-atomic element and the atomic element, We define the relation operator naturally, called C-operator and D-operator.

Definition 2.14

Let P be an atomic poset.

  1. (C-operator) ∀aP0, denote Ca = {x ∈ 𝒜(P)|xa};

  2. (D-operator) ∀b ∈ 𝒜(P), denote Db = {xP0|bx}.

C-operator and D-operator can be viewed as operators between 𝒜(P) and P0. Naturally, we can define CA = aACa for any AP0, and DB = bBDb for any BP0. Then we can define two kinds of operators between 𝒜(P) and P0 via Ca and Db.

Based on C-operators and D-operators, we generate several new relational operators as follows:

Definition 2.15

Let P be an atomic poset.

  1. (Co-operator) ∀ AP0, denote CAO={xA(P)|DxA};

  2. (Do-operator) ∀ B ⊆ 𝒜(P), denote DBo={xP0|CxB};

  3. (C¯ -operator) ∀ AP0, denote C¯A={xA(P)|ADx};

  4. (D¯ -operator) ∀ B ⊆ 𝒜(P), denote D¯B={xP0|BCx}.

It is obvious that C¯A=aACa,D¯B=bBDb. In Definition 2.14 and 2.15, these operators are very reasonable.

Then, we study some properties of several operators.

Proposition 2.16

Let P be an atomic poset. A, AiP0, B, Bi ⊆ 𝒜(P), for iI, a, bP0, c ∈ 𝒜(P). Then

  1. abCaCb;

  2. A1A2CA1CA2, B1B2DB1DB2;

  3. A1A2 CA1oCA2,oB1B2DB1oDB2o;

  4. A1A2 C¯A1C¯A2,B1B2D¯B1D¯B2;

  5. aD¯Ca,cC¯Dc,AD¯C¯A,BC¯D¯B;

  6. ADCAo,CDBoB;

  7. C¯A=C¯D¯C¯A,D¯B=D¯C¯D¯B;

  8. DCDBo=DBo,CDCAo=CA;

  9. C¯iIAi=iIC¯Ai,D¯iIBi=iID¯Bi;

  10. AD¯BC¯AB.

Proof

We consider cases of (6), (7), (8), (10), and the other proofs are similar.

(6)

  1. DCAo={xP0|CxCA}. If aA, then there must be CxCA.SoaDCAo and therefore ADCAo.

  2. DBo={xP0|CxB},CDBo=xDBoCx.IfbCDBo, then there exists x0DBo such that bCx0B. So bB and therefore CDBB.

(7) Since AD¯C¯A,thenC¯AC¯D¯C¯A. Since BC¯D¯B,thenC¯AC¯D¯C¯A. Therefore C¯A=C¯D¯C¯A.

(8) Since CDBB,thenDCDBOoDBo. Since DCAoA,thenDCDBOoDBo. Therefore DCDBOo=DBo.

(10) (⇒) Since AD¯B={xP0|BCx}, then ∀aA, BCa and so BaACa=C¯A.

(⇐) Since BC¯A={xA(P)|ADx}, then ∀ bB, ADb and so AbBDb=D¯B.  □

3 Constructing complete lattices and mutual decision

The construction of complete lattice [11, 12, 17, 30, 38, 49] is very essential branch in the research of various order structures. In 3.1 and 3.2, several operators (CA,C¯A,D¯BandDBo) are worked on atomic posets, and then a complete lattice is generated. Subsequently, we find that complete lattices and posets are mutually corresponding. Thus, in the theoretical study of posets, we can see the crucial role of the content of this section.

3.1 Complete lattices via (C¯A,D¯B,=)

Let P be an atomic poset. A pair (A, B) satisfies AP0,BA(P),C¯A={xA(P)|ADx}=B and D¯B={aP0|BCx}=A. This implies A=D¯C¯A,B=C¯D¯B. The set of all those pairs of P is denoted by ℬ(P).

For pairs (A1, B1) and (A2, B2) in ℬ(P) we write (A1, B1) ≤ (A2, B2) if A1A2. Also A1A2 implies C¯A1C¯A2, and the reverse implication is also valid, so A1=D¯C¯A1andA2=D¯C¯A2. We therefore have

(A1,B1)(A2,B2)A1A2B1B2.

We can then see easily that the relation ≤ is an order on ℬ(P) . As we can see in Theorem 3.1, < ℬ(P); ≤ > is a complete lattice.

Theorem 3.1

Let P be an atomic poset. Then < ℬ(P); ≤ > is a complete lattice in which join and meet are given by

iI(Ai,Bi)=(D¯iIC¯Ai,iIBi)iI(Ai,Bi)=(iIAi,C¯iID¯Bi).

Proof

Define B(P0):={AP0|A=D¯C¯A}. The map μ : (A, B) → A gives an order-isomorphism between ℬ(P) and ℬ(P0).

We shall prove that ℬ(P0) is a topped intersection structure. Let Ai ∈ ℬ(P0) for iI. Then D¯C¯Ai=Ai for each i. By (5) in Proposition 2.16

iIAiD¯c¯iIAi

Also iIAiAi for all iI, which, by (4) in Proposition 2.16, implies that

D¯c¯iIAiD¯C¯Ai=AiforalliI,

whence

D¯c¯iIAiiIAi.

Therefore D¯c¯iIAi=iIAi and hence iIAjB(P0).Also,P0D¯C¯PO. So that P0=D¯C¯P0, which shows that ℬ(P0) is topped.

By Theorem 2.7, ℬ(P0) is a complete lattice in which meet is given by intersection. A formula for the join is given in Theorem 2.7 but we shall proceed more directly. We claim that

iIAi=D¯c¯iIAi=D¯iIC¯Ai.

Let A=D¯iIC¯Ai. Certainly A=D¯C¯A, by (7) in Proposition 2.16, and iIAiA, by (2) in Proposition 2.16. Hence A is an upper bound for {Ai}iI in ℬ(P0). Also, if X is an upper bound in ℬ(P0) for {Ai}iI, then

iIAiXAD¯C¯X=X.

Therefore A is indeed the required join. We may now appeal to Theorem 2.8 to deduce that ℬ(P) is a complete lattice in which joins and meets are given by

iI(Ai,Bi)=(D¯iIC¯Ai,iIBi)iI(Ai,Bi)=(iIAi,C¯iID¯Bi) . 

 □

Theorem 3.2

Let P be an atomic poset and ℬ(P) be the complete lattice by Theorem 3.1 Then φ(P0) is join-dense in ℬ(P) and φ(𝒜(P)) is meet-dense in ℬ(P).

Proof

Let (A, B) ∈ ℬ(P). Then

φ(A)=gAφ(g)=gA(D¯Cg,Cg)=(D¯gAC¯D¯C¯g,gACg)=(D¯gACg,gACg)

However, according to Definition 2.15

gACg=C¯gA{g}=C¯A=B.

Since (A, B) and ⋁ φ(A) are elements of ℬ(P) with the same second coordinate, ⋁ φ(A) = (A, B). Consequently φ(P0) is join-dense in ℬ(P) and φ(𝒜(P)) is meet-dense in ℬ(P). □

Theorem 3.3

For every complete lattice L, there is an atomic poset P such that L is order-isomorphic to ℬ(P).

Proof

Suppose (L, ⊑) is a complete lattice. Define the atomic poset P= {0} ⋃ 𝒜(P)⋃ P0, where 𝒜(P) = L and P0 = L. Further, in P, let ab for ∀ a, b ∈ 𝒜(P) ; let ab iff ab for ∀ a ∈ 𝒜(P), bP0; let ab iff ab for ∀ a, bP0. As L is a lattice, it is easy to see that P is an atomic poset. We want to show that (L, ⊑) is order-isomorphic to ℬ(P).

First note that for any XP0, we have

C¯X={bA(P)|XDb}={bA(P)|xX,bx}={bL|xX,bx}=xX{L(x)}=L(X)

Among them, ↓D(x) means the upper set of x in L. On the other hand, for any Y ⊆ 𝒜P,

D¯Y={aP0|YCa}={aP0|yY,ya}={aL|yY,ya}=yY{L(y)}=L(Y)

Therefore, X ∈ ℬ(P0) iff D¯C¯P=X, or

L((L(X)))=X

Since ↑L ⋁(↓LX) = ↑L(∧ X), hence, X ⊆ ℬ(P0) iff X = ↑L(∧ X). In other words, ℬ(P0) are precisely the up-closed subsets of L generated by a single element. Hence, a subset of P0 belongs to ℬ(P0) if and only if it is a principal filter.

The mapping x ↦ ↑x provides an order-isomorphism between L and ℬ(P0). Since ℬ(P0) is isomorphic to ℬ(P), therefore (L, ⊑) is order-isomorphic to ℬ(P). □

Example 3.4

Let L = {a, b, c, d} be a complete lattice, the Hasse diagram of L is illustrated by Figure 1. We can get an atomic poset P by Theorem 3.3, whose Hasse diagram is illustrated by Figure 1, and can also get a complete lattice ℬ(P) which is isomorphic to L by Theorem 3.1. In Figure 1, a1 and a2 in P is a in L, b1 and b2 in P is b in L, c1 and c2 in P is C in L, d1 and d2 in P is d in L. In ℬ(P), A = ({d2}, {a1, b1, c1, d1}), B = ({b2, d2}, {a1, b1}), C = ({c2, d2}, {a1, c1}), D = ({a2, b2, c2, d2}, {a1, b1, c1, d1}).

Fig. 1 
The figure in Example 3.4
Fig. 1

The figure in Example 3.4

3.2 Complete lattices via (CA,DBo,=)

Let P be an atomic poset. A set A satisfies AP0, DCAo=A. The set of all those sets of P is denoted by ℬo(P).

For set A1 and A2 in ℬo(P) we write A1A2 if A1A2. We can then see easlly that the relation ≤ is an order on ℬo(P). As we see in Theorem 3.5, ℬo(P);≤> is a complete lattice.

Theorem 3.5

Let P be an atomic poset. Then < ℬo(P);≤> is a complete lattice in which join and meet are given by

iIAi=DiICAio,iIAi=iIAi.

Proof

We shall prove that ℬo(P) is a topped intersection structure. Let Ai ∈ ℬo(P) for iI. Then DCAio=Ai for each i. By (6) in Proposition 2.16

iIAiDciIAio

Also iIAiAi for all iI, which, by (3) in Proposition 2.16, implies that

DcoiIAiDCA io=AiforalliI,

whence

DciIAioiIAi.

Therefore DciIAio=iIAi and hence iIAiBo(P).Also,P0DCP0o. So taht P0=DCP0o, which shows that ℬo(P) is topped.

By Theorem 2.7, ℬo(P) is a complete lattice in which meet is given by intersection. A formula for the join is given in Theorem 2.7 but we shall proceed more directly. We claim that

iIAi=DciIAio=DiICAio.

Let A=DiICAio. Certainly A=DCAo, by (8) in Proposition 2.16, and iIAiA, by (2) in Proposition 2.16.

Hence A is an upper bound for {Ai}iI in ℬo(P). Also, if X is an upper bound in ℬo(P) for {Ai}iI, then

iIAiXADCXo=X.

Therefore A is indeed the required join. We may now appeal to Theorem 2.8 to deduce that ℬo(P) is a complete lattice in which joins and meets are given by

iIAi=DiICAio,iIAi=iIAi.

 □

Theorem 3.6

For every complete lattice L, there is an atomic poset P such that L is order-isomorphic too(P).

Proof

Suppose (L, ≤) is a complete lattice. Define the atomic poset P = 𝒜(P)∪ P0, where 𝒜(P) = L and P0 = L. Further, in P,

  1. let ab for ∀ a, b ∈ 𝒜(P);

  2. let ab for ∀ a ∈ 𝒜(P), bP0 iff a = b in case that a is the least element in L, ab in case that b is the largest element in L, in other cases ab in L;

  3. let ab for ∀ a, bP0 iff ab in L.

Under the order relation defined in P, it is easy to see that P is an atomic poset. We want to show that (L, ≤) is order-isomorphic to ℬ(P).

First note that for any XP0 which does not contain the least and largest elements, we have

CX={bA(P)|xX,bx}={bL|xX,bx}=L{bL|xX,bx}=LxXL(x)=LL(X)

Among them, ↑L(x) means the upper set of x in L. On the other hand,

DCXo={aP0|CaCX}={aL|LaLL(x)}={aL|a(x)}={aL|ax}=L(x)

If X(⊆ P0) which contains the least or largest elements, we can easily check that DCXo=(X). Therefore, we have {DCXo|XP0}={x|xL}. Hence, X ⊆ ℬo(P) iff X = ↓L(⋁ X). In other words, ℬo(P) are precisely the lower sets of L generated by a single element. It is obvious that ℬo(P) is isomorphic to L. □

Example 3.7

Let L = {a, b, c, d} be a complete lattice, the Hasse diagram of L is illustrated by Figure 2. We can get an atomic poset P by Theorem 3.6, whose Hasse diagram is illustrated by Figure 2, and can also get a complete latticeo(P) which is isomorphic to L by Theorem 3.5. In Figure 2, a1 and a2 in P is a in L, b1 and b2 in P is b in L, c1 and c2 in P is C in L, d1 and d2 in P is d in L. Ino(P), A = {a2}, B = {a2, b2}, C = {a2, c2}, D = {a2, b2, c2, d2}.

Fig. 2 
The figure in Example 3.7
Fig. 2

The figure in Example 3.7

4 Constructing algebraic lattices and mutual decision

The construction of algebraic lattice [21, 41, 47] is very essential branch in the research of various order structures. In 4.1 and 4.2, Several operators (CA,C¯A,D¯BandDBo) are worked on atomic posets, and then a algebraic lattice is generated. Subsequently, we find that algebraic lattices and posets are mutually corresponding. Thus, in the theoretical study of posets, we can see the crucial role of the content of this section.

4.1 Algebraic lattices via (C¯A,D¯B,)

Let P be an atomic poset. A set A satisfies AP0 and for every finite subset XA, D¯C¯XA. The set of all those sets of P is denoted by ℱ(P).

For A1, A2 in ℱ(P) we write A1A2 iff A1A2. We can see easily that the relation ≤ is an order on ℱ(P). As we can see in Theorem 4.1, < ℱ(P); ≤> is an algebraic lattice.

Theorem 4.1

Let P be an atomic poset. Then < ℱ(P);≤> forms an algebraic lattice.

Proof

We first show that < ℱ(P);≤> is a complete lattice. To show that ℱ(P);≤> is a complete lattice it suffices to show that ℱ(P);≤>is a topped intersection structure by Lemma 2.7. Given any subset T ⊆ ℱ(P), it suffices to show that ⋂ T ∈ ℱ(P). Suppose X is a finite subset of ⋂ T. Then Xt for each tT. Since each t ∈ ℱ(P), we have D¯C¯Xt for each tT. This implies D¯C¯XT and so ⋂ T ∈ ℱ(P). It is easy to see L0 ∈ ℱ(P) and so < ℱ(P);≤ > is a topped intersection structure.

To show that < ℱ(P);≤> is algebraic, note that D¯C¯X is a compact element for each finite X in L0. To see this, we first show D¯C¯XF(P). Let X1 be a finite subset of D¯C¯X,thenD¯C¯X1D¯C¯(D¯C¯X)=D¯C¯X by Proposition 2.16, which implies D¯C¯XF(P). Then let {Ai|iI} be a directed subset of ℱ(P) such that

D¯C¯XiIAi.

By Proposition 2.16, XD¯C¯X. Therefore XiIAi. Since X is finite and {Ai|iI} is directed, XAk for some kI. But Ak ∈ ℱ(P), therefore D¯C¯XAk. By Definition 2.9 and Lemma 2.10, D¯C¯X is a compact element for each finite X.

Next we will show that for any T ∈ ℱ(P), T={D¯C¯X|XfinT}. For any Xfin T, as T ∈ ℱ(P), we have D¯C¯XT.Then{D¯C¯X|XfinT}T.AsXD¯C¯X,SoT=X{D¯C¯X|XfinT}. Therefore T={D¯C¯X|XfinT}. Therefore < ℱ(P);≤> forms an algebraic lattice by Definition 2.11. □

Corollary 4.2

Let P be a finite atomic poset. Then F(P)={D¯C¯X|XL}.

Proof

First we will show F(P){D¯C¯X|XP}.AF(P), we have AP0 and for every finite subset XA,D¯C¯XA. As P is finite, we have that A is finite and D¯C¯AA.SinceAD¯C¯A by Proposition 2.16, therefore A=D¯C¯A.SoF(P){D¯C¯X|XP}. Then we will show {D¯C¯X|XP}F(P). Since we show in Theorem 4.1, D¯C¯X is a compact element in < ℱ(P);≤> for each finite X in P0. Since P is finite, so {D¯C¯X|XL}F(P).ThereforeF(P)={D¯C¯X|XP}.  □

Theorem 4.3

For every algebraic lattice D, there is an atomic poset P such that D is order-isomorphic to ℱ(P).

Proof

Suppose (D, ⊑) is an algebraic lattice. Define a poset (P, ≤) = {0} ⋃ 𝒜(P)⋃ P0 with 𝒜(P) = D, P0 = K(D), where K(D) stands for the set of compact elements of D. Further, in P, let ab for ∀a, b ∈ 𝒜(P); let ab iff ba for ∀ a ∈ 𝒜(P), bP0; let ab iff ba for ∀ a, bP0. As D is an algebraic lattice, it is easy to see that P is an atomic poset. We want to show that (D, ⊑) is order-isomorphic to ℱ(P).

First note that for any XP0, we have

C¯X={bA(P)|XDb}={bA(P)|xX,xb}={bD|xX,xb}=xX{D(x)}=D(x)

Among them, ↑D(⋁ X) means the upper set of ⋁ X in D. On the other hand,

D¯Y={aP0|YCa}={aP0|yY,ya}={aK(D)|yY,ay}={aK(D)|yY,aK(D)(y)}=yY{K(D)(y)}=K(D)(Y)

Therefore, I ∈ ℱ(P) iff D¯C¯XI for any finite subset Xfin I, or

K(D)((D(X)))I

for each Xfin I. Since

K(D)((D(X)))=K(D)(X),

this is equivalent to say that I is a downward closed, directed subset of compact elements of D. A downward closed, directed subset is called an ideal. Hence, a subset of P0 belongs to ℱ(P) if and only if it is an ideal.

At last, by the classical result about algebraic domains [3]: an algebraic domain is isomorphic to the ideal completion of the poset of its compact elements through the isomorphism

d{aK(D)|ad}

that is, ℱ(P) is isomorphic to D. □

Example 4.4

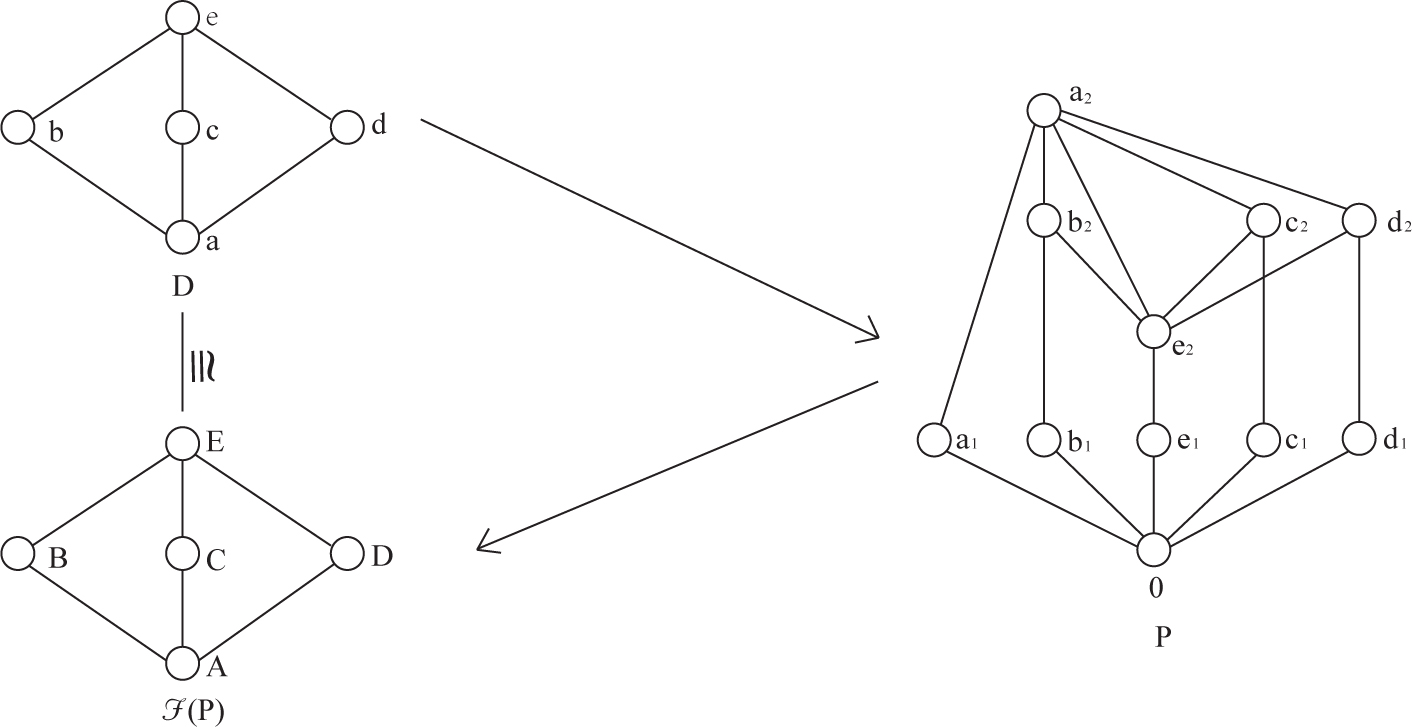
Let D ={a, b, c, d, e} be an alegraic lattice, the Hasse diagram of D is illustrated by Figure 3. We can get an atomic poset P by Theorem 4.3, whose Hasse diagram is illustrated by Figure 3, and can also get an alegraic lattice ℱ(P) which is isomorphic to D by Theorem 4.1. In Figure 3, a1 and a2 in P is a in D, b1 and b2 in P is b in D, c1 and c2 in P is C in D, d1 and d2 in P is d in D. In ℱ(P), A = {a2}, B = {a2, b2}, C = {a2, c2}, D = {a2, d2}, E = {a2, b2, c2, d2, e2}.

Fig. 3 
The figure in Example 4.4
Fig. 3

The figure in Example 4.4

4.2 Algebraic lattices via (CA,DBo,)

Let P be an atomic poset. A set A satisfies AP0 and for every finite subset XA, DCXoA. The set of all those sets of P is denoted by ℱo(P).

For A1, A2 in ℱo(P). We write A1A2 if A1A2. We can see easily that the relation ≤ is an order on ℱo(P). As we can see in Theorem 4.5, < ℱo(P);≤> is an algebraic lattice.

Theorem 4.5

Let P be an atomic poset. Then < ℱo(P);≤> forms an algebraic lattice.

Proof

We first show that > ℱo(P);≤> is a complete lattice. To show that ℱo(P);≤> is a complete lattice it suffices to show that <ℱo(P);≤> is a topped intersection structure by Lemma 2.7. Given any subset T ⊆ ℱo(P), it suffices to show that ⋂ T ∈ ℱo(P). Suppose X is a finite subset of ⋂T. Then Xt for each tT. Since each t ∈ ℱo(P), we have DCXot for each tT. This implies DCXoT and so ⋂T ∈ ℱo(P). It is easy to see P0∈ ℱo(P) and so <ℱo(P);≤> is a topped intersection structure.

To show that < ℱo(P); ≤> is algebraic, note that DCXo is a compact element for each finite X in P0. To see this, we first show DCXoFo(P). Let X1 be a finite subset of DCXo. Then DCX1oDc(DCX)o=DCXo by Proposition 2.16, which implies DCXoFo(P). Then let {Ai|iI} be a directed subset of ℱo(P) such that

DCXoiIAi.

By Proposition 2.16, XDCXo. Therefore XiIAi. Since X is finite and {Ai|iI} is directed, XAk for some kI. But Ak ∈ ℱo(P), therefore DCXoAk. By Definition 2.9 and Lemma 2.10, DCXo is a compact element for each finite X.

Next we will show that for any TFo(P),T={DCXo|XfinT}. For any XfinT, as T ∈ ℱo(P), we have DCXoT.Then{DCXo|XfinT}T.AsXDCXo,SoT=X{DCXo|XfinT}. Therefore T={DCXo|XfinT}. Therefore < ℱo(P);≤> forms an algebraic lattice by Definition 2.11. □

Corollary 4.6

Let P be a finite atomic poset. Then Fo(P)={DCXo|XL}.

Proof

First we will show Fo(P){DCXo|XP}.AFo(P), we have AP0 and for every finite subset XA,DCXoA. As P is finite, we have that A is finite and DCAoA.AsADCAo by Proposition 2.16. Therefore A=DCAo.SoFo(P){DCXo|XP}. Then we will show {DCXo|XP}Fo(P). As we show in Theorem 4.5, DCXo is a compact element in < ℱo(P);≤> for each finite X in P0. As P is finite, so {DCXo|XL}Fo(P).ThereforeFo(P)={DCXo|XP}.  □

Theorem 4.7

For every algebraic lattice D, there is an atomic poset P such that D is order-isomorphic too(P).

Proof

Suppose (D, ≤) is an algebraic lattice. Define a poset (P, ≤) = 𝒜(P) ⋃ P0 with 𝒜(P) = D, P0 = K(D), where K(D) stands for the set of compact elements of D. Further, in P,

  1. let ab for ∀a, b ∈ 𝒜(P);

  2. let ab for ∀ a ∈ 𝒜(P), bP0 iff a = b in the case that a is the least in D, ab in the case that b is the largest element in L, in other cases ab in L;

  3. let ab for ∀a, bP0 iff ab in D.

As D is an algebraic lattice, it is easy to see that P is an atomic poset. We want to show that (D, ≤) is order-isomorphic to ℱo(P).

First note that for any X(⊆ P0) which does not contain the least and largest elements, we have

CX={bA(P)|xX,bx}={bD|xX,bx}=D{bD|xX,bx}=DxXD(x)=DD(X)

Among them, ↑D(x) means the upper set of x in D. On the other hand,

DCXo={aP0|CaCX}={aK(D)|DaD(X)}={aK(D)|a(X)}={aK(D)|aX}=K(D)(X)

If X(⊆ P0) which contains the least or largest element, we can easily check that DCXo=↓(X). Therefore, IFo(P)iffDCXoI for any finite subset XfinI, or

K(D)(X)I

this is equivalent to say that I is a downward closed, directed subset of compact elements of D. A downward closed, directed subset is called an ideal. Hence, a subset of P0 belongs to ℱo(P) if and only if it is an ideal.

At last, by the classical result about algebraic domains [3]: an algebraic domain is isomorphic to the ideal completion of the poset of its compact elements through the isomorphism

d{aK(D)|ad}

that is, ℱo(P) is isomorphic to D. □

Example 4.8

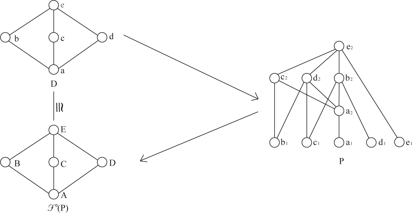
Let D= {a, b, c, d, e} be an alegraic lattice, the Hasse diagram of D is illustrated by Figure 4. We can get an atomic poset P by Theorem 4.7, whose Hasse diagram is illustrated by Figure 4, and can also get an alegraic latticeo(P) which is isomorphic to L by Theorem 4.5. In Figure 4, a1 and a2 in P is a in D, b1 and b2 in P is b in D, c1 and c2 in P is C in D, d1 and d2 in P is d in D. Ino(P), A = {a2}, B = {a2, b2}, C = {a2, c2}, D = {a2, d2}, E = {a2, b2, c2, d2, e2}.

Fig. 4 
The figure in Example 4.8
Fig. 4

The figure in Example 4.8

5 Conclusions

In this paper, to promote the research and development of completion of poset, we thoroughly study C-operators and D-operators. It is aiming at illustrating fresh methodological achievement in lattice which will also be of soaring importance in the future. We have defined C-operators and D-operators. Next, we investigate some related properties. A distinctive completion of lattice via C-operators and D-operators is followed. Our future work on this topic will focus on studying of completion and algebraization using C-operators and D-operators in poset.

References

[1] Aigner M., Combinatorial theory, Springer Science and Business Media, 2012.Search in Google Scholar

[2] Aliev I., De Loera J.A., Louveaux Q., Integer programs with prescribed number of solutions and a weighted version of Doignon-Bell-Scarf’s theorem, Springer International Publishing, 2014.10.1007/978-3-319-07557-0_4Search in Google Scholar

[3] Amadio R.M., Curien P.L., Domains and lambda-calculi, Cambridge University Press, 1998.10.1017/CBO9780511983504Search in Google Scholar

[4] Birkhoff G., Lattice theory, American Mathematical Society, 1948.10.1090/coll/025Search in Google Scholar

[5] Boole G., An investigation of the laws of thought:on which are founded the mathematical theories of logic and probabilities, Dover Publications, 1854.10.5962/bhl.title.29413Search in Google Scholar

[6] Bollobas B., Graph theory: an introductory course, Springer Science and Business Media, 2012.Search in Google Scholar

[7] Borgwardt S., Peńaloza R., Consistency reasoning in lattice-based fuzzy description logics, Internat. J. Approx. Reason., 2014, 55, 1917-1938.10.1016/j.ijar.2013.07.006Search in Google Scholar

[8] Chajda I., Complemented ordered sets, Arch. Math., 1992, 28, 25-34.Search in Google Scholar

[9] Crapo H.H., Rota G.C., On the foundations of combinatorial theory:combinatorial geometries, The MIT Press, 1970.10.1002/sapm1970492109Search in Google Scholar

[10] Czédli G., Representing homomorphisms of distributive lattices as restrictions of congruences of rectangular lattices, Algebra universalis, 2012, 67, 313-345.10.1007/s00012-012-0190-3Search in Google Scholar

[11] Davey B.A., Priestley H.A., Introduction to lattices and order, Cambridge university press, 2002.10.1017/CBO9780511809088Search in Google Scholar

[12] David E., Erné M., Ideal completion and Stone representation of ideal-distributive ordered sets, Topology Appl., 1992, 44(1), 95-113.10.1016/0166-8641(92)90083-CSearch in Google Scholar

[13] Deraux M., Parker J.R., Paupert J., New non-arithmetic complex hyperbolic lattices, Invent. Math., 2014, 1-91.10.1007/s00222-015-0600-1Search in Google Scholar

[14] Epstein J.M., Generative social science:Studies in agent-based computational modeling, Princeton University Press, 2006.Search in Google Scholar

[15] Epstein J.M., Remarks on the foundations of agent-based generative social science, Handbook of Computational Economics, 2006, 2, 1585-1604.10.1515/9781400842872.50Search in Google Scholar

[16] Erné M., Wilke G., Standard completions for quasiordered sets, Semigroup Forum, 1983, 27(1), 351-376.10.1007/BF02572747Search in Google Scholar

[17] Erné M., The Dedekind-MacNeille completion as a reflector, Order, 1991, 8(2), 159-173.10.1007/BF00383401Search in Google Scholar

[18] Erné M., Prime and maximal ideals of partially ordered sets, Math. Slovaca, 2006, 56(1), 1-22.Search in Google Scholar

[19] Erné M., Joshi V., Ideals in atomic posets, Discrete Math., 2015, 338(6), 954-971.10.1016/j.disc.2015.01.001Search in Google Scholar

[20] Gierz G., Continuous lattices and domains, Cambridge University Press, 2003.10.1017/CBO9780511542725Search in Google Scholar

[21] Gierz G., Hofmann K.H., Keimel K., A compendium of continuous lattices, Springer Science and Business Media, 2012.10.1007/978-3-642-67678-9Search in Google Scholar

[22] Godsil C., Royle G.F., Algebraic graph theory, Springer Science and Business Media, 2013.10.1007/978-1-4613-0163-9Search in Google Scholar

[23] Grätzer G., Lattice theory:First concepts and distributive lattices, Courier Corporation, 2009.Search in Google Scholar

[24] Grätzer G., Lattice theory:foundation, Springer Science and Business Media, 2011.10.1007/978-3-0348-0018-1Search in Google Scholar

[25] Grätzer G., Wehrung F., Lattice theory:special topics and applications, Springer, 2014.10.1007/978-3-319-06413-0Search in Google Scholar

[26] Halaš R., Pseudocomplemented ordered sets, Arch. Math., 1993, 29(2), 153-160.Search in Google Scholar

[27] Halaš R., Rachånek J., Polars and prime ideals in ordered sets, Discuss. Math., 1995, 15, 43-59.Search in Google Scholar

[28] Halaš R., Ideals and annihilators in ordered sets, Czech. Math. J., 1995, 45, 127-134.10.21136/CMJ.1995.128502Search in Google Scholar

[29] Halaš R., Relative polars in ordered sets, Czechoslovak Math. J., 2000, 50(2), 415-429.10.1023/A:1022439422815Search in Google Scholar

[30] Jenča G., The block structure of complete lattice ordered effect algebras, J. Aust. Math. Soc., 2007, 83, 181-216.10.1017/S1446788700036867Search in Google Scholar

[31] Niederle J., Boolean and distributive ordered sets: characterization and representation by sets, Order, 1995, 12(2), 189-210.10.1007/BF01108627Search in Google Scholar

[32] Kaburlasos V.G., Athanasiadis I.N., Mitkas P.A., Fuzzy lattice reasoning classifier and its application for ambient ozone estimation, Internat. J. Approx. Reason., 2007, 45(1), 152-188.10.1016/j.ijar.2006.08.001Search in Google Scholar

[33] Kharat V.S., Mokbel K.A., Semiprime ideals and separation theorems for posets, Order, 2008, 25(3), 195-210.10.1007/s11083-008-9087-3Search in Google Scholar

[34] Ma X., Zhan J., Jun Y.B., Some kinds of falling fuzzy filters of lattice implication algebras, Appl. Math. J. Chinese Univ. Ser. A., 2015, 30(3), 299-316.10.1007/s11766-015-3204-zSearch in Google Scholar

[35] Merrifield R.E., Simmons H.E., Topological methods in chemistry, New York etc., 1989.Search in Google Scholar

[36] Moon J.W., Topics on Tournaments in Graph Theory, Courier Dover Publications, 2015.Search in Google Scholar

[37] Narayana T.V., Lattice path combinatorics, with statistical applications, Univ of Toronto Pr., 1979.10.3138/9781487582586Search in Google Scholar

[38] Rasouli H., Completion of S-posets, Semigroup Forum, 2012, 1-6.10.1007/s00233-012-9443-xSearch in Google Scholar

[39] Rine D.C., Computer science and multiple-valued logic:theory and applications, Elsevier, 2014.Search in Google Scholar

[40] Satya Saibaba G.S.V., Fuzzy lattice ordered groups, Southeast Asian Bull. Math., 2008, 32(4), 58-60.Search in Google Scholar

[41] Šešelja B., Stepanović V., Tepavčević A.,A note on representation of lattices by weak congruences, Algebra universalis, 2012, 68(3-4), 287-291.10.1007/s00012-012-0206-zSearch in Google Scholar

[42] Šešelja B., Tepavčević A., LE-fuzzy lattices, Int.J. Fuzzy Syst., 2015, 17(3), 366-374.10.1007/s40815-015-0057-9Search in Google Scholar

[43] Takagi T., Combinatorial aspects of the conserved quantities of the tropical periodic Toda lattice, J. Phys. A., 2014, 47(39), 395-201.10.1088/1751-8113/47/39/395201Search in Google Scholar

[44] Warner M.W., Fuzzy topology with respect to continuous lattices, Fuzzy Sets and Systems, 1990, 35(1), 85-91.10.1016/0165-0114(90)90020-7Search in Google Scholar

[45] Waphare B.N., Joshi V., Characterizations of standard elements in posets, Order, 2004, 21(1), 49-60.10.1007/s11083-004-2862-xSearch in Google Scholar PubMed

[46] Waphare B.N., Joshi V., On uniquely complemented posets, Order, 2005, 22(1), 11-20.10.1007/s11083-005-9002-0Search in Google Scholar

[47] Yang X., Qian Y.H., Yang J., On characterizing hierarchies of granulation structures via distances, Fund. Informat., 2013 123(3), 365-380.10.3233/FI-2012-816Search in Google Scholar

[48] Zhan J., Jun Y.B., Notes on redefined fuzzy implicative filters of lattice implication algebras, Inform. Sci., 2009, 179(18), 31823186.10.1016/j.ins.2009.05.011Search in Google Scholar

[49] Zhao D„ Fan T., Dcpo-completion of posets, Theoret. Inform. Sci., 2010, 411(22), 2167-2173.10.1016/j.tcs.2010.02.020Search in Google Scholar

Received: 2016-2-26
Accepted: 2016-8-25
Published Online: 2017-3-19

© 2017 Yu et al.

This work is licensed under the Creative Commons Attribution-NonCommercial-NoDerivatives 3.0 License.

Articles in the same Issue

  1. Regular Articles
  2. Integrals of Frullani type and the method of brackets
  3. Regular Articles
  4. Edge of chaos in reaction diffusion CNN model
  5. Regular Articles
  6. Calculus using proximities: a mathematical approach in which students can actually prove theorems
  7. Regular Articles
  8. An investigation on hyper S-posets over ordered semihypergroups
  9. Regular Articles
  10. The Leibniz algebras whose subalgebras are ideals
  11. Regular Articles
  12. Fixed point and multidimensional fixed point theorems with applications to nonlinear matrix equations in terms of weak altering distance functions
  13. Regular Articles
  14. Matrix rank and inertia formulas in the analysis of general linear models
  15. Regular Articles
  16. The hybrid power mean of quartic Gauss sums and Kloosterman sums
  17. Regular Articles
  18. Tauberian theorems for statistically (C,1,1) summable double sequences of fuzzy numbers
  19. Regular Articles
  20. Some properties of graded comultiplication modules
  21. Regular Articles
  22. The characterizations of upper approximation operators based on special coverings
  23. Regular Articles
  24. Bi-integrable and tri-integrable couplings of a soliton hierarchy associated with SO(4)
  25. Regular Articles
  26. Dynamics for a discrete competition and cooperation model of two enterprises with multiple delays and feedback controls
  27. Regular Articles
  28. A new view of relationship between atomic posets and complete (algebraic) lattices
  29. Regular Articles
  30. A class of extensions of Restricted (s, t)-Wythoff’s game
  31. Regular Articles
  32. New bounds for the minimum eigenvalue of 𝓜-tensors
  33. Regular Articles
  34. Shintani and Shimura lifts of cusp forms on certain arithmetic groups and their applications
  35. Regular Articles
  36. Empirical likelihood for quantile regression models with response data missing at random
  37. Regular Articles
  38. Convex combination of analytic functions
  39. Regular Articles
  40. On the Yang-Baxter-like matrix equation for rank-two matrices
  41. Regular Articles
  42. Uniform topology on EQ-algebras
  43. Regular Articles
  44. Integrations on rings
  45. Regular Articles
  46. The quasilinear parabolic kirchhoff equation
  47. Regular Articles
  48. Avoiding rainbow 2-connected subgraphs
  49. Regular Articles
  50. On non-Hopfian groups of fractions
  51. Regular Articles
  52. Singularly perturbed hyperbolic problems on metric graphs: asymptotics of solutions
  53. Regular Articles
  54. Rings in which elements are the sum of a nilpotent and a root of a fixed polynomial that commute
  55. Regular Articles
  56. Superstability of functional equations related to spherical functions
  57. Regular Articles
  58. Evaluation of the convolution sum involving the sum of divisors function for 22, 44 and 52
  59. Regular Articles
  60. Weighted minimal translation surfaces in the Galilean space with density
  61. Regular Articles
  62. Complete convergence for weighted sums of pairwise independent random variables
  63. Regular Articles
  64. Binomials transformation formulae for scaled Fibonacci numbers
  65. Regular Articles
  66. Growth functions for some uniformly amenable groups
  67. Regular Articles
  68. Hopf bifurcations in a three-species food chain system with multiple delays
  69. Regular Articles
  70. Oscillation and nonoscillation of half-linear Euler type differential equations with different periodic coefficients
  71. Regular Articles
  72. Osculating curves in 4-dimensional semi-Euclidean space with index 2
  73. Regular Articles
  74. Some new facts about group 𝒢 generated by the family of convergent permutations
  75. Regular Articles
  76. lnfinitely many solutions for fractional Schrödinger equations with perturbation via variational methods
  77. Regular Articles
  78. Supersolvable orders and inductively free arrangements
  79. Regular Articles
  80. Asymptotically almost automorphic solutions of differential equations with piecewise constant argument
  81. Regular Articles
  82. Finite groups whose all second maximal subgroups are cyclic
  83. Regular Articles
  84. Semilinear systems with a multi-valued nonlinear term
  85. Regular Articles
  86. Positive solutions for Hadamard differential systems with fractional integral conditions on an unbounded domain
  87. Regular Articles
  88. Calibration and simulation of Heston model
  89. Regular Articles
  90. One kind sixth power mean of the three-term exponential sums
  91. Regular Articles
  92. Cyclic pairs and common best proximity points in uniformly convex Banach spaces
  93. Regular Articles
  94. The uniqueness of meromorphic functions in k-punctured complex plane
  95. Regular Articles
  96. Normalizers of intermediate congruence subgroups of the Hecke subgroups
  97. Regular Articles
  98. The hyperbolicity constant of infinite circulant graphs
  99. Regular Articles
  100. Scott convergence and fuzzy Scott topology on L-posets
  101. Regular Articles
  102. One sided strong laws for random variables with infinite mean
  103. Regular Articles
  104. The join of split graphs whose completely regular endomorphisms form a monoid
  105. Regular Articles
  106. A new branch and bound algorithm for minimax ratios problems
  107. Regular Articles
  108. Upper bound estimate of incomplete Cochrane sum
  109. Regular Articles
  110. Value distributions of solutions to complex linear differential equations in angular domains
  111. Regular Articles
  112. The nonlinear diffusion equation of the ideal barotropic gas through a porous medium
  113. Regular Articles
  114. The Sheffer stroke operation reducts of basic algebras
  115. Regular Articles
  116. Extensions and improvements of Sherman’s and related inequalities for n-convex functions
  117. Regular Articles
  118. Classification lattices are geometric for complete atomistic lattices
  119. Regular Articles
  120. Possible numbers of x’s in an {x, y}-matrix with a given rank
  121. Regular Articles
  122. New error bounds for linear complementarity problems of weakly chained diagonally dominant B-matrices
  123. Regular Articles
  124. Boundedness of vector-valued B-singular integral operators in Lebesgue spaces
  125. Regular Articles
  126. On the Golomb’s conjecture and Lehmer’s numbers
  127. Regular Articles
  128. Some applications of the Archimedean copulas in the proof of the almost sure central limit theorem for ordinary maxima
  129. Regular Articles
  130. Dual-stage adaptive finite-time modified function projective multi-lag combined synchronization for multiple uncertain chaotic systems
  131. Regular Articles
  132. Corrigendum to: Dual-stage adaptive finite-time modified function projective multi-lag combined synchronization for multiple uncertain chaotic systems
  133. Regular Articles
  134. Convergence and stability of generalized φ-weak contraction mapping in CAT(0) spaces
  135. Regular Articles
  136. Triple solutions for a Dirichlet boundary value problem involving a perturbed discrete p(k)-Laplacian operator
  137. Regular Articles
  138. OD-characterization of alternating groups Ap+d
  139. Regular Articles
  140. On Jordan mappings of inverse semirings
  141. Regular Articles
  142. On generalized Ehresmann semigroups
  143. Regular Articles
  144. On topological properties of spaces obtained by the double band matrix
  145. Regular Articles
  146. Representing derivatives of Chebyshev polynomials by Chebyshev polynomials and related questions
  147. Regular Articles
  148. Chain conditions on composite Hurwitz series rings
  149. Regular Articles
  150. Coloring subgraphs with restricted amounts of hues
  151. Regular Articles
  152. An extension of the method of brackets. Part 1
  153. Regular Articles
  154. Branch-delete-bound algorithm for globally solving quadratically constrained quadratic programs
  155. Regular Articles
  156. Strong edge geodetic problem in networks
  157. Regular Articles
  158. Ricci solitons on almost Kenmotsu 3-manifolds
  159. Regular Articles
  160. Uniqueness of meromorphic functions sharing two finite sets
  161. Regular Articles
  162. On the fourth-order linear recurrence formula related to classical Gauss sums
  163. Regular Articles
  164. Dynamical behavior for a stochastic two-species competitive model
  165. Regular Articles
  166. Two new eigenvalue localization sets for tensors and theirs applications
  167. Regular Articles
  168. κ-strong sequences and the existence of generalized independent families
  169. Regular Articles
  170. Commutators of Littlewood-Paley gκ -functions on non-homogeneous metric measure spaces
  171. Regular Articles
  172. On decompositions of estimators under a general linear model with partial parameter restrictions
  173. Regular Articles
  174. Groups and monoids of Pythagorean triples connected to conics
  175. Regular Articles
  176. Hom-Lie superalgebra structures on exceptional simple Lie superalgebras of vector fields
  177. Regular Articles
  178. Numerical methods for the multiplicative partial differential equations
  179. Regular Articles
  180. Solvable Leibniz algebras with NFn Fm1 nilradical
  181. Regular Articles
  182. Evaluation of the convolution sums ∑al+bm=n lσ(l) σ(m) with ab ≤ 9
  183. Regular Articles
  184. A study on soft rough semigroups and corresponding decision making applications
  185. Regular Articles
  186. Some new inequalities of Hermite-Hadamard type for s-convex functions with applications
  187. Regular Articles
  188. Deficiency of forests
  189. Regular Articles
  190. Perfect codes in power graphs of finite groups
  191. Regular Articles
  192. A new compact finite difference quasilinearization method for nonlinear evolution partial differential equations
  193. Regular Articles
  194. Does any convex quadrilateral have circumscribed ellipses?
  195. Regular Articles
  196. The dynamic of a Lie group endomorphism
  197. Regular Articles
  198. On pairs of equations in unlike powers of primes and powers of 2
  199. Regular Articles
  200. Differential subordination and convexity criteria of integral operators
  201. Regular Articles
  202. Quantitative relations between short intervals and exceptional sets of cubic Waring-Goldbach problem
  203. Regular Articles
  204. On θ-commutators and the corresponding non-commuting graphs
  205. Regular Articles
  206. Quasi-maximum likelihood estimator of Laplace (1, 1) for GARCH models
  207. Regular Articles
  208. Multiple and sign-changing solutions for discrete Robin boundary value problem with parameter dependence
  209. Regular Articles
  210. Fundamental relation on m-idempotent hyperrings
  211. Regular Articles
  212. A novel recursive method to reconstruct multivariate functions on the unit cube
  213. Regular Articles
  214. Nabla inequalities and permanence for a logistic integrodifferential equation on time scales
  215. Regular Articles
  216. Enumeration of spanning trees in the sequence of Dürer graphs
  217. Regular Articles
  218. Quotient of information matrices in comparison of linear experiments for quadratic estimation
  219. Regular Articles
  220. Fourier series of functions involving higher-order ordered Bell polynomials
  221. Regular Articles
  222. Simple modules over Auslander regular rings
  223. Regular Articles
  224. Weighted multilinear p-adic Hardy operators and commutators
  225. Regular Articles
  226. Guaranteed cost finite-time control of positive switched nonlinear systems with D-perturbation
  227. Regular Articles
  228. A modified quasi-boundary value method for an abstract ill-posed biparabolic problem
  229. Regular Articles
  230. Extended Riemann-Liouville type fractional derivative operator with applications
  231. Topical Issue on Topological and Algebraic Genericity in Infinite Dimensional Spaces
  232. The algebraic size of the family of injective operators
  233. Topical Issue on Topological and Algebraic Genericity in Infinite Dimensional Spaces
  234. The history of a general criterium on spaceability
  235. Topical Issue on Topological and Algebraic Genericity in Infinite Dimensional Spaces
  236. On sequences not enjoying Schur’s property
  237. Topical Issue on Topological and Algebraic Genericity in Infinite Dimensional Spaces
  238. A hierarchy in the family of real surjective functions
  239. Topical Issue on Topological and Algebraic Genericity in Infinite Dimensional Spaces
  240. Dynamics of multivalued linear operators
  241. Topical Issue on Topological and Algebraic Genericity in Infinite Dimensional Spaces
  242. Linear dynamics of semigroups generated by differential operators
  243. Special Issue on Recent Developments in Differential Equations
  244. Isomorphism theorems for some parabolic initial-boundary value problems in Hörmander spaces
  245. Special Issue on Recent Developments in Differential Equations
  246. Determination of a diffusion coefficient in a quasilinear parabolic equation
  247. Special Issue on Recent Developments in Differential Equations
  248. Homogeneous two-point problem for PDE of the second order in time variable and infinite order in spatial variables
  249. Special Issue on Recent Developments in Differential Equations
  250. A nonlinear plate control without linearization
  251. Special Issue on Recent Developments in Differential Equations
  252. Reduction of a Schwartz-type boundary value problem for biharmonic monogenic functions to Fredholm integral equations
  253. Special Issue on Recent Developments in Differential Equations
  254. Inverse problem for a physiologically structured population model with variable-effort harvesting
  255. Special Issue on Recent Developments in Differential Equations
  256. Existence of solutions for delay evolution equations with nonlocal conditions
  257. Special Issue on Recent Developments in Differential Equations
  258. Comments on behaviour of solutions of elliptic quasi-linear problems in a neighbourhood of boundary singularities
  259. Special Issue on Recent Developments in Differential Equations
  260. Coupled fixed point theorems in complete metric spaces endowed with a directed graph and application
  261. Special Issue on Recent Developments in Differential Equations
  262. Existence of entropy solutions for nonlinear elliptic degenerate anisotropic equations
  263. Special Issue on Recent Developments in Differential Equations
  264. Integro-differential systems with variable exponents of nonlinearity
  265. Special Issue on Recent Developments in Differential Equations
  266. Elliptic operators on refined Sobolev scales on vector bundles
  267. Special Issue on Recent Developments in Differential Equations
  268. Multiplicity solutions of a class fractional Schrödinger equations
  269. Special Issue on Recent Developments in Differential Equations
  270. Determining of right-hand side of higher order ultraparabolic equation
  271. Special Issue on Recent Developments in Differential Equations
  272. Asymptotic approximation for the solution to a semi-linear elliptic problem in a thin aneurysm-type domain
  273. Topical Issue on Metaheuristics - Methods and Applications
  274. Learnheuristics: hybridizing metaheuristics with machine learning for optimization with dynamic inputs
  275. Topical Issue on Metaheuristics - Methods and Applications
  276. Nature–inspired metaheuristic algorithms to find near–OGR sequences for WDM channel allocation and their performance comparison
  277. Topical Issue on Cyber-security Mathematics
  278. Monomial codes seen as invariant subspaces
  279. Topical Issue on Cyber-security Mathematics
  280. Expert knowledge and data analysis for detecting advanced persistent threats
  281. Topical Issue on Cyber-security Mathematics
  282. Feedback equivalence of convolutional codes over finite rings
Downloaded on 29.10.2025 from https://www.degruyterbrill.com/document/doi/10.1515/math-2017-0027/html
Scroll to top button